Определение основных финансовых показателей деятельности коммерческой организации
МИНИСТЕРСТВО
ОБРАЗОВАНИЯ И НАУКИ РОССИЙСКОЙ ФЕДЕРАЦИИ
ФЕДЕРАЛЬНОЕ
ГОСУДАРСТВЕННОЕ БЮДЖЕТНОЕ
ОБРАЗОВАТЕЛЬНОЕ
УЧРЕЖДЕНИЕ
ВЫСШЕГО
ПРОФЕССИОНАЛЬНОГО ОБРАЗОВАНИЯ
«БРАТСКИЙ
ГОСУДАРСТВЕННЫЙ УНИВЕРСИТЕТ»
ФАКУЛЬТЕТ
ЭКОНОМИКИ И УПРАВЛЕНИЯ
Базовая
кафедра экономики и менеджмента
Экономика
Финансы и
кредит
Курсовая
работа
по
дисциплине «Корпоративные финансы»
Определение основных финансовых показателей деятельности
коммерческой организации
Работу выполнила
Л.А. Железнова
Братск 2015
г.
Содержание
Введение
. Планирование текущих затрат на
производство и реализацию продукции
. Формирование цены продукции
. Планирование доходов и прибыли
организации
.1 Планирование доходов от
реализации продукции
.2 Планирование прибыли и ее
распределения
.3 Определение критического объема
выпуска продукции
. Расчет потребности в оборотных
средствах и определение источников ее финансирования
Заключение
Список использованных источников
Приложение А
Введение
Актуальность темы курсовой работы в изучении
основных финансовых показателей деятельности коммерческой организации. В
настоящее время чтобы предприятие приносило прибыль и имело устойчивое
положение на рынке, необходимо знать факторы улучшающие работу предприятия,
например, сколько продукции производить, какие материалы нужны, и где их
закупать, организовывать поставки и в дальнейшем выход организации на
международный рынок.
Объектом исследования является предприятие
легкой промышленности ОАО «Ангара».
Предметом исследования являются теоретические
основы и практические аспекты корпоративных финансов.
Цель курсовой работы является более глубокое
изучение и закрепление теоретических знаний, развитие практических навыков по
определению основных финансовых показателей деятельности организации, выработка
умений по принятию и обоснованию решений, связанных с формированием финансовых
ресурсов коммерческой организации.
Задачи, которые необходимо решить: изучить
расчет финансовых показателей основного и оборотного капитала; уметь
планировать себестоимость производства и реализации продукции; изучить
определение величины планируемого дохода и прибыли.
1. Планирование текущих затрат на производство и
реализацию продукции
Плановые текущие затраты (плановая
себестоимость) на предприятии определяются на основе формирования сметы затрат,
которая составляется по статьям затрат. Совокупность затрат по статьям
формирует затраты на валовую продукцию [1, с.7].
Звал = 
(1)
где 
- сумма
затрат на производство продукции по статьям, руб.;
n - число
статей затрат на производство продукции.
Для формирования валовых затрат
необходимо составить сметы по отдельным элементам затрат.
. Смета прямых материальных расходов.
Для составления первой сметы
используем исходные данные таблицы А1. Для определения текущих затрат в
плановом году необходимо учесть их изменение, указанное в процентах в таблице
исходных данных. Например, рассчитаем сумму в плановом году для приобретения
ГСМ, для этого используем пропорцию:
- 100% X
= 2620*109,5/100 = 2868,9 тыс. руб.
X - 109,5%
И так рассчитываем остальные статьи затрат.
Полученные данные занесли в Таблицу 1.
Таблица 1 - Смета прямых материальных расходов
|
Наименование
статьи затрат
|
Сумма
за отчетный год, тыс. руб.
|
Планируемое
изменение за год, %
|
Сумма
в плановом году, тыс. руб.
|
|
1.
Приобретение ГСМ
|
2620
|
+9,5
|
2868,90
|
|
2.Транспортные
и экспедиторские услуги
|
1225
|
+12
|
1372,00
|
|
3.Приобретение
сырья
|
2827
|
+3,8
|
2934,43
|
|
4.Энергоресурсы
на технологические нужды
|
8230
|
+4
|
8559,20
|
|
5.Приобретение
запасных частей для транспортных средств
|
2020
|
+14
|
2302,80
|
|
6.Расходы
на ремонт и содержание оборудования
|
5280
|
8
|
5702,40
|
|
7.Приобретение
стройматериалов
|
2628
|
+3,8
|
2727,86
|
|
8.Потери
в пределах норм
|
1426
|
-7
|
1326,18
|
|
9.Возвратные
отходы
|
12
|
+2
|
12,24
|
|
Итого
|
26244
|
-
|
27781,53
|
. Смета расходов на оплату труда (со страховыми
взносами).
Для формирования сметы затрат на оплату труда
воспользовались исходными данными таблиц А3. В данной работе расчет провели
отдельно для двух категорий персонала: производственные рабочие и
административно-управленческий персонал (АУП).
В соответствии с законодательством РФ, суммы
страховых взносов рассчитывается по ставкам страховых взносов в Пенсионный фонд
- 22%, в Фонд социального страхования - 2,9%, в Федеральный фонд обязательного
медицинского страхования - 5,1% от годового фонда оплаты труда работников [5].
Для определения суммы в год для оплаты труда
производственных рабочих необходимо: планируемую среднесписочную численность
рабочих умножить на планируемый размер заработной платы 1 рабочего в месяц и
умножить на 12 месяцев, получится 120*12,25*12=17640 тыс. руб.
Сумма страховых взносов должна равняться 30%,
поэтому 17640*30%/100% = 5292 тыс. руб.
Взносы в пенсионный фонд рассчитываем:
17640*22%/100% = 3880,8 тыс. руб. Взносы в фонд социального страхования
рассчитываем: 17640*2,9%/100% = 511,56 тыс. руб. Взносы в федеральный фонд
обязательного медицинского страхования рассчитываем: 17640*5,1%/100% = 899,64
тыс. руб.
Для определения суммы в год для оплаты труда АУП
рассчитываем: планируемую среднесписочную численность работников из числа АУП
умножаем на планируемый размер заработной платы 1 работника из числа АУП в
месяц и умножаем на 12 месяцев: 22*22,37*12 = 5905,68 тыс. руб.
Сумма страховых взносов: 5905,68*30%/100% =
1771,70 тыс. руб.
Взносы в пенсионный фонд рассчитываем:
5905,68*22%/100% = 1299,25 тыс. руб. Взносы в фонд социального страхования
рассчитываем: 5905,68*2,9%/100% = 171,26 тыс. руб. Взносы в федеральный фонд
обязательного медицинского страхования рассчитываем: 5905,68*5,1%/100% = 301,19
тыс. руб.
Все полученные результаты занесли в таблицу 2.
Таблица 2 - Смета расходов на оплату труда (со
страховыми взносами), тыс. руб.
|
Наименование
статьи затрат
|
Сумма
в год
|
Сумма
страховых взносов
|
|
|
Всего,
в том числе:
|
в
ПФР (22%)
|
в
ФСС (2,9%)
|
в
ФОМС (5,1%)
|
|
Оплата
труда производственных рабочих
|
17640
|
5292,00
|
3880,80
|
511,56
|
899,64
|
|
Оплата
труда АУП
|
5905,68
|
1771,70
|
1299,25
|
171,26
|
301,19
|
|
Итого
|
23545,68
|
7063,70
|
5180,05
|
682,82
|
1200,83
|
. Смета амортизационных отчислений.
Для составления сметы амортизационных отчислений
рассчитали их суммы, которые определяются на основании исходных данных,
представленных в таблицах А2. Расчет произвели линейным методом в соответствии
с порядком расчета сумм амортизации, установленным ст. 259 гл. 25 ч. II
Налогового кодекса РФ. При расчете срока полезного использования
амортизируемого имущества принимаем по верхней границе амортизационной группы.
Для 1-ой амортизационной группы установлен срок
от 1 года до 2 лет включительно, принимаем в расчет 24 месяца для всех
объектов, входящих в данную группу. Для 2-ой группы от 2 до 3 лет, принимаем в
расчет 36 месяцев. Для 3-ей группы свыше 3 до 5 лет, принимаем в расчет 60
месяцев. Для 4-ой группы от 5 до 7 лет, принимаем в расчет 84 месяца. Для 5-ой
группы от 7 до 10 лет, принимаем в расчет 120 месяцев. Для 6-ой группы от 10 до
15 лет, принимаем в расчет 180 месяцев. Для 7-ой группы от 15 до 20 лет,
принимаем в расчет 240 месяцев. Для 8-ой группы от 20 до 25 лет, принимаем в
расчет 300 месяцев. Для 9-ой группы от 25 до 30 лет, принимаем в расчет 360
месяцев. Для 10-й группы свыше 30 лет, принимаем в расчет, принимаем в расчет
360 месяцев.
Для вычисления нормы амортизации в месяц
необходимо использовать формулу:

(2)
где 
- норма амортизации в процентах к
первоначальной стоимости объекта основных средств;
n - срок
полезного использования в месяц.
Например, норма амортизации в месяц
для первой группы равна: 1/24*100% = 4,17%.
Сумму начисленной амортизации за
планируемый год вычислили: первоначальную стоимость амортизируемого имущества
умножаем на норму амортизации в месяц, умножаем на 12 месяцев и делим на 100%.
Например, для первой амортизационной группы: 42*4,17*12/100% = 21.
Результаты расчетов занесли в
таблицу 3.
Таблица 3 - Смета амортизационных
отчислений, тыс. руб.
|
Амортизационная
группа
|
Первоначальная
стоимость амортизируемого имущества
|
Срок
полезного использования, мес.
|
Норма
амортизации в месяц, % k
|
Суммы
начисленной амортизации за планируемый год
|
|
1
|
42
|
24
|
4,17
|
21
|
|
2
|
132
|
36
|
2,78
|
44
|
|
3
|
82
|
60
|
1,67
|
16,4
|
|
4
|
2272
|
84
|
1,19
|
324,57
|
|
5
|
862
|
120
|
0,83
|
86,2
|
|
6
|
1265
|
180
|
0,56
|
84,33
|
|
7
|
2427
|
240
|
0,42
|
121,35
|
|
8
|
12384
|
300
|
0,33
|
495,36
|
|
9
|
41223
|
360
|
0,28
|
1374,10
|
|
10
|
12520
|
360
|
0,28
|
417,33
|
|
Итого
|
73209
|
-
|
-
|
2984,65
|
. Смета общепроизводственных расходов.
Для составления четвертой сметы используем
исходные данные таблицы А1. Для определения текущих затрат в плановом году
необходимо учесть их изменение, указанное в процентах в таблице исходных
данных. Например, рассчитаем сумму в плановом году для арендных платежей, для
этого используем пропорцию:
- 100% X
= 892*107/100 = 954,44 тыс. руб.
X - 107%
Так рассчитали остальные статьи затрат и
результаты оформили в таблицу 4.
Таблица 4 - Смета общепроизводственных расходов
|
Наименование
статьи затрат
|
Сумма
за отчетный год, тыс. руб.
|
Планируемое
изменение за год, %
|
Сумма
в плановом году, тыс. руб.
|
|
1.Арендные
платежи
|
892
|
+7
|
954,44
|
|
2.Командировочные
расходы
|
824
|
+5
|
865,20
|
|
3.
Расходы на лицензирование и сертификацию
|
320
|
+3,2
|
330,24
|
|
4.Расходы
на пожарную и сторожевую охрану
|
420
|
-4,8
|
399,84
|
|
5.Энергоресурсы
на освещение, вентиляцию
|
3124
|
+3,7
|
3239,59
|
|
6.Услуги
связи
|
2422
|
-1,5
|
2385,67
|
|
7.Налоги
(земельный, транспортный, на имущество организаций)
|
982
|
+0,2
|
983,96
|
|
8.Расходы
на канцтовары
|
72
|
+1,5
|
73,08
|
|
9.Приобретение
оргтехники
|
152
|
+13
|
171,76
|
|
10.Расходы
на ремонт и содержание зданий
|
2222
|
+4
|
2310,88
|
|
11.Хозяйственные
расходы
|
242
|
-8
|
222,64
|
|
12.Представительские
расходы на урегулирование отношений с органами контроля
|
482
|
-12
|
424,16
|
|
Итого
|
12154
|
-
|
12361,46
|
На основе составленных смет и исходных данных
таблиц А1, заполняем строки 1-6 Таблицы 6.
Сырье и материалы (за вычетом возвратных
отходов)= транспортные и экспедиторские услуги + приобретение сырья +
приобретение строительных материалов + потери в пределах норм - возвратные
отходы = 1372+2934,43+2727,86+1326,18-12,24=8348,23 тыс. руб.
Топливо и энергия на технологические нужды =
приобретение ГСМ + энергоресурсы на технологические нужды =2868,9+8559,2 =
11428,1 тыс. руб.
Заработная плата производственных рабочих из
таблицы 2 равна 17640 тыс. руб.
Страховые взносы во внебюджетные фонды от
заработной платы производственных рабочих из таблицы 2 равны 5292 тыс. руб.
Расходы на содержание и эксплуатацию
оборудования = расходы на ремонт и содержание оборудования + расходы на
приобретение запасных частей + амортизационные отчисления в плановом году с 1-7
строки = 5702,4+2302,8+21+44+16,4+324,57+86,2+84,33+121,35=8703,05 тыс. руб.
Общепроизводственные расходы = таблица 4 (итого)
+ таблица 2 (оплата труда АУП сумма в год) + таблица 2 (оплата труда АУП сумма
страховых взносов) + амортизационные отчисления в плановом году с 8-10 строки =
12361,46+5905,68+1771,7+495,36+1374,1+417,33 = 22325,64 тыс. руб.
В указанном порядке формируются затраты на
валовую продукцию = сумма показателей 1-6 строк таблицы 6 =
8348,23+11428,1+17640+5292+8703,05+22325,64 = 73737,02 тыс. руб.
Однако в дальнейшем при составлении сметы
доходов и расходов учитывается не произведенная, а реализованная продукция,
поэтому затраты на валовую продукцию корректируются на изменение остатков
незавершенного производства и расходов будущих периодов. В результате
образуется производственная себестоимость товарной продукции.
, (3)
где ∆НЗП - разница между остатками затрат
в незавершенном производстве на конец и начало планового периода, руб.;
∆РБП - разница между остатками расходов
будущих периодов на конец и начало планового периода, руб.
, (4)
где НЗПк, НЗПн -
соответственно остатки по счету «Незавершенное производство» на конец и начало
планового периода, руб.;
, (5)
где РБПк, РБПн -
соответственно остатки по счету «Расходы будущих периодов» на конец и начало
планового периода, руб.
Для расчета величин ∆НЗП и ∆РБП
необходимо воспользоваться данными таблиц А4.
НЗПн = сумма первых шести строк
таблицы А4 =123+324+820+246+227+783=2523 тыс. руб.
Затраты в незавершенном производстве на конец
планового периода определили на основе расчета норматива затрат в незавершенном
производстве по формуле:

(6)
где 
- среднедневные затраты на
производство продукции, тыс. руб.;
Д - длительность производственного
цикла, дни;

- коэффициент нарастания затрат.
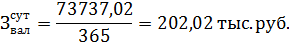
Среднедневные затраты на
производство рассчитали как отношение валовых затрат к числу календарных дней в
году (365 дней).
Длительность производственного цикла
дана в таблице А4 и равна 28 дней.
Коэффициент нарастания затрат
представляет собой отношение себестоимости изделия в незавершенном производстве
к себестоимости готового изделия и определяет неравномерность осуществления
затрат в производственном процессе.

(7)
где 
- затраты в начале
производственного процесса, тыс. руб.;

- затраты последующие до окончания
производственного процесса, тыс. руб.;

- коэффициент, учитывающий
неравномерность осуществления затрат во времени.
Зн = из таблицы А4
расходы на сырье и материалы (за вычетом возвратных отходов) + топливо и
энергия на технологические нужды = 123+324 = 447 тыс. руб.
Зп = из таблицы А4 строки
с 3-6 = 820+246+227+783=2106,45 тыс. руб.
Коэффициент 
приняли равным 0,7, так как
наибольшая доля затрат в легкой промышленности приходится на начало
производственного процесса.

= 0,75.
Теперь рассчитали Ннзп =
202,02*28*0,75 =4260,23. Все подставили в формулу (4):
∆НЗП=4260,23-2553,45=1737,23
тыс. руб.
∆РБП = из таблицы А4 остатки
по счету «Расходы будущих периодов» на конец планируемого года - на начало
планируемого периода = 72 - 42 = 30 тыс. руб.
Затем рассчитали по формуле (3)
производственную стоимость товарной продукции:

= 73737,02-1737,23-30=71969,80 тыс.
руб.
Для того, чтобы получить полную сумму затрат на
производство и реализацию товарной продукции, необходимо учесть коммерческие и
управленческие расходы, в результате чего будет сформирована полная
себестоимость товарной продукции.
, (8)
где КР - коммерческие (внепроизводственные)
расходы, руб.;
УР - управленческие расходы, тыс. руб.
Составили смету коммерческих расходов на основе
исходных данных, которые содержатся в таблице А1.
Таблица 5 - Смета коммерческих расходов
|
Наименование
статьи затрат
|
Сумма
за отчетный год, тыс. руб.
|
Планируемое
изменение за год, %
|
Сумма
в плановом году, тыс. руб.
|
|
1.Доставка
готовой продукции
|
652
|
+9,5
|
713,94
|
|
2.Расходы
на рекламу
|
122
|
-10
|
109,80
|
|
3.Страхование
готовой продукции
|
362
|
+2,4
|
370,69
|
|
Итого
|
1136
|
-
|
1194,43
|
Рассчитали полную себестоимость товарной
продукции по формуле (8):
Итогом раздела является формирование сметы
расходов на производство и реализацию продукции на плановый год в таблице 6.
Таблица 6 - Смета расходов на производство и
реализацию продукции, тыс. руб.
|
№
|
Статьи
затрат
|
Всего
за год
|
|
1
|
Сырье
и материалы (за вычетом возвратных отходов)
|
8348,23
|
|
2
|
Топливо
и энергия на технологические нужды
|
11428,1
|
|
3
|
Заработная
плата производственных рабочих
|
17640
|
|
4
|
Страховые
взносы во внебюджетные фонды от заработной платы производственных рабочих
|
5292,00
|
|
5
|
Расходы
на содержание и эксплуатацию оборудования
|
8703,05
|
|
6
|
Общепроизводственные
расходы
|
22325,64
|
Затраты
на валовую продукцию
|
73737,02
|
|
8
|
Изменение
остатков незавершенного производства
|
1737,23
|
|
9
|
Изменение
остатков по расходам будущих периодов
|
30
|
|
10
|
Производственная
себестоимость товарной продукции
|
71969,80
|
|
11
|
Внепроизводственные
(коммерческие) расходы
|
1194,43
|
|
12
|
Полная
себестоимость товарной продукции
|
73164,22
|
В целях контроля величины затрат следует
учитывать их в разрезе условно-переменных и условно-постоянных. К
условно-переменным затратам относятся прямые материальные, заработная плата
рабочих с отчислениями на социальные нужды, расходы на содержание и
эксплуатацию оборудования. К условно-постоянным затратам относятся общепроизводственные,
коммерческие и управленческие расходы.
Материальные расходы взяли из таблицы 1 (итого),
т.к. они относятся к условно-переменным затратам поэтому в графу постоянные
ничего не записали, все написали в графу переменные затраты.
Расходы на оплату труда из таблицы 2 (итого
оплата труда плюс итого страховые взносы). К постоянным отнесли из таблицы 2
(оплата труда АУП плюс страховые взносы АУП), к переменным затратам отнесли из
таблицы 2 (оплата труда производственных рабочих плюс страховые взносы производственных
рабочих).
Амортизацию взяли из таблицы 3 (итого). К
постоянным затратам отнесли сумму начисленной амортизации за планируемый год с
8-10 амортизационные группы. В переменные затраты включили сумму начисленной
амортизации за планируемый год с 1-7 амортизационные группы.
Прочие затраты из таблицы 4 (итого). Прочие
затраты не зависят от объема выпуска продукции, поэтому их отнесли к постоянным
затратам.
Затраты на валовую продукцию взяли из таблицы 6
или для проверки: сумма 1-4 строк таблицы 7. К постоянным и переменным затратам
отнесли сумму первых 4 строк таблицы 7.
Изменение остатков незавершенного производства
из таблицы 6. Постоянные затраты рассчитали как долю общепроизводственных
расходов в незавершенном производстве на начало планового периода и применили
данное значение к величине изменения остатков по таблице А4. В таблице А4
общепроизводственные расходы разделили на стоимость незавершенного
производства: 783/2523=0,31 или 31%. Затем изменение остатков незавершенного
производства умножили на полученное соотношение: 1737,23 *0,31=539,14.
Переменные затраты посчитали исходя из постоянных затрат т.е. 100%-31%=69% и
далее 1737,23*0,69=1198,09.
Изменение остатков по расходам будущих периодов
необходимо отнести к постоянным затратам, т.к. в большинстве случаев на расходы
будущих периодов относят постоянные платежи, имеющие место в отчетном периоде,
но относящиеся к следующим периодам (арендные платежи, расходы, связанные с
освоением новых технологий и т.п.). Для данной работы из таблицы 6, т.е. 30.
Производственная себестоимость товарной
продукции взяли из таблицы 6 или для проверки по формуле (2): от 5 строки
отнимаем 6 и 7 строки таблицы 7. Постоянные и переменные затраты рассчитали как
от 5 строки отняли 6 и 7 строки из таблицы 7.
Внепроизводственные (коммерческие) расходы из
таблицы 6 и они относятся к постоянным расходам.
Полная себестоимость товарной продукции из
таблицы 6 или для проверки по формуле (7) сумма строк 8 и 9 из таблицы 7. К
постоянным и переменным затратам отнесли сумму 8 и 9 строк таблицы 7.
Структура полной себестоимости товарной
продукции выражается в 100 процентах. В графе постоянных расходов структуру
рассчитали: 22950,93*100/73164,22 = 31,37%. В графе переменных расходов
структуру посчитали: 50213,30*100/73164,22 = 68,63%.
Полученные данные занесли в таблицу 7.
Таблица 7 - Смета постоянных и переменных
расходов на производство и реализацию продукции, тыс. руб.
|
№
|
Статьи
затрат
|
Всего
за год
|
В
том числе
|
|
|
|
постоянные
|
переменные
|
|
1
|
Материальные
расходы
|
27781,53
|
0
|
27781,53
|
|
2
|
Расходы
на оплату труда
|
30609,38
|
7677,38
|
22932
|
|
3
|
Амортизация
|
2984,65
|
2286,79
|
697,85
|
|
4
|
Прочие
затраты
|
12361,46
|
12361,46
|
0
|
|
5
|
Затраты
на валовую продукцию
|
73737,02
|
22325,63
|
51411,38
|
|
6
|
Изменение
остатков незавершенного производства
|
1703,19
|
528,58
|
1174,62
|
|
7
|
Изменение
остатков по расходам будущих периодов
|
30
|
30
|
0
|
|
8
|
Производственная
себестоимость товарной продукции
|
71969,80
|
21756,50
|
50213,30
|
|
9
|
Внепроизводственные
(коммерческие) расходы
|
1194,43
|
1194,43
|
0
|
|
10
|
Полная
себестоимость товарной продукции
|
73164,22
|
22950,93
|
50213,30
|
|
11
|
Структура
полной себестоимости товарной продукции, %
|
100
|
31,37
|
68,63
|
Таким образом, плановая себестоимость составила
73164,22 тыс. руб., при этом на постоянные затраты приходится 22950,93 тыс.
руб., а на переменные затраты 50213,30 тыс. руб.
Структура затрат показывает что большая часть
68,63% относится к переменным затратам, т.е. к затратам зависящим от объема
выпуска продукции, меньшая часть относится к постоянным затратам и составляет
31,37%.
Существуют три вида характера производства:
материалоемкое когда большая часть расходов принадлежит материальным расходам;
фондоемким когда большая часть расходов принадлежит расходам на амортизацию,
трудоемкое когда большая часть расходов принадлежит расходам на оплету труда.
Характер производства данного предприятия является трудоемким, т.к. большая
часть расходов принадлежит расходам на оплату труда и составляет 30609,38 тыс.
руб.
. Формирование цены продукции
Цена - денежное выражение стоимости товара.
Существует два подхода к ее определению: затратный и ценностный. Затратный
подход предполагает учет в цене всех произведенных расходов и планируемой
прибыли, а также сумм скидок, косвенных налогов и других наценок [1, с.16].
, (9)
где Сеед - расходы на
производство и реализацию единицы продукции, руб.;
Пред - плановая прибыль,
получаемая от реализации единицы продукции, руб.;
Н (С) - сумма наценок и скидок к
цене, руб.
Ценностный подход основан на понятии
«конкурентной» цены, то есть цены, соответствующей конкурентному уровню цен на
аналогичную продукцию на рынке.
В данной работе используется
затратный подход к ценообразованию. Используя данные таблицы А5 о плановом
объеме выпуска продукции, определили величину расходов на производство и
реализацию единицы продукции по формуле:
, (10)
где Q
- плановый объем выпуска продукции, натур. ед.

- определили из таблицы 6, строка
12 (полная себестоимость товарной продукции). Q -
определили из таблицы А5, строка1 (плановый объем выпуска продукции на год).
Затем выделили постоянную и переменную части в
соответствии с рассчитанной ранее структурой полной себестоимости товарной продукции
(таблица 7 строка 11).
Постоянные затраты = 60,97*31,37/100=19,13 руб.
Переменные затраты = 60,97*68,63/100=41,84 руб.
Следующим шагом определили величину плановой
прибыли, получаемой от реализации единицы продукции. Ее можно определить в
процентном отношении к величине полной себестоимости единицы продукции. Процент
прибыли определяется предприятием самостоятельно в размере, обеспечивающем
конкурентоспособность и прибыльность деятельности. В учебных целях процент
плановой прибыли (Пр%) установлен в задании на курсовую работу по
таблице А5 равен 22%. Расчет следует провести по формуле:
, (11)
Далее определили величину косвенных
налогов (в данном случае НДС по ставке 18%).
(12)
В итоге сформировали цену как сумму полной
себестоимости единицы продукции, плановой прибыли на единицу продукции и НДС по
формуле (9):
Результаты расчетов занесли в таблицу 8.
Таблица 8 - Формирование цены
|
№
|
Наименование
|
Ед.
изм.
|
Сумма
|
|
1
|
Удельные
текущие затраты
|
Руб.
|
60,97
|
|
|
в
том числе
|
|
|
|
|
постоянные
|
Руб.
|
19,13
|
|
|
переменные
|
Руб.
|
41,84
|
|
2
|
Процент
плановой прибыли
|
%
|
22,00
|
|
3
|
Плановая
прибыль, получаемая от реализации единицы продукции
|
Руб.
|
13,41
|
|
4
|
Сумма
НДС
|
Руб.
|
13,39
|
|
5
|
Цена
|
Руб.
|
87,77
|
Таким образом, величина запланированной цены
равна 87,77 руб. При этом величина расходов на производство и реализацию
единицы продукции (удельные текущие затраты) составляют 60,97 руб. Структура
цены состоит из постоянных 19,13 руб. и переменных 41,84 руб., т.е. большая
часть отдается затратам зависящим от объема производства.
затраты прибыль финансы
3. Планирование доходов и прибыли организации
.1 Планирование доходов от реализации продукции
Для определения выручки от реализации продукции
сначала необходимо знать: плановый объем выпуска продукции на год (таблица А5)
= 1200 тыс. шт.; цена в плановом году (из таблицы 8) = 87,77 руб.
Товарный выпуск в плановом году в ценах
реализации определили по формуле:

(13)
Остатки нереализованной готовой
продукции на складе в бухгалтерском учете показывают по производственной
себестоимости, однако в формуле их необходимо учесть в ценах реализации, так же
как учитывается товарный выпуск и планируемые остатки готовой продукции на
конец года. Для этого применили коэффициент пересчета:

(14)
где 
- товарный выпуск в ценах
реализации в 4 квартале отчетного (предшествующего плановому) периода, тыс.
руб.;

- полная себестоимость товарной
продукции в 4 квартале отчетного (предшествующего плановому) периода, тыс. руб.
Величина полной себестоимости
товарной продукции в 4 квартале отчетного года установлена в таблице А5; 
= 22482 тыс. руб.
Товарный выпуск в ценах реализации в
4 квартале отчетного года определили по формуле:

(15)
где 
- цена в отчетном периоде, руб.;

- объем выпуска продукции в 4
квартале отчетного (предшествующего плановому) периода, натур. ед.
Данные об объеме выпуска продукции в
4 квартале отчетного периода в натуральных единицах содержится в таблице А5; 
= 320 тыс. шт.
Цена в отчетном периоде
устанавливается в размере меньшем, чем запланированная на величину -2% по
таблице А5.
Теперь рассчитали коэффициент
пересчета по формуле (14):
Полученное значение коэффициента
пересчета используем для определения величины остатков готовой продукции на
начало планового периода в ценах реализации:

(16)
где 
- остатки готовой продукции на
складе на начало планового периода по производственной себестоимости, тыс. руб.
Данная величина установлена в
таблице А5;
= 3222 тыс. руб.
Остаток готовой продукции на складе
на конец года в ценах реализации определили по формуле:

(17)
где 
- период времени хранения готовой
продукции на складе, дни.
Данную величину определили в таблице
А5; 
=12 дней.
Плановую выручку от реализации
продукции определили с учетом запланированного объема производства и остатков
нереализованной готовой продукции на складе. Расчет произвели в ценах
реализации по формуле:
, (18)
где Тпл - товарный выпуск
в плановом году в ценах реализации, тыс. руб.;
- остатки готовой продукции на
складе на начало и конец планового периода в ценах реализации, тыс. руб.
В дальнейших расчетах при
формировании сметы доходов и расходов используется значение выручки-нетто, то
есть выручки от реализации продукции без учета начисленного НДС. Для
определения величины начисленного НДС применили расчетный метод исчисления НДС:
, (19)
Рассчитали выручку-нетто от
реализации в плановом году: 105809,21-16140,39=89668,83 тыс. руб.
Результаты расчетов отразили в
таблице 9.
Таблица 9 - Смета продаж
|
№
|
Наименование
|
Ед.
изм.
|
Сумма
|
|
1
|
Плановый
объем выпуска продукции на год
|
Тыс.
шт. (тыс. м3)
|
1200,00
|
|
2
|
Цена
в плановом году
|
Руб.
|
87,77
|
|
3
|
Остаток
готовой продукции на складе на начало года в ценах реализации
|
Тыс.
руб.
|
3944,81
|
|
4
|
Планируемый
остаток готовой продукции на конец года в ценах реализации
|
Тыс.
руб.
|
3462,81
|
|
5
|
Товарный
выпуск в ценах реализации в плановом году
|
Тыс.
руб.
|
105327,22
|
|
6
|
Выручка
от реализации в плановом году
|
Тыс.
руб.
|
105809,21
|
|
7
|
в
том числе НДС начисленный
|
Тыс.
руб.
|
16140,39
|
|
8
|
Выручка-нетто
от реализации в плановом году
|
Тыс.
руб.
|
89668,83
|
Таким образом, величина выручки-нетто от
реализации выручки в плановом году составила 89668,83 тыс. руб.
При этом остаток готовой продукции на складе на
начало года в ценах реализации равен 3944,81 тыс. руб., а планируемый остаток
готовой продукции на конец года в ценах реализации равен 3462,81 тыс. руб.,
т.е. на 482 тыс. руб. меньше.
Предприятие изготовит товарный выпуск в ценах
реализации в плановом году на 105327,22 тыс. руб. и получит выручку от
реализации в плановом году в размере 105809,21 тыс. руб.
.2 Планирование прибыли и ее распределения
Расчет плановой прибыли осуществляется на основе
составления сметы доходов и расходов, в которой учитываются все полученные
предприятием доходы от реализации продукции и произведенные расходы за
определенный период. Смета доходов и расходов позволяет составить прогноз всех
прибыльных операций предприятия и проследить влияние на него ранее составленных
смет [1, с.22].
Формируется смета доходов и расходов на основе
результатов, полученных в смете продаж (Таблица 9) и в смете расходов на
производство и реализацию продукции (Таблица 6).
При расчете прибыли учитывается выручка-нетто,
то есть выручка без налога на добавленную стоимость, из таблицы 9 равно
89668,83 тыс. руб.
Полная себестоимость реализованной продукции из
таблицы 6 равно 73164,22 тыс. руб.
Далее рассчитали прибыль (убыток) от продаж,
который определили как разница между выручкой-нетто и полной себестоимостью
реализованной продукции.
(20)
Затем рассчитали балансовую прибыль
(убыток), которая учитывает результаты внереализационной (внепроизводственной,
операционной, финансовой) деятельности.
, (21)
где %пол, %упл
- соответственно проценты, полученные и уплаченные организацией за плановый
период, тыс. руб.;
Дпр, Рпр -
прочие (внереализационные) доходы и расходы соответственно, тыс. руб.
Для определения величины прочих
доходов и расходов воспользовались исходными данными которые приведены в
Таблице А6.
Прочие (внереализационные) доходы =
523,2+102,3+521,26+1240+125 = 2511,76 тыс. руб.
Прочие (внереализационные) расходы =
142,1+322,2+95,36+123+62,65 = 745,31 тыс. руб.
Полученные результаты подставили в
формулу (21) для расчета балансовой прибыли (убытка) (прибыль до
налогообложения):
Основным результативным показателем
является чистая прибыль (убыток), которую определили как разница между
балансовой прибылью и текущим налогом на прибыль.

(22)
Сумму налога на прибыль рассчитали
по ставке 20% от величины балансовой прибыли. Налог на прибыль =
18271,05*20/100=3654,21 тыс. руб.
При наличии убытка его величина
указывается по строке 8 Таблицы 9 и переносится в строку 10, а по строке 9
ставится прочерк, т.к. налог на прибыль организаций не уплачивается с убытка.
Но в данных расчетах убытка нет. Поэтому чистую прибыль рассчитали по формуле
(22):
Полученные результаты занесли в таблицу 10.
Таблица 10 - Смета доходов и расходов на
плановый год, тыс. руб.
|
№
|
Наименование
показателя
|
Значение
показателя
|
|
1
|
Выручка
от реализации, без учета НДС
|
89668,83
|
|
2
|
Полная
себестоимость реализованной продукции
|
73164,22
|
|
3
|
Прибыль
(убыток) от продаж
|
16504,60
|
|
4
|
Процент
к получению
|
0,00
|
|
5
|
Процент
к уплате
|
0,00
|
|
6
|
Прочие
(внереализационные) доходы
|
2511,76
|
|
7
|
Прочие
(внереализационные) расходы
|
745,31
|
|
8
|
Балансовая
прибыль (убыток) (прибыль до налогообложения)
|
18271,05
|
|
9
|
Налог
на прибыль
|
3654,21
|
|
10
|
Чистая
прибыль (убыток)
|
14616,84
|
Запланированная таким образом чистая прибыль
подлежит распределению на предприятии в соответствии с выбранной учетной
политикой. В данной работе распределению подлежит 80% чистой прибыли (пропорции
установлены в Таблице 11). Оставшиеся 20% - нераспределенная прибыль в плановом
году.
Таблица 11 - Нормативы распределения чистой
прибыли
|
Направления
распределения
|
Норматив
отчислений, %
|
|
1
|
Дивиденды
|
25
|
|
2
|
Инвестиции
|
35
|
|
3
|
Социальное
потребление
|
15
|
|
4
|
Резерв
|
5
|
В целях финансового планирования необходимо
определить величину дивиденда на одну акцию. Акционерное общество имеет право
выпуска двух видов акций: обыкновенных и привилегированных. При этом количество
привилегированных не должно превышать 25% от общего числа выпущенных акций.
Общее количество акций из таблицы А7 равно 1200
шт. В том числе обыкновенных должно быть 90 % от общего количества =
1220*90/100=1098 шт. Привилегированных акций должно быть 10% от общего
количества = 1220*10/100 = 122 шт.
Часть чистой прибыли, направляемая на выплату
дивидендов равна: 0,8*14616,84*0,25=2923,37 руб.
Номинальная стоимость акции из таблицы А7 равна
120 руб. Фиксированная ставка дивиденда по привилегированным акциям из таблицы
А7 равна 0,2%.
Дивиденды по привилегированным акциям
выплачиваются в размере, рассчитанном по фиксированному проценту от номинала
акций.
, (23)
где N -
номинальная стоимость акции, руб.;
f -
фиксированная ставка дивиденда по привилегированным акциям.
Общая сумма дивидендов по
привилегированным акциям определяется как произведение фиксированного дивиденда
на количество привилегированных акций:
, (24)
где Мприв - количество
привилегированных акций, шт.
Оставшаяся после выплаты дивидендов
по привилегированным акциям сумма денежных средств направляется на выплату
дивидендов по обыкновенным акциям.
, (25)
где ЧПрдив - часть чистой
прибыли, направляемая на выплату дивидендов, руб.
Мобык - количество
обыкновенных акций, шт.
Результаты расчетов представили в
таблице 12.
Таблица 12 - Расчет дивиденда на
одну акцию
|
№
|
Наименование
|
Ед.
изм.
|
Значение
|
|
1
|
Общее
количество акций, в том числе:
|
Шт.
|
1220,00
|
|
|
обыкновенных
(90 % от общего кол-ва)
|
|
1098,00
|
|
|
привилегированных
(10 % от общего кол-ва)
|
|
122,00
|
|
2
|
Часть
чистой прибыли, направляемая на выплату дивидендов
|
Руб.
|
2923,37
|
|
3
|
Руб.
|
120,00
|
|
4
|
Фиксированная
ставка дивиденда по привилегированным акциям
|
%
|
0,20
|
|
5
|
Сумма
дивиденда на 1 привилегированную акцию
|
Руб.
|
0,24
|
|
6
|
Сумма
дивиденда на 1 обыкновенную акцию
|
Руб.
|
2,63
|
Таким образом, величина запланированной чистой
прибыли равна 14616,84 тыс. руб. Прочие (внереализационные) доходы равны
2511,76 тыс. руб., а прочие (внереализационные) расходы составляют 745,31 тыс.
руб.
Балансовая прибыль (убыток), которая учитывает
результаты внереализационной деятельности, составила 18271,05 тыс. руб.
Также предприятие часть чистой прибыли,
направляет на выплату дивидендов в размере 2923,37 руб.
.3 Определение критического объема выпуска
продукции
Заключительным этапом при расчете основных
финансовых показателей и планировании деятельности организации является
определение безубыточного объема выпуска продукции, то есть проведение анализа
безубыточности. Суть данного метода заключается в определении критического
объема продукции - такого объема реализации продукции, который дает возможность
предприятию покрыть все расходы и выйти на нулевой уровень прибыли [1, с.26].
В данной работе необходимо рассмотреть 3
варианта формирования прибыли: первый вариант - плановые значения в основных
финансовых показателей, рассчитанные в ходе курсовой работы; второй - при
увеличении переменных затрат на 10%; третий - при снижении переменных затрат на
8%. Величина выручки, полной себестоимости и прибыли при этом остается на
уровне плановых значений.
Выручка от реализации из таблицы 9 равна
105809,21 тыс. руб.
Переменные затраты из таблицы 7 равны 50213,30
тыс. руб. Значение при увеличении на 10%: 50213,30*10*100+50213,30=55234,63
тыс. руб.; при уменьшении на 8%: 50213,30-(50213,30*8/100)=46196,2 тыс. руб.
Разница между ценой и переменными затратами на
единицу продукции представляет собой маржинальную прибыль на единицу продукции
- важный показатель, характеризующий структуру затрат. Величина маржинальной
прибыли показывает, какая доля в объеме продаж может быть использована на
покрытие постоянных затрат и формирование прибыли. Маржинальную прибыль на весь
выпуск продукции определили как разница между выручкой от реализации и
переменными затратами: 105809,21-50213,30=55595,92 тыс. руб. Значение при
увеличении на 10%: 105809,21-55234,63=50574,59 тыс. руб.; при уменьшении на 8%:
105809,21-46196,23=59612,98 тыс. руб.
Постоянные затраты из таблицы 7 равны 22950,93
тыс. руб. Полная себестоимость из таблицы 7 равна 73164,22 тыс. руб. Значение
постоянных затрат при увеличении на 10%: 73164,22-55234,63=17929,60 тыс. руб.;
при уменьшении на 8%: 73164,22-46196,23=26967,99 тыс. руб.
Прибыль от продаж из таблицы 10 равна 16504,60
тыс. руб.
Критический объем выпуска продукции в
натуральных единицах измерения определили по формуле:

(26)
где 
- постоянные затраты на весь объем
выпуска, тыс. руб.;

- переменные затраты на единицу
продукции, тыс. руб.
Величина постоянных затрат в составе
полной себестоимости товарной продукции из таблицы 7, переменные затраты на
единицу продукции и цена в таблице 8.
Значение при увеличении на 10%:
17929,60/(87,77-1,1*41,84)=429,51 нат. ед.; при уменьшении на 8%:
26967,99/(87,77-0,92*41,84)=547,29 нат. ед.
Критический объем выпуска продукции в денежном
выражении определили по формуле:

(27)
Значение при увеличении на 10%:
17929,60/(1-1,1*41,84/87,77)=39699,68 тыс. руб.; при уменьшении на 8%:
26967,99/(1-0,92*41,84/87,77)=48036,80 тыс. руб.
На основе маржинальной прибыли можно
дать количественную оценку чувствительности прибыли к изменению объема
реализации с помощью операционного рычага:

(28)
Значение при увеличении на 10%:
50574,59/16504,60=3,06; при уменьшении на 8%: 59612,98/16504,60=3,61.
Операционный рычаг показывает, на
сколько процентов измениться прибыль при изменении выручки на 1%. Такой рычаг
связан с уровнем предпринимательского риска: чем выше рычаг, тем выше риск.
Сила воздействия операционного рычага зависит от структуры затрат в составе
себестоимости реализованной продукции, то есть от соотношения переменных и
постоянных затрат. Высокий уровень операционного рычага складывается при
высокой доле постоянных и низкой доле переменных затрат. При обратном
соотношении затрат уровень операционного рычага более низкий.
Разница между реальным и критическим
объемами выпуска продукции позволяет определить запас финансовой прочности,
который показывает, насколько может сократиться объем продаж, прежде чем
предприятие начнет нести убытки:

(29)
Значение при увеличении на 10%:
(105809,21-37699,68)/105809,21*100 = 64,37%; при уменьшении на 8%:
(105809,21-48036,80)/105809,21*100=54,60%.
Результаты расчетов занесли в
таблицу 13.
Таблица 13 - Анализ безубыточности и
расчет операционного рычага
|
№
|
Наименование
показателей
|
Плановые
Значения
|
Значения
при увеличении переменных затрат
|
Значения
при уменьшении переменных затрат
|
|
1
|
Выручка
от реализации, тыс. руб.
|
105809,21
|
105809,21
|
105809,21
|
|
2
|
Переменные
затраты, тыс. руб.
|
50213,30
|
55234,63
|
46196,2
|
|
3
|
Маржинальная
прибыль, тыс. руб.
|
55595,92
|
50574,59
|
59612,98
|
|
4
|
Постоянные
затраты, тыс. руб.
|
22950,93
|
17929,60
|
26967,99
|
|
5
|
Полная
себестоимость, тыс. руб.
|
73164,22
|
73164,22
|
73164,22
|
|
6
|
Прибыль
от продаж, тыс. руб.
|
16504,60
|
16504,60
|
16504,60
|
|
7
|
Критический
объем выпуска, нат. ед.
|
499,71
|
429,51
|
547,29
|
|
8
|
Критический
объем выпуска, тыс. руб.
|
43861,10282
|
37699,68
|
48036,80
|
|
9
|
Операционный
рычаг
|
3,37
|
3,06
|
3,61
|
|
10
|
Запас
финансовой прочности, %
|
58,55
|
64,37
|
54,60
|
Таким образом, критический объем реализации
499,71 нат. ед. и 43861,10280 тыс. руб. даст возможность предприятию покрыть
все расходы и выйти на нулевой уровень прибыли. Объем продаж сократится на
58,55%.
При увеличении на 10%, критический объем
снизится до 429,51 нат. ед. и 37699,68 тыс. руб.; запас финансовой прочности
станет 64,37%, т.е. предприятие больше теряет. При уменьшении на 8%,
критический объем увеличился до 547,29 нат. ед. и 48036,80 тыс. руб.; объем
продаж составит 54,60%, т.е. предприятие теряет меньше.
Значение операционного рычага при плановом
значении составляет 3,37, т.е. рычаг низкий значит предпринимательский риск
тоже низкий. При увеличении на 10%, операционный рычаг стал еще меньше 3,06,
т.е. настолько измениться прибыль предприятия. При уменьшении на 8%,
операционный рычаг увеличился до 3,61, т.е. прибыль тоже возросла.
4. Расчет потребности в оборотных средствах и
определение источников ее финансирования
Расчет потребности в оборотных средствах может
привести к изменению размера оборотных средств по сравнению с предыдущим
периодом. Эти изменения показывают прирост или снижение размера оборотных
средств на конец периода по сравнению с началом. Прирост оборотных средств
требует дополнительных источников финансирования.
Процедура планирования включает расчеты по
нормируемым видам оборотных средств на начало и конец периода: производственных
запасов, затрат в незавершенном производстве, готовой продукции на складе,
расходов будущих периодов [1, с.29].
Норматив производственных запасов рассчитали
отдельно для затрат по статье «Приобретение сырья» и по статье «Приобретение
ГСМ», сумма которых составит общую величину норматива производственных запасов:

(30)
Для расчета норматива производственных
запасов на конец планового периода использовали значения по статьям «Сырье и
материалы» и «Топливо и энергия на технологические нужды», рассчитанные на
плановый год. Для расчета норматива на начало года - значения по указанным
статьям из таблиц А4 (данные за 4 квартал отчетного года).
Норматив производственных запасов
состоит из текущего (ТЗ), страхового (СЗ), технологического (ТехЗ) и
транспортного (ТрП) запасов:

(31)
Текущий запас определяется по
формуле:

(32)
где 
- среднесуточный расход
материальных ресурсов, тыс. руб.;

- интервал поставок материальных
ресурсов, дни.
Интервал поставок из таблицы 14.
Таблица 14 - Исходные данные для
расчета потребности в оборотных средствах
|
Наименование
статьи затрат
|
Интервал
поставок, дни
|
Разница
между фактическим и плановым интервалом поставок, дни
|
Коэффициент
технологичности
|
|
Приобретение
сырья
|
12
|
3
|
0,42
|
|
Приобретение
ГСМ
|
3
|
2
|
-
|
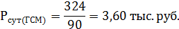
Среднесуточный расход рассчитали как отношение
затрат по статье «Приобретение сырья» («Приобретение ГСМ») к числу календарных
дней в периоде (при расчете на начало года принять в расчет 90 дней, так как в
Таблице А4 приведены значения за квартал; при расчете на конец года - 365
дней).
На начало года:
На конец года:
На начало года текущий запас по формуле (32):
На конец года текущий запас:
Страховой запас создается во избежание
несвоевременного поступления материала и рассчитали по формуле:

(33)
где 
- соответственно фактический и
плановый интервал поставок материальных ресурсов, дни.
Разница между фактическим и плановым
значением из таблицы 14.
На начало года страховой запас:
На конец года страховой запас:
В тех случаях, когда нарушения в
поставках связаны с транспортировкой материала, создается транспортный запас,
включающий оборотные средства, отвлекаемые со дня оплаты счета поставщика до
прибытия груза на склад. Рассчитывается транспортный запас аналогично
страховому. В данной курсовой работе принимается условие, что нарушения в сроках
поставок материала по причинам, связанным с транспортировкой, отсутствуют.
Технологический запас создается в
том случае, когда поступающие материальные ресурсы не отвечают требованиям
технологического процесса и до запуска в производство должны пройти соответствующую
обработку.

(34)
где 
- коэффициент технологичности
материала.
В данной курсовой работе технологический
запас формируется только по затратам на приобретение сырья (исходные данные для
расчета содержатся в Таблице 14).
На начало года технологический
запас:
На конец года технологический запас:
Рассчитали норматив производственных
запасов по формуле (31) на начало года:
Определили норматив производственных
запасов по формуле (31) на конец года:
Норматив производственных запасов на
начало планируемого периода рассчитали по формуле (30):

Норматив производственных запасов на
конец планируемого года рассчитали:
Изменение норматива:
185,56-40,60=144,96 тыс. руб.
Незавершенное производство норматив
на начало планируемого периода из Таблицы А4: 123+324+820+246+227+783=2523 тыс.
руб. Незавершенное производство норматив на конец планируемого года из Таблицы
6: НЗПк = 4260,23 тыс. руб. Изменение норматива: 42,60-2523=1737,23 тыс. руб.
Расходы будущих периодов норматив на
начало планируемого периода из Таблицы А4: 42 тыс. руб. Расходы будущих
периодов норматив на конец планируемого года из Таблицы А4: 72 тыс. руб.
Изменение норматива:72-42=30 тыс. руб.
Норматив готовой продукции на начало
планируемого периода приведен в Таблице А5: 3222 тыс. руб. Норматив готовой
продукции по производственной себестоимости на конец периода рассчитали по
формуле:

(35)
где 
- время от начала поступления
готовой продукции на склад до отгрузки покупателю, дни.
Время от начала поступления готовой
продукции на склад до отгрузки покупателю из таблицы А5: 12 дней.
Изменение норматива: 2424,23-3222=-797,77
тыс. руб.
Общую величину потребности в
оборотных средствах на начало и конец планового периода рассчитали как сумму
нормативов затрат в производственных запасах, незавершенном производстве,
готовой продукции и расходах будущих периодов. Норматив на начало планируемого
периода: 40,60+2523+42+3222=5827,60 тыс. руб. На конец планируемого года:
185,56+4260,23+72+2424,23=6942,02 тыс. руб. Общее изменение потребности
определили как разницу между потребностью на конец и начало планируемого
периода: 6942,02-5827,60=1114,42 тыс. руб.
Если результат получается отрицательным, то это
говорит о снижении потребности в оборотных средствах, если положительным, то -
об ее приросте. В данной работе изменение норматива получилось положительным,
следовательно, необходимо дополнительное финансирование прироста потребности.
Следующим шагом определили источники
финансирования прироста потребности в оборотных средствах. Источники
подразделяются на собственные, заемные и привлеченные. К собственным источникам
финансирования потребности в оборотных средствах относят нераспределенную
прибыль, к заемным - краткосрочные кредиты банков, к привлеченным -
кредиторскую задолженность в части устойчивых пассивов.
Устойчивые пассивы - кредиторская задолженность,
находящаяся в распоряжении предприятия постоянно. К ней относятся переходящая
задолженность по заработной плате с отчислениями, резерв предстоящих платежей и
расходов и т.д.
В данной курсовой работе имеется только
задолженность по заработной плате с отчислениями на нее. В состав устойчивых
пассивов включается минимальная задолженность по заработной плате с
отчислениями, рассчитываемая исходя из условий, что выплата заработка на
предприятии осуществляется в конкретное число каждого месяца: 20 числа.
Величину минимальной задолженности работникам по
заработной плате определили по формуле:

(36)
где 
- минимальная задолженность по
заработной плате, тыс. руб.;

- планируемый на год фонд оплаты
труда, тыс. руб.;

- количество дней с начала месяца
до дня выдачи заработной платы;

- период планирования, дни (365).
Аналогично рассчитали сумму
минимальной задолженности по отчислениям заработной платы во внебюджетные
фонды:
В таблицу 15 в строку 6.1 внесли
нераспределенную прибыль, которую рассчитали из таблицы 10 (чистая прибыль):
0,2*14616,84=2923,37 тыс. руб.
Устойчивые пассивы определили как
сумму минимальной задолженности работникам по заработной плате и минимальной
задолженности по отчислениям заработной платы во внебюджетные фонды:
1290,17+387,05=1677,23 тыс. руб.
К заемным источникам финансирования
прибегают в том случае, если суммы средств из собственных и привлеченных
источников недостаточно для полного покрытия прироста потребности [1, с.33].
Для того чтобы принять решение использовали следующий алгоритм:
1. Определили сумму средств из собственных
и привлеченных источников (значение по строке 6.1 + значение по строке 6.2
Таблицы 15): 2923,37+1677,23=4600,59 тыс. руб.;
. Полученный результат сравнили со
значением по строке 5 Таблицы 15:
а) если значение по строке 5 ≤ (значение
по строке 6.1 + значение по строке 6.2 Таблицы 15), то прирост потребности
покрывается полностью за счет собственных и привлеченных источников, т.е.
1114,42≤4600,59;
б) если значение по строке 5 > (значение по
строке 6.1 + значение по строке 6.2 Таблицы 15), то необходимо использование
заемных средств.
. В случае ситуации б) п. 2 алгоритма
рассчитывается величина необходимого краткосрочного кредита в объеме превышения
прироста потребности над суммой собственных и привлеченных источников
финансирования.

(37)
где 
- прирост потребности в оборотных,
тыс. руб.;

- нераспределенная прибыль в
плановом году, тыс. руб.;

- устойчивые пассивы на конец
планового года, тыс. руб.
Если значение краткосрочных кредитов
отрицательное, то потребности в них нет (показатель принимаем равным нулю),
т.е. в строку 6.3 краткосрочные кредиты банков вписали ноль.
Результаты расчетов отразили в таблице 15.
Таблица 15 - Расчет изменения потребности в
оборотных средствах и источниках ее финансирования, тыс. руб.
|
№
|
Виды
нормируемых оборотных активов
|
Норматив
на начало планируемого периода
|
Норматив
на конец планируемого года
|
Изменение
норматива
|
|
1
|
Производственные
запасы
|
40,60
|
185,56
|
144,96
|
|
2
|
Незавершенное
производство
|
2523
|
4260,23
|
1737,23
|
|
3
|
Расходы
будущих периодов
|
42
|
72
|
30
|
|
4
|
Готовая
продукция
|
3222
|
2424,23
|
-797,77
|
|
5
|
Итого
потребность
|
5827,60
|
6942,02
|
1114,42
|
|
6
|
Источники
финансирования прироста потребности:
|
|
|
6,1
|
Нераспределенная
прибыль
|
|
|
2923,37
|
|
6,2
|
Устойчивые
пассивы
|
|
|
1677,23
|
|
6,3
|
Краткосрочные
кредиты банков
|
|
|
0
|
Таким образом, величина собственного и
привлеченного капитала находятся в размере 4600,59 тыс. руб., что достаточно
для полного покрытия прироста потребности. Также нет необходимости в
краткосрочном кредите, т.к. все покрывают собственный и привлеченный капитал.
Заключение
В данной курсовой работе определены основные
финансовые показатели деятельности предприятия легкой промышленности ОАО
«Ангара».
Характер производства данного предприятия
является трудоемким, т.к. большая часть расходов принадлежит расходам на оплату
труда и составляет 30609,38 тыс. руб.
Прибыль составила 14616,84 тыс. руб., выручка
равна 89668,83 тыс. руб. и себестоимость равна 73164,22 тыс. руб. Произвели
распределение прибыли и рассчитали выплату дивидендов по обычным и
привилегированным акциям.
Произвели расчет цены: 87,77 руб. Рассчитали
запас финансовой прочности 58,55,% насколько может сократиться объем продаж,
прежде чем предприятие начнет нести убытки.
Операционный рычаг составил 3,37, это говорит о
том, что невысокая степень риска и о нормальной чувствительности прибыли к
изменениям выручки.
Таким образом, величина собственного и
привлеченного капитала находятся в размере 4600,59 тыс. руб., что достаточно
для полного покрытия прироста потребности. Также нет необходимости в
краткосрочном кредите, т.к. все покрывают собственный и привлеченный капитал.
Список использованных источников
1 Определение основных финансовых
показателей деятельности коммерческой организации: методические указания по
выполнению курсовой работы / Т.А. Моргунова. - Братск: ФГБОУ ВПО БрГУ, 2011. -
48 с.
Экономика предприятия : учеб.
пособие / И.Г. Трофимова, С.В. Еськова. - Братск : ГОУ ВПО «БрГУ», 2011. - 160
с.
Каверзина, Л. А. Ценообразование:
учебное пособие. - 2-е изд., перераб. и доп. / Л. А. Каверзина. - Братск: ГОУ
ВПО «БрГУ», 2006. - 143 с.
ФЗ «Налоговый кодекс Российской
Федерации (часть вторая)» от 05.08.2000 №117-ФЗ (ред. от 19.07.2011). - СПС
Консультант Плюс.
Пенсионный Фонд Российской Федерации
http://www.pfrf.ru/
Бочаров В.В. Корпоративные финансы:
Учебное пособие / В.В. Бочаров.-СПб.: Питер, 2008. - 272 с.
Бурмистрова Л.М. Финансы организаций
(предприятий): Учеб. Пособие.- М.: ИНФРА-М, 2007.-240с.
Мазурина Т.Ю. Финансы организаций
(предприятий): Учеб. пособие/ Т.Ю. Мазурина.- М.: РИОР, 2007.- 140с.
Гаврилова А.Н. Финансы организаций
(предприятий): учебное пособие / А.Н. Гаврилова, А.А. Попов. - 2-е изд, стер.-
М.: КНОРУС, 2006. - 576 с.
Ковалев В.В. Корпоративные финансы и
учет. Понятия, алгоритмы, показатели: Учебное пособие / В.В. Ковалев, Вит.В.
Ковалев. - М.: Проспект, КноРус, 2010.- 768с.
Приложение А
Предприятие легкой промышленности ОАО «Ангара»
Таблица А1 - Исходные данные для составления
расходных смет
|
№
|
Наименование
статьи затрат
|
Сумма
за отчетный год, тыс. руб.
|
Планируемое
изменение за год, %
|
|
1
|
2
|
3
|
4
|
|
1
|
Арендные
платежи
|
892
|
+7
|
|
2
|
Приобретение
ГСМ
|
2620
|
+9,5
|
|
3
|
Транспортные
и экспедиторские услуги
|
1225
|
+12
|
|
4
|
Доставка
готовой продукции
|
652
|
+9,5
|
|
5
|
Приобретение
сырья
|
2827
|
+3,8
|
|
6
|
Командировочные
расходы
|
824
|
+5
|
|
7
|
Расходы
на лицензирование и сертификацию
|
320
|
+3,2
|
|
8
|
Расходы
на пожарную и сторожевую охрану
|
420
|
-4,8
|
|
9
|
Энергоресурсы
на технологические нужды
|
8230
|
+4
|
|
10
|
Энергоресурсы
на освещение, вентиляцию
|
3124
|
+3,7
|
|
11
|
Услуги
связи
|
2422
|
-1,5
|
|
12
|
Приобретение
запасных частей для транспортных средств
|
2020
|
+14
|
|
13
|
Налоги
(земельный, транспортный, на имущество организаций)
|
982
|
+0,2
|
|
14
|
Расходы
на канцтовары
|
72
|
+1,5
|
|
15
|
Приобретение
оргтехники
|
152
|
+13
|
|
16
|
Расходы
на рекламу
|
122
|
-10
|
|
17
|
5280
|
+8
|
|
18
|
Расходы
на ремонт и содержание зданий
|
2222
|
+4
|
|
19
|
Приобретение
стройматериалов
|
2628
|
+3,8
|
|
20
|
Хозяйственные
расходы
|
242
|
-8
|
|
21
|
Представительские
расходы на урегулирование отношений с органами контроля
|
482
|
-12
|
|
22
|
Потери
в пределах норм
|
1426
|
-7
|
|
23
|
Возвратные
отходы
|
12
|
+2
|
|
24
|
Страхование
готовой продукции
|
362
|
+2,4
|
Таблица А2 - Исходные данные для расчета сумм
амортизационных отчислений на планируемый период
|
Амортизационная
группа
|
Первоначальная
стоимость основных средств (нематериальных активов), тыс. руб.
|
Остаточная
стоимость основных средств (нематериальных активов) на начало планируемого
периода, тыс. руб.
|
|
1
|
42
|
12
|
|
2
|
132
|
82
|
|
3
|
82
|
52
|
|
4
|
2272
|
1622
|
|
5
|
862
|
462
|
|
6
|
1265
|
228
|
|
7
|
2427
|
1722
|
|
8
|
12384
|
2983
|
|
9
|
41223
|
38273
|
|
10
|
12520
|
10222
|
Таблица А3 - Исходные данные для составления
сметы расходов на оплату труда с отчислениями на социальные нужды
|
№
|
Наименование
показателей
|
Значение
|
|
1
|
Планируемая
среднесписочная численность рабочих, чел.
|
120
|
|
2
|
Планируемый
размер заработной платы 1 рабочего в месяц, тыс. руб.
|
12,25
|
|
3
|
Планируемая
среднесписочная численность работников из числа АУП, чел.
|
22
|
|
4
|
Планируемый
размер заработной платы 1 работника из числа АУП в месяц, тыс. руб.
|
22,37
|
Таблица А4 - Исходные данные для оценки затрат в
незавершенном производстве на начало планового периода и расчета изменения
величины расходов будущих период за плановый период
|
№
|
Наименование
показателей
|
Значение
|
|
1
|
Сырье
и материалы, тыс. руб.
|
123
|
|
2
|
Топливо
и энергия на технологические нужды, тыс. руб.
|
324
|
|
3
|
Заработная
плата производственных рабочих, тыс. руб.
|
820
|
|
4
|
Страховые
взносы во внебюджетные фонды от заработной платы производственных рабочих,
тыс. руб.
|
246,00
|
|
5
|
Расходы
на содержание и эксплуатацию оборудования, тыс. руб.
|
227
|
|
6
|
Общепроизводственные
расходы (45% от прямых затрат), тыс. руб.
|
783
|
|
7
|
Стоимость
незавершенного производства, тыс. руб.
|
2523
|
|
8
|
Длительность
производственного цикла, дни
|
28
|
|
9
|
Остатки
по счету «Расходы будущих периодов» на начало планируемого периода, тыс. руб.
|
42
|
|
10
|
Остатки
по счету «Расходы будущих периодов» на конец планируемого года, тыс. руб.
|
72
|
Таблица А5 - Исходные данные к расчету цены и
выручки от реализации продукции
|
№
|
Наименование
|
Ед.
изм.
|
Значение
|
|
1
|
Плановый
объем выпуска продукции на год
|
Тыс.
шт.
|
1200
|
|
2
|
Объем
выпуска продукции в 4 кв. отчетного года
|
Тыс.
шт.
|
320
|
|
3
|
Цена
в отчетном году
|
%
|
-2
|
|
4
|
Полная
себестоимость выпуска продукции в 4 квартале отчетного года
|
Тыс.
руб.
|
22482
|
|
5
|
Остаток
готовой продукции на складе на начало года по производственной себестоимости
|
Тыс.
руб.
|
3222
|
|
6
|
Период
времени от начала поступления готовой продукции на склад до отгрузки
покупателю
|
Дни
|
12
|
|
7
|
Процент
плановой прибыли
|
%
|
22
|
Таблица А6 - Исходные данные для формирования
сметы прочих (внереализационных) доходов и расходов, тыс. руб.
|
№
|
Наименование
показателей
|
Сумма
|
|
1
|
Доходы
от ценных бумаг
|
523,2
|
|
2
|
Доходы
от долевого участия в деятельности других организаций
|
102,3
|
|
3
|
Доходы
от реализации имущества
|
521,26
|
|
4
|
Поступления
от аренды
|
1240
|
|
5
|
Расходы
по ценным бумагам
|
142,1
|
|
6
|
Имущество,
полученное по договору дарения
|
125
|
|
7
|
Судебные
издержки и арбитражные расходы
|
322,2
|
|
8
|
Пени,
штрафы, неустойки за нарушение хоз. договоров.
|
95,36
|
|
9
|
Расходы
на формирование резервов по сомнительным долгам
|
123
|
|
10
|
Убытки
от хищений
|
62,65
|
Таблица А7 - Исходные данные для расчета
дивидендов
|
№
|
Наименование
|
Значение
|
|
1
|
Количество
акций, шт.
|
1220
|
|
2
|
Номинал
акции, руб.
|
120
|
|
3
|
Фиксированная
ставка дивиденда по привилегированным акциям, %
|
0,2
|