Зависимость ценообразования опционов
Содержание
Введение
Основная
часть
История
и актуальность выдвинутых проблем
Обзор
литературы
Данные
Опционы
и фьючерсы
Сентименты
Объект
исследования
Улыбка
волатильности
Скошенность
распределения
Вычисление
скошенности для валютных оцпионов
Результаты
Скошенность
распределения
Улыбка
волатильности
Заключение
Список
литературы
Приложение
Введение
Опционы являются относительно новым финансовым
инструментом, который, однако, очень стремительно стал популярным среди
инвесторов по всему миру. Так, например, в 2000 году объем торгов мирового
рынка опционов, которым на тот момент было около 30 лет, превысил по этому же
показателю рынок фьючерсов, которые торгуются с 1848 г. Все это привело к
острой потребности в моделях анализа цен и тенденций на рынке опционов.
Одновременно с этим было понятно, что модель
созданная Фишером Блэком и Майроном Шоулзом в 1973 году не может идеально
объяснить ценообразование опционов. Появлялось все больше исследований,
находивших аномалии на рынке опционов, которые не могли быть объяснены
существующими моделями. Безусловно, наука не стояла на месте и появлялось все
больше концепций и моделей для объяснения реальных цен опционов. В их число
входят модификации модели Блэка-Шоулза для различных видов стохастической
волатильности базового актива, модель Heston
(1993), где распределение базового актива не является нормальным. Однако на
данный момент, ни одна модель, предпосылкой которой является полная
рациональность инвесторов, не может полностью объяснить все закономерности
рынка опционов. Кроме того, появилось довольно много исследований, доказывающих
наличие поведенческих отклонений инвесторов, смещающих цены от их справедливых
значений.
Логично, что наличие подобных аномалий привлекли
внимание различные школы поведенческих финансов, целью которых является
изучение влияния психологии и поведения инвесторов на финансовые рынки. Однако,
в отличие от акций, изучение которых продолжается уже на протяжении более веке,
опционы к настоящему времени все еще изучены значительно хуже. Одной из причин
этому может служить необходимость намного более сложного математического
аппарата для изучения рынка опционов, ведь даже самая простая формула для цены
европейского опциона колл требует знания теории вероятности и математического
анализа.
За последние десятилетие появилось множество
работ, исследующих аномалии на рынке опционов. Однако большинство из них
связано с опционами на крупнейшие индексы акций такими как S&P
500, например Han (2008).
Валютные же опционы или опционы на биржевые товары, такие как нефть или зерно,
исследованы не были. Кроме того, исследованиям почти не подвергались опционы,
торгуемые не на американских биржах. Таким образом, в настоящее время
существует пробел в поведенческих финансах связанных с опционами.
В данной работе я попытаюсь заполнить данный
пробел. Объектом моего исследования является цены и другие параметры валютных
опционов. В частности, я исследую опционы на курс рубль-доллар, торгуемые на
московской бирже. Целью моего исследования является нахождение поведенческих
аномалий и закономерностей, вызванных этими аномалиями, данных опционов. В
исследовании были использованы данные с 2010 по 2015 годы.
Для того, чтобы достигнуть данной цели мне
необходимо, во первых, вычленить и выразить эмпирически отклонения в ценах опционов,
вызванных поведенческими паттернами инвесторов. Кроме того, необходимо найти
параметр, который бы служил хорошим измерителем настроений в поведении
инвесторов в данный момент. В конце же, я должен исследовать зависимость этих
двух переменных.
Моей изначальной гипотезой является сильная
зависимость вмененного риск-нейтрального распределения базового актива, которое
может быть извлечено из цен опционов, и сентимента инвесторов, который
измеряется как отношения количества коротких и длинных позиций по базовому
активу.
С практической точки зрение, результаты данного
исследования помогут лучше объяснять движения цен опционов на валютном рынке, а
так же использоваться для предсказания цен опционов. Кроме того, как уже
говорилось выше перед исследователями все еще стоит задача создания модели
ценообразования опционов, которая бы учитывала все особенности инвесторов. И
данная работа может дать необходимое понимание закономерностей образования цен
валютных опционов.
История и
актуальность выдвинутых проблем
Первой профессиональной школой, серьёзно
заинтересовавшейся темой поведенческих финансов, является Чикагский университет
во главе с Евгением Францисовичем Фамой. Главными постулатами его команды было
утверждение, которое мы видим в обзоре Fama
(1970), что рынки являются эффективными по отношению к конкретному типу
информации, то есть полностью отражают имеющуюся информацию заданного вида.
Например, такой информацией может считаться временной ряд прошлых цен или
доходностей акций компаний. Форма эффективности рынка по отношению к такой
информации была названа слабой. Основы выдвинутой теории эффективного рынка
являются до сих пор очень популярными и признаются по всему миру, в том числе
даже их критиками. Кроме того, они являются даже и внешне весьма логичными,
ведь практически никто из инвесторов не может создать себе состояния путем
предположений о дешевых и дорогих акциях или опционов систематически.
Существует множество работ, которые доказывают существование различных аномалий
в поведении цен финансовых инструментов, согласно, например, обзору (Schwert
2003), суть которых по большому счёту заключается в том, что автор аномалии
апеллирует к проблеме двойственности гипотез при проверке данных на
эффективность рынка, о которой говорится, конечно, прежде всего в статье (Fama
1970). Смысл двойственности в том, что при проверке на эффективность, то есть
на то, насколько быстро и точно информация отражается в ценах, нужно сначала
предположить модель равновесия. Аномалия возникает, когда текущие данные плохо
согласуются с выбранной моделью равновесия. В настоящее время основным
противником чикагской школы является гарвардский университет, который
занимается созданием противовеса в отношении к финансовой экономике эффективных
рынков, которая была придумана чикагским университетом, и поэтому, пожалуй,
больше преуспел в понимании поведенческих финансов.
История исследований, конкретно изучающих
влияние поведения инвесторов на цены и другие различные параметры опционов
начинается только в конце 80-х годах прошлого столетия. Stein (1989)
задокументировал наличие долгосрочной чрезмерной реакции на информацию на рынке
опционов индекса S&P 100 (OEX).
Кроме того, до сих пор различные особенности
ценообразования опционов остаются не до конца объясненными. Так, например,
Jackwerth и Rubinstein (1996) нашли аномалию на ранке опционов названную
впоследствии “улыбкой волатильности”. Суть этой аномалии состоит в том, что
вмененная волатильность в модели Блэка-Шоулза монотонной убывает вместе с ценой
исполнения опциона. Это противоречит модели Блэка-Щоулза, которая говорит о
том, что при ценообразовании опционов с одинаковым базовым активом
подразумеваемая волатильность этого актива является одинаковой для всех
опционов на этот актив, вне зависимости от цены исполнения или других параметров
опциона. Пример улыбки волатильности можно увидеть на рисунке 1. Кроме того,
множество литературы на эту тему говорит о том, что опционы на индекс S&P
500 имеют несправедливую цену в соответствии со многими моделями
подразумевающими инвесторов рациональными (Jackwerth, 2000; Ait-Sahalia, Wang,
and Yared, 2001; Bondarenko, 2003; Constantinides, Jackwerth, and Perrakis,
2005). Это послужило развитию моделей ценообразования опционов с отказом от
предпосылки о совершенной рациональности инвесторов, и с принятием различных
форм отклонения в поведении инвесторов.
Актуальность выдвинутой проблемы не вызывает
сомнений, поскольку идея сосредоточенного моделирования именно ожиданий
инвесторов ещё с работы (Fama
1970) зреет и является востребованной, потому что для нахождения равновесной
модели цен, подразумевающейся необходимой при анализе того, как информация
влияет на цены, было бы логично понять в явном виде, как устроен именно процесс
формирования ожиданий или как он может быть проверен эконометрически. Понятно,
что поведение инвесторов является мощным драйвером экономической активности,
это другой аргумент в пользу актуальности: согласно (Kindleberger,
Aliber 2005, Ch.
2) все финансовые кризисы, так или иначе, подстрекаются именно поведением
инвесторов. Паника на финансовых рынках провоцирует впоследствии и панику на
многих остальных. Волатильность цен на финансовых биржах в несколько раз
превосходит тот же показатель на рынках товара или труда. Так, в период с 1920
по 1928 рынок акций Соединенных Штатов Америки вырос примерно в 5 раз. Затем, в
период кризиса с 1929 по 1932 цены опустились до своих первоначальных значений.
Капитализация этого же рынка с 1982 по 2000 гг. выросла почти в 8 раз, после
чего сократилась почти вдвое за следующие 8 лет. Рынок опционов же напрямую
связан с акциями и поэтому не менее волатилен.
Актуальными также остается проведение подобных
исследований на опционов других типов. Кроме опционов на акции и их индексы
существует еще огромное количество опционов на всевозможные базовые продукты.
Так, например, довольно популярными являются опционы на погоду. Аномалии в их
ценообразовании изучены намного меньше, однако составляют также довольно
высокую научную ценность.
Проблема, которая стоит перед исследователями не
просто в ответе на вопрос, как предсказать такие события и попытаться их
использовать. В первую очередь, они пытаются объяснить, почему происходят эти
явления. В данный момент, никто точно не может объяснить точные теоретически
обоснованные причины возникновения улыбки волатильности или пузырей.
Стоит также отметить, что поведение потребителей
и производителей описано экономической теорией уже очень давно и очень
подробно. Однако поведение инвесторов не поддается совсем этим же
закономерностям предпочтений. Кроме того, поведение потребителей и
производителей описывается с помощью моделей максимизации полезности, тогда как
в большинстве работ, например, согласно сборнику статей (Thaler
2005), говоря о поведении инвесторов, авторы часто не затрагивают проблемы
максимизации и вообще иногда не говорят о полезности напрямую. Таким образом
нами будет использоваться не какая-либо функция полезности инвестора,
показывающее его отклонение от рациональности, а реальный эмпирические
показатели таких отклонений.
Рисунок 1. Улыбка волатильности
Обзор литературы
В большинстве работ, связанных с поведенческой
экономикой, авторы чаще всего начинают текст с описания аномалий в поведении
цен на активы, которые не вписываются в теорию эффективного рынка, как, например,
в работах (Daniel, Hirshleifer,
Subrahmanyam 2001, Barberis,
Shleifer, Vishny
1997). Такими аномалиями, например, могут быть завышенные или заниженные цены
на определенные опционы. Затем авторы пытаются объяснить эти аномалии с помощью
каких-либо поведенческих эвристик (устойчивых закономерностей), описанных в
научных статьях по психологической тематике. Однако бывают случаи, когда модели
поведения авторы берут из собственного жизненного опыта. Примером модели
поведения, которая в принципе могла бы быть изъята только из личного опыта, то
есть на основании житейского применения научного метода, могут быть
консерватизм или излишняя оптимистичность. Стоит отметить, что в данном случае
необходимо искать модели поведения, которые подходят достаточно большому
количеству людей. Так, не стоит брать в рассмотрение модели поведения
психически больных или людей, никак не связанных с фондовым рынком. В случае,
если они находят подходящие психологические теории, экономисты пытаются
перенести их на язык формул и математики. После этого созданная математическая
модель проходит проверку на реальных данных и, если проверка дает положительный
результат, то она принимается в дальнейшей аргументации в отношении явлен
Первая работа, которую я бы хотел осветить,
называется «A model of investor sentiment» за авторством Nicholas Barberis,
Andrei Shleifer, and Robert W. Vishny. Она является довольно репрезентативной и
полезной для понимания хода исследования, которым как правило пользуются авторы
финансово-поведенческих статей. Хотя рынком, ставшим предметом исследования
авторов на наличие каких либо поведенческих аномалий, стал американский рынок
акций, а не опционов, это статья все равно очень важна для нашего исследования,
ведь для понимания поведения цен опционов, необходимо для начала отлично
понимать поведение акций и других базовых продуктов исследуемых опционов. Кроме
того, сентиментами, которые мы будем рассматривать, связаны именно с базовыми
активами и соответственно выражают настроения инвесторов именно касательно их будущих
движений.
Вначале авторы описывают такие аномалии на
американском рынке акции, как реакционная инертность (далее в данном тексте
называется недооценка) и чрезмерная реакция, которая далее в тексте называется
переоценкой, в оригинале эти термины звучат как overreaction и underreaction.
Переоценка означает то, что в случае хороших новостей о будущих денежных
потоках компании, а соответственно и прибыли акционеров, инвесторы назначают
слишком большие цены, которые впоследствии корректируются рынком и принимают
справедливые значения. Таким образом, информация не сразу отражается в ценах, а
только через некоторое время. Недооценка же, наоборот, подразумевает то, что
после выхода новостей о доходах компании, цены на акции растут недостаточно, и
только через некоторое время поднимаются до справедливых значений.
Рисунок 2. Переоценка и недооценка
В качестве эмпирических доказательств недооценки
авторы приводят несколько исследовании. Первое из них принадлежит Катлеру (Cutler
1991), который обнаружил позитивную автокорреляцию доходности на рынках акций,
облигаций и иностранной валюты в периоды от одного месяца до года. Другим
доказательством недооценки на рынке послужило исследование Бернарда (Bernard
1992), который показал, что акции, демонстрирующие неожиданное увеличение
доходности, показывают еще большую доходность в последующие периоды. Было
приведено еще несколько исследований, доказывающие, например что акции,
доходность которых больше по сравнению с другими акциями, имеют тенденцию
продолжать лидировать в этом показателе, или, что многие цены многих акции
демонстрируют наличие «моментума» или дрифта, которые также доказывает наличие
недооценки.
Цель авторов состоит в том, чтобы создать
модель, описывающую формирование ожиданий инвесторов, которая бы могла
одновременно объяснить переоценку и недооценку. Для этого они сначала описывают
человеческие сентименты, которые были найдены и описаны исследователями в
области психологии.
Первый сентимент, который они рассматривают, -
это тенденция людей рассматривать события как типичные или репрезентативный, в
случае если таковые подходят под определенные критерии. В результате реальные
вероятности игнорируются и оценка становится смещенной. Эта теория, по мнению
авторов, может являться психологическим объяснением переоценки. Так, после
продолжительного роста цен акций инвесторы склонны верить и в будущий рост,
игнорируя тот факт, что очень небольшое количество компании демонстрируют рост
цен котировок своих акций очень долгое время. В результате цены акций
оказываются завышенными, и затем падают до справедливых значений.
Другой сентимент носит название консерватизм. Он
заключается в том, что люди с неохотой изменяют свои убеждения при получении
новой информации. В исследовании (Edwards 1968) автор экспериментальным путем
показал, что при поступлении новой информации люди изменяют свое мнение о том
или ином объекте в правильном направлении, но слишком медленно. Консерватизм
отлично объясняет наличие недооценки на рынке. При поступлении новых отчетах о
доходах и деятельности компании инвесторы не спешат изменить оценку будущих
денежных потоков, а соответственно и цены на акции фирмы.
Затем на основе этих моделях поведения авторы
строят собственную модель. Они рассматривают одного инвестора и одну акцию.
Актив может находиться в одном из двух состояний. В первом состоянии цена акция
склонна возвращаться к своему первоначальному значению, тогда как во втором
состоянии стоимость акции следует определенном тренду (положительному или отрицательному).
Таким образом, эти два состояния описывают выше приведенные модели поведения.
Инвестор, который верит в первое состояние, соответствует сентименту
«консерватизм», так как он не склонен сильно изменять свои убеждения о цене
акции в случае единичной публикации информации о доходах компании. Инвестор,
который верит во второе состояние, наоборот, соответствует модели поведения,
когда инвесторы предают слишком много значения предыдущим доходам корпорации.
Так же авторы вводят вероятность того, что актив может переместиться из одного
состояния в другое. В конце концов авторы говорят о том, что цена акции равна
математическому ожиданию будущих потоков инвестора.
где
-
цена, которую бы получил инвестор, если бы использовал случайное блуждание для
оценки будущих потоков компании. Вторая часть уравнения соответствует смещению
оценки акции компании вследствие пере- или недооценки. Она может быть, как
отрицательной, так и положительной в зависимости от значений
,
которые в свою очередь зависят от типа инвестора (консервативный или
уверенный***).
В отличие от огромного разнообразия литературы и
исследований, посвященных теме зависимости цен акций и сентиментов инвесторов,
работ связанных с ценами опционов и паттернами в поведении инвесторов
значительно меньше. В первую очередь это связано с намного меньшей историей
существования опционов на открытом рынке. Только в 1973 году появилась первая
биржа в Чикаго, которая способствовала стандартизации опционов и наращиванию
объемов их торгов. До этого опционы торговались лишь в небольшом объеме, и
информация для исследования их ценообразования представлялась сложно доступной.
Литературу, посвящённую ценам опционам и
поведению инвесторов можно разделить на несколько частей. Первая их них
исследует существование нерациональности на рынках опционов. Исследования в
этой части, как правило, приводят доказательства наличия отклонения цен или
других показателей опционов от их справедливых значении в связи с
нерациональностью инвесторов. Данная тема уже относительно хорошо изучена и
наличие несовершенств на рынке доказана многими эмпирическими исследованиями.
В первой статье (Poteshman 2001), входящих в эту
группу, которую я бы хотел рассмотреть, авторы исследуют реакцию инвесторов
рынка опционов на дневные изменения в волатильности базового актива. Это статья
является одной из самых цитируемых в этой области и является точкой опоры для
многих других исследований. Автор, как и в предыдущей статье, начинают свое
исследование с обзора существующих моделей, описывающих поведение инвесторов на
рынке акций. В частности, они приводят несколько исследований, например,
Barberis, Shleifer, и Vishny (1998), которую я осветил выше, подтверждающих
наличие краткосрочной “недореакции” и долгосрочной чрезмерной реакции на рынке
акций. Авторы основываюсь свою модель на таких же психологический принципах,
как и в предыдущей статье, однако применяют их на опционных инвесторов. Авторы
также предполагают, что и участники рынка действуют согласно стандартной модели
стохастической волатильности. Наблюдаемую дневную волатильность они разделяют
на две части: ожидаемую и неожиданную, и таким образом, согласно их каждый
инвестор каким-то образом реагирует на неожиданную часть дневной волатильности.
Исходя из различных тестов авторы пришли к
выводам о том, что инвесторы (1) недооценивают информацию поступающую
ежедневно, (2) переоцениваю информацию, в случае, если она поступает на
протяжении долгого периода времени, и (3) проявляют увеличение недо-или
переоценки с увеличением периодов, когда поступала похожая информация. Первые
два результата совместимы с тестами, проводимыми на акциях и, кроме того,
подтверждаются исследователями психологии инвесторов. Результаты оказались
довольно устойчивыми для различных моделей оценки опционов. Так, например, были
использованы (1) модель простой стохастической волатильности, которая давала
результаты сопоставимые с вмененной волатильностью опционов при их оценки с помощью
модели Блэка-Шоулза, (2) модель Heston (1993), которая возможно использовалась
инвесторами в период рассматриваемых данных, (3) непараметрическая
стохастическая модель Poteshman (1998) и (4) стохастическая модель с «прыжками»
волатильности Pan (2000).
Все они дали примерно одинаковые результаты.
Среднее отклонение реальных цен от их справедливых значений составило порядка
3% в долларовом выражении. Таким образом, данное исследование не ставит под
сомнение наличие отклонений в справедливых ценах опционах на американском
рынке. Эта работа послужила толчком к развитию многих моделей, которые пытались
модифицировать уравнения для нахождения цены опциона, чтобы они могли учитывать
отклонения поведения инвесторов в ту или иною сторону. Кроме, того перед исследователями
встал вопрос о природе аномалии в цене опционов и возможности их предсказания.
Было проведено несколько исследований для нахождения факторов, которые влияют
на отклонения цен опционов.
Одной из первых таких работ стало исследование Han
(2008). Данное исследование проверяет зависимость сентиментов инвесторов и цен
опционов на индекс S&P
500. Автор пишет о том, что натолкнуло на данное исследование растущее
множество статей о не совершенности рынка опционов и массовых ошибок в ожидании
опционных инвесторов. Так, например, он ссылается на статью Poteshman (2000),
освещенную выше. Автор исходил из предположения о том, что, если сентимент
инвестора влияет на цену опциона, он также должен влиять на распределение цены
базового актива, которая заложена в цене опциона. Соответственно он вычленяет
скошенность риск-нейтральное распределение цены индекса из цен опционов с
различными страйками и производит анализ зависимости данной величины со
значением сентимента.
Автор статьи говорит о том, что в случае, если
инвесторы настроены более негативно, и большинство трейдеров - “медведи”, то
они готовы платить больше за опционы с выплатами, когда индекс на низком
уровне. Это приводит к отрицательной скошенности риск-нейтрального
распределения цены базового актива. Такие же рассуждения можно привести для
случая, если большинство инвесторов являются быками и настроены на рост
базового актива.
Безусловным плюсом данной статьи является то,
что авторы не привязывают исследование к какой-либо модели ценообразования
опционов. Вместо этого они находят ежедневную безусловную скошенность
распределения базового актива и проверяют гипотезу о том, зависит ли изменение
этой величины во времени от изменения сентимента инвесторов за этот же
промежуток времени.
Результатом исследования стало подтверждение
сильной зависимости цен опционов и сентиментов инвесторов. Причем подтверждение
этому факту автор получил использую различные данные для вычисления настроения
инвесторов.
Кроме того, автор проверяет статистическую связь
сентимента с формой улыбки волатильности опционов. Согласно многим
исследованиям, например Bollen и Whaley (2004), ее форма очень изменчива, и
сильно разнится от месяца к месяцу в зависимости от настоящих экономического
режима и условий. Авторами была также найдена значимая зависимость между
сентиментом и формой кривой волатильности, как пут так и колл опционов.
На основе данной работы было также проведено еще
одно исследование Andreouyz, Kagkadisz and
Philipz (2014). Авторы этого исследования применяли такие же методы анализа,
как и в статье Han
(2008), однако использовали разложение сентимента на две части. Первая отражает
рациональное обновление ожиданий инвесторов, которое связано с изменением
реальных экономических условий, вторая же часть служит показателем ошибки инвесторов,
которое связано с особенностями их психологии. В результате проведенных тестов,
авторы обнаружили, что до 1997 года оба сентимента влияли на цены опционов, в
то время как после 1997 года лишь сентимент, отражающий реальные экономические
условия имел значимое влияние на цены. В качестве источника для сентимента
рационального вида исследователи использовали реальные макроэкономические
показатели, такие как ВВП или объем международной торговли.
Подтверждение наличия отклонений на рынке
опционов и нахождение источника этих отклонений послужило стимулом для создания
моделей ценообразования опционов, принимающих во внимание особенности поведения
инвесторов. Примером такой работы является статья за авторством Chunpeng Yang,
Bin Gao и Jianlei Yang под названием “Option pricing model with sentiment“. В
данной статье авторы рассматривают описанную выше проблемы совсем под другим
углом. В отличие от других работ, авторы данной статью исследуют абстрактные
сентименты, которые влияет на различные параметры опциона и получают уравнение
для оценки опциона в закрытой форме. В отличие от своих коллег, они
рассматривают сразу несколько сентиментов, которые влияют на поведение
инвесторов. Во-первых, это сентимент связанный с ожидаемой стоимостью акции, а
следовательно и с ее доходностью. Данный паттерн в поведении уже был подробно
описан выше. Свое решение они подтверждают многими исследованиями, которые
подтверждают наличие отклонения цен акций от свои фундаментальных значении. В
частности
они
приводят
такие
работы,
как
Brown and Cliff (2004); Kumar and Lee (2006); Baker and Wurgler (2006); Lemmon
and Portniaguina (2006); Yang and Zhang (2013) and Yang and Zhou (2014).
Во-вторых, они рассматривают сентимент, который
связан непосредственно и опционами. Так, авторы говорят, о том, что в
большинстве моделей для оценки опционов в риск-нейтральном мире ожидаемую
доходность для всех инвестиций и финансовых инструментов принято считать равной
бездисковой ставке. Однако, многие исследования говорят, о том что ставка
дисконтирования может быть подвержена различным факторами, например,
психологией инвестора или его субъективным мнением. В доказательство, авторы
приводят исследование Thaler (1981), который при помощи опросов показал, что
ставка дисконтирования для прибыли должна быть значительно выше, чем для
убытков. Warner и Pleeter (2001) показали, что ставка дисконтирования сильно
зависит от возраста, пола, уровня образования, расы и множества других
факторов. Причем ее разброс очень велик: 0 до 30% для одних и тех же активов. Lawrence
(2007) обнаружил, что такая ставка дисконтирования сильно зависит от
сентиментов инвесторов. Однако не стоит путать сентимент инвестора с его
склонностью к риску. При переходе в риск-нейтральный мир склонность к риску у
всех инвесторов становится одинаковой, в отличие от их сентиментов.
В данной статье авторы пытаются применить и
расширить методы анализа ценообразования опционов, которые применяются в модели
Блэка-Щоулза, и, в частности, применить к ним наличие сентиментов у инвесторов.
Предполагается, что на цену опционов влияют как сентименты, связанные с
акциями, так и чисто опционные. Для начала, авторы взяли стандартную модель
поведения акции, описываемую Броуновским движением.
Как, мы видим, цена актива распределена
логнормально. Данная модель является самой распространенной в современных
финансах, ее описание может быть найдено в Black and Scholes (1973).
Математическое ожидание (mr) и стандартное отклонение (vr) цены акции равны:
Авторы модифицировали ее, добавив переменную,
связанную с сентиментом базового актива. Предполагается, что у полностью
рационального инвестора данный сентимент равен 0. Согласно множеству
эмпирическим и теоретическим исследованиям с увеличением значения сентимента
увеличивается и отклонение цены акции от ее справедливого значения. Авторы
вводят функцию для сентимента базового актива f (Su) = au Su, где Su - значение
сентимента, au - константа, причем au > 0. Функция сентимента базового
актива показывает на сколько больше математическое ожидание цены акции ее
справедливого значения, таким образом если сентимент инвесторов положительный
Su > 0 , то и значение функции f (Su) > 0. В случае же, если инвесторы
настроены негативно, то и сентимент и функция меньше 0 (Su < 0 , f (Su)
<0). Таким образом цена акции с учетом сентимента равна:
Математическое ожидание (m) и стандартное
отклонение (v) цены акции равны:
Затем авторы вводят сентимент, связанный с
опционами. В моделях Black-Scholes
(1973) и Ricardo (2002) цена опциона колл равна дисконтированной по безрисковой
ставке к настоящему времени его остаточной стоимости:
Соответственно учитывая колл-пут паритет цена
опциона пут будет равна:
.
Данные формулы авторы выводят из предположения о
том, что все инвестиции и денежные потоки в риск нейтральном мире должны быть
продисконтированы по безрисковой ставке. Однако, как было описано выше, на
ставку дисконтирования конкретного инвестора влияет еще множество параметров,
помимо склонности к риску.
Авторы предполагают, что ставка дисконтирования
для опциона колл с учетом сентимента равна
μ∗c
=
μch(Sc),(Sc)
= eαc
Sс
μc - ожидаемая
доходность опциона колл- сентимент опциона коллконстанта, связанная с
сентиментом колл опциона.
Для опциона пут ставка дисконтирования
соответственно равна
μ∗p
=
μph(sp),(Sp)
= eαp
Sp
μp
- ожидаемая доходность опциона пут- сентимент опциона пут. ap константа,
связанная с сентиментом пут опциона.
Затем авторы создали формулу для расчета цены
опциона:
С помощью симуляции значений волатильности и
сентиментов инвесторов авторы воссоздали цен опционов в разных экономических
условиях. В итоге, с помощью их модели они смогли объяснить большинство
отклонений цен от их справедливых значений. Однако, одним из значительных
минусов данной модели является отсутствие возможности прямого изсерения
сентиментов. В том смысле, что переменная сентимента не зависит от реальных
значений какой-либо величины, а является оценочным значением авторов. Таким
образом, стоит большой вопрос в возможности использования данной модели на
практике.
Данные
Опционы и фьючерсы
Для своего исследования я использовал данные
опционов на фьючерсы рублю/доллар торгуемые на московской бирже. Данные
инструменты имеют ограниченную ликвидность, однако примерно с 2010 года данные
по ним публикуются стабильно, и можно найти информацию по широкому спектру цен
исполнения, как для пут, так и для колл опционов. Таким образом, я использовал
ежедневные цены закрытия опционов с 2010 года. Для того, чтобы цены отражали
реальную стоимость опционов были выбранные только цены для инструментов,
имеющих положительный объем торгов в этот день.
Кроме того, данные по опционам включают в себя
цены их открытия, среднюю цену за день, максимальную и минимальную цены сделок,
сумму открытых позиций, стоимость и дату исполнения.
Для исследования также были необходимы данные по
фьючерсам, которые являются базовыми инструментами опционов. Их цены также были
скачаны с сайта московской биржи. Таким образом, на каждый день была составлена
пара “цена опциона - цена фьючерса“.
Сентименты
Одним из важнейших вопросов является выбор
источника для вычисления сентимента, который бы в действительности отражал
настроение рынка по поводу того или иного актива. Существует множество
сентиментов, которые отражают настроение рынка в целом, такими, например,
является “Investors Intelligenceís advisors
sentiment index”, однако он отражает настроение рынка относительно той или иной
страны в целом. В моем же случае был необходим сентимент, который отражает
настроение инвесторов по поводу будущего курса рубль-доллар.
Для изучения сентиментов инвесторов, связанных с
базовыми активами, были использованы два источника. Во-первых, это данные по
открытым позициям по фьючерсам рубль-доллар на чикагской товарной бирже. Данный
мето сентимент также С 2005 года комиссия по торговле товарными фьючерсами
(Commodity Futures Trading Commission), раз в неделю публикует данные по
открытым позициям фьючерсов, торгуемых на товарной бирже.
Комиссия по торговле товарными фьючерсами
требует от инвесторов, имеющих открытые позиции на объем больше определенного
значения отчитываться им на ежедневной основе. Эти данные она агрегирует и
публикует на своем сайте в виде небольших отчетов. Эти отчеты содержат
количество длинных и коротких позиций по всем фьючерсам, торгуеиых на бирже и
число открытых позиций. Кроме того, всех инвесторов разделяют на 2 группы:
“commercial” и “noncommercial” или хедж-инвесторы и спекулянты. Как понятно из
названия, хедж инвесторы занимают позицию во фьючерсах для хеджирования своих
позиций. Таким инвесторы практически ничего не говорят о будущем движении
рынка, так как объем покупки фьючерсов зависит не от будущих ожиданий, а от уже
имеющихся у них активов. Спекулянты же зарабатывают на движениях рынка в нужную
сторону, соответственно их позиции могут служить показателем ожидания рынка.
Показатель ожиданий или сентимент я считал как разницу длинных и коротких
позиций по фьючерсам отмасштабированную на общий объем открытых позиций:
- количество
длинных открытых позиции за период t
- количество
коротких открытых позиций за период t
- общий объем
открытых позиций.
Кроме того, как известно, курс рубля сильно
привязан к цене нефти. Корреляция их значений с начала 2014 года составляет
порядка 85%. Очевидно, что в нынешних экономических условиях ожидание по поводу
будущей цены нефти сильно влияет на соотношения курса доллара и рубля. Таким
образом, ожидание будущей цены нефти также можно использовать как сентимент для
курса рубль-доллар. Зависимость валютного курса и цены на нефть изображена на
рисунке 4.
Сентимент, связанный с нефтью измерялся таким же
методом, как и предыдущий, с тем лишь исключением, что данные по фьючерсам на
нефть брались с инструментов, торгуемых на Нью-Йоркской бирже.
Рисунок 4.
Зависимость цены на нефть и курса рубля
Определение и
вычисление исследуемых переменных
цена опцион поведенческий инвестор
Улыбка волатильности
Исследование зависимости цен опционов и
сантиментов инвесторов может быть проведено в нескольких направлениях.
Во-первых, может быть проведено исследование непосредственной зависимости цен и
сентиментов. Однако, такой подход не имеет практически никакого научного и
практического значения, так как цена опциона складывается из достаточно
большого количества параметров, и каждый из них может изменяться в связи с
сентиментом. Например, бессмысленно рассматривать влияние сентимента на цены
опционов с разными страйками при изменениях цены базового актива. Опционы с
разыми значениями цены исполнения будут иметь разную зависимость от цены
базового актива (дельту), и соответственно, при одновременном изменении и
сентимета и цены базового актива сложно будет определить, какая часть изменения
цены является результатом движения сентимента, а какая будет вызвана
увеличением или уменьшением цены базового актива.
Исходя из формулы Блэка-Шоулза для оценки
опционов следует, что главным параметром, определяющим цену опциона, является
волатильность базового актива.
где
Остальные параметры, как правило, не имеют
причин для разногласия в спорах об их значениях. Время экспирации опциона и
значение цены страйка задаются во время заключения контракта и остаются
фиксированными до его исполнения. Безрисковая ставка дисконтирования и цена
базового актива могут меняться со временем, однако так же однозначно
определяются в любой момент времени существования опциона. Вмененная
волатильность базового актива же не может быть однозначно определена из
какой-либо модели или посчитана вручную, ведь она является прогнозным
значением. Существует множество различных мнений по поводу того, какая
волатильность должна быть подставлена в формулу. Так, например, кто-то выступает
за принятие среднего исторического значения волатильности рассматриваемого
актива, однако тут же возникает вопрос о том, за какой срок считать эту
историческую волатильность. Несмотря на множество мнений по поводу способа ее
вычисления или прогнозирования, вменённая волатильность опциона является
равновесным значением среди всех участников рынка. Зачастую при торговле
опционами трейдеры оперируют не их ценами, а вмененной волатильностью, так как
именно она является определяющим фактором покупки и имеет однозначное
соответствие с ценой опциона.
Таким образом, учитывая все вышесказанное, было
бы логично исследовать зависимость сентиментов инвесторов и значение вмененной
волатильности. Однако, как уже было написано, на рынке опционов наблюдается
феномен под названием “улыбка волатильности”, когда опционы на один базовый
актив с одинаковым временем экспирации, но разными страйками, имеют разную
вмененную волатильность. Поэтому встает вопрос о выборе значения цены
исполнения для которой будет исследоваться зависимость вменённой волатильности.
Логичнее же было бы исследовать форму кривой волатильности, так как это
охватило бы сразу все цены исполнения и возможно было бы провести более широкий
анализ.
Следуя примеру работы Han
(2008) форма кривой волатильности измеряется как разница между вмененной
волатильностью опционов в различными вариантами цены исполнения. Так, например,
для опционов пут измеряется следующие два параметра:
- вмененная
волатильность опциона с соотношением цены базового актива с ценой исполнения
K/S = 0,875, K/S = 0,925 и K/S = 1 соответственно.
Для опционов колл мы считаем:
- вмененная
волатильность опциона с соотношением цены базового актива с ценой исполнения
K/S = 1,125, K/S = 1,075 и K/S = 1 соответственно.
Скошенность распределения
Форма, кривой волатильности, является не
единственным возможным предметом исследования, связанным с опционами. Например,
как было написано выше, в статьях Han
(2008) и Panayiotis (2014) авторы исследуют зависимость скошенности
риск-нейтральной функции плотности цены базового актива и сентиментов
инвесторов.
Вообще цены опционов содержат в себе довольно
много информации о базовом активе. Одной из важнейших вещей, которые можно
извлечь из цен опционов, является вмененное распределение цены базового актива
на промежутке времени равному времени до исполнения опциона. К сожалению,
возможно извлечь только распределение в риск-нейтральном мире, а не настоящее,
однако и это является довольно полезной информацией для предсказания будущего
поведения цен базового актива. Следует это из того факта, что цена опциона
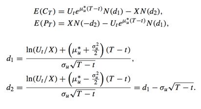
равна дисконтированным математическим ожиданием выплат по данному опциону.
Причем математическое ожидание находится по плотности распределения цены в
риск-нейтральном мире, а за ставку дисконтирования берется безрисковая ставка
доходности. Цены опционов колл и пут соответственно равны:
.
Соответственно, найдя ожидаемое распределение
цены базового актива с ним можно работать и отслеживать его изменение во
времени. Существует множество работ, описывающих способы вычисления
риск-нейтрального распределения базового актива. Большинство из них очень
громоздкие и требуют сложных вычислений, однако для нашего исследования нет
необходимости вычислять всю функцию распределения. Достаточно лишь ее
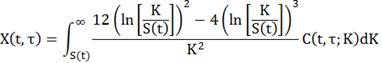
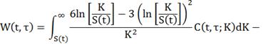
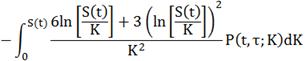
скошенность, которая может быть посчитана значительно легче.
Скошенность распределения означает его
смещенность относительно математического ожидания вправо или влево. Пример
скошенности изображен на рисунке 1.
В своей работе я буду использовать модель
Bakshi, Kapadia, and Madan (2003) для расчета скошенности распределения. Данная
модель применялась в работе Han
(2008) и Panayiotis (2014) и является оптимальной для нахождения скошенности
распределения по набору цен опционов с разными страйками.
Вычисление скошенности для валютных
оцпионов
В статье Bakshi, Kapadia, and Madan (2003)
авторы создают модель для оценки скошенности распределения бездивидендной
акции. В оригинале скошенность равна:

Однако в данном случае авторы предлагают способ
вычисления скошенности распределения для бездивидендной акции. В своей же
работе я хочу исследовать скошенность валютных опционов. Соответственно базовым
активом в моем случае является курс валют. Кроме того, ситуация осложняется
также тем, что все валютные опционы являются опционами на фьючерсы. Таким
образом, моей задачей является определить скошенность курса валют через опцион
на фьючерс данного курса.
Согласно книге Hall
“Option and
other Derivatives”
опционы на курс валют с математической точки зрения являются полной копией
опционов на доведённые акции, только в данном случае дивиденднйо ставкой
является безрисковая ставка иностранной валюты. В моем случае данную ставку я
возьму из трех месячной государственной облигации США.
Кроме того, вмененное распределении
бездивидендной акции с ценой S0
полностью
совпадает с дивидендной акицей с нормой дивидендов q
и ценой
.
Действительно, если цена акции S0
с
нормой дивидендов q вырастет до
ST, то
без выплаты дивидендов она бы выросла до
.
Или, наоборот, в случае, если бы она не платила дивидендов, она бы выросла с
до
ST. Таким
образа не имеет разницы в рассмотрении случаев:
. Начальная цена акции
и
норма дивидендов 0.
. Начальная цена акции S0 и норма
дивидендов q.
В случае же, фьючерса на курс валют его
стоимость равна:
, где
- стоимость
фьючерса
S0
- курс валют в данный момент
r - безрисковая
ставка для местной валюты
- безрисковая
ставка для иностранной валюты.
Таким образом фьючерс также можно рассматривать
как акцию с дивидендной доходностью
.
В общем же, для применения данной модели необходимо спотовую цену фьючерса
необходимо принять:
Норма доходности же в данном случае буде равна
0.
Очевидно, что имеет смысл сравнивать только
распределения опционов с одним промежутком времени до экспирации. Ведь у
опционов на один базовый актив но с разной датой исполнения вмененное
распределение может сильно различаться. Для корректного анализа, на каждую дату
скошенность была посчитана для опциона в разным временем экспирации, а затме
эти две величины линейно экстраполировались для получения скошенности
распределения опциона с датой исполнения через два месяца.
Вычисление скошенности требует довольно много
вычислительной мощности. Все расчеты были выполнены на языке программирования R.
Результаты
Скошенность распределения
Сначала, была проведена регрессия изменения
скошенности вмененной риск нейтрального распределения базового актива опциона и
изменения сентимента и изменения сентиментов инвесторов за этот же период.
Результаты оказались ожидаемыми и значимыми даже при самых низких уровнях. При
увеличении сентимента скошенность распределения уменьшается. С первого, взгляда
данная связь может показаться странной, ведь при увеличении сентимента
увеличивается оптимизм инвесторов относительно цены курса в будущем. Значит и
изменение скошенности должноо быть отрицательным. Однако здесь стоит учитывать,
что сентимент инвесторов был измерен с помощью фьючерсов на курс доллар/рубль,
в то время как распределение извлекалось из опционов на фьючерсы рубль/доллар.
Таким образом, в связи с логичным предположением, что ожидание увеличения в
курсе доллар/рубль равнозначно ожидания уменьшения рубль/доллар, результаты
соответствуют ожиданиям. Графическое изображение регрессии можно увидеть на
рисунке 5.
Регрессия на сентимент связанный с ценой нефти
также дал положительные результаты. Однако результат является значимым только
лишь при 7% уровне. Такие результаты вполне ожидаемы, на скошенность
распределения влияют ожидания курса рубля, тогда как на курс рубля влияет цена
нефти. Однако напрямую нефть влияет на опционы уже в меньшей степени.
Обе регрессии были проверены на наличие
автокорреляции критерием Дарбина - Уотсона, который показал на ее отсутствие.
Таким образом мы пришли к выводу о том, что в
случае валютных опционов настроение инвесторов также существенно влияют на цены
опционов. Данный результат соотносится с результатами работы Han
(2008) для опционов на биржевой индекс S&P
500. В случае увеличения сентимента, то есть соотношения доли длинных и
коротких позиций, скошенность вменённого риск-нейтрального распределения
базового увеличивается. В обратном же случае, при уменьшении сентимента и
изменения ожиданий инвесторов в сторону уменьшения валютного курса, скошенность
также уменьшается.
Улыбка волатильности
Затем была проверена зависимость формы улыбки
волатильности и сентимента инвесторов. В отличие от скошенности, изменение
формы улыбки волатильности не показало значимой зависимости не от сентимента
связанного с базовым активом ни от нефтяного сентимента. Возможно причина этого
кроется в не совсем верном измерении зависимо переменной. Таким образом, это
является возможным.
Рисунок 5. Регрессия “Сентимент базового актива
- Скошенность”
Рисунок 6. Регрессия “Сентимент нефти -
Скошенность”
Заключение
В данной работе мы исследовали зависимость цен
опционов и сентиментов инвесторов. В качестве базового актива опционов были
выбраны фьючерсы на курс валютной пары рубль - доллар. Таким образом, это
позволило закрыть пробел в исследованиях влияния поведения инвесторов на
опционы, несвязанные с индексами акций.
В качестве отражения цен опционов были
использованы скошенность риск-нейтрального распределения базового актива,
которое извлекается из цен опционов и форма кривой волатильности этих опционов.
Для измерения значений сентиментов были использованы соотношения длинных и
коротких позиций на фьючерсы, служащими базовыми активами, а также фьючерсы на
нефть. В исследовании были использованы данные с 2010 года.
Тесты показали наличие значимой зависимости
между ценами валютных опционов и сентиментами, связанными с их базовыми
активами. Данная зависимость является положительной, то есть при смещении
настроений в сторону увеличения курса, скошенность увеличивается. Зависимость
формы улыбки волатильности и сентимента найдено не было, однако возможно это
результат некорректного измерения формы.
Результаты данной работы согласуются с
результатами работы Han
(2008), в которой были исследованы опционы на биржевой индекс S&P
500.
Список литературы
1. Abarbanell,
Jeffery S., and Victor L. Bernard. "Tests of Analysts'
Overreaction/Underreaction to Earnings Information as an Explanation for
Anomalous Stock Price Behavior." The Journal of
Finance 47.3 (1992): 1181-207. Web.
2. Andreou,
Panayiotis C., Anastasios Kagkadis, and Dennis Philip. "Investor
Sentiments, Rational Beliefs and Option Prices." SSRN Electronic Journal
SSRN Journal (n.d.): n. pag. Web.
3. Aı̈t-Sahalia,
Yacine, Yubo Wang, and Francis Yared. "Do Option Markets Correctly Price
the Probabilities of Movement of the Underlying Asset?" Journal
of Econometrics 102.1 (2001): 67-110. Web.
4. Baker,
Malcolm, and Jeffrey Wurgler. "Investor Sentiment and the Cross-Section of
Stock Returns." The Journal of Finance 61.4 (2006):
1645-680. Web.
5. Bakshi,
G. "Stock Return Characteristics, Skew Laws, and the Differential Pricing
of Individual Equity Options." Review of Financial
Studies 16.1 (2003): 101-43. Web.
6. Barberis,
Nicholas, Andrei Shleifer, and Robert Vishny. "A Model of Investor
Sentiment." (1997): n. pag. Web.
7. Bondarenko,
Oleg. "Why Are Put Options So Expensive?" SSRN Electronic Journal
SSRN Journal (n.d.): n. pag. Web.
8. Brown,
Gregory W., and Michael T. Cliff. "Investor Sentiment and the Near-term
Stock Market." Journal of Empirical Finance 11.1
(2004): 1-27. Web.
9. Constantinides,
George M., Jens Carsten Jackwerth, and Stylianos Perrakis. "Mispricing of
S&P 500 Index Options." Rev. Financ. Stud. Review of Financial Studies
22.3 (2008): 1247-277. Web.
10. Cutler,
David M., James M. Poterba, and Lawrence H. Summers. "Speculative
Dynamics." The Review of Economic Studies 58.3 (1991): 529. Web.
11. Daniel,
Kent, David Hirshleifer, and Avanidhar Subrahmanyam. "Investor Psychology
and Security Market Under- and Overreactions." The
Journal of Finance 53.6 (1998): 1839-885. Web.
12. Edwards,
Ward. "Conservatism in Human Information Processing." Judgment under
Uncertainty Heuristics and Biases (n.d.): 359-69. Web.
13. Fama,
Eugene F. "Efficient Capital Markets: A Review of Theory and Empirical
Work." The Journal of Finance 25.2 (1970): 383. Web.
14. Han,
Bing. "Investor Sentiment and Option Prices." Rev. Financ. Stud.
Review of Financial Studies 21.1 (2007): 387-414. Web.
15. Heston,
Steven L. "A Closed-Form Solution for Options with Stochastic Volatility
with Applications to Bond and Currency Options." Rev.
Financ. Stud. Review of Financial Studies 6.2 (1993): 327-43. Web.
16. Jackwerth,
Jens Carsten. "Recovering Risk Aversion from Option Prices and Realized
Returns." Rev. Financ. Stud. Review of
Financial Studies 13.2 (2000): 433-51. Web.
17. Kindleberger,
Charles P., and Robert Z. Aliber. "Manias, Panics and Crashes."
(2005): n. pag. Web.
18. Kumar,
Alok, and Charles M.c. Lee. "Retail Investor Sentiment and Return
Comovements." The Journal of Finance 61.5 (2006):
2451-486. Web.
19. Lawrence,
Edward R., George Mccabe, and Arun J. Prakash. "Answering Financial
Anomalies: Sentiment-Based Stock Pricing." Journal of
Behavioral Finance 8.3 (2007): 161-71. Web.
20. Lemmon,
Michael, and Evgenia Portniaguina. "Consumer Confidence and Asset Prices:
Some Empirical Evidence." Rev. Financ. Stud. Review of
Financial Studies 19.4 (2006): 1499-529. Web.
21. Pan,
Jun. "Integrated Time-Series Analysis of Spot and Option Prices."
SSRN Electronic Journal SSRN Journal (n.d.): n. pag. Web.
. Poteshman,
Allen M. "Underreaction, Overreaction, and Increasing Misreaction to
Information in the Options Market." The Journal of
Finance 56.3 (2001): 851-76. Web.
23. Stein,
Jeremy. "Overreactions in the Options Market." The Journal of Finance
44.4 (1989): 1011. Web.
. Thaler,
Richard. "Some Empirical Evidence on Dynamic Inconsistency." Economics
Letters 8.3 (1981): 201-07. Web.
25. Thaler,
Richard H. Advances in Behavioral Finance: Ed. by Richard H. Thaler. New
Jersey: Princeton UP, 2005. Print.
26. Warner,
John T., and Saul Pleeter. "The Personal Discount Rate: Evidence from
Military Downsizing Programs." American Economic
Review 91.1 (2001): 33-53. Web.
27. Yang,
Chunpeng, and Rengui Zhang. "Sentiment Asset Pricing Model with
Consumption." Economic Modelling 30 (2013):
462-67. Web.
28. Yang,
Chunpeng, Bin Gao, and Jianlei Yang. "Option Pricing Model with
Sentiment." Review of Derivatives Research Rev Deriv Res (2016): n. pag.
Web.
Приложение
Код для нахождения скошенности риск-нейтрального
распределения в статистическом пакете R:
#Задание переменных
skew=skews=skewl=numeric()
for(i in 1:nrow(close)){
##Скошенность ближайшего опциона
mat=exec-index(close)[i]
mat[mat<0]=NA[-active[[i]]]=NA=as.numeric(rrus[i])=as.numeric(rusa[i])=which(mat==min(mat,na.rm=T))=as.numeric(exec[matt[1]]-index(close)[i])/365=days=which(colnames(closef)==cont[matt][1])=as.numeric(as.numeric(closef[i,f])*exp(-rrus[i]*(days)))=as.numeric(as.numeric(closef[i,f]))=intersect(intersect(which(type=="C"),which(strike>spot)),matt)=intersect(intersect(which(type=="P"),which(strike<spot)),matt)=sort(as.numeric(close[i,calls]),decreasing=T)=sort(as.numeric(close[i,puts]))_c=strike[calls][match(c,as.numeric(close[i,calls]))]_p=strike[puts][match(p,as.numeric(close[i,puts]))]=spot+p-str_p*exp(-days*r)(all(length(calls)>1,length(puts)>1)){(!(is.na(spot))){=extract.ew.density(initial.values
= c(NA, NA, NA), r, 0, days, spot, c(p,c),
##Скошенность опциона с экспирацией
больше двух месяцев
mat=exec-index(close)[i][mat<60]=NA[-active[[i]]]=NA=as.numeric(rrus[i])=as.numeric(rusa[i])=which(mat==min(mat,na.rm=T))=as.numeric(exec[matt[1]]-index(close)[i])/365=which(colnames(closef)==cont[matt][1])=as.numeric(as.numeric(closef[i,f])*exp(-rrus[i]*(days)))=as.numeric(as.numeric(closef[i,f]))=intersect(intersect(which(type=="C"),which(strike>spot)),matt)=intersect(intersect(which(type=="P"),which(strike<spot)),matt)(all(length(calls)>1,length(puts)>1)){=sort(as.numeric(close[i,calls]),decreasing=T)=sort(as.numeric(close[i,puts]))_c=strike[calls][match(c,as.numeric(close[i,calls]))]_p=strike[puts][match(p,as.numeric(close[i,puts]))]=spot+p-str_p*exp(-days*r)(all(length(calls)>1,length(puts)>1)){(!(is.na(spot))){=extract.ew.density(initial.values
= c(NA, NA, NA), r, 0, days, spot, c(p,c),
c(str_p,str_c))[i]=z$skew}}}
##Линейная экстраполяция скошенности
skew[i]=skews[i]*(days-0.17)/(days-days1)+skewl[i]*(0.17-days1)/(days-
days1)}