Расчет некоторых показателей работы склада

  • Вид работы:
    Реферат
  • Предмет:
    Менеджмент
  • Язык:
    Русский
    ,
    Формат файла:
    MS Word
    101,16 kb
  • Опубликовано:
    2009-01-12
Вы можете узнать стоимость помощи в написании студенческой работы.
Помощь в написании работы, которую точно примут!

Расчет некоторых показателей работы склада

Расчет некоторых показателей работы склада

На повышение эффективности использования оборудования, машин и механизмов в настоящее время направлена система экономических, технических и организационных мер.

Одним из направлений использования машин и механизмов на предприятиях оптовой торговли является интенсивное использование техники, обеспечивающее лучшее использование всех возможностей оборудования, машин и механизмов в процессе работы.

Определенную роль играет также экстенсивный фактор, т.е. время работы механизма: чем дольше работает машина, тем выше коэффициент экспансивной загрузки, и, следовательно, выше производительность используемой техники.

При экстенсивном использовании машин и механизмов схема их загрузки в течение суток представлена на рис. 8.7. Наибольшая производительность машин и механизмов достигается прежде всего максимальной продолжительностью их использования в течение суток (года). Как видно, на суточный фонд времени работы машин влияют простои машин по организационным и техническим причинам, а также потери времени от неполного использования смен.

Потери времени по организационным и техническим причинам может охарактеризовать коэффициент использования парка:

, (8.34)

где Н1 – число машин и механизмов, которые находились в эксплуатации; Н2 – списочное число машин и механизмов базы снабжения и сбыта.

Рис. 8.7. Диаграмма использования машин и механизмов при экстенсивной загрузке

Потери времени от неполного использования смен и недостаточной сменности работы машин может охарактеризовать коэффициент использования машин в течение суток;

, (8.35)

где П1 – потери времени от неполного использования смен, ч; Тсм – продолжительность времени работы машин в течение суток, ч; 24 – продолжительность суток, ч.

Произведение коэффициента использования машин в течение суток КИ.С. на коэффициент использования парка машин и механизмов КИ.П. характеризует потенциальные возможности использования машин и механизмов во времени – экстенсивную загрузку:

КЭК = КИ.С. * КИ.П. . (8.36)

Из формул КИ.С. и КИ.П. коэффициент экстенсивной загрузки будет:

. (8.37)

В числителе формулы – время фактической работы машин (ч):

Тфакт = Тс * Н1, (8.38)

в знаменателе – максимально возможное время использования машин (ч):

Тмакс = 24 * Н2. (8.39)

Поэтому коэффициент экстенсивной загрузки можно определить и так

. (8.40)

На рис. 8.7 Тфакт показывает (заштрихованная площадь) время работы машин (Тсм * Н1), а Тмакс – всю площадь диаграммы (24 * H2).

Таким образом, зная время фактической работы машин и механизмов, а также максимальное время использования машин, можно определить коэффициент экстенсивной загрузки без расчета КИ.С. и КИ.П.

При полном устранении потерь времени в ходе эксплуатации машин и механизмов во время пребывания их в сфере производства погрузочно-разгрузочных работ мы получим максимум экономии времени экстенсивного вида. К перерывам в работе, которые учитываются при определении коэффициента экстенсивного использования машин и механизмов, как правило, не относятся техническое и технологическое обслуживание, а также другие простои на протяжении смены.

Рассмотрим пример экстенсивного использования оборудования, машин и механизмов на предприятиях оптовой торговли.

Допустим, что списочный состав погрузочно-разгрузочных механизмов на предприятии оптовой торговли составляет Н2 = 20 единиц, ежедневно в эксплуатации находится H1 = 15 единиц. Время работы механизма Тсм = 8 ч. Необходимо определить коэффициент экстенсивной загрузки КЭК механизмов при следующих условиях:

1) при существующих показателях;

2) при увеличении числа выпуска погрузочно-разгрузочных механизмов в эксплуатацию на 20%, т. е. H1 = 18 единиц;

3) в случае увеличения времени работы механизма на 100%, т.е. Тсм=16 ч;

4) при увеличении числа выпуска погрузочно-разгрузочных механизмов в эксплуатацию на 20% и увеличении времени работы механизма на 100%.

Коэффициент экстенсивной загрузки рассчитывается по формуле:

.

1) ;

2) ;

3) ;

4) .

Таким образом, коэффициент экстенсивной загрузки увеличивается:

на 2% при увеличении числа выпуска механизмов в эксплуатацию;

в 2 раза при увеличении времени работы машин и механизмов;

в 2,4 раза при увеличении числа выпуска машин и механизмов и увеличении времени их работы.

Следовательно, при экстенсивной загрузке техники, как видно из примера, большее значение имеет время работы механизма. Чем продолжительнее время работы машины, тем выше коэффициент экстенсивной загрузки и производительность используемой техники.

Поскольку большее значение при экстенсивном использовании техники имеет время работы, то рассмотрим один из методов определения продолжительности использования машин и механизмов на предприятиях оптовой торговли, учитывая при этом, что в условиях снабжения складывается ситуация, требующая выполнения большего или меньшего (меняющегося) суточного объема работ. Исходя из изменения объема переработки продукции и определяется длительность рабочего периода и время использования машин и механизмов в течение суток.

Продолжительность использования машин и механизмов в течение суток на предприятиях можно определить при помощи номограммы (см. рис. 8.8).

Для построения номограммы и пояснения расчета введем условные обозначения:

Oп – объем работ на определенный период;

Тс – продолжительность использования машин и механизмов в течение суток;

Нн – количество механизмов;

Чр – часовая производительность;

Др – число рабочих дней.

Эти показатели связаны следующей зависимостью:

Oп = Др * Нн * Чр * Тс. (8.41)

Обозначим Тс = X, Нн * Чр = Y, тогда Oп / Др = X * Y.

Построенная номограмма дает возможность, исходя из количества механизмов, часовой производительности Чр и длительности рабочего периода Др, определить необходимую продолжительность использования машин в течение суток Тс. С помощью этой номограммы можно решить и обратную задачу, т. е. зная продолжительность использования машин в течение суток Тс, длительность периода работы Др и часовую производительность механизмов Чр, можно определить необходимое количество механизмов Нн.

Для прогнозирования длительности рабочего периода Др и времени использования в течение суток Тс покажем пример построения номограммы при переработке 15 000 т грузов с часовой производительностью механизма (Чр) соответственно – 10, 20, 30 т за 10, 15, 20, 30 дней работы (см. рис. 8.8).

Пример. Пусть склад для погрузки грузов может использовать шесть погрузочных механизмов с часовой производительностью 20 т в час. Требуется определить необходимую продолжительность работы механизмов в течение суток Тс, если нужно произвести погрузку 5 000 т грузов за 10 дней.

Рис. 8.8. Номограмма для определения режимов работы машин и механизмов на предприятиях оптовой торговли

Для этого из точки Нн 6 ед. на оси абсцисс восстанавливаем перпендикуляр до пересечения с прямой, соответствующий часовой производительности Чр = 20 т в час. Через точку А проводим прямую, параллельную оси абсцисс, до пересечения с кривой Др = 10 дней, в результате чего получаем точку В. Перпендикуляр, опущенный из точки В на ось абсцисс правого семейства кривых номограммы, дает искомую величину Тс = 12,5 ч.

Чтобы номограмма отражала приемлемые результаты, на отдельные параметры необходимо наложить ограничения. Например, это сделано для продолжительности использования машин в течение суток с 8 до 20 ч.

Мы приведем экстенсивный способ использования машин и механизмов, но на практике применяется и интенсивный метод. Под этим методом понимают возможность повышения производительности машин и механизмов во время фактической работы.

На рис, 8.9 показаны факторы, от которых зависит интенсификация работы машин и механизмов.

Максимальная экономия времени интенсивного вида может быть достигнута, если затраты рабочего времени машин и механизмов на единицу работы будут сведены до минимальных устойчивых величин. К этим затратам следует отнести все элементы фактических затрат и потерь времени за сменное время работы машин.

Максимальное использование грузоподъемности механизма и скорости приведет к интенсификации работы машин путем лучшего использования их мощности.

Рис. 8.9. Диаграмма использования машин и механизмов при интенсивной загрузке

Тф – фактическое время работы машин, ч;

Тр – время полезной работы машины, ч.

Как видно из рис. 8.9, интенсивность загрузки машин выражается степенью использования номинального времени работы машин для полезной работы. Затраты времени на производительные элементы рабочего времени процесса отражаются, как известно, в коэффициенте использования рабочего времени, определяемом отношением времени полезной работы (погрузка–разгрузка) к фактической продолжительности работы машин:

где Тр – время полезной работы машин, ч.

Другими факторами, определяющими интенсивность работы машин и механизмов, являются использование грузоподъемности и скорости.

Так, например, производительность погрузчиков определяется по общей формуле для машин периодического действия:

(т/ч), (8.43)

где У– фактический вес подъема груза механизма за цикл, т.

Фактический вес подъема груза механизмом за цикл будет зависеть от коэффициента использования грузоподъемности. Чем выше коэффициент использования грузоподъемности, тем больше груза поднимает механизм за один цикл, тем выше производительность машин и механизмов.

Из этой формулы: – количество циклов, совершаемых механизмом за 1 ч, характеризующее влияние скорости на производительность машин и механизмов; Тц – время одного цикла работы механизма, сек.

Для погрузчика продолжительность цикла его работы составит:

,

где t1 – время для захвата груза, сек; t2 – время на установку груза, сек; h1 и h2 – высота подъема и опускания груза, сек; Vп – скорость подъема вилок (или других захватных устройств), м/сек; l1 и l2 – расстояние перемещения погрузчика с грузом и без груза, м; Vг – скорость движения погрузчика с грузом, м/сек.; Vн – скорость движения погрузчика без груза, м/сек.; V0 – скорость опускания груза, м/сек.

Как видим из приведенной выше формулы, на интенсивное использование механизма большое влияние оказывает скорость. Чем выше скорость (подъема и опускания вилок автопогрузчика, передвижения его и т.д.), тем меньше времени затрачивается на один цикл работы механизма, тем больше выполняется этих циклов, тем выше производительность механизмов и машин.

Таким образом, при интенсивной загрузке машин и механизмов необходимо учитывать возможности по использованию скорости и грузоподъемности механизмов.

Неполное использование возможностей скорости и грузоподъемности механизмов и машин можно характеризовать коэффициентом производительности П:

, (6.44)

где – фактическое количество циклов, совершаемых механизмом за час; – расчетное количество циклов, совершаемых механизмом за час; Уф, Ур – фактический вес подъема груза механизмом за цикл и грузоподъемность механизма (т) соответственно.

Произведение коэффициента использования рабочего времени а на коэффициент производительности П называется коэффициентом интенсивности загрузки машин, обозначен на рис. 8.9 как "полезная работа".

Кн = а * П, (8.45)

или

. (8.46)

Числитель этой зависимости выражает фактически выполненный объем работ за время Тр

Ор = Тр * * Уф. (8.47)

знаменатель же этой зависимости можно выразить как

Тф * * Ур = Тф * Чр , (8.48)

где Ур – расчетная часовая производительность машин.

Подставляя эти значения в формулу, получаем коэффициент интенсивности загрузки машин:

, (8.49)

где Ор – объем переработанной продукции на базе снабжения и сбыта, кг.

Пример. Интенсивное использование техники на базах и складах снабжения и сбыта в течение работы механизмов в течение смены Тф = 8 ч. Грузоподъемность используемого автопогрузчика Уф = 5 т. Определим коэффициент интенсивной загрузки, если коэффициент использования грузоподъемности в первом случае будет равен 0,5, а время одного цикла – 240 сек, а во втором и третьем случаях соответственно 1,0 и 120 сек.

Расчетное число циклов работы механизмов в трех случаях = 36. Время полезной работы машин составляло 6 ч для первого и второго случая и 7 часов – для третьего.

Решение. Определим фактическое количество циклов, совершаемых механизмом за час: ,

; .

Коэффициент интенсивной загрузки определим по формуле

:

1) ;

2) ;

3) .

Коэффициент интенсивной загрузки вырос примерно в 4 раза при увеличении числа циклов и фактического веса подъема груза механизмом за один цикл; при увеличении числа циклов, времени полезной работы и фактического веса подъема груза механизма за один цикл – в 4,5 раза. Следовательно, при интенсивной загрузке техники большую роль играет увеличение скорости и грузоподъемности машин и механизмов.

Как уже указывалось, коэффициент экстенсивной загрузки КЭК характеризует использование машин во времени, а коэффициент интенсивной загрузки Ки – использование мощности машин за время в наряде. На рис. 8.10 показана обобщающая структура использования машин по экстенсивной и интенсивной загрузке.

Абсцисса диаграммы характеризует использование машин по времени, ордината – по производительности. Площадь графика (полезная работа) характеризует использование машин по времени и по производительности. Как видно из диаграммы, чтобы охарактеризовать работу машин по интенсивности и продолжительности их использования, целесообразно применять коэффициент эффективности загрузки:

Рис. 8.10. Обобщающая диаграмма использования машин и механизмов по экстенсивной и интенсивной загрузке

Кэф = Кэк * Ки. <6-50)

Эффективность загрузки можно определить и при помощи следующей формулы:

или

, (8.51)

где Ор – фактически выполненный объем работы, т; Тмакс – максимальное возможное время использования машин, ч; Чр – часовая производительность механизма, т / час. В нашем примере коэффициент эффективности загрузки механизмов составит:

1. Кэф = (0,25 * 0,16) * 100% = 4%;

2. Кэф = (0,50 * 0,625) * 100% = 31,25%;

3. Кэф = (0,60 * 0,73) * 100% = 43,8 %.

Из приведенного примера видно, что наибольшая эффективность загрузки будет при наибольшем количестве применяемых механизмов и наибольшей продолжительности их использования, а также при максимальной загрузке машин и механизмов на предприятиях оптовой торговли.

Все упомянутые показатели использования машин можно вычислить по данным учета фактических затрат времени и объема выполненных работ в соотношении с показателями, имеющимися в паспорте машин и механизмов. Необходимо выбрать период работы, для которого производится расчет, провести анализ использования механизмов на предприятиях оптовой торговли, а также определить продолжительность их работы.

Из приведенных выше расчетов, характеризующих работу машин, видим, что если экстенсивная загрузка машин ограничивается максимальным временем их работы, то возможности интенсификации работы машин по существу не ограничены. Это вытекает из необходимости непрерывно уменьшать непроизводительные затраты времени на выполнение работ и увеличивать скорость работы машин и их разгрузку, а также совершенствовать конструкцию машин и механизмов, повышать грузоподъемность и их использование.

Анализ использования машин и механизмов по показателям экстенсивной, интенсивной и эффективной загрузки позволяет охватить все возможные случаи оценки производительности машин. Он характеризует влияние отдельных факторов на возможности улучшения машиноиспользования. Этот метод дает возможность наиболее объективно оценивать работу машин, лучше вскрывать потери и обнаруживать резервы для разработки действенных мероприятий по улучшению работы машинной техники складского хозяйства.

Расчет необходимого количества подъемно-транспортных механизмов. Производительность машин периодического действия определяется по формуле:

Qч = q * n * k, (8.52)

где q – грузоподъемность машин, т; n – количество сделанных циклов (рейсов) за час; k– коэффициент использования машины по грузоподъемности.

Количество сделанных циклов п за час определяется по формуле:

,

где Т – время, расходуемое на один цикл, сек.

Количество подъемно-транспортного оборудования (ПТО) периодического действия определяется по формуле:

, или ,

где Ос, Qг – суточный и годовой грузооборота;

Тс, Тг – количество часов работы ПТО за сутки, год.

Пример. Имеются следующие данные: грузоподъемность механизма – 5 т, количество циклов – 10, коэффициент использования машины по грузоподъемности – 0,8, суточный грузооборот – 640 т, количество часов работы ПТО за сутки – 8. По этим данным определяем количество ПТО:

ед.

Определение полезной площади способом нагрузки на 1 м2 площади пола по формуле:

,

гае qзап –величина установленного запаса соответствующего материала на складе, т (принимаем 20 000 т);  – нагрузка на 1 м2 площади пола (принимаем 2,5 т / м2). Подставив данные в формулу, получим:

м2.

(м2),

гае fпол – полезная площадь склада, м2 (примем 8000 м2);  – коэффициент использования площади (примем 0,4).

Подставив данные, получим:

м2.

Расчет емкости склада по формуле:

Е = Fc * qт,

где Fc – площадь, используемая под непосредственное складирование груза, м ; qт – удельная нагрузка, т/м , откуда

(м2), а (т / м2).

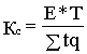
Средний срок хранения грузов на складе определяется по формуле:

,

Q –Stq – общее количество тонно-дней хранения за период (месяц, год); Sгде  общее количество груза, прошедшего через склад:

tq = tSхр1 * Q1 + tхр2 * Q2 + ... + tхрn * Qn.

Например, за месяц (30 дней) через склад прошло 10000 т груза, причем 3000 т груза хранилось 10 дней, 2000 т – 5 дней, 4000 т – 8 дней и 1000 т – 7 дней.

Следовательно, общее число тонно-дней хранения составит

tq = 10 * 3000 + 5 * 2000 + 8 * 4000 +1000 * 7 = 79000,S

откуда

дней.

Коэффициент использования емкости склада равен:

,

где Е – емкость склада, т; Т – период работы склада, дней.

Если принять емкость склада 5267 т, то по результатам работы склада за месяц

.

Оборот склада По определяется по формуле:

.

Следовательно, для нашего примера:

оборота.

Эта величина может быть получена также из выражения

оборота.

Ее можно рассчитать также по формуле:

оборота.

Пропускная способность склада характеризует то количество груза, которое может пройти через склад за период (месяц, год) при максимальном использовании емкости и при данной средней продолжительности хранения:

или Пскл = Е * По.

Используя имеющиеся исходные данные, рассчитаем месячную пропускную способность склада емкостью 5267 т при 3,75 оборота

Пскл = 5267 * 3,75 = 19751,25 т.

Показатели использования погрузочно-разгрузочного оборудования:

коэффициент использования оборудования во времени Квр:

,

где Тф – фактическое время работы на грузовых операциях (принимаем 2000 ч); Тк – общий календарный период, ч (принимаем 7500 ч); Тпл – плановый ремонт, ч (принимаем 2500 ч).

Следовательно,

;

коэффициент использования оборудования по производительности Кпр:

,

где Рф – фактическая производительность, т; Рпл – плановая производительность, т;

коэффициент используемого подъемно-транспортного оборудования по времени за смену K'вp:

,

где То – время работы механизма за смену, ч; Тсм – время смены, ч.

Выводы

Складирование продукции необходимо в связи с имеющимися колебаниями циклов производства, транспортировок и ее потребления.

Склад – здания, сооружения, устройства, предназначенные для приемки и хранения различных материальных ценностей, подготовки их к производственному потреблению и бесперебойному отпуску потребителям.

В сети распределения продукции имеется несколько маршрутов.

Оборудование для хранения грузов можно подразделить по роду хранимых материалов: для хранения штучных крупногабаритных, тарноштучных, сыпучих, жидких и газообразных грузов в соответствии с физическим состоянием и характеристиками грузов.

Эффективное использование транспортных средств, погрузочно-разгрузочных механизмов и трудовых ресурсов достигается путем разработки технологического процесса с учетом достигнутой выработки переработки груза передовыми бригадами, эффективных способов заготовки пакетов и укладки груза; технических характеристик средств малой механизации, дальности перевозок и т.д.

Время обработки автомобилей, прибывающих на предприятие, зависит от количества груза, типа автомобиля, пунктов погрузки, погрузочных механизмов и других причин.

Одним из направлений использования машин и механизмов на предприятиях оптовой торговли является интенсивное использование техники, обеспечивающее лучшее использование всех возможностей оборудования, машин и механизмов в процессе работы.

Максимальная экономия времени интенсивного вида может быть достигнута, если затраты рабочего времени машин и механизмов на единицу работы будут сведены до минимальных устойчивых величин.

При интенсивной загрузке машин и механизмов необходимо учитывать возможности по использованию скорости и грузоподъемности механизмов.

Список литературы

Для подготовки данной работы были использованы материалы с сайта http://www.cfin.ru/

Похожие работы на - Расчет некоторых показателей работы склада

 

Не нашли материал для своей работы?
Поможем написать уникальную работу
Без плагиата!
Без нейросетей!