Электроснабжение канализационной насосной станции
Дипломная
работа
Электроснабжение
канализационной насосной станции
ОГЛАВЛЕНИЕ
Введение
Исходные данные
Расчет электрических нагрузок
.1 Расчет силовых нагрузок 0,4 кВ в
целом по объекту
.2 Расчет осветительной нагрузкив
целом по объекту
.3Расчет силовых нагрузок 6 кВ в
целом по объекту
Выбор числа и мощности
трансформаторов
Выбор схем электроснабжения 0,4 кВ и
6 кВ
.1 Расчет электрических нагрузок для
узлов схемы 0,4 кВ
.2 Расчет электрических нагрузок 6
кВ
.3 Выбор кабелей питающих и распределительных
линий
Расчет токов короткого замыкания
.1 Расчет токов короткого замыкания
в сети 6 кВ
.2 Расчет токов КЗ в сети 0,4 кВ
Расчет возможности пуска двигателя
.1 Определение параметров схемы
замещения
.2 Расчет параметров эквивалентной
схемы замещения
.3 Определение возможности пуска
двигателя
.4 Проверка устойчивости работы
предвключенного двигателя
Выбор и проверка коммутационной
аппаратуры
.1 Выбор и проверка выключателей 6
кВ
.2 Выбор и проверка выключателей
нагрузки 6 кВ
.3 Выбор и проверка разъединителей 6
кВ
.4 Выбор и автоматических
выключателей 0,4 кВ
Релейная защита
.1 Защита электродвигателей
.2 Защита лини III
.3 Защита силовых трансформаторов
Экономическая часть
.1Сметно-финансовый расчет объекта
.2 Расчет численности и состава
бригады
.3Организация электромонтажных
работ, построение ленточного графика
.4 Расчет эффективности
инвестиционных вложений
Безопасность жизнедеятельности
.1 Введение. Выполнение требований
электробезопасности в особо опасных помещениях по степени опасности поражения
электрическим током
.2 Выбор и обоснование сетей до 1 кВ
для электроснабжения насосной станции в условиях высокой влажности. Выбор
заземляющего устройства энергообъекта. Подключение энергоприемников 6 и 0,4 кВ
к контуру заземления
.3 Расчет заземляющего устройства
объекта
.4 Первичные средства тушения
пожара. Использование огнетушителей
.5 Роль место и задачи МЧС
Заключение
Список использованных пользованных
источников
электроснабжение нагрузка кабель трансформатор
Введение
Системой электроснабжения называется комплекс
устройств, предназначенных для производства, передачи и распределения
электроэнергии.
Задача электроснабжения промышленного
предприятия возникла одновременно с широким внедрением электропривода в
качестве движущей силы различных машин и механизмов и строительством
электростанций.
Промышленные предприятия являются основными
потребителями электроэнергии, так как расходуют до 67% всей вырабатываемой в
нашей стране электроэнергии. По мере развития электропотребления усложняются и
системы электроснабжения промышленных предприятий.
Проект электроснабжение предприятия должен
учитывать возможность дальнейшего развития и укрупнения производства и
связанного с этим увеличения потребляемой мощности.
Сложность вопросов проектирования систем электроснабжения
заключается в оптимальном, рациональном и эффективном решении этой проблемы.
Именно комплексное решение данной задачи в совокупности с необходимыми
требованиями и стандартами электроснабжения позволяют экономически и технически
грамотно работать всему предприятию.
В данной работе рассматривается электроснабжение
канализационной насосной станции, расположенной по адресу: Волгда, Советский
проспект 120А/1. Станция выполняет функцию перекачки сточных и ливневых вод на
очистные сооружения. Зоной обслуживания станции являются следующие микрорайоны:
5-й, 6-й, Завокзальный и микрорайон Бывалово. В связи с увеличением плотности
городской застройки, а как следствие увеличения количества сточных вод,
особенно в весенний период, было принято решение о введении в работу
дополнительных насосных агрегатов, а также модернизации установленного
электрооборудования и электрических сетей.
Исходные
данные
Электроснабжение насосной станции осуществляется
от двух независимых источников электроэнергии: РП-8 и ТП-296, расположенных на
удалении 1 км и 100 м соответственно.
Основными потребителями электроэнергии насосной
станции являются высоковольтные асинхронные электродвигатели насосных агрегатов
марки ВАН 118-23/8-8У3 номинальной мощностью 400 кВт, а также трансформаторная
подстанция ТП-356 мощностью 1300 кВ∙А (cosφ
= 0,85), расположенная на удалении 800м.
Коэффициент загрузки электродвигателей равен
0,8.
Полный перечень приемников электрической энергии
представлен в таблице 1. План расположения электроприемников объекта показан на
первом листе графической части работы.
Таблица 1 - Перечень электроприемников
|
№
п/п
|
Наименование
|
Кол-во
|
Номинальное
напряжение, В
|
Номинальная
мощность, кВт
|
Ки
|
cosφ
|
|
1,2,
3,4
|
Электродвигатели
насосных агрегатов
|
4
|
6000
|
400
|
0,8
|
0,85
|
|
5
|
Тельфер
1т
|
1
|
380
|
1,5+0,12
|
0,1
|
0,5
|
|
6,7,
11,16
|
Вытяжной
вентилятор
|
4
|
380
|
3
|
0,8
|
0,85
|
|
8
|
Кран
балка 5т
|
1
|
380
|
8+2×0,55
|
0,1
|
0,5
|
|
9
|
Сверлильный
станок
|
1
|
380
|
2,2
|
0,16
|
0,6
|
|
10
|
Заточной
станок
|
1
|
380
|
2,2
|
0,16
|
0,6
|
|
12,15,
17
|
Приточный
вентилятор
|
3
|
380
|
3
|
0,8
|
0,85
|
|
13
|
Электронагреватель
|
1
|
380
|
24
|
0,8
|
0,95
|
|
14
|
Электронагреватель
|
1
|
380
|
18
|
0,8
|
0,95
|
|
18,30
|
Электропривод
магистральной задвижки
|
2
|
380
|
8,5
|
0,16
|
0,65
|
|
19,22,
25,28
|
Электропривод
всасывающей задвижки
|
4
|
380
|
8,5
|
0,16
|
0,65
|
|
20,23,
26,29
|
Электропривод
напорной задвижки
|
4
|
380
|
8,5
|
0,16
|
0,65
|
|
21,24,
27
|
Электропривод
разделительной задвижки
|
3
|
380
|
8,5
|
0,16
|
0,65
|
|
31
|
Дренажный
насос
|
1
|
380
|
18,5
|
0,8
|
0,85
|
|
32
|
Дренажный
насос
|
1
|
380
|
22
|
0,8
|
0,85
|
1 Расчет
электрических нагрузок
1.1
Расчет силовых нагрузок 0,4 кВ в целом по объекту
В настоящее время основным нормативным
документом по определению электрических нагрузок промышленных объектов является
РТМ 36.18.32.4-92[1].
Выполним расчет силовой нагрузки в целом по
объекту, согласно методике, представленной в [1].
Расчет выполняется по форме Ф636-92 (смотри
таблицу 1.1).
Исходные данные для расчета (графы 1-4)
заполняются на основании перечня электроприемников (смотри исходные данные),
значения коэффициентов использования и реактивной мощности для индивидуальных
электроприемников (графы 5, 6)взяты из таблицы П1[2].
Все электроприемники группируются по характерным
категориям с одинаковыми Ки и tgφ.
В
каждой строке указываются ЭП одинаковой мощности. В 4-й графе итоговой строки
записываем общую суммарную номинальную мощность электроприемников.
В графах 7 и 8 соответственно записываются
построчно величины КиPн
и КиPнtgφ.
В итоговой строке определяются суммы этих величин.
Определяется групповой коэффициент
использования:
где
-
коэффициент использования электроприемника в группе;
- номинальная
мощность электроприемников в группе, кВт.
Значение группового коэффициента использования Ки
заносится в графу 5 итоговой строки.
Для последующего определения nэ
в графе 9 построчно определяются для каждой характерной группы
электроприемников одинаковой мощности величины npн2и
в итоговой строке - их суммарное значение.
Определяется эффективное число электроприемниковnэ
следующим образом:
где
-
номинальная мощность электроприемников в группе, кВт.
n- количество
электроприемников в группе
- номинальная мощность
отдельного электроприемнико, кВт.
В зависимости от средневзвешенного коэффициента
использования и эффективного числа ЭП определяется по таблице 2 из [1] и
заносится в графу 11 коэффициент расчетной нагрузки Кр. При nэ
= 18 и Ки = 0,45коэффициент расчетной нагрузки будет равен
1,0.
Расчетная активная мощность (графа 12)
определяется по выражению:
Расчетная реактивная мощность (графа 13)
определяется следующим образом:
1.1.11Определяется полная расчетная мощность
(графа 14):
1.2
Расчет осветительной нагрузки в целом по объекту
Расчетная нагрузка осветительных приемников в
целом по объекту может быть определена по установленной мощности и коэффициенту
спроса для освещения [3].
Освещение помещений 1-го и 2-го этажей выполним
люминесцентными лампами, освещение помещений машинного зала и грабельного
помещения лампами ДРЛ. Площади помещений определяются по плану. Общая площадь
помещений 1-го и 2-го этажей равна 400 м2, общая площадь помещений
машинного зала и грабельного помещения равна 800 м2.
Определим установленную мощность приемников
электрического освещения по формуле:
Где Pно1-
установленная мощность приемников электрического освещения помещений 1-го и
2-го этажей;
Pно2-
помещений машинного зала и грабельного помещения;
F1,F2-общие
площади помещений.
Рудо-
удельная плотность осветительной нагрузки для механических цехов, Рудо
= 19 Вт/м2[3].
Расчетная нагрузка осветительных приемников
определяется из выражения:
где Ксо - коэффициент спроса
для освещения.
Так как большинство помещений 1-го и 2-го этажей
являются бытовыми и складскими помещениями, то коэффициент спроса освещения для
этих помещений примем Ксо1 = 0,6[3]. Для помещений машинного
зала и грабельного помещения коэффициент спроса освещения определим, как
коэффициент спроса для производственных здания, состоящие из отдельных
помещенийКсо1 = 0,85[3].
Для осветительной установки с газоразрядными
лампами расчетная реактивная нагрузка определяется по формуле:
где tgϕ
− коэффициент мощности источников света.
Для люминесцентных ламп с конденсаторами для
повышения коэффициента мощности tgϕ1
= 0,48, для ламп ДРЛ tgϕ2
= 1,44 [3].
Итого расчетная активная осветительная нагрузка:
Итого расчетная реактивная осветительная
нагрузка:
Итого полная осветительная нагрузка:
Полученные итоговые значения осветительных
нагрузок заносим в таблицу 1.1 и определяем полную нагрузку в целом по объекту:
где
-расчетная
активная силовая нагрузка;
-расчетная активная
осветительная нагрузка;
-расчетная
реактивная силовая нагрузка;
-расчетная
реактивная осветительная нагрузка.
1.3
Расчет силовых нагрузок 6 кВ в целом по объекту
Расчет электрических нагрузок напряжением выше 1
кВ выполняется по форме Ф636-92 (смотри таблицу 1.2) аналогично расчету,
приведенному в п. 1.1, с учетом следующих особенностей [1]:
В графы 7 и 8 таблицы 1.2 заносится расчетная
нагрузка цеховых трансформаторных подстанций с учетом осветительной нагрузки
(таблица 1.1) и потерь мощности в трансформаторах (смотри главу 2).
Эффективное число электроприемниковnэ
не определяется, графы 9 и 10 не заполняются.
В зависимости от числа присоединений и
группового коэффициента использования, занесенного в графу 5 итоговой строки,
определяется значение коэффициента одновременности Kо.
Значение Kо
заносится в графу 11. В данном расчете Kо
= 0,95 [1].
Таблица 1.1 - Расчет электрических нагрузок 0,4
кВ в целом по объекту (форма Ф636-92)
Таблица 1.2 - Расчет электрических нагрузок 6 кВ
в целом по объекту (форма Ф636-92)
2.
ВЫБОР ЧИСЛА И МОЩНОСТИ ТРАНСФОРМАТОРОВ
Так как электроприемники данного объекта относится
ко второй категории по надежности электроснабжения, необходима установка двух
трансформаторов. Выбор номинальной мощности трансформаторов осуществляется,
исходя из условия[2]:
где Sр-
полная расчетная мощность цеха, кВ∙А;
N- количество
трансформаторов;
Kз
-
коэффициент загрузки трансформатора.
При преобладании потребителей второй категории
коэффициент загрузки трансформаторов принимается в пределах от 0,7 до 0,8 [2].
Из стандартного ряда мощностей трансформаторов
выбираем трансформаторы номинальной мощностью 160кВ∙А.
В аварийном режиме коэффициент загрузки масляных
трансформаторов не должен превышать 1,4 [4]:
Исходя из данных условий, принимаем к установке
трансформаторы марки ТМГ номинальной мощностью 160 кВ∙А.
Параметры выбранных трансформаторов представлены
в таблице 2.1.
Таблица 2.1 - Параметры трансформаторов
|
Тип
|
Номинальная
мощность Sном,
кВ∙А
|
Номинальное
напряжение Uном,
кВ
|
Схема
соединения обмоток
|
Мощность
потерь короткого замыкания ΔPк,
кВт
|
Напряжение
короткого замыкания Uк,
%
|
Ток
холостого хода Iх,
%
|
|
|
ВН
|
НН
|
|
|
|
|
|
ТМГ-160/6
У1
|
160
|
6
|
0,4
|
Δ/Y
|
2,9
|
4,5
|
1,8
|
Используя формулы (2.3) - (2.7) определим потери
напряжения во вторичной обмотке трансформатора[2]:
где Uка,
Uкр-
активная
и индуктивная составляющие напряжения короткого замыкания трансформатора, %;
cosφср-средневзвешенный
коэффициент мощности трансформатора.
Коэффициент загрузки трансформатора определим по
формуле:
где Sр-
полная расчетная мощность, кВ∙А;
Sном.
т - номинальная
мощность трансформатора, кВ∙А.
Средневзвешенный коэффициент мощности
трансформатора можно определить по формуле:
где Pр
- активная расчетная мощность, кВт;
Активная и индуктивная составляющие напряжения
короткого замыкания трансформатора определим по формулам:
где ΔPк-
мощность потерь короткого замыкания, кВт;
Uк-
напряжение
короткого замыкания трансформатора, %;
Потери напряжения:
Потери мощности в трансформаторах определим по
выражениям (2.8) - (2.10) [5]:
где Sр-
полная расчетная мощность, кВ∙А;
Sном.
т- номинальная
мощность трансформатора, кВ∙А;
ΔPк-
мощность потерь короткого замыкания, кВт;
Uк-
напряжение
короткого замыкания трансформатора, %;
Iх-
ток холостого хода, %;
n-
количество параллельно работающих трансформаторов.
3 Выбор
схем электроснабжения 0,4 кВ и 6 кВ
Так как, из-за конструктивных особенностей
объекта, применение магистральных схем электроснабжения не представляется
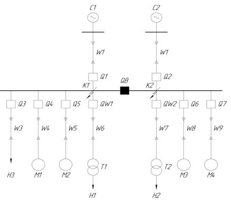
возможным, то питание ЭП 0,4 кВ и 6 кВ выполним по радиальной схеме.
Распределительное устройство 6 кВ состоит из
камер КСО 292. Чертеж распределительного устройства показан на листе №4
графической части работы.
Электроприемники напряжением 6 кВ подключаются
кабельными линиями к шинам распределительного устройства.
Питание электроприемников напряжением 0,4 кВ
осуществляется через силовые шкафы и шкафы управления, подключенные к шинам
вводно распределительного устройства.
Схема электроснабжения 6 и 0,4 кВ показана на
первом листе графической части работы, однолинейные схемы сети 6 и 0,4 кВ
изображены на втором и третьем листах соответственно.
3.1
Расчет электрических нагрузок для узлов схемы 0,4 кВ
Расчет производится аналогично расчету силовых
нагрузок, выполненному в главе 1. Результаты расчета представлены в таблицах
3.1-3.2
3.2
Расчет электрических нагрузок 6 кВ
Расчет электрических нагрузок 6 кВ выполнен в
главе 1 (смотри п/п 1.3)
Таблица 3.1 - Расчет электрических нагрузок первой
секции ВРУ 0,4 кВ
|
Исходные
данные
|
Расчетные
величины
|
Эффективное
число ЭП
|
Коэф-т
расчетной нагрузки Кр
|
Расчетная
мощность
|
Расчетный
ток, А
|
|
по
заданию технологов
|
по
справочным данным
|
КиPн
|
КиPнtgφ
|
npн2
|
|
|
активная,
кВт Рр = КрΣКиРи
|
реактивная,
квар Qр
= КрΣ
КиPнtgφ
|
полная,
кВ∙А 
|
Ко-во
ЭП, шт. n
|
Номинальная
(установленная) мощность, кВт
|
коэффициент
использования Ки
|
коэффициент
реактивной мощности
|
|
|
|
|
|
|
|
|
|
|
|
одного
ЭП pн
|
общая
Pн
= npн
|
|
|
|
|
|
|
|
|
|
|
|
|
1
|
2
|
3
|
4
|
5
|
6
|
7
|
8
|
9
|
10
|
11
|
12
|
13
|
14
|
15
|
|
Шкаф
управления задвижкой ШУЗ1
|
|
|
|
|
|
|
|
Привод
магистральной задвижки
|
2
|
8,5
|
17
|
0,16
|
|
2,72
|
3,62
|
144,5
|
|
|
|
|
|
|
|
Итого:
|
2
|
|
17
|
0,16
|
|
2,72
|
3,62
|
144,5
|
2
|
4,52
|
12,29
|
16,35
|
20,46
|
29,53
|
|
Шкаф
управления задвижками ШУЗ2
|
|
|
|
|
|
|
|
Привод
всасывающей задвижки
|
2
|
8,5
|
17
|
0,16
|
|
2,72
|
3,62
|
144,5
|
|
|
|
|
|
|
|
Итого:
|
2
|
|
17
|
0,16
|
|
2,72
|
3,62
|
144,5
|
2
|
4,52
|
12,29
|
16,35
|
20,46
|
29,53
|
|
Шкаф
управления задвижками ШУЗ3
|
|
|
|
|
|
|
|
Привод
всасывающей задвижки
|
2
|
8,5
|
17
|
0,16
|
|
2,72
|
3,62
|
144,5
|
|
|
|
|
|
|
|
Итого:
|
2
|
|
17
|
0,16
|
|
2,72
|
3,62
|
144,5
|
2
|
4,52
|
12,29
|
16,35
|
20,46
|
29,53
|
|
Шкаф
управления задвижками ШУЗ4
|
|
|
|
|
|
|
|
Привод
всасывающей задвижки
|
2
|
8,5
|
17
|
0,16
|
|
2,72
|
3,62
|
144,5
|
|
|
|
|
|
|
|
Итого:
|
2
|
|
17
|
0,16
|
|
2,72
|
3,62
|
144,5
|
2
|
4,52
|
12,29
|
16,35
|
20,46
|
29,53
|
|
Шкаф
управления задвижками ШУЗ5
|
|
|
|
|
|
|
|
Привод
всасывающей задвижки
|
2
|
8,5
|
17
|
0,16
|
|
2,72
|
3,62
|
144,5
|
|
|
|
|
|
|
|
2
|
|
17
|
0,16
|
|
2,72
|
3,62
|
144,5
|
2
|
4,52
|
12,29
|
16,35
|
20,46
|
29,53
|
|
Шкаф
управления насосами ШУН5
|
|
|
|
|
|
|
|
Дренажный
насос
|
1
|
22
|
22
|
0,8
|
|
17,6
|
13,2
|
484
|
|
|
|
|
|
|
|
Дренажный
насос
|
1
|
18,5
|
18,5
|
0,8
|
|
14,8
|
11,1
|
342,25
|
|
|
|
|
|
|
|
Итого:
|
2
|
|
40,5
|
0,8
|
|
32,4
|
24,3
|
826,25
|
1
|
1
|
32,4
|
24,3
|
40,5
|
58,46
|
|
Исходные
данные
|
Расчетные
величины
|
Эффективное
число ЭП
|
Коэф-т
расчетной нагрузки Кр
|
Расчетная
мощность
|
Расчетный
ток, А
|
|
по
заданию технологов
|
по
справочным данным
|
КиPн
|
КиPнtgφ
|
npн2
|
|
|
активная,
кВт Рр = КрΣКиРи
|
реактивная,
квар Qр
= КрΣ
КиPнtgφ
|
полная,
кВ∙А
|
|
|
Наименование
ЭП
|
Ко-во
ЭП, шт. n
|
Номинальная
(установленная) мощность, кВт
|
коэффициент
использования Ки
|
коэффициент
реактивной мощности
|
|
|
|
|
|
|
|
|
|
|
|
одного
ЭП pн
|
общая
Pн
= npн
|
|
|
|
|
|
|
|
|
|
|
|
|
1
|
2
|
3
|
4
|
5
|
6
|
7
|
8
|
9
|
10
|
11
|
12
|
13
|
14
|
15
|
|
Первая
секция ВРУ 0,4 кВ
|
|
|
|
|
|
|
|
ШУЗ1
|
2
|
|
17
|
0,16
|
|
2,72
|
3,62
|
144,5
|
|
|
|
|
|
|
|
ШУЗ2
|
2
|
|
17
|
0,16
|
|
2,72
|
3,62
|
144,5
|
|
|
|
|
|
|
|
ШУЗ3
|
2
|
|
17
|
0,16
|
|
2,72
|
3,62
|
144,5
|
|
|
|
|
|
|
|
ШУЗ4
|
2
|
|
17
|
0,16
|
|
2,72
|
3,62
|
144,5
|
|
|
|
|
|
|
|
ШУЗ5
|
2
|
|
17
|
0,16
|
|
2,72
|
3,62
|
144,5
|
|
|
|
|
|
|
|
ШУН5
|
2
|
|
40,5
|
0,8
|
|
32,4
|
24,3
|
826,25
|
|
|
|
|
|
|
|
Итого:
|
12
|
|
125,5
|
0,37
|
|
46,00
|
42,39
|
1548,75
|
10
|
1,17
|
53,82
|
49,59
|
73,19
|
105,63
|
|
|
|
|
|
|
|
|
|
|
|
|
|
|
|
|
Таблица 3.2 - Расчет электрических нагрузок
второй секции ВРУ 0,4 кВ
|
Исходные
данные
|
Расчетные
величины
|
Эффективное
число ЭП
|
Коэф-т
расчетной нагрузки Кр
|
Расчетная
мощность
|
Расчетный
ток, А
|
|
по
заданию технологов
|
по
справочным данным
|
КиPн
|
КиPнtgφ
|
npн2
|
|
|
активная,
кВт Рр = КрΣКиРи
|
реактивная,
квар Qр
= КрΣ
КиPнtgφ
|
полная,
кВ∙А
|
|
|
Наименование
ЭП
|
Ко-во
ЭП, шт. n
|
Номинальная
(установленная) мощность, кВт
|
коэффициент
использования Ки
|
коэффициент
реактивной мощности
|
|
|
|
|
|
|
|
|
|
|
|
одного
ЭП pн
|
общая
Pн
= npн
|
|
|
|
|
|
|
|
|
|
|
|
|
1
|
2
|
3
|
4
|
5
|
6
|
7
|
8
|
9
|
10
|
11
|
12
|
13
|
14
|
15
|
|
Шкаф
управления задвижками ШУЗ6
|
|
Привод
разделительной задвижки
|
3
|
8,5
|
25,5
|
0,16
|
|
4,08
|
5,43
|
216,75
|
|
|
|
|
|
|
|
Итого:
|
3
|
|
25,5
|
0,16
|
|
4,08
|
5,43
|
216,75
|
3
|
3,01
|
12,28
|
16,33
|
20,44
|
29,5
|
|
Шкаф
управления вентиляторами ШУВ1
|
|
|
|
|
|
|
|
Вентилятор
|
6
|
3
|
18
|
0,8
|
|
14,4
|
10,8
|
54
|
|
|
|
|
|
|
|
Итого:
|
|
18
|
0,8
|
|
14,4
|
10,8
|
54
|
6
|
1
|
14,4
|
10,8
|
18
|
25,98
|
|
Шкаф
управления вентиляторами ШУВ2
|
|
Вентилятор
|
1
|
3
|
3
|
0,8
|
|
2,4
|
1,8
|
9
|
|
|
|
|
|
|
|
Итого:
|
1
|
|
3
|
0,8
|
|
2,4
|
1,8
|
9
|
1
|
1
|
3
|
2,25
|
3,75
|
5,41
|
|
Шкаф
управления калориферами ШУК1
|
|
|
|
|
|
|
|
Электрона-греватель
|
1
|
24
|
24
|
0,8
|
|
19,2
|
3,84
|
576
|
|
|
|
|
|
|
|
Электрона-греватель
|
1
|
18
|
18
|
0,8
|
|
14,4
|
2,88
|
324
|
|
|
|
|
|
|
|
Итого:
|
2
|
|
42
|
0,8
|
|
33,6
|
6,72
|
900
|
1
|
1
|
33,6
|
6,72
|
34,27
|
49,46
|
|
Силовой
щит ЩС1
|
|
Кран-балка
5т
|
1
|
8
|
8
|
0,1
|
|
0,8
|
1,38
|
64
|
|
|
|
|
|
|
|
2
|
0,55
|
1,1
|
0,1
|
|
0,11
|
0,19
|
0,61
|
|
|
|
|
|
|
|
Тельфер
1т
|
1
|
1,5
|
1,5
|
0,1
|
|
0,15
|
0,26
|
2,25
|
|
|
|
|
|
|
|
1
|
0,12
|
0,12
|
0,1
|
|
0,01
|
0,02
|
0,01
|
|
|
|
|
|
|
|
Сверлильный
станок
|
1
|
2,2
|
2,2
|
0,14
|
|
0,31
|
0,53
|
4,84
|
|
|
|
|
|
|
|
Точильный
станок
|
1
|
2,2
|
2,2
|
0,14
|
|
0,31
|
0,53
|
4,84
|
|
|
|
|
|
|
|
Итого:
|
7
|
|
15,12
|
0,11
|
|
1,69
|
2,92
|
76,55
|
2
|
6,6
|
11,14
|
19,27
|
22,26
|
32,13
|
|
Исходные
данные
|
Расчетные
величины
|
Эффективное
число ЭП
|
Коэф-т
расчетной нагрузки Кр
|
Расчетная
мощность
|
Расчетный
ток, А
|
|
по
заданию технологов
|
по
справочным данным
|
КиPн
|
КиPнtgφ
|
npн2
|
|
|
активная,
кВт Рр = КрΣКиРи
|
реактивная,
квар Qр
= КрΣ
КиPнtgφ
|
полная,
кВ∙А
|
|
|
Наименование
ЭП
|
Ко-во
ЭП, шт. n
|
Номинальная
(установленная) мощность, кВт
|
коэффициент
использования Ки
|
коэффициент
реактивной мощности
|
|
|
|
|
|
|
|
|
|
|
|
одного
ЭП pн
|
общая
Pн
= npн
|
|
|
|
|
|
|
|
|
|
|
|
|
Вторая
секция ВРУ 0,4 кВ
|
|
Вытяжной
вентилятор
|
1
|
|
3
|
0,8
|
|
2,4
|
1,8
|
9
|
|
|
|
|
|
|
|
ШУЗ6
|
3
|
|
25,5
|
0,16
|
|
4,08
|
5,42
|
216,75
|
|
|
|
|
|
|
|
ШУВ1
|
6
|
|
18
|
0,8
|
|
14,4
|
10,8
|
54
|
|
|
|
|
|
|
|
ШУК1
|
2
|
|
42
|
0,8
|
|
33,6
|
6,72
|
900
|
|
|
|
|
|
|
|
ЩС1
|
7
|
|
15,12
|
0,11
|
|
1,69
|
2,92
|
76,55
|
|
|
|
|
|
|
|
Итого:
|
19
|
|
103,62
|
0,54
|
|
56,17
|
27,67
|
1256,29
|
8
|
1,1
|
61,78
|
30,43
|
68,87
|
99,41
|
|
|
|
|
|
|
|
|
|
|
|
|
|
|
|
|
3.3
Выбор кабелей питающих и распределительных линий
Выбор сечений электрических проводников
осуществляется по допустимому нагреву длительно протекающим максимальным рабочим
(расчетным) током, по экономической плотности тока и условию короны[6].
Для линий напряжением 6 кВ сечения силовых
кабелей выбираются по допустимому нагреву, экономической плотности тока и
выполняется проверка по потере напряжения. Проверка сечений по условию короны
для линий напряжением ниже 35 кВ не выполняется [6].
Сечения линий по допустимому нагреву выбираются
исходя из условия [2]:
гдеIр
- максимальный рабочий (расчетный) ток;
Kт
- поправочный коэффициент в зависимости от температуры;
Kп
- поправочный коэффициент, учитывающий способ прокладки;
Iдоп
- длительно допустимый ток.
Выбор сечений по экономической плотности тока
осуществляется из соотношения[2]:
гдеIр
- максимальный рабочий (расчетный) ток;
Jэ
- нормированное значение экономической плотности тока для заданного режима
работы; Для питающих линий за максимальный рабочий ток принимается расчетный
ток. Для распределительных линий, питающих отдельные электроприемники,
расчетный ток определяется по формуле [2]:
гдеIр
- максимальный рабочий (расчетный) ток;
Pном
- номинальная активная мощность электроприемника;
Uном
- номинальное напряжение сети;
cosφ
- коэффициент мощности.
Проверка сечений по потери напряжения
выполняется по условию[2]:
гдеΔUт
- потери напряжения во вторичной обмотке трансформатора, %; ΔUл
- потери напряжения в линии, %;
ΔUдоп
- допустимые потери напряжения, % (принимаются равными5% [2]). Потери
напряжения в линиях определяем по формуле [2]:
гдеIр
- расчетный ток линии, А; r0
- удельное активное сопротивление линии, Ом/км; x0
- удельное индуктивное сопротивление линии, Ом/км;
l
- длина линии, км; cosφср
- средневзвешенный коэффициент мощности группы электроприемников;
Uном
- номинальное напряжение линии, В.
В качестве примера рассмотрим выбор кабелей для
питающей линии I.
Для линии I
максимальный рабочий ток равен 286,69А (таблица 3.1), поправочные коэффициенты Kт
и Kп
равны 1 [2]. Руководствуясь справочными данными выбираем трехжильный кабель
ААШв сечением 120 мм2. Длительно допустимый ток для данного кабеля
равен 300А [5]. Исходя из (3.1), данный кабель соответствует условию
допустимого нагрева:
Определим по (3.2)
сечение по экономической плотности тока, при этом значениеJэ
= 1,2 [6]:
Выбираем ближайшее большее стандартное сечение
кабеля Sэ
= 240 мм2.Из двух значений сечений, определенных по (3.1) и (3.2)
необходимо выбрать большее [6]. Окончательно для линии Iвыбираем
трехжильный кабель ААШв сечением 240 мм2. Выполним проверку
выбранного кабеля по потере напряжения. Определим потери в линии Iпо
формуле (3.5), принимаяl
= 1 км (смотри исходные данные),Iр
= 286,69А, cosφср
= 0,82 (таблица 3.1), r0
= 0,129 Ом/км, x0
= 0,071 Ом/км [2]:
Согласно (3.4) выбранный кабель удовлетворяет
условию потери напряжения:
здесь потери напряжения во вторичной обмотке трансформатора
ΔUт
равны нулю, т.к. линия подключена непосредственно к шинам питающего
распределительного устройства. В случае если потери напряжения превышают
допустимые, необходимо выбрать ближайшее большее сечение из стандартного ряда и
повторно выполнить проверку по потере напряжения.
Окончательно выбранные сечения кабельных линий,
удельные активные и индуктивные сопротивления этих линий, а также потери
напряжения заносятся в графы 11-15 таблицы 3.3 Для остальных линий выбор
сечений производится аналогичным образом. Результаты расчета сведены в таблицу
3.3. Для линий напряжением 0,4 кВ сечения силовых кабелей выбираются в целом
аналогично расчету, приведенному в п/п 3.3.1, за исключением того, что для
линий напряжением ниже 1 кВ выбор сечения по экономической плотности тока не
производится[6]. Результаты сводятся в таблицу 3.3.
Таблица 3.3 - Выбор кабелей питающих и
распределительных линий 6 и 0,4 кВ
|
Обозначение
линии
|
Марка
кабеля
|
Способ
прокладки
|
Длина
линии l,
м
|
Максимальный
рабочий ток Iр,
А
|
Поправочный
коэффициент Kт
|
Поправочный
коэффициент Kп
|
Сечение
по экономической плотности тока Sэ,
мм2
|
Сечение
по допустимому нагреву Sн,
мм2
|
Длительно
допустимый ток Iд,
А
|
Окончательно
выбранное сечениеS,
мм2
|
Удельное
активное сопротивление r0,
мОм/м
|
Удельное
индуктивное сопротивление x0,
мОм/м
|
Потери
напряжения в линии DUл,
%
|
Суммарные
потери напряжения DUΣ,
%
|
|
1
|
2
|
3
|
4
|
5
|
6
|
7
|
8
|
9
|
10
|
11
|
12
|
13
|
14
|
15
|
|
I
|
ААШв
|
в
земле
|
1000
|
286,69
|
1,00
|
1,00
|
240
|
120
|
300
|
240
|
0,129
|
0,071
|
1,21
|
1,21
|
|
II
|
ААШв
|
в
земле
|
100
|
286,69
|
1,00
|
1,00
|
240
|
120
|
300
|
240
|
0,129
|
0,071
|
0,12
|
0,12
|
|
III
|
ААШв
|
в
земле
|
800
|
125,09
|
1,00
|
1,00
|
120
|
50
|
155
|
120
|
0,258
|
0,076
|
0,75
|
1,96
|
|
Т1-1
|
ААБвГ
|
по
воздуху
|
6
|
14,46
|
1,00
|
1,00
|
16
|
10
|
42
|
16
|
1,94
|
0,102
|
0,00
|
1,21
|
|
Т2-1
|
ААБвГ
|
по
воздуху
|
4
|
14,46
|
1,00
|
1,00
|
16
|
10
|
42
|
16
|
0,102
|
0,00
|
1,21
|
|
1-1
|
ААБвГ
|
по
воздуху
|
17
|
48,11
|
1,00
|
1,00
|
50
|
16
|
50
|
50
|
0,62
|
0,083
|
0,01
|
1,22
|
|
2-1
|
ААБвГ
|
по
воздуху
|
13,5
|
48,11
|
1,00
|
1,00
|
50
|
16
|
50
|
50
|
0,62
|
0,083
|
0,01
|
1,22
|
|
3-1
|
ААБвГ
|
по
воздуху
|
20
|
48,11
|
1,00
|
1,00
|
50
|
16
|
50
|
50
|
0,62
|
0,083
|
0,02
|
1,23
|
|
4-1
|
ААБвГ
|
по
воздуху
|
22
|
48,11
|
1,00
|
1,00
|
50
|
16
|
50
|
50
|
0,62
|
0,083
|
0,02
|
1,23
|
|
Т1-2
|
АВРБГ
|
по
воздуху
|
14,5
|
216,84
|
1,00
|
1,00
|
-
|
120
|
236
|
120
|
0,258
|
0,0602
|
0,35
|
3,4
|
|
Т2-2
|
АВРБГ
|
по
воздуху
|
15,5
|
216,84
|
1,00
|
1,00
|
-
|
120
|
236
|
120
|
0,258
|
0,0602
|
0,37
|
3,42
|
|
5
|
АВРБГ
|
по
воздуху
|
37,5
|
32,13
|
1,00
|
1,00
|
-
|
6
|
37
|
10
|
3,1
|
0,073
|
0,87
|
4,29
|
|
5-5
|
КГ
|
по
воздуху
|
14
|
4,7
|
1,00
|
1,00
|
-
|
1,5
|
21
|
1,5
|
12,26
|
0,101
|
0,19
|
4,48
|
|
5-8
|
КГ
|
по
воздуху
|
33
|
26,27
|
1,00
|
1,00
|
-
|
2,5
|
28
|
6
|
3,07
|
0,090
|
0,64
|
4,93
|
|
5-9
|
АВРБГ
|
по
воздуху
|
19
|
6,35
|
1,00
|
1,00
|
-
|
2,5
|
21
|
2,5
|
13,3
|
0,099
|
0,37
|
4,66
|
|
5-10
|
АВРБГ
|
по
воздуху
|
21
|
6,35
|
1,00
|
1,00
|
-
|
2,5
|
21
|
2,5
|
13,3
|
0,099
|
0,41
|
4,7
|
|
6
|
АВРБГ
|
по
воздуху
|
30,5
|
25,98
|
1,00
|
1,00
|
-
|
4
|
29
|
10
|
3,1
|
0,073
|
0,91
|
4,33
|
|
6-6
|
АВРБГ
|
по
воздуху
|
14
|
5,41
|
1,00
|
1,00
|
-
|
2,5
|
21
|
2,5
|
13,3
|
0,099
|
0,37
|
4,7
|
|
6-7
|
АВРБГ
|
по
воздуху
|
14,5
|
5,41
|
1,00
|
1,00
|
-
|
2,5
|
21
|
2,5
|
13,3
|
0,099
|
0,38
|
4,71
|
|
6-12
|
АВРБГ
|
по
воздуху
|
16
|
5,41
|
1,00
|
1,00
|
-
|
2,5
|
21
|
2,5
|
13,3
|
0,099
|
0,42
|
4,75
|
|
6-15
|
АВРБГ
|
по
воздуху
|
13,5
|
5,41
|
1,00
|
1,00
|
-
|
2,5
|
21
|
2,5
|
13,3
|
0,099
|
0,36
|
4,69
|
|
6-16
|
АВРБГ
|
по
воздуху
|
18
|
5,41
|
1,00
|
1,00
|
-
|
2,5
|
21
|
2,5
|
13,3
|
0,099
|
0,48
|
4,81
|
|
6-17
|
АВРБГ
|
по
воздуху
|
22
|
5,41
|
1,00
|
1,00
|
-
|
2,5
|
21
|
2,5
|
13,3
|
0,099
|
0,58
|
4,91
|
|
7
|
АВРБГ
|
по
воздуху
|
28
|
49,46
|
1,00
|
1,00
|
-
|
10
|
50
|
25
|
1,24
|
0,0662
|
0,78
|
4,2
|
|
7-14
|
АВРБГ
|
по
воздуху
|
15
|
35,35
|
1,00
|
1,00
|
-
|
6
|
37
|
10
|
3,1
|
0,073
|
0,77
|
4,97
|
|
7-13
|
АВРБГ
|
по
воздуху
|
18
|
26,51
|
1,00
|
1,00
|
-
|
4
|
29
|
10
|
3,1
|
0,073
|
0,66
|
4,86
|
|
8-11
|
АВРБГ
|
по
воздуху
|
10
|
5,41
|
1,00
|
1,00
|
-
|
2,5
|
21
|
2,5
|
13,3
|
0,099
|
0,26
|
3,68
|
|
9
|
АВРБГ
|
по
воздуху
|
40,5
|
29,53
|
1,00
|
1,00
|
-
|
6
|
37
|
16
|
1,94
|
0,0675
|
0,87
|
4,29
|
|
9-19
|
АВРБГ
|
3
|
15,33
|
1,00
|
1,00
|
-
|
2,5
|
21
|
2,5
|
13,3
|
0,099
|
0,22
|
4,51
|
|
9-20
|
АВРБГ
|
по
воздуху
|
8
|
15,33
|
1,00
|
1,00
|
-
|
2,5
|
21
|
2,5
|
13,3
|
0,099
|
0,6
|
4,89
|
|
10
|
АВРБГ
|
по
воздуху
|
33
|
29,53
|
1,00
|
1,00
|
-
|
6
|
37
|
16
|
1,94
|
0,0675
|
0,71
|
4,13
|
|
10-22
|
АВРБГ
|
по
воздуху
|
3,5
|
15,33
|
1,00
|
1,00
|
-
|
2,5
|
21
|
2,5
|
13,3
|
0,099
|
0,26
|
4,39
|
|
10-23
|
АВРБГ
|
по
воздуху
|
9
|
15,33
|
1,00
|
1,00
|
-
|
2,5
|
21
|
2,5
|
13,3
|
0,099
|
0,67
|
4,8
|
|
11
|
АВРБГ
|
по
воздуху
|
29
|
29,53
|
1,00
|
1,00
|
-
|
6
|
37
|
16
|
1,94
|
0,0675
|
0,62
|
4,04
|
|
11-25
|
АВРБГ
|
по
воздуху
|
3
|
15,33
|
1,00
|
1,00
|
-
|
2,5
|
21
|
2,5
|
13,3
|
0,099
|
0,22
|
4,26
|
|
11-26
|
АВРБГ
|
по
воздуху
|
8
|
15,33
|
1,00
|
1,00
|
-
|
2,5
|
21
|
2,5
|
13,3
|
0,099
|
0,6
|
4,86
|
|
12
|
АВРБГ
|
по
воздуху
|
35
|
29,53
|
1,00
|
1,00
|
-
|
6
|
37
|
16
|
1,94
|
0,0675
|
0,75
|
4,17
|
|
12-28
|
АВРБГ
|
по
воздуху
|
3
|
15,33
|
1,00
|
1,00
|
-
|
2,5
|
21
|
2,5
|
13,3
|
0,099
|
0,22
|
4,39
|
|
12-29
|
АВРБГ
|
по
воздуху
|
8
|
15,33
|
1,00
|
1,00
|
-
|
2,5
|
21
|
2,5
|
13,3
|
0,099
|
0,6
|
4,77
|
|
13
|
АВРБГ
|
по
воздуху
|
44
|
29,5
|
1,00
|
1,00
|
-
|
6
|
37
|
16
|
1,94
|
0,0675
|
0,94
|
4,36
|
|
13-21
|
АВРБГ
|
по
воздуху
|
5
|
15,33
|
1,00
|
1,00
|
-
|
2,5
|
21
|
2,5
|
13,3
|
0,099
|
0,37
|
4,73
|
|
13-24
|
АВРБГ
|
по
воздуху
|
2
|
15,33
|
1,00
|
1,00
|
-
|
2,5
|
21
|
2,5
|
13,3
|
0,099
|
0,15
|
4,51
|
|
13-27
|
АВРБГ
|
по
воздуху
|
6
|
15,33
|
1,00
|
1,00
|
-
|
2,5
|
21
|
2,5
|
13,3
|
0,099
|
0,45
|
4,81
|
|
14
|
АВРБГ
|
по
воздуху
|
43
|
29,53
|
1,00
|
1,00
|
-
|
6
|
37
|
16
|
1,94
|
0,0675
|
0,92
|
4,34
|
|
14-18
|
АВРБГ
|
по
воздуху
|
9
|
15,33
|
1,00
|
1,00
|
-
|
2,5
|
21
|
4
|
7,74
|
0,095
|
0,39
|
4,73
|
|
14-30
|
АВРБГ
|
по
воздуху
|
14
|
15,33
|
1,00
|
1,00
|
-
|
2,5
|
21
|
4
|
7,74
|
0,095
|
0,61
|
4,95
|
|
15
|
АВРБГ
|
по
воздуху
|
29
|
58,46
|
1,00
|
1,00
|
-
|
16
|
67
|
35
|
0,89
|
0,0637
|
0,85
|
4,27
|
|
15-31
|
АВРБГ
|
по
воздуху
|
9,5
|
39,69
|
1,00
|
1,00
|
-
|
10
|
50
|
10
|
3,1
|
0,073
|
0,43
|
4,7
|
|
15-32
|
АВРБГ
|
по
воздуху
|
9
|
33,38
|
1,00
|
1,00
|
-
|
6
|
37
|
6
|
5,17
|
0,090
|
0,57
|
4,84
|
4 Расчет
токов короткого замыкания
Расчет токов короткого замыкания выполняется для
проверки электрооборудования на термическую и электродинамическую стойкости, а
также для определения параметров релейной защиты.
4.1
Расчет токов короткого замыкания в сети 6 кВ
Так как расчетные точки находятся на одной
ступени напряжения, расчет целесообразно выполнять в именованных единицах.
Расчетная схема сети 6 кВ представлена на рисунке 4.1.
Рисунок 4.1 - Расчетная схема сети 6 кВ
Расчет параметров схемы замещения выполним
используя формулы (4.1) - (4.17) [5],[7].
) параметры схемы замещения линий.
Активное сопротивление:
гдеr0
- удельное активное сопротивление линии, Ом/км;
l
- длина линии, км.
Индуктивное сопротивление:
гдеx0
- удельное индуктивное сопротивление линии, Ом/км;
l
- длина линии, км.
Определим параметры схемы замещения линииW1:
Значения r0,
x0
и l,
необходимые для расчета параметров линийберем из таблицы 3.3,
2) параметры схемы замещения трансформаторов:
гдеΔPк-
мощность потерь короткого замыкания трансформатора, МВ∙А; Uном
- номинальное напряжение трансформатора, кВ;
Sном
- номинальная мощность трансформатора, МВ∙А.
гдеUном
- номинальное напряжение трансформатора, кВ;
Sном
- номинальная мощность трансформатора, МВ∙А;
Uк-
напряжение короткого замыкания трансформатора, %.
Определим параметры схемы замещения
трансформаторов Т1, Т2:
Значения величин необходимые для расчета
принимаем по таблице 2.1/
3) Параметры схемы замещения асинхронных
двигателей.
Активное сопротивление:
гдеUном
- номинальное напряжение двигателя, кВ; Sм.ном
- номинальная полная мощность двигателя, МВ∙А; rм*(н)
- активное сопротивление двигателя при номинальных условиях в относительных
единицах.
гдеsном
- номинальное скольжение двигателя, %.
Индуктивное сопротивление:
гдеxм*(н)
- сверхпереходное индуктивное сопротивление двигателя при номинальных условиях
в относительных единицах;
где Iп*(н)
- кратность пускового тока двигателя по отношению к его номинальному току.
ЭДС:
гдеEм*(н)
- сверхпереходная ЭДС двигателя при номинальных условиях в относительных
единицах. Определим параметры схемы замещения двигателей М1-М4. Тип двигателей:
ВАН118/23-8У3 (смотри исходные данные). Номинальную полную мощность двигателей
можно определить по формуле:
Номинальное скольжение для данного типа
двигателей принимаем по паспортным данным sном
= 1,9 % [8].
Кратность пускового тока для данного типа
двигателей принимаем по паспортным данным Iп*(н)
= 4,2 [8].
4) параметры схемы замещения обобщенных нагрузок.
Активное сопротивление:
Индуктивное сопротивление:
где0,17 и 0,23- значения активного и
индуктивного сопротивления типовой нагрузки в относительных единицах [7];
Sном-
полная мощность нагрузки, МВ∙А;
ЭДС:
Где 0,788- значения ЭДС типовой нагрузки, отн.
ед.[7].
Определим параметры нагрузки Н3.
В качестве нагрузки Н3 представлена
трансформаторная подстанция ТП-365 мощностью 1,3 МВ∙А, подключенная к
шинам первой секции распределительного устройства 6кВ (смотри исходные данные).
5) Параметры схемы замещения систем
электроснабжения.
Активное сопротивление:
Индуктивное сопротивление:
где Iк(3)
- ток трехфазного короткого замыкания на шинах питающей подстанции, кА.
ЭДС:
Определим параметры системы С1.
Параметры остальных элементов схемы замещения
определяем аналогичным образом, результаты сводим в таблицу 4.1. Схема
замещения представлена на рисунке 4.2.
Таблица 4.1 - Параметры элементов схемы
замещения сети 6 кВ
|
Элемент
схемы
|
Обозначение
на плане
|
r, Ом
|
х,
Ом
|
ЭДС,
кВ
|
|
С1
|
-
|
0,012
|
0,182
|
3,64
|
|
С2
|
-
|
0,012
|
0,182
|
3,64
|
|
W1
|
I
|
0,129
|
0,071
|
-
|
|
W2
|
II
|
0,013
|
0,007
|
-
|
|
W3
|
III
|
0,206
|
0,061
|
-
|
|
W4
|
Т1-1
|
0,011
|
0,001
|
-
|
|
W5
|
1-1
|
0,012
|
0,002
|
-
|
|
W6
|
3-1
|
0,012
|
0,001
|
-
|
|
W7
|
Т1-2
|
0,008
|
0,000
|
-
|
|
W8
|
2-1
|
0,008
|
0,001
|
-
|
|
W9
|
4-1
|
0,014
|
0,002
|
-
|
|
Т1,Т2
|
Т1,Т2
|
4,08
|
10,13
|
-
|
|
М1,
М2, М3, М4
|
1,2,3,4
|
1,37
|
17,28
|
3,2
|
|
Н1
|
-
|
83,62
|
113,13
|
2,87
|
|
Н2
|
-
|
88,86
|
120,23
|
2,87
|
|
Н3
|
-
|
4,71
|
6,37
|
2,87
|
Рисунок 4.2 - Схема замещения сети 6 кВ
Расчет токовКЗ в точке К1.
Ток трехфазного короткого замыкания, равный
периодической составляющей тока КЗ в начальный момент времени определим по
формуле [7]:
гдеEэ
- эквивалентная ЭДС источников, участвующих в питании места КЗ, кВ;
xэ
- эквивалентное индуктивное сопротивление относительно точки КЗ, Ом;
1)определим эквивалентное индуктивное
сопротивление.
Суммарное сопротивление 1-й ветви:
Суммарное сопротивление 3-й ветви:
Суммарное сопротивление 4-й ветви:
Суммарное сопротивление 5-й ветви:
Суммарное сопротивление 6-й ветви:
Сопротивление при параллельном соединении 1-й и
3-й ветви:
Сопротивление при параллельном соединении 1-й,
3-й и 4-й ветвей:
Сопротивление при параллельном соединении 1-й,
3-й, 4-й и 5-й ветвей:
Эквивалентное индуктивное сопротивление:
2) определим эквивалентное активное
сопротивление.
Суммарное сопротивление 1-й ветви:
Суммарное сопротивление 3-й ветви:
Суммарное сопротивление 4-й ветви:
Суммарное сопротивление 5-й ветви:
Суммарное сопротивление 6-й ветви:
Сопротивление при параллельном соединении 1-й и
3-й ветви:
Сопротивление при параллельном соединении 1-й,
3-й и 4-й ветвей:
Сопротивление при параллельном соединении 1-й,
3-й, 4-й и 5-й ветвей:
Эквивалентное активное сопротивление:
3) определим эквивалентную ЭДС.
Эквивалентная ЭДС от 1-й и 3-й ветви:
Эквивалентная ЭДС от 1-й, 3-й и 4-й ветви:
Эквивалентная ЭДС от 1-й, 3-й, 4-й и 5-й ветвей:
Эквивалентная ЭДС источников, участвующих в
питании точки КЗ:
4) определим по формуле (4.18) ток трехфазного
КЗ в точке К1:
5) ударный ток в точке К1определим по формуле
[7]:
где Куд - ударный коэффициент,
определяемый по формуле (4.20)
где
Токи КЗ в точке К2 определяются аналогичным
образом, результаты сведены в таблицу 4.2.
Таблица 4.2 - Расчет токов КЗ в сети 6 кВ
|
Расчетная
точка
|
rэ,
Ом
|
xэ,
Ом
|
Еэ,
кВ
|
Iк(3)
= Iп0,
кА
|
iуд,
кА
|
|
К1
|
0,114
|
0,236
|
3,59
|
15,19
|
27,28
|
|
К2
|
0,024
|
0,185
|
3,63
|
19,57
|
27,68
|
4.2
Расчет токов КЗ в сети 0,4 кВ
При расчете токов КЗ в низковольтной сети
следует учитывать[7]:
) индуктивные сопротивления всех элементов
короткозамкнутой цепи, включая силовые трансформаторы, проводники,
трансформаторы тока, реакторы, токовые катушки автоматических выключателей;
) активные сопротивления элементов
короткозамкнутой цепи;
) активные сопротивления различных контактов и
контактных соединений.
Выполним расчет токовКЗ в точке К1.
Рисунок 4.3 - Расчетная схема для определения
токов КЗ в точке К1
Определим параметры схемы замещения прямой
последовательности.
Схема замещения показана на рисунке 4.4.
Рисунок 4.4 - Схема замещения прямой
последовательности
Активные и индуктивные сопротивления всех
элементов схемы замещения рекомендуется выражать в миллиомах.
Определим параметры системы по формуле [2]:
гдеxс-
индуктивное сопротивление системы, мОм;
Uср.НН-
среднее напряжение обмотки низшего напряжения трансформатора, В;
Uср.ВН-
среднее напряжение обмотки высшего напряжения трансформатора, В; I(3)к.ВН-
значение тока трехфазного КЗ у выводов обмотки высшего напряжения
трансформатора, кА.
Значение тока трехфазного КЗ возьмем из
предыдущего расчета (смотри пункт 4.1)
Параметры трансформатора возьмем из предыдущего
расчета (смотри пункт 4.1), которые необходимо привести к ступени 0,4 кВ по
формулам [7]:
гдеr°,
x°
- приведенные значения активного и индуктивного сопротивления, Ом;
r,
x- исходные значения
активного и индуктивного сопротивления, Ом;
n-
значение коэффициента трансформации трансформатора или автотрансформатора.
Под коэффициентом трансформации понимается
отношение напряжения обмотки холостого хода трансформатора, обращенной в
сторону основной ступени напряжения сети, к напряжению холостого хода другой
обмотки [7].
Определим параметры линии W1
по формулам (4.1), (4.2):
Значения удельного активного и индуктивного
сопротивлений, а также длину линии принимаем по таблице 3.3.
Значения активного и индуктивного сопротивления
токовых катушек автоматического выключателя равны [2]:
Сопротивление контактов и контактных соединений
определим, как сумму сопротивлений контактов автоматического выключателя и
контактных соединений кабеля. Сопротивление контактов автоматического
выключателя принимаем равным 1 мОм, сопротивление контактных соединений кабеля
0,1 мОм [7]. Количество контактных соединений кабеля равно 4.
Суммарное сопротивление контактов и контактных
соединений:
Определим суммарные значения сопротивлений:
Определим ток трехфазного короткого замыкания по
формуле [7]:
Для определения однофазного тока короткого
замыкания на землю необходимо составить схему замещения нулевой
последовательности.
Схема замещения нулевой последовательности
показана на рисунке 4.5.
Рисунок 4.5 - Схема замещения нулевой
последовательности
Определим параметры схемы замещения нулевой
последовательности.
Активное и индуктивное сопротивления силового
трансформатора, обмотки которого соединены по схеме Δ/Y,принимаются
равными сопротивлениям прямой последовательности [7].
Активное и индуктивное сопротивления токовых
катушек автоматического выключателя, а также активные сопротивления контактов и
контактных соединений принимаются равными активным и индуктивным сопротивлениям
прямой последовательности.
Активное и индуктивное сопротивления линии W1
определим по формулам [7]:
гдеr0п-
удельное активное сопротивление нулевой последовательности линии, мОм/м;
x0п
- удельное индуктивное сопротивление нулевой последовательности линии, мОм/м;
l-
длина линии, м.
Удельное активное и индуктивное сопротивления
линии W1 равны 1,96 мОм/м
и 0,74 мОм/м соответственно [2].
Определим суммарные сопротивления нулевой
последовательности:
Определим ток однофазного КЗ на землю по формуле
[7]:
Расчет токов КЗ в остальных точках проводится
аналогичным образом. Результаты представлены в таблице 4.3. Расчетные точки
показаны на рисунке 4.6.
Рисунок 4.3 - Расчетная схема сети 0,4кВ
Таблица 4.3 - Расчет токов КЗ в сети 0,4 кВ
|
Расчетная
точка
|
RΣ,
мОм
|
XΣ,
мОм
|
R0Σ,
мОм
|
X0Σ,
мОм
|
Iк(3),кА
|
|
К1
|
24,37
|
47,36
|
49,05
|
56,25
|
4,34
|
3,85
|
|
К2
|
24,77
|
47,28
|
51,01
|
57,02
|
4,33
|
3,81
|
|
К3
|
116,29
|
51,75
|
242,76
|
109,61
|
1,81
|
1,33
|
|
К4
|
111,44
|
51,75
|
231,96
|
106,81
|
1,88
|
1,38
|
|
К5
|
96,89
|
51,75
|
199,56
|
98,41
|
2,10
|
1,57
|
|
К6
|
89,13
|
51,75
|
182,28
|
93,93
|
2,24
|
1,69
|
|
К7
|
100,77
|
51,75
|
208,20
|
100,65
|
2,04
|
1,51
|
|
К8
|
55,18
|
49,25
|
139,34
|
88,24
|
3,12
|
2,22
|
|
К9
|
118,08
|
51,52
|
249,04
|
111,47
|
1,79
|
1,31
|
|
К10
|
127,27
|
51,52
|
235,25
|
97,57
|
1,68
|
1,31
|
|
К11
|
67,44
|
51,52
|
155,28
|
92,15
|
2,72
|
1,98
|
|
К12
|
148,97
|
51,52
|
275,71
|
105,69
|
1,47
|
1,13
|
|
К13
|
165,72
|
51,52
|
174,96
|
74,59
|
1,33
|
1,29
|
|
К14
|
194,35
|
56,25
|
355,56
|
125,27
|
1,14
|
0,89
|
|
К15
|
233,05
|
56,25
|
413,56
|
131,47
|
0,96
|
0,76
|
|
К16
|
159,74
|
56,25
|
275,16
|
115,03
|
1,36
|
1,09
|
|
К17
|
226,24
|
56,25
|
333,16
|
121,23
|
0,99
|
0,85
|
|
К18
|
151,84
|
56,25
|
248,56
|
107,25
|
1,43
|
1,17
|
|
К19
|
224,99
|
56,25
|
312,36
|
114,07
|
1,00
|
0,87
|
|
К20
|
137,43
|
56,25
|
225,48
|
102,15
|
1,56
|
1,27
|
|
К21
|
203,93
|
56,25
|
283,48
|
108,35
|
1,09
|
0,95
|
|
К22
|
149,07
|
56,25
|
251,40
|
108,87
|
1,45
|
1,17
|
|
К23
|
215,57
|
56,25
|
309,40
|
115,07
|
1,04
|
0,89
|
|
К24
|
93,03
|
53,75
|
202,65
|
103,76
|
2,15
|
1,57
|
|
К25
|
110,11
|
53,75
|
223,16
|
103,54
|
1,88
|
1,41
|
|
К26
|
192,98
|
56,02
|
315,44
|
122,17
|
1,15
|
0,94
|
|
К27
|
153,08
|
56,02
|
280,64
|
118,45
|
1,42
|
1,10
|
|
К28
|
206,28
|
56,02
|
327,04
|
123,41
|
1,08
|
0,89
|
|
К29
|
321,87
|
56,02
|
406,05
|
119,43
|
0,71
|
0,64
|
|
К30
|
328,52
|
56,02
|
411,85
|
120,05
|
0,69
|
0,63
|
|
К31
|
348,47
|
56,02
|
429,25
|
121,91
|
0,65
|
0,60
|
|
К32
|
315,22
|
56,02
|
400,25
|
118,81
|
0,72
|
0,66
|
|
К33
|
375,07
|
56,02
|
452,45
|
124,39
|
0,61
|
0,57
|
|
К34
|
428,27
|
56,02
|
498,85
|
129,35
|
0,53
|
0,50
|
|
К35
|
122,34
|
56,02
|
250,38
|
114,05
|
1,72
|
1,27
|
|
К36
|
131,64
|
56,02
|
267,72
|
117,53
|
1,61
|
1,20
|
|
К37
|
329,01
|
56,02
|
341,09
|
133,85
|
0,69
|
0,67
|
|
К38
|
258,68
|
56,02
|
418,42
|
165,96
|
0,87
|
0,71
|
|
К39
|
410,07
|
56,02
|
504,51
|
133,75
|
0,56
|
0,51
|
|
К40
|
436,67
|
56,02
|
527,71
|
136,23
|
0,52
|
0,49
|
5 Расчет
возможности пуска двигателя
Целью данного расчета является проверка
возможности пуска двигателя и устойчивости работы предвключенного двигателя при
пуске.
Рассмотрим пуск двигателя 3-го насосного
агрегата, обозначенного на схеме М2 (рисунок 5.1), принимая, что двигатель 2-го
насосного агрегата (М1) находится в работе с нагрузкой 80% отноминальной
(смотри исходные данные). Расчетная схема представлена на рисунке 5.1
Рисунок 5.1 - Расчетная схема
Нагрузками, обозначенными на схеме Н1 и Н2
(рисунок 5.1) являются ТП - 365 мощностью 1,3 МВ∙А (смотри исходные
данные) и нагрузка первой секции ВРУ 0,4 кВ мощностью 73,19 кВ∙А (смотри
таблицу 3.1) соответственно.
5.1
Определение параметров схемы замещения
Параметры схемы замещения линий определим по
формулам (4.1), (4.2)
Значения r0,
x0
и l,
необходимые для расчета параметров линийпринимаем по таблице 3.3.
Параметры схемы замещения линии W1,
обозначенной - I в таблице
3.3:
Параметры остальных линий определяются
аналогичным образом, результаты представлены в таблице 5.1.
Параметры схемы замещения трансформатора
определим по формулам (4.3), (4.4), принимая значение величин, необходимых для
расчета по таблице 2.1:
Параметры схемы замещения предвключенной
нагрузки:
где Uср
- среднее напряжение сети, кВ;
Sн
- полная мощность нагрузки, МВ∙А;
сosφн
- коэффициент мощности нагрузки.
где Uср
- среднее напряжение сети, кВ;
Sн
- полная мощность нагрузки, МВ∙А;
сosφн
- коэффициент мощности нагрузки.
Значение sinφнопределяется
из основного тригонометрического тождества:
Параметры схемы замещения нагрузки Н1:
Коэффициент мощности нагрузки Н1 равен 0,85
(смотри исходные данные).
Параметры схемы замещения нагрузки Н2
определяются аналогичным образом, результат представлен в таблице 5.1.
Параметры схемы замещения предвключенного
двигателя:
где Uм.ном
- номинальное напряжение двигателя, кВ;
Sм.ном
- полная номинальная мощность двигателя, МВ∙А;
сosφм
- коэффициент мощности двигателя.
где Uм.ном
- номинальное напряжение двигателя, кВ;
Sм.ном
- полная номинальная мощность двигателя, МВ∙А;
сosφм
- коэффициент мощности двигателя.
Определим параметры схемы замещения
предвключенного двигателя М1:
Полную номинальную мощность двигателя найдем по
формуле (4.11), принимаяпо паспортным данным для данного типа двигателя
значения сosφм
= 0,84 и ηм
= 0,925 [8].
Значение sinφм
определим по формуле (5.3)
Параметры схемы замещения пускаемого двигателя:
где mп
- кратность начального пускового момента двигателя по отношению к номинальному;
kп
- кратность пускового тока двигателя по отношению кноминальному.
где mп
- кратность начального пускового момента двигателя по отношению к номинальному;
kп
- кратность пускового тока двигателя по отношению к номинальному. Определим
параметры схемы замещения пускаемого двигателя М2: Значения mп
и kп
определим по паспортным данным [8].
Значение ЭДС системы определим по формуле
(4.17):
Полные сопротивления элементов схемы замещения
определим по формуле:
Полное сопротивление линии W1:
Полные сопротивления остальных элементов
определяются аналогично, результаты представлены в таблице 5.1. Схема замещения
показана на рисунке 5.2.
Таблица 5.1 - Параметры схемы замещения
|
Элемент
схемы
|
Обозначение
в таблице 3.3
|
r, Ом
|
х,
Ом
|
z, Ом
|
|
С1
|
-
|
-
|
-
|
-
|
3,64
|
|
W1
|
I
|
0,129
|
0,071
|
0,15
|
-
|
|
W2
|
III
|
0,206
|
0,061
|
0,22
|
-
|
|
W3
|
Т1-1
|
0,011
|
0,001
|
0,01
|
-
|
|
W4
|
1-1
|
0,012
|
0,002
|
0,01
|
-
|
|
W5
|
3-1
|
0,012
|
0,001
|
0,01
|
-
|
|
Т
|
-
|
4,08
|
10,13
|
10,92
|
-
|
|
М1
|
-
|
58,74
|
27,97
|
65,06
|
-
|
|
М2
|
-
|
7,76
|
16,55
|
18,28
|
-
|
|
Н1
|
-
|
25,95
|
11,83
|
28,52
|
-
|
|
Н2
|
-
|
402,34
|
277,23
|
488,6
|
-
|
Рисунок 5.2 - Схема замещения
5.2
Расчет параметров эквивалентной схемы замещения
Определим сопротивления ветвей:
Определим проводимости ветвей по формуле:
Определим эквивалентное сопротивление:
Определим эквивалентную ЭДС:
Эквивалентная схема замещения представлена на
рисунке 5.3.
Рисунок 5.3 - Эквивалентная схема замещения
Определим пусковой ток:
Определим напряжение на выводах двигателя в
начальный момент пуска:
5.3
Определение возможности пуска двигателя
По условию необходимого момента вращения пуск
двигателя обеспечивается, если выполняется условие:
где U*п2
- относительное напряжение на выводах двигателя в начальный момент пуска;
mп
- кратностьначального пускового момента двигателя по отношению к номинальному;
mмех.0
- кратность начального момента сопротивления механизмапо отношению к
номинальному.
Проверим возможность пуска двигателя, принимая,
что условия пуска являются нормальными (mмех.0
= 0,5 [9]):
Значение U*п
можно определить следующим образом:
Условие (5.10) выполняется, следовательно, пуск
двигателя обеспечивается.
5.4
Проверка устойчивости работы предвключенного двигателя
Устойчивость работы предвключенного двигателя
при снижении напряжения в момент пуска обеспечивается, если выполняется
условие:
гдеmмах
- максимальный момент вращения двигателя по отношению к номинальному;
mмех
- момент сопротивления механизмапо отношению к номинальному, численно равный
коэффициенту загрузки двигателя.
Проверим устойчивость работы предвключенного
двигателя:
Условие (5.11) выполняется, следовательно,
устойчивая работа предвключенного двигателя обеспечивается.
6 Выбор и
проверка коммутационной аппаратуры
6.1
Выбор и проверка выключателей 6 кВ
Рассмотрим выбор выключателя, устанавливаемого
на вводе 1-й секции распределительного устройства 6 кВ.
Выбор и проверка выключателей напряжением выше 1
кВ осуществляется по следующим критериям [2]:
Выбор по допустимому напряжению:
гдеUв.ном
- номинальное напряжение выключателя, кВ;
Uном
- номинальное напряжение сети, кВ;
Выбор по допустимому нагреву длительно
протекающим максимальным рабочим током:
гдеIв.ном
- номинальное ток выключателя, А;
Iр
- максимальный рабочий (расчетный) ток, А;
Проверка выключателя по отключающей способности:
гдеIоткл
- номинальный ток отключения выключателя, кА;
Iп0
- значение периодической составляющей тока КЗ, кА;
Проверка на электродинамическую стойкость:
гдеiпр.с
- предельный сквознойток выключателя, кА;
iуд
- значение ударного тока КЗ, кА;
Проверка на термическую стойкость:
гдеBк
- номинальное значение теплового импульса выключателя, кА2∙ с;
Bк.р
- расчетное значение теплового импульса в период КЗ, кА2∙ с;
гдеtоткл
- длительность КЗ, с;
tр.з
- время действия релейной защиты, с;
tо.в
- полное время отключения выключателя, с;
гдеIт
- номинальный ток термической стойкости выключателя, кА;
tт
- номинальное значение времени термической стойкости выключателя, с;
Рассмотрим выбор выключателя, устанавливаемого
на вводе 1-й секции распределительного устройства 6 кВ.
Выбираем выключательВВ/TEL-10-20/630-У2.Номинальные
и расчетные параметры для выбора данного выключателя представлены в таблице
6.1.
Выполним проверку на термическую стойкость.
Длительность КЗ:
Расчетное значение теплового импульса в период
КЗ:
Номинальное значение теплового импульса
выключателя:
Таблица 6.1 - Выбор выключателя ВВ/TEL-10-20/630-У2
|
Критерий
|
Номинальные
параметры
|
Расчётные
параметры
|
|
Uв.ном≥Uс,
кВ
|
10
|
6
|
|
Iв.ном≥Iраб.макс,
А
|
630
|
286,69
|
|
Iоткл≥Iп0,
кА
|
20
|
15,19
|
|
Iпр.с≥iуд,
кА
|
52
|
27,28
|
|
tо.в,
с
|
0,25
|
-
|
|
tт,
с
|
3
|
-
|
|
tр.з,
с
|
-
|
0,1
|
|
Bк≥Bк.р,
кА2∙с
|
1200
|
80,76
|
Выбор остальных выключателей производится
аналогичным образом, результаты представлены в таблице 6.2.
Таблица 6.2 - Выбор выключателей
|
Обозначение
на схеме
|
№
камеры КСО
|
Тип
выключателя
|
|
Q1
|
2
|
ВВ/TEL-10-20/630-У2
|
|
Q2
|
4
|
ВВ/TEL-10-20/630-У2
|
|
Q3
|
5
|
ВВ/TEL-10-20/630-У2
|
|
Q4
|
7
|
ВВ/TEL-10-20/630-У2
|
|
Q5
|
11
|
ВВ/TEL-10-20/630-У2
|
|
Q6
|
12
|
ВВ/TEL-10-20/630-У2
|
|
Q7
|
13
|
ВВ/TEL-10-20/630-У2
|
|
Q8
|
15
|
ВВ/TEL-10-20/630-У2
|
|
QB
|
8
|
ВВ/TEL-10-20/630-У2
|
6.2
Выбор и проверка выключателей нагрузки 6 кВ
Выбор и проверка выключателей нагрузки
осуществляется аналогично выбору высоковольтных выключателей, за исключением
проверки на отключающую способность.
Рассмотрим выбор выключателя нагрузки для
трансформатора Т1.
Выбираем выключатель нагрузки ВНР-10/630-20з
Номинальные и расчетные параметры для выбора
данного выключателя нагрузки представлены в таблице 6.3.
Таблица 6.3 - Выбор выключателя
нагрузкиВНР-10/630-20з
|
Критерий
|
Номинальные
параметры
|
Расчётные
параметры
|
|
Uв.ном
≥ Uс, кВ
|
10
|
6
|
|
Iв.ном
≥ Iраб.макс, А
|
630
|
14,46
|
|
Iпр.с
≥ iуд, кА
|
51
|
27,28
|
|
tо.в,
с
|
0,25
|
-
|
|
tт,
с
|
1
|
-
|
|
tр.з,
с
|
-
|
0,1
|
|
Bк
≥ Bк.р,
кА2∙с
|
400
|
80,76
|
Выбор остальных выключателей нагрузки
производится аналогичным образом, результаты представлены в таблице 6.5.
6.3
Выбор и проверка разъединителей 6 кВ
Выбор и проверка разъединителей осуществляется
аналогично выбору выключателей нагрузки. Рассмотрим выбор разъединителя QS1
Выбираем разъединитель РВЗ-10/630 IIУХЛ2.
Номинальные и расчетные параметры для выбора
данного разъединителя представлены в таблице 6.4.
Таблица 6.4 - Выбор разъединителяРВЗ-10/630 II
УХЛ2
|
Критерий
|
Номинальные
параметры
|
Расчётные
параметры
|
|
Uв.ном
≥ Uс, кВ
|
10
|
6
|
|
Iв.ном
≥ Iраб.макс, А
|
630
|
286,69
|
|
Iпр.с
≥ iуд, кА
|
52
|
27,28
|
|
tо.в,
с
|
0,25
|
-
|
|
tт,
с
|
1
|
-
|
|
tр.з,
с
|
-
|
0,1
|
|
Bк
≥ Bк.р,
кА2∙с
|
400
|
80,76
|
Выбор остальных разъединителей производится
аналогичным образом, результаты представлены в таблице 6.5.
Таблица 6.5 - Выбор выключателей нагрузки и
разъединителей
|
Обозначение
на схеме
|
№
камеры КСО
|
Тип
выключателя
|
|
QW1
|
3
|
ВНР-10/630-20з
|
|
QW2
|
14
|
ВНР-10/630-20з
|
|
QS1, QS15
|
2
|
РВЗ-10/630
II УХЛ2
|
|
QS2
|
3
|
РВЗ-10/630
II УХЛ2
|
|
QS3, QS16
|
4
|
РВЗ-10/630
II УХЛ2
|
|
QS4, QS17
|
5
|
РВЗ-10/630
II УХЛ2
|
|
QS5
|
6
|
РВЗ-10/630
II УХЛ2
|
|
QS6, QS18
|
7
|
РВЗ-10/630
II УХЛ2
|
|
QS7
|
8
|
РВЗ-10/630
II УХЛ2
|
|
QS8
|
9
|
РВЗ-10/630
II УХЛ2
|
|
QS9
|
10
|
РВЗ-10/630
II УХЛ2
|
|
QS10, QS19
|
11
|
РВЗ-10/630
II УХЛ2
|
|
QS11, QS20
|
12
|
РВЗ-10/630
II УХЛ2
|
|
QS12, QS21
|
13
|
РВЗ-10/630
II УХЛ2
|
|
QS13
|
14
|
РВЗ-10/630
II УХЛ2
|
|
QS14, QS22
|
15
|
РВЗ-10/630
II УХЛ2
|
6.4
Выбор и автоматических выключателей 0,4 кВ
Выбор и проверка автоматических выключателей
осуществляется по следующим критериям [2]:
Выбор по номинальному напряжению:
гдеUа.в.ном
- номинальное напряжение автоматического выключателя, В;
Uном
- номинальное напряжение сети, В.
Выбор по номинальному току:
гдеIа.в.ном
- номинальный ток автоматического выключателя, А;
Iр
- максимальный рабочий (расчетный) ток, А.
Выбор по номинальному току теплового
расцепителя:
гдеIном.т.р
- номинальный ток теплового расцепителя автоматического выключателя, А;
Iпик
- пиковый ток защищаемого электроприемника, А.
Для электродвигателей пиковый ток равен
пусковому току. Для питающей линии пиковый ток определяется по формуле [2]:
гдеIп.мах
- наибольший пусковой ток электроприемника в группе, А;
Ки
- коэффициент использования электроприемника с наибольшим пусковым током;
Iном.мах
- номинальный ток электроприемника с наибольшим пусковым током, А.
Выбор по номинальному току электромагнитного
расцепителя:
гдеIном.э.р
- номинальное ток электромагнитного расцепителя автоматического выключателя, А.
Проверка по отключающей способности:
гдеI0
- отключающая способность автоматического выключателя, кА;
Iк(3)
- ток трехфазного короткого замыкания на выходе автоматического выключателя,
кА.
Проверка по чувствительности защит.
Для тепловых расцепителей:
Для электромагнитных расцепителей:
гдеIк(1)
- ток однофазного короткого замыкания на землю в конце зоны действия защиты
автоматического выключателя, кА.
Рассмотрим выбор автоматического выключателя
первой секции ВРУ 0,4 кВ. Определим пиковый ток по формуле (6.11):
Выбираем автоматический выключатель ВА 51-35.
Номинальные и расчетные параметры для выбора данного автоматического
выключателя приведены в таблице 6.6.
Выполним проверку по чувствительности защит:
Таблица 6.6 - Выбор автоматического выключателя
ВА 51-35
|
Критерий
|
Номинальные
параметры
|
Расчётные
параметры
|
|
Uа.в.ном≥
Uс, В
|
380
|
380
|
|
Iа.в.ном≥
Iраб.макс, А
|
250
|
105,63
|
|
Iном.т.р
≥ Iпик,
А
|
250
|
232,64
|
|
Iном.э.р
≥ 1,35Iпик,
А
|
3000
|
314,06
|
|
I0
≥ Iк(3),
кА
|
15
|
4,34
|
|
Iк(1),
кА
|
-
|
3,85
|
|
Kч.т.р
≥ 3
|
-
|
15,4
|
|
Kч.э.р
≥ 1,25
|
-
|
1,28
|
Таблица 6.7 - Выбор автоматических выключателей
|
Обозначение
|
Место
установки
|
Защищаемая
линия
|
Тип
выключателя
|
Номинальный
ток выключателя, А
|
|
QF1,QF2
|
I, II
ввод ВРУ 0,4 кВ
|
-
|
ВА
51-35
|
250
|
|
QF3
|
I секция ВРУ 0,4 кВ
|
14
|
ВА61-29
|
63
|
|
QF4
|
I секция ВРУ 0,4 кВ
|
9
|
ВА61-29
|
63
|
|
QF5
|
I секция ВРУ 0,4 кВ
|
10
|
ВА61-29
|
63
|
|
QF6
|
I секция ВРУ 0,4 кВ
|
11
|
ВА61-29
|
63
|
|
QF7
|
I секция ВРУ 0,4 кВ
|
12
|
ВА61-29
|
63
|
|
QF8
|
I секция ВРУ 0,4 кВ
|
15
|
ВА
51-31
|
100
|
|
QF9
|
II секция ВРУ 0,4 кВ
|
13
|
ВА61-29
|
63
|
|
QF10
|
II секция ВРУ 0,4 кВ
|
6
|
ВА61-29
|
63
|
|
QF11
|
II секция ВРУ 0,4 кВ
|
7
|
ВА
51-31
|
100
|
|
QF12
|
II секция ВРУ 0,4 кВ
|
5
|
ВА61-29
|
63
|
|
QF13
|
II секция ВРУ 0,4 кВ
|
8-11
|
ВА
51-25
|
25
|
|
QF14
|
ШУЗ5
|
14-18
|
ВА
51-25
|
25
|
|
QF15
|
ШУЗ5
|
14-30
|
ВА
51-25
|
25
|
|
QF16
|
ШУЗ1
|
9-19
|
ВА
51-25
|
25
|
|
QF17
|
ШУЗ1
|
9-20
|
ВА
51-25
|
25
|
|
QF18
|
ШУЗ2
|
10-22
|
ВА
51-25
|
25
|
|
QF19
|
ШУЗ2
|
10-23
|
ВА
51-25
|
25
|
|
QF20
|
ШУЗ3
|
11-25
|
ВА
51-25
|
25
|
|
QF21
|
ШУЗ3
|
11-26
|
ВА
51-25
|
25
|
|
QF22
|
ШУЗ4
|
12-28
|
ВА
51-25
|
25
|
|
QF23
|
ШУЗ4
|
12-29
|
ВА
51-25
|
25
|
|
QF24
|
ШУН5
|
15-31
|
ВА61-29
|
63
|
|
QF25
|
ШУН5
|
15-32
|
ВА61-29
|
63
|
|
QF26
|
ШУЗ6
|
13-21
|
ВА
51-25
|
25
|
|
QF27
|
ШУЗ6
|
13-24
|
ВА
51-25
|
25
|
|
QF28
|
ШУЗ6
|
13-27
|
ВА
51-25
|
25
|
|
QF29
|
ШУВ
|
6-6
|
ВА
51-25
|
25
|
|
QF30
|
ШУВ
|
6-7
|
ВА
51-25
|
25
|
|
QF31
|
ШУВ
|
6-12
|
ВА
51-25
|
25
|
|
QF32
|
ШУВ
|
6-15
|
ВА
51-25
|
25
|
|
QF33
|
ШУВ
|
6-16
|
ВА
51-25
|
25
|
|
QF34
|
ШУВ
|
6-17
|
ВА
51-25
|
25
|
|
QF35
|
ШУК
|
7-13
|
ВА61-29
|
63
|
|
QF36
|
ШУК
|
7-14
|
ВА61-29
|
63
|
|
QF37
|
ЩС
|
5-5
|
ВА
51-25
|
25
|
|
QF38
|
ЩС
|
5-8
|
ВА
51-25
|
25
|
|
QF39
|
ЩС
|
5-9
|
ВА
51-25
|
25
|
|
QF40
|
ЩС
|
5-10
|
ВА
51-25
|
25
|
7 Релейная
защита
7.1
Защита электродвигателей
Защиту электродвигателей выполним на базе
устройства «Сириус-Д».
Выполним расчет токов срабатывания защит
электродвигателей.
Ток срабатывания токовой отсечки:
гдеIп
- пусковой ток электродвигателя, А.
Пусковой ток можно определить по формуле:
гдеkп-
кратность пускового тока электродвигателя;
Iном-
номинальный ток электродвигателя, А.
Для двигателя ВАН118/23 - 8У3 кратность
пускового тока равна 4,2, номинальный ток двигателя 49,5 А[8].
Ток срабатывания максимальной токовой защиты
(МТЗ):
гдеIп
- пусковой ток электродвигателя, А.
Ток срабатывания защиты от ОЗЗ определяется по
формуле:
гдеkн-
коэффициент надежности, принимается равным 1,2;
kбр-
коэффициент, учитывающий бросок емкостного тока в момент возникновения ОЗЗ,
принимается равным 2,5 для защиты без выдержки времени;
kв-
коэффициент возврата, принимается равным 1;
Iемк.дв
- емкостной ток электродвигателя, А;
Iемк.кл
- емкостной ток кабельной линии, А.
Емкостной ток электродвигателя напряжением 6 кВ
можно пределить по
формуле:
где Sном
- номинальная полная мощность электродвигателя, МВ∙А.
Номинальная полная мощность электродвигателя
равна 0,52 МВ∙А (смотри п/п 5.1)
Емкостной ток кабельной линии можно определить
по формуле:
гдеUном.кл-
номинальное напряжение кабельной линии, кВ;
l-
длина кабельной линии (принимается по таблице 3.3), км.
Определим ток срабатывания защиты от ОЗЗ по
формуле (7.4):
Определим значения уставок защит
электродвигателей.
Диапазон уставок токовых защит для устройства
«Сириус-Д»: 0,01…40 А.
Для защиты используется трансформатор тока
ТОЛ-СЭЩ 10 с коэффициентом трансформации 100/5.
Уставка по току для токовой отсечки:
гдеIТО
- ток срабатывания токовой отсечки, А;
kт-
коэффициент трансформации трансформатора тока.
Уставка входит в диапазон значений уставок
токовых защит.
Токовая отсечка выполняется без выдержки
времени. Время срабатывания токовой отсечки равно 0,1 с.
Уставка по току для МТЗ:
гдеIМТЗ-
ток срабатывания МТЗ, А;
kт-
коэффициент трансформации трансформатора тока.
Уставка входит в диапазон значений уставок
токовых защит.
Уставка по времени для МТЗ:
гдеtТО
- время срабатывания токовой отсечки, А;
Δt-
ступень селективности, равная 0,5 с.
Для защиты от ОЗЗ используется трансформатор
тока нулевой последовательности ТЗЛ-1 с коэффициентом трансформации 25/1.
Защита выполняется без выдержки времени. Уставка по току для ОЗЗ:
Уставка входит в диапазон значений уставок
токовых защит.
Проверка чувствительности защит.
Для определения коэффициента чувствительности
токовой отсечки необходимо определить ток двухфазного короткого замыкания на
выводах электродвигателя:
где
-
ток трехфазного короткого замыкания (смотри таблицу 4.2), кА.
Коэффициент чувствительности токовой отсечки:
гдеIТО-
ток срабатывания токовой отсечки, А;
- ток двухфазного
короткого замыкания, А.
Чувствительность токовой отсечки обеспечивается.
Коэффициент чувствительности МТЗ:
гдеIном-
номинальный ток электродвигателя, А;
- ток двухфазного
короткого замыкания, А.
Чувствительность МТЗ обеспечивается.
Для определения коэффициента чувствительности
ОЗЗ необходимо найти суммарное значение емкостного тока сети при однофазном
коротком замыкании на землю. Суммарная протяженность линий равна 5 км.
Суммарный ток ОЗЗ:
гдеUном.клΣ-
номинальное напряжение сети, кВ;
lΣ-
суммарная длина кабельных линий, км.
Коэффициент чувствительности защиты от ОЗЗ:
где
-
суммарный ток ОЗЗ, А;
IОЗЗ-
ток срабатывания защиты от ОЗЗ, А.
Чувствительность защиты от ОЗЗ обеспечивается.
7.2
Защита лини III
Защиту линии выполним на базе устройства
«Сириус-2-Л».
Выполним расчет токов срабатывания защит линии III.
Ток срабатывания токовой отсечки:
где
-
ток трехфазного короткого замыкания (смотри таблицу 4.2), кА.
- коэффициент
запаса, принимается равным 1,1.
Ток срабатывания максимальной токовой защиты
(МТЗ):
где
-
максимальный рабочий ток линии (смотри таблицу 1.2), А.
- коэффициент
запаса, принимается равным 1,1.
Определим значения уставок защит линии III.
Диапазон уставок токовых защит для устройства
«Сириус-2-Л»: 0,2..200 А.
Для защиты используется трансформатор тока
ТОЛ-СЭЩ 10 с коэффициентом трансформации 600/5.
Уставка по току для токовой отсечки:
гдеIТО
- ток срабатывания токовой отсечки, А;
kт-
коэффициент трансформации трансформатора тока.
Уставка входит в диапазон значений уставок
токовых защит.
Токовая отсечка выполняется без выдержки
времени. Время срабатывания токовой отсечки равно 0,1 с.
Уставка по току для МТЗ:
гдеIМТЗ
- ток срабатывания МТЗ, А;
kт-
коэффициент трансформации трансформатора тока.
Уставка входит в диапазон значений уставок
токовых защит.
Уставка по времени для МТЗ:
гдеtТО
- время срабатывания токовой отсечки, А;
Δt-
ступень селективности, равная 0,5 с.
Проверка чувствительности защит.
Коэффициент чувствительности МТЗ:
гдеIном-
номинальный ток электродвигателя, А;
- ток двухфазного
короткого замыкания, А.
Чувствительность МТЗ обеспечивается.
7.3
Защита силовых трансформаторов
Для защиты трансформаторов выберем
предохранители типа ПКТ.
Максимальные рабочие токи трансформаторов равны
14,46 А (смотри таблицу 1.2).
Для отстройки от бросков тока намагничивания
трансформатора необходимо иметь номинальный ток плавкой вставки в 1,5÷2
раза
больше номинального тока трансформатора.
Учитывая это можно выбрать предохранители типа
ПКТ-101-6-20 с номинальным током 20А и номинальным током отключения 20 кА.
8
Экономическая часть
8.1
Сметно-финансовый расчет объекта
Смета-спецификация на устанавливаемое
оборудование и используемые материалы представлена в таблице 8.1
Таблица 8.1 -
Смета-спецификация
|
№
п/п
|
Наименование
оборудования и материалов
|
Тип
|
Единицы
измерения
|
Количество
|
|
Силовые
трансформаторы
|
|
1
|
Трансформатор
|
ТМГ-160/6
|
шт.
|
2
|
|
РУ
6 кВ
|
|
2
|
Камера
КСО
|
КСО-292-14.1-630
|
шт.
|
2
|
|
3
|
Камера
КСО
|
КСО-292-10-630
|
шт.
|
2
|
|
4
|
Камера
КСО
|
КСО-292-8В-630
|
шт.
|
8
|
|
5
|
Камера
КСО
|
КСО-292-5В-630
|
шт.
|
1
|
|
6
|
Камера
КСО
|
КСО-292-24-630
|
шт.
|
1
|
|
7
|
Камера
КСО
|
КСО-292-13.1-630
|
шт.
|
2
|
|
8
|
Шина
алюминиевая
|
АД31
50×5 мм
|
м.
|
15
|
|
РУ
0,4кВ
|
|
9
|
ВРУ
0,4
|
ВРУ-21L-(200+200)-303К
|
шт.
|
1
|
|
Кабели
|
|
14
|
Кабель
алюминиевый
|
ААШв
3×240
|
м.
|
1100
|
|
15
|
Кабель
алюминиевый
|
ААШв
3×120
|
м.
|
800
|
|
16
|
Кабель
алюминиевый
|
ААБвГ
3×16
|
м.
|
11
|
|
17
|
Кабель
алюминиевый
|
ААБвГ
3×50
|
м.
|
73
|
|
18
|
Кабель
алюминиевый
|
АВРБГ
4×120
|
м.
|
31
|
|
19
|
Кабель
алюминиевый
|
АВРБГ
4×35
|
м.
|
30
|
|
20
|
Кабель
алюминиевый
|
АВРБГ
4×25
|
м.
|
29
|
|
21
|
Кабель
алюминиевый
|
АВРБГ
4×16
|
м.
|
235
|
|
22
|
Кабель
алюминиевый
|
АВРБГ
4×10
|
м.
|
111
|
|
23
|
Кабель
алюминиевый
|
АВРБГ
4×6
|
м.
|
10
|
|
24
|
Кабель
алюминиевый
|
АВРБГ
4×4
|
м.
|
24
|
|
25
|
Кабель
алюминиевый
|
АВРБГ
4×2,5
|
м.
|
207
|
|
26
|
Кабель
медный
|
КГ
4×6
|
м.
|
34
|
|
27
|
Кабель
медный
|
КГ
4×1,5
|
м.
|
15
|
|
Шкафы
управления, силовые щиты
|
|
28
|
Шкаф
управления задвижками
|
ШУЗ2-25
|
шт.
|
5
|
|
29
|
Шкаф
управления задвижками
|
ШУЗ3-25
|
шт.
|
1
|
|
30
|
Шкаф
управления насосами
|
ШУН2-63
|
шт.
|
1
|
|
31
|
Шкаф
управления вентиляторами
|
ШУВ6-63
|
шт.
|
1
|
|
№
п/п
|
Наименование
оборудования и материалов
|
Тип
|
Единицы
измерения
|
Количество
|
|
32
|
Шкаф
управления калориферами
|
ШУК2-63
|
шт.
|
1
|
|
33
|
Шит
силовой
|
ЩС4-63
|
шт.
|
1
|
|
Заземлители
|
|
34
|
Вертикальный
заземлитель
|
Стальной
стержень длиной 1,5 м, диаметром 20 мм
|
шт.
|
40
|
|
35
|
Горизонтальный
заземлитель
|
Полосовая
сталь сечением 40×4 мм
|
м.
|
50
|
|
36
|
Муфта
соединительная
|
МСН-20
|
шт.
|
20
|
Локальная смета, содержащая перечень работ и
затрат, а также перечень оборудования и материалов, представлена в таблице 8.2.
Пересчет сметы в цены текущего года выполняется
базисно-индексным методом. Локальная смета составлена в базисных ценах
01.01.2000 года на монтажные, пусконаладочные работы и текущих ценах на
оборудование и материалы. Стоимость работ в базисных ценах:
Общая стоимость, 139,173 тыс. руб
в том числе:
Фонд основной заработной платы: 14,487 тыс. руб
Затраты на эксплуатацию машин, 104,081 тыс. руб
в том числе фонд заработной платы
машинистов:6,916 тыс. руб
Сметная стоимость материалов: 21,288 тыс. руб
Сметная стоимость пуско-наладочных работ: 10,562
тыс. руб
Базисные индексы удорожания по отношению к 2000
году по данным «Строительно-информационного сборника Вологодской области»
составляют: Заработной платы - 12,998 Эксплуатации машин - 6,586
Пуско-наладочных работ - 22,76
Стоимости материалов - 6,631
Таблица 8.2 -
Локальная смета
|
Шифр
|
Наименование
работ и затрат
|
Кл-во
|
Ед.
изм.
|
Стоимость
на ед
|
Общая
стоимость
|
Трудозатраты
|
|
|
|
|
Всего
|
Осн.
Зарпл.
|
Экспл.
Машин
|
Запл.
Маш-ов
|
Мат-лы
|
Всего
|
Осн.
Зарпл.
|
Экспл.
Машин
|
Запл.
Маш-ов
|
Мат-лы
|
На
ед.
|
Всего
|
|
Электромонтажные
работы
|
|
ТЕРм
08-01-001-01
|
Трансформатор
ТМГ 160/6
|
2
|
1
шт.
|
588,81
|
225,45
|
595,94
|
47,76
|
34,42
|
1177,62
|
450,90
|
1191,88
|
95,52
|
68,84
|
22,50
|
45,00
|
|
ТЕРм
08-01-068-01
|
Шина
сборная
|
0,15
|
100
м.
|
824,86
|
526,05
|
171,90
|
64,30
|
126,91
|
123,73
|
78,91
|
25,79
|
9,65
|
19,04
|
52,50
|
7,88
|
|
ТЕРм
08-01-084-01
|
КСО-292
|
8
|
1
шт.
|
556,25
|
247,49
|
285,24
|
15,73
|
23,52
|
4450,00
|
1979,92
|
2281,92
|
125,84
|
188,16
|
24,70
|
197,60
|
|
ТЕРм
08-01-084-02
|
КСО-292
|
6
|
1
шт.
|
423,90
|
202,40
|
198,88
|
10,97
|
22,62
|
2543,40
|
1214,40
|
1193,28
|
65,82
|
135,72
|
20,20
|
121,20
|
|
ТЕРм
08-01-084-03
|
КСО-292
|
2
|
1
шт.
|
373,89
|
235,47
|
115,14
|
6,35
|
23,28
|
747,78
|
470,94
|
230,28
|
12,70
|
46,56
|
23,50
|
47,00
|
Мост
шинный
|
1
|
1
шт.
|
326,24
|
101,20
|
170,10
|
9,38
|
54,94
|
326,24
|
101,20
|
170,10
|
9,38
|
54,94
|
10,10
|
10,10
|
|
ТЕРм
08-02-142-01
|
Устойство
постели для кабеля
|
19
|
100
м.
|
1373,59
|
66,43
|
1305,83
|
72,01
|
1,33
|
26098,21
|
1262,17
|
24810,77
|
1368,19
|
25,27
|
6,63
|
125,97
|
|
ТЕРм
08-02-143-01
|
Покрытие
кабеля, проложенного в траншее
|
19
|
100
м.
|
1176,10
|
65,23
|
1109,57
|
61,18
|
1,30
|
22345,90
|
1239,37
|
21081,83
|
1162,42
|
24,70
|
6,51
|
123,69
|
|
ТЕРм
08-02-144-01
|
Присоединение
к зажимам жил кабеля
|
1,68
|
100
шт.
|
122,64
|
120,24
|
0,00
|
0,00
|
2,40
|
206,04
|
202,00
|
0,00
|
0,00
|
4,03
|
12,00
|
20,16
|
|
ТЕРм
08-02-144-02
|
Присоединение
к зажимам жил кабеля
|
0,32
|
100
шт.
|
132,87
|
130,26
|
0,00
|
0,00
|
2,61
|
42,52
|
41,68
|
0,00
|
0,00
|
0,84
|
13,00
|
4,16
|
|
ТЕРм
08-02-144-03
|
Присоединение
к зажимам жил кабеля
|
0,84
|
100
шт.
|
155,35
|
152,30
|
0,00
|
0,00
|
3,05
|
130,49
|
127,93
|
0,00
|
0,00
|
2,56
|
15,20
|
12,77
|
|
ТЕРм
08-02-144-04
|
Присоединение
к зажимам жил кабеля
|
0,16
|
100
шт.
|
174,77
|
171,34
|
0,00
|
0,00
|
3,43
|
27,96
|
27,41
|
0,00
|
0,00
|
0,55
|
17,10
|
2,74
|
|
ТЕРм
08-02-144-05
|
Присоединение
к зажимам жил кабеля
|
0,12
|
100
шт.
|
193,17
|
189,38
|
0,00
|
0,00
|
3,79
|
23,18
|
22,73
|
0,00
|
0,00
|
0,45
|
18,90
|
2,27
|
|
Шифр
|
Наименование
работ и затрат
|
Кл-во
|
Ед.
изм.
|
Стоимость
на ед
|
Общая
стоимость
|
Трудозатраты
|
|
|
|
|
Всего
|
Осн.
Зарпл.
|
Экспл.
Машин
|
Запл.
Маш-ов
|
Мат-лы
|
Всего
|
Осн.
Зарпл.
|
Экспл.
Машин
|
Запл.
Маш-ов
|
Мат-лы
|
На
ед.
|
Всего
|
|
ТЕРм
08-02-144-06
|
Присоединение
к зажимам жил кабеля
|
0,22
|
100
шт.
|
290,26
|
284,57
|
0,00
|
0,00
|
5,69
|
63,86
|
62,61
|
0,00
|
0,00
|
1,25
|
28,40
|
6,25
|
|
ТЕРм
08-02-144-07
|
Присоединение
к зажимам жил кабеля
|
0,12
|
100
шт.
|
388,38
|
380,76
|
0,00
|
0,00
|
7,62
|
46,61
|
45,69
|
0,00
|
0,00
|
0,91
|
38,00
|
4,56
|
|
ТЕРм
08-02-145-03
|
Прокладка
кабеля по дну канала
|
8
|
100
м.
|
780,67
|
93,19
|
580,86
|
42,15
|
106,62
|
6245,36
|
745,52
|
4646,88
|
337,20
|
852,96
|
9,30
|
74,40
|
|
ТЕРм
08-02-145-04
|
Прокладка
кабеля по дну канала
|
11
|
100
м.
|
1035,09
|
128,26
|
799,50
|
57,82
|
107,33
|
11385,99
|
1410,86
|
8794,50
|
636,02
|
1180,63
|
12,80
|
140,80
|
|
ТЕРм
08-02-146-01
|
Прокладка
кабеля на скобах
|
2,56
|
100
м.
|
3075,89
|
147,29
|
1250,22
|
113,36
|
1678,38
|
7874,28
|
377,06
|
3200,56
|
290,20
|
4296,65
|
14,70
|
37,63
|
|
ТЕРм
08-02-146-02
|
Прокладка
кабеля на скобах
|
3,8
|
100
м.
|
3291,18
|
167,33
|
1445,07
|
129,59
|
1678,38
|
12506,48
|
635,85
|
5491,27
|
492,44
|
6377,84
|
16,70
|
63,46
|
|
ТЕРм
08-02-146-03
|
Прокладка
кабеля на скобах
|
0,59
|
100
м.
|
3561,19
|
193,39
|
1688,50
|
150,47
|
1679,30
|
2101,10
|
114,10
|
996,22
|
88,78
|
990,79
|
19,30
|
11,39
|
|
ТЕРм
08-02-146-04
|
Прокладка
кабеля на скобах
|
0,84
|
100
м.
|
4057,28
|
233,47
|
2143,71
|
186,73
|
1860,10
|
3408,12
|
196,11
|
1800,72
|
156,85
|
1562,48
|
23,30
|
19,57
|
|
ТЕРм
08-02-146-05
|
Прокладка
кабеля на скобах
|
0,31
|
100
м.
|
4813,68
|
304,61
|
2827,55
|
244,75
|
1681,52
|
1492,24
|
94,43
|
876,54
|
75,87
|
521,27
|
30,40
|
9,42
|
|
ТЕРм
08-02-471-04
|
Заземлитель
вертикальный
|
2
|
10
шт.
|
609,18
|
81,24
|
58,68
|
2,02
|
469,26
|
1218,36
|
162,48
|
117,36
|
4,04
|
938,52
|
8,29
|
16,58
|
|
ТЕРм
08-02-472-02
|
Заземлитель
горизонтальный
|
0,5
|
100
м.
|
1095,75
|
162,68
|
84,74
|
3,17
|
848,33
|
547,88
|
81,34
|
42,37
|
1,59
|
424,17
|
16,60
|
8,30
|
|
ТЕРм
08-02-572-04
|
Шкаф
управления, щит силовой
|
10
|
1
шт.
|
440,67
|
36,05
|
85,87
|
4,18
|
318,75
|
4406,70
|
360,50
|
858,70
|
41,80
|
3187,50
|
3,49
|
34,90
|
|
ТЕРм
08-02-572-07
|
ВРУ
0,4 кВ
|
1
|
1
шт.
|
546,12
|
48,14
|
116,32
|
5,92
|
381,66
|
546,12
|
48,14
|
116,32
|
381,66
|
4,66
|
4,66
|
|
Земляные
работы
|
|
ТЕР
01-01-055-01
|
Рытье
и засыпка траншей
|
1,95
|
1
км.
|
14916,11
|
1504,17
|
13411,94
|
992,50
|
0,00
|
29086,41
|
2933,13
|
26153,28
|
1935,38
|
0,00
|
186,39
|
363,46
|
|
Итого
электромонтажные и земляные работы:
|
139172,57
|
14487,39
|
104080,56
|
6915,60
|
21288,30
|
|
1515,91
|
|
Шифр
|
Наименование
работ и затрат
|
Кл-во
|
Ед.
изм.
|
Стоимость
на ед
|
Общая
стоимость
|
Трудозатраты
|
|
|
|
|
Всего
|
Осн.
Зарпл.
|
Экспл.
Машин
|
Запл.
Маш-ов
|
Мат-лы
|
Всего
|
Осн.
Зарпл.
|
Экспл.
Машин
|
Запл.
Маш-ов
|
Мат-лы
|
На
ед.
|
Всего
|
|
Пуско-наладочные
работы
|
|
ТЕРп
01-02-002-01
|
Трансформатор
ТМГ 160/6
|
2
|
1
шт.
|
0,00
|
94,53
|
0,00
|
0,00
|
0,00
|
0,00
|
189,06
|
0,00
|
0,00
|
0,00
|
7,00
|
14,00
|
|
ТЕРп
01-02-016-02
|
Трансформатор
напряжения
|
2
|
1
шт.
|
0,00
|
202,05
|
0,00
|
0,00
|
0,00
|
0,00
|
404,10
|
0,00
|
0,00
|
0,00
|
16,00
|
32,00
|
|
ТЕРп
01-02-017-02
|
Трансформатор
тока
|
25
|
1
шт.
|
0,00
|
63,14
|
0,00
|
0,00
|
0,00
|
0,00
|
1578,50
|
0,00
|
0,00
|
0,00
|
5,00
|
125,00
|
|
ТЕРп
01-03-002-04
|
Автоматический
выключатель 25 А.
|
24
|
1
шт.
|
0,00
|
19,57
|
0,00
|
0,00
|
0,00
|
0,00
|
469,68
|
0,00
|
0,00
|
0,00
|
2,00
|
48,00
|
|
ТЕРп
01-03-002-05
|
Автоматический
выключатель 63 А.
|
12
|
1
шт.
|
0,00
|
29,36
|
0,00
|
0,00
|
0,00
|
0,00
|
352,32
|
0,00
|
0,00
|
0,00
|
3,00
|
36,00
|
|
ТЕРп
01-03-002-05
|
Автоматический
выключатель 100 А.
|
2
|
1
шт.
|
0,00
|
29,36
|
0,00
|
0,00
|
0,00
|
0,00
|
58,72
|
0,00
|
0,00
|
0,00
|
3,00
|
6,00
|
|
ТЕРп
01-03-002-06
|
Автоматический
выключатель 250 А.
|
2
|
1
шт.
|
0,00
|
39,14
|
0,00
|
0,00
|
0,00
|
0,00
|
78,28
|
0,00
|
0,00
|
0,00
|
4,00
|
8,00
|
|
ТЕРп
01-03-005-01
|
Разъединитель
трехполюсный
|
22
|
1
шт.
|
0,00
|
76,33
|
0,00
|
0,00
|
0,00
|
0,00
|
1679,26
|
0,00
|
0,00
|
0,00
|
6,00
|
132,00
|
|
ТЕРп
01-03-008-01
|
Выключатель
выкуумный
|
9
|
1
шт.
|
0,00
|
114,50
|
0,00
|
0,00
|
0,00
|
0,00
|
1030,50
|
0,00
|
0,00
|
0,00
|
9,00
|
81,00
|
|
ТЕРп
01-03-008-01
|
Выключатель
нагрузки
|
2
|
1
шт.
|
0,00
|
114,50
|
0,00
|
0,00
|
0,00
|
0,00
|
229,00
|
0,00
|
0,00
|
0,00
|
9,00
|
18,00
|
|
ТЕРп
01-04-004-01
|
РЗА
- токовая отсечка
|
7
|
1
компл.
|
0,00
|
79,32
|
0,00
|
0,00
|
0,00
|
0,00
|
555,24
|
0,00
|
0,00
|
0,00
|
6,00
|
42,00
|
|
ТЕРп
01-04-004-01
|
РЗА
- МТЗ
|
7
|
1
компл.
|
0,00
|
79,32
|
0,00
|
0,00
|
0,00
|
0,00
|
555,24
|
0,00
|
0,00
|
0,00
|
6,00
|
42,00
|
|
ТЕРп
01-04-006-03
|
РЗА
- ОЗЗ с работой на сигнал
|
7
|
1
компл.
|
0,00
|
39,42
|
0,00
|
0,00
|
0,00
|
0,00
|
275,94
|
0,00
|
0,00
|
0,00
|
3,00
|
21,00
|
|
ТЕРп
01-04-008-01
|
РЗА
-защита от прегрузки
|
5
|
1
компл.
|
0,00
|
91,99
|
0,00
|
0,00
|
0,00
|
0,00
|
459,95
|
0,00
|
0,00
|
0,00
|
7,00
|
35,00
|
|
ТЕРп
01-04-051-01
|
РЗА
-ЗМН
|
5
|
1
компл.
|
0,00
|
205,52
|
0,00
|
0,00
|
0,00
|
0,00
|
1027,60
|
0,00
|
0,00
|
0,00
|
14,00
|
70,00
|
|
Шифр
|
Наименование
работ и затрат
|
Кл-во
|
Ед.
изм.
|
Стоимость
на ед
|
Общая
стоимость
|
Трудозатраты
|
|
|
|
|
Всего
|
Осн.
Зарпл.
|
Экспл.
Машин
|
Запл.
Маш-ов
|
Мат-лы
|
Всего
|
Осн.
Зарпл.
|
Экспл.
Машин
|
Запл.
Маш-ов
|
Мат-лы
|
На
ед.
|
Всего
|
|
ТЕРп
01-04-016-01
|
АВР
ВРУ 0,4 кВ
|
1
|
1
устр.
|
0,00
|
277,62
|
0,00
|
0,00
|
0,00
|
0,00
|
277,62
|
0,00
|
0,00
|
0,00
|
21,00
|
21,00
|
|
ТЕРп
01-07-001-01
|
Электродвигатель
асинхронный 0,4 кВ
|
26
|
1
шт.
|
0,00
|
35,30
|
0,00
|
0,00
|
0,00
|
0,00
|
917,80
|
0,00
|
0,00
|
0,00
|
3,00
|
78,00
|
|
ТЕРп
01-07-001-03
|
Электродвигатель
асинхронный 6 кВ
|
4
|
1
шт.
|
0,00
|
105,91
|
0,00
|
0,00
|
0,00
|
0,00
|
423,64
|
0,00
|
0,00
|
9,00
|
36,00
|
|
Итого
пуско-наладочные работы
|
|
25049,84
|
|
|
|
|
845,00
|
|
Оборудование
и материалы в текущих ценах
|
|
#"903922.files/image321.gif">
где Сзпс- основная зарплата
работников в ценах базисного года, тыс. руб;
Сзпм-
основная зарплата машинистов в ценах базисного года, тыс. руб;
Iτзп-
базисный индекс увеличения заработной платы.
2) затраты на эксплуатацию машин в текущих
ценах:
где Сэм- затраты на
эксплуатацию машин в ценах базисного года, тыс. руб;
Iτэм-
базисный индекс удорожания эксплуатации машин.
3) затраты на материалы в текущих ценах:
где См- стоимость материалов в
ценах базисного года, тыс. руб;
Iτм-
базисный индекс удорожания материалов.
4) затраты на пуско-наладочные работы:
где Сп - стоимость наладочных
работ в ценах базисного года, тыс. руб; Iτп
- базисный индекс удорожания стоимости пуско-наладочных работ.
5) прямые затраты:
6) накладные расходы:
где kн
- норматив накладных расходов, рекомендуемый Госстроем России.
7) сметная прибыль организации:
где kп
- норматив сметной прибыли, рекомендуемый Госстроем России.
) стоимость строительно-монтажных работ:
Расчет стоимости оборудования.
Стоимость оборудования в текущих ценах равна Cо
= 4511,763 тыс. руб.
) расходы на запасные части:
где kзч
- коэффициент, учитывающий стоимость запасных частей.
2) расходы на тару и упаковку:
где kту
- коэффициент,
учитывающий стоимость тары и упаковки.
3) транспортные расходы:
где kтр
- коэффициент,
учитывающий стоимость транспортных расходов.
4) стоимость услуг посреднических и сбытовых
организаций:
где kсб
- снабженческо-сбытовая наценка.
5) заготовительно-складские расходы:
где kзс
- коэффициент, учитывающий заготовительно-складские расходы.
6) расходы на комплектацию:
где kком
- коэффициент, учитывающий расходы на комплектацию.
Расчет стоимости материалов.
Оптовая цена на материалы в текущих ценах равна См
= 1783,106 тыс. руб.
) транспортные расходы:
2) расходы на тару и упаковку:
3) заготовительно-складские расходы:
Расчет лимитированных и прочих затрат
) затраты на строительство временных зданий и
сооружений:
где kвз
- сметная норма затрат, учитывающаядополнительные затраты на строительство
временных зданий и сооружений.
2) затраты на перевозку крупногабаритных грузов:
где kгр
- коэффициент, учитывающий затраты на перевозку крупногабаритных и тяжеловесных
грузов.
3) затраты на добровольное страхование:
где kстр
- коэффициент, учитывающий дополнительные затраты на добровольное страхование
деятельности.
4) затраты на отчисления в фонд
научно-исследовательских и опытно-конструкторских работ (НИОКР).
где kНИОКР
- коэффициент, учитывающий затраты на НИОКР.
) затраты на премирование за ввод в
эксплуатацию:
где kэксп
- сметная норма затрат,учитывающая размер средств на премирование за ввод в
эксплуатацию объекта.
6) дополнительные затраты на охрану объектов
строительства:
где kохр
- сметная норма затрат, учитывающая размер средств, отчисляемых на охрану
объекта.
7) авторский надзор:
где kохр
- коэффициент, учитывающий затраты на авторский надзор;
Сп
- полая сметная стоимость в текущих ценах
8) Резерв средств на непредвиденные работы и
затраты:
где kнепр
- коэффициент, учитывающий размер резерва на непредвиденные работы и затраты.
Детальный пересчет сметы в текущие цены
представлен в таблице 8.3
Таблица 8.3 -
Детальный пересчет сметы в текущие цены
|
№
п/п
|
Наименование
показателя
|
Коэффи-циент,
отн. ед
|
Значение,
тыс. руб
|
|
1.
|
Монтажные
работы в базисных ценах (01.01.2000 г.) в том
числе: основная заработная плата заработная машинистов затраты по
эксплуатации машин строительные материалы пуско-наладочные работы
|
|
14,487 6,916 104,081 21,288 10,562
|
|
2.
|
Пересчет
стоимости монтажных работ в текущие цены Удорожание
затрат на заработную плату Удорожание затрат по эксплуатации машин Удорожание
строительных материалов Удорожание пуско-наладочных работ Всего прямых затрат
в текущих ценах: Накладные расходы Сметная прибыль организации Всего затрат
на монтажные работы в текущих ценах по смете:
|
12,988 6,586 6,631 22,76 0,95 0,65
|
278,196
685,447 141,161 240,391 1345,195 264,286 180,827 1790,308
|
|
3.
|
Стоимость
оборудования по смете Стоимость оборудования в
текущих ценах Расчет дополнительных расходов на оборудование: расходы на
запасные части расходы на тару и упаковку транспортные расходы
снабженческо-сбытовая наценка заготовительно-складские расходы расходы на
комплектацию Всего дополнительные расходы на оборудование: Всего расходы на
оборудование в текущих ценах:
|
0,02 0,015 0,03 0,05 0,012 0,005
|
4511,763
90,236 67,676 135,353 225,588 54,141 22,559 595,553 5107,316
|
|
4.
|
Стоимость
материалов по смете: Оптовая цена на материалы в
текущих ценах Расчет дополнительных расходов на материалы транспортные расходы
расходы на тару и упаковку заготовительно-складские расходы Всего
дополнительные расходы на материалы Всего расходы на материалы в текущих
ценах
|
0,03 0,015 0,012
|
1783,106
53,493 26,747 21,397 101,637 1884,743
|
|
5.
|
Лимитированные
и прочие затраты в текущих ценах: затраты на
временные здания и сооружения затраты на перевозку крупногабаритных грузов
затраты на добровольное страхование затраты на НИОКР затраты на премирование
за ввод в эксплуатацию затраты на охрану объектов строительства Сумма лимитированных
и прочих затрат Авторский надзор Непредвиденные расходы и затраты Всего
лимитированных и прочих затрат в текущих ценах
|
0,039 0,0003 0,03 0,015 0,0254 0,013 0,0002 0,03
|
69,822 0,537 53,709 121,278 45,474 23,247 314,067 1,456 218,421 599,505
|
|
6.
|
Полная
стоимость электромонтажных работ в текущих ценах:
|
|
9664,81
|
8.2
Расчет численности и состава бригады
Численность бригады рассчитывается по формуле:
где Тi
- суммарная трудоемкость работ в чел.час., Тi=2360,91
(чел.час.);
Кя
- коэффициент явки, Кя= 0,9;
Тсрок
- заданный срок электромонтажных работ, Тсрок=174,6;
q
- количество рабочих месяцев, q=
1;
Кпр
- производительность труда, Кпр=1,1;
Ки
- коэффициент использования рабочего времени, Ки=0,9.
Работы ведутся комплексными бригадами.
Количество бригад равно трем по четыре человека в каждой.
8.3Организация
электромонтажных работ, построение ленточного графика
Ленточный график представляет собой указание о
времени начала и конца той или иной работы. По длительности лент и их
последовательности можно проследить занятость электромонтажных бригад. При
построении графика учитывается производительность и число рабочих в бригаде.
Продолжительность работы определяется:
где t
- продолжительность работы при 8-часовом рабочем дне.
Тр
- трудоемкость работ, чел.час;
n
- число рабочих часов в сутки, n=8ч.;
Ч - число человек в бригаде;
Кпр
- коэффициент производительности Кпр=1,1;
Ки
- коэффициент использования рабочего времени, Ки=0,9.
Расчет продолжительности работ представлен в
таблице 8.4
Таблица 8.4 -
Расчет продолжительности работ
|
№
Бригады
|
Наименование
оборудования и работ
|
Трудоемкость
работы, чел. час.
|
Продолжительность
работы
|
|
Монтажные
и земляные работы
|
|
1
|
Трансформатор
ТМГ 160/6
|
45
|
1,42
|
|
КСО-292
|
121,20
|
3,83
|
|
КСО-292
|
47,00
|
1,48
|
|
Шина
сборная
|
7,88
|
0,25
|
|
ВРУ
0,4 кВ
|
4,66
|
0,15
|
|
Прокладка
кабеля на скобах
|
37,63
|
1,19
|
|
Прокладка
кабеля на скобах
|
11,39
|
0,36
|
|
Прокладка
кабеля на скобах
|
19,57
|
0,62
|
|
Прокладка
кабеля на скобах
|
9,42
|
0,30
|
|
Присоединение
к зажимам жил кабеля
|
20,16
|
0,63
|
|
Заземлитель
горизонтальный
|
8,30
|
0,26
|
|
Устройство
постели для кабеля
|
125,97
|
3,98
|
|
Прокладка
кабеля по дну канала
|
74,40
|
2,35
|
|
Присоединение
к зажимам жил кабеля
|
4,56
|
0,14
|
|
Присоединение
к зажимам жил кабеля
|
2,27
|
0,07
|
|
2
|
КСО-292
|
197,60
|
6,24
|
|
Шинный
мост
|
10,10
|
0,31
|
|
Шкаф
управления, щит силовой
|
34,90
|
1,10
|
|
Прокладка
кабеля на скобах
|
63,46
|
2,00
|
|
Присоединение
к зажимам жил кабеля
|
12,77
|
0,40
|
|
Присоединение
к зажимам жил кабеля
|
2,74
|
0,09
|
|
Присоединение
к зажимам жил кабеля
|
4,16
|
0,13
|
|
Присоединение
к зажимам жил кабеля
|
6,25
|
0,20
|
|
Заземлитель
вертикальный
|
16,58
|
0,52
|
|
Прокладка
кабеля по дну канала
|
140,80
|
4,44
|
|
3
|
Рытье
и засыпка траншей
|
363,46
|
11,47
|
|
Устройство
постели для кабеля
|
125,97
|
3,98
|
|
Покрытие
кабеля проложенного в траншее
|
123,69
|
3,9
|
|
Пуско-наладочные
работы
|
|
1
|
Трансформатор
тока
|
125,00
|
3,95
|
|
Электродвигатель
0,4 кВ
|
78,00
|
2,46
|
|
РЗА
- ОЗЗ с работой на сигнал
|
21,00
|
0,66
|
|
АВР
ВРУ 0,4 кВ
|
21,00
|
0,66
|
|
Электродвигатель
6 кВ
|
36,00
|
1,14
|
|
2
|
Трансформатор
ТМГ 160/6
|
14,00
|
0,44
|
|
Трансформатор
напряжения
|
32,00
|
1,01
|
|
Разъединитель
трехполюсный
|
132,00
|
4,17
|
|
Вакуумный
выключатель
|
81,00
|
2,56
|
|
РЗА
- ЗМН
|
70,00
|
2,21
|
|
РЗА
- защита от перегрузки
|
35,00
|
1,10
|
|
3
|
Автоматический
выключатель 25 А
|
48,00
|
1,52
|
|
Автоматический
выключатель 63 А
|
36,00
|
1,14
|
|
Автоматический
выключатель 100 А
|
6,00
|
0,19
|
|
Автоматический
выключатель 250 А
|
8,00
|
0,25
|
|
Выключатель
нагрузки
|
18,00
|
0,57
|
|
РЗА
- токовая отсечка
|
42,00
|
1,33
|
|
РЗА
- МТЗ
|
42,00
|
1,33
|
8.4
Расчет эффективности инвестиционных вложений
Объем инвестиций согласно сметно-финансовому
расчету составляет 9664,81 тыс. руб.
Срок окупаемости - 15 лет.
Стоимость электроэнергии, реализуемой в течение
одного года по двухставочному тарифу:
где α
- ставка на оплату технологического расхода (потерь) в электрических сетях;
β - ставка за
содержание электрических сетей;
Руст
- установленная (расчетная) мощность;
Wэ.год
- объем реализуемой электроэнергия за одни год.
Для сетей 6 кВ:
α = 0,298
тыс. руб/МВт∙ч
β = 1100,92
тыс. руб/МВт·мес.
Объем реализуемой электроэнергия за одни год:
где t
- количество часов в году.
Стоимость электроэнергии, реализуемой в течение
одного года:
Прибыль за первый год:
Амортизация определяется с помощью укрупненного
показателя - 6% от стоимости оборудования и материалов:
Чистый доход предприятия от реализации
инвестиционного проекта за год:
Чистый дисконтированный доход:
гдеД - ставка дисконтирования, равная темпу
инфляции (16% в 2015г.)
Чистый дисконтированный доход за первый год:
ЧДД последующих лет определяем аналогичным
образом, результаты сводим в таблицу 8.5.
Дисконтированная сумма инвестиций в проект:
Дисконтированная сумма инвестиций в проект за
первый год:
ДСИ последующих лет определяем аналогичным
образом, результаты сводим в таблицу 8.5.
Чистая приведенная стоимость:
Чистая приведенная стоимость за первый год:
ЧПС последующих лет определяем аналогичным
образом, результаты сводим в таблицу 8.5.
Индекс рентабельности:
Индекс рентабельности за первый год:
ИР последующих лет определяем аналогичным
образом, результаты сводим в таблицу 8.5.
Таблица 8.5 -
Расчет эффективности инвестиционных вложений
|
Порядковый
номер года
|
ЧДД,
тыс. руб.
|
ДСИ
тыс. руб.
|
ЧПС
тыс. руб.
|
ИР
|
|
1
|
31994,08
|
8331,73
|
23662,34
|
3,84
|
|
2
|
27581,10
|
7182,53
|
20398,57
|
3,84
|
|
3
|
23776,81
|
6191,84
|
17584,98
|
3,84
|
|
4
|
20497,25
|
5337,79
|
15159,46
|
3,84
|
|
5
|
17670,04
|
4601,54
|
13068,5
|
3,84
|
|
6
|
15232,80
|
3966,85
|
11265,95
|
3,84
|
|
7
|
13131,72
|
3419,70
|
9712,03
|
3,84
|
|
8
|
11320,45
|
2948,01
|
8372,44
|
3,84
|
|
9
|
9759,01
|
2541,39
|
7217,62
|
3,84
|
|
10
|
8412,94
|
2190,85
|
6222,08
|
3,84
|
|
11
|
7252,53
|
1888,67
|
5363,87
|
3,84
|
|
12
|
6252,18
|
1628,16
|
4624,02
|
3,84
|
|
13
|
5389,81
|
1403,59
|
3986,23
|
3,84
|
|
14
|
4646,39
|
1209,99
|
3436,40
|
3,84
|
|
15
|
4005,51
|
1043,09
|
2962,42
|
3,84
|
|
Итого:
|
206922,6
|
53885,72
|
153036,9
|
3,84
|
Как видно из таблицы 8.5, индекс рентабельности
больше единицы за каждый год, следовательно, данный проект можно считать
эффективным.
9
Безопасность жизнедеятельности
9.1
Введение. Выполнение требований электробезопасности в особо опасных помещениях
по степени опасности поражения электрическим током
В отношении опасности поражения людей
электрическим током помещения электроустановок различаются:
) помещения без повышенной опасности, в которых
отсутствуют условия, создающие повышенную или особую опасность;
)помещения с повышенной опасностью,
характеризующиеся наличием одного из следующих условий, создающих повышенную
опасность:
сырость или токопроводящая пыль;
токопроводящие полы (металлические, земляные,
железобетонные, кирпичные и т.п.);
высокая температура;
возможность одновременного прикосновения
человека к металлоконструкциям зданий, имеющим соединение с землей,
технологическим аппаратам, механизмам и т.п., с одной стороны, и к
металлическим корпусам электрооборудования (открытым проводящим частям), с
другой;
) особо опасные помещения, характеризующиеся
наличием одного из следующих условий, создающих особую опасность:
особая сырость;
химически активная или органическая среда;
одновременно два или более условий повышенной
опасности;
) территория открытых электроустановок в
отношении опасности поражения людей электрическим током приравнивается к особо
опасным помещениям.
Основные требования электробезопасности:
Токоведущие части электроустановки не должны
быть доступны для случайного прикосновения, а доступные прикосновению открытые
и сторонние проводящие части не должны находиться под напряжением,
представляющим опасность поражения электрическим током, как в нормальном режиме
работы электроустановки, так и при повреждении изоляции.
Для защиты от поражения электрическим током в
случае повреждения изоляции должны быть применены по отдельности или в
сочетании следующие меры защиты при косвенном прикосновении:
защитное заземление;
автоматическое отключение питания;
уравнивание потенциалов;
выравнивание потенциалов;
двойная или усиленная изоляция;
сверхнизкое (малое) напряжение;
защитное электрическое разделение цепей;
изолирующие (непроводящие) помещения, зоны,
площадки.
9.2
Выбор и обоснование сетей до 1 кВ для электроснабжения насосной станции в
условиях высокой влажности. Выбор заземляющего устройства энергообъекта.
Подключение энергоприемников 6 и 0,4 кВ к контуру заземления
Так как, вследствие высокой влажности и
химически активной среды, невозможно обеспечить хорошую изоляцию проводов,
необходимо выбрать сеть с глухо заземленной нейтралью.
Внешнее заземляющее устройство выполняется по
контуру насосной станции. В качестве горизонтального электрода применяем
полосовую сталь сечением 40×4 мм.
Вертикальные электроды изготавливаются из стальных стержней диаметром 20 мм и
длиной 3 м.
Все металлические конструкции
электрооборудования присоединяются к внутреннему контуру заземления, который
изготавливается из полосовой стали сечением 25×4 мм
и присоединяется к внешнему контуру не менее чем в двух точках.
Присоединение заземляемого оборудования к
магистрали заземления осуществляется с помощью отдельных проводников, при этом
не допускается последовательное включение заземляющего оборудования.
9.3
Расчет заземляющего устройства объекта
Исходные данные для расчета:
Длина горизонтального электрода 50 м;
Количество вертикальных электродов 20шт;
Длина вертикального электрода 5 м;
Диаметр вертикального электрода 0,02 м;
Удельное сопротивление грунта (суглинок) 150 Ом.
Сопротивление горизонтального электрода:
гдеρ
- удельное сопротивление грунта, Ом/м;
lг
- длина горизонтального электрода, м;
b
- ширина горизонтального электрода, м;
hг
- глубина залегания горизонтального электрода, м.
Сопротивление одного вертикального электрода:
гдеρ-
удельное сопротивление грунта, Ом/м;
lв-
длина вертикального электрода, м;
d-
диаметр вертикального электрода, м;
hг-
расстояние от поверхности земли до центра вертикального электрода, м.
Сопротивление заземляющего устройства:
Где ηв-
коэффициент использования вертикальных электродов;
ηг-
коэффициент использования горизонтальных электродов;
n-
количество вертикальных электродов.
9.4
Первичные средства тушения пожара. Использование огнетушителей
Особое значение при тушении пожаров на
энергетических предприятиях имеет умение персонала применять первичные средства
пожаротушения.
В соответствии с правилами пожарной
безопасности, производственные и служебные здания, сооружения и помещения, а
также открытые производственные площадки должны быть обеспечены необходимыми
первичными средствами пожаротушения.
К первичным средствам пожаротушения относятся:
все виды переносных и передвижных огнетушителей;
оборудование пожарных щитов;
ящики с порошковыми составами (песок, перлит и
т.п.), а также огнестойкие ткани (асбестовое полотно, кошма, войлок и т.п.).
Первичные средства пожаротушения размещаются в
легкодоступных местах и не должны быть помехой при эвакуации персонала из
помещений.
Запрещается использование пожарного инвентаря и
других средств пожаротушения для иных нужд, кроме тушения пожаров и обучения
персонала.
Использованные или неисправные огнетушители
должны быть немедленно убраны из защищаемого помещения и заменены исправными.
Для размещения первичных средств пожаротушения в
производственных помещениях, а также на территории предприятий, как правило,
должны устанавливаться специальные пожарные щиты.
Допускается одиночное размещение огнетушителей в
небольших помещениях.
Похожие работы на - Электроснабжение канализационной насосной станции
|