Расчет параметров системы электроснабжения

  • Вид работы:
    Курсовая работа (т)
  • Предмет:
    Физика
  • Язык:
    Русский
    ,
    Формат файла:
    MS Word
    954,56 Кб
  • Опубликовано:
    2017-11-14
Вы можете узнать стоимость помощи в написании студенческой работы.
Помощь в написании работы, которую точно примут!

Расчет параметров системы электроснабжения

Введение

В курсовом проекте необходимо произвести расчет и разработать защиту силового трансформатора, ЛЭП, высоковольтного электродвигателя, спроектировать устройство автоматики, произвести проверку трансформатора тока на точность работы.

1. Задание на курсовое проектирование

Исходные данные для проектирования.

Рисунок 1 - Расчетная схема СЭС

. Номинальное напряжение на стороне низшего напряжения составляет 10 кВ.

. Мощность КЗ системы в минимальном режиме составляет 35 % от указанной в таблице исходных данных.

Таблица 1 - Исходные данные

Sкз, МВА

Ра, МВт

Данные по потребителям

Длина линии

Автоматика



Н1 (Н2)

Н3 (Н4)

L1




Sн, МВА

tсз, с

Iсз, кА

Sн, МВА

tсз, с

Iсз, кА




1500

1,0

1,2

0,6

0,20

3,5

1,8

0,8

3,0

14,0

АПВ


2. Выбор элементов СЭС

.1 Выбор электродвигателя

По заданной мощности (2000 кВт) выбираю электродвигатель 4АРМ-1000/10000.

Таблица 2 - Технические характеристики электродвигателя


Полная мощность электродвигателя:


Номинальный ток электродвигателя:


Пусковой ток:


Пусковое сопротивление:


2.2 Выбор ЛЭП

Протяженность ЛЭП:

.

.

Выбор сечения ЛЭП по длительно допустимому току:


Максимальный рабочий ток линий W1, W2 в послеаварийном режиме:


Максимальный рабочий ток линий W3, W4 в послеаварийном режиме:

=

Выбор сечения ЛЭП по экономической плотности тока:

где F - экономически целесообразное сечение;
Jэ - экономическая плотность тока; Iраб.max - рабочий максимальный ток в нормальном режиме.


Проводники - Кабели с алюминиевыми жилами.

Экономическая плотность тока, А/мм2, при числе часов использования максимума нагрузки в год более 3000 до 5000 - 1,7.

Экономически целесообразное сечение округляется до ближайшего стандартного.


Выбираем число и номинальное сечение жил по допустимой токовой нагрузке:

Для линии w1, w2 - выбираем кабель 3х50 прокладка в земле, допустимая токовая нагрузка 165А

Для линии w3, w4 - выбираем кабель 3х240, прокладка в земле , допустимая токовая нагрузка 408А

Удельное активное и реактивное сопротивление жилы кабеля

Силовые кабели с изоляцией из сшитого полиэтилена и оболочкой из полиэтилена на номинальное напряжение 6/10 кВ: АПвЭП-6/10, ПвЭП-6/10.

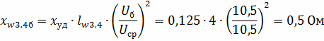
Линия w1, w2, кабель 3х50 - X0 = 0,641 Ом/км.

Линия w3, w4, кабель 3х240 - X0 =0,125 Ом/км.

Тогда:


Линия w1, w2, кабель 3х50 - R0 = 0,104 Ом/км

Линия w3, w4, кабель 3х240 - R0 = 0,080 Ом/км

Тогда:


.3 Выбор силового трансформатора

Расчетная мощность на шинах НН подстанции:

Расчетная мощность трансформатора:


Расчетная мощность трансформатора округляется до ближайшей большей стандартной мощности. Выбираем трансформатор ТДН-10000/110. Т - трехфазный; Д - принудительная циркуляция воздуха и естественная циркуляция масла; Н - наличие регулирования под нагрузкой (РПН).

Технические характеристики которого приведены в таблице 3.

Трансформаторы с регулированием напряжения под нагрузкой (РПН) в нейтрали ВН в диапазоне ±16 % ±9 ступеней.

Таблица 3


3. Расчет токов КЗ

.1 Выбор базисных условий

Расчет ведем в именованных единицах с относительным приведением параметров.

Базисное напряжение выбирается из ряда средних значений:

Uб = 10,5 кВ.

В качестве базисной ступени целесообразно принять ступень напряжения, на которой произошло КЗ.

Базисная мощность задается произвольно.

Рисунок 2 - Схема замещения

.2 Расчет параметров схемы замещения

Расчет токов КЗ производится для двух режимов работы СЭС - максимального и минимального. При этом необходимо учитывать РПН силового трансформатора.

Таблица 4. Значения напряжения КЗ на крайних ответвлениях трансформаторов РПН


Минимальный режим СЭС:

,

где:

но:


где  


Максимальный режим СЭС


.3 Приведение параметров к базисным условиям


3.4 Расчет тока КЗ

Для точки K1:


Для точки K2:


Для точки K3:


Таблица 5. Значения токов КЗ

Ток КЗ \ Точка КЗ

K1

K2

K3

Iк.max(3), кА

Iк.max(2), кА

Iк.min(3), кА

Iк.min(2), кА


4. Релейная защита электродвигателя

Для асинхронных двигателей напряжением выше 1000 В предусматриваются устройства релейной защиты, действующие при:

−       Многофазных КЗ на выводах и в обмотке статора.

−       Перегрузках.

−       Однофазных замыканиях на землю.

−       Исчезновении или длительном снижении напряжения.

.1 Защита от многофазных КЗ на выводах и в обмотке статора

−       а) Если Pдв.ном < 2000 кВт, то применяют токовую отсечку без выдержки времени в однорелейном исполнении.

−       б) Если 5000 < Pдв.ном ≤ 2000 кВт, то применяют токовую отсечку без выдержки времени в двухрелейном исполнении.

−       в) Если Pдв.ном ≥ 5000 кВт, то применяют продольную дифференциальную защиту.

Мощность рассчитываемого двигателя составляет 1000 кВт, соответственно возможна установка токовой отсечки без выдержки времени в однорелейном исполнении. Но в виду низкой эффективности данной защиты, а именно низкая чувствительность к двухфазным коротким замыканиям между одной из фаз, на которых установлен трансформатор тока и фазой без трансформатора тока, целесообразно выбрать токовую отсечку без выдержки времени в двухрелейном исполнении.

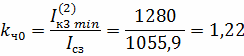
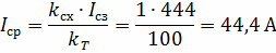
Выбираем трансформаторы тока типа ТЛК-10, коэффициент трансформации kT=80/5=16.

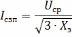
Ток срабатывания реле:


kотс=1,1 - коэффициент отстройки реле РТ-40-50, kсх=1 - коэффициент схемы при схеме соединения обмоток ТТ «неполной звездой».  - наибольшее действующее значение периодической составляющей тока внешнего трехфазного металлического КЗ или тока, протекающего через ТТ в режимах самозапуска.

Коэффициент чувствительности:


Значение kч согласно ПУЭ должно быть не менее 2, Данное требование выполняется, защита, отстроенная на реле типа РТ-40 с током уставки 33 А принимается к установке.

.2 Защита от замыканий на землю

Предполагается к установке защита от однофазных замыканий на землю с реле типа РТЗ-51. Для подключения защит применяются трансформаторы тока нулевой последовательности ТЗЛМ.

  

где kотс =1,2 - коэффициент отстройки, kб=2,5 - коэффициент, учитывающий бросок собственного ёмкостного тока.

Собственный емкостный ток Iс состоит из двух составляющих:


Собственный емкостный ток электродвигателя равен:

0,0219 А

где Сдв - емкость фазы статора:


Собственный емкостный ток линии, соединяющей двигатель с КРУ и входящий в зону действия защиты, составляет:


где Iс0= 0,8 А/км - значение собственного емкостного тока кабеля на 1 км.

Тогда:

 


Т.к Iсз.расч.>5 A, то ТТНП следует перенести к линейным выводам электродвигателя, в таком случае:


Выбирается ближайшая меньшая уставка Iсз = 0,6 А.

Суммарный емкостный ток замыкания на землю сети:


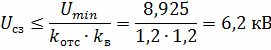
Выбранная уставка защиты должна удовлетворять условиям:

≥ 0,6 ≥ 0,0657

,44 ≥ 0,1095

Проверка чувствительности:

,42 ≥0,9

т.к. все условия выполняются, принимаем данную защиту к установке.

.3 Защита от токов перегрузки

Принимаем к установке защиту с независимой от тока характеристикой выдержки времени с реле тока РCТ-11 и реле времени типа РСВ-13.

Выбираем трансформаторы тока типа ТЛК-10, соединенные в «неполную звезду», с включением реле на ток фазы, коэффициент трансформации kT=80/5=16.

Ток срабатывания реле:


где kотс=1,15 - коэффициент отстройки,

kcх=1 - коэффициент схемы при включении реле на ток фазы,

kв=0,9 - коэффициент возврата реле РСТ-11.

Выдержка времени срабатывания защиты:

tсз ≥ 1,2∙5

tсз ≥ 6 с

К установке применяем защиту на реле РCТ-11-19 с током уставки 6 А и реле времени РСВ-13.

.4 Защита минимального напряжения

Самозапуск электродвигателя предусматривается и обеспечивается при любых реальных режимах потери питания (время перерыва питания tПП).

Защита не должна срабатывать в условиях пониженного напряжения, при самозапуске (Ucз). Защита действует на отключение ЭД по условию техники безопасности при длительном исчезновении напряжения.

Самозапуск ЭД при снижении напряжения до 0,7 от номинального, защита действует на отключение ЭД при снижении напряжения ниже выше указанного предела, т.е. до наступления самозапуска. Защиту устанавливают в начале питающей КЛ, перед выключателем на шине.

Для построения ЗМН применяем реле типа РСН, трансформаторы напряжения типа НОМ 10У3 (коэффициент трансформации ТН - kтр= 10000/100=100). Первичное напряжение срабатывания защиты:


Уставка реле напряжения:


Принимаем к установке реле РСН-15-23 (диапазон уставок 15-70 В), с напряжением уставки 54 В.

Время срабатывания принимается по условию отстройки от времени срабатывания быстродествующих защит присоединений.

tср = 0,5 с.

5. Расчет защиты линии электропередачи

Для защиты линий в сетях 3-10 кВ с изолированной нейтралью должны быть предусмотрены следующие виды защит:

от многофазных замыканий,

от однофазных замыканий на землю.

В качестве защиты на одиночных линиях с односторонним питанием устанавливается 2-х ступенчатая ненаправленная токовая защита (1-я ступень - ТО, 2- я ступень - МТЗ).

.1 Расчет токовой отсечки

Для выполнения токовой отсечки ЛЭП выбираем реле типа РСТ-11. Выбираем трансформаторы тока типа ТПОЛ-10 со схемой соединения «неполная звезда», коэффициент трансформации kТ=500/5=100

По условию селективности ток срабатывания защиты:


где kН=1,1 - коэффициент надежности реле РСТ-11

Ток срабатывания реле:


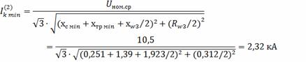
Определим зону действия ТО. Рассчитаем максимальное и минимальное значение тока КЗ при трехфазном замыкании в середине линии W1:


Рисунок 3. Зона действия ТО

релейный трансформатор асинхронный токовый

В соответствии с ПУЭ зона действия ТО должна охватывать не менее 15-20 % защиты линии, защита на реле РСТ-11-29 с током уставки 45 А принимается к установке.

5.2 Расчет максимальной токовой защиты

Максимальную токовую защиту выполняем на базе реле РСТ-13. Выбираем трансформаторы тока типа ТПОЛ-10, Схема соединения обмоток «неполная звезда», коэффициент трансформации kТ=500/5=100.

Ток срабатывания защиты при условии ее несрабатывания при сверхтоках послеаварийных перегрузок, т.е. после отключения с выдержкой времени близкого трехфазного КЗ на отходящем элементе, определяется по выражению:

,

где ,

.

Максимальный рабочий ток защищаемой линии:


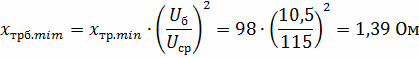
Рисунок 4. Схема замещения СЭС

Сверхпереходное сопротивление нагрузки:


Ток самозапуска:

Uост=

 ≥ 0,7∙10500=7350 В


Условие выполняется.


Восстановление питания действием АПВ после бестоковой паузы. Ток срабатывания определяется:


Производим согласование по чувствительности:


где  - коэффициент надежности согласования,

 - наибольший ток срабатывания предыдущей защиты,

 - сумма максимальных рабочих токов всех предыдущих элементов, за исключением того, с которым производится согласование.

Ток срабатывания реле:


Окончательно принимаем реле РСТ-13-24 (диапазон уставок 5-20 А) с уставкой по току 11 А.

Коэффициент чувствительности в основной зоне и зоне резервирования:


Т.к. расчетный коэффициент чувствительности в основной зоне более 1,5, а в резервной более 1,2, то защита принимается к установке.

Выдержка времени МТЗ линии:


Окончательно принимаем к установке реле времени РСВ-13 с диапазоном уставок 0,1-9,9 с.

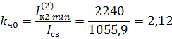
.3 Расчет защиты от замыкания на землю

Для защиты линии от однофазных замыканий на землю применяем направленную токовую защиту нулевой последовательности с реле типа ЗЗП-1М. Для подключения защит применяются трансформаторы тока нулевой последовательности типа ТЗЛМ-У3.

Расчетный ток срабатывания защиты:


Собственный емкостный ток сети:


где  - Величина емкостного тока на землю 1 км кабельной линии, может быть определена эмпирически:


Расчетный ток срабатывания защиты:


Проверка защиты на чувствительность:


Т.к.  ≥ 1,25, следовательно защита принимается к установке.

6. Защита силового трансформатора

Для защиты понижающих трансформаторов от повреждений и ненормальных режимов работы принимается:

.        Продольная дифференциальная защита - от токов КЗ в обмотках и на нарушенных выводах, для трансформаторов мощностью 6,3 МВА и выше. Защита действует на отключение трансформатора. Продольная дифференциальная защита должна быть выполнена так, чтобы в ее зону действия входили соединения трансформатора со сборными шинами.

.        ТО без выдержки времени, устанавливаем со стороны питания и охватывает часть обмотки трансформатора, если не предусматривается дифференциальная защита.

.        Газовая защита - от всех видов повреждений внутри бака трансформатора, а от понижения масла.

.        МТЗ - от сверхтоков, обусловленных внешними междуфазными КЗ на сторонах НН или СН трансформатора.

.        МТЗ от токов, обусловленных перегрузкой, с действием на сигнал.

.1 Дифференциальная защита трансформатора

Произведем расчет дифференциальной токовой защиты на реле типа РНТ 565.

Первичные токи для сторон защищаемого трансформатора:


Расчетный коэффициент трансформации на стороне ВН:


где  - номинальный вторичный ток ТТ, 5 А.


Для стороны ВН выбираем трансформаторы тока типа ТФЗМ-110Б со схемой соединения «треугольник», коэффициент трансформации kтВН=150/5=30, для стороны НН - трансформаторы тока ТЛК-10У3 со схемой соединения «звезда», коэффициент трансформации kтНН=1000/5=200.

Вторичные токи в плечах защиты равны:


Принимаем за основную сторону защищаемого трансформатора сторону ВН, которой соответствует наибольший из вторичных токов в плечах защиты.

Определим первичный ток срабатывания защиты путем отстройки от расчетного тока небаланса:


где

Расчетный ток небаланса может быть определен как сумма трех составляющих:


Ток небаланса, обусловленный погрешностью ТТ:


Ток небаланса, обусловленный изменением коэффициента трансформации защищаемого трансформатора:


Третья составляющая тока небаланса  обусловлена неточностью уставки реле расчетных чисел витков обмотки.

Т.к. расчетные числа витков обмотки еще не определены, то на первом этапе  определяется без :

150,02 А.

Тогда 150,02 = 195,03 А

Для предотвращения ложного отключения трансформатора защита так же должна быть отстроена от броска тока намагничивания при включении трансформатора под напряжения:


В качестве расчетного принимаем большее значение .

Произведем предварительную проверку чувствительности защиты:


Т.к. полученное расчетное значение  , а расчетным для выбора тока срабатывания являлась отстройка от тока небаланса, это означает, что реле типа РНТ-565 не может быть применено для построения ДЗТ ввиду его низкой чувствительности.

Поэтому выполняем ДЗТ на реле типа ДЗТ-11. Для стороны ВН выбираем трансформаторы тока типа ТФЗМ-110Б-У1 со схемой соединения «треугольник», коэффициент трансформации kтВН=150/5=30, для стороны НН - трансформаторы тока ТЛК-10У3 со схемой соединения «звезда», коэффициент трансформации kтНН=1000/5=200.

Определим первичный ток срабатывания защиты путем отстройки от расчетного тока небаланса без учета :


где

Определим ток срабатывания защит путем отстройки от броска тока намагничивания:


Тормозную обмотку устанавливаем на стороне НН защищаемого трансформатора.

Ток срабатывания реле на основной стороне (сторона НН):


Число витков обмотки на основной стороне:


где  - магнитодвижущая сила срабатывания реле.

Предварительно принимаем =29.

Соответствующий ток срабатывания реле:


Число витков обмотки на неосновной стороне:


Предварительно принимаем =27.

Составляющая тока небаланса


Определим уточненный ток небаланса с учетом

Уточненное значение минимального тока срабатывания защиты:


Окончательно принимаем число витков обмотки реле для установки на основной стороне , на неосновной .

Т.к. уточненное значение минимального тока срабатывания защиты  отличается от расчетного  не более, чем на 10%, то заглубления защиты не требуется и пересчет не производится.

Определим необходимое число витков тормозной обмотки:


где =- число витков рабочей обмотки реле,

=- первичный тормозной ток при внешнем КЗ.

Принимаем .

Коэффициент чувствительности защиты определяем по формуле:

.

Вторичный ток на стороне ВН:


Ток срабатывания реле на стороне ВН:


Тогда:

 ≥ 2, следовательно защита на реле ДЗТ-11 принимается к установке.

Расчет максимальной токовой защиты.

Определим ток срабатывания защиты:


где =1,1 - коэффициент отстройки,

- коэффициент самозапуска,

 - коэффициент возврата реле.

Ток срабатывания реле:


где .

 - коэффициент трансформации ТТ ТФЗМ-110Б -У1 - 200/5.

Выбираем реле типа РТ-40/20 с диапазоном уставок 5-10 А.

Проверка защиты на чувствительность к двухфазным КЗ на стороне НН:


где - двухфазное КЗ на стороне НН, приведенное к стороне ВН.


где  - коэффициент трансформации защищаемого трансформатора:

Т.к., то защита не удовлетворяет требованию к чувствительности. Соответственно необходимо устанавливать МТЗ с пуком по напряжению.

Расчет максимальной токовой защиты с пуском по напряжению.

Ток срабатывания защиты:


Согласование по чувствительности с МТЗ смежной зоны:


где  - наибольший ток срабатывания предыдущей защиты МТЗ.

 - сумма максимальных рабочих токов всех линий, за исключением той, с которой производится согласование.


Ток срабатывания реле:


Выбираем реле типа РТ-40/6 (диапазон уставок 1,5-3 А) с уставкой 2,5А.


Т.к., то защита удовлетворяет требованию к чувствительности.

Первичное напряжение срабатывания защиты:

1)      По условию обеспечения возврата реле после отключения КЗ:


Напряжение срабатывания реле:


где  - коэффициент трансформации ТН ЗНОЛ-10.

Выбираем реле РН 54/160 (диапазон уставок 40 - 160 В) с уставкой 62 В.


где Uост - максимальное остаточное напряжение на шинах 10 кВ при трехфазном КЗ на предыдущем элементе:


.3 Защита от токов перегрузки

Для защиты от перегрузки используем реле РСТ-13-19.

Отстройку тока срабатывания защиты необходимо вести от номинального тока при 140% загрузке трансформатора.


Защита устанавливается на стороне ВН и действует на сигнал.

Ток срабатывания защиты:


Ток срабатывания реле:


Время срабатывания отстраивается от времени пуска АД:

.

где  

Выбираем к установке реле РСТ-13-19 (диапазон уставок 0,2 - 6 А) с уставкой по току 4 А и реле времени РСВ-13.

7. Расчетная проверка трансформаторов тока

.1 Расчетная проверка на 10% погрешность

) Проверяется ТТ ТПОЛ-10 - 500/5 в цепи МТЗ линии.

Расчет предельной кратности ТТ:


где - расчетный ток КЛ, - номинальный ток КЛ w3.


Рисунок 5. Кривые предельной кратности

Для ТТ типа ТПОЛ-10 кривая предельной кратности изображена под номером 1.

Определяем номинальное расчетное сопротивление ТТ:


где - сопротивление реле, - сопротивление контактов реле, - сопротивление монтажных проводов.


где - потребляемая мощность реле при соответствующем токе уставки и - ток срабатывания.

При количестве приборов до 3 штук

- зависит от длинны, площади, сечения и удельного сопротивления материала проводов.


где l принимаем равным 10 м, S - 3,5 мм2,  - для меди

Т.к. , то ТТ в цепи МТЗ линии работает с полной погрешностью меньше 10%.

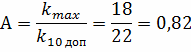
7.2 Расчетная проверка надежного замыкания контактов реле

Расчет производим для МТЗ линии:


Где Iк маx - максимальный первичный ток при КЗ в начале защищаемой зоны. К10доп - допустимая предельная кратность, при которой полная погрешность ТТ ε=10%.

Значение К10доп определяется с помощью кривой предельных кратностей по фактической расчетной нагрузке Zрасч.

Для реле РСТ

По величине А определим токовую погрешность  (рисунок 6).

Т.к f<fдоп следовательно обеспечивается надежная работа контактов реле.

Рисунок 6. Зависимость А от

7.3 Расчетное определение напряжения во вторичных обмотках ТТ

Напряжение во вторичных обмотках ТТ:

≥ 28,2

8. Расчет параметров устройства автоматики

На нагрузке Н1 предусмотрена установка устройства автоматического повторного включения.

Выполним АПВ на базе реле повторного включения однократного действия РПВ-01.

Время срабатывания АПВ определяется по следующим условиям:

) Уставка по времени срабатывания АПВ должна отстраиваться от времени готовности привода выключателя к работе:


где  - время готовности привода выключателя (0,2-1с.),  - время запаса, учитывающее непостоянств времени готовности привода выключателя и погрешность реле времени УАПВ ( равно 0,3-0,5 с.).

) Уставка по времени срабатывания АПВ должна отстраиваться от времени полного гашения дуги на поврежденном участке лиии и времени деионизации среды после гашения дуги:

,

где  - время деионизации среды, составляющее 0,1 - 0,3 с.

Из значений, полученных по условиям 1 и 2 выбираем большее:

Выдержка времени срабатывания АПВ как правило принимается больше, чем  - около 2-3 с. Это бывает целесообразно для повышения успешности действия АПВ на линиях, где повреждения наиболее часты.

Принимаем .

Время автоматического возврата УАПВ определяется продолжительностью заряда конденсатора (20-25 с.), принимаем время возврата АПВ - 22 с.

Заключение

В ходе выполнения курсового проекта была спроектирована релейная защита типовых элементов СЭС: силового трансформатора, электродвигателя, кабельной линии. Кроме того была спроектирована система АПВ на нагрузке Н1. Все полученные результаты сведены в таблицу 6 и 6.1

Таблица 6

Устройство автоматики

Объект

Вид автоматики

Вид реле

, с

, с

Н1

АПВ

РПВ-01

2,5

22


Таблица 7

Устройства релейной защиты

Объект

Вид защиты

ТТ, ТН

Вид реле

, А

, B

, А

, B

, c

kчПУЭ

ЭД

Токовая отсечка

ТЛК-10 80/5

РТ-40/50

478,87

-

32,92

-

-

2,43

≥2


Защита от перегрузки

ТЛК-10 80/5

РСТ-11-19

-

-

5,46

-

6

-

-


Защита от ОЗЗ

ТЗЛМ

РТЗ-51

7,26

-

0,6

-

-

-

-


Защита минимального напряжения

НОМ-10

РСН-15

-

5303

-

53,03

0,5

-

-

Трансформаторы

Дифференциальная защита

ТФЗМ-110Б-У1-150/5 ТЛК-10-У3-1000/5

ДЗТ-11

240,77

-

3,45

-

-

4,14

≥2


МТЗ с пуском по напряжению

ТФЗМ-110Б-У1-200/5 ЗНОЛ-10

РТ-40/2 РН-54/160

75,39

5000

1,88

50

-

1,57

≥1,5


Защита от перегрузки

ТФЗМ-110Б-У1-200/5

РСТ-13-19

86

-

3,72

-

6,5

-

-

КЛ

Токовая отсечка

ТПОЛ-10-500/5

РСТ-11-24

1930

-

19,3

-

-

1,66

≥1,2


МТЗ

ТПОЛ-10-400/5

РСТ-13-24

684,25

-

6,84

-

6,5

3,27

≥1,5


Защита от ОЗЗ

ТЗЛМ-У3

ЗЗП-1М

5,34

-

-

-

-

1,54

≥1,25



Список литературы

1.       Шабад М.А. Расчеты релейной защиты и автоматических распределительных сетей - Л: Энергоатомиздат, 1985.

.        Королев Е.П., Либерзон Э.М. Расчеты допустимых нагрузок в токовых цепях релейной защиты. - М.: Энергия, 1980. - 208с.

.        Реле РНТ и ДЗТ в схемах дифференциальных защит. Часть 1-2. - М.:НТФ «Энергопрогресс». 2014. - 88с.

.        Правила устройства электроустановок - Новосибирск: Сиб.унив. издательство.

.        Электрическая часть электростанций и подстанций: Справочные материалы для курсового и дипломного проектирования: Учеб. Пособие для вузов. - М.: Энергоатомиздат, 1989 - 608с.

6. Какуевский Л.И., Смирнова Т.В. Справочник реле защиты и автоматики. Под ред. Хэйфица М.Э. Изд. 3-е перераб. И доп. М, «Энергия» 1972. 344с.

. Рудометов Н.А. Релейная защита воздушных и кабельных линий в сетях с изолированной нейтралью. - К.: «Кузбасский политехнический институт» 1991. - 23с.

. Рудометов Н.А. Релейная защита электродвигателей напряжением выше 1 кВ.. - К.: «Кузбасский политехнический институт» 1991. - 23с.

. Рудометов Н.А. Релейная защита понижающих трансформаторов. - К.: «Кузбасский политехнический институт» 1990. - 23с.

Похожие работы на - Расчет параметров системы электроснабжения

 

Не нашли материал для своей работы?
Поможем написать уникальную работу
Без плагиата!
Без нейросетей!