Расчёт схемы электроснабжения предприятия
Содержание
Введение
Основная часть
Выбор схемы питания
Определение расчётных нагрузок
Выбор числа и мощности
трансформаторов
Выбор места расположения
трансформаторов
Выбор сечений проводов и жил кабелей
Выбор выключателей
Выбор распределительного устройства
Расчёт токов короткого замыкания
Технико-экономические
расчёты в электроснабжении
Заключение
Список литературы
Введение
При создании системы электроснабжения
предприятия должны выполняться определённые требования. Разрабатываемая система
должна быть экономичной, простой, надёжной, обеспечивать требуемое качество
электроэнергии, удобной для эксплуатации и ремонтных работ, предусматривать
применение комплектного электрооборудования и индустриальных способов монтажа.
При реконструкции проектируемая схема должна включать в себя элементы уже
существующей схемы, в соответствии с её пропускной способностью, и новые
расчетные условия. Схема распределения электроэнергии строится с соблюдением
принципов приближения высокого напряжения к потребителям, отказа от холодного
резерва, раздельной работы линии и трансформаторов, глубокого секционирования.
Необходимо обеспечить гибкость системы, для дальнейшего развития и расширения
предприятия на следующие 8-10 лет.
Каждый предприятие имеет свою специфику и ставит
свои частные условия для выполнения проекта снабжения.
Поэтому необходимо выявить общий алгоритм, по
которому можно произвести расчёт параметров сети и подобрать оборудование. Это
алгоритм должен быть наглядным и достаточно простым, и при этом учитывать,
специфические требования к электроснабжению. В него должны входить все основные
расчёты при проектировании системы: расчёт нагрузки, выбор числа и мощности
трансформаторов и так далее, включая и экономические расчёты проекта.
Основная часть
При расчёте схемы электроснабжения предприятия
необходимо выполнить следующие задачи:
) Выбрать схему питания;
) Определить расчётные нагрузки;
) Выбрать оборудование;
.1) Выбрать число и мощность трансформаторов;
.2) Выбрать сечений проводов и жил кабелей;
3.3) Выбрать распределительные устройства;
.4) Выбрать выключатели;
) Рассчитать токи короткого замыкания;
) Уточнить параметры оборудования;
) Провести технико-экономический анализ;
Выбор схемы питания
Виды схем:
) Радиальная схема - схема, в которой
электроснабжение осуществляется линиями, не имеющими распределения энергии по
их длинам.
Достоинство радиальных схем: максимальная
простота; аварийное отключение радиальной линии не отражается на
электроснабжении остальных потребителей.
Недостаток: большой расход кабельной продукции
обусловливает высокую стоимость системы. Кроме того, при одиночных радиальных
линиях невысока надежность электроснабжения.
) Магистральная схема - схема, в которой линии,
питающие потребителей (приемники), имеют распределение энергии по длине. Магистральные
схемы имеют следующие достоинства: лучшая загрузка линии, меньший расход
кабелей, можно обойтись меньшим количеством выключателей.
Недостатки одиночных магистралей заключаются в
трудностях при отыскании места повреждения магистрали и в более низкой
надежности электроснабжения по сравнению с радиальной схемой.
) Смешанная схема - схема, в которой
электроснабжение осуществляется радиальными и магистральными линиями.
Факторы, влияющие на выбор схемы:
) Категория потребителя по надежности электроснабжения;
) Расположение нагрузок относительно друг друга
и источника питания;
) Режим работы электрооборудования в цехе,
который определяет график нагрузки цеха;
Определение расчётных нагрузок
Правильное определение электрических нагрузок
является основой рационального построения и эксплуатации систем
электроснабжения промышленных предприятий. Это не просто суммирование
номинальных мощностей, а определение ожидаемых электрических нагрузок.
Основные рекомендации по определению расчётных
нагрузок:
. Для определения расчётных нагрузок
отдельных групп приемников до 1 кВ следует использовать метод упорядоченных
диаграмм
. Для определения расчётных нагрузок на
высших ступенях системы электроснабжения следует применять метод расчёта,
основанный на использовании средней мощности и коэффициентов
. Для ориентировочных расчётов на высших
ступенях системы электроснабжения возможно применение методов расчёта по
установленной мощности и
В качестве примера возьмём метод определения
расчётных нагрузок по методу упорядоченных диаграмм:
Метод применим, когда известны номинальные
данные всех электроприёмников предприятия с учётом их размещения на территории
предприятия. Недостаток метода упорядоченных диаграмм в том, что он не содержит
элемента прогнозирования нагрузок.
Определяют среднюю нагрузку групп приёмников за
максимально загруженную смену
и расчётный
получасовой максимум
:
где
-
суммарная номинальная активная мощность электроприёмников кВт,
-
коэффициент использования активной мощности
Расчётная максимальная нагрузка:
,
где
-
коэффициент максимума, в данном случае активной мощности, принимаемой по
графикам, в зависимости от коэффициента использования и эффективного числа
электроприёмников.
Коэффициент максимума характеризует превышение
максимальной нагрузки над средней за максимально загруженную смену. Величина,
обратная коэффициенту максимума называется коэффициентом заполнения графика
нагрузки
:
Эти коэффициенты необходимы для групповых
графиков нагрузки.
Расчёты нагрузок проводят для активных и для
реактивных мощностей.
Порядок расчёта по методу упорядоченных
диаграмм:
) все электроприёмники разбиваются на однородные
по режиму работы группы с одинаковыми значениями коэффициентов использования и
коэффициентов мощности;
) подсчитывают количество электроприёмников в
каждой группе и в целом по расчетному узлу присоединения;
) в каждой группе электроприёмников и по узлу в
целом находят пределы их номинальных мощностей и приведённое число приёмников,
при этом все электроприёмники приводятся к ПВ=100%,
) подсчитывают суммарную номинальную мощность
узла,
) определяют для групп электроприёмников
коэффициент использования и коэффициент мощности cosφ
по справочным таблицам и по характеристикам оборудования,
) определяют активную и реактивную потребляемую
мощность за наиболее загруженную смену:
,
) определяют суммарную активную и реактивную
нагрузку для узла для разнородных групп электроприёмников,
) определяют средневзвешенное значение
коэффициента использования узла и коэффициента мощности по
:

) с учётом коэффициента максимума определяют
расчётную максимальную нагрузку,
) определяют полную мощность и кВА:
и расчётный ток, А.
Полученные значения расчётного тока и полной
мощности необходимы для выбора оборудования.
Выбор числа и мощности
трансформаторов
Выбор числа и мощности и типа силовых
трансформаторов должен быть правильным, технически и экономически обоснованным,
так как он оказывает существенное влияние на рациональное построение схемы
электроснабжения.
Основная схема выбора:
. Определяют число трансформаторов на
подстанции, исходя из обеспечения надёжности питания с учетом категории
потребителей.
. Намечают возможные варианты номинальной
мощности
выбираемых
трансформаторов с учётом допустимой нагрузки их в номинальном режиме и
допустимой перегрузки в аварийном режиме.
. Определяют экономически целесообразное
решение из намеченных вариантов, приемлемое для данных конкретных условий.
Выбор числа трансформаторов определяется
требованиями надёжности электроснабжения и связан с режимом работы станции:
) категория надёжности электропотребителей. Для
1-й категории оптимальный коэффициент загрузки составляет КЗ=0,6-0,7; для 2-й категории
- КЗ=0,7-0,8; для 3-й категории - КЗ=0,9-0,95;
) полная расчетная мощность ТП SP,
кВА.
Минимальное число трансформаторов NT
определяется по формуле:
где Sр
- расчетная полная мощность, кВА; КЗ - коэффициент загрузки трансформаторов,
принимается в зависимости от категории надежности потребителей электроэнергии;
- номинальная мощность трансформатора, кВА, выбираемая из стандартного ряда
мощностей силовых трансформаторов.
Необходимо учитывать, что при 2 -й и 3-й
категории можно обойтись схемой с одним трансформатором. Поэтому необходим
дополнительный технико-экономический расчёт.
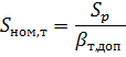
Выбор мощности трансформаторов производится
исходя из расчётной нагрузки объекта электроснабжения, числа часов
использования максимума нагрузки
,
темпа роста нагрузок, стоимости электроэнергии, допустимой перегрузки
трансформаторов и их экономической загрузки.
В зависимости от исходных данных различают два
метода выбора номинальной мощности трансформаторов:
) по заданному суточному графику нагрузки цеха
за характерные сутки года для нормальных и аварийных режимов;
) по расчетной мощности для тех же режимов. При
известном коэффициенте допустимой аварийной перегрузки, номинальная мощность
трансформатора:
где
-
коэффициенте допустимой аварийной перегрузки, Sр
- расчетная полная мощность, кВА.
Выбор места расположения
трансформаторов
электроснабжение трансформатор
нагрузка кабель
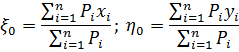
При расположении источника питания в ЦЭН затраты
на систему электроснабжения достигают наименьшего значения, когда нагрузки
приемников распределены симметрично относительно этого центра.
Для определения этого центра используется
картограмма нагрузок, план на котором изображена картина средней интенсивности
распределения нагрузок приемников электроэнергии.
Это центр для активных мощностей находится в
точке:
где
-
расчётная активная мощность i-го
приемника;
- координаты i-го
приемника.
Выбор сечений проводов и жил кабелей
Сечение проводов и жил кабелей выбирают в
зависимости от ряда технических и экономических факторов.
Технические факторы, влияющие на выбор сечений,
следующие:
) нагрев от длительного выделения тепла
рабочим (расчётным) током;
) нагрев от кратковременного выделения
тепла током КЗ;
) потери напряжения в жилах кабелей или
проводах воздушной линии от проходящего по ним тока в нормальном и аварийном
режимах;
) механическая прочность - устойчивость к
механической нагрузке;
) коронирование - фактор, зависящий от
применяемого напряжения, сечения провода и окружающей среды;
Выбор экономически целесообразного сечения
производят по экономической плотности тока в зависимости от материала провода и
числа часов использования максимума нагрузки по формуле
где
-
расчётный ток, А;
- экономическая
плотность тока, А/мм2.
Выбор сечения жил по нагреву.
Для выбора сечений жил кабелей по нагреву
определяют расчётный ток
и по таблицам
выбирают стандартное сечение, соответствующее ближайшему допустимому току
.
При этом соблюдается соотношение:
Допустимая температура нагрева проводников имеет
значение для безопасной эксплуатации сети, так как перегрев может привести к
выходу проводника из строя.
Выбор сечения жил по нагреву током короткого
замыкания.
Для выбора термически стойкого сечения жил
кабеля необходимо знать установившийся ток короткого замыкания и возможное
время прохождения этого тока через кабель. Время определяется уставкой защиты,
которая имеет наибольшее значение выдержки времени. Но такой метод необходим
только в линиях защищаемых плавкими предохранителями.
Определение сечения по термической стойкости по
формуле:
где α - расчётный
коэффициент, определяемый ограничением допустимой температуры нагрева жил кабеля,
;
-
установившийся ток короткого замыкания,
;
-
приведенное время короткого замыкания, с.
Выбранное сечение проверяют по потере
напряжения, оно определяется по формуле:
где
-
расчётный ток линии, А;
- активное и
реактивное удельное сопротивление линии, Ом/км;
- длина линии, км;
- соответствует
коэффициенту в конце линии.
Выбор выключателей
При выборе выключателей в системе
электроснабжения учесть основные параметры. Выключатели выбираются:
по напряжению установки:
;
по длительно току:
;
;
по отключающей способности:
;
по электродинамической стойкости:
;
Выбор распределительного устройства
Распределительные устройства в системе
электроснабжения выбираются аналогично выключателям.
Основные критерии выбора:
по номинальному напряжению:

по отключающей способности:
по току термической стойкости:
Расчёт токов короткого замыкания
Токи короткого замыкания - дополнительный
фактор, который необходимо учитывать для выбора оборудования при проектировании
системы электроснабжения.
Расчёт токов КЗ в системе электроснабжения
промышленных предприятий производится упрощенным способом с рядом допущений:
Считают, что трёхфазная система является
симметричной; не учитываются насыщения магнитных систем, т.е. считают, что
индуктивные сопротивления в процессе КЗ не изменяются в процесс КЗ; напряжение
на шинах источника принимают неизменным; апериодическая составляющая тока КЗ не
подсчитывается.
Для расчётов токов КЗ составляется расчётная
схема - упрощенная однолинейная схема электроустановки, в которой учитываются
все источники питания, трансформаторы, воздушные и кабельные линии, реакторы.
По расчётной схеме составляется схема замещения, в которой указываются
сопротивления всех элементов и намечаются точки для расчета токов КЗ.
Генераторы, трансформаторы большой мощности, воздушные линии, реакторы обычно
представляются в схеме замещения их индуктивными сопротивлениями, так как
активные сопротивления во много раз меньше индуктивных.
Если напряжение на шинах источника неизменно, то
периодическая составляющая тока КЗ не изменяется по значению.
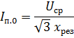
Расчёт производится по формуле
где
-
среднее номинальное напряжение на той ступени, где находится точка короткого
замыкания, кВ;
- результирующего
сопротивления от источника до точки короткого замыкания, Ом.
С помощью полученного значения тока короткого
замыкания осуществляется проверка выбранного оборудования.
Технико-экономические
расчёты в электроснабжении
Для обоснования выбора
оборудования не хватает сравнения технических параметров, необходимы
дополнительные экономические расчёты.
Эти расчёты выполняются для
выбора:
) наиболее рациональной схемы
электроснабжения цехов и предприятий в целом;
) экономически обоснованного
числа, мощности и режима работы трансформаторов;
) рациональных напряжений в
системе внешнего и внутреннего электроснабжении предприятия;
) электрических аппаратов и
токоведущих устройств;
) сечений проводов, шин и жил
кабелей;
Целью технико-экономических
расчетов является определение оптимального варианта схемы, параметров
электросетей и её элементов.
При технико-экономических
расчетах систем промышленного электроснабжения соблюдают следующие условия
сопоставимости вариантов:
) технические, при которых
сравнивают только взаимозаменяемые вариант при оптимальных режимах работы и
оптимальных параметрах, характеризующих каждый рассматриваемый вариант;
) экономические, при которых
расчет сравниваемых вариантов ведут применительно к одинаковому уровню цен и
одинаковой достижимости принятых уровней развития техники с учетом одних и тех
же экономических показателей, характеризующих каждый рассматриваемый вариант.
Экономические (стоимостные)
показатели в большинстве случаев являются решающими при технико-экономических
расчетах. Однако, если рассматриваемые варианты равноценны в отношении
стоимостных показателей, предпочтение отдают варианту с лучшими техническими
показателями.
При экономических расчетах для сравнения двух
вариантов используют метод срока окупаемости, лет
где
-
капитальные
вложения в вариантах 1 и 2, руб;
-
ежегодные
эксплуатационные расходы в вариантах 1 и 2, руб/год.
Срок окупаемости сравнивается с нормативным.
При сравнении двух вариантов не всегда возникает
необходимость в использовании срока окупаемости. Так, например, если один
вариант имеет меньшие ежегодные эксплуатационные расходы и требует меньших
капиталовложений
, то
он является экономически более выгодным. В варианте с равными
капиталовложениями и разными эксплуатационными расходами наиболее экономичным
будет вариант с меньшими эксплуатационными расходами. Если же капитальные
вложения различны, а эксплуатационные расходы одинаковы, то предпочтение
следует отдавать варианту с меньшими капитальными затратами.
При рассмотрении трёх и более вариантов,
оптимальный вариант выбирается на основе сравнения приведённых годовых затрат
по каждому варианту:
где
-
эксплуатационные расходы i-го
варианта;
- капитальные
затраты i-го
варианта;
- убытки потребителя электроэнергии от перерыва электроснабжения;
- нормативный коэффициетн эффективности капиталовложений равный
.
Заключение
Любой расчёт схемы электроснабжения действует по
определённому алгоритму, который можно представить в виде схемы:
Работа алгоритма выглядит следующим образом:
Анализируя план предприятия и требования к
снабжения выбирается схема питания.
По имеющимся исходным данным (активная и
реактивная мощность, фаза) вычисляется расчётная полная мощность и расчётный
ток.
С помощью расчётной полной мощности и расчётного
тока производится выбор оборудования.
Строится схема замещения и вычисляется ток
короткого замыкания. Уточняются параметры выбранного оборудования.
Производится технико-экономический расчёт.
Выбирается более выгодный вариант.
Список использованных источников
1. Правила устройства
электроустановок. 7-е изд. М.: Энергосервис, 2003.
. Л.Д. Рожкова, Л.К. Карнеева, Т.В.
Чиркова. Электрооборудование электрических станций и подстанций. М.:
Издательский центр «Академия», 2006.- 448 с.
. М.А. Шабад. Расчеты релейной
защиты и автоматики распределительных сетей. СПб.: ПЭИПК, 2003.- 296 с.
. И.Л. Небрат. Расчеты токов
короткого замыкания в сетях 0,4 кВ. СПб.: ПЭИПК, 2006.- 52 с.
. В.К. Скрипко. Выбор
электрооборудования и релейной защиты внутризаводского электроснабжения
промышленных предприятий: Учеб. пособие. - Омск: ОмГТУ, 2000. - 80 с., ил
. В.Д. Маньков. Основы
проектирования систем электроснабжения. Справочное пособие. - СПб: НОУ ДПО “УМИТЦ”ЭлектроСервис”,
2010 - 664 с., ил
. В.Д. Маньков., С.Ф. Заграничный.
Защитное заземление и защитное зануление электроустановок: Справочник.- СПб.:
Политехника, 2005. - 400 с., ил
. Справочник по проектированию
электротехнических сетей и электрооборудования / Под ред. Ю.Г. Барыбина и др. -
М: Энергоатомиздат, 1991. - 464 с.: ил
. Основы электроснабжения
промышленных предприятий: Учебник для вузов. - 4-е изд., перераб и доп.- М.:
Энергоатомиздат, 1984. - 464 с.: