|
Станция
|
Конечная
емкость
|
Количество
абонентского оборудования типа
|
|
|
NPSTN
- 90%
|
NISDN
- 3 %
|
NSH
- 2%
|
Ni_lan
- 2%
|
Nj_v5
- 3%
|
|
ДС
Барановичи
|
6000
|
5400
|
180
|
120
|
120
|
180
|
|
Барановичи
Центр
|
810
|
730
|
80
|
-
|
-
|
-
|
|
Больница
|
350
|
315
|
35
|
-
|
-
|
-
|
|
Лок.
депо
|
450
|
405
|
45
|
-
|
-
|
-
|
|
Городея
|
300
|
270
|
30
|
-
|
-
|
-
|
|
Столбцы
|
150
|
135
|
15
|
-
|
-
|
-
|
|
Колосово
|
100
|
90
|
10
|
-
|
-
|
-
|
|
Исса
|
100
|
90
|
10
|
-
|
-
|
-
|
|
Слоним
|
50
|
45
|
5
|
-
|
-
|
-
|
|
Ганцевичи
|
50
|
45
|
5
|
-
|
-
|
-
|
|
Лунинец
|
1200
|
1080
|
120
|
-
|
-
|
-
|
|
Ситница
|
450
|
405
|
45
|
-
|
-
|
-
|
|
Горынь
|
300
|
270
|
30
|
-
|
-
|
-
|
Рис. 1.2
2. ВЫБОР КОММУТАЦИОННОГО
ОБОРУДОВАНИЯ С РАЗРАБОТКОЙ СХЕМЫ СЕТИ ОбТС
.1 Разработка схемы NGN/IMS
Схема сети телефонной связи железнодорожного
узла разрабатывается в соответствии с заданием и с учетом монтируемой и
конечной емкостей выбранных станций коммутации, количества видов внешней связи,
выбранной системы нумерации, дополнительных видов услуг. Примерные схемы сетей
IMS представлены на рисунках 2.1 и 2.2. Они отражают характер терминального
оборудования, способ взаимосвязи и определяет способность сети к доставке
информации в требуемые пункты сети. На рисунках приняты следующие обозначения:
SX - гибкий коммутатор; AS - сервер приложений; SA - коммутатор доступа; SG -
сигнальный шлюз; TG - транспортный шлюз; RAGW - резидентный шлюз доступа.
Шлюзы NGN сети:
сигнальные шлюзы (Signaling Gateway, SG),
используемые только в интересах управления установлением соединений;
транспортные шлюзы (Media Gateway, MG),
применяемые для сопряжения взаимодействующих сетей по форматам передачи
пользовательских данных;
транкинговые шлюзы (Trunking Gateway, TGW),
обеспечивающие совместное выполнение функцийMG и SG;
шлюзы доступа (Access Gateway, AGW), играющие
роль MG и SG для оборудования доступа, подключаемого через интерфейс V5;
резидентные шлюзы доступа (Residential Access
Gateway, RAGW), позволяющие подключать к NGNпользователей, использующих
терминальное оборудование СТфОП/УЦСИС.
Абоненты железнодорожного узла, как показано на
схеме, должны иметь выход на городскую телефонную сеть.
На рисунках 2.1 и 2.2 показано всё оборудование,
которым оснащается участок дороги, а также количество абонентов по типам.
В целом технология NGN представляет собой
очередной шаг в эволюции сетей электросвязи. Значимость этого шага для развития
телекоммуникаций можно будет оценить только после эксплуатации сетей NGN в
течении 5-10 лет.
Сеть абонентского доступа представляет собой
постоянно развивающийся организм, аппаратные и программные средства которого
ежегодно пополняются новыми "ноу-хау". В сложившихся условиях
существенно повышается значение вопросов планирования и проектирования СД в
общей проблематике построения информационной инфраструктуры любого масштаба.
Рис. 2.1 - Схема сети NGN/IMS Брест ШЧ-6 (часть 1)
Рис. 2.2 - Схема сети NGN/IMS Брест ШЧ-6 (часть
2)
Huawei U-SYS
Сетевой коммутатор или свитч (свич
от англ. switch - переключатель) - это устройство, позволяющее подключать
несколько компьютеров к одной сети. Передача данных при помощи switch
<#"903379.files/image005.gif">
Рис. 2.3 - Гибкий коммутатор HUAWEI
SoftX3000
Таблица 2.1 - Основные
характеристики оборудования SoftX3000
|
Параметры
|
Значение
|
|
Поддерживаемая
емкость
|
До
2 миллионов аналоговых абонентов До 360000 цифровых СЛ(64 кбит/с)
|
|
Производительность
|
16М
BHCA
|
|
Протоколы
сигнализации ТфОП
|
ОКС7(включая
INAP-R, ISUP-R) DSS-1 R1.5 R2 V5
|
|
Протоколы
сигнализации IP/NGN
|
H.323 H.248 MGCP SIP/SIP-T BICC
SIGTRAN
|
2.3 Универсальный медиашлюз HUAWEI
UMG 8900
Немаловажным элементом предлагаемого решения NGN
является и универсальный медиашлюз UMG8900, позволяющий осуществлять стыковку
между сетями ТфОП и IP. Разнообразие поддерживаемых интерфейсов и функций
позволяет устройству взаимодействовать с широким спектром оборудования.
Оправдывая свое название, UMG8900 может использоваться как в качестве медиа-шлюза
соединительных линий (TMG), так и в качестве медиа-шлюза абонентского доступа
(AMG). Встроенное коммутационное поле TDM позволяет замыкать голосовой трафик
внутри шлюза в ряде случаев, обеспечивая более высокое качество передачи речи,
а также экономя ресурсы сети IP. Еще одним несомненным преимуществом
оборудования является встроенный шлюз сигнализации. Производительность
встроенного SG позволяет, в большинстве случаев, строить сети без установки
независимого шлюза сигнализации, оптимизируя таким образом показатель CAPEX для
проектов.
Рисунок 2.4 - Универсальный медиашлюз HUAWEI UMG
8900
Таблица 2.2 - Основные характеристики
оборудования UMG 8900
|
Параметры
|
Значение
|
|
Поддерживаемая
емкость
|
От
32Е1 до 448Е1 на полке, шаг масштабирования - 32Е1
|
|
Применение
|
TMG
- медиашлюз соеденительных линий AMG - медиашлюз доступа VIG - шлюз
видеовзаимодействия между абонентами мобильной и NGN сетей
|
|
Интерфейсы
|
FE
GE E1 STM-1
|
|
Количество
поддерживаемых сигнальных линков(64кбит/с)
|
До
896
|
|
Протоколы
сигнализаций ТфОП
|
ОКС7
DSS-1 R1.5 R2 V5
|
|
Протоколы
сигнализаций IP/NGN и управления
|
H.248/
H.245/ H.223/ SNMP/ SIGTRAN
|
|
Емкость
пакетного коммутационного поля
|
16
Гбит/с / 12 Гбит/с в зависимости от конфигурации
|
2.4 Интегрированный медиашлюз
доступа UA5000 <#"903379.files/image007.gif">
Рис. 2.5 - Интегрированный медиашлюз
доступа UA5000
Таблица 2.3 - Основные
характеристики оборудования UA5000
|
Параметры
|
Значение
|
|
Поддерживаемая
емкость
|
1920
POTS / 1920 ADSL2+ на статив, 32 POTS / 32 ADSL2+ на плату
|
|
Применение
|
TMG
- медиашлюз соеденительных линий AMG - медиашлюз доступа VIG - шлюз
видеовзаимодействия между абонентами мобильной и NGN сетей
|
|
Интерфейсы
услуг
|
POTS ISDN ADSL/ADSL2+ COMBO G.SHDSL V.24/V.35
FXO/FXS 2/4 Wire
|
|
Сетевые
интерфейсы
|
ATM
GE FE
|
|
Протоколы
|
V5
H.248
|
2.5 SBC - SessionEngine2000
<#"903379.files/image008.gif">
Рисунок 2.6 - SBC -
SessionEngine2000 <#"903379.files/image009.gif">
Рис. 2.7 - Шлюз сигнализации SG7000
Таблица 2.5 - Основные характеристики
оборудования SG7000
|
Параметры
|
Значение
|
|
Поддерживаемая
емкость
|
До
6048 сигнальных линков(64кбит/с) До 756 сигнальных линков(2Мбит/с) До 200 000
GT До 256 кодов пунктов сигнализации
|
|
Нагрузка
на сигнальный линк
|
До
0,99 Эрл на линк 64 кбит/с До 0,95 Эрл на линк 2 Мбит/с
|
|
Интерфейсы
|
E1/T1
FE GE
|
|
Протоколы
сигнализации
|
OKC7(MTP/SCCP/TCAP/OMAP)
SIGTRAN(SCTP/M2PA/M2UA/IUA/M3UA) SNMP
|
|
Применение
|
В
качестве SG в сетях NGN В качестве STP на фиксированных сетях В качестве STP
в мобильных сетях( 2G/3G) В качестве IP STP
|
2.7 Сервер медиaресурсов MRS
Сервер медиаресурсов (MRS; Media Resource
Server): служит для выполнения функций обработки медиаресурсов в основных и
дополнительных услугах. К таким функциям относятся обеспечение тональных
сигналов услуг, предоставление услуги конференцсвязи, услуги интерактивного
автоответчика услуги записанных извещений и услуги усовершенствованных
тональных сигналов.
Рис. 2.8 - Сервер медиaресурсов MRS
Таблица 2.6 - Основные характеристики
оборудования MRS
|
Параметры
|
Значение
|
|
Поддерживаемая
емкость
|
7200
каналов
|
|
Производительность
|
До
1440 обращений в секунду 5184000 BHCA
|
|
Емкость
общей шины
|
4,8
Гбит/с
|
|
Протоколы
сигнализаций IP/NGN
|
H.248/
MGCP/ SIP/ SNMP
|
|
Поддерживаемые
аудио-кодеки
|
G.711/G723.1/G.726/G.729A
|
|
Поддерживаемые
видео-кодеки
|
H.263
|
|
Поддерживаемые
функции
|
Распознавание
набора номера Распознавание речи Запись Поддержка аудио и видеоконференций
Работа с факсами
|
Поддержка
до 120 участников конференции Поддержка до 2400 трехсторонних конференций
Поддержка распознавания номера, проигрывание анонсментов и запись для каждого
из участников конференции
|
2.8 Интегрированные устройства
доступа IAD
представляет собой медиашлюз для передачи по
IP-протоколу голоса (технология VoIP) и факсимильных сообщений (технология
FoIP), обеспечивающий эффективную и качественную передачу голоса по глобальной
пакетной сети IP (Internet и различные Intranet).
Рис. 2.9 - Интегрированное устройство доступа
IAD
Шлюз VoIP предоставляет аналоговые голосовые интерфейсы
для соединения с существующими телефонными аппаратами корпоративных
пользователей или учрежденческой АТС, а также интерфейс Ethernet для соединения
с магистральной сетью провайдера услуг IP.поддерживает протокол MGCP,
соответствующий стандартам IETF RFC2705 V0.1 и V1.0. Данное оборудование может
функционировать совместно с решениями SoftSwitch крупнейших поставщиков с целью
развертывания для провайдеров услуг полного решения VoIP с функциями биллинга,
учета использования ресурсов и сетевого управления.
Серия IAD
Серия 1 (POTS + малая емкость услуг передачи
данных): 16, 24, 32 порта
Серия 2 (интеграция доступа к услугам передачи
речи и данных): 8, 12, 24
Настольная серия: 1, 2 и 4 интерфейса; Ephone;
SoftPhone
3. РАСЧЕТ НАГРЗКИ ПОСТУПАЮЩЕЙ НА АБОНЕНСКИЕ
И СОЕДЕНИТЕЛЬНЫЕ ЛИНИИ
сеть железный дорога коммутатор
Значение телефонной нагрузки для монтируемой
емкости определяет объем оборудования; для конечной емкости - резерв развития,
т.е. перспективный рост количества абонентов. Расчет телефонной нагрузки
производится для конечной емкости абонентского оборудования.
Нагрузка, поступающая от источника нагрузки
состоит из двух составляющих: управляющей нагрузки Yу и разговорной - Yразг.
Разговорная нагрузка кроме нагрузки соединений,
закончившихся соответственно разговором, содержит нагрузку непроизводительных
видов занятий. К ним относятся занятость устройств станции, не ответ и ошибка
абонента при наборе номера. В учебных проектах с целью упрощения процедура
расчета рекомендуется применять следующую формулу, исключающую
дифференцированное определение длительности различных видов соединений:
Распределение нагрузки по направлениям связи
осуществляется с учетом категорий абонентов. Однако для сети NGN направление
потока вызовов теряет смысл, поскольку все вызова проходят через шлюз доступа и
коммутатор. Внутренний вызов в пределах одного шлюза направляется из шлюза на
коммутатор и обратно в шлюз. Вызов, идущий на другой шлюз в сети, проходит
несколько более длительный путь шлюз1-коммутатор-шлюз2 и обратно шлюз2-коммутатор-шлюз1.
Распределение нагрузки по направлениям связи
осуществляется с учетом категорий абонентов. Так для абонентов квартирного
сектора закрыт доступ по направлениям связанным с непосредственным управлением
технологическим процессом. Поэтому при определении нагрузки в направлении
междугородной связи это количество абонентов не учитывается.
Для внутреннего сообщения разговорная и
расчетная нагрузка составит:
где 1,1 - коэффициент, учитывающий нагрузку,
создаваемую вызовами, которые не закончились разговором из-за занятости
абонентских линий, неответа вызываемого абонента, ошибочно набранного номера и
др;р - коэффициент, учитывающий долю вызовов, закончившихся разговором;
- число источников
нагрузки создающих внутристанционную нагрузку;
Свн - среднее число вызовов от одного источника
нагрузки внутри станции;
Тср.вн - средняя длительность занятия
абонентской внутри станции в секундах. Для вызовов, закончившихся разговором.
При вычислении среднего числа вызовов на одно
абонента были взяты реальное количество вызовов в ЧНН(час наибольшей нагрузки)
и поделено количество абонентов создающих эту нагрузку. В реальности внутри
станции совершают звонки работники у которых работа на одном месте(начальство,
дежурные и т.д.).
Где 0,6742 - коэффициент, определенный из
нормированной функции Лапласа.
Расчет нагрузки на межгород, УПАТС и ГАТС
считаем по аналогично как и для внутристанционной нагрузки .
Нагрузка по междугородным линиям (без кв.
сектора):
Нагрузка по соединительным линиям с УПАТС (без
кв. сектора):
Нагрузка по соединительным линиям с ГАТС
входящая:
Разделение нагрузки на входящее и исходящее
направление без анализа подробной статистики не производится. При этом
необходимо учитывать, что все каналы в нашей сети двусторонние. Примем равные
нагрузки для исходящих и входящих звонков. Таким образом, расчетная нагрузка на
абонентские линии:
Тогда удельная нагрузка на одну абонентскую
линию:
Для упрощения расчетов в данном курсовом проекте
полученное значение удельной нагрузки будем использовать для всех типов
абонентов.
4. РАСЧЕТ ПАРАМЕТРОВ ШЛЮЗОВ ДОСТУПА,
ИХ КОЛИЧЕСТВА, А ТАКЖЕ ЕМКОСТНЫЕ ПОКАЗАТЕЛИ ПОДКЛЮЧЕНИЯ ШЛЮЗОВ К ТРАНСПОРТНОЙ
СЕТИ
.1 Расчет шлюза доступа
Шлюз доступа поддерживает взаимодействие
IMS-сети с ТфОП и позволяет устанавливать соединения между пользователями этих
сетей. Он имеет распределенную структуру, характерную для архитектуры Softswitch:
SGW - Signaling Gateway, MGCF - Media Gateway Control Function и MGW - Media
Gateway.
Определим общую нагрузку, поступающую от
различных абонентов на шлюз доступа.
Общая нагрузка от абонентов PSTN:
где
-
количество абонентов PSTN;
- удельная
нагрузка на одну абонентскую линию.
Общая нагрузка от абонентов ISDN:
где
-
количество абонентов ISDN.
Общее количество абонентов
Найдем
общую нагрузку, поступающая на шлюз доступа, который обеспечивает подключение оборудования
доступа через интерфейс V5:
С помощью калькулятора Эрланга найдем количество
линий нужных для обеспечения данной нагрузки.
Для подключения абонентов V5 будем использовать
протокол V5.2 тогда количество портов нужных для подключения 180 абонентов нам
понадобится:
Количество УПАТС: M_PBX = 1; емкость каждой
УПАТС
.
Нагрузка, поступающая от одной УПАТС:
Если шлюз реализует функции резидентного шлюза
доступа, шлюза доступа и транкингового шлюза подключения УПАТС, то общая
нагрузка, поступающая на шлюз:
Для каждого из сетевых элементов составим
таблицу, в которой проводится сравнение максимальных значений параметров подключения,
предусмотренных для этого оборудования, и того реального количества
подключенных абонентов.
Исходя из количества портов различных типов,
необходимо поставить 3 шлюза. Схема распределения подключения абонентов
приведена на рисунке 4.1.
Распределяем наших абонентов таким образом, что
бы нагрузка создаваемая каждым из них была приблизительно равной.
Шлюз RAGW1.1 Интегрированный медиашлюз доступа,
UA5000, HUAWEI
|
Тип
порта
|
Значение
для оборудования
|
Подключено
портов
|
|
POTS
|
1920
|
1920
|
|
ISDN
|
0
|
0
|
|
PRI
|
0
|
0
|
|
V5
|
0
|
0
|
Шлюз RAGW1.2 Интегрированный медиашлюз доступа,
UA5000, HUAWEI
|
Тип
порта
|
Значение
для оборудования
|
Подключено
портов
|
|
POTS
|
1920
|
1920
|
|
ISDN
|
0
|
0
|
|
PRI
|
0
|
0
|
|
V5
|
0
|
0
|
Шлюз RAGW1.3 Интегрированный медиашлюз доступа,
UA5000, HUAWEI
|
Тип
порта
|
Значение
для оборудования
|
Подключено
портов
|
|
POTS
|
1560
|
1560
|
|
ISDN
|
180
|
180
|
|
PRI
|
0
|
0
|
|
V5
|
180
|
180
|
Рис. 4.1 - Распределение подключения абонентов
Коммутатор SA1.1 Гибкий коммутатор, SoftX3000,
HUAWEI
|
Тип
порта
|
Значение
для оборудования
|
Подключенное
оборудование
|
Подключено
портов
|
|
100M
|
300
|
MG
|
1
|
|
|
GW
|
3
|
|
|
Аб.
SIP/H.323
|
90
|
|
|
LAN
|
2
|
|
1G
|
2
|
WAN
|
1
|
При таком распределении подключения абонентов по
шлюзам появляется возможность покупать меньше разнотипных плат в каждый
отдельный шлюз, что приводит к уменьшению стоимости проекта.
Для рассматриваемого варианта задано следующее
процентное соотношение использования различных кодеков:
Кодек G.711 - 60 % вызовов.
Кодек G.729А - 40 % вызовов.
Скорости, с которыми будет передаваться
пользовательская информация при условии использования кодеков разных типов:
Для кодека G.711:
где
-
коэффициент избыточности;
- скорость кодека.
Для кодека G.729А:
Рассчитаем, какая нагрузка поступает на каждый
шлюз.
Общая нагрузка на 1-й шлюз.
где
-
нагрузка создаваемая абонентами PSTN подключенными к первому шлюзу;
При этом данная нагрузка обрабатывается разными
кодеками, их процентное соотношение было приведено выше.
Для кодека G.711:
Для кодека G.729А:
Рассмотрим СМО с потерями.
Пользуясь калькулятором Эрланга, определим число
соединений, необходимое для обслуживания нагрузки, обрабатываемой кодеком
определенного типа (х), с условием, что вероятность потери вызовов ρ
= 0,001:
Для кодека G.711: x = 410;
Для кодека G.729А: x = 282;
Таким образом, транспортный поток на выходе
кодеков G.711 и G.723 h/r:
Тогда транспортный поток на выходе первого
шлюза:
Нанесем полученные результаты на схему шлюза
(рисунок 4.2).
Рис. 4.2 - Распределение подключения абонентов
Общая нагрузка на 2-ой шлюз.
Аналогична нагрузке на первый шлюз:
Общая нагрузка на 3-ий шлюз.
где
-
нагрузка создаваемая абонентами PSTN подключенными к третьему шлюзу;
- нагрузка
создаваемая абонентами ISDN подключенными к третьему шлюзу.
- нагрузка
создаваемая абонентами V_5 подключенными к третьему шлюзу.
- нагрузка
создаваемая абонентами PBX подключенными к третьему шлюзу.
При этом данная нагрузка обрабатывается разными
кодеками, их процентное соотношение было приведено выше.
Для кодека G.711:
Для кодека G.729А:
Рассмотрим СМО с потерями.
Пользуясь калькулятором Эрланга, определим число
соединений, необходимое для обслуживания нагрузки, обрабатываемой кодеком
определенного типа (х), с условием, что вероятность потери вызовов ρ
= 0,001:
Для кодека G.711: x = 512; Для кодека G.723 h/r:
x = 299;
Таким образом, транспортный поток на выходе
кодеков G.711 и G.723 h/r:
Тогда транспортный поток на выходе первого
шлюза:
Нанесем полученные результаты на схему шлюза
(рисунок 4.4).
Рис. 4.4 - Распределение подключения абонентов
Общий транспортный поток в интерфейсе
подключения шлюзов к коммутатору доступа:
Рассмотрим СМО с ожиданием.
Определим λ для
каждого вида кодека:
Теперь можно рассчитать общую интенсивность
поступления пакетов в канал:
Предельно допустимая задержка доставки IP-пакета
от одного пользователя услуг VoIP к другому не должна превышать S = 100 мс.
Зная величину задержки и интенсивность
поступления заявок, определим интенсивность обслуживания заявок в канале:
Рассчитав значения интенсивности поступления и
обслуживания заявок, определим нагрузку канала:
Зная транспортный поток, поступающий в канал, и
зная, что этот поток может максимально нагружать канал на величину ρ,
определим
общий требуемый объем канала τ:
4.2 Расчет основных параметров
коммутатора доступа
Возможны разные варианты построения сети ОбТС-П
на железных дорогах. На сети ОбТС-П должны сохраниться магистральный и дорожный
уровни иерархии. Внутри железной дороги должны быть образованы районы, в каждом
из которых используется единая 5-значная нумерация. В пределах одного или
нескольких районов должен быть центр технического обслуживания сети ОбТС-П.
Количество районов сети ОбТС-П зависит от конкретной железной дороги. В
частности один район может совпадать с одним отделением железной дороги. На
рисунке 4.5 в качестве примера показана общая схема построения сети ОбТС-П на
одной железной дороге с пятью районами. В каждом районе находятся устройства,
управляющие соединениями: коммутаторы Softswitch и/или SIP-серверы, а также
сервер конференцсвязи. На схеме для районов 1, 2 и 3 показаны только
коммутаторы Softswitch, SIP-серверы и серверы конференцсвязи. На рисунке
штрихпунктирные линии указывают на логические соединения между узлами сети и с
узлами других сетей. Так, например, SIP-сервер района 2 может маршрутизировать
вызовы к коммутаторам Softswitch районов 1 и 5 и к SIP-серверу района 4.
Предполагается, что все узлы сети ОбТС-П включены в дорожную IP-сеть.
На дорожной сети в главном районе (на рисунке
4.5 - район 1), в котором находится Управление железной дороги, должен
устанавливаться коммутатор Softswitch, выполняющий роль дорожного узла (ДУ).
Этот коммутатор логически связан с SIP-серверами и коммутатором Softswitch
других районов. Через него осуществляются соединения внутри района и между
районами железной дороги, а также с другими дорожными узлами на магистральном
уровне. Коммутатор Softswitch ДУ обеспечивает соединения с сетью общего
пользования для абонентов района 1.
В других районах преимущественно должны
устанавливаться SIP-серверы, а в наиболее крупных - коммутаторы Softswitch (на
рисунке 4.5 - район 5). SIP-сервер или коммутатор Softswitch обслуживает вызовы
внутри одного района, устанавливая соединения между абонентами этого района и
внешние соединения с другими районами сети ОбТС-П и с сетью ОП. Эти же
устройства устанавливают транзитные соединения между районами. В каждом районе
для включения аналоговых телефонных аппаратов должны применяться шлюзы
различной емкости, распределяемые по разным железнодорожным станциям. Шлюзы
логически связаны с SIP-сервером или коммутатором Softswitch. Возможен вариант
объединения шлюзов с управлением от контроллера MGC по протоколу MGCP адаптеры.
Как видно из рисунка 4.5, на сети ОбТС-П
предусматривается не менее двух маршрутов установления соединений между
районами, что повышает живучесть сети и предотвращает перегрузки отдельных
SIP-серверов и коммутаторов Softswitch при установлении транзитных соединений.
В каждом районном центре или в одном центре,
обслуживающем несколько районов, должны устанавливаться серверы конференцсвязи,
с помощью которых организуются аудио конференции для абонентов одного и/или
разных районов. Ресурсы конференц-серверов могут быть распределены между сетями
ОбТС и ОТС.
Рис. 4.5 - Пример построения сети ОбТС-П
Взаимодействие с сетью ОП должно происходить в
каждом районе на местном уровне. Управление соединениями с сетью ОП должно
осуществляться SIP-сервером или коммутатором Softswitch соответствующего
района. Если телефонная сеть ОП является пакетной, то SIP-сервер или коммутатор
Softswitch сети ОбТС обменивается сигнальной информацией с узлом управления
сети ОП, например, с коммутатором Softswitch сети ОП (на рисунке 3.6 - район
4). С целью пропуска речевого и сигнального трафика IP-сеть ОбТС должна быть
напрямую связана с IP-сетью ОП (на рисунке 4.5 - IP-сети не показаны). При
взаимодействии с TDM-сетью ОП, должны использоваться шлюзы соединительных
линий, причем в одном районе может быть несколько точек присоединения к сети ОП
(на рисунке 4.5 для района 5 показаны две точки присоединения). На сети ОП
каждая точка присоединения организуется для отдельной АТС.
Для сети ОбТС характерно множество
железнодорожных станций небольшой емкости, расположенных вдоль одной линии.
Доступ пользователей этих станций к IP-сети железной дороги может
осуществляться разными способами. Рассмотрим варианты сети доступа с
применением цифровых линий xDSL и коммутаторов локальной сети.
Расчет нагрузки создаваемой IP абонентами (SH и
LAN) производится аналогично шлюзу. При этом необходимо учитывать, что кодек
встроен в аппарат и всю работу он выполняет индивидуально для абонента.
Общая нагрузка, создаваемая абонентами SH:
где
-
количество абонентов SH;
- удельная нагрузка
на одну абонентскую линию.
Общая нагрузка, создаваемая абонентами LAN:
где
-
количество абонентов LAN;
- удельная нагрузка
на одну абонентскую линию.
Нагрузка обрабатывается разными кодеками.
Требуемое число соединений: 37, 28, 37, 28.
Транспортный поток на выходе кодека:
Тогда общий транспортный поток:
Требуемый объем канала:
Для передачи сигнального трафика создается
отдельный логический канал, параметры которого необходимо определить.
Протокол управления транспортным шлюзом
H.248/Megaco является развитием протокола MGCP. Так же, как и протокол MGCP, он
является внутренним протоколом, который работает между функциональными блоками
распределенного шлюза, а именно - между MGC и MG. Принцип действия этого
протокола тот же - master/slave (ведущий/ведомый). Устройство управления MGC
является ведущим, а транспортный шлюз MG - ведомым, т.е. шлюз MG выполняет
команды, которые поступают к нему от устройства управления.
В коммутаторе доступа для обмена сообщениями
протокола MEGACO, используемого для управления шлюзом, должен быть предусмотрен
транспортный ресурс, который определяется формулой:
где общее количество абонентов, подключенных при
помощи сетей LAN, PBX и V5, а также аналоговых PSTN и цифровых ISDN абонентов и
ранее рассчитанные значения.
Примем значение ksig = 5, что соответствует
нагрузке в 0,2 Эрл, т.е. одна пятая часть времени сеанса тратится на передачу
сигнальной информации.
Для передачи сигнальной информации с целью
обслуживания вызовов различных типов требуются следующие размеры полосы
пропускания:
Где LV5UA - средняя длина сообщения протокола
V5UA;UA - среднее количество сообщений протокола V5UA при обслуживании одного вызова;-
средняя длина сообщения протокола IUA;- среднее количество сообщений протокола
IUA при обслуживании одного вызова;- средняя длина сообщения протоколов
SIP/H.323;- среднее количество сообщений протоколов SIP/H.323 при обслуживании
одного вызова.
Общий поток сигнальной информации:
Общая требуемая пропускная способность
коммутатора доступа:
Результаты расчетов приведены на рисунке 4.5.
Рис. 4.6 - Распределение потоков данных
коммутатора доступа
4.3 Расчет оборудования гибкого
коммутатора
Основной задачей гибкого коммутатора при
построении распределенного абонентского концентратора является обработка
сигнальной информации обслуживания вызова и управление установлением
соединений.
Рассчитаем общую интенсивность потока вызовов от
источников всех типов, обрабатываемых гибким коммутатором:
Теперь определим нижний предел
производительности гибкого коммутатора при обслуживании потока вызовов с
интенсивностью PCALL:
где
,
,
,
- поправочные коэффициенты для каждого вида абонентов.
Общий поток сигнальной информации, поступающий
через коммутатор доступа и рассчитанный ранее:
Рис. 4.7 - Распределение сигнальных потоков
распределенного абонентского концентратора
5. РАСЧЕТ ТРАНСПОРТНОГО РЕСУРСА,
НЕОБХОДИМОГО ДЛЯ ВЗАИМОДЕЙСТВИЯ СЕТЕВЫХ ЭЛЕМЕНТОВ
.1 Расчет оборудования транспортных
шлюзов
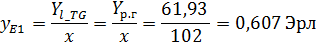
Общая нагрузка между сетями ОбТС и ТфОП:
Определим необходимое число потоков E1 для
обслуживания данной нагрузки.
Пользуясь первой формулой Эрланга или
одноименным калькулятором определяем число линий, необходимых для облуживания
данной нагрузки при вероятности потерь 0,001: x = 85. Это соответствует числу
первичных потоков 85 / 30 = 2,83 ≈ 3Е1.
С учетом 20% запаса число линий увеличивается до
85∙1,2 = 102. Соответственно требуемое число потоков E1 составит:
Округляем до 4Е1 так как в одной плате
содержится 2 потока Е1, то есть количество каналов четное.
Удельная нагрузка на один канал 64 кбит/с в
потоке E1 составит:
Рассчитаем общую нагрузку с учетом резерва,
поступающую на транспортный шлюз от АТС ТфОП:
Нагрузка обрабатывается разными кодеками:
Требуемое число соединений:
Транспортный поток на выходе кодека:
Тогда общий транспортный поток:
Требуемый объем канала:
Рассчитаем транспортный ресурс, необходимый для
передачи сообщений протокола MEGACO:
Таким образом, общий транспортный ресурс MGW
будет равен:
Результаты расчетов приведены на рисунке 5.1.
Рис. 5.1 - Распределение потоков данных
транзитного коммутатора доступа
5.2 Проектирование гибкого
коммутатора
Интенсивность потока вызовов, поступающих на
транспортный шлюз:
В рассчитываемой нами сети количество шлюзов L =
1, следовательно, значения PSX_TG и PL_GW будут совпадать:
Проектируемый гибкий коммутатор призван
управлять оборудованием всей сети общетехнологической связи отделения, включая
и распределенный абонентский концентратор, и транзитный коммутатор.
Учитывая среднюю длину и количество сообщений
протокола MxUA, необходимых для обслуживания одного вызова, можно вычислить
транспортный ресурс для подключения сигнальных шлюзов к пакетной сети:
Аналогично, транспортный ресурс гибкого
коммутатора, необходимый для передачи сообщений протокола MGCP, составляет:
Суммарный минимальный полезный транспортный
ресурс Softswitch, требуемый для обслуживания вызовов в структуре транзитного
коммутатора, составляет:
Результаты расчетов приведены на рисунке 6.1.
Рис. 5.2 - Распределение информационных потоков
гибкого коммутатора
6. РАЗРАБОТКА СТРУКТУРНОЙ СХЕМЫ СЕТИ
IMS
.1 Расчет нагрузки на S-CSCF
CSCF - центральная интеллектуальная функция на
сигнальном уровне, т.е. функция SIP-сервера, который управляет сеансом. Помимо
этого, S-CSCF выполняет функцию регистрирующего сервера сети SIP
(SIP-registrar), то есть поддерживает привязку местоположения пользователя
(например, IP-адресом терминала, с которого пользователь получил доступ в сеть)
к его SIP-адресу (PUI-Public User Identity).
Функция S-CSCF взаимодействует по протоколу
Diameter с HSS, получает от последнего данные аутентификации пользователя,
пытающегося получить доступ к сети, и данные о профиле пользователя, т. е.
перечень доступных ему услуг - набор триггерных точек для маршрутизации
сообщения SIP к серверам приложений. В свою очередь, функция S-CSCF информирует
HSS о том, что этот пользователь прикреплен к нему на срок своей регистрации, и
о срабатывании таймера регистрации.
Таблица 6.1 - Исходные данные
|
Параметр
|
Значение
|
|
|
10
сообщений
|
|
|
5
сообщений
|
|
|
5
сообщений
|
|
|
10
сообщений
|
|
|
140
байт
|
|
X%
|
15%
|
|
Y%
|
40%
|
|
|
15
сообщений
|
Транспортный ресурс, необходимый для организации
взаимодействия между S-CSCF и Softswitch:
Транспортный ресурс, необходимый для организации
взаимодействия между S-CSCF и серверами приложений (AS):
Транспортный ресурс, необходимый для организации
взаимодействия между S-CSCF и MRF:

Тогда общий транспортный ресурс:
6.2 Расчет нагрузки на I-CSCF
CSCF - еще один SIP-прокси, расположенный на
границе административного домена Оператора. Когда SIP-сервер определяет
следующую пересылку для некоторого SIP-сообщения, он получает от службы DNS
адрес I-CSCF соответствующего домена. Кроме исполнения функций SIP-прокси
I-CSCF взаимодействует по протоколу Diameter с HSS и SLF, получает от них
информацию о местонахождении пользователя и об обслуживающей его S-CSCF. Если
никакая функция S-CSCF еще не назначена, функция I-CSCF производит ее
назначение.
Транспортный ресурс между Softswitch и I-CSCF
(рис. 6.1), который требуется для обмена сообщениями по протоколу SIP во время
обслуживания вызовов:
Общий транспортный ресурс:
Функция управления сеансами CSCF (Call Session
Control Function) является центральной частью системы IMS, представляет собой,
по сути, SIP-сервер и обрабатывает SIP-сигнализацию в IMS. Существуют функции
CSCF трех типов: Proxy-CSCF (P-CSCF), Interrogating-CSCF (I-CSCF) и
Serving-CSCF (S-CSCF).
Первая из перечисленных, функция P-CSCF - это
первая точка взаимодействия (на сигнальном уровне) пользовательского
IMS-терминала и IMS-сети. С точки зрения SIP, она является входящим/исходящим
прокси-сервером, через который проходят все запросы, исходящие от IMS-терминала
или направляемые к нему. Однако функция P-CSCF может вести себя и как агент
пользователя UA, что необходимо для прерывания сеансов в нестандартных
ситуациях и для создания независимых SIP-транзакций, связанных с процессом
регистрации.
Рис. 6.1 - Архитектура IMS. Результаты расчета
нагрузки на S-CSCF и на I-CSCF
7. РАЗРАБОТКА ПЛАНА РАЗМЕЩЕНИЯ И
ЭЛЕКТОПИТАНИЯ ПРОЕКТИРУЕМОГО ОБОРУДОВАНИЯ
Стены и потолок должны быть ровными и гладкими,
чтобы не накапливалась пыль и для облегчения уборки помещения. Стены и потолок
рекомендуется покрыть светлой синтетической акриловой краской.
Пол должен быть ровным и нивелированным.
Допустимое отклонение нивелировки пола должно составлять ±3 мм/м2. Пол
необходимо покрыть антистатическим материалом во избежание появления ошибок,
вызванных статическим электричеством.
Максимальная нагрузка пола должна составлять
9500 ÷
10000 Н/м2,
распределенная нагрузка - 2500 Н/м2.
Следует предусмотреть общее и дополнительное
освещение помещения. Общее электрическое освещение должно составлять не менее
300 люкс рассеянным светом, измеренное на высоте 1 м от уровня пола.
Электрические цепи для освещения, электропитания
выпрямителей и электропитания розеток с заземляющим контактом следует отделить
друг от друга, то есть их следует подключить к отдельным предохранителям.
Для электропитания выпрямителей следует
проложить кабель сечением 5x4 мм2 от главного распределительного ящика 380/220
B до места, где расположен шкаф с выпрямителями (необходимо оставить запас
кабеля длиной 2,5 м вне стены на высоте 500 мм от уровня пола).помещении
необходимо обеспечить температуру от +5 до +40ºC при
относительной влажности воздуха 20…80 % (оптимальные условия - 40…60 %).