Анализ преобразования сигналов и разработка структурной схемы системы передачи информации
КУРСОВОЙ ПРОЕКТ
по дисциплине «Теория электрической
связи»
Тема: «Анализ преобразования сигналов
и разработка структурной схемы системы передачи информации»
Орел 2017
Содержание
цифровой кодирование сигнал аналоговый
Условные обозначения, символы и сокращения
Введение
1. Анализ структурной схемы системы передачи информации
. Анализ первичного сигнала как случайного процесса
. Расчет характеристик аналого-цифрового преобразователя
сигнала
. Помехоустойчивое кодирование сигнала импульсно-кодовой
модуляции
. Анализ характеристик сигнала цифровой модуляции
. Анализ характеристик сигнала на входе приемного устройства
. Cинтез
оптимального демодулятора сигналов цифровой модуляции
. Помехоустойчивое декодирование сигнала демодулятора
. Восстановление формы непрерывного сигнала посредством
цифро-аналогового преобразования
. Определение показателей эффективности разработанной системы
передачи информации
Заключение
Исходные данные
Список литературы
Условные обозначения, символы и сокращения
АКФ - автокорреляционная функция
АЦП - аналого-цифровой преобразователь
ДКС - дискретный канал связи
ИКМ - импульсно-кодовая модуляция
ИФР - интегральная функция распределения вероятности
НК - некогерентный прием
НКС - непрерывный канал связи
РУ - решающее устройство
СКОф - средняя квадратичная ошибка фильтрации
СП - случайный процесс
СПИ - система передачи информации
СПМ - спектральная плотность мощности
СФ - согласованный фильтр
УГП - узкополосная гауссовская помеха
ФК - функция корреляции
ФНЧ - фильтр нижних частот
ФПВ - функция плотности вероятности
ЦАП - цифроаналоговый преобразователь
ЦЧМ - цифровая частотная модуляция
ЭВК - энергетический выигрыш кодирования
-
исходный непрерывный сигнал
-
оценка принятого непрерывного сигнала
-
дифференциальная функция распределения вероятности (функции плотности
вероятности)
-
интегральная функция распределения вероятности
-
функция корреляции сигнала
-
интервал корреляции
-
показатель затухания функции корреляции
-
спектральная плотность мощности
-
мощность сигнала
-
мощность сигнала на выходе ФНЧ
-
средняя квадратичная ошибка фильтрации
-
верхняя частота в спектре сигнала
-
эффективная ширина спектра
-
сигнал на выходе ФНЧ, входе АЦП
-
число уровней квантования
-
уровень квантования
-
порог квантования
- сигнал
на выходе дискретизатора
-
сигнал на выходе квантователя
-
сигнал импульсно-кодовой модуляции
-
сигнал на выходе кодера канала
-
период дискретизации
-
частота дискретизации
-
длительность импульса на выходе кодера источника
-
длительность импульса на выходе кодера канала
-
сигнал на выходе устройства восстановления
-
сигнал на выходе декодера источника
-
сигнал на выходе декодера канала
-
сигнал на выходе приемника (демодулятора)
-
интенсивность шума в канале
-
полоса пропускания канала
-
сигнал на выходе линии связи (входе демодулятора)
-
помеха в линии связи
-
импульсная характеристика фильтра
-
минимальное кодовое расстояние
-
вероятность ошибочного декодирования
-
вероятности ошибки двоичного символа
-
исправляющая способность кода
-
свободное кодовое расстояние
- ширина
спектра сигнала цифровой модуляции
-
ширина спектра модулирующей цифровой последовательности символов
-
сдвиг фазы несущего гармонического сигнала
-
евклидово расстояние между сигнальными точками
-
огибающая случайного процесса на входе приемного устройства
-
мгновенная фаза случайного процесса на входе приемного устройства
-
мгновенная фаза смеси сигнала и случайного процесса на входе
Введение
Целью данного курсового проекта является синтез системы передачи
информации и анализ её функционирования. Выполняемая работа представляет собой
расчетно-графическую задачу по анализу преобразования сигналов и разработке
структурной схемы СПИ и имеет цель дать практические навыки в проектировании,
разработке и решении практических задач, которые в дальнейшем будут
способствовать выполнению выпускной квалификационной работы.
Содержание курсового проекта определяется предметной областью учебной
дисциплины “Теория электрической связи” и включает в себя: расчётную часть,
содержащую анализ отдельных процедур обработки в устройствах системы передачи
информации и программное моделирование исследуемых процедур при помощи среды
инженерных расчётов MathCAD. Для лучшей наглядности представления вся работа
будет подкреплена графиками.
1. Анализ структурной схемы системы передачи информации
Описание структурной схемы системы передачи информации и
основных преобразований сигналов в ней
Рис. 1.1.1 Структурная схема системы передачи информации
Назначение элементов СПИ, основные преобразования сигналов в
них
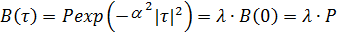
На вход системы электросвязи с выхода источника поступает непрерывный
первичный сигнал
, математическую модель которого можно задать как СП, который
является эргодическим. Заданы функции распределения мгновенных значений
амплитуд
, функция автокорреляции
и средняя мощность
первичного сигнала.
Фильтр нижних частот ограничивает спектр сигнала b(t) значением
верхней частоты
, которая выбирается исходя из требования сохранения в полосе
частот от
необходимого количества мощности сигнала.
В аналогово - цифровом преобразователе (АЦП) сигнал x(t) с выхода ФНЧ преобразуется в сигнал импульсно -
кодовой модуляции
. АЦП задан следующими исходными данными: дискретизатор -
равномерный; квантователь - равномерный, с количеством уровней квантования L=16 и заданной характеристикой
квантования. Кодирование источника осуществляется примитивным двоичным блочным
кодом.
С целью повышения верности передачи сообщений в кодере канала
осуществляется помехоустойчивое кодирование ИКМ - сигнала.
Сформированный в кодере канала цифровой сигнал
модулирует один из параметров
высокочастотного гармонического несущего колебания (переносчика). В результате
формируется сигнал
цифровой частотной модуляции.
Сигнал ЦЧМ
поступает в линию связи, которая представлена математической
моделью непрерывного гауссовского канала связи с заданной интенсивностью шума
и полосой проаускания
. Коэффициент передачи канала
в данном проекте принят равным
единице. Таким образом, на выходе канала имеем смесь сигнала и помехи
.
Демодулятор, реализованный на активном фильтре, осуществляет когерентную
обработку принимаемой смеси сигнала и помехи методом интегрирования.
Декодер канала осуществляет обнаружение ошибок в восстановленном цифровом
сигнале
, и если это возможно, их исправление.
Восстановление переданного первичного сигнала по принятому с искажениями
сигналу ИКМ
, осуществляется на основе цифроаналогового преобразования с
последующей низкочастотной фильтрацией. С выхода ФНЧ оценка первичного сигнала
поступает к получателю.
. Анализ характеристик первичного сигнала
Расчет интервала корреляции, функции спектральной плотности
мощности и энергетической ширины спектра первичного сигнала.
1.
Расчет интервала корреляции
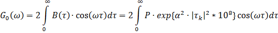
2. Спектральную плотность мощности находим по формуле:
Максимальное значение СПМ принимает на нулевой частоте и
будет равно:
[Вт]
Найдем энергетическую плотность мощности из условия, что γ = 0.95
Полученные интегралы не выражаются через элементарные функции. Значения
таких интегралов выражаются через значения интегралов вероятностей,
табулированные функции Лапласа, табулированные функции Крампа. Проведём
вычисление интегралов с использованием табулированной функции Крампа:
Отсюда используя функцию Крампа, получим:
По справочникам находим табулированные значения для:
x= 2,0
]
Откуда:
.
Нормированные графики функций корреляции и спектральной
плотности мощности
Рис. 2.2.1 Функция корреляции первичного сигнала
Рис. 2.2.2 СПМ первичного сигнала
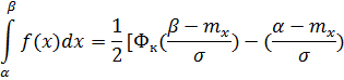
Графики ИФР и ФПВ заданного первичного сигнала как случайного
процесса
Дифференциальное распределение заданного случайного процесса описывается
выражением:

Рис. 2.3.1 График ФПВ
Интегральное распределение заданного случайного процесса описывается
выражением:
Рис. 2.3.2 график ИФР
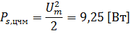
Определение средней мощности сигнала на выходе идеального ФНЧ
и средней квадратичной ошибки фильтрации.
Средняя мощность сигнала на выходе ФНЧ:
Средняя квадратичная ошибка фильтрации:
. Расчет характеристик аналого-цифрового преобразователя непрерывного
первичного сигнала
Определение частоты и периода дискретизации в соответствии с
т. Котельникова В.А.
[Гц]
Произведём округление
Определение шага, порогов и уровней квантования, средней
мощности шумов квантования.
Правило квантования:
(nT)
|
nTд
|
0Tд
|
1Tд
|
2Tд
|
3Tд
|
4Tд
|
5Tд
|
6Tд
|
|
x(nTд), [B]
|
7,3
|
2,1
|
3,1
|
1,9
|
12,8
|
4,3
|
2,8
|
|
xкв i(nTд), [B]
|
6,752
|
2,532
|
3,373
|
1,688
|
11,816
|
5,064
|
2,532
|
|
iкв ск
|
8
|
3
|
4
|
2
|
14
|
6
|
3
|
|
εкв(nTд), [B]
|
-0,548
|
0,432
|
0,273
|
-0,212
|
-0,984
|
0,464
|
-0,268
|
|
Код (КГ)
|
1000
|
0011
|
0100
|
0010
|
1110
|
0110
|
0011
|
|
nTд
|
7Tд
|
8Tд
|
9Tд
|
10Tд
|
11Tд
|
12Tд
|
|
x(nTд), [B]
|
10,2
|
6,9
|
9
|
12,1
|
3,1
|
6,9
|
|
xкв i(nTд), [B]
|
9,284
|
7,596
|
8,44
|
12,66
|
2,532
|
6,752
|
|
iкв ск
|
11
|
9
|
10
|
15
|
3
|
8
|
|
εкв(nTд), [B]
|
-0,916
|
0,696
|
-0,56
|
0,56
|
-0,568
|
-0,148
|
|
Код (КГ)
|
1011
|
1001
|
1010
|
1111
|
0011
|
1000
|
Определение информационных характеристик дискретного
источника (для выхода АЦП). Построение графиков вероятностей уровней
квантования и соответствующей интегральной функции
Энтропию, производительность, информативность и избыточность можно
рассчитать по следующим формулам:
Тогда энтропия на выходе кодера канала:
[бит/отсчет]
Производительность на выходе кодера канала или скорость информации в
дискретном канале связи:
[бит/с]
Избыточность источника:
Информативность:
Построим графики вероятностей уровней квантования
Производим расчёт динамического диапазона
Разделим ось ординат на отрезки:
Рис 3.1.1 График входного сигнала
Рис
3.1.1 График сигнала на выходе дискретизатора
Рис 3.1.1 График сигнала на выходе квантователя
Расчет априорных вероятностей передачи символов, ширины
спектра сигнала ИКМ.
Для двоичного натурального кода среднее число нулей и среднее число
единиц в сигнале ИКМ одинаково, поэтому и вероятности их появления одинаковы:
Р(0)=Р(1)=0,5.
Длительность посылки кодового символы равна:
[сек]
Ограничивая спектр сигнала на выходе АЦП (первичного цифрового сигнала)
вторым нулем огибающей, получим:
Кодирование двоичным блочным примитивным кодом.
8 дискретный отсчет: iкв
ск = 9
дискретный отсчет кодируется комбинацией 1001
дискретный отсчет: iкв
ск = 15
дискретный отсчет кодируется комбинацией 1111
Рис. 3.4.1 Графики сигналов на входе и выходе кодера источника
Построение графиков во временной и спектральной областях
сигналов на выходе АЦП, выходах дискретизатора, квантователя
Рис 3.6.1 График СПМ на выходе дискретизатора и квантователя
Рис. 3.6.2 График СПМ на выходе кодера источника
Рис 3.6.3 График ФПВ
Рис.3.6.4 График ИФР
4. Помехоустойчивое кодирование сформированного сигнала импульсно-кодовой
модуляции
Формирование разрешенных кодовых комбинации помехоустойчивого
кода.
Информационной кодовой комбинации
будет соответствовать кодовая
комбинация
сверточного кода, которую мы определили как
Информационной кодовой комбинации
будет соответствовать кодовая
комбинация
сверточного кода, которую мы получим:
Графиков временного и спектрального представления сигналов на
выходе кодера канала.
Рис. 4.2.1 График спектрального представления сигналов на выходе КК
Рис. 4.2.2 Графики сигналов на входе и выходе кодера канала
Информационные характеристик источника дискретных сообщений
для выхода кодера канала
Энтропию, производительность, информативность и избыточность можно
рассчитать по следующим формулам:

Тогда энтропия на выходе кодера канала:
[бит/отсчет]
Производительность на выходе кодера канала или скорость информации в
дискретном канале связи:
[бит/с]
Избыточность источника:
Информативность:
5. Формирование вторичного сигнала в процессе цифровой модуляции
Построение графиков временного представления сигналов на
входах и выходе модулятора.
;
;
;
Количество колебаний за период
Рис. 5.1 Временные графики сигналов на входе и выходе модулятора
Расчет нормированного к амплитуде переносчика спектра
модулированного сигнала, определение его ширины, построение в масштабе
соответствующих графиков спектрального представления.
Ширина спектра модулированного сигнала будет определяться:
Тогда спектр модулированного сигнала будет иметь вид:
Векторное
представление сигналов цифровой модуляции.
Построение
векторных диаграмм полученных сигналов цифровой модуляции , определение
евклидового расстояния между сигнальными точками
Евклидово
расстояние можно найти по формуле:
Рис. 5.4 Сигнальное созвездие сигнала ЦФМ
6. Анализ характеристик сигнала на входе приемного устройства
Расчет мощности аддитивной помехи в полосе частот сигнала,
соотношения сигнал-шум на входе приемного устройства, пропускной способности
непрерывного канала связи.
Отношение сигнал/шум на входе приемника равно:
В соответствии с теоремой Шеннона пропускная способность канала равна:
Построение в масштабе функций плотности вероятностей
мгновенных значений и значений огибающей смеси сигнал-шум на входе приемного
устройства
ФПВ помехи определяется выражением:
ФПВ огибающей суммы сигнала и помехи подчиняется распределению Релея.
где
- значение огибающей,
- модифицированная функция Бесселя
нулевог о порядка.
Рис. 6.2.1 График ФПВ мгновенных значений смеси сигнал-шум
Рис. 6.2.2 График ФПВ огибающей смеси сигнал-шум
Временное, спектральное и векторное представление сигнала на
входе приемного устройства.
Рис. 6.2.3 Временное представление сигнала на входе приемного устройства
Рис. 6.2.4 Спектральное представление сигнала на входе приемного
устройства
Рис. 6.2.5 Векторное представление сигнала на входе приемного устройства
. Синтез оптимального демодулятора сигналов цифровой модуляции
Процесс принятия решения демодулятором как статистическая
задача
Алгоритм, реализующий заданный вид приёма. Построение
оптимальной структурной схемы демодулятора, реализованную на АФ
Графиков временного и спектрального представления сигналов на
выходе кодера канала.
Рис
7.1.1 Схема оптимального когерентного приёма сигнала ЦФМ на активных фильтрах
В
решающем устройстве происходит сравнение сигналов с выходов AФ и
принимается решение о передаче того или иного символа («1» или «0») согласно
алгоритму демодуляции:
Оценка
помехоустойчивости реализованной схемы приема.
Найдем
:
В
канале происходит ошибка в 1-ой и 11-ой позициях кода.
Для
примера возьмем первую комбинацию
, в 1
позиции которой произошла ошибка.
Рис.
7.2.1 Процесс принятия решения демодулятором
8.
Декодирование сигнала демодулятора с обнаружением и исправлением ошибок
С
выхода декодера канала поступает на вход декодера источника кодовая комбинация
сигнала ИКМ
. В канале связи происходят ошибки в 1 и 11 символах.
Следовательно кодовая комбинация примет вид
. На
входе декодера источника кодовая комбинация складывается из полученной и ошибок
в позициях.
(кодовые
комбинация с ошибками)
В
результате декодирования КК
получил
комбинацию 1001.
В
результате декодирования КК
получил
комбинацию 1111.
9.
Восстановление формы непрерывного сигнала посредством цифроаналогового
преобразования
Восстановление
переданных дискретных отсчетов исходного сигнала.
На
вход в ЦАП поступают две последовательности по 4 бита:
и
0011
Восстановление
сигнала происходит по теореме Котельникова.
Рис.
9.1.1 Графики сигналов на входе и выходе устройства восстановления
Восстановление
цифрового сигнала
|
Номер дискретного отсчёта
|
n
|
8
|
10
|
|
Напряжение дискретного отсчёта, [В]
|
X(nT1)
|
6,9
|
12,1
|
|
Кодовая комбинация КИ
|
Xц(nT1)
|
1001
|
1111
|
|
Кодовая комбинация КК
|
Xц(nT2)
|
11101111
|
11011010
|
|
Конфигурация ошибок
|
|
10000000
|
00100000
|
|
Кодовая комбинация на входе ДК
|
Уц(nT2)
|
01101111
|
11111010
|
|
Кодовая комбинация на выходе ДК
|
Уц(nT1)
|
1001
|
1111
|
|
Напряжение восстановленного дискретного отсчёта, [В]
|
У(nT1)
|
7,596
|
12,66
|
|
Погрешность передачи
|
|
-0,696
|
-0,56
|
Расчет средней мощности шума передачи
Аналитическое выражение для определения мощности шума передачи имеет вид:
.
Оценка
суммарной среднеквадратичной ошибки восстановления непрерывного сигнала.
Погрешность
фильтрации
, шума квантования
и шума
передачи
можно считать независимыми случайными процессами.
Следовательно, суммарная СКО при передаче непрерывного сообщения будет равна
сумме СКО указанных процессов:
10. Оценка эффективности разработанной СПИ
Определение показателей эффективности исследуемой системы
передачи информации.
Для оценки эффективности систем связи найдем коэффициент использования
канала по мощности β (энергетическая эффективность) и коэффициент
использования канала по полосе частот γ (частотная эффективность):
где мощность сигнала, приходящаяся в среднем на один символ Рс=9,245[Вт],
а скорость кода R=k/n=0,5 m=2; k=4; n=8.
Обобщенной характеристикой эффективности систем связи является коэффициент
использования канала по пропускной способности η- информационная эффективность. Для
дискретного канала связи:
Разработка обоснованных предложений по повышению
информационной энергетической и частотной эффективности ЦСПИ.
Из анализа показателей эффективности исследуемой системы передачи
информации следует:
- информационная эффективность равна 4%. Из этого можно сделать
вывод: при таких параметрах сигнала и условиях приема канал связи используется
неэффективно и для повышения эффективности необходимо увеличить скорость
передачи информации по каналу. Для повышения скорости передачи можно уменьшить
время импульса или увеличить мощность сигнала с целью увеличения отношения
мощности сигнал-шум и, следовательно, для уменьшения вероятности ошибки.
- Энергетическую, пропускную и частотную эффективность необходимо
рассматривать в комплексе, т. к. увеличение одного показателя приведет к
уменьшению другого и наоборот. Для обеспечения высокой частотной эффективности
за счет снижения энергетической используют многопозиционные сигналы с плотной
упаковкой. С другой стороны, корректирующие коды позволяют повысить b при определенном снижении g. Решением этой проблемы является
применение каскадных сигнально-кодовых конструкций на основе ансамблей
многопозиционных сигналов и помехоустойчивого кодирования.
Заключение
При выполнении данного курсового проекта с использованием исходных данных
индивидуального варианта, был произведен анализ преобразования, а также была
разработана структурная схема СПИ.
Для построения структурной схемы СПИ был проведен расчетный анализ
исследуемой системы, моделирование процессов с использованием компьютерных
программных средств, построение графиков, описывающих назначение различных
элементов СПИ, их физический и математический смысл, а также наглядное
представление происходящих процессов.
Кроме того, были получены навыки в выполнении курсового проектирования,
что, несомненно, пригодится при выполнении других курсовых проектов, а также
выпускной квалификационной работы
Исходные данные для расчетов
1. Длительность сигнала Tc, мс: 12 Тд
. Функция
корреляции первичного сигнала Bb(τ):
3. Показатель
затухания функции корреляции α, c-1: 12
. Вид ФПВ
первичного сигнала:
Норм. (гауссовское)
. Средняя
мощность первичного сигнала Pb, В2: 25
. Номера
отсчетов дискретного
сигнала для
кодирования: 5, 16
. Тип кодера источника: ДНК
. Тип кодера канала: НСК
.Вид
цифровой модуляции: ЦЧМ
.Частота f0, МГц: 2,8
.Частота f1, МГц: 5,6
.Амплитуда несущего колебания Um1 = Um2, B: 4,3
.Спектральная плотность мощности шума N0×10-6, Вт / Гц: 4,9
.Вид приема: КГ
.Реализация демодулятора: АФ
.Позиции кода, в которых произошли ошибки: 1, 11
.Коэффициент γ: 0,95
Список литературы
1. Савельев С.Н. Анализ преобразования сигналов и разработка
структурной схемы системы передачи информации / C.Н. Савельев, А.И. Еременко,
А.А. Двилянский, С.В. Орлик. Орел, 2015. 121 с.
. Савельев С.Н. Формирование и обработка сигналов в
информационных системах / C.Н. Савельев, А.И. Еременко, Н.Г. Богданов, С.Н.
Шведов. Орел, 2015. 400 c.
. Теория электрической связи: Учебник для вузов. Под ред.
Д.Д.Кловского. М.: Радио и связь, 1998.