Разработка CAD-приложения для расчета молниезащиты, заземления, ЭМС объектов электроэнергетики
Оглавление
Введение
. Обзор численных методов и компьютерных программ расчета
электромагнитных процессов и полей в задачах молниезащиты, заземления, ЭМС
.1 Математические модели тонкого проводника в задачах
молниезащиты, заземления, ЭМС
.2 Методы расчета переходных процессов
. Численные методы расчета переходных процессов при
импульсных воздействиях
.1 Частотный метод
.2 Метод дискретных резистивных схем
.3 Метод Влаха
.4 Исследование характеристик методов расчета переходных
процессов на модельной задаче
.5 Выводы по главе
. Разработка CAD-приложения для расчета молниезащиты,
заземления, ЭМС объектов электроэнергетики
.1 Архитектура CAD-приложения
.2 Технологии интеграции программы с САПР
.3 Построение зон защиты молниеотводов
.4 Выводы по главе
. Моделирование грозовых перенапряжений на электрической
подстанции при ударе молнии в воздушную линию
Заключение
Список литературы
Введение
Удары молнии и короткие замыкания (КЗ) - основные причины отключений и
аварий на электрических подстанциях (ПС). Компьютерное моделирование позволяет
исследовать аварийные ситуации и выбрать средства защиты.
Защиту от прямого удара молнии обеспечивает система молниезащиты ПС.
Требуется построить зону защиты молниеотводов и показать, что объект находится
внутри этой зоны. Выбор системы молниезащиты не является обособленной задачей,
она решается в комплексе задач заземления и электромагнитной совместимости
(ЭМС).
Токи молнии и КЗ растекаются в землю через заземляющее устройство (ЗУ),
вызывая перенапряжения и сильное электромагнитное поле. Требуется рассчитать
сопротивление ЗУ, токи и напряжения элементов ЗУ, кондуктивные помехи в
контрольных кабелях, электромагнитные помехи в местах расположения
микропроцессорной аппаратуры. Решение этой комплексной задачи выполнено в
работах В.В. Бургсдорфа, Е.С. Колечицкого, А.Б.Ослона, А.И. Якобса, Ю.В.
Целебровского, Н.В. Коровкина, С.Л. Шишигина и большого числа иностранных
ученых, из которых выделим F.P. Dawalibi.
Мировым лидером ПО в области молниезащиты, заземления, ЭМС является
комплекс программ американской фирмы SES (sestech.com). Российский уровень установлен программами
ОРУ-Проект и EMI analyzer (elsafety.ru), Контур (ezop.ru), ElectriСS-Storm (csoft.ru).
Отставание связано, прежде всего, с упрощенной (двухслойной) моделью земли и
узкой специализацией программ.
Для электрооборудования ПС опасность представляют волны грозового
перенапряжения, которые распространяются по проводам воздушной линии (ВЛ),
вызванные ударом молнии в элементы ВЛ. Наиболее часто волновые процессы ВЛ и ПС
моделируются в программе EMTP
на основе цепных схем, но этот подход недостаточно адекватен. Волновые процессы
в воздухе требуется моделировать совместно с процессами растекания тока в
земле. Этому требованию удовлетворяет программа FDTD, основанная на конечно- разностных методах решения
уравнений Максвелла. Однако для описания сложной 3D системы тонких проводников ВЛ и ПС программа FDTD неэффективна. Третий подход к
моделированию волновых процессов ВЛ и ПС заключается в использовании методов
теории заземления. Он позволяет единообразно решать весь комплекс задач
молниезащиты, заземления, ЭМС на основе общей 3D геометрической модели ПС и ВЛ, однако ранее в нашей стране
не использовался. Требуется модернизация методов расчета переходных процессов в
ЗУ для расчета волновых процессов в проводниках ВЛ и ПС на основе цепных схем.
Частотный метод (ЧМ), эффективный для расчета ЗУ, нельзя применить для
расчета волновых процессов в цепных схемах из-за наличия постоянной
составляющей в спектре тока молнии. Проблема метода дискретных резистивных схем
(МДС) связана с формулой трапеций, которая приводит к осцилляции решения в
жестких задачах (Э. Хайрер и Г. Ваннер, Alvarado и др.). Известен численный вариант
операторного метода, разработанный И. Влахом и К. Сингхалом (далее метод Влаха).
Однако шаговые алгоритмы этого метода, которые представляют наибольший интерес
в работе, исследованы недостаточно, нам неизвестны программы, где они
реализованы.
Современная тенденция при разработке прикладных программ для
проектирования такова, что вместо программ с собственными геометрическими
процессорами, разрабатываются CAD-приложения.
Они проще, надежнее, удобней для пользователя. Значительный вклад в развитие
теории CAD-программирования внесли работы Н.Н.
Полещука, Д. Роджерсона, B. Kramer.
Целью работы является исследование и реализация эффективных численных
методов и алгоритмов в виде комплекса программ, интегрированных с AutoCAD, для компьютерного моделирования
последствий удара молнии и КЗ на объектах электроэнергетики.
Для достижения поставленной цели задачи исследования включали:
1. Исследование и модификацию численных методов расчета переходных
процессов для моделирования волновых процессов в цепных схемах
2. Создание средств научной графики, включающей 3D визуализацию и анимацию результатов
расчетов, в AutoCAD
. Разработку CAD-приложений
для решения комплекса задач молниезащиты, заземления, ЭМС
. Компьютерное моделирование последствий удара молнии на ПС.
Научная новизна представленной работы заключается в следующем:
. Расчет волновых процессов в проводниках в воздухе выполнен
совместно с процессами растекания тока в земле на основе теории заземлителей.
. Предложена периодизация импульсной функции без постоянной
составляющей, расширяющая область применения частотного метода.
. Исследованы условия возникновения осцилляций при расчете
переходных процессов по формуле трапеций и предложены способы их устранения.
. Показано преимущество метода Влаха в сравнении с методом
дискретных схем и частотным методом в задачах работы.
Теоретическая значимость. Область применимости ЧМ расширена на задачи
расчета волновых процессов в цепных схемах с сосредоточенными параметрами.
Показаны преимущества метода Влаха по сравнению с ЧМ и МДС при расчете волновых
процессов. Показаны преимущества CAD приложений в задачах со сложными
геометрическими моделями, что предопределяют оптимальную архитектуру программ
для проектирования и научных исследований.
Практическая значимость. Разработана компьютерная программа, позволяющая
выполнить проектирование молниезащиты, заземления, ЭМС ПС, а также
автоматизировать научные исследования по численному моделированию
электромагнитных процессов и полей, отличающаяся функциональностью, интеграцией
с САПР и быстродействием.
Основные результаты, выносимые на защиту:
. Периодизация импульсной функции без постоянной составляющей.
. Условия возникновения осцилляций в формуле трапеций и способы их
устранения.
. Исследование и применение метода Влаха.
4. Результаты моделирования переходных (волновых) процессов и
электромагнитных полей на электрических подстанциях при ударе молнии.
1. Обзор численных методов и компьютерных программ расчета
электромагнитных процессов и полей в задачах молниезащиты, заземления, ЭМС
.1
Математические модели тонкого проводника в задачах молниезащиты, заземления, ЭМС
приложение программа
молниезащита
Под тонким проводником будем понимать проводник, поперечные размеры
которого существенно меньше его длины. Тогда допущение, что источники
электромагнитного поля - стекающие и продольные токи, а также электрические
заряды распределены на осях проводников, не будет вносить заметной погрешности,
а расчеты существенно упрощаются.
К тонким проводникам относятся стержни ЗУ, провода и тросы ВЛ, шины ПС,
арматурная сетка зданий. Молниеотводы, опоры, порталы и другие металлоконструкции
состоят из элементов (уголков), которые являются тонкими проводниками.
В задачах заземления, молниезащиты и ЭМС, которые сформулированы ранее
(Введение), требуется одновременно рассчитать параметры, характерные для
электрических цепей (входное сопротивление, токи, напряжения проводников) и
параметры электромагнитного поля (распределение потенциала и напряженностей
электрического и магнитного поля). Такие задачи называют цепно-полевыми [23].
Цепно-полевая модель. Для решения цепно-полевых задач требуются две
взаимосвязанные модели - полевая (рисунок 1.1а) и цепная (рисунок 1.1б) [23, 68-70,
109, 110].
Полевая модель служит для автоматической генерации цепной модели и
расчета ее электромагнитных параметров. Цепная модель позволяет наиболее
эффективно рассчитать токи и напряжения элементов проводников при
синусоидальном или импульсном воздействии. Когда токи найдены, распределение
напряженности электромагнитного поля снова рассчитывается в полевой модели.
Этот подход используется в теории заземления [23, 68-70, 109, 110].
Рисунок 1.1 - Полевая (а) и цепная (б) модель тонкого проводника
.2 Методы
расчета переходных процессов
Частотный метод (ЧМ) и метод дискретных резистивных схем (МДС) - основные
численные методы расчета переходных процессов в электрических цепях при
импульсных воздействиях.
ЧМ применяется, в частности, в пакете программ CDEGS фирмы SES
(sestech.com), в программе Контур [34] и многих других. В публикациях
описывается стандартная реализация ЧМ с использованием прямого (функция FFT) и обратного (функция IFFT) быстрого преобразования Фурье. В
функции FFT предполагается, что заданная функция
повторяется периодически. Проблема в том, спектр импульса тока молнии при такой
периодизации может затухать медленно, что потребует множества гармоник при
расчете. В работе [31, С.265] предложено импульсную функцию, заданной на
интервале T, продолжить по определенному правилу
до 2T, что приводит к улучшению спектра
импульса. Эта технология подлежит исследованию.
В МДС шаговые алгоритмы интегрирования дифференциальных уравнений по
формуле трапеций сводятся к расчету резистивных схем [5, 15, 85, 89]. МДС
применяется в программе EMTP- наиболее распространенной программе по расчету
переходных процессов в электроэнергетике. МДС применяется в программе
ОРУ-Проект (elsafety.ru), наиболее распространенной в России для расчета ЗУ, и
многих других. Пользователи программы EMTP, например [92], отмечают, что при определенных условиях возникают
осцилляции решения. Причина осцилляций связана с медленным затуханием
высокочастотных колебаний [50, С.58]. Для устранения проблемы в работе [81]
предложена линейная комбинация формулы трапеций и неявной формулы Эйлера. На
основе этой работы в документации к EMTP [92] даются рекомендации по подключению дополнительной проводимости
параллельно индуктивности при возникновении осцилляций. Эти рекомендации и
формула трапеций применительно к задачам работы подлежат дополнительному
изучению.
Метод Влаха [7] - известный, но по сравнению с ЧМ и МДС редко используемый
метод расчета переходных процессов, по крайней мере, нам не известны
компьютерные программы с этим методом. При анализе публикаций по методу Влаха,
например [83], авторы обращают внимание на формулы Влаха, но не на шаговые
алгоритмы реализации этих формул. Однако для задач работы именно шаговые
алгоритмы представляют наибольший интерес.
В Главе 2 ставится задача исследования частотного метода, метода
дискретных схем и метода Влаха. Ставится задача разработки эффективных
алгоритмов их реализации, пригодных как для расчета переходных процессов в
заземлителях, так и для расчета волновых процессов в проводниках в воздухе.
2. Численные
методы расчета переходных процессов при импульсных воздействиях
.1 Частотный
метод
Методика применения ЧМ с использованием быстрого прямого и обратного
преобразования Фурье хорошо известна, например [29].
Пусть на вход линейной электрической цепи подан импульс тока J(t), который зададим дискретными значениями Jk=J(tk) на равномерной
сетке узлов tk , где k=0..n-1, n=2m - число узлов (отсчетов), m- целое число (обычно от 3 до 10). С помощью прямого
преобразования Фурье (стандартная функция FFT) импульс раскладывается на сумму гармоник (в спектр) Jm(jω), где m=0..n/2-1,
т.е. число гармоник вдвое меньше числа отсчетов. Для каждой m-гармоники проводим расчет
электрической цепи комплексным методом и находим напряжения Uk(jω) и токи Ik(jω). Подставляя их в качестве параметра в стандартную
функцию обратного преобразования Фурье IFFT, получаем искомые напряжения uk и ik в
узловых точках.
Применение функции FFT
для непериодических функций предполагает искусственную периодизацию [29], от
способа выполнения которой зависит спектр функции. Этот принципиальный вопрос
исследуем на численном примере.
Рассмотрим импульсную функцию, используемую для описания первого импульса
тока молнии
,
с амплитудой A=1. Длительность
импульса примем равным T=20
мкс (рисунок 2.1а). При практических расчетах T- длительность наблюдения за переходным процессом, далее
этого времени расчет не ведется.
Спектр этой функции, заданной дискретно в 16 узловых точках, получен с
помощью FFT и представлен на рисунке 2.1б.
Рисунок 2.1 - Непериодическая функция (а) и ее амплитудный спектр (б), k- номер гармоники, f1=1/T- основная частота, число отсчетов- 16
Непериодическая функция рассматривается в FFT как периодическая с периодом T [29]. Действительно, если функцию периодически продолжить
один (рисунок 2.2а) или несколько раз, спектр функции не изменится (рисунок
2.2б).
Рисунок 2.2 - Периодизация функции f(t) (а) и ее
амплитудный спектр (б), k-
номер гармоники, основная частота f1=1/2T
Для улучшения спектра непериодической функции в работах [31] предложено
продолжить функцию f(t), заданную на интервале T, на интервале 2T (рисунок 2.3а)
(2.1)
Спектр действительно улучшился (рисунок 2.3б) - постоянная составляющая
снизилась до величины A0=0.5f(T), высшие гармоники затухают быстрее, чем ранее (рисунок
2.1б). Четные гармоники в спектре импульса отсутствуют, поэтому двукратное
увеличение числа отсчетов, связанное с двукратным увеличением длительности, не
приводит к увеличению числа гармоник.
Рисунок 2.3 - Продолжение функции (2.1) на интервале 2T (а) и ее амплитудный спектр (б), k- номер гармоники, основная частота f1=1/2T
Таким образом, продолжение (2.1) улучшает спектр функции, что позволяет
уменьшить число гармоник или повысить точность расчета ЧМ. Однако, наличие
постоянной составляющей в функции (2.1), которая доминирует в спектре, не
всегда допустимо.
В работе рассматриваются задачи расчета волновых процессов в цепных
моделях с сосредоточенными параметрами. Наличие постоянной составляющей здесь
недопустимо, поскольку под действием источника постоянного тока A0 в цепи мгновенно устанавливаются
токи и напряжения, т.е. волновых процессов не наблюдается. Постоянная
составляющая доминирует в спектре импульса, что приводит к некорректным
результатам в целом.
В работе предложено дважды применить продолжение импульсной функции (2.1)
с получением функции, заданной на интервале 4T (рисунок 2.4а)
, (2.2)
где f2(t) определена в (2.1). Преобразование (2.2) исключает
постоянную составляющую из спектра импульсной функции.
Рисунок 2.4 - Продолжение функции (2.2) на интервале 4T (а) и ее спектр (б), k- номер гармоники, основная частота f1=1/4T
Периодизация импульсной функции без постоянной составляющей позволяет
моделировать волновые процессы в цепных схемах. К ее достоинствам относится
доминирование первой гармоники, уменьшение вдвое основной частоты, быстрое
затухание высших гармоник (рисунок 2.4б). К недостаткам относится вдвое большее
число отсчетов, чем при периодизации функции (2.1).
Таким образом, для улучшения спектра импульсной функции, заданной в
интервале времени от 0 до T, ее
следует продолжить. Функция (2.1) содержит постоянную составляющую, поэтому не
может быть использована для моделирования волновых процессов в цепных схемах.
Для этих задач применяется функция (2.2).
.2 Метод
дискретных резистивных схем
Метод дискретных резистивных схем (МДС) - численный метод расчета
переходных процессов во временной области, используемый в программе EMTP и многих других. Шаговые алгоритмы интегрирования
дифференциальных уравнений по неявной формуле Эйлера и трапеций сводятся в МДС
к расчету резистивных схем [5, 15, 85, 89].
Выполним интегрирование дифференциальных уравнений, связывающих
напряжения и токи индуктивности и емкости, на k-м временном шаге длиной h.
При использовании неявной формулы Эйлера
, (2.3)
.
При использовании формулы трапеций
, (2.4)
.
Этим уравнениям соответствуют дискретные резистивные схемы замещения
(рисунок 2.5)
Рисунок 2.5 - Дискретные резистивные схемы замещения индуктивности (а) и
емкости (б) на k-м временном шаге
Таким образом, расчет переходного процесса сводится к расчету резистивных
цепей на каждом временном шаге. Сопротивления R и проводимости G дискретных схем неизменны при h=const, поэтому вычисляются один раз, что
обеспечивает высокое быстродействие при расчете сложных цепей. Величины
источников ЭДС и тока, которые задают начальные напряжения и токи шага,
пересчитываются на каждом шаге, но это не снижает быстродействие.
Недостатки формул Эйлера и трапеций известны [50, 81]. Формула Эйлера
недостаточно точна и сглаживает колебания, аналогично фильтру низких частот.
Формула трапеций в жестких задачах может вызывать осцилляции решения.
Исследуем формулу трапеций на примере [81]. К катушке с индуктивностью L приложен импульс тока с линейным
фронтом длительностью T с
единичной амплитудой (Рисунок 2.6а). Требуется найти напряжение на
индуктивности. Выберем шаг интегрирования h=T и применим
формулу трапеций (2.4). Сделаем несколько шагов при L/h=1
Таким образом, решение осциллирующее. Интересно, что неявная формула
Эйлера (2.3) дает в этой задаче точное решение u0=0, u1=1, u2=u3…=un=0.
Для устранения рассмотренной проблемы в [81] предлагается линейная
комбинация формулы трапеций с неявной формулой Эйлера
, (2.5)
где α=0.15- весовой коэффициент. На основании этой формулы руководством к
программе EMTP [89] при возникновении осцилляций
рекомендуется параллельно индуктивности включать проводимость G=0.15h/2L. Другой вариант
коэффициента α получен в работах V. Brandwajn, где
α=0.11-0.185 [89].
Как видим, разница несущественна.
В задачах грозозащиты невозможно исключить возможность протекания по
индуктивностям тока с крутым фронтом, имеющего изломы функции (с учетом
дискретизации). Таким образом, МДС на основе формулы трапеций имеет
ограничения, в число которых попадают задачи расчета волновых процессов.
Развития МДС на основе других формул интегрирования прогнозировалось в
работе [7]. Однако этого не произошло. Одношаговые формулы более высокого
порядка (Рунге-Кутты), не обладают абсолютной устойчивостью [6], многошаговые
формул «с забеганием вперед» (формула Гира и др.) существенно усложняют
алгоритм.
2.3 Метод
Влаха
Операторная схема замещения индуктивности - последовательное соединение
операторного сопротивления sL и ЭДС E=Li(0). Операторная схема замещения
емкости - параллельное соединение проводимости G=sC и источника тока J=Cu(0).
Заменив все индуктивности и емкости их операторными моделями, получаем
операторную схему замещения [5, 15].
При численных расчетах необходимо задать значение оператора s (его часто
называют комплексной частотой), а для перехода к оригиналу применить теорему о
вычетах. Обычно она записывается в виде [7]
,
где вычеты операторной функции F(s) находим в полюсах si. Нахождение полюсов - трудоемкая
операция, которую приходится выполнять заново для каждой операторной функции,
поэтому этот путь неэффективен при численных расчетах.
Канадские ученые И. Влах и К. Сингхал предложили в теореме о вычетах
вместо полюсов операторной функции использовать полюса экспоненты [7]
.
Достоинство этой записи в том, что полюса экспоненты вычисляются аналитически
один раз, а затем применимы для любой операторной функции.
Аппроксимируем экспоненту дробно-рациональной функцией, коэффициенты
которой найдем из сопоставления с разложением экспоненты в ряд Тейлора
.
Например, для практически важного случая m=2, n=1
.
Тогда теорема вычетов принимает вид [7]
. (2.6)
Полученная формула имеет 3 порядок точности (m+n=3) и для ее
использования необходимо вычислить операторную функцию 1 раз.
В общем случае
, (2.7)
где формулы для расчета полюсов s и вычетов res определены в
[7].
Помимо (2.6) имеет смысл рассматривать формулы 7, 11, 15, 19, 23, 27
порядка с 2, 3, 4, 5, 6 вычислениями операторной функции. Полюса и вычеты этих
формул приведены в Приложении А. Дальнейшее увеличение порядка, как показало
тестирование, не приводит к увеличению точности. Все формулы абсолютно
устойчивы при интегрировании тестового дифференциального уравнения x′=λx при λ<0 [7].
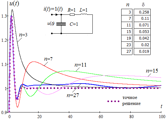
Исследуем метод Влаха на модельных задачах. На вход цепи (рисунок 2.10)
подана единичная ступенчатая функция тока, которая моделирует импульс тока с
крутым фронтом.
Рисунок 2.10 - Входное напряжение цепи при единичной ступеньке тока,
рассчитанное по формуле (2.7) порядка n, δ- максимальная абсолютная погрешность
Требуется найти входное напряжение. Точное решение известно
,
.
Выполним численный расчет по формулам (2.5) разного порядка (рисунок
2.10).
Формула 3 порядка не позволяет точно моделировать первый максимум.
Погрешность формулы 7 порядка проявляется на втором локальном максимуме. С
увеличением порядка формулы погрешность снижается, но даже формула 27 порядка
имеет максимальную погрешность 2%.
Таким образом, применение формул (2.7) возможно только в шаговых
алгоритмах, где ограничимся формулами 3 и 7 порядка.
Шаговый алгоритм на основе формулы 3 порядка (2.6). Временной интервал
разбивается на n- равных шагов
длиной h. Поскольку s- комплексное число (комплексная частота), то расчету на
каждом k-м шаге подлежит комплексная схема,
где индуктивности и емкости моделируются дискретными комплексными схемами
(рисунок 2.11). Они полностью аналогичны резистивным схемам (рисунок 2.5) при
замене Z на R, Y на G, поэтому стандартную методику
реализации МДС можно применить и для метода Влаха с комплексными схемами
(рисунок 2.11). Все рассмотренные ранее задачи решаются шаговым алгоритмом по
методу Влаха с высокой точностью.
Рисунок 2.11 - Дискретные комплексные схемы замещения индуктивности (а) и
емкости (б) на k-м временном
шаге, s определено в (2.6).
.4
Исследование характеристик методов расчета переходных процессов на модельной
задаче
Сравним характеристики метода дискретных схем, частотного метода и метода
Влаха при решении задач расчета длинной линии при импульсных воздействиях,
характерных для молнии.
Волновые процессы в линии. Будем искать напряжение в конце линии без
потерь длиной 300 м при воздействии импульса напряжения амплитудой 1 В с
линейным фронтом длительностью 0.1 мкс разными методами (рисунок 2.14).
Рисунок 2.14 - Расчетная модель и напряжение в конце линии: 0- точное
решение и численное решение по: 1- МДС с неявной формулой Эйлера, 2- МДС с
формулой трапеций, 3- методу Влаха, г) ЧМ с функцией (2.2), число отсчетов 128
Использование МДС с неявной формулой Эйлера (рисунок 2.14, график 1)
приводит к заметной погрешности так, что скорость волны превышает скорость
света. МДС с формулой трапеций правильно моделирует запаздывание волны, но
приводит к локальным затухающим колебаниям и большой погрешности (рисунок 2.14,
график 2), как и в ранее решенных задачах (рисунки 2.6-2.9). Метод Влаха на основе
формулы (2.6) третьего порядка моделирует процессы с погрешность 1% (рисунок
2.14, график 3), а с формулой 7 порядка дает это же решение за меньшее число
шагов. Погрешность ЧМ составляет 3% при 128 отсчетах (рисунок 2.14, график 4),
что также приемлемо. Были решены и другие задачи: с активной и емкостной
нагрузкой, несколькими линиями, при других параметрах импульса. Во всех случаях
метод Влаха имеет преимущество при моделировании волновых процессов по
сравнению с МДС и ЧМ.
В течение 1 мкс, что равно времени пробега электромагнитной волны от
начала до конца линии (запаздывания), напряжение равно нулю. Затем возникает
отраженная волна, равная падающей волне, и напряжение удваивается, что
продолжается 2 мкс. За это время отраженная волна распространяется к началу линии
и возвращается обратно с изменением знака (режим КЗ для идеального источника
ЭДС). Теперь отраженная волна противоположна падающей волне, и результирующее
напряжение равно нулю. Процесс повторяется с периодом 4 мкс.
Полученное решение с высокой точностью совпадает с точным решением,
которое дает теория длинных линий.




Рисунок 2.15 - Волны напряжения в линии
Выводы по
главе 2
При исследовании основных численных методов расчета переходных процессов
при импульсных воздействиях - метода дискретных резистивных схем, частотного
метода и метода Влаха установлено:
. Неявная формула Эйлера в МДС недостаточно точна для
моделирования волновых процессов, но может быть использована для расчета
переходных процессов в заземлителях.
. Формула трапеций в МДС может приводить к осцилляциям напряжения
на индуктивности при воздействии импульсов тока, описываемых негладкими
функциями, например с линейным фронтом и биэкспонентой. Комбинация формулы
трапеций и неявной формулой Эйлера уменьшает осцилляции, но не способна их
устранить.
. Шаговые алгоритмы в методе Влаха целесообразно создавать на
основе формул (2.7) 3 и 7 порядка. Этим формулам соответствуют дискретные
комплексные схемы замещения индуктивности и емкости, аналогичные дискретным
резистивных схемам, получаемым из формул Эйлера и трапеций. Тогда численная
реализация шаговых алгоритмов по методу Влаха производится аналогично МДС.
. Метод Влаха имеет преимущество перед МДС и ЧМ при расчете
волновых процессов. При расчете заземлителей метод Влаха избыточен по точности.
Но поскольку ставится задача одновременного моделирования переходных (волновых)
процессов в проводниках в воздухе и земле, то метод Влаха имеет преимущества.
3. Разработка
cad-приложения для расчета молниезащиты,
заземления, эмс объектов электроэнергетики
В работе была разработана программа ЗУМ для расчета молниезащиты и
заземления объектов электроэнергетики, интегрированная с AutoCAD (CAD-приложение).
В данной Главе представлена архитектура программы, рассмотрены технологии
интеграции программы с AutoCAD,
разработаны инструменты для поддержки геометрического моделирования в AutoCAD.
.1
Архитектура CAD-приложения
Архитектура компьютерной программы ЗУМ представлена на рисунке 3.1.
Программа состоит из 2 основных частей: вычислительное ядро и сервисная
оболочка [54-56, 59-64, 105]. Вычислительное ядро представляет собой набор
методов и алгоритмов для расчета электрических цепей и электромагнитных полей
для цепно-полевой модели тонкого провода. Ядро реализовано в виде динамически
подключаемой библиотеки (dll- dynamic link library). В сервисной оболочке разработаны инструменты для
работы с геометрической моделью в AutoCAD (Приложение Б).
Работа с программой осуществляется следующим образом. Пользователь вводит
геометрическую модель объекта в AutoCAD непосредственно или через сервисную
оболочку, где все необходимые инструменты AutoCAD продублированы и добавлены
макрокоманды для ввода стандартных элементов. Затем задаются параметры расчета
(режим, частота, характеристика земли, т.д.). Далее программа выполняет расчет,
используя методы вычислительного ядра. Результаты расчета визуализируются в
виде 3D графиков в AutoCAD. Имеется возможность анимации импульсных процессов
за счет послойной организации кадров: каждый кадр хранится в отдельном слое, а
эффект анимации достигается путем управления видимостью слоев.
Рисунок 3.1 - Архитектура AutoCAD-приложения
.2 Технологии
интеграции программы с САПР
В работе исследуются 3 основных способа интеграции пользовательских
приложений с AutoCAD: обмен данными в формате DXF (drawing exchange format),
технология COM (ActiveX), низкоуровневые ObjectARX и .NET. Исследуем и сравним данные технологии по следующим
критериям: быстродействие, простота программирования, функциональность,
интерактивность [65].
DXF.
Передача геометрических данных в программу пользователя и обратно может быть
выполнена в текстовых файлах, где геометрические данные записаны в формате dxf. Структура dxf-файла документирована в справочной системе AutoCAD. Данные представлены парами
«код-значение» (Таблица 3.1), которые записываются в двух строках (без
комментариев).
Таблица 3.1 - Фрагмент dxf-файла
с линией
|
Код
|
Значение
|
Комментарий
|
|
… 0 2 0 8 …
10 20 30 11 21 31 … 0 …
|
… SECTION
ENTITIES LINE LayerName … 0 0 -0.7 100 100 -0.7 … ENDSEC …
|
Начало секции Секция
графических данных Линия Название слоя с линией X-координата
начала Y-координата начала Z-координата
начала X-координата конца Y-координата
конца Z-координата конца Конец секции
|
Пусть требуется прочитать геометрическую модель, состоящую из линий,
начерченных в AutoCAD. Сохраним файл в AutoCAD с расширением dxf, а затем последовательно (построчно)
прочитаем его в собственной программе. Точно также можно записать линии в dxf-файл и построить их в AutoCAD [65] (Приложение В).
Обмен данными через dxf-файлы
имеет ряд преимуществ. Он является стандартом обмена файлами чертежей для всех
САПР, потому универсален. Обработка dxf-файлов может осуществляться с помощью любого языка программирования и с
высоким быстродействием. Размерность dxf-файла может превышать миллион строк.
Этот простой способ доступа к графическим данным применяется во многих
профессиональных программах, например, продукции фирмы SES (sestech.com) - мирового лидера в области
расчетов заземления и молниезащиты.
Главным недостатком обмена через dxf-файлы является отсутствие возможности интерактивного
взаимодействия пользователя с чертежом. Устранить его способны более сложные
способы управления САПР.технологии. AutoCAD, как и другие профессиональные САПР, разработаны с учетом
концепции COM (COM - Component Object Model, модель компонентных объектов,
объектная модель) фирмы Microsoft, что дает доступ к объектам AutoCAD, их свойствам, методам, событиям из других систем и их
приложений и наоборот [38, 43]. Пример взаимодействия с AutoCAD по технологии COM представлен в Приложении В.
Данный способ является полноценным средством управления AutoCAD и обеспечивает необходимый уровень
интерактивности (в отличие от способа с dxf-файлами). COM поддерживает широкий спектр языков программирования, включая самые
популярные: C++, Delphi, Visual Basic, Java. В большинстве сред программирования
реализованы модули, упрощающие использование объектной модели, например каркас ActiveQt для среды Qt [75].
Стандарт COM спроектирован
для межпроцессного взаимодействия, поэтому он позволяет разрабатывать
внепроцессные (out-of-process) приложения, иначе говоря, программа пользователя не
является частью процесса AutoCAD,
что имеет достоинства и недостатки.
Главное достоинство - это высокая универсальность. Используя позднее
связывание (COM-вызовы с помощью Invoke интерфейса IDispatch), мы можем добиться того, что
связывание имен свойств и методов объекта с их кодом происходит не на этапе
компиляции, а на этапе выполнения программы, что позволяет использовать одно
приложение для всех AutoCAD-совместимых
САПР.
Однако использование механизмов межпроцессного взаимодействия и позднего
связывания приводит к значительному снижению производительности (в десятки и
сотни раз по сравнению с внутрипроцессными взаимодействиями и ранним
связываем). Построение десятков тысяч линий может занимать минуты [63], что
неприемлемо.
Таким образом, COM-технологии
являются достаточно простым и надежным инструментом для интерактивного обмена
графической информацией программы пользователя с любым САПР, пригодным для
большинства научных задач. COM-технологии
пригодны как для разработки CAD-приложений,
так и использования в обычных программах в качестве альтернативы DXF.
Но в задачах с большими графическими данными (тысячи геометрических
примитивов и более), которые требуется быстро перестраивать, например, при
анимации динамических процессов, подход на основе COM неэффективен из-за низкой производительности [65].
Для разработки профессиональной программы, управляющей САПР, с полным
доступом к свойствам 3D
объектов рекомендуются технологии ObjectARX и .NET.ARX - это система разработки программных
модулей для среды AutoCAD, создающая
самый низкоуровневый код по сравнению с другими средствами автоматизации AutoCAD [39]. Код стороннего приложения
исполняется в том же адресном пространстве, что и код AutoCAD, поэтому взаимодействие между ними значительно
эффективнее, поскольку данные могут передаваться через указатели, а не через
механизм межпроцессного взаимодействия как в COM-приложениях. Модули, разработанные в ObjectARX, работают с основными структурами
данных и кодом AutoCAD и имеют
доступ непосредственно к графической системе и ядру геометрических построений.
В результате достигается высокая функциональность и быстродействие, но при
значительно более сложной структуре программы [39].
Разработка пользовательских приложений (ARX-приложений) производится с использованием
неуправляемого кода на языке C++ [Kramer, McAuley], т.е. на том же языке, что использован для
разработки ядра AutoCAD.
Набор разработчика ObjectARX предоставляет специальные библиотеки, а также заголовочные файлы, с
помощью которых приложение пользователя получает информацию о типах, классах и
объектах AutoCAD. Подключая эти файлы в свой код, программа
получает возможность взаимодействовать с AutoCAD, а также создавать свои классы и объекты. Пример
взаимодействия с AutoCAD по
технологии ObjectARX приведен в Приложении В.
Высокое быстродействие операций с графическими примитивами и
функциональность, обеспечивающая доступ ко всем свойствам, методам, событиям с
примитивами, - главное достоинство внутрипроцессных API.
Главный недостаток ObjectARX - это требование к бинарной совместимости - пользовательский модуль
должен быть создан той же версией компилятора, что и AutoCAD. Компания Autodesk нарушает бинарную совместимость AutoCAD (обычно каждые 3 выпуска), поэтому требуется
создавать и поддерживать несколько версий пользовательских модулей (для разных
версий AutoCAD), что усложняет разработку приложений
и неудобно для пользователя. Напомним, что технология COM позволяет создавать программы, пригодные для любой
версии AutoCAD, применима для любого САПР и
допускает выбор языка программирования. Работа с ObjectARX предполагает программирование на
языке C++. ObjectARX C++ и использование библиотеки MFC (Microsoft Foundation Classes). Усложнение кода ObjectARX по сравнению с COM (Приложение В) также относится к
недостаткам.
Таким образом, технология ObjectARX позволяет эффективно решать задачи в AutoCAD с геометрическими моделями и научной графикой любой
сложности, но ее реализация ориентирована на квалифицированных программистов.
Технология .NET на основе
платформы .NET Framework - еще одно средство разработки
низкоуровневых AutoCAD-приложений,
имеющее некоторые преимущества перед ObjectARX [37]. В .NET
расширен выбор языка программирования (C++, C#, VB .NET и др.). Создаются dll-библиотеки с управляемым кодом (управляемые сборки),
что открывает программисту механизмы управления памятью, а также обеспечивает
простоту разработки пользовательских интерфейсов (с помощью библиотек .NET Windows Forms или .NET Windows Presentation Foundation, входящих в
состав .NET Framework) [37].
Однако, технология .NET не
в состоянии устранить главный недостаток ObjectARX - требование к бинарной
совместимости - пользовательский модуль должен быть создан на той же версии
целевой платформы .NET Framework, что и AutoCAD. Таким образом, переход от ObjectARX к .NET не носит принципиального характера.
Анализ быстродействия. Скорость построения геометрических примитивов в AutoCAD из программы пользователя - один из
основных критериев, определяющих область применения рассмотренных технологий.
Будем строить линии в циклах переменной размерности N с помощью программных кодов, приведенных в Приложении В, и
отмечать время выполнения (рисунок 3.2) [65].
В результате количественно подтверждены сделанные ранее выводы, а именно:
межпроцессное взаимодействие через COM применимо только для задач ограниченной размерности (до 10000
геометрических примитивов). Низкоуровневые ARX-приложения обладают высокой производительностью,
позволяющей проводить моделирование с большими геометрическими данными (1 млн.
примитивов и более) или анимировать динамические процессы в сложных 3D системах.
Рисунок
3.2 - Время построения линий (N- число линий) с использованием DXF, COM и ObjectARX (Компьютер: Windows 7 64-bit, Intel Core
i5-4430 3.0 ГГЦ, ОЗУ 8 Гб)
Комбинация COM с DXF. Скорость построения линий с помощью
dxf сопоставима с ARX-технологией вплоть до 100000
элементов (рисунок 3.2), что объяснимо - dxf-файл создается быстро, а его чтение - внутренние
операции AutoCAD. Отсюда идея использования dxf-файла в качестве буфера обмена
графической информацией с САПР на основе технологии COM [53, 63]. Вместо прямого рисования линий в САПР (с
использование медленных механизмов межпроцессного взаимодействия) запишем их в dxf-файле и загрузим его в AutoCAD (Приложение В, Листинг В.1), что
значительно быстрее. Этот способ позволяет использовать САПР для визуализации
результатов научных исследований. Он дает возможность строить графики из
большего числа элементов, чем в системах компьютерной математики, а послойная
структура данных в САПР позволяет легко создавать выборки (включением/ выключением
слоев). Таким образом, использование dxf-файлов в качестве буфера обмена данными с САПР расширяет область
применения COM-технологий.
Сравнение и выбор технологии управления AutoCAD. Рассмотрены три технологии обмена данными и
управления САПР. DXF-обмен данными с САПР - простой и универсальный способ, но
исключающий интерактивное управление САПР. COM технологии предоставляют
простые, надежные механизмы интерактивного управления САПР из внешней
программы, пригодные для большинства научных задач и задач проектирования.
Низкая производительность в задачах с большими геометрическими данными -
главный недостаток COM, однако
производительность можно значительно повысить, если использовать dxf-файл в качестве буфера в операциях
записи/чтения примитивов. Для задач со сложными геометрическими моделями,
анимацией динамических процессов рекомендуется система AutoCAD, которая
предоставляет низкоуровневые ObjectARX API и .NET API технологии. Они
обеспечивают наивысшую по сравнению с другими технологиями функциональность и
производительность, хотя не лишены недостатков. Главным из них является
требование бинарной совместимости программы пользователя и версии AutoCAD,
другими словами, ARX-приложение работает только на определенных версиях
AutoCAD, в отличие от универсальных программ, созданных по технологии COM (с
использованием позднего связывания).
Таким образом, разработку AutoCAD-
приложений возможно производить как с помощью технологии COM (с учетом разработанных средств
повышения быстродействия на основе использования dxf-файлов в качестве буфера при записи в AutoCAD), так и с помощью технологии
ObjectARX. Последняя технология предпочтительней.
3.3
Построение зон защиты молниеотводов
Российские стандарты молниезащиты. В основных российских стандартах
молниезащиты - РД 34.21.122-87 [41] (далее РД-87) и СО-153-34.21.122-2003 [46]
(далее СО-2003) приведены формулы, позволяющие рассчитать границы зон защиты
одиночного и двойного молниеотводов на заданном уровне. В стандарте ВСП
22-02-07/МО РФ [8] (далее ВСП-2007) - наиболее современном российском стандарте
молниезащиты, границы зон защиты также рассчитываются.
В результате поверхность зоны защиты молниеотводов удобно изображать
каркасом из замкнутых контуров, расположенных горизонтально с заданным шагом по
высоте или на заданных высотах (рисунок 3.5).
Рисунок 3.5 - Каркас зоны защиты с шагом 1 м одиночного и двойного
молниеотвода высотой 30 м по стандарту СО-2003
Каждый контур очерчивает горизонтальное сечение зоны защиты. В AutoCAD каждый контур изображается стандартным
геометрическим примитивом - полилинией.
Многократные молниеотводы во всех российских стандартах молниезащиты
рассматриваются как совокупность двойных молниеотводов. Тогда для каждой пары
молниеотводов необходимо построить контура зоны защиты на заданных уровнях,
объединить их и удалить внутренние (невидимые) линии.
На основе этого теста разработана методика удаления невидимых линий,
расположенных внутри зоны защиты (рисунок 3.6).
Рисунок 3.6 - Контур зоны защиты тройного молниеотвода до и после
удаления внутренних линий
Методика удаления невидимых линий. Существует тест принадлежности точки
многоугольнику [52]. Точка Р находится внутри замкнутого многоугольника, если
полупрямая с концом в точке Р пересекает контур нечетное число раз, иначе точка
находится вне контура. Необходимо удостовериться, что отрезок действительно
пересек ломанную, а не просто коснулся ее вершин.
Контуры одного уровня зоны защиты всех молниеотводов дробятся на
прямолинейные отрезки так, что пересечение отрезков разных зон возможно только
в узлах. Проверяются средние точки отрезков, что исключает появления тестовой
точки на границе контура и отслеживания этого условия. Проверяются попарно два
контура. Сначала все точки отрезков первого контура проверяются на
принадлежность внутренней области второго контура, затем наоборот. Невидимые
линии маркируются и по завершении попарной проверки всех контуров удаляются.
Оставшиеся линии образуют границу зоны защиты на данном уровне (рисунок 3.6).
Для каждой средней точки элемента объекта происходит тест на
принадлежность зоне защиты на данном уровне. Если средняя точка элемента
находится вне зоны защиты, то он переносится на отдельный слой, выделяется
красным цветом и толщиной (рисунок 3.7).
Другой способ, который используется в чертежах, заключается в построении
сечений, причем горизонтальное сечение уже содержится в каркасе.
Нетиповые молниеотводы. В российских стандартах молниезащиты СО-2003 и
ВСП-2007 не рассматривается разновысокие молниеотводы. В то же время именно
такие молниеотводы чаще всего используются на ПС. Следуя рекомендациям [28]
двойной разновысокий молниеотвод с высотами h1<h2
можно рассматривать как стандартный двойной молниеотвод высотой h1 и одиночный молниеотвод высотой h2. Тогда расчет и построение зоны
защиты производится как для множественного молниеотвода (рисунок 3.8).
Выделение незащищенных объектов, находящихся вне зоны защиты,
производится по рассмотренной методике удаления невидимых линий (рисунок 3.7).


Рисунок 3.7 - а) Расчетная модель здания высотой 20х20х5 м с
молниеотводом высотой 30 м; зона защиты молниеотвода и незащищенная часть
здания: б) 3D изображение, в) вертикальное
сечение, г) горизонтальное сечение на уровне 5 м
Рисунок 3.8 - 1) Зона защиты двойного разновысокого молниеотвода, 2)
невидимые линии
Международный стандарт МЭК 62305 [32]. В этом стандарте граница зоны
защиты в явном виде не задана, ее надо рассчитать по методу катящейся сферы
(МКС). У этого метода есть простая геометрическая интерпретация. Мысленно
прокатим сферу радиуса D
сначала по земле, затем по вершинам молниеотводов, снова по земле (рисунок
3.9).
Рисунок 3.9 - Построение зоны захвата (1,2) и зоны защиты (3) двойного
молниеотвода высотой 15 и 25 м, расстоянием между молниеотводами 35 м при
дистанции поражения D=20 м
Зона захвата молниеотводов - это совокупность центров катящейся сферы по
пути А-1-В-2-С (рисунок 3.9). Зона защиты - кривая 3, полученная как сопряжение
элементов сфер с центрами в точках А, В, С (рисунок 3.9).
Все существующие алгоритмы реализации МКС основаны на нахождении
координат этих точек А, В, С, что сводится к решению систем нелинейных
уравнений. Для систем с множественными молниеотводами это слишком трудоемко
[103, 104].
В работе разработан иной алгоритм, отличающийся простотой и быстродействием.
Для его реализации на горизонтальной плоскости вводится сетка узлов (xi j, yi j) i=1..N, j=1..M, где
N, M - число узлов с шагом h. Для всех узлов определению подлежат аппликаты зоны захвата
и зоны защиты.
Зона захвата. Для каждого молниеотвода построим верхнюю полусферу с
центром в вершине каждого молниеотвода. Если высота молниеотвода меньше радиуса
сферы (левый молниеотвод на рисунке 3.9), то точки сферы, расположенные ниже
горизонтальной плоскости z=D, отбрасываются (из этих точек молния
бьет в землю). Если высота молниеотвода больше радиуса сферы (правый
молниеотвод), то крайние точки сферы дополняются вертикальными линиями до
уровня z=D (рисунок 3.9).
Объединим зоны захвата. Если узлу с координатами (x, y) соответствует две (и более) точки зоны захвата, то
выбирается верхняя точка (с большей координатой z). Отброшенные линии на рисунке 3.9 изображены пунктирной
линией. Таким образом, зона захвата А-1-В-2-С построена, где точки А, В, С -
это крайние точки зоны захвата или точки локального минимума.
Зона защиты. Строим зону защиты как сопряжение сфер радиусом D с центрами в точках А, В, С. Узел с
заданными координатами (x, y) принадлежит сфере с центром в точке
А при аппликате
,
где (xА, yА, zА) -
координаты точки A. Аналогично
проводятся расчеты точек сферы с центрами В и С.
Объекты, находящиеся к точкам А, В, С ближе, чем молниеотводы находятся
вне зоны защиты и маркируются красным цветом. Точно также маркируются и участки
зоны захвата, откуда возможен удар молнии (рисунок 3.10).
Разработанный алгоритм позволяет строить зону захвата и зону защиты
молниеотводов просто и быстро. Требуемая точность построения достигается
уменьшением шага сетки. При характерных размерах объекта 100х100 м, шаге 1 м, число узлов немногим более 10000. Время счета и построения
поверхностей в AutoCAD составляет
секунды.
Рисунок 3.10 - Зона защиты и зона захвата молниеотвода высотой 30 м по
МКС с дистанцией поражения D=30
м; незащищенные элементы объекта (1) и часть зоны захвата (2), откуда
происходит разряд молнии, выделены цветом
При сопоставлении алгоритмов построения зон защиты по российским
стандартам молниезащиты и стандарту МЭК 62305 отметим, что для первых зона
защиты изображается каркасом из контуров горизонтальных сечений (поскольку
размеры их заданы), а во втором случае каркас образован сетками (рисунок 3.10).
В разработанной программе допускается горизонтальное и вертикальное сечение
сетки зоны защиты так, что полученный результат может быть представлен
аналогично рисунку 3.5.
Разработанный подход к визуализации зоны захвата и зоны защиты применим и
для более сложных методов молниезащиты [71, 73].
Выводы по
главе 3
1. Компьютерные программы для научных исследований со сложными
геометрическими моделями и задач проектирования целесообразно интегрировать с
САПР, что определяет архитектуру программы - CAD приложение.
. Рассмотрены три технологии обмена данными и управления AutoCAD. DXF-обмен данными с САПР,
технологии COM и низкоуровневые ObjectARX API и .NET API технологии. В рамках
работы разработаны версия программы на основе технологии COM, производительность которой была
существенно повышена с использованием dxfфайлов в качестве буфера обмена. Вторая версия программы разработана на
основе ObjectARX- технологии. Достоинства последней проявляются при решении
сложных задач.
. Разработаны средства визуализации и анимации 2D и 3D научной графики с использованием простейших геометрических
примитивов (линия, полилиния) в AutoCAD.
Это позволило выполнить все этапы геометрического моделирования средствами AutoCAD, что дает существенные преимущества AutoCAD- приложению по сравнению с
программами с собственными геометрическими процессорами.
4.
Моделирование грозовых перенапряжений на электрической подстанции при ударе
молнии в воздушную линию
При разработке раздела ЭМС при проектировании электрических подстанций,
согласно стандарту ФСК ЭЭС [47], наибольшее внимание обращено защите от
первичных и вторичных проявлений молнии. Наиболее сложной задачей здесь
является расчет переходных волновых процессов при ударе молнии в ВЛ.
Геометрическая модель ПС 150/10 кВ с подключенной ВЛ включает в себя
(рисунок 4.1): электрооборудование ПС, здание ОПУ, совмещенное с ЗРУ, порталы,
вторичные кабели для подключения измерительных трансформаторов с
микропроцессорными устройствами в ОПУ и ЗРУ, систему молниезащиты (рисунок
4.2), заземляющее устройство (ЗУ). ЗУ включает выносной заземлитель,
позволяющий снизить сопротивление ЗУ в грунте с низкой проводимостью. В
расчетную модель входит ВЛ, включающая опоры с ЗУ, провода и грозозащитный
трос.
Рисунок 4.1 - Расчетная модель ПС и ВЛ
При расчете грозовых перенапряжений оборудование ПС (рисунок 4.18)
моделируется входными емкостями согласно РД-99 [42, Таблица П30].
Рисунок 4.18 - Расчетная модель электрооборудования одной секции ПС: 1-
силовой трансформатор (моделируется емкостью C=2000 пФ), 2- трансформатор тока (C=150 пФ), 3- трансформатор напряжения (C=300 пФ), 4- разъединители (C=100 пФ), 5- выключатели (C=150 пФ), 6- емкости ОПН (C=80 пФ), 7- ОПНп-150/680/110-10IIIУХЛ1
Вольт-секундная характеристика (ВСХ) гирлянды изоляторов (при расчете
обратных перекрытий) принята согласно РД-99 [42]
,
где l- длина разрядного пути по гирлянде изоляторов. При напряжении 150
кВ длина l=1.3 м [42]. Гирлянда моделируется стержнем длиной l, который
работает в режиме ключа. Вначале его проводимость нулевая. В момент времени t, когда напряжение на стержне
превысит Uразр(t), стержень становится идеальным проводником (в программе -
медным проводником). Таким образом, моделируется обратное перекрытие изоляции,
далее волна перенапряжения распространяется по проводу.
Удар молнии в опору ВЛ вблизи ПС (точка удара отмечена на рисунке 4.1). В
этом случае происходит обратное перекрытие гирлянды изоляторов опоры и волна
перенапряжения, распространяясь по фазному проводу, далее по шинам ПС,
воздействует на изоляцию высоковольтного оборудования ПС.
Рассмотрим напряжение на силовом трансформаторе без установки ОПН. В
первый момент времени емкость, которая моделирует трансформатор, разряжена,
поэтому напряжение равно нулю, коэффициент отражения q=-1. Емкость быстро заряжается, ее сопротивление резко
возрастает и коэффициент отражения близок к q=1. В результате возникает отраженная волна с быстро
изменяющимся фронтом. Эта волна, возвращаясь к пораженной опоре, повторно
отражается с изменением знака и вновь набегает на ПС. В результате процесс
отражения волны носит колебательный характер. Активное сопротивление проводов и
шин мало, поэтому переходной процесс затухает медленно (рисунок 4.19).
Амплитуда напряжения на силовом и измерительном трансформаторе существенно
превышает допустимое значение -550 кВ для сети 150 кВ согласно РД-99 [42].
Для защиты от волн грозовых перенапряжений используются ОПН. ОПН-1
установлен в начале ячейки (у портала), ОПН-2 вблизи силового трансформатора.
Пусть установлен только ОПН-1. Амплитуда колебаний заметно снижается как на
силовом, так и на измерительном трансформаторе, но все еще превышает норму.
Частота колебаний возрастает, поскольку отражение происходит не от опоры с
перекрытой изоляцией, а от ОПН-2, который находится ближе к силовому
трансформатору.
Пусть установлен только ОПН-2. Этот вариант более эффективен, поскольку
амплитуда колебаний снижается больше, чем в предыдущем случае. Когда включены
оба ОПН, перенапряжение ограничено еще в большей степени, а колебания
практически исчезают (рисунок 4.19).

Рисунок 4.19 - Напряжение а) на силовом трансформаторе, б) на
измерительном трансформаторе тока при первом ударе молнии в опору ВЛ (показана
на рисунке 4.1): 1- при отсутствии ОПН, 2- включен ОПН-1, 3- включен ОПН-2,
включены ОПН-1 и ОПН-2
Результаты моделирования подтверждают известные выводы. Для схемы с одним
ОПН в ячейке, его следует устанавливать вблизи силового трансформатора.
Надежность защиты электрооборудования можно повысить установкой второго ОПН на
ОРУ (ОПН-1) [13].
Проанализируем составляющие напряжения силового трансформатора. Оно
складывается из остающегося напряжения ОПН-2 и напряжения на ЗУ (рисунок 4.20).
В грунте с низкой проводимостью напряжение ЗУ значительно, поэтому упрощение
модели ЗУ - замена активным сопротивлением, как это делается при использовании
программы EMTP, ведет к погрешностям.
Грозозащита ПС должна рассчитываться с обязательным учетом первых и
последующих импульсов многократного разряда молнии [42, Раздел 6.2]. Поэтому
решим задачу при ударе в опору ВЛ молнии с током 25 кА, длительностью 0.25/100
мкс. Установлено, что при этом токе не происходит обратного перекрытия
изоляции, поэтому перенапряжений на электрооборудовании не возникает.
Рисунок 4.20 - Потенциалы ОПН-2: 1- верхней точки (шины и силового
трансформатора), 2- нижней точки (ЗУ), 3- разность потенциалов (напряжение на
ОПН-2)
Выполненные расчеты позволяют проектировщику выбрать ограничители
перенапряжений и сделать вывод о надежности защиты от набегающих волн грозового
перенапряжения.
Заключение
Разработана компьютерная программа для расчета молниезащиты, заземления,
ЭМС электрических подстанций и аналогичных объектов, отличающаяся
функциональностью, быстродействием, интеграцией с CAD. По набору численных
методов расчета переходных электромагнитных процессов программа не имеет
аналогов. Метод Влаха имеет преимущество перед ЧМ и МДС в большинстве задач
данной работы. Искусственное продолжение импульса в ЧМ (по П.Н. Матханову)
улучшает спектр импульса. Для расчета волновых процессов в цепных схемах
продолжение импульса должно исключать постоянную составляющую. МДС с формулой
трапеций может приводить к осцилляции решения или усилению колебаний.
Необходимо использовать более мелкое дробление проводников и уменьшать шаг
интегрирования, чем в методе Влаха. Использование Intel MKL и разработка
эффективных численных алгоритмов на два порядка повысили производительность
вычислений по сравнению с российскими аналогами. Современные технологии
интеграции с AutoCAD, автоматизация построения регулярных сеток, создание базы
конструкций делает разработку сложных 3D моделей и геометрическое моделирование
удобным для проектировщика. Созданные в AutoCAD средства 2D, 3D- научной графики
обеспечивают визуализацию результатов расчета, включая анимацию динамических
процессов. Для построения зон защиты молниеотводов использованы все российские
нормативы и стандарт МЭК 62305.
Моделирование удара молнии на ПС начинается с выбора системы молниеотводов,
далее решаются задачи ЭМС и защиты от грозовых перенапряжений. При ударе молнии
в опору или трос ВЛ возможно перекрытие изоляции и волна перенапряжения
набегает на ПС. Установка ОПН - основной способ защиты. Моделирование волновых
процессов в проводниках в воздухе должно проводиться совместно с процессами
растекания тока в земле. Теория заземления является методической основой для
решения всего комплекса задач.
Основные положения работы докладывались (автором лично) и обсуждались на
международных и российских конференциях, в том числе на 4 и 5 Росс. конф. по
молниезащите (Санкт-Петербург 2014, 2016 гг), Межд. конф. «Компьютерное
моделирование» (Санкт-Петербург 2013 г), Межд. конф. «Разработка ПО, SECR-2013»
(Москва), XII Всеросс. совещание по проблемам управления (Москва 2014), 2 и 3
Всеросс. НТК «Техно - ЭМС» (Москва 2015, 2016 гг), 9 Всеросс. форуме студентов,
аспирантов и молодых ученых «Наука и инновации в техн. университетах»
(Санкт-Петербург 2015 г), III Межд. НТК «Перспективное развитие науки, техники
и технологий» (Курс 2013 г), 7 и 8 Межд. НТК «ИНФОС» (Вологда 2013, 2015 гг),
Всеросс. НТК «Вузовская наука региону» (Вологда 2014 г), Межд. конф. студентов
и аспирантов «Молодые иследователи - региону» (Вологда 2011-2014 гг), науч.
сессии студентов и аспирантов (Вологда, 2012-2014 г), Всерос. конкурс
компьютер. программ (Вологда 2011), EMC 2015 (Dresden, Germany), а также
научных семинарах кафедры ТОЭ СПбПУ Петра Великого, ТОЭ ЛЭТИ, 23 Гос. морского
проектного института, ООО «Стример».
Основные научные и практические результаты работы опубликованы в 30
печатных работах, в том числе 3 в изданиях, рекомендованных ВАК, и одном
Свидетельстве о регистрации компьютерной программы.
Результаты данной работы внедрены в практику проектирования ОАО
«Ленгидропроект», ООО «Интерэнерго» Москва, ООО «ЭМС-проект» СПб, ООО
«Квадроэлектро» СПб. Результаты работы поддержаны грантами: №11435р/17212
(конкурс УМНИК 2013 г.), №12520р/23918 (конкурс СТАРТ-1 2014 г.),
№1381ГС2/23918 (конкурс СТАРТ-2 2015 г.) Фонда содействия развитию малых форм
предприятий в научно-технической сфере.
Список
литературы
1. Актуальные
проблемы защиты высоковольтного оборудования подстанций от грозовых волн,
набегающих с воздушных линий / Б.В. Ефимов, Ф.Х. Халилов, А.Н. Новикова, Н.И.
Гумерова, Ю.М. Невретдинов // Труды Кольского научного центра РАН. - 2012. - №
8. - С.7-25.
. Александров,
Г.Н. Молния и молниезащита / Г.Н. Александров. - Санкт-Петербург.: Изд-во
Политехн. ун-та, 2007. - 280 с.
. Бессонов,
Л.А. Теоретические основы электротехники. Электромагнитное поле / Л.А.
Бессонов. - М. : Высш. шк., 1986. - 263 c.
. Бургсдорф,
В.В. Заземляющие устройства электроустановок / В.В. Бургсдорф, А.И. Якобс. -
М.: Энергоатомиздат, 1987. - 400 с.
. Бычков,
Ю.А. Основы теории электрических цепей: Учебник для вузов / Ю.А. Бычков, В.М.
Золотницкий, Э.П. Чернышев. - СПб.: Изд. Лань, 2004. - 464 c.
. Вербжицкий,
В.М. Основы численных методов / В.М. Вербжицкий. - М.: Высш.шк., 2002. - 840 с.
. Влах,
И. Машинные методы анализа и проектирования электронных схем / И. Влах, К.
Сингхал. - М.: Радио и связь, 1988. - 560 c.
. ВСП
22-02-07/МО РФ. Нормы по проектированию, устройству и эксплуатации молниезащиты
объектов военной инфраструктуры - Москва, 2007. - 168 с.
. Входные
цепи устройств РЗА. Проблемы защиты от мощных импульсных перенапряжений / М.
Кузнецов, Д. Кунгуров, М. Матвеев, В. Тарасов // Новости электротехники. №6(42)
2006. [Электронный ресурс]. URL: http://www.news.elteh.ru/arh/2006/42/10_.php
(дата обращения: 15.04.2017).
. Вэнс,
Э.Ф. Влияние электромагнитных полей на экранированные кабели: Пер. с англ. /
Э.Ф. Вэнс. - М.: Радио и связь, 1982. - 120 с.
. Гумерова,
Н.И. Численные методы анализа переходных процессов в электроэнергетике: учебное
пособие / Н. И. Гумерова, Б. В. Ефимов. - СПб.: Изд-во Политехн. ун-та, 2008. -
156 с.
. Гумерова,
Н.И. Оптимизация схем замещения линий и подстанций для задач анализа
показателей надежности грозозащиты подстанций / Н.И. Гумерова, Б.В. Ефимов,
В.Н. Селиванов // IV Межд. конф. по молниезащите, СПб. - 2014. - С.171-182.
. Гумерова,
Н.И. Уточнение рекомендаций по защите высоковольтного оборудования подстанций
от грозовых волн / Н.И. Гумерова, Б.В. Ефимов, М.В. Малочка // Труды Кольского
научного центра РАН. - 2014. - № 3 (22). - С.5-10.
. Делянов,
А.Г. Расчет поля в многослойной земле методом оптической аналогии / А.Г.
Делянов, А.Б. Ослон // Известия академии наук СССР. Энергетика и транспорт.
1984. № 2. C. 146-153.
. Демирчян,
К.С. Теоретические основы электротехники. Учебник для вузов. 5-е изд. Том 2 /
К.С. Демирчян, Л.Р. Нейман, Н.В. Коровкин. - Санкт-Петербург: Питер, 2009. -
432 c.
. Зависимость
уровня перенапряжений ОПН разных классов напряжения от параметров заземляющих
устройств. Эксперимент и моделирование / Ю.Э. Адамьян, Ю.Н. Бочаров, С.И.
Кривошеев, И.С. Колодкин, Н.В. Коровкин и др. // Труды Кольского научного
центра РАН. - 2016. - № 5-13 (39). - С.29-38.
. Заземляющие
устройства электроустановок (требования нормативных документов, расчет,
проектирование, конструкции, сооружение): справочник / Р.К. Борисов и др. - М.:
Издательский дом МЭИ, 2013. - 360 c.
. Зубов,
К.Н. Метод расчета заземляющих устройств произвольной конфигурации в
неоднородных грунтах /К.Н. Зубов, А.Е. Немировский //
Вести высших учебных заведений черноземья. - 2010. - № 2. - С.21-26.
. Калантаров,
П.Л. Расчет индуктивностей: Справочная книга / П.Л.Калантаров, Л.А.Цейтлин. -
Л.: Энергоатомиздат, 1986. - 488 с.
. Колечицкий,
Е.С. Основы расчета заземляющих устройств: учебное пособие / Е.С. Колечицкий. -
М.: Изд. МЭИ, 2001. - 48 с.
. Колиушко,
Д.Г. Электрофизические характеристики грунта в местах расположения
энергообъектов Украины / Д.Г. Колиушко, С.С. Руденко, Г.М. Колиушко //
Електротехніка і Електромеханіка. - 2015. - №3. - С.67-72.
. Коровкин,
Н.В. Расчетные методы в теории заземления. Научно-технические ведомости СПбГПУ
/ Н.В. Коровкин, С.Л. Шишигин // Изд-во СПбГПУ. Вып.1(166). - 2013. - С.74-79.
. Коструба,
С.И. Измерение электрических параметров земли и заземляющих устройств / С.И.
Коструба. - М.: Энергоатомиздат, 1983. - 168 с.
. Косяков,
А.А. Методика проектирования электромагнитной совместимости на электрических
подстанциях / Косяков А.А. // Вестник Уральского государственного университета
путей сообщения. - 2011. - №1(9). - С.33-39.
. Куклин,
Д.В. Применение метода конечных разностей во временной области для расчета
волновых процессов в протяженных подземных проводниках // Труды Кольского
научного центра РАН. Энергетика, выпуск 2. - 2011. - С.100-106.
. Куклин,
Д.В. Программное обеспечение для расчета волновых процессов в заземлителях и
заземленных объектах / Д.В. Куклин, В.Н. Селиванов // Вестник Мурманского
государственного технического университета. - 2015. - № 1. Т. 18. - С.137-142.
. Куприенко,
В.М. Метод расчета зоны защиты стержневых и тросовых молниеотводов с
использованием угла защиты α / В.М. Куприенко // Электричество. -
2013. - №5. - С. 14-19.
. Лосев,
А.К. Теория линейных электрических цепей: Учеб. Для вузов / А.К. Лосев. - М.:
Высш. шк., 1987. - 512 с.
. Макконнелл,
С. Совершенный код: практическое руководство по разработке программного
обеспечения: пер. с англ. / С. Макконнелл. - М.: Русская редакция, 2014. - 896
с.
. Матханов,
П.Н. Основы анализа электрических цепей: Линейные цепи: Учеб. для вузов / П.Н.
Матханов. - 2-е изд., перераб. и доп. - Москва: Высш. шк., 1981. - 333 с.
. МЭК
62305-3:2010 Защита от молнии. Часть3. Физическое повреждение структур и опасность для жизни (IEC 62305-3:2010, Protection
against lightning - Part 3: Physical damage to structures and life hazard).
33. Нестеров,
С.В. Применение интегральных уравнений для расчета заземлителя произвольной
конфигурации в неоднородном грунте / С.В. Нестеров // Вторая Российская конф.
по заземляющим устройствам. - Сб. докл., Новосибирск: Сибир.энергет.академия. -
2005. - С.51-58.
. Описание
программы «Контур». [Электронный ресурс]. URL: http://ezop.ru/download.php?file=1320152209.pdf (дата обращения: 15.04.2017).
. Оценка
экранирующих свойств зданий с металлической заземленной облицовкой / Г.А.
Березуцкий, И.А. Коротаев, А.М. Крусс, О.А. Чан Жу Тин, А.Г. Овсянников //
Третья Российская конф. по заземляющим устройствам: Сб.докл. - Новосибирск:
Сибирск.энерг.академия. - 2008. - С.65-70.
. Оценка
электромагнитной обстановки в среде ElectriCS Storm при проектировании ОРУ 220
кВ в ООО «Росэнергопроект» / Н.М. Сандлер, А.Г. Салин, С.А. Словесный, А.А.
Рунцов // CADmaster №4(71) 2013. [Электронный ресурс]. URL:
http://www.cadmaster.ru/assets/files/articles/cm_71_12.pdf (дата обращения:
15.04.2017).
. Платт,
Д.С. Знакомство с Microsoft .NET/Пер. с англ. / Д.С. Платт. - М.:
Издательско-торговый дом «Русская Редакция», 2001. - 240 с.
. Полещук,
Н.Н. AutoCAD: разработка приложений, настройка и адаптация / Н.Н. Полещук. -
СПб.: БХВ-Петербург, 2006. - 992 с.
. Полещук,
Н.Н. Программирование для AutoCAD 2013-2015 / Н.Н. Полещук. - М.: ДМК Пресс,
2015. - 462 с.
. Поссе,
А.В. Схемы и режимы электропередач постоянного тока / А.В. Поссе. - Л.:
Энергия, 1973. - 303 с.
. РД
34.21.122-87/ Инструкция по устройству молниезащиты зданий и сооружений.
/Минэнерго СССР. -Москва: Энергоатомиздат.-1989.
. РД
153-34.3-35.125-99. Руководство по защите электрических сетей 6-1150 кВ от грозовых
и внутренних перенапряжений / Под научн. ред. Н.Н. Тиходеева. - Санкт-Петербург: Изд. ПЭИПК, 1999. - 227 с.
. Роджерсон,
Д. Основы COM / Д. Роджерсон. - М.: Изд.-торг. Дом «Русская редакция», 2000. -
400 с.
. Руководство
пользователя «Model Studio CS Молниезащита». [Электронный ресурс]. URL: http://www.mscad.ru/assets/files/lightning-protection/lightning-protection-guide.pdf
(дата обращения: 15.04.2017).
. Салин,
А.Г. ООО «Петербургэнергострой»: проектирование электромагнитной совместимости
подстанций 110/10 кВ в среде ElectriCS Storm / А.Г. Салин, С.А. Словесный, Т.В.
Маринич // CADmaster №5(66) 2012. [Электронный ресурс]. URL:
http://www.cadmaster.ru/assets/files/articles/cm_66_15.pdf (дата обращения:
15.04.2017).
. СО
153-343.21.122-2003, Инструкция по устройству молниезащиты зданий, сооружений и
промышленных коммуникаций. М.: Издательство МЭИ. 2004. - 57 с.
. СТО
56947007-29.240.044-2010. Методические указания по обеспечению электромагнитной
совместимости на объектах электросетевого хозяйства. Стандарт Организации ОАО
«ФСК ЕЭС». М. 2010.
. СТО
56947007-29.130.15.114-2012. Руководящие указания по проектированию заземляющих
устройств подстанций напряжением 6-750 кВ. Стандарт Организации ОАО «ФСК ЕЭС».
М. 2012.
. СТО
56947007-29.240.01.221-2016. Руководство по защите электрических сетей
напряжением 110-750 кВ от грозовых и внутренних перенапряжений. Стандарт
Организации ПАО «ФСК ЕЭС». М. 2016.
. Хайрер,
Э. Решение обыкновенных дифференциальных уравнений. Жесткие и
дифференциально-алгебраические задачи / Э. Хайрер, Г. Ваннер. - М.: Мир, 1999.
- 685 с.
. Шапиро,
Д.Н. Электромагнитное экранирование: Научное издание / Д.Н. Шапиро. -
Долгопрудный: Издательский Дом «Интеллект», 2010. - 120 с.
. Шикин,
Е.В. Начала компьютерной графики / Е.В. Шикин, А.В. Боресков, А.А. Зайцев. -
М.: «Диалог-МИФИ», 1993. - 138 с.
. Шишигин,
Д.С. Средства визуализации и анимации трехмерной графики для
автоматизированного проектирования заземления и молниезащиты электрических
подстанций в системе AUTOCAD / Д.С. Шишигин // Молодые исследователи -
регионам. Всероссийская научная конференция Вологда: ВоГТУ. - апрель 2011. -
С.117-119.
. Шишигин,
Д.С. Средства визуализации и анимации трехмерной графики в AutoCAD-приложениях / Д.С. Шишигин //
Молодежь и высокие технологии: материалы всерос. студен. олимпиады (Всерос.
конкурс компьютер. программ), 19-21 мая 2011 г. - Вологда, 2011. - С.95-96.
. Шишигин,
Д.С. Современные технологии автоматизированного проектирования в
электроэнергетике / Д.С. Шишигин // Материалы V ежегодной научной сессии
аспирантов и молодых ученых по отраслям наук: Технические науки. Экономические
науки. - Вологда: ВоГТУ, 2011. - С.45-49.
. Шишигин,
Д.С. Расчет и визуализация электромагнитных полей электрических подстанций в
AutoCAD / Д.С. Шишигин // Молодые исследователи - регионам: материалы
всероссийской научной конференции. В 2-х т. - Вологда: ВоГТУ, 2012. - Т.1. -
С.116-118.
. Шишигин,
Д.С. Повышение быстродействия матричных операций в задачах расчета заземлителей
/ Д.С. Шишигин // Мат-лы 3-й международной научно-практической конференции
«Современные материалы, техника и технология» Курск. Юго-западный
государственный Университет. - 2013. - Т.3. - С.279-282.
. Шишигин,
Д.С. Ускорение вычислений в задачах расчета заземлителей. Материалы 7 ежегодной
сессии аспирантов и молодых ученых / Д.С. Шишигин // Вологда: ВоГУ. - 2013. -
С. 87-90.
. Шишигин,
Д.С. Программа расчета заземления и молниезащиты электрических подстанций в
AutoCAD и ее применение / Д.С. Шишигин // Компьютерное моделирование 2013. Мат.
межд. науч.-техн. конф. - СПб: СПБГПУ. - 2013.
. Шишигин,
Д.С. Разработка AutoCAD приложения для расчета заземления и молниезащиты
электрических подстанций / Д.С. Шишигин // Конференция «Разработка ПО 2013».
[Электронный ресурс]. URL:
http://2013.secr.ru/2013/files/045_shishigin.pdf (дата обращения: 15.04.2017).
. Шишигин,
Д.С. Программные и аппаратные средства ускорения матричных операций / Д.С.
Шишигин // Вузовская наука - региону: Мат-лы всерос. науч.техн. конф. Вологда:
ВоГУ. - 2014.
. Шишигин,
Д.С. AUTOCAD приложение для расчета молниезащиты и заземления объектов
электроэнергетики. XII Всероссийское совещание по проблемам управления / Д.С.
Шишигин // М., Институт проблем управления РАН. - 16-19 июня 2014, С.9374-9380.
. Шишигин,
Д.С. AUTOCAD приложение для расчета молниезащиты и заземления объектов
электроэнергетики / Д.С. Шишигин // Автоматизация в промышленности. - 2014. - №
9. - C.28- 32.
. Шишигин,
Д.С. Программное обеспечение для задач молниезащиты, заземления / Д.С. Шишигин
// ЭМС Труды II Всероссийской НТК «Техно-ЭМС 2015». М.: Грифон. - 2015. -
С.32-34.
. Шишигин,
Д.С. К выбору технологии интеграции прикладного программного обеспечения с САПР
/ Д.С. Шишигин // Труды СПИИРАН. - 2016. - №4(47). - С. 211-224.
. Шишигин,
Д.С. Моделирование волновых процессов в линиях при ударах молнии / Д.С.
Шишигин, С.Л. Шишигин // 5 Российская конф. по молниезащите: Сб. мат-лов конф.
- СПб. - 2016. - С.358-362.
. Шишигин,
Д.С. Моделирование переходных процессов в линиях при ударе молнии / Д.С.
Шишигин, С.Л. Шишигин // Труды III Всероссийской НТК «Техно-ЭМС 2016». М.:
Грифон. - 2016. - С.40-42.
. Шишигин,
С.Л. Математические модели и методы расчета заземляющих устройств / С.Л.
Шишигин // Электричество. - 2010. - №1. - C.16-23.
. Шишигин,
С.Л. Расчет заземлителей: учеб. пособие / С.Л. Шишигин. - Вологда: ВоГТУ, 2012.
- 119 с.
. Шишигин,
С.Л. Математические модели и методы в задачах заземления и ЭМС / С.Л. Шишигин,
В.Е. Мещеряков, Д.С. Шишигин // 4 Межд. конф. по молниезащите: Сб.мат-лов
конф., СПб. - 2014. - С.128-135.
. Шишигин,
С.Л. Расчет зон защиты стержневых молниеотводов методом наведенного заряда /
С.Л. Шишигин, В.Е. Мещеряков, Д.С. Шишигин // Электричество. - 2015. - №8. -
С.4-9.
. Шишигин,
С.Л. Расчет кондуктивных помех и нагрева экрана контрольного кабеля / С.Л.
Шишигин, А.В. Черепанов, Д.С. Шишигин // 5 Российская конф. по молниезащите:
Сб. мат-лов конф., СПб. - 2016. - С.367-372.
. Шишигин,
С.Л. Расчет площади стягивания молнии методом наведенного заряда / С.Л.
Шишигин, В.Е. Мещеряков, Д.С. Шишигин // Электричество. - 2016. - №6. -
C.10-15.
. Шишигин
С.Л., Шишигин Д.С. Компьютерная программа ZYM. Свидетельство о государственной
регистрации программы для ЭВМ №2013613343. Заявка №2013611255. Дата поступления
14 февраля 2013 г. Зарегистрирована в Реестре программ для ЭВМ. 02 апреля 2013.
. Шлее,
М. Qt 5.3. Профессиональное программирование на C++ / М. Шлее. - СПб.:
БХВ-Петербург, 2015. - 928 с.
. Штейнберг,
Б.Я. Блочно-рекурсивное параллельное перемножение матриц / Б.Я. Штейнберг //
Известия высших учебных заведений. Приборостроение. - 2009. - Т.52. - №.10. - С.33-41.
. Экранирующие
кабельные конструкции. Средство экономичного решения проблем ЭМС / М. Матвеев,
М. Кузнецов, В. Березовский, И. Косарев // Новости электротехники. 2013.
№1(79). [Электронный ресурс]. URL: http://www.news.elteh.ru/arh/2013/79/09.php
(дата обращения: 15.04.2017).
. Электромагнитная
совместимость в электроэнергетике и электротехнике / А.Ф. Дьяков, Б.К.
Максимов, Р.К. Борисов и др.; под ред. А.Ф. Дьякова.
- М.: Энергоатомиздат, 2003. - 768 с.
. Электромагнитная
совместимость в электроэнергетике и электротехнике / А.Ф. Дьяков, И.П. Кужекин,
Б.К. Максимов, А.Г. Темников; под ред. А.Ф. Дьякова. - Москва: Изд. дом МЭИ,
2009. - 455 с.
80. ALGLIB
Reference Manual. [Электронный ресурс]. URL:
http://www.alglib.net/translator/man/ (дата обращения: 15.04.2017).
81. Alvarado,
F.L. Testing of trapezoidal integration with damping for the solution of power
transient problems / F.L. Alvarado, R.H. Lasseter, J.J. Sanchez // IEEE Trans.
on Power Apparatus and Systems. - Vol. PAS-102, No. 12. - December 1983. -
P.3783-3790.
. Aniserowicz,
K. Comparison of Lightning-Induced Current Simulations in the Time and
Frequency Domains Using Different Computer Codes / K. Aniserowicz, T.
Maksimowicz // IEEE Transactions on Electromagnetic Compatibility. - 2011. -
Volume: 53, Issue: 2. - P.446 - 461.
. Brzeziński,
D.W. Numerical calculations accuracy comparison of the Inverse Laplace
Transform algorithms for solutions of fractional order differential equation /
D.W. Brzeziński, P. Ostalczyk //Nonlinear Dynamics. - 2016. - Vol. 84. - №.1. - P.65-77.
. Developer
Reference for Intel Math Kernel Library 2017 - C. [Электронный ресурс]. URL:
https://software.intel.com/sites/default/files/managed/5e/1b/mkl-2017-developer-reference-c.pdf (дата обращения:
15.04.2017).
85. Dommel,
H.W. Digital Computer Solution of Electromagnetic Transients in Single-and
Multiphase Networks / H.W. Dommel // IEEE Transactions on Power Apparatus and
Systems. - 1969. - Volume: PAS-88, Issue: 4. - P.388-399.
. Du,
Y. Lightning-induced magnetic fields in a building with large metallic plates /
Y. Du, M. Chen, Q. Zhou // Atmospheric Research. - 2009. - Т. 91. - №. 2. - С. 574-581.
. Du,
Y. Influence of Building Structures on the Lightning Return Stroke Current / Y.
Du, M. L. Chen // IEEE Transactions on Power Delivery. - 2010. - Volume: 25,
Issue: 1. - P.307-315.
. Electromagnetic
Shielding Analysis of Buildings Under Power Lines Hit by Lightning / S. Ladan,
A. Aghabarati, R. Moini, S. Fortin, F.P. Dawalibi // 33rd International
Conference on Lightning Protection. - 2016. - P.1-5. Экраны, ЧМ
. EMTP
Theory book. Bonneville Power Administration, Branch of System Engineering.
Portland, Oregon 97208-3621, USA. - 1998. - 483 p.
. Evaluation
of Lightning-Induced Voltages Over a Lossy Ground by the Hybrid Electromagnetic
Model / H. Fernando, Silveira, S. Visacro, J. Herrera, H. Torres // IEEE
Transactions on Electromagnetic Compatibility. - Vol. 51, No.1, - February
2009. - P.156-160.
. Fortin,
S. Analysis of Grounding Systems in Horizontal Multilayer Soils Containing
Finite Heterogeneities / S. Fortin, N. Mitskevitch, F.D. Dawalibi // IEEE
Transactions on Industry Applications. - 2015. - Volume: 51, Issue: 6. -
P.5095-5100.
. Gibson,
W.C. The method of moments in electromagnetics / W.C. Gibson. - London, UK:
Chapman & Hall/CRC, 2008. - Vol. 1. - 272 p.
. Grounding
and shielding in EMC problems of electric power substations / N.V. Korovkin,
S.L. Shishigin, D.S. Shishigin, O.V. Frolov // Proc. of the 2013 International
Symposium on Electromagnetic Compatibility (EMC Europe 2013), Brugge, Belgium.
- September 2-6, 2013. - P.863-866.
. Guiffaut,
C. New oblique thin wire formalism in the FDTD method with multiwire junctions
/ C. Guiffaut, A. Reineix, B. Pecqueux // IEEE Transactions on Antennas and
Propagation. - 2012. - Vol. 60, Issue: 3. - P.1458-1466.
. Heydari,
H. Impact of Switching-Induced Electromagnetic Interference on Low-Voltage
Cables in Substations / H. Heydari, V. Abbasi, F. Faghihi // IEEE Transactions
on Electromagnetic Compatibility. - Vol. 51, No. 4. - November 2009. -
P.937-944.
. HOU,
X. Automatic design of transmission lines using ObjectARX technology / X. HOU,
X. LU // International Conference on Control Engineering and Communication
Technology. - 2012. - P.581-585.
. Kramer,
B. ObjectARX Primer / B. Kramer. - USA, Autodesk Press, 2000. - 166 p.
. Lightning
transient performance analysis of substation based on complete transmission
line model of power network and grounding systems / Z. Rong, K. Peng, H.
Jinliang, Z. Bo, C. Shuiming, Z. Jun // IEEE Transactions on Magnetics. - 2006.
- Volume: 42, Issue: 4. - P.875-878.
. Maksimowicz,
T. Investigation of Models of Grid-Like Shields Subjected to Lightning
Electromagnetic Field: Experiments in the Frequency Domain / T. Maksimowicz, K.
Aniserowicz // IEEE Transactions on Electromagnetic Compatibility. - 2012. -
Volume: 54, Issue: 4. - P.826-836.
. McAuley,
C. Programming AutoCAD 2000 Using ObjectARX / C. McAuley. - USA, Autodesk
Press, 2000. - 678 p.
. Numerical
Analysis of the Influence Between Large Grounding Grids and Two-End Grounded
Cables by the Moment Method Coupled With Circuit Equations / B. Zhang, X. Cui,
Z. Zhao, J. He, L. Li // IEEE Transactions On Power Delivery. - Vol. 20, No. 2.
- April 2005. - P.731-737.
. Shielding
design study for a large plant using a 3-D graphics-based lightning
interception surface rendering and intersection method / S. Baron, R. Southey,
Q. Xie, S. Fortin, F.P. Dawalibi // International Conference on Lightning
Protection (ICLP). - 2012. - P.1-5.
. Shielding
failure evaluation by collection surface / Q. Xie, S. Baron, S. Fortin, S.
Lefebvre, F.P. Dawalibi // International Conference on Lightning Protection
(ICLP). - 2014. - P.1336-1339.
. Shishigin,
D.S. AutoCAD application for LPS, grounding and EMC problems / D.S. Shishigin,
S.L. Shishigin, N.V. Korovkin // EMC 2015 Joint IEEE International Symposium on
Electromagnetic Compatibility and EMC Europe. - Dresden, Germany, 2015. -
P.834-838.
. Taflove,
A. Computational electrodynamics: the finite-difference time-domain method.
Third edition / A. Taflove, S.C. Hagness. - Artech House, 2005. - 1006 p.
. Tatematsu,
A. Technique for Calculating Voltages Induced on Twisted-Wire Pairs Using the
FDTD Method / A. Tatematsu, F. Rachid, M.A. Rubinstein // IEEE Transactions on
Electromagnetic Compatibility. - Vol. 59, No. 1. - February 2017. - P.301-304.
. Transient
Analysis of Soil Resistivity Influence on Lightning Generated Magnetic Field /
F. Grange, S. Journet, S. Fortin, F.P. Dawalibi // International Symposium on
Lightning Protection (XII SIPDA). - Belo Horizonte, Brazil, October 7-11, 2013.
- P.192-196.
. Transient
Voltages in Transmission Lines Caused by Direct
Lightning Strikes / A. Soares, M. Aurélio, O. Schroeder, S. Visacro //
IEEE Transactions On Power Delivery. - Vol. 20, No. 2. - April 2005. -
P.1447-1452.
110. Visacro,
S. HEM: A Model for Simulation of Lightning-Related Engineering Problems / S.
Visacro, A. Soares // IEEE Transactions On Power Delivery. - Vol. 20, No. 2. -
April 2005. - P.1206-1208.
. Yang,
J. The study and realization of automatic mesh generation based on
electromagnetic simulation of FDTD / J. Yang, D. Su, X. Zhao // 3rd IEEE
International Symposium on Microwave, Antenna, Propagation and EMC Technologies
for Wireless Communications. - 2009. - P.1242-1245