Расчет технических параметров локомотива
РОСЖЕЛДОР
Федеральное государственное бюджетное образовательное учреждение высшего
образования
«Ростовский
государственный университете путей сообщения»
Кафедра
«Локомотивы и локомотивное хозяйство»
КУРСОВАЯ
РАБОТА
ПО
ДИСЦИПЛИНЕ
«Подвижной
состав железных дорог»
Расчет
технических параметров локомотива
Содержание
Введение
.
Развеска тепловоза
.
Составление кинематической схемы привода вспомогательных агрегатов и
определение затрат мощности на их привод
.1
Расчет мощности на привод вентилятора холодильника
.2
Расчет мощности на привод вентилятора централизованного охлаждения
электрических машин
.3
Расчет мощности на привод тормозного компрессора
.4
Расчет расхода мощности на привод агрегатов от стартер-генератора
.5
Расчет потери мощности на возбуждение тягового генератора, приведённые к фланцу
коленчатого вала
.
Схема колесно-моторного блока локомотива-образца и определение передаточного
отношения тягового редуктора
.
Построение тяговой характеристики локомотива и определение его КПД
.
Определение количества водяных секций холодильника тепловоза
.
Ответ на дополнительный вопрос «Система воздухоснабжения тепловоза ТЭМ7А»
Заключение
Список
литературы
Введение
Локомотив (от лат.
<https://ru.wikipedia.org/wiki/%D0%9B%D0%B0%D1%82%D0%B8%D0%BD%D1%81%D0%BA%D0%B8%D0%B9_%D1%8F%D0%B7%D1%8B%D0%BA>
loco «с места»
(аблатив
<https://ru.wikipedia.org/wiki/%D0%90%D0%B1%D0%BB%D0%B0%D1%82%D0%B8%D0%B2>
лат.
<https://ru.wikipedia.org/wiki/%D0%9B%D0%B0%D1%82%D0%B8%D0%BD%D1%81%D0%BA%D0%B8%D0%B9_%D1%8F%D0%B7%D1%8B%D0%BA>
locus «место») +
лат.
<https://ru.wikipedia.org/wiki/%D0%9B%D0%B0%D1%82%D0%B8%D0%BD%D1%81%D0%BA%D0%B8%D0%B9_%D1%8F%D0%B7%D1%8B%D0%BA>
motivus,
«сдвигающий») - самоходный рельсовый экипаж, предназначенный для тяги
несамоходных вагонов
<https://ru.wikipedia.org/wiki/%D0%92%D0%B0%D0%B3%D0%BE%D0%BD>.Маневровый
локомотив - локомотив
<https://ru.wikipedia.org/wiki/%D0%9B%D0%BE%D0%BA%D0%BE%D0%BC%D0%BE%D1%82%D0%B8%D0%B2>,
предназначенный для маневровых работ
<https://ru.wikipedia.org/wiki/%D0%9C%D0%B0%D0%BD%D0%B5%D0%B2%D1%80%D0%BE%D0%B2%D0%B0%D1%8F_%D1%80%D0%B0%D0%B1%D0%BE%D1%82%D0%B0>
на станциях <https://ru.wikipedia.org/wiki/%D0%96%D0%B5%D0%BB%D0%B5%D0%B7%D0%BD%D0%BE%D0%B4%D0%BE%D1%80%D0%BE%D0%B6%D0%BD%D0%B0%D1%8F_%D1%81%D1%82%D0%B0%D0%BD%D1%86%D0%B8%D1%8F>
и подъездных путях
<https://ru.wikipedia.org/wiki/%D0%9F%D0%BE%D0%B4%D1%8A%D0%B5%D0%B7%D0%B4%D0%BD%D0%BE%D0%B9_%D0%BF%D1%83%D1%82%D1%8C>,
то есть для выполнения всех передвижений вагонов
<https://ru.wikipedia.org/wiki/%D0%92%D0%B0%D0%B3%D0%BE%D0%BD> по
станционным путям
<https://ru.wikipedia.org/wiki/%D0%A1%D1%82%D0%B0%D0%BD%D1%86%D0%B8%D0%BE%D0%BD%D0%BD%D1%8B%D0%B9_%D0%BF%D1%83%D1%82%D1%8C>,
формирования и расформирования поездов
<https://ru.wikipedia.org/wiki/%D0%9F%D0%BE%D0%B5%D0%B7%D0%B4>, подачи
вагонов к грузовым фронтам
<https://ru.wikipedia.org/wiki/%D0%93%D1%80%D1%83%D0%B7%D0%BE%D0%B2%D0%BE%D0%B9_%D1%84%D1%80%D0%BE%D0%BD%D1%82>,
на ремонтные пути, перестановки из парка в парк.
Современный маневрово-вывозной тепловоз с
электропередачей ТЭМ7А мощностью 2040 л.с. предназначен для работы на крупных
сортировочных станциях, в специфических условиях открытых горнорудных и
угольных разрезах с их временными переносными путями. Может работать по системе
двух единиц.
Дизель в составе дизель-генератора 12-26ДГ -
12ЧН26/26 четырехтактный 12-цилиндpовый с V-обpазным расположением цилиндров, с
газотуpбинным наддувом и охлаждением наддувочного воздуха (производства ОАО ХК
«Коломенский завод», г. Коломна).
Электpопеpедача пеpеменно-постоянного тока
состоит из синхронного тягового генератора, выпрямительной установки, восьми
тяговых электродвигателей постоянного тока, возбудителя и комплекта
электрической аппаратуры.
Каждая четырехосная тележка состоит из двухосных
тележек, соединенных между собой промежуточной рамой. Pессоpное подвешивание
двухступенчатое. Тормозная система оборудована автоматическим прямодействующим
тормозом с двухсторонним нажатием колодок. Для получения высокой надежности
тормозного оборудования применена система осушки воздуха. Компрессор
двухступенчатый с приводом от электродвигателя. Ручной тормоз - механический.
Для возможности работы с самоpазгpужающимися вагонами тепловоз поставляется с
двумя компpессоpными установками. Управление тепловозом может осуществляться
одним машинистом с любой стороны кабины. Место нахождения машиниста указывается
сигнализаторами, расположенными на торцах кабины. На тепловозе предусмотрена
система бдительности.
1. Развеска тепловоза
Развеску локомотива выполняют для определения
служебной массы и для размещения оборудования на тепловозе, которое должно
обеспечить заданную нагрузку от колесных пар на рельсы
Расчет моментов относительно условной оси
моментов:
где
- вес узла, групп деталей;
- плечо узла,
группа деталей;
Вращающий момент дизель-генераторной группы:
Таблица 1 - Расчет моментов узлов и агрегатов
тепловоза ТЭМ7А
|
№
|
Наименование узла (группы деталей)
|
Вес, кН
|
Плечо, м
|
Момент ,кНм
|
|
1
|
2
|
3
|
4
|
5
|
|
1
|
Дизель - генераторная группа
|
335
|
14,15
|
4740,25
|
|
2
|
Рама тепловоза с принадлежностями
|
238
|
10,5
|
2499
|
|
3
|
Шахта холодильника с оборудованием
|
45,35
|
18,3
|
823,5
|
|
4
|
Электрическое оборудование и
электрические машины
|
252
|
7,27
|
1832,04
|
|
5
|
Высоковольтная камера с
оборудованием и аккумуляторная батарея
|
43
|
251,12
|
|
6
|
Мотор-компрессор, вспомогательное
оборудование, редукторы
|
21
|
8,9
|
186,9
|
|
7
|
Инструмент, вспомогательные
устройства
|
4
|
3,5
|
14
|
|
8
|
Трубопроводы, баки, фильтры,
воздушные резервуары, подогреватели
|
44
|
9,64
|
424,16
|
|
9
|
Топливо, масло, песок, балласт
|
217
|
10,16
|
2204,72
|
|
10
|
Обслуживающий вес
|
65,6
|
9,3
|
610,08
|
|
11
|
Тележки (две)
|
290,5x2
|
|
|
|
Сумма
|
1264,6
|
|
13585,77
|
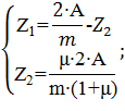
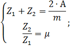
Определим положения центра тяжести от условной
оси моментов:
где
-
алгебраическая сумма моментов;
- алгебраическая
сумма веса; Чтобы нагрузки на каждую тележку были одинаковыми, центр тяжести
должен находиться по середине тепловоза:
где
-
21,5 м - длина по осям автосцепки.
Центр тяжести не совпадает с серединой
тепловоза, т.е.
.
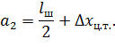
Рассчитаем эти расстояния:
где lш-
расстояние между шкворнями, lш=
10,9 м
Определяем нагрузки по тележкам:
Определяем разницу между нагрузками:
Данная разница не превышает 3%, что
допустимо.
Для расчёта рессорного подвешивания
и определения динамических качеств локомотива необходимо найти обрессоренный
вес, приходящийся на каждую тележку:
где
- обрессоренный вес тележки;
- обрессоренный вес приходящийся на
каждую тележку;
= 290,5 кН - полный вес одной
тележки;
= 4 - число колесных пар;
необрессореннный (мертвый) вес
каждой колесной пары.
Определим обресоренный вес,
приходящийся на колесную пару:
Полная нагрузка от оси колесной пары
на рельсы:

где
- число осей секции тепловоза (
.
2. Составление кинематической схемы привода
вспомогательных агрегатов и определение затрат мощности на их привод
Для определения затрат мощности на привод
вспомогательных агрегатов, используем данные таблицы 2.
локомотив тяговый охлаждение привод
Таблица 2 - Вспомогательные агрегаты тепловоза
ТЭМ7А
|
Вспомогательные механизмы и
агрегаты
|
Мощность, кВт
|
|
Вентиляторы холодильника дизеля
|
56,6
|
|
|
Вентиляторы электрических машин и
агрегатов
|
70,6
|
|
|
Тормозной компрессор
|
44,1
|
|
|
Возбудитель и вспомогательный
генератор
|
25,8
|
|
2.1 Расчет мощности на привод вентилятора
холодильника
Мощность потребляемая вентилятором при частоте
вращения
=1300
об/мин. Скольжение гидромуфты на номинальном режиме S=3%=0,03.
Номинальная частота вращения вала дизеля
об/мин.
Число зубьев конического зацепления
.
Передаточное число механического редуктора с учетом скольжения гидромуфты:
Приведенная к валу дизеля мощность на привод
вентилятора холодильника:
,
где
-
механический КПД передачи от вала дизеля к валу вентилятора;
- КПД гидромуфты;
= 0,985 - КПД
цилиндрической пары зацепления;
= 0,99 - КПД
карданного вала;
= 0,975 - КПД
конического зацепления.
Определим КПД гидромуфты:
Частота вращения насосного колеса гидромуфты:
Частота вращения турбинного колеса гидромуфты:
Тогда КПД гидромуфты равен:
Приведенная к валу дизеля мощность на привод
вентилятора:
.2 Расчет мощности на привод вентилятора
централизованного охлаждения электрических машин
При номинальном режиме вентилятор потребляет
мощность
кВт.
Приведенный к валу дизеля мощность вентилятора централизованного охлаждения,
при КПД конического зацепления
, будет равна:
.3 Расчет мощности на привод тормозного
компрессора
В качестве примера принимаем тормозной
компрессор КТ-7с параметрами:
мощность, потребляемая компрессором,
-
44,1 кВт при 1000 об/мин;
мощность на холостом ходу
-
22,8 кВт.
Привод компрессора происходи непосредственно от
коленчатого вала.
В тяговом режиме компрессор работает 25% и на
холостом ходу 75%.
.4 Расчет расхода мощности на привод агрегатов
от стартер -генератора
Расход мощности на привод агрегатов тепловоза
приведен в таблице 3.
Таблица 3 - Расход мощности на привод агрегатов
|
Агрегат
|
Мощность, кВт
|
|
Масляный насос
|
4,2
|
|
Топливоподкачивающий насос
|
0,6
|
|
Прожектор
|
1,0
|
|
Отопительно-вентиляторный агрегат
|
4,2
|
|
Цепь автоматики и управления
|
10,0
|
20,0
|
Определим мощность стартер-генератора,
приведенного к фланцу коленчатого вала:
где
= 0,84 - КПД стартер-генератора;
= 0,97 - КПД
редуктора передачи.
2.5 Расчет потери мощности на возбуждение
тягового генератора, приведённые к фланцу коленчатого вала
Потери мощности на возбуждение тягового
генератора, приведённые к фланцу коленчатого вала:
где
- мощность возбуждения тягового
генератора,
- КПД тиристора,
- КПД вспомогательного генератора,
Суммарная мощность, затрачиваемая на
вспомогательные нужды на пятнадцатой позиции контроллера машиниста при нормальных
атмосферных условиях (в тяговом режиме):
Потери мощности на вспомогательные
нужды от мощности дизеля:
Применение гидродинамического
привода вентилятора холодильника на тепловозе ТЭМ7А и других локомотивах
постройки последних лет обусловлено большим сроком службы, экономичностью и
возможностью автоматизации процесса управления, а также надежностью работы
такого типа привода.
Входной вал гидроредуктора привода
вентилятора вращается с частотой коленчатого вала дизеля. Так как для передачи
гидродинамической муфтой (гидромуфтой) необходимой мощности, потребляемой
вентилятором, требуется большая частота вращения колеса, в гидроредукторе
предусмотрена повышающая цилиндрическая зубчатая пара. Передаточное отношение
повышающей пары равно 0,511.
В связи с тем что окружная скорость
лопастей вентиляторного колеса по условиям их прочности не должна превышать 120
м/с, коническая зубчатая пара гидроредуктора выполнена понижающей. Передаточное
отношение конической пары равно 1,421. При номинальной частоте вращения
коленчатого вала дизеля 1000 об/мин и скольжении гидромуфты 2,5 % частота
вращения вентиляторного колеса составляет 1343 об/мин.
К вентиляторному колесу 4
охлаждающего устройства тепловоза вращающий момент передается от гидроредуктора
через карданный вал 2 и подпятник 3 вентилятора.
От свободного конца вала тягового
генератора через упругую муфту 12 и конический повышающий редуктор 13 вращающий
момент передается колесу 14 осевого вентилятора централизованной системы
воздушного охлаждения тяговых электрических машин. Передаточное отношение
конического редуктора равно 0,346. Таким образом, при номинальной частоте
вращения коленчатого вала дизеля 1000 об/мин вентиляторное колесо делает 2890
об/мин.
Тормозной компрессор 17 приводится
от электродвигателя постоянного тока 15 через втулочно-пальцевую муфту 16.
Электродвигатель привода компрессора питается от стартер-генератора 18 при его
работе в генераторном режиме постоянным напряжением, поддерживаемым регулятором
напряжения. Это дает возможность поддерживать частоту вращения коленчатого вала
компрессора близкой к номинальной (1450 об/мин) независимо от частоты вращения
дизеля. Такой привод в отличие от механического, используемого на отечественных
тепловозах ТЭП60, 2ТЭ10Л, ТЭМ2 и др., дает возможность получить номинальную
производительность компрессора без увеличения частоты вращения дизеля. Привод
позволяет также включать и отключать компрессор в зависимости от величины
давления воздуха в главных воздушных резервуарах.
Получение номинальной
производительности компрессора уже при минимальной частоте вращения дизеля и
отключение компрессора при достижении требуемого давления в резервуарах
повышает экономичность тепловоза.
На всех отечественных магистральных тепловозах,
на которых применены дизели типа 2Д49, вспомогательные электрические машины
(стартер-генератор и возбудитель) размещены на тяговом генераторе и получают
вращение от привода распределительного вала дизеля. На тепловозе ТЭМ7А
вспомогательные электрические машины установлены на раме тепловоза и приводятся
во вращение от вала дополнительного отбора мощности дизеля через раздаточный
редуктор.
3. Схема колесно-моторного блока
локомотива-образца и определение передаточного отношения тягового редуктора
Передача крутящего момента от ТЭД к колёсным
парам осуществляется через одноступенчатый тяговый редуктор, важнейшим
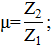
параметром которого является передаточное отношение μ:
где
=
2250об/мин - частота вращения якоря длительного режима;
= 1,05 м - диаметр
колеса;
= 100 км/ч -
конструктивная скорость маневрового локомотива.
Уточним передаточное число из условия размещения
ТЭД на колесной паре через длину централи и число зубьев
:
где m
=10 - модуль зубчатого зацепления тягового редуктора;
А= 469 мм - длина централи.
Окончательно уточним передаточное число:
4. Построение тяговой характеристики локомотива
и определение его КПД
Тяговой характеристикой локомотива называется
зависимость касательной силы тяги, создаваемой локомотивом, от скорости, т.е.
:
где
-
касательная мощность тепловоза, кВт;
- касательная сила
тяги, кН.
Реализуемая на ободе колёс касательная мощность
будет равна:
где
-
эффективная мощность дизеля, кВт;
- КПД
электрической передачи;
=
-
коэффициент, учитывающий потери мощности на привод вспомогательных агрегатов.
КПД электрической передачи для передачи
переменно-постоянного тока определяется:
где
-
КПД соответственно тягового генератора, тягового электродвигателя, тягового
редуктора, выпрямительной установки.
Для ориентировочных расчётов можно принимать:
Определив касательную мощность, построим тяговую
характеристику, задаваясь скоростями от 5 км/ч до конструкционной с интервалом
5-10 км/ч. При этом принимаем, что мощность во всем диапазоне скоростей
постоянна. Расчет тяговой характеристики сведем в таблицу 4.
Таблица 4 -Тяговая характеристика тепловоза
ТЭМ7А
|
v, км/ч
|
5
|
10
|
20
|
30
|
40
|
50
|
70
|
80
|
90
|
100
|
|
, кН
|
669,3
|
334,6
|
167,3
|
111,6
|
83,66
|
66,93
|
55,77
|
47,81
|
41,83
|
37,18
|
33,46
|
По результатам расчета строится зависимость
.
На построенную зависимость
необходимо нанести
ограничение по сцеплению
. Согласно
основному закону локомотивной тяги
-
сила сцепления колеса с рельсом определяется по выражению:
где
-
расчётный коэффициент сцепления колеса с рельсом;
- сцепной вес
локомотива, кН.
Расчет коэффициента и силы сцепления колеса с
рельсом сведем в таблицу 5.
Таблица 5 -Силы сцепления колеса с рельсом
тепловоза ТЭМ7А
|
v,
км/ч
|
0
|
5
|
10
|
20
|
30
|
|
|
0,2998
|
0,2718
|
0,2513
|
0,2233
|
0,2049
|
|
, кН
|
553,31
|
501,63
|
463,79
|
412,12
|
378,16
|
Основным экономическим показателем тепловоза
является его КПД, который представляет собой отношение полезной работы (или
мощности) к затраченному теплу, полученному в результате сгорания топлива:
где
-
касательная мощность тепловоза, кВт;
= 42745 кДж/кг -
удельная теплота сгорания топлива на рабочую массу, кДж/кг (т.е. количество
тепла, выделяемое при сгорании 1 кг топлива);
- часовой расход
топлива, кг/ч .
где
- удельный эффективный расход топлива для тепловоза-образца;
- эффективная
мощность дизеля тепловоза-образца.
5. Определение количества секций холодильника
тепловоза
Теплоотвод в воду, охлаждающую дизель:
где qв
- теплоотвод водой (qв=
18%);
где
-
эффективная мощность, (
;
- удельный
эффективный расход топлива, (
=0, 215 кг/ кВт
ч);
- низшая теплота
сгорания дизельного топлива, (
.
Расход воды через секции:
где
-
скорость воды в секциях, (
;
- площадь живого
сечения прохода воды, (0,00132 м2);
- плотность воды,
(
;
-
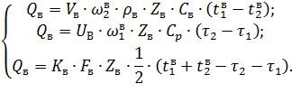
количество водяных секций . Расход воздуха через водяные секции:
где
массовая
скорость воздуха в водяных секциях, (
Определение количества секций холодильника
тепловоза:
где
-
удельная теплоемкость воздуха, (
;
- удельная
теплоемкость воды, (
;
- поверхность
теплообмена омываемая воздухом, (
коэффициент
теплопередачи,
-температура воды
на выходе из дизеля (
);
- температура воды
после охлаждения,
;
-температура
охлаждающего воздуха (
- температура
воздуха после шахты охлаждения,
.
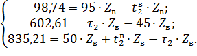
Окончательно выбираем количество секций
холодильника:
Соответственно температура воды (
)
и окружающего воздуха (
) будут равны:
6. Ответ на дополнительный вопрос «Система
воздухоснабжения тепловоза ТЭМ7А»
На тепловозе ТЭМ7А применено централизованное
воздухоснабжение (ЦВС) для охлаждения тягового генератора, тяговых двигателей,
выпрямительной установки, пучка кабелей от генератора к выпрямительной
установке и управляемого выпрямителя возбуждения. Принципиальная схема ЦВС
показана на рисунке 2. Осевой вентилятор, приводимый от вала тягового
генератора через упругую муфту и конический редуктор, нагнетает засасываемый
через блок фильтров воздух по каналам, расположенным в раме тепловоза, к
охлаждаемым машинам и аппаратам.
Рисунок 2 - Схема централизованного
воздухоснабжения (ЦВС)
- фильтры; 2 - осевой вентилятор; 3 -
воздуховоды системы в главной раме тепловоза; 4 - распределительный резервуар;A-
воздух из атмосферы; Б - очищенный воздух; В - воздух к управляемому
выпрямителю возбуждения; Г- воздух к выпрямительной установке, Д - воздух к
тяговым двигателям; Е- воздух к тяговому генератору
Вентиляторная установка (рисунок 3) размещена в
сборном чугунном литом корпусе, прикрепленном болтами к раме тепловоза.
Рисунок 3 - Вентиляторная установка системы ЦВС
- направляющий аппарат; 2-вентилятор;
З-спрямляющий аппарат; 4-ведомый (выходной) вал; 5, 17-маслопроводы, 6-шестерни
редуктора; 7-трубка манометра, 8-масляный насос, 9-фильтр; 10-сливная пробка,
11- пробка контрольная, 12-ведущий вал; 13-подшипник 317, 14-подшипник 32518;
18- подшипники 32317Л; 16- подшипник 318, 19-поворотное устройство
Привод установки осуществляется от вала
генератора через упругую муфту. В верхней части размещен вентилятор. Поток
воздуха из полости блока фильтров через стеклопластиковый коллектор,
направляющий аппарат 1, вентилятор 2, спрямляющий аппарат 3 по каналам корпуса
нагнетается в воздуховоды рамы тепловоза. Направляющий аппарат имеет 13
лопаток, состоящих из двух частей. Неподвижная часть лопатки отлита за одно
целое с корпусом направляющего аппарата. Поворотная часть лопаток пластмассовая
с общим приводом. На тепловозе рукоятка привода должна быть расположена
вертикально. Лопатки и диск вентилятора (на базе вентилятора К-42) изготовлены
из алюминиевого сплава. Шестнадцать профилированных лопаток закреплены на диске
замками «ласточкин хвост». Спрямляющий аппарат 3 сварной, выполнен из листовой
стали. Количество лопаток -15. Вентиляторное колесо закреплено тепловой
посадкой на конусном хвостовике ведомого вала 4, вращающегося в подшипниках 15
и 18. Осевые силы воспринимает шариковый подшипник 16. Подшипники расположены в
стальном стакане, установленном в вертикальной расточке корпуса. На нижнем
конце ведомого вала тепловой посадкой на конусной поверхности закреплена малая
шестерня 6 конического редуктора; зубчатое колесо расположено на входном валу,
вращающемся в шариковом и двух роликовых подшипниках 14, осевые усилия воспринимает
шариковый подшипник 13. Подшипники размещены в стальном стакане, установленном
в горизонтальную расточку корпуса.
Смазка редуктора - автономная, принудительная.
Масляный насос 8 лопастного типа приводится поводком от ведущего вала
редуктора. В связи с тем что в зимнее время полость редуктора интенсивно
охлаждается нагнетаемым вентилятором воздухом, а обороты ведомого вала
достигают 2890 об/мин, особые требования предъявляются к маслам, применяемым
для редуктора в холодное время года. Необходимо строго применять те масла,
которые рекомендуются. Уровень масла определяют по щупу. Давление масла
контролируют по манометру, расположенному на корпусе установки. Масло к
манометру подводится трубкой 7. Для осмотра шестерен и привода насоса в корпусе
редуктора предусмотрен люк.
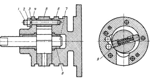
Насос смазки (рисунок 4) состоит из корпуса 5,
фланца 6, валика 7 с лопастями 9, крышки 4 и подшипников скольжения 8.
Рисунок 4 - Насос смазки вентиляционной
установки ЦВС 1 - шпилька; 2 - гайка; 3 - шайба пружинная; 4 - крышка; 5 -
корпус; 6 - фланец; 7 - валик; 8 - подшипник; 9 - лопасть
В момент прохождения лопасти мимо
выфрезерованной полости в нижней части (и удаления от этой полости) в
радиальном зазоре между корпусом и валиком за лопастью возникает разрежение.
Вследствие этого из картера засасывается в полость масло, которое поступает по
трубке, соединяющей эту полость с масляным фильтром в картере. Вторая лопасть
проталкивает втянутое в зазор масло в полость нагнетания, из которой масло идет
к коллектору вертикального вала редуктора и к манометру. Из коллектора
(кольцевой полости в вертикальной расточке корпуса) масло распределяется на два
потока: смазку подшипников вертикального вала и по трубке на смазку подшипников
ведущего вала.
Блок фильтров ЦВС (рисунок 5) съемный. Он
установлен в кузове машинного помещения и состоит из каркаса, кассет, жалюзи с
приводом. Каркас 4 блока фильтров представляет сварную конструкцию арочного
типа. В каркасе в два яруса с небольшим наклоном наружу установлены 32 унифицированные
многослойные проволочные кассеты 3 размером
мм.
Рисунок 5 - Блок фильтров ЦВС 1 - жалюзи; 2 -
съемный люк; 3 -проволочная кассета; 4 - каркас блока фильтров; 5,6 - люки; 7 -
штуцер
Кассеты нижней частью вставлены в желоб, а в
серединах боковин прижаты пружинными зажимами к рамкам с резиновыми
прокладками. Атмосферная влага, задерживаемая кассетами, из желобов стекает в
поддоны, из которых через штуцера 7 удаляется по трубкам наружу кузова. Кассеты
для промывки можно снимать через нижний 6 или верхний 2 люк каркаса фильтров.
Жалюзи 1 с поворотными створками установлены для
предотвращения забивания кассет снегом или песком (при сильном снегопаде или
песчаной буре).В случае непогоды можно закрыть жалюзи с помощью тумблера на
пульте управления. При этом необходимо открыть люки 5 для забора воздуха из
кузова.
Можно закрыть жалюзи с одной наветренной
стороны, перекрыв краником воздух к соответствующим пневмоцилиндрам привода (с
открытием люков 5 этой же стороны). Предусмотрен ручной привод жалюзи. Для
удобства работы внутри блока фильтров имеются светильник и лестница для подъема
на крышку при снятом верхнем люке.
Технические данные ЦВС:
Тип фильтров: сетчатый многослойный с
унифицированными кассетами
Число кассет 32
Тип вентилятора: К-42 осевой высоконапорный
Номинальная частота вращения вентилятора, об/мин
2890
Производительность вентилятора, м3/с 16,5
Привод: механический от вала отбора мощности
тягового генератора
Мощность, потребляемая вентилятором, кВт (л с )
70 (96)
Эффективность очистки от пыли, % 70-80
Периодичность очистки, сут 30
Заключение
В первом разделе данной курсовой работе
произведены расчеты по продольной развески тепловоза ТЭМ7А, расчеты включили в
себя определение координаты центра тяжести, нагрузки на каждую тележку, расчет
обрессоренных весов.
Во втором разделе рассчитаны суммарные затраты
мощности на вспомогательные нужды локомотива, которые составили. Для их
определения были найдены приведенные к валу дизеля мощности на привод
вентилятора холодильника, вентилятора централизованного охлаждения
электрических машин, тормозного компрессора, агрегатов от стартер-генератора, а
также потери мощности на возбуждение тягового генератора.
В третьей части определили передаточное
отношение тягового редуктора.
В четвертом разделе приведены расчеты
касательной мощности, реализуемой на ободе колес, с учетом потерь на питание
вспомогательных аппаратов, а также расчеты, необходимые для построения тяговой
характеристики.
В пятой определили количество секций
холодильника локомотива и вычислил температуру воды после охлаждения, и
температуру шахты после охлаждения.
Графическая часть курсовой работы выполнена на
формате А1 и имеет чертеж расположения оборудования, схему с нанесением
основных размеров тепловоза, тяговую характеристику FK
= f(v)
с ограничением по скорости (v
= 100 км/ч) и ограничением по сцеплению FKСЦ
= f(v).
Список использованных источников
1. Локомотивы.
Общий курс. Кузьмич В.Д., Руднев B.C., Просвиров Ю.Е. - М.: ФГОУ «УМЦ», 2011.
-582 с.;
. Подвижной
состав железных дорог: учебно-методическое пособие к курсовой работе / А.С.
Шапшал, М.К. Григорьянц, Б.И. Павлицкий, С.А. Шапшал; ФГБОУ ВПО РГУПС. - Ростов
н/Д, 2013. -52 с.
. Тепловоз
ТЭМ7: Учебник для вузов ж.-д. транспорта / Г. С. Меликджанов. - М.: Транспорт,
1989. - 322 с.
. Электропередачи
тепловозов на переменно-постоянном токе: Учебник для вузов ж.-д. транспорта /
И. К. Колесник, Т. Ф. Кузнецов, В. И. Липовка, В. С. Марченко, Ю. А. Милованов,
Г. А. Михневич. - М.: Транспорт, 1978, 149 с;
. Сайт
pomogala.ru.