Автоматическое регулирование энергетических процессов
ВВЕДЕНИЕ
Автоматическое регулирование - это
управление технологическими процессами при помощи продвинутых устройств с
заранее определенными алгоритмами.
Для нормального выполнения
технологических процессов необходимо контролировать физические условия их протекания.
Такие физические параметры, как температура, давление, уровень и расход могут
изменяться по многим причинам, и их изменения влияют на технологический
процесс. Эти изменяемые физические условия называются «переменными процесса».
Некоторые из них могут понизить
эффективность производства и увеличить производственные затраты. Задачей
системы автоматического регулирования является минимизация производственных
потерь и затрат на регулирование, связанных с произвольным изменением
переменных процесса.
Цель управления тем или иным образом
связывается с изменением во времени регулируемой (управляемой) величины -
выходной величины управляемого объекта. Для осуществления цели управления, с
учётом особенностей управляемых объектов различной природы и специфики
отдельных классов систем, организуется воздействие на управляющие органы
объекта - управляющее воздействие. Оно предназначено также для компенсации
эффекта внешних возмущающих воздействий, стремящихся нарушить требуемое
поведение регулируемой величины. Управляющее воздействие вырабатывается
устройством управления. Совокупность взаимодействующих управляющего устройства
и управляемого объекта образует систему автоматического управления.
В случае системы автоматического
регулирования наблюдение и регулирование производится автоматически при помощи
заранее настроенных приборов. Аппаратура способна выполнять все действия
быстрее и точнее, чем в случае ручного регулирования.
Действие системы может быть
разделено на две части: система определяет изменение значения переменной
процесса и затем производит корректирующее воздействие, вынуждающее переменную
процесса вернуться к заданному значению.
Система автоматического
регулирования содержит четыре основных элемента: первичный элемент,
измерительный элемент, регулирующий элемент и конечный элемент.
Одноконтурная система регулирования
или простой контур регулирования - это система регулирования с одним контуром,
который обычно содержит только один первичный чувствительный элемент и
обеспечивает обработку только одного входного сигнала на регулятор.
Рисунок 1 - Функциональная схема
регулирования
(t)- возмущающее воздействие; x-
регулируемая величина на выходе объекта; xi- регулируемая величина измеренная
датчиком; xзд - задающее воздействие на регулятор(задание); x0 -
рассогласование между измеренным и заданным значениями регулируемой величины;
yp- регулирующее воздействие, поступающее с регулятора на ИМ; yи - регулирующее
воздействие на выходе ИМ; y- регулирующее воздействие поступающее на объект.
КРАТКИЕ ТЕОРЕТИЧЕСКИЕ
СВЕДЕНИЯ
Особенности котельных
агрегатов как объектов регулирования
Котельные агрегаты являются сложными
объектами автоматического регулирования с большим числом регулируемых
параметров и регулирующих воздействий. Котлы обладают значительной
аккумулирующей способностью тепловой энергии в воде, паре и металле
пароводяного тракта. Наконец, котельные агрегаты характеризуются значительными
скоростями протекания процессов в пароводяном тракте. Так, снижение уровня воды
в барабане котла на 100 мм при полной паропроизводительности котельного
агрегата с прекращением подачи питательной воды происходит за 20 с.
Показателями течения тепловых процессов на котельном агрегате являются
регулируемые параметры.В их числе внешние: расход пара, давление пара при
выходе из котла, температура перегрева пара и внутренние: уровень воды в
барабане котельного агрегата, коэффициент избытка воздуха, разрежение в топке и
др. Характер течения процессов в котельном агрегате определяется видом и величиной
воздействий: внешних - со стороны потребителя, внутренних - изменение состава и
качества топлива, избытка воздуха, подаваемого в топку котла, разрежения в
топке, изменение расхода питательной воды.
Задачи регулирования
котельных агрегатов
К задачам регулирования котельных
агрегатов, которые диктуются как требования потребителей пара, так и
необходимостью обеспечения надежного и экономичного режима работы самих котлов,
относятся следующие:
приведение нагрузки котельного
агрегата в соответствие с заданием;
поддержание заданных значений
давления и температуры пара, поступающего потребителю;
поддержание такого соотношения между
подачами топлива и воздуха, а для котлов с шахтно-мельничными топками такого
распределение первичного и вторичного воздуха, которое отвечает наивысшей
экономичности топочного процесса;
стабилизация разрежения в топке;
поддержание в барабанных котельных
агрегатах постоянного уровня воды в барабане в установленных пределах, а также
солесодержания котловой воды;
Для котлов прямоточного типа, кроме
перечисленных выше:
поддержание заданных значений
влажности и температуры пара по водопаровому тракту и в первую очередь в районе
переходной зоны, где должно происходить отложение солей, во избежание
перемещения этой зоны в область радиационного обогрева;
поддержание в котельных агрегатах с
промывочно-сепарационной схемой определенной влажности пара перед сепаратором;
Перечисленные задачи решаются путем
воздействия на регулировочные органы котельного агрегата, управляющие подачами
питательной воды, топлива, общего, а при шахтно-мельничных топках и первичного
воздуха, отсосом дымовых газов, подачей охлаждающей воды на пароохладители или
другими средствами регулирования температуры пара, величиной непрерывной
продувки воды из барабана котлоагрегата.
Паровой котел как объект
регулирования
Паровой котел представляет сложную
динамическую систему с несколькими взаимосвязанными входными и выходными
величинами. Однако выраженная направленность участков регулирования по основным
каналам регулирующих воздействий позволяет осуществлять стабилизацию и
изменение регулируемых параметров с помощью независимых одноконтурных систем,
связанных через объект регулирования - котельный агрегат.
Автоматическая система регулирования
(АСР) барабанного парового котла в целом состоит из отдельных замкнутых
контуров:
давления перегретого пара и тепловой
нагрузки;
экономичности процесса горения
топлива;
разрежения в верхней части топки;
температуры перегретого пара;
питания котловой водой;
качества котловой воды.
Требования высокой точности
регулирования параметров для обеспечения надежной и экономичной работы
котельного агрегата обуславливает необходимость применения быстродействующих
автоматических регулирующих устройств. В регулировании котлоагрегатов широко
применяются электрические схемы с электронными регуляторами. В качестве
исполнительных механизмов используются электромеханические сервоприводы с
редукторами и колонки дистанционного управления.
РАСЧЕТ ОДНОКОНТУРНОЙ
СИСТЕМЫ РЕГУЛИРОВАНИЯ
Задание
Динамические свойства объекта
регулирования по каналу регулирующего воздействия определены импульсной
характеристикой.
Регулируемая величина -
температура перегретого пара котельного агрегата. Импульсная характеристика
получена в результате нанесения возмущения, созданного скачкообразным
уменьшением и последующим скачкообразным увеличением через
подачи
конденсата на впрыск в пароохладитель на величину
,
измеренную в процентах хода регулирующего органа (%
).
Максимальный расход конденсата на впрыск, соответствующий 100%
,
составляет 6 т/час. Номинальная температура перегретого пара 4000 С. Изменение
регулируемой величины (в отклонениях от номинального значения) в результате
импульсного возмущающего воздействия, задано в безразмерном виде таблицей 1.
Таблица 1
|
012345678910111213141516
|
|
|
|
|
|
|
|
|
|
|
|
|
|
|
|
|
|
|
000125101214151412106310
|
|
|
|
|
|
|
|
|
|
|
|
|
|
|
|
|
|
Получение импульсной
кривой
Исходные данные:
Тип задания №1
ПИД-регуляторимп= 60 секунд;вх. имп
= 10% х.р.о.= 10 секунд
aθ = 2 градусов
М = 1,55вх 100% х.р.о. = 6 тонн/час
tпара= 400
Так как изменение
регулируемой величины задано в безразмерном виде, нужно получить импульсную
характеристику в размерном виде:
=
·
at; θ=
·аθ,
получим:
Импульсная
характеристика:
|
t, сек
|
0
|
10
|
20
|
30
|
40
|
50
|
60
|
70
|
80
|
90
|
100
|
110
|
120
|
130
|
140
|
150
|
|
θ, град
|
0
|
0
|
0
|
2
|
4
|
10
|
20
|
24
|
28
|
30
|
28
|
24
|
20
|
12
|
6
|
2
|
0
|
Построим график импульсной
характеристики:
Определим динамические параметры
объекта (k, T, τ) по импульсной характеристике:
σмакс=30
τ=35 с
Импульсный входной сигнал:

=60 ∙ 10=600
Постоянная времени:
Коэффициент усиления:

- максимальное
отклонение регулируемой величины;

- площадь, описываемая
кривой изменения возмущения;

- площадь, описываемая
кривой изменения регулируемой величины.
Смоделируем процесс в
Matlab:
Перестроение импульсной
кривой в кривую разгона и определение параметров объекта
Для перестройки
импульсной характеристики
в
кривую разгона h(t) разбиваем наблюдаемое время на интервалы и складывая
ординаты графиков
и
h(t) по формуле h(t) = h(t)i-1 +
(t)i, предварительно
интерполируя импульсную характеристику
i.
Перестроим импульсную
кривую в кривую разгона и определим параметры объекта при tимп=60 с, по
правилу:

;≤ t ≤ 2T
|
t, сек
|
0
|
20
|
40
|
60
|
80
|
100
|
120
|
140
|
160
|
|
h, град
|
0
|
0
|
4
|
24
|
52
|
80
|
100
|
106
|
106
|
Отыщем точку перегиба методом
Ольденбурга-Сарториуса
Для упрощения задачи идентификации
модели определим предварительно время запаздывания путем графического решения
уравнения
y(τ)=Δ=0.05y(Тп)
Время запаздывания τ= 42с
Рассчитаем параметры k, τ, Tc,Ta, T1,T 2
Коэффициент усиления регулируемого
объекта находим как отношение установившегося значения выхода к значению входа:
К =106/10 = 10,6
Находим точку перегиба графика
переходной функции и определяем величины Ta=72, Tc=38, Tc/Ta=0,53.
С помощью диаграммы
Ольденбурга-Сарториусапо известной величине Tc/Ta находим постоянные времени:
/Ta =0,37/Ta =0,37
Т1 = 0,37 ∙ Ta=26,64
Т2 =0,37 ∙ Ta=26,64
а1* = Т1+Т2=53,28
а2* =Т1∙ Т2 =709,69
Идентифицированная
модель динамики
Получили передаточную
функцию в дифференциальном виде.
Получим передаточную
функцию:
Смоделируем процесс в
Matlab:
Получили кривую разгона:
Определение по кривой
разгона «методом площадей» передаточной функции регулируемого объекта
,
при помощи программы simou.exe
Модель №1
W(s) =
Исходные данные для
расчета:
Параметры передаточной
функции:
Коэффициент усиления K =
10.6
Запаздывание tau = 0
Коэффициенты числителя
(степень m = 0):[0] = 1
Коэффициенты знаменателя
(степень n = 1):[0] = 1 a[1] = 41.13208
Величина входного
сигнала х = 10
Модель №2
(s)=
Исходные данные для
расчета:
Параметры передаточной
функции:
Коэффициент усиления K =
10.6
Запаздывание tau = 0
Коэффициенты числителя
(степень m = 0):[0] = 1
Коэффициенты знаменателя
(степень n = 2):[0] = 1.00000 a[1] = 41.13208 a[2] = 554.74071
Величина входного
сигнала х = 10
Модель №3
(s)=
Исходные данные для
расчета:
Пареметры передаточной
функции:
Коэффициент усиления K =
10.6
Запаздывание tau = 0
Коэффициенты числителя
(степень m = 0):[0] = 1
Коэффициенты знаменателя
(степень n = 2):[0] = 1.00000 a[1] = 41.13208 a[2] = 554.74071 a[3] =
-205.50298
Величина входного
сигнала х = 10
Построим и сравним
полученные переходные характеристики передаточных функций с помощью пакета
Simulink.
Сравниваем полученные
переходные характеристики передаточных функций:
Представление
динамической модели объекта соединением типовых динамических звеньев
Автоматическое
регулирование энергетических процессов
Смоделировать объект на
базе имитационного моделирования (Simulink), получить кривые разгона и сравнить
их с рассчитанной.
Кривая, полученная
методом Ольденбурга-Сарториуса:
(p)1 =
Кривая, полученная
методом интегральных площадей (Симою):
(p)2 = 
Кривая, полученная
методом интегральных площадей (Симою):
(p)3 = 
Кривая, полученная
методом интегральных площадей(Симою):
Частотные характеристики
объекта регулирования (АФХ, АЧХ и ФЧХ)
(p)=
Расчет
частотныххарактеристик.
Исходные данные для
расчета
Параметры передаточной
функции:
|
Коэффициент усиления
|
K = 10,6
|
|
Запаздывание
|
tau = 40
|
|
Коэффициенты числителя
|
b[0] = 1
|
|
Коэффициенты знаменателя
|
a[0] = 1 a[1] = 41,13 a[2] =554,74
|
Вид передаточной функции:
W(p)= 
Параметры расчета:
Расчет нормальных
частотных характеристик.
|
Количество точек
|
N = 11
|
|
Начальная частота
|
w0 = 0
|
|
Шаг по частоте
|
dw = 0,02
|
Результаты расчета:
Частотные характеристики.
АФХ - амплитудно-фазовая
характеристика
АЧХ - амплитудно-частотная
характеристика
ФЧХ - фазо-частотная характеристика
Частота ReImA(w) fi(w)
.02000 -0.39674 -9.35302 9.36143
267.57109
.03000 -5.79003 -5.46256 7.96016
223.33307
.04000 -6.42310 -0.25076 6.42800
182.23568
.05000 -4.13699 2.92319 5.06554
144.75498
.06000 -1.39407 3.73059 3.98255
110.48997
.07000 0.61714 3.10068 3.16150
78.74337
.08000 1.67466 1.91800 2.54621
48.87482
.09000 1.95205 0.72571 2.08258
20.39351
.10000 1.71568 -0.21232 1.72877
-7.05463
.11000 1.20990 -0.80756 1.45465
-33.72149
.12000 0.62347 -1.07068 1.23898 -59.78730
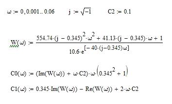
Для заданного регулятора заданным
методом рассчитаем оптимальные значения параметров настройки, обеспечивающих
заданный запас устойчивости системы. Расчет параметров ведется по расширенным
частотным характеристикам.
Передаточная функция объекта управления
имеет вид:
Wо(p)= 
Передаточная функция
регулятора:
Необходимо подобрать
оптимальные значения параметров настройки (С1, С0), чтобы они обеспечивали
заданный запас устойчивости системы.
Необходимо произвести
подстановку
в
характеристическое уравнение замкнутой системы и выделить действительную и
мнимую части полинома.
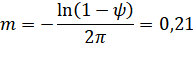
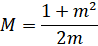
Найдемm:
Из двух корней m1 и m2
выбираем меньший. То есть принимаем m=0,345.
Wо(m,jω)=

ПИД-регулятор:
С0=ω(m2+1)·(Im·
(ω) + ω·C2);
C1=m·Im·(ω)
-Re·(ω) + 2m·ω·C2.
Примем С2=0,1.
Строим график,
отображающий зависимость C0(С1):
Строим зависимость
и
определяем
и
следующим
образом: находим на кривой
точку максимума,
выбираем точку правее нее.
Схема полученной системы
регулирования:
|
Значение настройки регулятораС1
|
Значение настройки регулятора С0
|
Интегральный критерий качества I
|
|
0,045
|
0,00144
|
635731
|
|
0,050
|
0,001428
|
607808
|
|
0,055
|
0,001378
|
581161
|
|
0,060
|
0,001268
|
559193
|
|
0,065
|
0,000919
|
583076
|
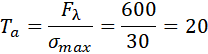
Примем С2=0,5.
Строим график, отображающий
зависимость C0(С1):
Построим зависимость
и
определим
и
следующим
образом: находим на кривой
точку максимума,
выбираем точку правее нее.
Схема полученной системы
регулирования:
|
Значение настройки регулятораС1Значение настройки регулятора
С0Интегральный критерий качества I
|
|
|
|
0,07
|
0,001686
|
497327
|
|
0,075
|
0,001675
|
485257
|
|
0,08
|
0,001637
|
473415
|
|
0,085
|
0,001557
|
461724
|
|
0,09
|
0,001349
|
452423
|
|
0,092
|
0,001124
|
463126
|
Примем С2=1,2.
Строим график, отображающий
зависимость C0(С1):
Строим зависимость
и
определяем
и
следующим
образом: находим на кривой
точку максимума,
выбираем точку правее нее.
Схема полученной системы
регулирования:
|
Значение настройки регулятораС1
|
Значение настройки регулятора С0
|
Интегральный критерий качества I
|
|
0,12
|
0,002199
|
465126
|
|
0,125
|
0,002187
|
454269
|
|
0,13
|
0,002153
|
481319
|
|
0,135
|
0,002069
|
515867
|
|
0,14
|
0,001931
|
|
С0
|
С1
|
С2
|
I
|
|
0,06
|
0,001268
|
0,1
|
559193
|
|
0,09
|
0,001349
|
0,5
|
452423
|
|
0,125
|
0,002187
|
1,2
|
454269
|
|
|
|
|
|
|
Из таблицы видно, что наилучшими
свойствами будет обладать ПИД-регулятор с настройками: С0=0,09, С1=0,001349 и
С2=0,5 при рабочей частоте ω=0,031 рад/с.
График переходного процесса
полученной системы регулирования:
Структурная схема
системы регулирования (при найденных оптимальных настройках регулятора)
Получим передаточную функцию
замкнутой системы относительно внешнего возмущающего воздействия.
В качестве передаточной
функции объекта относительно возмущающего воздействия возьмем передаточную
функцию 
, определенную в п.1.
Передаточная функция
замкнутой системы по возмущающему воздействию:
Расчет и построение КЧХ
замкнутой системы относительно возмущающего воздействия
Делаем подстановку p = 
, выделяем
действительную и мнимую часть:
КЧХ замкнутой системы
относительно возмущающего воздействия:
Смоделируем систему на
базе имитационного моделирования в программе Simulink, получим переходный
процесс при заданном возмущающем воздействии:
График переходного
процесса:
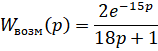
Оценка качества
переходного процесса по возмущению
Время регулирования: tр=
385 с;
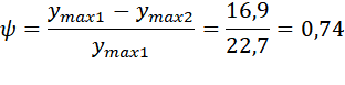
Перерегулирование:
σ = |ymax1 - yуст|=
22,7;
Время достижения первого
максимума: tmax=78,5;
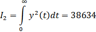
Квадратичный
интегральный критерий качества:
Частота переходного
процесса:
Время затухания за 1
период:
Степень затухания:
Степень колебательности:
ВЫВОД
В данном курсовом проекте
я:
определил по кривой
разгона «методом площадей» передаточную функцию регулируемого объекта;
- рассчитал и построил
частотные характеристики объекта регулирования (КЧХ, АЧХ и ФЧХ). Для
ПИД-регулятора методом расширенных частотных характеристик рассчитал
оптимальные значения параметров настройки, обеспечивающие заданный запас
устойчивости системы, и минимальное значение квадратичного интегрального
критерия качества;
получил переходный
процесс, являющийся оптимальным, оценил качество полученного переходного
процесса: время регулирования = 385 с.; перерегулирование = 22,7; коэффициенты
затухания = 0,26 и колебательности = 0,21;
рассчитал и построил КЧХ
замкнутой системы относительно возмущающего воздействия;
построил переходный
процесс в системе регулирования при единичном скачкообразном возмущающем
воздействии;
Построенная мной система
АСР объектом управления, взятая на основе реального объекта управления является
устойчивой, т.к. в системе возможен установившийся режим. Параметры
удовлетворяют необходимым условиям регулируемого объекта и вполне приемлемы для
его нормального функционирования, вследствие чего регулируемый параметр, т.е.
температура перегретого пара в котле будет поддерживаться на необходимом
уровне.
СПИСОК ЛИТЕРАТУРЫ
1. Востриков, А.С.
Теория автоматического регулирования: Учеб.пособие/ Востриков А.С., Французова
Г.А.- Новосибирск: Изд-во НГТУ, 2003.- 364 с.
. Ротач,В.Я.Теория
автоматического управления теплоэнергетическими процессами:
. Учебник для вузов
/ Ротач В.Я.-М: Энергоатомиздат, 1985.- 296 с.
. Клюев,
А.С.Наладка средств автоматизации и автоматических систем регулирования:
Справочное пособие / КлюевА.С.,
. ЛебедевА.Т. -
М.: Энергоатомиздат,1989.
. Прохватилов
В.В.Методические указания к выполнению курсового проекта по теории
автоматического управления: Методические указания / Прохватилов В.В.,
. Кантемиров
В.И.- Астрахань: Изд-во АГТУ, 2007.- 35 с.
. Стефани Е.П.
Основы расчета настройки регуляторов теплоэнергетических процессов / Стефани
Е.П..- М: Энергия, 1972.- 376 с.