Разработка электромеханической позиционной следящей системы
ВВЕДЕНИЕ
При разработке следящих систем, как и других
систем автоматического управления, проектировщику необходимо учитывать ряд
требований, которым должна удовлетворять проектируемая система. В зависимости
от назначения системы и выполняемых функций, а также от условий эксплуатации
одни требования могут быть доминирующими, в то время как другие не накладывают
жестких ограничений. Весь комплекс требований, предъявляемых к автоматическим
системам, может быть разделен на несколько основных групп.
К первой группе следует отнести требования к
точности и динамическим свойствам системы (устойчивость, характер и качество
переходного процесса). Требования этой группы должны удовлетворяться во всех
системах независимо от их назначения и выполняемых функций.
Ко второй группе относятся требования к
надежности и чувствительности системы к влиянию внешних воздействий. Данные
требования характеризуются вероятностью безотказной работы, диапазоном рабочих
температур, виброустойчивостью, прочностью, ресурсом работы и т.д.
К третьей группе относятся требования к весу и
габаритам системы, потребляемой мощности и коэффициенту полезного действия.
К четвертой группе относятся требования,
определяемые условиями эксплуатации (обслуживание, регулирование и настройка в
процессе эксплуатации, возможность ремонта и восстановления и т.д.).
Целью данного курсового проектирования является
разработка электромеханической позиционной следящей системы, удовлетворяющей
вышеперечисленным требованиям, а именно: требованиям к точности и динамическим
свойствам, надежности и чувствительности системы к влиянию внешних воздействий,
габаритам и весу системы.
1. Принцип действия и функциональная
схема системы
Система работает по принципу
управления по отклонению управляемой величины от требуемого значения. Задающее
устройство выдает заданное положение
, которое с помощью сумматора
сравнивается с фактическим положением нагрузки
. Значение рассогласования
(разности)
умножается
на коэффициент преобразования датчика перемещения
, а
полученное в результате этого напряжение
поступает на вход модулятора и
модулируется опорным напряжением
. Перечисленные выше функции
выполняет угловой датчик перемещения (ДП).
Промодулированный сигнал поступает
на вход усилителя, который предназначен для установки требуемого коэффициента
усиления системы (для обеспечения требуемой точности). Демодулятор представляет
собой фазочувствительный выпрямитель. Фильтр низких частот используется для
сглаживания пульсаций на выходе демодулятора. Усилитель, демодулятор и фильтр
низких частот можно отнести к группе усилительно-преобразовательных устройств
(УПУ).
Выпрямленное напряжение подается на
вход усилителя мощности, где преобразуется в напряжение, необходимое для работы
электродвигателя. Редуктор необходим для понижения скорости вращения датчика
перемещения и через него двигатель управляет нагрузкой.
Функциональная схема системы
приведена на рисунке 1.
Рисунок 1 - функциональная схема
система
где ЗУ - задающее устройство;
(Σ) - сумматор;
ДП - датчик перемещения;
М - модулятор;
У - усилитель;
Д - демодулятор;
ФНЧ - фильтр низких частот;
УМ - усилитель мощности;
ДВ - исполнительный двигатель;
- редуктор;
Н - нагрузка.
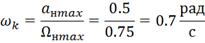
Параметры нагрузки и системы для
вращательного движения приведены в таблице 1.
Таблица
1
Исходные данные
|
Момент
инерции Jн, кг*м2
|
10-40
|
|
Статический
момент Мн, Н*м
|
30
|
|
Скорость
Ωmax,рад/с
|
0,75
|
|
Ускорение
ан.мах, рад/c2
|
0,5
|
|
Статическая
ошибка ,00,4
|
|
|
Максимальная
ошибка ,01,5
|
|
|
Перерегулирование
, %30
|
|
|
Время
переходного процесса , с0, 75
|
|
|
Показатель
колебательности 1,3
|
|
2. Выбор основных функциональных
элементов
.1 Исполнительный двигатель с
редуктором
По сравнению с гидравлическими и
пневматическими, электрические исполнительные устройства имеют ряд существенных
достоинств, вследствие чего они получили наиболее широкое распространение.
Такие устройства характеризуются неограниченным расстоянием передачи энергии,
простотой формирования сигналов управления, высокой точностью поддержания
скорости, большой номенклатурой и широким диапазоном мощностей. Однако
необходимость механической передачи (редуктора) из-за большой скорости
вращения, сложность исполнения являются недостатками таких устройств.
Двигатель должен иметь требуемые скорость и
мощность, передаточную функцию и статические характеристики, отвечать
требованиям по нагреву и перегрузкам, расходовать минимум энергии. Двигатель
вместе с зависимым от него усилителем мощности составляет главную часть
конструкции системы в отношении размеров и массы. Необходимо выбрать
электродвигатель и передаточное число редуктора так, чтобы при минимальном
вращательном моменте, развиваемом электродвигателем, обеспечить необходимые
скорость и ускорение нагрузки.
Таким образом, при известных
максимальных значениях
,
,
,
двигатель
выберем из условия максимальной мощности нагрузки, которую определим по
формуле:

(2.1)
Номинальная мощность двигателя
должна удовлетворять условию:
(2.2)
Последнее неравенство нестрогое,
т.к. требуемая максимальная мощность
завышена.
По справочнику выберем подходящий
двигатель постоянного тока обыкновенного исполнения СЛ-369, технические данные
которого приведены в таблице 2
Таблица
2
Параметры СЛ-521
|
110 В 0,687*10-4
кг*м2
|
|
|
|
|
377 рад/с 58 мГн
|
|
|
|
|
55 Вт 8.5 Ом
|
|
|
|
|
0,8 А 0.147
Н*м
|
|
|
|
|
m
|
2,5
кг
|
0.4 Н*м
|
|
Для нашего случая имеем
,
следовательно, на данном этапе двигатель выбран
верно.
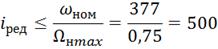
Зная параметры двигателя, определим оптимально
допустимое передаточное число редуктора по формуле:
(2.3)
Для обеспечения запаса по скорости
выбираем
на 10
процентов меньше, следовательно, передаточное число редуктора примем равным
Приняв
, определим
оптимальное передаточное число редуктора исходя из условия обеспечения
минимального момента на валу двигателя:

(2.4)
Максимальное по быстродействию
передаточное число определяется по формуле:
При таком значении
для
номинального момента двигатель разовьет максимальное ускорение, в итоге будем
иметь минимальное время переходного процесса.
Так как
и
не
удовлетворяют условию (2.3), следовательно, передаточное число редуктора в
дальнейших расчетах полагаем
.
Для проверки перегрузочной
способности двигателя по моменту необходимо определить требуемый максимальный
момент на валу двигателя и сравнить его с параметрами двигателя.
Необходимо выполнение условия:
<
<
(2.6)
При этом первое неравенство носит
рекомендательный характер и обусловлено тем, что в противном случае двигатель в
самых нагруженных режимах не достигал бы номинального значения момента
, т.е был бы
слишком мощным для нашей системы, а следствие - низкий КПД. Выполнение же
второго условия имеет обязательный характер, так как в противном случае
двигатель выйдет из строя.
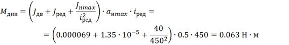
Требуемый максимальный момент на
валу двигателя рассчитываем по формуле:
(2.7)
Статический момент определяется по
формуле:
(2.8)
Динамический момент определяется по формуле:
(2.9)
Таким образом:
(2.10)
Проверка условия (2.6) показывает, что двигатель
выбран верно :
В нашем случае получили
<
,
следовательно, следует проверить двигатель на нагрев.
Для того, чтобы двигатель не перегревался,
необходимо выполнение условия:
(2.11)
Где
- общие потери двигателя,
определяемые потерями в обмотке возбуждения, потерями при трении, а также
потерями, обусловленными нагрузкой.
- допустимые потери, определяемые
номинальными параметрами.
Так как двигатель работает при постоянном потоке
возбуждения, то момент, развиваемый двигателем, будет пропорционален току
якоря, квадрат которого в свою очередь будет пропорционален потерям двигателя.
Следовательно, для проверки двигателя на нагрев
можно воспользоваться методом эквивалентного момента.
Необходимо выполнение условия:
(2.12)
Эквивалентный момент определим по формуле:
(2.13)
.17 < 0.245 - условие (2.12) выполняется,
следовательно, двигатель не перегревается.
Степень использования двигателя определяется по
формуле:
(2.14)
2.2 Усилитель мощности
Для питания двигателя постоянного тока применяют
силовой преобразователь, работающий в ключевом режиме. Причем для двигателя
мощностью до 0,5 кВт применяют транзисторный широтно-импульсный
преобразователь.
Таким образом, необходима транзисторная схема
усилителя мощности, работающая в ключевом режиме, должна удовлетворять
следующим требованиям:
- Частота коммутация ключей
;
Выходное напряжение
;
Номинальный выходной ток
;
Входное напряжение, при котором на
выходе будет развиваться
=110 В, как
правило
= 10 В;
- Обеспечение рекуперации (передача энергии от
двигателя в сеть при переходе в генераторный режим работы);
Гальваническое разделение cиловой
цепи с цепью управления;
Неразрывность якорной цепи двигателя во всех
режимах работы при переключении силовых ключей;
Реверс двигателя при изменении полярности
сигнала управления;
- Простота обслуживания, минимальные габариты,
высокая работоспособность и надёжность.
В качестве метода модуляции будем использовать
однополярную Широтно-Импульсную Модуляцию (ШИМ).
.3 Датчик рассогласования
Для проектируемой системы необходимо выбрать
датчик, отслеживающий линейное перемещение.
Общие требования предъявляемые к датчикам:
физическая природа измеряемой величины определяет
тип датчика;
диапазон измерения должен быть больше измерения
физической величины;
допустимая погрешность измерения;
Желательно обеспечить следующие требования:
датчик серийно производится;
безынерционность;
подходящие весогабаритные показатели;
надежность и большой ресурс работы;
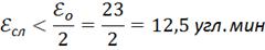
Погрешность измерения:
Максимальная погрешность измерения:
Ошибка датчика (погрешность следования)
определяется исходя из условия:
Таким образом, в качестве датчика
рассогласования будем использовать вращающийся трансформатор СКВТ-255-2. Его
технические характеристики:
назначение: ТДП.
частота сети: 400 Гц.
напряжение питания: Uпит
= 36 В.
выходное сопротивление холостого хода: 1330-5100
Ом.
погрешность стобр. синусн. зависимости: ± 0,1 -
0,2 %.
погрешность в ТДП: ± 5 - 10 угл. мин.
наружный диаметр: 25 мм.
масса: 0,09 кг.
После выбора датчика определим величину
инструментальной погрешности в системе.
где 
- ошибка преобразователя
вращающегося трансформатора. 
.

- ошибка в системе за счет зон
нечувствительности элементов и люфтов механических соединений. Примем 
.4 Усилительно-преобразовательное
устройство
Для согласования сигнала от датчика с усилителем
мощности необходимо усилительно-преобразовательное устройство, в состав
которого входят:
·
Предварительный
усилитель переменного тока;
·
Демодулятор;
·
Фильтр
нижних частот;
Основной задачей предварительного усилителя
является регулирование требуемого коэффициента усиления системы до уровня,
удовлетворяющего заданным показателям точности. В автоматических системах, как
правило, усиление осуществляется на переменном токе, чтобы избежать дрейфа
нуля, свойственного усилителям постоянного тока.
Рисунок 5 -
Усилительно-преобразовательное устройство
В качестве такого усилителя
используем схему на операционном усилителе. Схема должна быть защищена по входу
от максимального уровня сигнала с датчика рассогласования, иначе он сгорит.
Демодулятор необходим для
преобразования усиленного разнополярного модулированного сигнала
рассогласования в однополярный сигнал. В качестве демодулятора используем схему
двухполупериодного фазочувствительного выпрямителя, входной сигнал для которого
порядка 10В.
Для сглаживания пульсирующего однополярного
сигнала поступающего с выхода демодулятора используем фильтр нижних частот.
Таким образом фильтр нижних частот необходим для преобразования переменного
уровня сигнала в постоянный с медленно меняющимся уровнем выходного напряжения.
В качестве ФНЧ используем пассивную RC-цепочку.
Следует отметить, что для обеспечения
необходимых динамических свойств системы используется коррекция, осуществляется
на постоянном токе, так как на постоянном токе ее легче реализовать.
3. Математические модели элементов
системы
.1 Математическая модель двигателя
постоянного тока
Для позиционных систем математическая модель
двигателя постоянного тока имеет вид, приведенный на рисунке 5
Рисунок 6 - Математическая модель
двигателя постоянного тока
1) Передаточная функция по входному воздействию
имеет следующий вид:
(3.1)
) Передаточная функция по
возмущению:
(3.2)
Для определения передаточных функций
предварительно необходимо рассчитать следующие параметры:
Сопротивление цепи якоря с учетом
нагрева двигателя:
(3.3)
где
- коэффициент учитывающий нагрев
двигателя
-коэффициент (для металлов
)
-разница температуры (считаем, что в
исходном состоянии температура двигателя 20°С, а во время работы он нагревается
до 70°С)
Постоянная времени якорной цепи:
(3.4)
Коэффициент двигателя по ЕДС:

(3.5)
Коэффициент передачи двигателя по управляющему
воздействию:
(3.6)
- Коэффициент двигателя по моменту:
(3.7)
- Коэффициент наклона механической
характеристики двигателя:
(3.8)
- Общий момент инерции приведенный к валу
двигателя:
(3.9)
Электромеханическая постоянная двигателя:
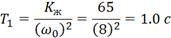
(3.10)
, следовательно, математическая
модель двигателя не является колебательным звеном.
Так как 
> 4, то постоянной времени якоря
можно пренебречь.
Таким образом, передаточная функция
двигателя по входному воздействию имеет вид:
(3.11)
по возмущению:
(3.12)
3.2 Математическая модель усилителя
мощности
Так как частота коммутации силовой
цепи усилителя мощности
, то
постоянной времени усилителя можно пренебречь. Учитывая сказанное,
математической моделью выбранного усилителя мощности можно считать
безинерционное звено c передаточной функцией:
(3.16)
Где
- коэффициент передачи усилителя
мощности, численное значение которого рассчитывают для номинального режима
работы по формуле:

Где
- унифицированный сигнал
управления, как правило равный 10В.
Следовательно, передаточная функция
усилителя мощности будет иметь вид:
(3.18)
3.3 Математическая модель датчика
рассогласования
Математическая модель СКВТ - безынерционное
звено. Напряжение на выходе СКВТ определяется выражением:

- угол рассогласования датчика и
приемника.
Т.к. это значение мало, то можно
представить 
. И тогда напряжение на выходе
приемника будет равно:

Т.к. входным сигналом датчика
рассогласования является угол рассогласования, а выходным - напряжение, то
передаточная функция будет иметь следующий вид:

Систематическая погрешность СКВТ:

угл. мин
Т.к. максимальное значение
синусоидального напряжения определяется действующим значением напряжения
питания, умноженным на 
, то передаточная функция СКВТ будет
равна:

Математической моделью фильтра низких частот
является апериодическое звено первого порядка, которое представляет собой RC-цепь,
представленная на рисунке 7
Рисунок 7- Фильтра низких
частот
Передаточная функция будет иметь следующий вид:
, (3.24)
где
- постоянная времени фильтра.
ЛАХЧ фильтра представлен на рисунке
8
Рисунок 8 - ЛАХЧ фильтра
Так как в качестве демодулятора
используем двухполупериодный фазчувствительный выпрямитель, то на вход фильтр
низких частот поступает сигнал с частотой
, равной удвоенной частоте питающей
сети. И для дальнейших расчетов примем фильтр безынерционным звеном.
Следовательно:
(3.27)
.5 Математическая модель редуктора
Передаточная функция редуктора имеет вид:
(3.28)
3.6 Математическая модель
предварительного усилителя
Предварительный усилитель представляет собой
безинерционное звено с передаточной функцией:
(3.29)
Коэффициент усиления
предварительного усилителя будет рассчитан позже, исходя из общего коэффициента
системы
4. Структурная схема и статический
расчет системы
Структурная схема системы представлена на
рисунке 9.
Рисунок 9 - Структурная схема системы
Передаточные функции элементов системы:
Передаточная функция двигателя по задающему
воздействию:
(4.1)
·
Передаточная
функция сельсина:
(4.2)
·
Передаточная
функция фильтра:
(4.3)
·
Передаточная
функция усилителя мощности:
(4.4)
Передаточная функция редуктора:
(4.5)
·
Передаточная
функция предварительного усилителя:
(4.6)
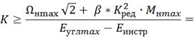
Произведем статический расчет
системы. Определим коэффициент усиления системы, который обеспечивал бы
заданные показатели точности.
Определим коэффициент усиления при
действии входного сигнала вида:
, возмущающий сигнал вида:
(режим
качки).
Требуемый коэффициент усиления
найдём из условия:
(4.7)
Исходя из (4.7) принимаем:
Следовательно, теперь можно рассчитать
коэффициент предварительного усилителя:
(4.8)
Статический момент нагрузки, приведенный к
исполнительному механизму

(4.7)
Этот момент нагрузки с помощью
сумматора вычтем из системы на выходе редуктора. Величину МСН
подадим компонентом Step.
Промоделируем исходную
нескорректированную систему в Simulink, и
определим переходную характеристику (рисунок 10).
А так же с помощью входного
воздействия типа Ramp, найдем статическую ошибку
нескорректированной системы (рисунок 11).
Рисунок 10 - переходная
характеристика нескорретированной системы
Рисунок 11 - Статическая ошибка
исходной системы (в рад.)
Из рисунков 10 и 11 видно:
Перерегулирование σ = 55%
Колебательность: M
= 3
Время переходного процесса tпп=
1 с.
Статическая ошибка: e
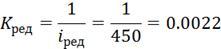
= 0.0022 рад. = 75 угл.мин.
Значит необходимо произвести коррекцию.
электромеханический позиционный
следящий корректирующий
5. Синтез корректирующих устройств
По структурной схеме, приведенной в предыдущем
разделе запишем передаточную функцию разомкнутой системы по входному сигналу:
(5.1)
Подставляя выражения для
передаточных функций элементов системы в (5.1) получим:
(5.2)
где 
В Matlab посторим
ЛАХ разомкнутой нескорретированной системы - рисунок 12.
Рисунок 12 - ЛАХ исходной
разомкнутой системы
Коррекцию системы произведем
способом построения желаемой ЛАХ.
Для синтеза следящих систем широко
используется частотные методы и в частности метод ЛАХ, позволяющий наиболее
просто определить параметры системы, обеспечивающее требуемое качество
регулирования, и произвести расчет необходимых корректирующих устройств.
При использовании метода ЛАХ синтез
системы обычно начинают с построения желаемой ЛАХ, обеспечивающей получения
заданных показателей качества.
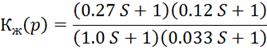
Передаточная функция корректирующего
звена:

(5.3)
Для построения желаемой ЛАХ
воспользуемся методом Бесекерского, которым удобно пользоваться при расчете
систем на наихудший случай - гармонический сигнал.
Расчет ведется обычно на заданный
показатель колебательности

, однако исходными данными являются
также заданное время переходного процесса 
. Но для расчетов воспользуемся M = 1.28
Так как система статическая, то в
низкочастотной области наклон 0 дБ, до частоты качки, определяется общим
коэффициентом усиления системы:

(5.5)
Частота качки определится из
выражения:
(5.6)
Постоянная времени, соответствующая
частоте качки
определяется
выражением:
(5.8)
Следовательно, базовая частота исходя из
требований точности:
(5.9)
На основании связи между показателем
колебательности и качеством регулирования рассчитаем базовую частоту из условия
быстродействия:
(5.10)
Из (5.8) и (5.9) выбираем максимальное значение
и в дальнейших расчетах принимаем его за базовую частоту:
(5.11)
В связи с этим необходимо изменить
постоянную времени,
не меняя
:
(5.12)
(5.13)
Рассчитаем остальные сопрягающие частоты
желаемой ЛАХ:
(5.14)
(5.15)
(5.18)
Подставляя рассчитанные постоянные времени в
формулу (5.3) желаемая передаточная функция примет вид:
(5.19)
6. Реализация корректирующих
устройств
Для реализации корректирующего устройства,
построим в Matlab ЛАХ
передаточной функции (5.19).
(6.1)
ЛАХ представлена на рисунке 13.
Рисунок 13 - ЛАХ корректирующего звена
По виду ЛАХ и по виду передаточной функции
корректирующего звена, выберем физически реализуемы звенья (рисунок 14). При
этом, для реализации заданной передаточной функции воспользуемся двумя
последовательными звеньями для упрощения расчета:
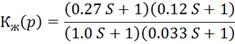
Кж(p)
=
К1(Р) + К2 (Р)


Рисунок 14 - типовые корректирующие звенья и их
характеристики
(6.2)
(6.3)
Зададимся емкостью конденсатора С =
1 мкФ
Постоянные времени Т2 =
0.27; T1 = 1; TM=0.12; T3=0.033;
Подставив значения в 6.2 и 6.3,
получим:
R1 = 730 кОм
R2 = 820 кОм
R3 = 120 кОм
R4 = 46 кОм
7. Анализ скорректированной системы
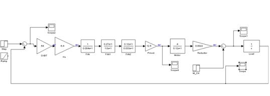
Структурная схема скорректированной
системы представлена на рисунке 15
Рисунок 15 - Структурная схема
скорректированной системы
Проанализируем скорректированную
систему с помощью пакета MATLAB. Частотные характеристики
системы приведены на рисунке 15.
Рисунок 15 - Частотная
характеристики скорректированной системы
Как видно из рисунка система
обладает достаточным запасом устойчивости по фазе
°
Подадим на вход системы задающее
воздействие g(t)в виде
ступеньки.
Переходная характеристика приведена
на рисунке 16.
Рисунок 16 - Переходная
характеристика скорректированной системы
Из рисунка видно, что
перерегулирование в системе
достигает 20 %, а время
переходного процесса
Таким образом, требования к системе
исходя из условий обеспечения заданных параметров качества удовлетворены.
Статическая ошибка системы на
воздействие типа Ramp (0.75) приведено на рисунке 17.
Рисунок 17 - Статическая ошибка
системы
Из рисунка 17 видно, что статическая
ошибка приблизительно равна 0,015 рад (0,12 градусов), что так же удовлетворяет
требования задания.
В процессе выполнения курсового проекта была
разработана и исследована электромеханическая позиционная следящая система.
Исходя из требований, предъявляемым к системе были выбраны необходимые
функциональные элементы и определены их математические модели. После чего из
условий обеспечения заданной точности чего был рассчитан необходимый
коэффициент усиления.
Анализ динамики показал, что требования к
заданным показателям качества регулирования не удовлетворены, поэтому было
принято решение о введении в систему корректирующего устройства в виде обратной
связи, передаточную функцию которого определили методом графических построений
логарифмических амплитудных характеристик. Также были рассчитаны параметры
схемной реализации корректирующего устройства.
На заключительном этапе путем моделирования
системы в пакете Matlab
определили показатели качества регулирования. Проанализировав полученные
результаты, убедились, что система полностью удовлетворяет заданным
требованиям.
ЛИТЕРАТУРА
1.
А.Д. Горбачев, А.Я. Красовский и др. Проектирование и надежность систем
автоматики и телемеханики. «Высш. школа», 1981 г.
.
Солодовников В.В., Плотников В.Н., Яковлев А.В. Основы теории и элементы систем
автоматического регулирования.- М.: Машиностроение, 1985.
.
Бесекерский В.А., Попов Е.П. Теория систем автоматического регулирования. М.,
”Наука”, 1972.
.
Синтез параметров автоматических систем из условий обеспечения заданных
показателей качества: Лекция по дисциплине “Локальные системы автоматики ”/
А.Я. Красовский. - БГУИР, 2006.