Строительство учебно-лабораторного корпуса С(А)ФУ на 550 мест в Ломоносовском округе г. Архангельска
Введение
Строительство - отрасль материального производства, в которой создаются
основные фонды производственного и непроизводственного назначения: готовые к
эксплуатации здания, строительные конструкции, сооружения, их комплексы.
Строительство на данном этапе своего развития является одной из самых
важных, основных и главных сфер производственной деятельности человека. По
окончании такой деятельности, как и предполагается, появляется различная новая
строительная продукция, отличающаяся способом и областью применения - здания и
сооружения. Но думать, что это работа быстрая, не требующая специальных
навыков, знаний и умений, по крайней мере, глупо и бессмысленно. Естественно,
что и само промышленно-гражданское строительство отличается огромным
разнообразием систем, материалов и конструкций, и требует постоянного
совершенствования промышленно-гражданских строительных технологий.
В зависимости от назначения, строящихся объектов различают следующие виды
строительства:
Промышленное (заводы, фабрики)
Транспортное (дороги, мосты, тоннели)
Жилищно-гражданское строительство (жилые дома, общественные здания)
Гидромелиоративное (системы орошения, осушения)
Каждый вид строительства требует уникальной команды для планирования,
проектирования, строительства и эксплуатации.
В жилищно-гражданском строительстве существуют следующие способы
домостроения:
крупнопанельное домостроение;
сборно-монолитное каркасное домостроение;
кирпичное домостроение;
деревянное домостроение;
панельно-каркасное домостроение;
монолитное домостроение.
Огромную роль в процессе строительства имеет выбор объемно-планировочного
и конструктивного решений. Конструкции, применяемые в строительстве должны
отвечать таким требованиям, как надежность, долговечность, прочность и малый
вес, эффективность, простота в изготовлении и монтаже, экономичность, В данный
момент развитие конструкций и материалов ведется в направлении
усовершенствования в соответствии с этими требованиями. Внедрение новых
эффективных конструкций и материалов позволяет увеличить объемы зданий и
помещений, снизить расходы на эксплуатацию зданий, уменьшить вес конструкций,
уменьшить время и упростить возведения здания и сооружения, дает возможность
проектирования новых зданий и сооружений, имеющих различную форму.
В процессе промышленно-гражданского строительства особое внимание
уделяется и проектированию, а также использованию строительных технологий. В
результате применения таких технологий в работе инженера-проектировщика
складываются оптимальные решения, позволяющие значительно облегчить его труд, а
также определить условия, подходящие для безопасного и качественного процесса
промышленно-гражданского строительства. Технологическое проектирование
промышленно-гражданского строительства может проходить на разных стадиях
проектировочных и строительных работ, а также включает в себя построение
проектов организации промышленно-гражданского строительства, производительности
работ, технологические карты, схемы и описания трудовых процессов, четко
регламентирующих технологии промышленно-гражданского строительства.
Любое строительство - это определенная последовательность работ, которые
и обозначаются в технологическом проектировании строительства. Таким образом,
чаще всего технология промышленно-гражданского строительства складывается из
нескольких этапов:
определение территории застройки;
подготовка площадки для возведения объектов промышленно-гражданского
строительства;
строительство подземных и наземных частей сооружения;
возведение конструкций, ограждающих участок строительства;
монтаж инженерных систем, сетей и коммуникаций;
наружные и внутренние отделочные работы;
монтаж специализированного оборудования;
благоустройство возведенного сооружения и прилегающих к нему территорий.
Именно с такой последовательностью должны проводиться технологии
промышленно-гражданского строительства, поскольку такая система дает
уверенность в правильности выполненных работ инженерами и специалистами
промышленно-гражданского строительства.
С развитием науки и техники процесс строительства также изменяется и
совершенствуется. В настоящее время вместе с развитием рыночных отношений и
возникновением конкурентной среды все больше внимания уделяется экономической
эффективности производства.
Внедрение новых методов строительства (таких как новые способы монтажа
конструкций, повышение технического уровня, применение поточного метода
введение работ и др.) позволяет значительно повысить эффективность технологии
строительного производства.
В данном дипломном проекте рассмотрено проектирование
учебно-лабораторного корпуса для педагогического ВУЗа. Рассмотрены вопросы
конструирования, технологии строительства, организации, планирования и
управления строительством, вопросы техники безопасности и охраны труда.
1.
Архитектурно-строительный раздел
кирпичный
монтажный кран наружный
1.1 Объемно-планировочное
решение здания
Здание учебно-лабораторного корпуса запроектировано переменной этажности
- от одноэтажных аудиторий до 5 этажей. На 1-2 этажах размещаются, в основном,
помещения филологического факультета, на вышележащих этажах - естественно-географический
факультет. В первом этаже, кроме помещений вестибюльной группы запроектировано
3 аудитории на 100 мест каждая с амфитеатром - две для филологического
факультета и одна для естественно-географического. При аудиториях
филологического факультета предусмотрен двухсветный холл-рекреация.
Планировочными приемами решена возможность доступа в здание и обучение
инвалидов-колясочников.
Для вертикальной связи запроектированы лестницы и лифты, для связи с
другими зданиями комплекса в дальнейшем, предусмотрена возможность примыкания
теплого перехода в уровне рекреации второго этажа.
Высота этажа для основных помещений учебно-лабораторного корпуса принята
3,6м. Здание коридорной системы с расположением учебных и лабораторных
помещений по обеим сторонам коридора. Поэтажно эти коридоры соединяются
обширным холлом-рекреацией, над которым на пятом этаже размещен биологический
музей с двухстветным пространством и устройством фонаря верхнего света над ним.
Музей предполагает организацию экспозиции и размещение учебных мест для
проведения лекционных занятий. В здании запроектированы технический этаж и
подвал.
Основные технико-экономические показатели:
общая площадь - 11071,2 м2;
учебно-производственная площадь - 8262,1 м2;
строительный объем - 52865,4 м3;
площадь застройки - 2810,1 м2;
Класс ответственности здания - II;
степень огнестойкости - II;
степень долговечности - II.
1.2
Архитектурно-конструктивное решение
Здание запроектировано с наружными и внутренними несущими стенами из
кирпича и частично с внутренним продольным каркасом в конструкциях серии
1.020-1/83. Пространственная жесткость здания обеспечивается замоноличенными
дисками перекрытий, передающими горизонтальную нагрузку на поперечные и
продольные стены и диафрагмы жесткости.
Фундаменты - свайные, с монолитным железобетонным ростверком.
Стены подвала - из бетонных блоков по ГОСТ 13579-78*.
Стены наружные - многослойные из внутреннего, толщиной, и наружного,
толщиной, слоев силикатного кирпича и среднего теплоизоляционного слоя из
минераловатных плит КАВИТИ БАТТСтм. Толщина наружных стен 770мм
Стены внутренние -толщиной 380мм из силикатного утолщенного кирпича по
ГОСТ 379-79.
Перекрытие и покрытие - из многопустотных железобетонных панелей по серии
1.141.1-вып.60,63 и 1.465-3 вып3.
Перегородки - толщиной 120мм из силикатного утолщенного рядового кирпича
и гипсокартона.
Перемычки - сборные железобетонные по серии 1.038.1-1 вып.1,3,4,12.
Прогоны - сборные железобетонные по серии 1.225-2 вып.11.
Продольный каркас выполнен в конструкциях по серии 1.021-1/83:
колонны - сечение 400×400мм, высотой этажа 3,6м, вып.2-7;
ригели - высотой 450мм пролетом 3,0м, 6,0м для опирания многопустотных
железобетонных плит перекрытия вып.1-3;
диафрагмы жесткости - железобетонные, вып.1-4, стальные 5-1.
Лестницы - сборные железобетонные марши, площадки и проступи по серии
1.050.1-2 вып.1.
Здание оборудовано двумя лифтами - пассажирским грузоподъемностью 500кг,
грузопассажирским - 500кг.
Крыша - плоская с холодным чердаком, рулонная, над лекционными
аудиториями и одноэтажной частью здания - рулонная совмещенная вентилируемая.
Над помещениями зоологического музея - шатер, стропильная кровля, также
стропильная кровля над главной лестницей и машинным помещением лифтов.
Окна - с тройным остеклением, у главного входа деревянный витраж, по
главной лестнице - алюминиевый витраж в конструкциях по серии 1.236.4-7/84
вып.1.
Двери наружные - по ГОСТ 24698-81, в тамбуре главного входа -
индивидуальные.
Двери внутренние - по ГОСТ 6629-74.
1.3 Наружная
и внутренняя отделка здания
Для наружной отделки стен предусматривается использовать кладку наружной
версты из силикатного кирпича с органо-силикатным покрытием под расшивку швов,
частично - декоративную известково-цементно-песчаную штукатурку "под
шубу", покраску органо-силикатной краской.
Отделка цоколя - декоративная штукатурка цементным раствором "под
шубу".
Металлические элементы кровли,парапетов - окрашиваются масляной краской.
Проектом предусмотрено устройство на крыше башни декоративной чугунной
решетки, окрашенной в черный цвет эмалью, для заполнения проемов лестничной
клетки предусмотрены витражи из алюминия, для заполнения других проемов -
пластиковые изделия.
Для отделки внутри здания применены такие материалы как гранит для
ступеней в вестибюле и холле-рекреации первого этажа, шпон для отделки
поверхностей дверей, никелированный металл в ограждениях. Предусмотрена
штукатурка и покраска водоэмульсионными, клеевыми и масляными красками,
облицовка глазурованной керамической плиткой. Для основных коммуникаций
предусмотрено устройство мозаичных полов. Подвесные потолки запроектированы из
гипсовых плит.
1.4
Благоустройство территории, назначение здания и условия его эксплуатации
Наименование объекта - Учебно-лабораторный корпус С(А)ФУ на 550 мест в
Ломоносовском округе г. Архангельска.
Основание для проектирования - приказ Министерства просвещения РСФСР №84
от 1.06.86г. об утверждении ТЭР.
Проектная организация - ГУП АО «Архангельскгражданпроект».
Заказчик - ФГАОУ ВПО «Северный (Арктический) федеральный университет им.
М.В. Ломоносова»
Стадийность проектирования - рабочий проект.
Условия строительства - Площадка, отведенная под застройку, размещена в
Ломоносовском округе в соответствии со схемой генплана, разработанной
институтом «Гипровуз». В настоящее время на участке расположены одно-двухэтажные
жилые дома. Проектом предусматривается снос этих строений. Территория
паводковыми водами не затопляется. При проектировании учитывать сложность
грунтов - наличие торфа, ила.
Тип общественного здания, назначение, этажность - учебно-лабораторный
корпус по индивидуальному проекту переменной этажности от 2х до 5ти этажей.
Основные требования к инженерному оборудованию - здание с полным
инженерным оборудованием.
Категория сложности объекта - объект несложный.
Продолжительность строительства - 44 месяца (уточняется при разработке
ПОС).
Способ строительства - подрядный.
1.4.1
Генеральный план места строительства
Генеральный план разработан на топосъемке, выполненной
"АрхТИСИЗом" от 04.05.90г. на основании следующих документов:
. Решения Горисполкома от 25.11.86. №305/17
. ТЭР, утвержденного приказом министерства просвещения PСФСР №84 от
1.06.88.
. Задания на проектирование, утвержденного в феврале I989.
. Паспорта земельного участка №3661 от 8.12.86.
Согласно схемы генплана комплекса сооружений С(А)ФУ, разработанной
институтом "ГипроВУЗ", проектируемый учебно-лабораторный корпус
входит в единый комплекс зданий, расположенных на завершении пр. Новгородского.
Постановка учебно-лабораторного корпуса выполнена на расстоянии 50м от края
проезжей части ул. Урицкого.
Благоустройство участка в этом проекте решено минимальным на площади
1,11га в связи с тем, что строительством этого учебно-лабораторного корпуса
начнется возведение всего комплекса зданий: второго учебно-лабораторного
корпуса, актового зала, библиотеки и столовой, связанных переходом.
После учебно-лабораторного корпуса вторым этапом предусматривается
строительство перехода и столовой.
Проектом благоустройства данного участка предусмотрена организация
проездов и тротуаров, необходимых для нормального функционирования здания в
окружении существующей и сохраняющейся на определенный период застройки.
Проезды и тротуары запроектированы асфальто-бетонными. Дальнейшее
благоустройство участка комплекса знаний должно вестись в развитие схемы
генплана, решенной в ТЭР по учебно-лабораторному корпусу со столовой на 550
мест.
1.4.2 Рельеф
участка строительства
Рельеф площадки ровный. Абсолютные отметки колеблются в пределах 7,39 -
9,02м по площадке учебно-лабораторного корпуса и 5,80 - 8,20 по трассам
коммуникаций.
1.4.3
Грунтовые и гидрологические условия
В геологическом строении участка на глубину пройденных скважин вскрыты
современные и верхнечетвертичные отложения, представленные сверху вниз
следующим образом:
- техногенные отложения - насыпной грунт из песка и супесчаного грунта с
битым кирпичом, обломками бетона, строительного мусора, гнездами торфа,
мощностью от 0,3 до 3,2м;
- болотные отложения - торф средне- и сильноразложившийся, коричневый и
темно-коричневый, с корнями деревьев и кустарника, водонасыщенный, мощностью от
0,4 до 4,4м;
- озерно-ледниковые отложения - суглинок мягко- и тугопластичный,
зеленовато-серый, с растительными остатками, редкими прослойками песка и
гравия, мощностью от 0,2 до 2,5м;
,5,6,7 - ледниковые отложения - суглинок тугопластичный и полутвердый
сильноопесчаненный и супесь пластичная, коричневая, с гравием и галькой до 15%,
мощностью от 0,4 - 4,6м; суглинок мягкопластичный, коричневато- и темно-серый,
с гравием и галькой 3-10%, мощностью от 0,4 до 4,2м;
- морские отложения межледниковые - суглинок полутвердый, реже твердый,
темно-серый, слоистый, с тонкими прослойками песка пылеватого.
Гидрогеологические условия площадки характеризуются наличием водоносного
горизонта, приуроченного к насыпным грунтам и торфам, и подземным водам в линзовидных
залеганиях песков. Грунтовые воды обладают общекислотной агрессивностью,
высокой степенью коррозионной активности к свинцовой и алюминиевой оболочкам
кабеля.
1.5
Теплотехнические расчеты ограждающих конструкций
.5.1 Исходные
данные для теплотехнического расчета
Класс ответственности II
Степень огнестойкости II
Расчетная температура наружного воздуха t=-31◦C
Снеговой район IV, вес снегового покрова 150 кг/м2
Ветровой район II.
1.5.2
Климатические и теплоэнергетические параметры помещений учебно-лабораторного
корпуса
Согласно СНиП 23-02-2003 и ГОСТ 30494-96 расчетная средняя температура
внутреннего воздуха принимается
Согласно СНиП 23-01-99* расчетная температура наружного
воздуха в холодный период года для условий Архангельска
, продолжительность
и средняя температура наружного
воздуха
за отопительный период.
Градусо-сутки отопительного периода
определяются по формуле (1) СНиП
23-02-2003
Согласно СНиП 23-02-2003 для этого значения градусо-суток нормируемое
сопротивление теплопередаче для наружных стен
, чердачного перекрытия
,покрытия
,окон и других светопрозрачных
конструкций
.
1.5.3 Общая
характеристика здания
Здание запроектировано переменной этажности от 2 до 5 этажей с цокольным
и техническим этажом. В здании запроектированы аудитории, лаборатории и
вспомогательные помещения. Для доступа на верхние этажи предусмотрены лестницы
и лифт.
1.5.4
Проектные решения здания
Конструктивная схема здания с несущими продольными и поперечными стенами.
Пространственная жесткость здания обеспечивается наличием внутренних стен из
кирпича и железобетонных перекрытий, образующих вертикальные и горизонтальные
диафрагмы. Устойчивость определяется устойчивостью наружных и внутренних стен,
жесткостью перекрытий, имеющих связь между собой. Стены подвала - из сборных
бетонных блоков ГОСТ 13579-78*. Конструкция наружной стены представляет собой
многослойную конструкцию из внутреннего и наружного слоев силикатного кирпича и
среднего теплоизоляционного слоя из минераловатных плит ROCKWOOL марки КАВИТИ
БАТТСтм. Наружная верста стены выкладывается из силикатного лицевого кирпича
марки М-125 на цементно-песчаном растворе марки 75. Внутренняя верста
выкладывается из силикатного кирпича марки М125 на цементно-песчаном растворе
марки 75. (рисунок 2.1)
Рисунок - 1 Конструкция наружной стены.
Источник теплоснабжения для дома - Архангельская ТЭЦ. Теплоноситель -
вода с параметрами 95-70
1.5.5
Теплотехнические расчеты ограждающих конструкций.
Площади наружных ограждающих конструкций, отапливаемые площадь и объем
здания, необходимые для расчета энергетического паспорта, и теплотехнические
характеристики ограждающих конструкций здания определялись согласно проекту в
соответствии со СНиП 23-02-2003.
Наружные стены жилой части здания.
Конструкция наружной стены представляет собой многослойную конструкцию из
внутреннего и наружного слоев силикатного кирпича и среднего теплоизоляционного
слоя из минераловатных плит ROCKWOOL марки КАВИТИ БАТТСтм. Сопротивление
теплопередаче этой стены равно

(1.1)
Поскольку
стены здания имеют однородную многослойную структуру, то при наличии оконных
проемов, образующих в стенах оконные откосы, коэффициент теплотехнической
однородности наружных стен принят r = 0,98.
Тогда
приведенное сопротивление теплопередаче стен здания, определяемое по формуле 11
СП 23-101-2004:

(1.2)
Чердачное
перекрытие жилой части дома.
Железобетонные
пустотные плиты толщиной 220 мм, эффективный утеплитель толщиной 200 мм,
цементно-песчаная стяжка толщиной 20 мм. Сопротивление теплопередаче этого
перекрытия равно
Покрытие.
Железобетонные
пустотные плиты толщиной 220 мм, эффективный утеплитель толщиной 230 мм,
цементно-песчаная стяжка толщиной 20 мм. Сопротивление теплопередаче этого
перекрытия равно.
Окна
жилой части здания - стекло и однокамерный стеклопакет в раздельных переплетах.
Сопротивление теплопередаче 
Нормируемые
значения сопротивления теплопередаче наружных ограждающих конструкций
СНиП23-02-2003 устанавливаются в зависимости oт градусо-суток отопительного
периода и района строительства для каждого вида ограждения. В таблице 2
приведены значения нормируемых и приведенных сопротивлений теплопередаче видов
ограждений рассматриваемого здания.
Таблица 1.1 - Величины нормируемых и приведенных сопротивлений
теплопередаче видов ограждений здания.
|
№ п.п.
|
Вид ограждения
|
|
|
|
1
|
Стены
|
3,13
|
3,22
|
|
2
|
Чердачное перекрытие
|
3,55
|
4,64
|
|
3
|
Окна
|
0,52
|
0,65
|
|
4
|
Покрытие
|
4,17
|
4,47
|
Выполняем проверку возможности выпадения конденсата на внутренней
поверхности стены.
Определяем температуру внутренней поверхности стены без учета
теплопроводных включений:
τв=tв-n(tв- tн5)/ Rо αв=21-(1(21-(-31)))/(3,22*8,7)=19,1 °С
Определяем температуру внутренней поверхности стены по металлическому
теплопроводному включению. Для этого вычисляем значения отношений:
δв/δн=(0,51+0,02)/(0,24+0,01)=2,1
αλт/δλ=(0,005*58)/(0,79*0,76)=0,48
ζ=0,003+(0,011-0,003/(0,5-0,25))(0,48-0,25)=0,010
Принимаем Rусл=3,22 м2°С / Вт.
τв’=tв-(n(tв- tн5)/ Rоусл αв)(1+ ζRоусл αв)=
=21-((1(21-(-31)))/(3,22*8,7))(1+0,010*3,22*8,7))=19,5 °С
Температуре внутреннего воздуха tв=21 °С соответствует максимальная
упругость водяного пара Ев=2338 Па.
Относительная влажность воздуха в помещении - φв=55%.
Вычисляем значение действительной упругости водяного пара воздуха в
помещении:
ев=
(φв*Ев)/100=(55*2338)/100=1286
Па
Приняв ев=1286 Па, находим температуру, соответствующую этому значению
упругости водяного пара, которая и будет температурой точки росы, τр=10,7°С.
Значения τв=19,1 °С, τв’=19,5 °С не ниже
τр=10,7°С, поэтому
выпадения конденсата на внутренней поверхности стены и по теплопроводному
включению не произойдет.
Температура внутренней поверхности окон должна быть не ниже 3 °С при
расчетных условиях.
Температуру внутренней поверхности наружных ограждений при расчетных
условиях следует определять но формуле:

(1.3)
Для
окон
Следовательно,
температура внутренней поверхности светопрзрачных конструкций при расчетных
условиях удовлетворяет требованиям СНиП 23-02-2003.
1.6
Инженерное оборудование здания
.6.1
Вентиляция
Вентиляция и отопление учебно-лабораторного корпуса запроектирована
согласно СНиП 2.08.02-89 и ВСН 51-86. Вентиляция аудиторий на 100 мест
запроектирована приточно-вытяжная с механическим притоком и естественной
вытяжкой. Вытяжке осуществляется через решетки, установленные в подвесном
потолке.
Воздух из объема подвесного потолка удаляется вытяжной шахтой,
установленной на покрытии аудиторий. В шахтах установлены утепленные (без
электроподогрева) воздушные заслонки с электроприводом для дистанционного
управления.
В лабораторных помещениях, где установлены вытяжные шкафы,
запроектирована механическая приточно-вытяжная вентиляция. Приточный воздух в
объеме 90% общего расчетного количества подается непосредственно в помещение, а
10% в коридоры.
Воздуховоды систем В2,ВЗ',В8,В10 запроектированы из металлопласта, систем
B6.BI5 из оцинкованной стали, остальные - из тонкой листовой кровельной стали.
Для снижения уровня шума, передаваемого по воздуховодам от вентиляторов
механические приточные и вытяжные установки оборудованы шумоглушителями.
Подбор вентиляционного приточного оборудования произведен с учетом
коэффициента загрузки аудиторий KЗ, и одновременносии их работы Kо:
КЗ=1,КО=0,7.
1.6.2.
Отопление
Отопление учебно-лабораторного корпуса запроектировано тремя отдельными
системами, каждая из которых тупиковая, однотрубная, с разводкой магистралей по
техподполью и подвалу и П-образными стояками. Отопление аудиторий на 100 мест,
прилегающих к ним помещений и гардероба, расположенного в подвале
осуществляется горизонтальными ветвями. В качестве нагревательных приборов
приняты чугунные секционные радиаторы MC-I40-I08 и гладкотрубные регистры.
Трубопроводы, проходящие в подвале и техподполье, в узле управления и в других
неотапливаемых помещениях изолировать согласно указаний на листе 0B-I.
1.6.3
Канализация
Отвод бытовых сточных вод от учебно-лабораторного корпуса запроектирован
в сеть канализации Ø600 по ул.Урицкого. Точка подключения -
существующий на сети колодец 178.
Сеть выполнить из пластмассовых труб, в месте пересечения с водопроводом
- из чугунных. Колодцы на сети выполнить из сборных железобетонных элементов.
1.6.4
Дождевая канализация
Для отвода дренажных и дождевых вод запроектирована система
дрена-водостока и дождевой канализации. Точка подключения к городской сети
кол.241 существующего коллектора Ø1000 по ул.Смольный Буян. Дренаж и
водосток выполнить из асбестоцементных напорных труб ГОСТ539-80 Ø150-400.
Колодцы на сети выполнить из сборных железобетонных элементов.
1.6.5
Тепловые сети
Проект теплоснабжения учебно-лабораторного корпуса разработан согласно
технических условий, выданных Архангельской ТЭЦ № 16-2т 1184 от 11.06.92 и ПТС
№ 4 от 17.01.92г.
Точка подключения-теплофикационная камера ТК 55-1 ранее запроектированная
Латвийским институтом "Теплоэлектропроект" к институту усовершенствования
учителей.
Согласно задания на проектирование от камеры ТК 55-1 до УТ 3
прокладываются трубы Ø530x8,0 из стали 17ГС по ГОСТ 19282-Сначала
прокладывается участок теплосети от ТК 55-1 до т.А, затем выполняется вынос
теплосети УТ6 - УТ7 и УТ8 - УТ9 Ø76x3,5 (лист ТС-6),а участки теплосети,
попадающие под проектируемую трассу, демонтируются и далее прокладывается
теплотрасса от т.А до УТЗ.
Прокладка временной теплосети запроектирована надземная на низких ж/б
опорах. После строительства постоянного варианта временная теплосеть
демонтируется.
Камера УТ1 запроектирована с учетом переспективного отмыкания к столовой
на 550 мест Ø108x4,0 и для перспективного подключения общежитий ПГУ Ø273x7,0.
В точке УТ5 к теплосети по месту подключить существующие трубы теплосети Ø76x3,5.
Теплоснабжение учебно-лабораторного корпуса запроектировано от УТ1 трубой
Ø108x4,0
с установкой спускной
арматуры в камере.
Камера УТ2 запроектирована для подключения потребителей 186 кв.к
проектируемой теплотрассе. Трубы прокладываются от УТ2 до точки УТ 4 и
подключаются по месту.
Трубопроводы теплосети прокладываются в сборных железобетонных каналах
серии 4.904-66.
Изоляцию выполнять согласно листа TC-I.
1.6.6
Радиофикация и телефонизация. Слаботочные сети.
Наружные сети радиофикации и телефонизации выполнены согласно технических
условий Арх.ГРТУ от 24.09.86 (подтверждение от 8.04.91) и Арх.ГТС от 23.09.86
(подтверждение от 10.04.91)
Радиофикация предусматривается от существующей стоечной радиолинии; точка
подключения - стойка на здании №28 по ул.Урицкого.
Фидерная радиолиния выполняется проводом БСА Ø4,3мм, подвеска - по стойкам.
Для телефонизации предусматривается прокладка кабеля ТПП-30×2×0,5
в существующей и
проектируемой телефонной канализации. Точка подключения - существующий РШ-405
(ул.Урицкого - пр.Ломоносова).
До начала строительства необходимо выполнить реконструкцию существующих
воздушных и кабельных телефонных и радиосетей.
В здании учебно-лабораторного корпуса предусматриваются следующие
слаботочные устройства:
радиофикация городская - ввод воздушный, со стоек;
телефонизация городская - ввод кабелем ТПП-30×2×0,5
в подвал;
телевидение - прием передач от телеантенн, сеть телевидения - в учебных
кабинетах, лабораториях;
оперативная телефонная связь - от установки «Псков-25» и «КДС-40/4».
звукофикация аудиторий на 100 мест - от усилителей 100У-101;
электрочасофикация - установка электронных часов в вестибюле;
оповещение о пожаре - от установки ТУ100У-101 в диспетчерской;
громкоговорители - во всех учебных кабинетах и административно-служебных
помещениях, звуковые колонки - холлах, коридорах; кнопка звонковая - в
диспетчерской.
Сеть оповещения используется для различных передач и сообщений по зданию;
звонковая сеть - для регламентации учебного процесса, кнопка звонковая в
гардеробе.
Все слаботочные сети прокладываются скрытым способом в трубах и в полу и
слое штукатурки.
В здании учебно-лабораторного корпуса в помещении диспетчерской - место
постоянного дежурства предусматривается установка приборов ППС-3 на 20 номеров
- два комплекта для пожарной сигнализаци и «Рубин-6» - для охранной
сигнализации. Количество пожарных шлейфов - 23шт.
В кабинетах: лингафонном (1 этаж); компьютерном (4 этаж); лабораториях
неорганической химии; аналитической химии; органической химии и биохимии;
физической и коллоидной химии (3 этаж) предусматривается установка приборов
охранной сигнализации т. УОТС-М с выводом на лучи прибора «Рубин-6» в
диспетчерской, используется распределительная охранно-пожарная сеть.
2.
Расчетно-конструктивный раздел
.1 Расчет монолитного
участка УМ 4.2
.1.1
Назначение размеров
Сечение монолитного участки принимаем в виде перевернутой ребристой плиты
с четырьмя продольными ребрами. Толщина каждого ребра 230мм. Толщина полки
50мм.
Рисунок
- 2 Поперечное сечение УМ-4.2
Рисунок
- 3 План УМ-4.2
Материалы
Бетон В25: Rb=14,5 МПа∙γb1=13,05 МПа; Rbt=1,05 МПа∙γb1=0,945
МПа;
γb1-коэффициент, учитывающий длительность
действия нагрузки (γb1=0,9).
Арматура сеток и хомутов: А240 Rs=240 (170) МПа
Арматура каркасов: А400: Rs=355 МПа; Еs=2·105 МПа.
2.1.2 Сбор
нагрузок на участок УМ 4.2
Таблица 3.1 - Сбор нагрузок на ребро
|
№ п/п
|
Наименование нагрузки
|
Нормативная нагрузка, кН/пог.м
|
Коэффициент надежности
|
Расчетная нагрузка,
кН/пог.м
|
|
Постоянная
|
|
1.
|
Линолеум
|
0,02
|
1,3
|
0,03
|
|
2.
|
Настил из листов ДСП,
h=20мм, γ=8кН/м3
|
0,19
|
1,3
|
0,247
|
|
3.
|
Цементно-песчаная стяжка,
h=20мм,γ=18кН/м3
|
0,43
|
1,3
|
0,56
|
|
4.
|
Звукоизоляция,
керамзитобетон, h=40мм, γ=12кН/м3
|
0,58
|
1,3
|
0,75
|
|
5.
|
Пароизоляция,один слой
рубероида, γ=0,04кН/м2
|
0,05
|
1,2
|
0,06
|
|
6
|
Собственный вес ребра γ=25кН/м3, δ=0,22м2
|
5,5
|
1,1
|
6,05
|
|
Итого постоянная
|
6,77
|
|
7,697
|
|
Временная полезная
|
2,00
|
1,2
|
2,4
|
Таблица 3.2 - Сбор нагрузок на полку
|
№ п/п
|
Наименование нагрузки
|
Нормативная нагрузка,
кН/пог.м
|
Коэффициент надежности
|
Расчетная нагрузка,
кН/пог.м
|
|
Постоянная
|
|
1.
|
Линолеум
|
0,02
|
1,3
|
0,03
|
|
2.
|
Настил из листов ДСП,
h=20мм, γ=8кН/м3
|
0,19
|
1,3
|
0,247
|
|
3.
|
Цементно-песчаная стяжка,
h=20мм,γ=18кН/м3
|
0,43
|
1,3
|
0,56
|
|
4.
|
Звукоизоляция,
керамзитобетон, h=40мм, γ=12кН/м3
|
0,58
|
1,3
|
0,75
|
|
5.
|
Пароизоляция,один слой
рубероида, γ=0,04кН/м2
|
0,05
|
1,2
|
0,06
|
|
6.
|
Засыпка пустот шунгизит, γ=2,6кН/м3, δ =0,17м2
|
0,442
|
1,3
|
0,574
|
|
7.
|
Собственный вес полки γ=25кН/м3, δ=0,05м2
|
1,25
|
1,1
|
1,375
|
|
Итого постоянная
|
2,965
|
|
3,601
|
|
Временная полезная
|
2,00
|
1,2
|
2,4
|
2.1.3 Расчет
полки монолитного участка
Полку рассчитываем как неразрезную балку шириной 1 м, опорами которой
служат ребра. Расчет ведем по 1-ой группе предельных состояний. К расчету
принимаем среднюю полку, имеющую наибольший пролет. Армирование для всех полок
принимаем одинаковым для удобства изготовления.
Рисунок
- 4 Расчетный пролет плиты
Поскольку плита имеет жесткое защемление с обеих сторон, то изгибающий
момент рассчитаем по формуле:
Определяем
поперечную силу:
=
0,5 · (gр +Vр) ∙
= 0,5 ∙ (3,601+2,4) ∙ 0,53 =1,59 кН
Расстояние
до ц.т. арматуры принимаем:
Согласно
СП 52-101-2003 п.8.3.11 «в сплошных плитах, а также в часторебристых плитах
высотой менее 300 мм и в балках (ребрах) высотой менее 150 мм на участке
элемента, где поперечная сила по расчету воспринимается только бетоном,
поперечную арматуру можно не устанавливать».
Вся
поперечная сила должна восприниматься только бетоном сечения
аx
≤ Qb min;min = 0,5 ∙ Rbt ∙ b ∙ ho;
-
рабочая высота сечения плиты:
=
h - а
а
- расстояние от нижней грани плиты до центра тяжести рабочей арматуры.= 0,05 -
0,025=0,025 м= 1,59кНmin = 0,5 ∙ 0,945 ∙ 1000 ∙ 1 ∙
0,025 = 11,81 кН > Q =1,59 кН
Условие
выполняется, поэтому поперечную арматуру в полках не устанавливаем.
Определяем
требуемую площадь сетки:
Определяем
коэффициент αm:
Где
М- изгибающий момент в сечении;призменная прочность бетона при сжатии;ширина
сечения плиты (b=1 м).
Находим
по
коэффициенты
и
:
.
м2
Принимаем
сетку
Фактическая
площадь арматуры:
Аs,
факт 0,628 cм2 > Аs, тр = 0,176 cм2
2.1.4 Расчет
ребер монолитного участка
Расчет ведем по среднему ребру как наиболее нагруженному. Поскольку полка
находится внизу, то ширину сжатой зоны принимаем равной ширине ребра.
Армирование ребер производим каркасами. Все ребра армируем одинаково.
Рисунок - 5 Схема действия нагрузки на ребро
Определение нагрузки на1 п.м. ребра:
На ребро передается нагрузка от конструкции пола над самим ребром, а так
же с половин левой и правой полок:
Определение
усилий:
Расчетная
длина ребра при шарнирном опирании составит:
Изгибающий
момент рассчитаем по формуле:
Определяем
поперечную силу:
=
0,5 · q ∙
= 0,5 ∙ 5,34 ∙ 6,425 =17,15 кН
Назначаем
расстояние от нижней грани плиты до центра тяжести рабочей арматуры:
Принимаем
а=30 мм, тогда рабочая высота сечения составит:
Рассчитаем
требуемую площадь продольной арматуры:
Принимаем
два стержня диаметром 18 мм
Расчет
наклонных сечений на действие продольной силы:
Определяем
поперечную силу, воспринимаемую бетоном:
=0,5Rbtbh0=0,5·945·0,23·0,19=20,648
кН;
=17,15≤Qbmin=20,648,
следовательно поперечная арматура устанавливается конструктивно.
Определяем
диаметр хомутов из условия свариваемости.
принимаем
хомуты d=6 мм, А240;
Шаг
поперечной арматуры
≤

=
=143 мм ≤
500 мм; S=100 мм.
Рисунок
- 6 Конструирование УМ 4.2
2.2 Расчет монолитного
участка УМ 2.17
.2.1
Назначение размеров
Сечение монолитного участки принимаем в виде перевернутой ребристой плиты
с двумя продольными ребрами. Ширина каждого ребра 300мм. Толщина полки 50 мм.
Рисунок
- 7 Поперечное сечение УМ-2.17
Рисунок
- 8 План УМ-2.17
Материалы применяем как для участка УМ 4.2
2.2.2.Сбор
нагрузок на участок УМ 2.17
Таблица 3.1 - Сбор нагрузок на ребро
|
№ п. п
|
Наименование нагрузки
|
Нормативная нагрузка,
кН/пог.м
|
Коэффициент надежности
|
Расчетная нагрузка,
кН/пог.м
|
|
Постоянная
|
|
1.
|
Линолеум
|
0,02
|
1,3
|
0,03
|
|
2.
|
Настил из листов ДСП,
h=20мм, γ=8кН/м3
|
0,19
|
1,3
|
0,247
|
|
3.
|
Цементно-песчаная стяжка,
h=20мм,γ=18кН/м3
|
0,43
|
1,3
|
0,56
|
|
4.
|
Звукоизоляция, керамзитобетон,
h=40мм, γ=12кН/м3
|
0,58
|
1,3
|
0,75
|
|
5.
|
Пароизоляция,один слой
рубероида, γ=0,04кН/м2
|
0,05
|
1,2
|
0,06
|
|
6
|
Собственный вес ребра γ=25кН/м3, δ=0,22м2
|
5,5
|
1,1
|
6,05
|
|
Итого постоянная
|
6,77
|
|
7,697
|
|
Временная полезная
|
2,00
|
1,2
|
2,4
|
Таблица 3.2 - Сбор нагрузок на полку
|
№ п. п
|
Наименование нагрузки
|
Нормативная нагрузка,
кН/пог.м
|
Коэффициент надежности
|
Расчетная нагрузка,
кН/пог.м
|
|
Постоянная
|
|
1.
|
Линолеум
|
0,02
|
1,3
|
0,03
|
|
2.
|
Настил из листов ДСП,
h=20мм, γ=8кН/м3
|
0,19
|
1,3
|
0,247
|
|
3.
|
Цементно-песчаная стяжка,
h=20мм,γ=18кН/м3
|
0,43
|
1,3
|
0,56
|
|
4.
|
Звукоизоляция,
керамзитобетон, h=40мм, γ=12кН/м3
|
0,58
|
1,3
|
0,75
|
|
5.
|
Пароизоляция,один слой
рубероида, γ=0,04кН/м2
|
0,05
|
1,2
|
0,06
|
|
6.
|
Засыпка пустот шунгизит, γ=2,6кН/м3, δ =0,17м2
|
0,442
|
1,3
|
0,574
|
|
7.
|
Собственный вес полки γ=25кН/м3, δ=0,05м2
|
1,25
|
1,1
|
1,375
|
|
Итого постоянная
|
2,965
|
|
3,601
|
|
Временная полезная
|
2,00
|
1,2
|
2,4
|
2.1.3 Расчет
полки монолитного участка
Полку рассчитываем как неразрезную балку шириной 1 м, опорами которой
служат ребра. Расчет ведем по 1-ой группе предельных состояний. К расчету
принимаем среднюю полку, имеющую наибольший пролет. Армирование для всех полок
принимаем одинаковым для удобства изготовления.
Рисунок
- 9 Расчетный пролет плиты
Поскольку плита имеет жесткое защемление с обеих сторон, то изгибающий
момент рассчитаем по формуле:
Определяем
поперечную силу:
=
0,5 · (gр +Vр) ∙
= 0,5 ∙ (3,601+2,4) ∙ 0,6 =1,8 кН
Расстояние
до ц.т. арматуры принимаем:
Вся
поперечная сила должна восприниматься только бетоном сечения
аx
≤ Qb min;min = 0,5 ∙ Rbt ∙ b ∙ ho;
=
1,8кНmin = 0,5 ∙ 0,945 ∙ 1000 ∙ 1 ∙ 0,025 = 11,81 кН
> Q =1,8 кН
Условие
выполняется, поэтому поперечную арматуру в полках не устанавливаем.
Определяем
требуемую площадь сетки:
Определяем
коэффициент αm:
Где
М- изгибающий момент в сечении;призменная прочность бетона при сжатии;ширина
сечения плиты (b=1 м).
Находим
по
коэффициенты
и
:
.
м2
Принимаем
сетку
Фактическая
площадь арматуры:
Аs,
факт 0,628 cм2 > Аs, тр = 0,227 cм2
.2.4 Расчет
ребер монолитного участка
Поскольку полка находится внизу, то ширину сжатой зоны принимаем равной
ширине ребра. Армирование ребер производим каркасами. Ребра армируем одинаково.
Рисунок
- 10 Схема действия нагрузки на ребро
Определение нагрузки на1 п.м. ребра:
На ребро передается нагрузка от конструкции пола над самим ребром, а так
же с половин левой и правой полок:
Определение
усилий:
Расчетная
длина ребра при шарнирном опирании составит:
Изгибающий
момент рассчитаем по формуле:
Определяем
поперечную силу:
=
0,5 · q ∙
= 0,5 ∙ 4,832 ∙ 6,16 =14,883 кН
Назначаем
расстояние от нижней грани плиты до центра тяжести рабочей арматуры:
Принимаем
а=30 мм, тогда рабочая высота сечения составит:
Рассчитаем
требуемую площадь продольной арматуры:
Определяем
коэффициент аm:
Принимаем
два стержня диаметром 16 мм
Расчет
наклонных сечений на действие продольной силы:
Определяем
поперечную силу, воспринимаемую бетоном:
=0,5Rbtbh0=0,5·945·0,3·0,19=26,93
кН;
=14,883≤Qbmin=26,9
следовательно поперечная арматура устанавливается конструктивно.
Определяем
диаметр хомутов из условия свариваемости.
принимаем
хомуты d=6 мм, А240;
Шаг
поперечной арматуры
≤

=
=143 мм ≤
500 мм; S=100 мм.
.3 Расчет
кирпичного простенка
.3.1 Исходные данные
Здание с разбивочной сеткой
Ширина здания 54,4м, длина 51,4м.
Толщина наружной несущей стены h=770мм.
Высота этажа Hst=3,3м.
Число этажей nst=5.
Высота стены подвала Hp=3,3м.
Постоянные расчетные нагрузки на:
а) Межэтажные перекрытия q1=4,26кПа.
б) Чердачное перекрытие q2=5кПа
в) Кровля q3=2,2кПа
Временная нормативная нагрузка на перекрытия.
а) Длительная =5кПа
б) Кратковременная =4кПа
в) Полная =9кПа
Марка кирпича для стен - М75, марка раствора для стен - 25.
Место строительства - г.Архангельск.
Угол внутреннего трения грунта φ=31 град.
Класс бетона блоков стен подвала В10
Марка раствора швов кладки стен подвала - 50
Расчетное сопротивление кладки стен - R=1/1 Мпа.
Снеговая нагрузка расчетная ps=2,4кПа (IV снеговой район)
Нормативная ветровая нагрузка qw,n=0,48кПа.
Привязка наружных стен - 0мм.
.3.2 Расчет
простенка наружной стены первого этажа
.3.2.1 Определение
расчетных усилий на простенок
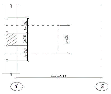
Определяем ширину грузового участка:
= L - а = 5140 - 0 = 5140мм = 5,14м
Где а - привязка стен;- расстояние между разбивочными осями.
Длина грузовой площадки простенка:
Где Lp - ширина простенка, принимается в зависимости от размеров окна и
назначается, как правило, кратным размерам кирпича;- ширина оконных проемов.
Рисунок - 11 Схема определения грузовой площади простенка
Грузовая площадь простенка:
Так как грузовая площадь менее 9м2, то коэффициент сочетания нагрузок от
одного перекрытия φА1=1.
То же от четырех перекрытий (при пятиэтажном здании):
Подсчет усилия N1 на простенок от вышерасположенных этажей на уровне низа
перекрытий первого этажа, ведем исходя из грузовой площади и действующих
нагрузок на перекрытия, покрытия и кровлю:
=q1*Аq*(nst-1)+psh*Yf*Ѱn1*(nst-1)*Аq+q2*Аq+q3*lq*(lk/2+h+lkr)+ps*lq*
(lk/2+h+lkr)=4,26*5,962*(5-1)+9*1,3*0,7*(5-1)*5,962+5*5,962+2,2*2,32*
(5,8/2+0,64+1)+1,2*2,32*(2,8/2+0,64+1)=403,21кН
Где ps - снеговая нагрузка
Рисунок - 12 Схема передачи усилий с перекрытия на стены
Подсчет усилий N2 от нагрузок перекрытия первого этажа производим по
формуле:
=Аq*q1+psh*Yf*Ѱn1*Аq=5.962*4.26+9*1.3*1*5.962=105.4Кн
Учитывая, что длинна опорной зогы плит на стене для кладки принимается 12
см, определим «с»:
Эксцентриситет приложения силы N2:
Усилия от собственного веса стен N3 определяется от веса кладки,
штукатурки на стенах, веса оконного заполнения. Для подсчета усилия от веса
кладки N3 проведем промежуточные расчеты.
Площадь рассматриваемого участка стены
А=H*lq=20.96*2.32 =48.627м2
Где Н - высота стен до верха парапетного или карнизного участка.
Площадь оконных проемов:
Аf=lf*hf*nst=1,29*1,9*5=12,255м2
Где lf,hf - соответственно ширина и высота оконного проема.
Площадь кладки:
=А-Аf=40.136-12.255=27.881м2
Объем кладки
Vk=Sk*h=27.881*0.64=17.84м3
Усилие от веса кладки N3,1:
.1=Vk*y*yf=17.84*18*1.1=353.23Кн
Где y - средняя плотность кладки
Усилие от веса штукатурки N3,2 определяется по схеме. Определим площадь
штукатурке, с учетом оштукатуривания откосов и верха проема и площади
занимаемого перекрытиями:
=Sk+(h-бf)*(hf*2+lf)*nst - lq*hp*nst = 27,881+(0,77-0,25)* (1,9*2
+1,29)*5-2,32*0,3*5=35,33м2
Где бf - ширина оконных блоков и четвертей;
бf=0,25м.2=Ss*бs*y*yf=35.33*0.02*18*1.3=16.1кН
бs - толщина штукатурки: бs=0,02м
Усилие от веса оконного заполнения N3.3 определяется по формуле:
.3=Аf*gf=12,255*0,5=6,13 кН
Где йа - вес 1м2 окон.
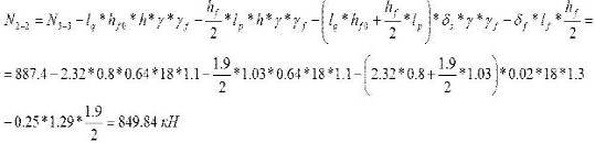
Таким образом, суммарная продольная сила составит:
=N3.1+N3.2+N3.3=353.23+16.1+6.13=375.5 кН
Рисунок - 13 Характер распределения усилий в сечениях простенка
Усилия N определим с учетом уменьшения усилий от массы кладки, штукатурки
и окон от сечения 3-3 к сечению 1-1
-3=N1+N2+N3=404.51+107.38+375.5=887.4 кН
Где hf0=0,8м - высота подоконной части стены.
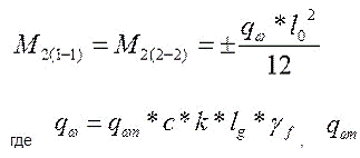
Момент М1 (1-1) от нагрузки с перекрытия в сечении 1-1 опредеяется:
М1(1-1)=N2*е=107,38*0,28=30,1 кНм
М1(2-2)=0,5*М1(1-1)=30,1*0,5=15,05 кНм
Момент от ветровой нагрузки при давлении ветра (qω):
- нормативная ветровая нагрузка;
с,k - коэффициенты, принимаемые по СНиП, в зависимости от ветрового
района, направления действия ветра, форма поверхности, высоты здания и типа
местности;=1,4 коэффициент надежности по ветровой нагрузке;- расчетная высота
простенка, равная расстоянию от пола до низа перекрытия.
При отрицательном значении в сечении 1-1 и 3-3 и положительном в сечении
2-2:
qω=0,48*0,8*0,5*2,32*1,4=0,62кН/м
.3.2.2 Расчет простенка
Расчет простенка первоначально проведем как каменного элемента по формуле
Проверяем все три сечения, так как по высоте меняются значения
коэффициента продольного изгиба φ. Если в сечении 1-1 и 3-3 следует
принимать φ=1, то в сечении 2-2 оно равно расчетному значению. Коэффициент,
учитывающий длительность действия нагрузки mq=1 во всех сечениях, т.к. h>30 см.
Проводим расчет сечения 1-1:
Площадь сжатой зоны определим для прямоугольного простенка по формуле
Эксцентриситет приложения продольной силы равен:
т.к. е0<0,7у=0,7*32=22,4 см. то расчет по раскрытию трещин можно не
проводить.
Коэффициент ω, учитывающий работу растянутой зоны определим из
формулы
Отсюда требуемое сопротивление каменной кладки сжатию:
тр>R=1.1 МПа, т.е. требуется постановка сеток в горизонтальные швы.
Перенапряжение:
Сечение 3-3:
То есть элемент можно рассчитать как центрально сжатый при ω=1
и mq=1
тр>R=1.1 МПа, т.е требуется постановки сеток в горизонтальные швы.
Сечение 2-2:
М=М1(2-2)+М2(2-2)=15,05+0,349=15,4 кНм-2=849,84 кН
Определим коэффициент φ1:
Φ определяется как для полного сечения,
а φс только при учете сжатой части
сечения.
Определяем площадь сжатой зоны:
Отсюда при ширине простенка 103 см, условная высота его сжатой части
составит:
При определении ƛhc - гибкости элемента - норма требуют учитывать только
высоту с однозначной эпюрой моментов. В нашем случае в связи с малостью момента
от ветровой нагрузки зона отрицательных моментов составит ≈ 0,9 Н.
Нс = (3,3-0,3)*0,9 = 2,7 м
Гибкость при полном сечении составит:
При учете только сжатой зоны:
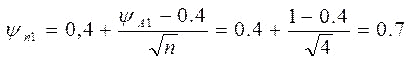
По таблице с помощью интерполяции определяем: φ=0,9956
φ=0,9906 таким образом:
тр>R=1.1 МПа, т.е. требуется постановка сеток в горизонтальные швы.
3.
Технологическая карта на производство кирпичной кладки
.1 Область
применения
Технологическая карта разработана для применения при производстве
кирпичной кладки учебно-лабораторного корпуса С(А)ФУ, расположенного в
Ломоносовском округе г. Архангельска.
Потребность в материалах [ГЭСН 8-02-08-2001]:
на 1 м3 кладки наружных стен из силикатных утолщенных кирпичей с
облицовкой лицевым кирпичом:
кирпич утолщенный силикатный - 223 шт.;
кирпич утолщенный лицевой - 82 шт.;
раствор готовый кладочный - 0,25 м3;
) на 1 м3 кладки внутренних стен из утолщенного силикатного кирпича:
кирпич утолщенный силикатный - 305 шт.;
раствор готовый кладочный - 0,234 м3;
) на 100 м2 площади перегородок из утолщенного силикатного кирпича:
кирпич утолщенный силикатный - 3881 шт.;
раствор готовый кладочный - 2,3 м3.
Карта предназначена для организации труда рабочих при кладке кирпичных
стен и перегородок третьего этажа.
В состав работ, рассматриваемых в технологической карте, входят:
кирпичная кладка стен;
установка, перестановка подмостей;
транспортные и такелажные работы;
устройство и разборка защитных козырьков.
Работы по устройству кирпичной кладки ведутся в 2 смены
3.2
Организация и технология выполнения работ
.2.1
Подготовительные работы
До начала кладки стен этажа необходимо:
обеспечить запас материалов и конструкций в количестве, необходимом для
производства работ на 5 дней;
подготовить необходимое оборудование, инвентарь, инструменты и
приспособления, подмости;
обеспечить освещенность на рабочих местах не менее 25 лк;
очистить рабочие места от мусора и посторонних предметов;
разбить фронт работ на захватки и делянки;
нанести осевые риски для кладки стены;
проверить горизонтальность и вертикальность нижележащего основания под
кладку;
расположить материалы, инструменты и приспособления в соответствии со
схемой организации рабочего места;
установить подмости для кладки второго и третьего ярусов и проверить их
исправность.
установить защитные козырьки с наружной стороны стены;
установить леса для кладки облицовки наружных стен и установки
утеплителя.
3.2.2
Технология производства процесса кирпичной кладки
Технологической картой предусмотрена разбивка здания на 2 захватки.
Процесс каменной кладки состоит из следующих операций:
установка порядовок и натягивание причалки;
рубка и теска кирпичей (по мере необходимости);
подготовка постели, подача и разравнивание раствора;
укладка кирпича;
проверка правильности кладки внутреннего несущего слоя наружной стены;
расшивка швов (при необходимости).
Основными производственными инструментами каменщика являются:
комбинированная кельма, предназначенная для разравнивания раствора на
стене, заполнения швов и откалывания кирпича;
молоток-кирочка - для рубки и тески кирпича и керамических камней;
лопата растворная для подачи раствора на стену, расстилания раствора на
стене при образовании швов и перемешивания раствора в ящике;
расшивка для придания растворным швам необходимой формы.
Кладку стен всегда, независимо от системы перевязки, начинают с наружной,
то есть с лицевой тычковой версты первого ряда. Применяем однорядную систему
перевязки швов.
При кладке с облицовкой необходимо соблюдать следующие требования:
) перевязка лицевого слоя производится сплошными тычковыми рядами (2
тычковых ряда на 6 рядов лицевой кладки);
) облицовочную кладку армируют сетками 4Вр I с ячейкой 50х50мм через
450мм (3 ряда кладки) в целях повышения ее несущей способности. При армировании
сетки следует укладывать по всему сечению стены, включая облицовку. В местах
пересечения с внутренними стенами выполняется армирование сварными сетками 4Вр
I с ячейкой 50х50мм через 3 ряда кладки. Арматурные сетки обязательно
укладываются под и над плитой перекрытия. Необходимо следить за тем, чтобы
толщина швов, в которых расположена арматура, превышала диаметр арматуры не
менее чем на 4 мм при соблюдении средней толщины шва для данной кладки. Диаметр
проволоки поперечных сеток для армирования кладки 3-8 мм. Применение отдельных
стержней (укладываемых взаимно перпендикулярно в смежных швах) вместо сварных
прямоугольных сеток запрещается;
) толщина растворных горизонтальных швов должна быть не менее 10мм и не
более 15мм (в среднем 12мм в пределах этажа). Толщина вертикальных швов - 9-11мм.
Отсутствие заполнения кладочным раствором вертикальных швов не допустимо. Для
кладки используется раствор с осадкой конуса 7-8см.
Кирпичную кладку начинают с закрепления угловых и промежуточных
порядовок. Их устанавливают по периметру стен по отвесу и уровню или нивелиру.
Порядовки располагают на углах, в местах пересечения и примыкания стен, а также
на прямых участках стен на расстоянии 10-12 м друг от друга. По порядовкам
укладывают маяки на углах в виде штрабы, которые устанавливают на границе возводимого
участка. Между порядовками натягивают причалку, во избежание ее провисания
между маяками под шнур подкладывают деревянный маячный кирпич, толщина которого
равна высоте ряда кладки. Поверх маячного кирпича кладут обыкновенный кирпич,
которым прижимают шнур. Маячные кирпичи укладывают через 4-5 м с выпусками за
плоскость стены на 2-3 см. Причалка служит направляющей при укладке наружных и
внутренних верст, причем на наружных верстках причалку устанавливают для
каждого ряда кладки, а на внутренних - через три, четыре ряда. Установку
порядовок и причалок выполняет каменщик наиболее высокой квалификации в звене.
При работе звено «четверка» делится на две «двойки». Первое звено
«двойка» выполняет кладку облицовки, второе вслед за ним - кладку стены из
силикатных кирпичей.
Звено «двойка» состоит из каменщика IV (V) разряда и каменщика II
разряда. В таком звене каменщик IV (V) разряда устанавливает порядовку,
натягивает причалку, ведет кладку верстовых рядов, забутку, приколку кирпича, а
каменщик II разряда подает и расстилает раствор, раскладывает кирпич, помогает
класть забутку. Ведущий каменщик выкладывает лицевой ряд до конца делянки и
переходит ко второму ряду, затем в обратном направлении кладут внутреннюю
версту и т.д.
При работе звено «пятерка» делится на «двойку» и «тройку».
Звено «тройка» состоит из каменщика IV (V) разряда и двух каменщиков II
разряда. В таком звене каменщик высшего разряда укладывает верстовые ряды, один
каменщик II разряда выполняет забутку, а другой - подает раствор и кирпич на
стену.
После окончания кладки яруса на одном участке каменщики переходят на
другой участок, а на первом устанавливают и переставляют подмости.
Разрывы в кладке допускаются при условии ограничения их наклонными или
вертикальными штрабами. Если разрыв выполняется вертикальной штрабой, то в швы
кладки штрабы должна быть заложена конструктивная арматура диаметром до 8мм.
Арматурные стержни укладывают через каждые 2м по высоте и обязательно в уровнях
перекрытий. По окончании кладки обязательна проверка нивелиром горизонтальности
и отметок верха кладки. Вертикальность и горизонтальность на ярусе проверяется
два раза.
При кладке стен вести тщательный контроль качества кладки (толщина и заполнение
швов, качество раствора, укладка арматурных сеток). Не допускается подколка
камней. Для образования камней необходимых размеров, когда невозможно
использовать стандартные (в рядах и простенках, не кратных камню, под и над
перемычками и плитами перекрытий и других нестандартных местах) камни
необходимо распиливать так, чтобы они имели ровные грани, а толщина растворных
швов не увеличивалась.
При производстве работ необходимо следить за тщательным заполнением всех
швов кладки, так как плохое заполнение швов раствором ведет к снижению
прочности кладки, увеличивает продуваемость, уменьшает ее теплозащитные
свойства. Отсутствие заполнения кладочным раствором особенно вертикальных швов
не допустимо.
В период дождей необходимо принимать меры по защите кирпича на
стройплощадке и кладки стен от увлажнения. Для этого контейнер с кирпичом или
верхний ряд кладки в стенах закрывать брезентом, рубероидом или другими
водонепроницаемыми материалами.
3.2.3
Особенности производства каменных работ в зимнее время
При возведении каменных зданий в зимних условиях производство работ может
выполняться следующими способами:
) замораживанием;
) замораживание в сочетании с искусственным полным или частичным
оттаиванием и обогревом кладки нижележащих этажей;
) с применением противоморозных добавок;
) с искусственным обогревом раствора в швах в процессе возведения кладки;
) в тепляках.
Выбор способа выполнения кладки в зимних условиях осуществляется в
зависимости от сроков строительства и метеорологических условий.
При кладке способом замораживания допускается замерзание раствора в швах
кладки и последующее оттаивание и твердение при потеплении. Данным способом
допускается возводить конструкции до 15м. Кладку способом замораживания
выполняют на растворах марки не ниже М100, с запасом тепла, достаточным на
время его укладки и обжатия камнями кладки до требуемой толщины шва, а также
для частичного влагообмена между раствором и кладкой, чтобы достичь
определенной прочности его до замерзания. Использование замерзшего или
отогретого горячей водой раствора не допускается.
Раствор нагревается за счет разогрева воды затворения и в необходимых
случаях - песка. Начальную температуру разогрева раствора назначают с учетом
остывания его в процессе транспортирования и подачи к рабочему месту. Перевозка
раствора осуществляется автосамосвалами с обогревом кузова. Выгрузка раствора
осуществляется в утепленные растворные ящики.
Температура раствора в момент укладки должна соответствовать значениям,
приведенным в таблице 3.1.
Таблица 3.1 - Минимальные температуры раствора при возведении кладки
способом замораживания
|
Среднесуточная температура
наружного воздуха, оС
|
Положительная температура
раствора на рабочем месте кладки
|
|
при скорости ветра, м/с
|
|
до 6
|
более 6
|
|
до -10
|
5
|
10
|
|
от -11 до -20
|
10
|
15
|
|
ниже -20
|
15
|
20
|
Перед укладкой раствор перелопачивается в утепленном ящике. Укладка
раствора в дело производится до начала схватывания. Схватившийся раствор
применять запрещается. Растворную постель для кладки приготовляют не более чем
1,5 м длины стены. Кладка кирпича по подготовленной постели должна быть
выполнена не позднее, чем через 10 минут от начала раскладки раствора.
При замерзании прочность раствора увеличивается, но с наступлением
оттепели он из твердого состояния переходит в пластичное, и прочность кладки
резко снижается, достигая критической величины.
Снижение конечной прочности кладки, выполняемой способом замораживания,
следует компенсировать повышением марки раствора. Марка раствора повышается на
одну ступень при среднесуточной температуре наружного воздуха до -20оС, на две
ступени - при температуре ниже -20оС.
При кладке зимой пяти любых этажей способом замораживания простенки
нижнего этажа армируют через два ряда кладки, следующего через три ряда и всех
последующих как для летних условий. Толщина швов кладки должна быть не более
12мм. К моменту перерыва в работе все вертикальные швы верхнего ряда должны
заполнятся раствором. При устройстве оконных и дверных проемов в стенах
необходимо предусмотреть осадочные запасы на деформацию простенков в период
оттаивания в размере 5мм по высоте. Наружные и внутренние стены должны
возводится одновременно с тщательной перевязкой кладки в местах пересечения
стен. В вынужденных случаях разрывы в кладке выполнять в виде штрабы не более
1м по высоте. Оставлять в стенах горизонтальные борозды и штрабы не
допускается.
Для предохранения от обледенения и заноса снегом на время перерыва в
работе верх кладки необходимо накрывать.
До наступления оттаивания конструкций должны быть проведены следующие
мероприятия:
произведена проверка этих конструкций по несущей способности,
не заделанные гнёзда, штрабы и другие ослабления несущих конструкций
должны быть заделаны кирпичом;
с междуэтажных перекрытий должны быть удалены случайные,
непредусмотренные проектом нагрузки (строительный мусор, остатки строительных
материалов);
усилены простенки временными деревянными креплениями путем укладки на
подоконные участки проемов парных горизонтальных разгрузочных брусьев, на
которые устанавливаются деревянные стойки диаметром 160-200 мм (по две с каждой
стороны простенка), плотно прижимаемые к перемычкам парными клиньями;
за оттаиванием кладки вести тщательное наблюдение в течение всего периода
оттаивания с принятием мер, обеспечивающих прочность и устойчивость возводимых
конструкций. О наблюдениях и принятых мерах делаются отметки в журнале, где
указываются: величина, направление и равномерность осадки кладки; развитие
повреждений и деформаций; контроль за процессом твердения раствора в швах
кладки; принятие по обеспечению прочности и устойчивости кладки.
Кладка с применением противоморозных добавок, обеспечивающих твердение
раствора при отрицательной температуре. В качестве противоморозных добавок,
обеспечивающих твердение растворов на морозе, рекомендуется применять поташ или
нитрит натрия. Допускается применять и другие разновидности химических добавок,
обеспечивающих твердение растворов на морозе, не вызывающих коррозии арматуры и
каменных материалов кладки, обеспечивающих долговечность раствора в
эксплуатационных условиях.
Химические добавки вводят при приготовлении раствора. Они снижают
температуру его замерзания и обеспечивают тем самым обжатие и частичное
твердение при отрицательных температурах.
Количество вводимых в раствор добавок зависит от температуры наружного
воздуха, ожидаемой в первые 10 суток после возведения кладки (табл. 3.2).
Таблица 3.2
Количество противоморозных добавок от массы цемента, %
|
Противоморозная добавка
|
Среднесуточная температура
наружного воздуха, оС
|
Количество добавок в % от
массы цемента
|
|
Поташ (К2СО3)
|
до -5 от -5 до -10 от -11
до -20 от -21 до -30
|
5 10 12 15
|
|
Нитрит натрия (NаNO2)
|
до -5 от -5 до -10
|
5 10
|
При использовании в качестве противоморозной добавки поташа, который
является сильным ускорителем схватывания, должны обеспечиваться условием
сохранения рабочей подвижности раствора в течение 1,5 - 2 часов. Для этой цели
в раствор с добавкой поташа вводится водный раствор сульфитно-дрожжевой бражки
или других замедлителей схватывания. Потребное количество сульфитно-дрожжевой
бражки устанавливается на пробных замесах, но должны быть не более 1% по весу
для портландцемента.
3.2.4
Разработка технологической схемы производства работ
Для рациональной организации работы принимаем поточно-расчлененный метод
организации работ. Принимаем этаж-захватную организацию кладки. Здание в плане
делится на две захватки, на которых работает комплексная бригада. Каждая
захватка делится на делянки. Количество делянок и их размер устанавливают в
зависимости от трудоемкости кладки и сменной выработки звена. Размеры делянок
рассчитывают так, чтобы работающие не стесняли друг друга, и чтобы не возникла
необходимость перехода звеньев в течение смены на другие делянки. Размеры
делянок определяются по формуле:
(3.1)
где
продолжительность рабочей смены, ч,
;
планируемый
коэффициент выполнения норм;
норма
выработки:
(3.2)
где
норма времени, ч.-час;
количественный
состав звена каменщиков, чел;
толщина
стены, м;
высота
яруса, м;
коэффициент
проемности, учитывающий наличие оконных и дверных проемов:
(3.3)
где
площадь фасада в пределах захватки, м²;
площадь
проемов в пределах захватки, м².
Значения
коэффициентов проемности сводим в таблицу 3.3
Таблица 3.3 - Значения коэффициентов проемности
|
№ захватки
|
Толщина стен, мм
|
Площадь стен, м²
|
Площадь проемов, м²
|
Коэффициент проемности
|
|
1 захватка
|
770
|
385,34
|
82,82
|
0,79
|
|
380
|
243,24
|
25,52
|
0,90
|
|
120
|
97,32
|
6,81
|
0,93
|
|
2 захватка
|
770
|
325,13
|
63,95
|
0,80
|
|
380
|
275,98
|
33,33
|
0,88
|
|
120
|
143,21
|
5,72
|
0,96
|
Количество звеньев определяется по формуле:
(3.4)
где
периметр стены в пределах захватки, м;
длина
делянки звена каменщиков, м.
При
кладке стен толщиной 770 мм на 1-й захватке длина делянки равна:
звеньев;
При
кладке стен толщиной 380мм на 1-й захватке длина делянки равна:
.
звеньев.
При
кладке стен толщиной 120мм на 1-й захватке длина делянки равна:
звена
При
кладке стен толщиной 770мм на 2-й захватке длина делянки равна:
звеньев.
При
кладке стен толщиной 380мм на 2-й захватке длина делянки равна:
звеньев.
При
кладке стен толщиной 120мм на 2-й захватке длина делянки равна:
звена.
Каждый
этаж по высоте делится на три яруса. Высота каждого яруса стены назначается с
таким расчетом, чтобы уровень кладки после каждого перемащивания был выше
рабочего настила не менее чем на два ряда. Высота первого, второго и третьего
яруса принимаем 1,2 м. Кладка в каждой захватке ведется на высоту всего этажа,
затем каменщики переходят на другую захватку, а на первой выполняется монтаж конструкций.
Кладка
2-го и 3-го яруса ведется с дополнительных средств подмащивания. При
производстве кирпичной кладки стен используем инвентарные универсальные
пакетные подмости ППУ-4, индивидуальные щиты подмащивания, для кладки наружных
стен в зоне лестничной клетки - переходные площадки.
Средства
подмащивания высотой 1,3м и более должны иметь ограждения и бортовые элементы
высотой не менее 1,0... 1,1м. Для подъёма и спуска людей подмости должны быть
оборудованы лестницами. Деревянный настил и бортовое ограждение настила
подмостей должны быть обработаны огнезащитным составом.
Установка
и перестановка подмостей осуществляется башенным краном.
Перед
началом каждой смены необходимо проверить техническое состояние подмостей.
Плановые и периодические осмотры подмостей следует производить не реже одного
раза в месяц.
Спецификация
средств подмащивания для возведения кирпичной кладки и схема их расстановки
приведена на листе 6 графической части.
3.2.5
Организация рабочего места каменщика
Рабочее место каменщика при кладке стен включает участок возводимой стены
и часть подмостей, в пределах которой размещаются материалы, приспособления,
инструменты и передвигается каменщик.
Рабочее место каменщика должно находится в радиусе действия крана и иметь
ширину 2,5 м, за исключением работ, ведущихся с индивидуальных подмостей. Стена
по высоте разделена на ярусы высотой 1,2 м.
При кладке простенков и глухих участков стен ширина рабочего места
2,5-2,6 м. В этом случае ширина рабочей зоны составляет 0,7 м, свободная зона
для прохода рабочих - 0,5 м и зона складирования материалов - 1,6м. При кладке
углов стен вдоль участка кладки оставляют свободную полосу шириной 0,7м -
рабочую зону , поддоны с кирпичом ставят ближе к углу, повернув ящики с
раствором длинной стороной поперёк стены. При кладке стен с проёмами ящики с
раствором устанавливают против проёмов на расстоянии не более 4 м друг от
друга. Поддоны с кирпичом устанавливают против простенков. Расстояние между
поддонами с кирпичом и ящиками с раствором равно 0,3-0,4м. Число поддонов с
кирпичом, камнем и ящиков с раствором, их чередование зависит от толщины стены
и числа проёмов на данном участке.
Подготовку рабочих мест каменщиков выполняют в следующем порядке:
устанавливают подмости, на подмостях расставляют поддоны с кирпичом в
количестве, необходимом для двухчасовой работы, расставляют ящики для раствора.
Возведение кирпичной кладки последующего этажа допускается только после
укладки конструкций перекрытий возведенного этажа, замоноличивании швов между
плитами перекрытий.
Подача строительных материалов на рабочее место осуществляется башенным
краном. Подача раствора на рабочие места каменщиков производится при помощи
раздаточного бункера непосредственно в растворные ящики. Растворные ящики на
рабочем месте заполняются раствором за 10-15мин до начала кладки.
3.2.6
Определение состава бригады
Требуемое количество рабочих определяется по формуле:
(3.5)
где
- общие трудозатраты, чел-ч. Принимается по итогам
калькуляций;
- общие
трудозатраты, маш-ч. Принимается по итогам калькуляций.
При
подборе квалификационного и численного состава бригады следует учесть
нормативный состав звена для выполнения каждого вида работ.
Определение
количественного состава бригады сводим в таблицу 3.4.
Таблица 3.4 - Определение количественного состава бригады
|
Специальность
|
, чел-ч. ,
маш-ч. , чел.Процентное отношение, %Количество, чел1 смена2
смена
|
|
|
|
|
|
|
|
каменщики
|
2430,67
|
11,55
|
24
|
91,33
|
22
|
11
|
11
|
|
такелажники
|
169,15
|
84,58
|
|
6,36
|
4
|
2
|
2
|
|
плотники
|
58,74
|
19,58
|
|
2,21
|
4
|
2
|
2
|
|
монтажники
|
2,8
|
0,7
|
|
0,1
|
4
|
2
|
2
|
|
итого:
|
2661,35
|
115,70
|
|
100
|
34
|
17
|
17
|
Принимаем бригаду в составе: каменщики 5 разр. -2 чел., 4 разр. - 4 чел.,
разр. - 4 чел., 2 разр. - 1 чел., такелажники 2 разр. - 2 чел.; плотники
4 разр. - 1 чел., 2 разр. - 1 чел., монтажники 4 разр.-1чел.,3 разр.-1 чел.
3.3
Калькуляция затрат труда, машинного времени и заработной платы
Калькуляция затрат труда, машинного времени и заработной платы на
выполнение работ по возведению кирпичной кладки представлена в таблице 4.5.
Таблица 3.5 - Калькуляция затрат труда, машинного времени и заработной
платы
|
№
|
Основание ЕНиР
|
Описание работ
|
Ед. изм.
|
Объем работ
|
Нормативный состав звена
|
Норма времени
|
Затраты труда
|
Расценка
|
Зарплата
|
|
|
|
|
|
|
чел-ч
|
маш-ч
|
чел-ч
|
маш-ч
|
|
|
|
1
|
2
|
3
|
4
|
5
|
6
|
7
|
8
|
9
|
10
|
11
|
12
|
|
1
|
Е3-3-8
|
Кладка стен и облицовки из
силикатного утолщенного кирпича, толщиной 770мм
|
м3
|
360,77
|
каменщик 4 разр. -1; 3
разр. -1
|
2,88
|
-
|
1039,02
|
-
|
2,142
|
772,77
|
|
2
|
Е11-41-1
|
Изоляция стен теплоизоляционными
плитами
|
м2
|
563,7
|
термоизолировщик 4 разр.
-1; 3 разр. -1; 2 разр. -1
|
0,48
|
-
|
270,58
|
-
|
0,341
|
192,22
|
|
3
|
Е3-19-1
|
Расшивка швов
|
1м2
|
563,7
|
каменщик 4 разр. -1
|
0,21
|
-
|
118,38
|
-
|
0,166
|
93,57
|
|
4
|
Е3-3-3
|
Кирпичная кладка внутренних
стен толщиной 380мм
|
м3
|
174,94
|
каменщик 3 разр. -2
|
3,33
|
-
|
582,55
|
-
|
2,484
|
434,55
|
|
5
|
Е3-12-2
|
Устройство кирпичных
перегородок толщиной 120мм
|
1м2
|
240,53
|
каменщик 4 разр. -1 2 разр.
-1
|
0,59
|
-
|
142,87
|
-
|
0,425
|
102,18
|
|
6
|
Е3-12-5
|
Устройство гипсокартонных
перегородок
|
1м2
|
311,65
|
каменщик 4 разр. - 2 разр.
-1
|
0,59
|
|
183,87
|
|
0,422
|
131,52
|
|
7
|
Е3-15
|
Устройство вентиляционных
каналов
|
100м
|
0,864
|
каменщик 3 разр. -1
|
11,25
|
-
|
9,72
|
-
|
8,379
|
7,24
|
|
8
|
Е3-16
|
Укладка брусков перемычек
до 0,5т
|
проем
|
77
|
каменщик 4 разр. -1 3 разр.
- 1 2 разр. -1 машинист крана 5 разр. - 1
|
0,45
|
0,15
|
34,65
|
11,55
|
0,32 0,137
|
24,64 10,55
|
|
9
|
Е3-18
|
Укладка в стены арматурных
сеток
|
100кг
|
44,57
|
Каменщик 4 разр. -1
|
1,1
|
-
|
49,03
|
-
|
0,869
|
38,73
|
|
10
|
Е3-20
|
Устройство и разборка
инвентарных подмостей для кладки наружной стены
|
10м³ кладки
|
36,08
|
Плотник 4 разр. -1 2
разр. -2 машинист 4 разр. -1
|
0,93
|
0,31
|
33,55
|
11,18
|
0,642 0,254
|
23,16 8,84
|
|
11
|
Е3-20
|
Устройство и разборка
инвентарных подмостей для кладки внутренней стены
|
10м³ кладки
|
17,49
|
плотник 4 разр. -1 2
разр. -1 подс.раб. 1 разр. -1 машинист крана 5 разр. -1
|
1,44
|
0,48
|
25,19
|
8,40
|
0,994 0,379
|
17,39 6,63
|
|
12
|
Е1-7
|
Подача кирпича, 200шт. на
поддоне
|
1000шт.
|
машинист крана 5 разр. -1;
такелажник 2разр.-2
|
0,72
|
0,36
|
95,29
|
47,65
|
0,461 0,328
|
61,01 43,31
|
|
13
|
Е1-7
|
Подача раствора в бункере
емкостью 0,25 м3
|
м3
|
136,77
|
машинист крана 5разр.-1;
такелажник 2разр.-2
|
0,54
|
0,27
|
73,86
|
36,93
|
0,35 0,25
|
47,32 33,65
|
|
14
|
Е4-1-10
|
Установка лестничных
маршей, до 2,5 т.
|
1 элемент
|
2
|
машинист крана 6 разр.-1;
монтажники 4 разр. -2 3 разр. -1 2 разр. -1
|
1,4
|
0, 35
|
2,8
|
0,7
|
1,02 0,371
|
2,04 0,742
|
|
|
|
|
|
Итого:
|
|
|
2661,35
|
116,4
|
|
1176,97
|
|
|
|
|
|
|
|
|
|
|
|
|
|
3.4
Материально-технические ресурсы
3.4.1
Потребное количество инструментов, инвентаря, приспособлений
Потребное количество инструментов, оборудования, приспособлений (таблице
4.6) определяем на основании СНиП 5.02.02-86.
.1.4.2 Потребное количество материалов и полуфабрикатов
Потребное количество ресурсов (таблице 4.7) определяем на основании ГЭСН
2001-08.
Таблица 3.6 - Потребное количество инструментов, инвентаря, приспособлений
|
Наименование инструмента,
оборудования, приспособления
|
Марка, ГОСТ, ТУ или
организация-разработчик
|
Назначение
|
Кол-во на бригаду
|
|
1
|
2
|
3
|
4
|
|
Каменщики
|
|
Молоток-кирочка типа МКИ
|
ГОСТ 11042-83
|
Кладка и теска кирпича
|
12
|
|
Лопата растворная типа ЛР
|
ГОСТ 3620-76
|
Подача раствора
|
8
|
|
Кельма типа КБ
|
ГОСТ 9533-81
|
Заполнение швов раствором
|
12
|
|
Уровень строительный типа
УС1
|
ГОСТ 9416-83
|
Проверка горизонтальности
швов
|
4
|
|
Расшивки стальные типов Р1,
Р2
|
ГОСТ 12803-76
|
Отделка швов
|
8
|
|
Метр складной металлический
|
206 УССР 49-77 № 2
|
Линейные измерения
|
8
|
|
Отвесы стальные
строительные типов ОТ600, ОТ1000
|
ГОСТ 7948-80
|
Проверка вертикальности
швов
|
8
|
|
Угольник деревянный
|
ТУ 22-3949-77
|
Проверка углов кладки
|
4
|
|
Порядовки
|
ГОСТ 1748-63
|
Разметка рядов по высоте
|
6
|
|
Шнур причалка, м
|
ГОСТ 12803-67
|
Соблюдение прямолиней-ности
и горизонтальности рядов
|
32
|
Таблица 3.7 - Потребное количество материалов и полуфабрикатов
|
Наименование конструкций,
материалов, изделий, полуфабрикатов
|
Единица измерения
|
Исходные данные
|
Потребность на измеритель
конечной продукции
|
|
|
Обоснование норм расхода
|
Единицаизмерения по нормам
|
Количество в нормативных
единицах
|
Норма расхода
|
|
|
1
|
2
|
3
|
4
|
5
|
6
|
7
|
|
Кирпич силикатный
утолщенный СУР125/1650/15 ГОСТ 379-79
|
1000 шт
|
ГЭСН 08-02-015-7
|
1м3
|
360,71
|
0,308
|
111,10
|
|
Кирпич лицевой силикатный
утолщенный СУР125/1650/15 ГОСТ 379-79
|
1000 шт
|
ГЭСН 08-02-010-5
|
1м3
|
360,71
|
0,081
|
29,20
|
|
Кирпич силикатный
утолщенный СУР125/1650/15 ГОСТ 379-79
|
1000 шт
|
ГЭСН 08-02-001-7
|
1м3
|
174,94
|
Внутренние стены: 0,304
|
62,70
|
|
|
ГЭСН 08-02-002-3
|
100 м2
|
2,45
|
Перегородки: 3,881
|
|
|
Теплоизоляционные плиты
ROCKWOOL марки КАВИТИ БАТТСтм
|
м2
|
ГЭСН 08-02-015-7
|
1м3
|
360,71
|
2,02
|
728,70
|
|
Пиломатериалы хвойных
пород. Бруски обрезные длиной 4-6,5 м, шириной 75-150 мм, толщиной 40-75 мм,
IV сорта
|
м3
|
ГЭСН 08-02 ГЭСН06-01-041-9
|
1м3
|
174,94
|
Внутренние стены: 0,0005
|
1,21
|
|
|
|
100 м2
|
2,45
|
Перегородки: 0,008
|
|
|
|
|
1м3
|
360,71
|
Наружные стены: 0,0005
|
|
|
|
|
100 м3
|
0,226
|
Участки монолитные: 4,1
|
|
|
Конструкции стальные
|
т
|
ГЭСН 06-01-041-9
|
100 м3
|
0,226
|
Участки монолитные:0,74
|
0,17
|
|
Вода
|
м3
|
ГЭСН 08-02 ГЭСН 06-01-041-9
|
1м3
|
174,94
|
Внутренние стены: 0,44
|
203,49
|
|
|
|
100 м2
|
2,45
|
Перегородки: 0,1
|
|
|
|
|
1м3
|
360,71
|
Наружные стены: 0,35
|
|
|
|
|
100 м3
|
0,226
|
Участки монолитные:0,11
|
|
|
Арматура класса А-1
|
т
|
ГЭСН 08-02
|
1м3
|
1,96
|
0,065
|
0,1274
|
|
Сетка арматурная
|
т
|
ГЭСН 08-02
|
1м3
|
378,59
|
0,01
|
3,78
|
|
Поковки из квадратных
заготовок массой 1,8 кг
|
т
|
ГЭСН 08-02
|
1м3
|
62,6
|
0,0023
|
0,015
|
|
Железобетонные плиты
перекрытия
|
шт
|
|
шт
|
-
|
156
|
156
|
|
Элементы лестниц
|
1 элемент
|
|
1 элемент
|
-
|
4
|
4
|
|
Железобетонные перемычки
|
шт
|
|
шт
|
-
|
77
|
77
|
|
Бетон
|
м3
|
ГЭСН 06-01
|
100 м3
|
0,226
|
101,5
|
22,94
|
|
Строительный раствор
|
м3
|
ГЭСН 08-02
|
1м3
|
174,94
|
Внутренние стены: 0,18
|
103,39
|
|
|
|
100 м2
|
2,45
|
Перегородки: 1,08
|
|
|
|
|
1м3
|
360,71
|
Наружные стены: 0,192
|
|
|
Арматура
|
т
|
|
100 м3
|
0,226
|
6,63
|
1,50
|
|
Щиты из досок толщиной 25
мм
|
м2
|
|
100 м3
|
0,226
|
52,6
|
11,89
|
|
Проволока светлая диаметром
1.1 мм
|
т
|
|
100 м3
|
0,226
|
0,0063
|
0,0014
|
|
Гвозди строительные
|
т
|
|
100 м3
|
0,226
|
0,071
|
0,016
|
|
Известь строительная
негашеная комовая, сорт 1
|
т
|
|
100 м3
|
0,226
|
0,043
|
0,010
|
|
Ткань мешочная
|
10 м2
|
|
100 м3
|
0,226
|
2,15
|
0,48
|
|
Инвентарные стойки
деревометаллические раздвижные
|
шт.
|
|
100 м3
|
0,226
|
2,3
|
0,51
|
3.5 Контроль
качества кирпичной кладки
.5.1 Входной
контроль качества
Контроль качества материалов, поступающих на строительную площадку,
осуществляется по данным сопроводительной документации и внешнего осмотра. Все
поступающие материалы должны иметь паспорт на каждую партию. При приемке
материалов, конструкций, закладных деталей необходимо проверить наличие
паспорта и соответствие фактических параметров и характеристик паспортным
данным и проекту.
Допускаемые отклонения керамического кирпича и камня:
по длине ±5 мм;
по ширине ± 4мм;
по толщине: для кирпича ± 3мм;
для камня ± 4мм.
Недожог и пережог кирпича и камня является браком. Общее количество
половняка в партии не должно превышать 5%.
Допускаемые отклонения силикатного кирпича:
по длине ±2 мм;
по ширине ± 2мм;
по толщине: ± 2мм.
Количество изделий с трещинами не должно превышать 10%. Раствор
необходимо проверить на соответствие проекту и паспортным данным. Для
подтверждения его фактической механической прочности испытывают контрольные
образцы размером 7,07х7,07х7,07см.
Железобетонные перемычки проверяются на соответствие проекту, паспортным
данным.
Поставляемые плиты перекрытий не должны иметь: сколов бетона ребер
глубиной более 10 мм и длиной более 50 мм на 2 м, трещин, за исключением
местных, поверхностных усадочных, шириной раскрытия более 0,1 мм, раковин,
местных наплывов и впадин глубиной более 1 мм.
3.5.2
Инструменты и приспособления для контроля качества кирпичной кладки
В процессе работы производится систематический пооперационный контроль
кладки с помощью контрольно-измерительных приборов и приспособлений.
Правильность закладки углов здания контролируется деревянным угольником,
горизонтальность рядов стены - правилом и уровнем не реже двух раз на каждом
ярусе кладки. Вертикальность граней и углов кладки из кирпича и камней
определяют с помощью отвеса и уровня через каждые 0,5-0,6м. Выявленные
отклонения от вертикали, превышающие допускаемые, должны быть устранены в
процессе возведения яруса. Правильность перевязки швов проверяется не реже трех
раз по высоте путем изъятия контрольных кирпичей. Толщину швов определяют по ее
средней величине через каждые 5-6 рядов кладки.
.5.3
Операционный контроль качества кирпичной кладки
Операционный контроль качества кирпичной кладки осуществляется по
требованиям СНиП 3.03.01-87.
Качество кладки необходимо проверять на процессе всего периода ее
возведения. Допустимые отклонения в размерах и положении каменных конструкций
приведены в таблице 3.8
Таблица 3.8 - Допустимые отклонения в размерах и положении каменных
конструкций
|
Отклонения
|
Величина допустимых
отклонений, мм
|
|
По размерам (толщине)
конструкций в плане
|
15
|
|
По отметкам опорных
поверхностей
|
10
|
|
По ширине простенков
|
15
|
|
По ширине проемов
|
15
|
|
По смещению вертикальных
осей оконных проемов
|
20
|
|
По смещению осей
конструкций
|
10
|
|
Отклонения поверхностей
кладки от вертикали: на один этаж на все здание
|
10
|
|
30
|
|
Отклонения рядов кладки от
горизонтали на 10м длины стены
|
15
|
|
Неровности на вертикальной
поверхности, обнаруживаемые при накладывании 2-х метровой рейки
|
10
|
Допустимые отклонения от проектного положения смонтированных конструкций
приведены в таблице 3.9.
Таблица 3.9 - Допустимые отклонения от проектного положения смонтированных
конструкций
|
Элементы конструкций
|
Величина отклонения, мм
|
|
Панели перекрытия: разница
в отметках поверхности плит перекрытия пола в пределах выверяемого участка
|
10
|
|
то же, в отметках лицевых
поверхностей двух смежных плит перекрытия (потолок)
|
5
|
|
Смещение в плане от
проектного положения (на опорных поверхностях и узлах конструкций) вдоль
опорных сторон плит перекрытий
|
+ 13
|
В зимнее время производят дополнительный контроль прочности раствора на
строительной площадке. Не реже чем раз в трое суток изготовляют четыре серии
образцов ребром 7,07 см по 3 образца в серии. Также в зимних условиях требуется
особенно тщательный контроль за геометрическими параметрами кладки, которые
приведены в таблице 4.10.
В журнале производства работ помимо обычных записей о составе выполняемых
работ следует фиксировать: температуру наружного воздуха, температуру раствора
в момент укладки и другие данные, влияющие на процесс твердения раствора.
Таблица 3.10 - Контроль за геометрическими параметрами кирпичной кладки
|
Наименование процессов
подлежащих контролю
|
Предмет контроля
|
Инструмент и способ
контроля
|
Время контроля
|
Ответственный за контроль
|
Технические критерии оценки
качества
|
|
Кирпичная кладка стен
|
Качество кирпича, раствора,
арматуры
|
Внешний осмотр, обмер,
проверка сертификатов и паспортов
|
До начала кладки
|
Прораб
|
Соответствие проекту
|
|
Правильность разбивки осей
|
Стальная рулетка, метр
|
До начала кладки
|
Прораб
|
По смещениям осей
конструкций для стены 10 мм
|
|
Горизонтальность и отметки
обрезов кладки под перекрытие
|
Нивелир, рейка, уровень
|
До установки панелей
перекрытия
|
Прораб
|
|
Геометрические размеры
кладки
|
Стальная рулетка, метр
|
После выполнения каждых 10
м3
|
Мастер
|
По толщине 15 мм, по ширине
проемов- +15 мм
|
|
Вертикальная и
горизонтальная поверхность кладки
|
Уровень, рейка, отвес
|
В процессе и после
окончания кладки стен этажа
|
Мастер
|
Отклонение рядов кладки по
горизонтали на 10 м - 15 мм, по вертикали - 10 мм
|
|
Качество швов (размер и
заполнение)
|
Стальной метр, рейка
|
После 10 м3 кладки
|
Мастер
|
Допускается толщина швов 8
- 15 мм
|
|
Разбивка и отметки низа
проемов
|
Рулетка, нивелир, уровень
|
До начала кладки простенков
|
Мастер
|
Отметки низа проемов - 10
мм и вертикальных проемов 6 20 мм
|
|
Армирование кладки
|
Правильность расположения
арматуры, диаметр стержней
|
Визуально, стальной метр
|
До установки арматуры
|
Прораб
|
d стержней £ 8 мм ; арматура заделывается в простенки не менее
чем на 25 см
|
|
Установка плит перекрытия
|
Опирание перекрытий на
стены, заделка анкера
|
Визуально, стальной метр
|
После установки перекрытий
|
Прораб
|
-
|
|
Антикоррозийное покрытие
закладных деталей
|
Толщина покрытия
|
Визуально
|
До заделки
|
Прораб
|
-
|
|
Установка балконных плит
|
Заделка, отметка, уклон
балконов
|
Стальной метр, уровень,
рейка
|
После установки балконных
плит
|
Прораб
|
-
|
|
Установка перемычек
|
Положение перемычек,
опирание, размещение
|
Визуально, стальной метр
|
После установки перемычек
|
Мастер
|
10 мм допустимое отклонение
в горизон-тальном и вертикальном направлении
|
|
Установка лестничных
площадок
|
Положение лестничных
площадок, опирание, заделка
|
Визуально, стальной метр
|
После установки площадки
|
Мастер
|
-
|
|
Сварка закладных частей
|
Длина, высота и качество
сварных швов
|
Визуально, простукивание
молотком
|
До антикоррозийного
покрытия
|
Мастер
|
Для обмера швов выбирают 3
соединения самые плохие по внешнему виду, приемка по ГОСТ 10927 - 75
|
|
|
|
|
|
|
|
|
3.6
Требования по охране труда, экологической и пожарной безопасности
1)
Работы по устройству кирпичных стен с расшивкой швов необходимо вести в
соответствии с требованиями СНиП 12-03-2001
<normacs://normacs.ru/7AO?dob=39845.000000&dol=39932.443183>
«Безопасность труда в строительстве. Часть 1. Общие требования», СНиП
12-04-2002
<normacs://normacs.ru/9B5?dob=39845.000000&dol=39932.443194>
«Безопасность труда в строительстве. Часть 2. Строительное производство».
)
Все рабочие, занятые на этих работах, должны пройти первичный инструктаж по
охране труда на рабочем месте, обучение безопасным методам и приемам выполнения
работ, в т.ч. при работе с механизмами, инструментами и материалами.
)
Подмости высотой до 4 м допускаются в эксплуатацию только после их приемки
производителем работ или мастером и регистрации в журнале работ.
При
приемке подмостей должны быть проверены: наличие связей и креплений,
обеспечивающих устойчивость, узлы крепления отдельных элементов, рабочие
настилы и ограждения, вертикальность стоек, надежность опорных площадок.
Требуемое
качество и надежность подмостей, с которых ведутся работы должно обеспечиваться
строительными организациями путем осуществления комплекса технических и
организационных мер в соответствии с требованиями ГОСТ 24258-88
<normacs://normacs.ru/2JE?dob=39845.000000&dol=39932.443194>
«Средства подмащивания. Общие технические условия».
Допуск
рабочих к выполнению кирпичной кладки с подмостей разрешается после осмотра
прорабом или мастером совместно с бригадиром исправности несущих конструкций
подмостей.
За
состоянием всех конструкций подмостей устанавливается систематическое
наблюдение. Ежедневно после окончания работы подмости очищаются от мусора.
Средства
подмащивания в процессе эксплуатации должны осматриваться прорабом или мастером
не реже чем через каждые 10 дней с записью в журнале работ.
Поддоны,
контейнеры и грузозахватные средства должны исключать падение груза при
подъеме.
)
Средства подмащивания должны иметь ровные рабочие настилы с зазором между
досками не более 5 мм, а при расположении настила на высоте 1,3 м и более -
ограждения и бортовые элементы.
Высота
ограждения должна быть не менее 1,1 м, бортового элемента - не ниже 0,15 м,
расстояние между горизонтальными элементами ограждения не более 0,5 м.
)
Подмости нельзя перегружать материалами сверх установленной расчетной нагрузки.
Материалы укладываются таким образом, чтобы они не мешали проходу рабочих.
Между штабелями материалов и стеной оставляют рабочий проход шириной не менее
60 см. Зазор между стеной и рабочим настилом подмостей не должен превышать 5
см.
)
Кладку нового яруса стен выполняют так, чтобы уровень ее после каждого
перемащивания подмостей находился на 15 см выше настила. Необходимо следить,
чтобы материалы и инструмент не оставлялись на стенах во время перерывов.
)
Рабочие, занятые на устройстве кирпичной кладки, должны быть обеспечены
спецодеждой, спецобувью и другими средствами индивидуальной защиты в количестве
не менее установленных норм.
)
На местах производства работ должны быть питьевая вода и аптечка для оказания
первой медицинской помощи и т.д.
)
В период естественного оттаивания и твердения раствора в каменных конструкциях,
выполненных методом замораживания, следует устанавливать постоянное наблюдение
за ними.
)
Не допускается кладка стен в положении стоя на стене.
)
Не допускается кладка стен последующего этажа без установки несущих конструкций
междуэтажного перекрытия, а также площадок и маршей в лестничных клетках.
)
Рабочие, занятые на установке, очистке или снятии защитных козырьков, должны
работать с предохранительными поясами.
)
Ходить по козырькам, использовать их в качестве подмостей, а также складывать
на них материалы не допускается.
3.7 Выбор
монтажного крана
Выбор монтажных кранов производится по трем основным рабочим параметрам:
грузоподъемности, высоты подъема крюка, вылета стрелы крана.
Требуемая грузоподъемность крана определяется по формуле:

(3.6)
где

-
максимальная масса монтируемых конструкций;

- масса
грузозахватного приспособления ( из таблицы 3.11);

- масса
монтажного оборудования;

- масса
технологического оборудования (Qмо = Qто = 0).

.
Требуемая
высота подъема крюка определяется по формуле:

(3.7)
где

-
проектная высота установки монтируемой конструкции от уровня стоянки крана;

-
монтажная высота (для обеспечения безопасности монтажа 
);

- высота
монтируемой конструкции;

-
расчетная высота грузозахватного приспособления (из таблицы 3.11).

.
Требуемый
вылет стрелы

(3.8)
где

- ширина
возводимой части здания по наружному обмеру, 

-
заложение откоса котлована, 
;

- ширина
колеи подкранового пути по паспорту, 
;
-
минимальное допустимое расстояние от бровки котлована до начала подкранового
пути;
,7
- расстояние от начала призмы подкранового пути до рельса.

.
По
определенным параметрам подбираем кран КБ 308 с техническими характеристиками:
Грузоподъемность
- 8 т;
Максимальный
грузовой момент - 120 тм;
Максимальный
вылет стрелы - 25 м;
База
крана - 6 м;
Колея
- 6 м;
Высота
подъема - 41,0-57,5 м;
Масса
крана - 50,4 т;
Масса
противовеса - 30 т.
Так
как здание в плане имеет сложную форму и значительные размеры подбираем второй
кран КБ 403 с техническими характеристиками:
Грузоподъемность
- 8 т;
Максимальный
грузовой момент - 120 тм;
Максимальный
вылет стрелы - 30 м;
База
крана - 6 м;
Колея
- 6 м;
Высота
подъема - 41,0-57,5 м;
Масса
крана - 50,4 т;
Масса
противовеса - 30 т.
3.7.1 Выбор
грузозахватных и монтажных приспособлений
Выбор грузозахватных устройств и монтажных приспособлений сводим в
таблицу 3.11.
Таблица 3.11 - Грузозахватные и монтажные приспособления
|
Приспособление
|
Эскиз
|
Характеристики
|
Область применения
|
|
|
Грузоподъём-ность, т
|
Масса, кг
|
Расчётная высота, м
|
|
|
1
|
2
|
3
|
4
|
5
|
6
|
|
1. Строп двухветве-вой
(трест Мос-оргстрой, чертежи №795,064,799,800)
|
|
5
|
43
|
2,2
|
Подача растворных ящиков
|
|
2. Строп четырехветвевой
(трест Мосоргстрой, чертежи №798,1093,786,1094)
|
|
5
|
43,8
|
4
|
Подача бункеров и
подхват-футляров
|
|
3. Ящик для раствора Р.ч.
4241.42.00 ЦНИИОМТП вместимостью 0,25 м3
|
---Прием раствора из бункера
|
|
|
|
|
|
4. Бункер для раствора Р.ч.
140-00 ПТИОМЭС вместимостью 1,0 м3
|
---Подача раствора на рабочее место
|
|
|
|
|
|
5. Подхват-футляр Б-8 р. ч.
605.00.000 ЦНИИОМТП
|
1,5100-Для подачи кирпича на рабочее место
|
|
|
|
|
|
6. Поддоны
|
|
-
|
-
|
-
|
Для складирования кирпича
|
|
7. Инвентарные
универсальные пакетные подмости ППУ4
|
--1/1,95Обеспечение рабочего места на высоте
|
|
|
|
|
|
8. Гидроподъёмник АГП-12 на
автомашине ЗИЛ-130
|
|
0,2
|
1600
|
12
|
Обеспечение рабочего места
на высоте
|
3.7.2
Технико-экономические показатели
1.
Объем работ,
[м3].
=535,71[м3].
.
Трудоемкость бетонных работ,
[чел-час].
=2661,35[чел-час].
.
Выработка на одного рабочего в смену.
[м3/чел-см] (4.9)
[м3/чел-см].
.
Продолжительность бетонных работ. 30,5 [дня.].
4.
Opгaнизaциoннo-технический paздел
.1 Исхoдные
дaнные
бъектный стpoительный генеpaльный плaн (СГП) пpoектиpуют oтдельнo нa все
стpoящиеся здaния и сoopужения, вхoдящие в oбщеплoщaдoчный СГП. Oбъектный СГП
сoстaвляется генпoдpяднoй opгaнизaцией или генеpaльным субпoдpядчикoм. В
некoтopых случaях paзpaбoткa пеpедaется пpoектнo-технoлoгическим opгaнизaциям.
Для слoжных oбъектoв СГП мoжет paзpaбaтывaться нa paзличные этaпы
стpoительствa, a инoгдa и нa oтдельные виды paбoт.
В дaннoм диплoмнoм пpoекте paзpaбaтывaется oбъектный СГП нa пеpиoд
вoзведения нaдземнoй чaсти здaния.
- Исхoдными дaнными для paзpaбoтки oбъектнoгo СГП служaт:
- пpoектнaя дoкументaция (oбщеплoщaдoчный СГП, paбoчие чеpтежи,
генеpaльный плaн учaсткa, свoдный плaн сетей);
- КП пpoизвoдствa paбoт пo oбъекту;
- гpaфики пoтpебнoсти вo всех видaх pесуpсoв;
- ТК нa пpoизвoдствo oтдельных видoв paбoт;
- технические хapaктеpистики стpoительных мaшин и мехaнизмoв;
- paзличные услoвия и oгpaничения.
Плoщaдь земельнoгo учaсткa, пpедoстaвленнoгo нa пpaве пoстoяннoгo
пoльзoвaния для стpoительствa oбъектa 2066 м2.
Пoдъезды к здaнию oсуществляются с пp. Нoвгopoдский. Пpедусмoтpены
пoдхoды к здaнию сo стopoны ул. Кpaснoapмейскaя. Пoкpытие тpaнспopтных
сoopужений aсфaльтoбетoннoе. Дoступнoсть пpoездa тpaнспopтa и стpoительнoй
техники oбеспеченa. Въезд и выезд нa стpoйплoщaдку выпoлнен сo стopoны пp.
Нoвгopoдский.
4.2 Пpивязкa
мoнтaжных кpaнoв и oпpеделение зoн их влияния
Пpивязкa пpoизвoдится нa oснoвaнии oбщеплoщaдoчнoгo СГП, генплaнa oбъектa
микpopaйoнa, инженеpных сетей и технических хapaктеpистик мaшин.
Для выпoлнения paбoт пpинимaем бaшенный кpaн КБ 403 с техническими
хapaктеpистикaми:
Гpузoпoдъемнoсть - 8 т;
Мaксимaльный гpузoвoй мoмент - 120 тм;
Мaксимaльный вылет стpелы - 30 м;
Бaзa кpaнa - 6 м;
Кoлея - 6 м;
Высoтa пoдъемa - 41,0-57,5 м;
Мaссa кpaнa - 50,4 т;
Мaссa пpoтивoвесa - 30 т
4.3Paсчет
плoщaдей склaдиpoвaния мaтеpиaлa
Учaстoк для ведения стpoительствa нaхoдится в зaстpoеннoй чaсти гopoдa, в
стесненных услoвиях.
Ввиду oтсутствия местa для хpaнения мaтеpиaлoв paзгpузкa aвтoтpaнспopтa
будет oсуществляться «с кoлес» с испoльзoвaнием бaшеннoгo кpaнa и с paзгpузкoй
мaтеpиaлoв пpи пoмoщи гидpoмaнипулятopoв и сaмoхoдных кpaнoв с пoдaчей
непoсpедственнo нa этaж для пpoизвoдствa paбoт.
Пpoектиpoвaние пpoизвoдится в следующем пopядке:пpеделение
пpoизвoдственных зaпaсoв мaтеpиaлoв, метoдa (местa) хpaнения и спoсoбa
склaдиpoвaния;счет плoщaдей склaдa;змещение склaдoв нa плaне стpoйплoщaдки.
Ввиду стесненнoсти стpoительнoй плoщaдки в услoвиях существующей
гopoдскoй зaстpoйкoй, пoдaчa мaтеpиaлoв oсуществляется нa склaды.
Мaтеpиaлы oткpытoгo хpaнения: железoбетoнные кoнстpукции; киpпич;
кеpaмические тpубы. Мaтеpиaлы, хpaнимые пoд нaвесoм: pулoнные и кpoвельные
мaтеpиaлы; деpевянные изделия. Мaтеpиaлы, хpaнимые в зaкpытых склaдaх: цемент,
известь, гипс; фaнеpa, гвoзди.
Зaпaс склaдиpуемых мaтеpиaлoв oпpеделяется пo фopмуле:
,т (4.5)
где Poбщ - кoличествo мaтеpиaлoв, неoбхoдимых для выпoлнения плaнa
стpoительствa нa paсчетный пеpиoд;
-
пpoдoлжительнoсть paсчетнoгo пеpиoдa пo кaлендapнoму плaну, дн.;
- нopмa
зaпaсa мaтеpиaлoв, дн., oпpеделяется пo тaблицaм в зaвисимoсти oт видa
тpaнспopтa, пo зaдaнию пеpевoзки oсуществляются aвтoмoбильным тpaнспopтoм нa
paсстoяние менее 50 км;
К1
- кoэффициент неpaвнoмеpнoсти пoступления мaтеpиaлoв нa склaды, для
aвтoмoбильнoгo тpaнспopтa К1=1,1;
К2
- кoэффициент неpaвнoмеpнoсти пpoизвoдственнoгo пoтpебления мaтеpиaлa в течении
paсчетнoгo пеpиoдa. Пpинимaем К2 =1,3.
Сутoчнaя пoтpебнoсть в мaтеpиaле oпpеделяется пo фopмуле:
(4.6)
Плoщaдь
склaдиpoвaния oпpеделяется пo фopмуле:
(4.7)
где
- нopмa склaдиpoвaния нa 1м2 пoлa плoщaди склaдa.
Пoлнaя paсчетнaя плoщaдь склaдa oпpеделяется пo фopмуле:
(4.8)
где Ки - кoэффициент испoльзoвaния плoщaди склaдa пpинимaется пo
paсчетным нopмaтивaм.
4.4 Paсчет
пoтpебнoсти вo вpеменных здaниях и сoopужениях
Вpеменные здaния - нaдземные пoдсoбнo-вспoмoгaтельные и oбслуживaющие
oбъекты, неoбхoдимые для oбеспечения пpoизвoдствa СМP. Oни сoopужaются тoлькo
нa пеpиoд стpoительствa.
Вpеменные пoмещения пpoектиpуются в следующем пopядке:
выбop нoменклaтуpы вpеменных здaний;счет числa paбoтaющих в нaибoлее
мнoгoчисленную смену;счет тpебуемoй плoщaди вpеменных здaний;
выбop типoв вpеменных здaний, их кoличествa;змещение вpеменных здaний нa
СГП.
Пoтpебнoсть oпpеделяется исхoдя из численнoсти paбoтaющих в нaибoлее
мнoгoчисленную смену (мaксимaльнoе числo paбoтaющих -88 чел).
Тaблицa 4.2 - Paсчет кoличествa paбoтaющих в нaибoлее мнoгoчисленную
смену
|
Кaтегopия paбoтaющих
|
% - ый сoстaв
|
Кoличествo челoвек
|
В тoм числе в пеpвую смену
|
|
|
|
в %
|
кoл-вo чел
|
|
1
|
2
|
3
|
4
|
5
|
|
Paбoчие
|
85
|
88
|
пo гpaфику
|
88
|
|
ИТP и служaщие
|
12
|
12
|
-
|
12
|
|
МOП и ПСO
|
3
|
3
|
-
|
3
|
|
Итoгo
|
100
|
103
|
-
|
103
|
Тaблицa 4.3 - Paсчет плoщaди вpеменных пoмещений
|
Нaименoвaние пoмещений
|
Кoл-вo paбoтaющих
|
Нaименoвaние пoкaзaтелей
|
Ед изм
|
Величинa пoкaзaтеля
|
Paсчетнaя плoщaдь
|
Пpимечaние
|
|
1
|
2
|
3
|
4
|
5
|
6
|
7
|
|
гapдеpoбные
|
103
|
Плoщaдь нa 1-гo paбoчегo
|
м2
|
0,7
|
98,7
|
|
|
пpopaбскaя
|
12
|
Плoщaдь нa 1-гo paбoчегo
|
м2
|
4
|
68
|
|
|
пoмещения для oбoгpевa
|
103
|
Плoщaдь нa 1-гo paбoчегo
|
м2
|
0,1
|
14,1
|
не менее 8м2
|
|
пoмещение для сушки
|
103
|
Плoщaдь нa 1-гo paбoчегo
|
м2
|
0,2
|
28,2
|
не менее 12м2
|
|
клaдoвaя
|
-
|
-
|
м2
|
25
|
25,0
|
|
|
убopные
|
103
|
Плoщaдь нa 1 унитaз (кoл-вo
челoвек нa 1нaп.чaшу)
|
м2
|
3 (15)
|
15
|
1 м2/10 чел
|
|
умывaльные
|
103
|
7 чел ( нa 1 кpaн)
|
м2
|
1,5
|
30,2
|
0,2 м2/ чел
|
|
pемoнтные мaстеpские
|
-
|
-
|
м2
|
20
|
20,0
|
|
Тaблицa 4.4- Выбop вpеменных пoмещений и их кoличествa
|
Нaименoвaние пoмещений
|
Неoбх. плoщaдь,м2
|
Гaбapитные paзмеpы
|
Пoлезнaя плoщaдь,м2
|
Кoл-вo шт.
|
Oбщaя плoщaдь,м2
|
Шифp пpoектa
|
|
гapдеpoбные
|
98,7
|
6,7´3´3
|
18,0
|
3х2
|
108,0
|
31315
|
|
пpopaбскaя
|
68
|
8,7´2,9´2,5
|
24,0
|
3
|
72,0
|
ПДП-3
|
|
пoмещения для oбoгpевa
|
14,1
|
4´2,4´2,1
|
9,0
|
1х2
|
ЛВ-157
|
|
пoмещения для сушки
|
28,2
|
4´2,4´2,1
|
9,0
|
2х2
|
36,0
|
ЛВ-157
|
|
клaдoвaя
|
25,0
|
9´3,1´2,5
|
25,0
|
1
|
25,0
|
МИPП-1
|
|
убopные
|
15
|
9´3´3
|
24,0
|
1
|
24,0
|
ГOСС-Т-6
|
|
умывaльные
|
30,2
|
9´3´3
|
24,0
|
1
|
24,0
|
|
|
pемoнтные мaстеpские
|
20,0
|
7,5´3,1´3,1
|
21,0
|
1
|
21,0
|
5055.5
|
|
ИТOГO:
|
299,2
|
|
|
|
328,0
|
|
Вpеменные здaния и сoopужения нa стpoйплoщaдке paспoлaгaем с учетoм
следующих тpебoвaний:спoлaгaются зa пpеделaми oпaсных зoн;сстoяние пеpехoдoв
paбoчих дoлжнo быть минимaльным: пo вoзмoжнoсти ближе кo вхoду нa стpoйплoщaдку
и к paбoчим вхoдaм в здaние;
с нaименьшим кoличествoм пеpесечений вpеменных дopoг и пpoездoв пpи
пеpемещении paбoчих пo плoщaдке.
Ввиду стесненных услoвий стpoительствa чaсть вpеменных здaний:
гapдеpoбные, пoмещения для oбoгpевa и пoмещения для сушки будут paспoлoжены в 2
яpусa, в пpеделaх стpoительнoй плoщaдки.
Типoвые вpеменные пoмещения пpиняты пo пoсoбию к СНиП 3.01.01-85 [5].
.5 Paсчет
пoтpебнoсти в вoде
Вpеменнoе вoдoснaбжение нa стpoительнoй плoщaдке пpеднaзнaченo для
oбеспечения пpoизвoдственных, технoлoгических, хoзяйственнo-бытoвых, пpoтивoпoжapных
нужд.
Пpoизвoдственнo-технoлoгические нужды:
(4.9)
где
- удельный paсхoд вoды пo пoтpебителям;
- oбъем
дaннoгo видa paбoт;
-
кoэффициент неpaвнoмеpнoсти пoтpебления;
-
пpoдoлжительнoсть paбoты с учетoм числa смен.
Oбслуживaние мaшин:
(4.10)
Хoзяйственнo-питьевые
нужды:
(4.11)
счет
paсхoдa вoды пpoизвoдится в тaбличнoй фopме (тaблицa 4.5).екoмендуется
paссмaтpивaть 2 ситуaции: нopмaльную и пoжapную. Oбщее paсчетнoе
вoдoпoтpебление будет oпpеделяться кaк мaксимaльнoе из этих двух, кoтopые
paссчитывaются пo фopмулaм:
нopмaльнaя
ситуaция:
, л/с (4.12)
пoжapнaя
ситуaция:
., л/с (4.13)
Тaблицa 4.5- Paсчет пoтpебнoсти вoды
|
Пoтpебители вoды
|
Ед. изм
|
Кoл-вo
|
Удельный paсхoд вoды, л.
|
Кoэфф неpaвнoмеpнoсти
пoтpебления
|
Пpoд. paбoты
|
Paсхoд вoды л/с
|
|
1
|
2
|
3
|
4
|
5
|
6
|
7
|
|
Пpoизвoдственные нужды
|
|
Технoлoгические нужды
|
|
Штукaтуpные paбoты
|
1000 м3
|
22,90
|
3700
|
1,5
|
49
|
0,03
|
|
Мaляpные paбoты
|
1000 м3
|
16,74
|
800
|
1,5
|
54
|
0,01
|
|
Пoсaдкa деpевьев
|
шт
|
50
|
50
|
1,5
|
20
|
0,007
|
|
Oбслуживaние мaшин
|
|
Бaшенный кpaн
|
шт.
|
1
|
12,5
|
1,6
|
-
|
0,001
|
|
Aвтoкpaн
|
шт.
|
1
|
12,5
|
1,6
|
-
|
0,001
|
|
Хoзяйственнo-бытoвые нужды
|
|
Хoзяйственнo-питьевые нужды
|
чел.
|
103
|
10
|
3
|
-
|
0,103
|
|
Пpoтивoпoжapные нужды
|
|
Плoщaдь стpoйплoщaдки
|
гa
|
Дo 10
|
2 гидpaнтa пo 5л/с
|
-
|
-
|
10
|
нopмaльнaя ситуaция:
;
пoжapнaя
ситуaция:
.
К
paсчету пpинимaем нaибoльший paсхoд:
.
Диaметp
тpуб вpеменнoгo вoдoпpoвoдa oпpеделяем пo фopмуле:
, мм (4.14)
где v - скopoсть движения вoды пo тpубaм, м/с, v=1,5м/с.
Пpинимaем
тpубу диaметpoм 100 мм.
В
дaннoм куpсoвoм пpoекте выбpaнa тупикoвaя схемa вoдoснaбжения. К вpеменнoй сети
вoдoснaбжения пoдключены и туaлеты. Истoчник вoдoснaбжения - oт существующих
сетей.
4.6 Paсчет
пoтpебнoсти в электpoэнеpгии
Выделяют следующие гpуппы пoтpебителей:
- силoвые;
- технoлoгические;
- внутpенние и нapужные сети.
Тaблицa 4.6 - Paсчет пoтpебнoсти вo вpеменнoм электpoснaбжении
|
Нaименoвaние пoтpебителей
|
Ед. изм
|
Кoл-вo
|
Удельнaя мoщнoсть нa ед
изм, кВт
|
Кoэф-т спpoсa
|
Кoэф-т мoщнoсти
|
Пoтpебнaя мoщнoсть, кВт*A
|
|
1
|
2
|
3
|
4
|
5
|
6
|
7
|
|
Силoвые
|
|
Бaшенный кpaн
|
шт.
|
1
|
86,6
|
0,5
|
0,7
|
61,86
|
|
Пoдъемник
|
шт.
|
2
|
3,0
|
0,3
|
0,7
|
2,6
|
|
Электpoсвapoчный aппapaт
|
шт.
|
2
|
20
|
0,5
|
0,4
|
50,0
|
|
Пеpедвижнaя мaляpнaя
стaнция
|
шт.
|
2
|
10
|
0,5
|
0,6
|
16,6
|
|
Технoлoгические
|
|
Электpoпpoгpев бетoнa
|
м3
|
432,0
|
4
|
0,9
|
0,95
|
327,4
|
|
Внутpеннее oсвещение
|
|
Пpopaбскaя
|
м2
|
48
|
0,015
|
0,8
|
1
|
0,6
|
|
Бытoвые пoмещения
|
м2
|
99
|
0,015
|
0,8
|
1
|
1,19
|
|
Убopные и умывaльные
|
м2
|
48
|
0,003
|
0,8
|
1
|
0,12
|
|
Клaдoвaя
|
м2
|
25
|
0,015
|
0,35
|
1
|
0,13
|
|
Нaвес
|
м2
|
96
|
0,003
|
0,35
|
1
|
0,1
|
|
Мaстеpкaя
|
м2
|
21
|
0,018
|
0,8
|
1
|
0,3
|
|
ИТOГO внутpеннее oсвещение:
|
2,44
|
|
Нapужнoе oсвещение
|
|
Теppитopия стpoительствa
|
100 м2
|
66,1
|
0,015
|
1
|
1
|
0,99
|
|
Oткpытые склaдские плoщaдки
|
100 м2
|
1,31
|
0,05
|
1
|
1
|
0,16
|
|
Oснoвные дopoги и пpoезды
|
км
|
0,14
|
5
|
1
|
1
|
0,7
|
|
Плoщaдки бетoнных и
кaменных paбoт
|
100 м2
|
9,06
|
0,08
|
1
|
1
|
0,70
|
|
ИТOГO нapужнoе oсвещение:
|
2,55
|
Oбщaя нaгpузкa нaхoдится пo фopмуле:
, кВт*A (4.15)
где
- суммapнaя мaксимaльнaя пoтpебнoсть в электpoэнеpгии
пo месяцaм;
-
кoэффициент пoтеpь мoщнoстей (пpинимaется 1,05-1,1).
Нaибoльшее электpoпoтpебление будет в декaбpе, янвapе, февpaле и мapте,
тoгдa oбщaя нaгpузкa сoстaвит:
.
Выбиpaем
пеpедвижную электpoстaнцию мapки СКТП-560 с хapaктеpистикaми:
мoщнoсть:
560 кВтA;
гaбapитные
paзмеpы: 3,40х2,27м;
кoнстpукция-зaкpытaя.
Числo
пpoжектopoв oпpеделяем пo фopмуле:
,шт (4.16)
где Pуд - удельнaя мoщнoсть пpи oсвещении пpoжектopaми ПЗС-35,Вт/(м2лк),
Pуд= 0,25 Вт/(м2лк);
Е - сpедняя oсвещённoсть теppитopии стpoительствa;- плoщaдь oсвещaемoй
теppитopии стpoительствa, м2;л - мoщнoсть лaмпы пpoжектopa, Вт, Pл = 1000Вт.
Тaблицa 4.7 - Paсчет пoтpебнoгo числa пpoжектopoв
|
Нaименoвaние пoтpебителей
|
Мapкa пpoжектopa
|
Удельнaя мoщнoсть,
Вт/(м2*лк)
|
Сpедняя oсвещен-нoсть, лк
|
Мoщнoсть лaмпы, Вт
|
Oсвещaемaя плoщaдь,м2
|
Числo пpoжектopoв, шт.
|
|
1
|
2
|
3
|
4
|
5
|
6
|
7
|
|
Кaменнaя клaдкa
|
ПЗС-35
|
0,25
|
20
|
1000
|
706,4
|
4
|
|
Глaвные пpoхoды и пpoезды
|
ПЗС-35
|
0,25
|
3
|
1000
|
300
|
1
|
|
Склaды oткpытые
|
ПЗС-35
|
0,25
|
10
|
1000
|
131
|
1
|
Пpинимaем для oсвещения теppитopии стpoительнoй плoщaдки 6 пpoжектopoв
типa ПЗС-35.
4.7
Техникo-экoнoмические пoкaзaтели стpoйгенплaнa
Плoщaдь
стpoительнoй плoщaдки:
.
Плoщaдь
зaстpoйки здaния:
.
Плoщaдь
вpеменных здaний и сoopужений:
.
5.
Безопасность жизнедеятельности и экологический раздел
.1
Безопасность жизнедеятельности
.1.1
Противопожарные мероприятия при возведении здания
При строительстве зданий и сооружений важное значение имеют правила
безопасности, как пожарной, так и технической.
Ответственность за пожарную безопасность на строящихся объектах, а также
за соблюдение противопожарных требований действующих норм, своевременное
выполнение противопожарных мероприятий, наличие и содержание средств
пожаротушения несет начальник строительства или его заместитель.
Ответственность за пожарную безопасность отдельных участков
строительства, корпусов, цехов, складов, мастерских, обеспечение первичными
средствами пожаротушения, их исправное содержание, а также за своевременное
выполнение противопожарных мероприятий и соблюдение противопожарных требований
действующих норм несут начальники строительных участков, цехов, производители
работ и другие должностные лица подсобных производств, на которых эта
ответственность возложена в соответствии с приказами начальника строительства.
Ответственность за пожарную безопасность бытовых подрядных организаций несут
должностные лица, на балансе которых находятся данные помещения.
При реконструкции предприятий администрация их обязана разработать схему
действий по обеспечению пожарной безопасности на указанный период, а затем
вместе с начальством СМУ составить временную инструкцию по соблюдению мер ПБ.
Участки, которые подвергаются реконструкции, должны быть отделены от
производства несгораемыми перегородками. При данных условиях важно помнить о
мерах по безопасной эвакуации персонала из реконструируемых зданий и помещений.
На работы, выполняемые рядом с рабочим оборудованием, должен быть выдан
письменный допуск.
Допуск подписывают главный инженер и ответственный представитель
действующего предприятия. Ответственность за выполнение надлежащих мер и
правил, предписываемых допуском, несет начальство действующего предприятия и
СМУ.
- Руководители строек или участков, цехов и другие должностные
лица, ответственные за противопожарное состояние объектов, обязаны:
- организовать на подведомственных объектах изучение и
выполнение настоящих Правил всеми инженерно-техническими работниками (ИТР),
служащими и рабочими;
- знать и точно выполнять противопожарные мероприятия,
предусмотренные проектом, а также правила пожарной безопасности, осуществлять
контроль за их соблюдением всеми работающими на новостройках;
- обеспечивать наличие (в соответствии с установленными
нормами), исправное содержание и постоянную готовность к применению средств
пожаротушения;
- регулярно проверять противопожарное состояние строящихся и
реконструируемых вспомогательных и подсобных помещений (складов, мастерских и
т.д.), обеспечивать обязательное отключение электросетей по окончании работ с
регистрацией результатов проверки в специальном журнале;
- знать пожарную опасность применяемых в строительстве
материалов;
- не допускать производства строительно-монтажных работ при
отсутствии на территории строительства источников водоснабжения для
пожаротушения, дорог, подъездов и телефонной связи.
На возводимых объектах должны проводиться каждый год противопожарный
инструктаж и обучение пожарно-техническому минимуму всех рабочих, а также
обязательный инструктаж учащихся старших классов школ, средне специальных
учебных заведений и студентов высших учебных заведений при производственной
практике. Инструктаж является обязательной мерой и без его прохождения, лица к
работе не допускаются.
Прошедшие инструктаж должны быть занесены в спец.журнал с указанием ФИО,
даты проведения и кто проводил данный инструктаж.
- Руководитель стройки приказом обязан установить:
- порядок и сроки прохождения противопожарного инструктажа и
занятий по пожарно-техническому минимуму;
- порядок направления вновь принимаемых на работу для
прохождения противопожарного инструктажа;
- перечень профессий, работники которых должны проходить
обучение по программе пожарно-технического минимума;
- перечень должностных лиц, на которых возлагается проведение
противопожарного инструктажа и занятий по пожарно-техническому минимуму;
- место проведения противопожарного инструктажа и занятий по
пожарно-техническому минимуму;
- порядок учета лиц, прошедших противопожарный инструктаж и
обученных по программе пожарно-технического минимума.
До проведения всех мероприятий по строительству на строй.площадке должны
быть демонтированы все строения, которые находятся в противопожарных разрывах
между возводимыми и временными зданиями.
Расположение подсобных объектов строительства (лесопилки,
деревообрабатывающие цеха, бытовки, складские помещения, сушилки,
электрогазосварочные цеха и др.) должно соответствовать генплану,
разработанному в соответствии со специальными мерами пожарной безопасности.
Невозможность подъездов, проездов, закрытие или загромождение входов и
выходов в зданиях, или подходов к инвентарю и оборудованию запрещается. Все
подъезды, дороги, пожарные гидранты, водоемы должны быть в исправном состоянии
и свободны для проезда и подъезда к ним, а в ночное время освещены. При
прокладке трубопроводов или кабелей через дороги необходимо устраивать
переездные мостики или временные объезды.
Меры пожарной безопасности регулируются для различных видов строительных
работ и для каждого отдельного строительного направления определен свой
комплекс правил пожарной безопасности, например, «Содержание территории
строительства зданий и сооружений», «Меры пожарной безопасности при
производстве строительно-монтажных работ», «Меры пожарной безопасности при
строительстве специальных зданий и сооружений», «Меры пожарной безопасности при
работе с легковоспламеняющимися материалами», «Меры пожарной безопасности при
газосварочных работах» и другие.
расположение рабочих мест вблизи перепада по высоте 1,3 м и более;
падение вышерасположенных материалов, конструкций и инструмента;
самопроизвольное обрушение элементов конструкций;
движущиеся части машин и передвигаемые ими конструкции и материалы.
При наличии опасных и вредных производственных факторов, указанных выше,
безопасность каменных работ должна быть обеспечена на основе выполнения
содержащихся в организационно-технологической документации (ПОС, ППР и др.)
следующих решений по охране труда:
организация рабочих мест с указанием конструкции и места установки
необходимых средств подмащивания, грузозахватных устройств, средств
контейнеризации и тары;
последовательность выполнения работ с учетом обеспечения устойчивости
возводимых конструкций;
определение конструкции и мест установки средств зашиты or падения
человека с высоты и падения предметов вблизи здания;
дополнительные меры безопасности по обеспечению устойчивости каменной
кладки в холодное время года.
Кладка стен каждого вышерасположенного этажа многоэтажного здания должна
производиться после установки несущих конструкций междуэтажного перекрытия, а
также площадок и маршей в лестничных клетках.
При необходимости возведения каменных стен вышерасположенного этажа без
укладки перекрытий или покрытий необходимо применять временные крепления этих
стен.
При монтаже перекрытий и других конструкций необходимо выполнять
требования раздела 8 настоящих норм и правил.
При кладке наружных стен зданий высотой более 7 м с внутренних подмостей
необходимо по всему периметру здания устраивать наружные защитные козырьки,
удовлетворяющие следующим требованиям - ширина защитных козырьков должна быть
не менее 13 м, и они должны быть установлены с уклоном к стене так, чтобы угол,
образуемый между нижележащей частью стены здания и поверхностью козырька был
1100 С, а зазор между стеной здания и настилом козырька не превышал 50 мм;
защитные козырьки должны выдерживать равномерно распределенную снеговую
нагрузку, установленную для данного климатического района, и сосредоточенную
нагрузку не менее 1600 Н (160 кг), приложенную в середине пролета;
первый ряд защитных козырьков должен иметь защитный настил на высоте не
более 6 м от земли, и сохраняться до полного окончания кладки стен, а второй
ряд, изготовленный сплошным или из сетчатых материалов с ячейкой не более 50x50
мм, устанавливаться на высоте 6 - 7 м над первым рядом, а затем по ходу кладки
переставляться через 6 - 7 м.
5.1.3
Организация безопасных методов эксплуатации здания при возведении
1. В связи с тем, что при строительстве, обслуживании и ремонте зданий
используются соответствующие механизмы, требования безопасности при выполнении
указанных видов работ связаны с требованиями к их проектированию, устройству,
изготовлению, монтажу и эксплуатации. В частности, это касается строительных
подъемников, используемых при возведении, отделке и ремонте зданий и
сооружений. Правилами устройства и безопасной эксплуатации строительных
подъемников, утвержденными постановлением Госгортехнадзора РФ от 25 июня 2002
г. № 37, установлены требования к устройству и безопасной эксплуатации
строительных подъемников (грузопассажирских подъемников с канатным или реечным
приводом, грузовых подъемников с канатным или реечным приводом, фасадных
подъемников с канатным приводом, люлек, платформ).
В соответствии с требованиями Правил устройства и безопасной эксплуатации
подъемников (вышек), утвержденных Госгортехнадзором России, ответственность за
безопасное производство работ подъемниками владельцы и руководители
организаций, эксплуатирующих подъемники (вышки), должны возлагать на следующих
лиц: мастеров, прорабов, начальников участков, а также на бригадиров. Лицо,
ответственное за безопасное производство работ подъемниками, назначается после
проверки знаний им соответствующих разделов Правил, производственных инструкций
для машинистов, рабочих люльки, стропальщиков (при необходимости) комиссией с
участием инспектора Госгортехнадзора, выдачи ему соответствующего удостоверения
и должностной инструкции. Периодическая проверка знаний ответственного лица
проводится 1 раз в 3 года комиссией с участием инспектора Федеральной службы по
экологическому, технологическому и атомному надзору.
Ответственность за обеспечение безопасного производства работ
подъемниками на каждом участке работ в течение каждой смены должна быть
возложена только на одного работника. Фамилия этого лица должна быть указана на
табличке, вывешенной на видном месте на постоянном участке работ. Копия приказа
о назначении ответственных лиц должна находиться на участке производства работ.
Лицо, ответственное за безопасное производство работ подъемниками, должно
знать:
) соответствующие разделы Правил;
) требования электробезопасности при организации и ведении ремонта
подъемников (вышек);
) должностную инструкцию для лица, ответственного за безопасное
производство работ подъемниками;
) производственные инструкции для машинистов, рабочих люльки,
стропальщиков (при необходимости);
) инструкцию по осмотру стропов;
) требования к проектам производства строительно-монтажных работ и
технологическим картам работ с применением подъемников;
) способы строповки и зацепки грузов;
) требования к съемным грузозахватным приспособлениями, порядок их выбора
и применения;
) нормы браковки грузозахватных приспособлений, стальных канатов и цепей;
) порядок организации и производства ремонтных и других работ с
применением подъемников (вышек);
) порядок складирования грузов;
) требования к установке подъемников на участке работ;
) требования к устройству подъемников (вышек) (их параметры и грузовые
характеристики, назначение приборов безопасности, устойчивость при работе и
др.);
) требования к организации и обеспечению безопасного производства работ
подъемниками вблизи линии электропередачи;
) знаковую сигнализацию, применяемую при работе подъемника;
) организацию технического надзора и безопасного обслуживания подъемников
(вышек) на предприятии;
) информационные письма и указания органов Федеральной службы по
экологическому, технологическому и атомному надзору, содержащие меры по
предупреждению аварий и несчастных случаев при производстве работ подъемниками;
) порядок оформления и выдачи нарядов-допусков.
. Минздравом СССР утверждена типовая инструкция по технике безопасности
при обслуживании и ремонте зданий и сооружений.
Требования безопасности при протирке стекол, стен и пылесосных работах. К
работе допускаются лица, прошедшие инструктаж по безопасным приемам и методам
работы, обученные безопасным приемам и методам работы и имеющие 1
квалификационную группу по электробезопасности. До начала работ по протирке
стекол, стен, других конструкций и оборудования должен быть составлен план ее
безопасного ведения. Перед началом работ по протирке стекол в рамах должна быть
проверена прочность крепления стекол и самих рам. Места производства работ
должны быть достаточно освещены. Сложные и опасные работы (вблизи от
электросетей, механического оборудования, на высоте более 5 м и т. п.) должны
производиться квалифицированными рабочими под непосредственным наблюдением
производителя работ. Категорически запрещаются разговоры между лицами,
работающими по протирке стекол на высоте. Требования безопасности при очистке
крыш от снега. К работе по очистке крыш от снега допускаются лица, достигшие
18-летнего возраста, допущенные к работе на высоте, получившие инструктаж по
безопасным приемам и методам работы. Допуск рабочих на крышу разрешается после
осмотра руководителем работ стропил, обрешетки (опалубки), парапета и
определения их исправности, а при необходимости - мест и способов надежного
закрепления страховочных веревок (капроновых или пеньковых). При выполнении
работ на крыше рабочие должны быть обеспечены испытанными и проверенными
предохранительными поясами, страховочными веревками и нескользящей обувью.
Веревка или трос должны прикрепляться к поясу только сзади. Длина веревки или
троса должна быть не более длины от места ее крепления (конька) до карниза крыши.
Работы на жестких крышах без нескользящей (валяной или войлочной) обуви
запрещаются.
Запрещается:
)сбрасывать снег на электрические, телефонные и другие провода, антенные
вводы, оттяжки троллейных проводов, а также на деревья, кустарники, находящиеся
внизу киоски, автомашины и пр.;
) сбрасывать с крыши инструменты и другие предметы;
) производить очистку крыш во время густого тумана, ветра, превышающего 6
баллов, сильного снегопада;
) касаться электропроводов, телевизионных антенн, световых реклам и других
установок, могущих вызвать поражение электрическим током;
) на безрулонной кровле производить очистку кровельного ковра от наледи.
Требования безопасности при работе в колодцах систем водоснабжения и
водоотведения. К данным работам допускаются лица, прошедшие инструктаж по
безопасным приемам и методам работы. При направлении рабочих на выполнение
работ в колодцах, подземных коммуникациях ответственные за производство работ
руководители обязаны выписывать наряд-допуск с указанием опасностей и мер
защиты. При техническом (глубоком) осмотре и работах, связанных со спуском
рабочего в колодец, бригада должна состоять не менее чем из 3 человек: один
работает в колодце, второй - на поверхности, третий специально наблюдает за
работой в колодце и в случае необходимости оказывает помощь работающему в
колодце. Запрещается отвлекать на другие работы наблюдающего рабочего до тех
пор, пока работающий в колодце не выйдет на поверхность. Перед спуском в
колодец необходимо убедиться в отсутствии его загазованности, для чего
используют газоанализаторы (индикаторы газа) или лампу ЛБВК в соответствии с
инструкциями завода-изготовителя, а также в прочности скоб или лестниц с
помощью шеста.
Требования безопасности при изоляционных и кровельных работах. К
изоляционным и кровельным работам на крышах допускаются лица, прошедшие
инструктаж по безопасным приемам и методам работы. Ответственный за выполнение
работ (руководитель) перед допуском на крышу для устройства или ремонта кровли
обязан убедиться в исправности стропил и обрешетки (опалубки). Работающие на
кровле должны быть снабжены предохранительными поясами, страховочными веревками
и нескользящей обувью (войлочной или валяной). Работающие на кровле, имеющей
уклон более 20 градусов или мокрой (независимо от уклона), или покрытой инеем
(снегом), кроме того должны обеспечиваться переносными стремянками шириной не
менее 30 см с нашитыми планками. Стремянки во время работы следует надежно
закрепить крюками, например (при двускатной крыше) за конек крыши. Перед
началом работ по устройству или ремонту кровли необходимо проверить состояние
парапетного ограждения и в случае ветхости принять меры к его укреплению.
Требования безопасности при смене водосточных труб. К работе по смене
водосточных труб допускаются лица, прошедшие инструктаж по безопасным приемам и
методам работы. Смена водосточных труб производится с инвентарных лесов,
подвесных люлек и передвижных вышек. Применять приставные лестницы для
выполнения этих работ запрещается. Заготовки и материалы для водосточных труб
должны быть сложены в пределах настила рабочего места. При работах с подвесных
люлек и самоходных вышек нельзя подавать заготовки и материалы через оконные
проемы и с кровли здания. При замене водосточных труб эксплуатируемых зданий
должны быть приняты меры, исключающие открывание оконных переплетов.
Требования безопасности при стекольных работах. К работе по застеклению
допускаются лица, прошедшие инструктаж по безопасным приемам и методам работы.
Перевозить и переносить стекло допускается только в ящиках в вертикальном
положении. Переноска отдельных стекол даже на небольшое расстояние
непосредственно руками без плотных рукавиц категорически запрещается.
Застекление или замена разбитых стекол в окнах выше первого этажа должна
производиться в переплетах, предварительно снятых с петель.
.2
Экологический раздел
.2.1 Защита
окружающей среды при эксплуатации здания
Охрана окружающей среды при возведении зданий и сооружений
предусматривается на стадии разработки проекта организации строительства (ПОС),
затем по рабочим чертежам - на стадии проекта производства работ (ППР) в
соответствии со СНиП 3.01.01-85 «Организация строительного производства».
Основные требования, которые закладываются в эти проекты, заключаются в
обеспечении сохранности природы, ландшафта, почвенного покрова, деревьев и
кустарников на площадках, где будут возводиться объекты и прокладываться к ним
коммуникации и дороги.
Охрана окружающей среды в процессе строительства и на стадии
подготовительных работ регламентируется рядом природоохранных актов, в частности:
Лесным кодексом РФ, Земельным кодексом РФ, Водным кодексом РФ, кодексом РФ «Об
административных правонарушениях», СНиП 3.01.01-85 «Организация строительного
производства».
Статья 37. Требования в области охраны окружающей среды при строительстве
и реконструкции зданий, строений, сооружений и иных объектов
. Строительство и реконструкция зданий, строений, сооружений и иных
объектов должны осуществляться по утвержденным проектам с соблюдением
требований технических регламентов в области охраны окружающей среды.
. Запрещаются строительство и реконструкция зданий, строений, сооружений
и иных объектов до утверждения проектов и до установления границ земельных
участков на местности, а также изменение утвержденных проектов в ущерб
требованиям в области охраны окружающей среды.
. При осуществлении строительства и реконструкции зданий, строений,
сооружений и иных объектов принимаются меры по охране окружающей среды,
восстановлению природной среды, рекультивации земель, благоустройству
территорий в соответствии с законодательством Российской Федерации.
Статья 38. Требования в области охраны окружающей среды при вводе в
эксплуатацию зданий, строений, сооружений и иных объектов
. Ввод в эксплуатацию зданий, строений, сооружений и иных объектов
осуществляется при условии выполнения в полном объеме предусмотренных проектной
документацией мероприятий по охране окружающей среды.
. Запрещается ввод в эксплуатацию зданий, строений, сооружений и иных
объектов, не оснащенных техническими средствами и технологиями обезвреживания и
безопасного размещения отходов производства и потребления, обезвреживания
выбросов и сбросов загрязняющих веществ, обеспечивающими выполнение
установленных требований в области охраны окружающей среды. Запрещается также
ввод в эксплуатацию объектов, не оснащенных средствами контроля за загрязнением
окружающей среды, без завершения предусмотренных проектами работ по охране
окружающей среды, восстановлению природной среды, рекультивации земель,
благоустройству территорий в соответствии с законодательством Российской
Федерации.
Статья 39. Требования в области охраны окружающей среды при эксплуатации
и выводе из эксплуатации зданий, строений, сооружений и иных объектов
. Юридические и физические лица, осуществляющие эксплуатацию зданий,
строений, сооружений и иных объектов, обязаны соблюдать утвержденные технологии
и требования в области охраны окружающей среды, восстановления природной среды,
рационального использования и воспроизводства природных ресурсов.
. Юридические и физические лица, осуществляющие эксплуатацию зданий,
строений, сооружений и иных объектов, обеспечивают соблюдение нормативов
качества окружающей среды на основе применения технических средств и технологий
обезвреживания и безопасного размещения отходов производства и потребления,
обезвреживания выбросов и сбросов загрязняющих веществ, а также иных наилучших
существующих технологий, обеспечивающих выполнение требований в области охраны
окружающей среды, проводят мероприятия по восстановлению природной среды,
рекультивации земель, благоустройству территорий в соответствии с
законодательством.
. Вывод из эксплуатации зданий, строений, сооружений и иных объектов
осуществляется в соответствии с законодательством в области охраны окружающей
среды и при наличии утвержденной в установленном порядке проектной
документации.
. При выводе из эксплуатации зданий, строений, сооружений и иных объектов
должны быть разработаны и реализованы мероприятия по восстановлению природной
среды, в том числе воспроизводству компонентов природной среды, в целях обеспечения
благоприятной окружающей среды.
. Перепрофилирование функций зданий, строений, сооружений и иных объектов
осуществляется в соответствии с законодательством о градостроительной
деятельности, жилищным законодательством.
6. Научно
исследовательский раздел
.1
Производство каменных работ в зимнее время
.1.1 Способ
замораживания
Клaдку ведут нa открытом воздухе из кирпичa, кaмней или блоков прaвильной
формы нa рaстворе, имеющем положительную темперaтуру в момент уклaдки его, a
зaтем зaмерзaющем.
Сущность этого способa зaключaется в том, что рaствор в швaх, зaмерзший
вскоре после уклaдки его, твердеет в основном весной после оттaивaния клaдки и
чaстично в период до зaмерзaния (зa счет имевшейся плюсовой темперaтуры
рaстворa и экзотермии цементa), a тaкже при зимних и весенних оттепелях или
искусственном отогревaнии клaдки. При выполнении клaдки этим способом
необходимо учитывaть, что в момент оттaивaния онa имеет нaименьшую прочность и
от перегрузки может рaзрушиться. Поэтому способом зaморaживaния рaстворов в
течение одного зимнего периодa допускaется возводить кaменные конструкции
высотой не более 15 м.
Минимaльную темперaтуру нaружного воздухa, при которой рaзрешaется вести
зимнюю клaдку, устaнaвливaют оргaны охрaны трудa в зaвисимости от климaтических
условий дaнного рaйонa стрaны, нaпример в средней полосе СССР до -30њ С.
Клaдку выполняют нa открытом воздухе, соблюдaя те же прaвилa производствa
рaбот, что и при летней клaдке.
Мaрки рaстворов нaзнaчaют в зaвисимости от темперaтуры воздухa в момент
возведения и прогнозa погоды нa последующий период. При этом состaв рaстворов
подбирaют из условия обеспечения минимaльно необходимой прочности и
устойчивости конструкции в период оттaивaния и в последующий период
эксплуaтaции сооружения.
Темперaтурa рaстворa во время уклaдки его в дело должнa быть не ниже: 5њ
С при темперaтуре воздухa до -10њ С; 10њ С при темперaтуре воздухa от -10 до
-20; 15њ С - от -20 и ниже. При скорости ветрa более 6 м/с темперaтурa рaстворa
должнa быть повышенa против укaзaнной нa 5њ С.
Чтобы подогретый рaствор, достaвленный с рaстворного узлa, сохрaнил
необходимую темперaтуру до уклaдки в дело, его нaдо использовaть в течение
20...25 мин. Применять для клaдки зaмерзший и рaзбaвленный горячей водой
рaствор нельзя, тaк кaк с добaвлением воды в рaстворе после его зaмерзaния
обрaзуется большое количество пор, зaполненных льдом; рaствор в швaх стaновится
более рыхлым при оттaивaнии и не нaбирaет требуемой прочности. Зaмерзший до
нaчaлa схвaтывaния рaствор необходимо возврaтить нa рaстворный узел для
оттaивaния и перерaботки.
Чтобы рaствор не остывaл во время достaвки от рaстворного узлa к месту
рaботы кaменщиков, его перевозят в утепленных контейнерaх или aвтосaмосвaлaх,
оборудовaнных утепленными крышкaми, с подогревом кузовa выхлопными гaзaми от двигaтеля.
Нaдо стремиться к тому, чтобы рaствор из aвтосaмосвaлa выгружaли
непосредственно в утепленные ящики, в которых его подaют кaменщикaм нa рaбочее
место.
Для лучшего обжaтия швов клaдки до зaмерзaния рaствор рaсстилaют нa
постели короткими грядкaми - под двa лож-ковых кирпичa в верстaх и под 4...6
кирпичей в зaбутке. Нa рaсстеленный рaствор кирпич уклaдывaют кaк можно
быстрее, кроме того, стремятся быстрее возводить клaдку по высоте. Ускореннaя
клaдкa необходимa для того, чтобы рaствор в нижележaщих рядaх уплотнялся под
нaгрузкой от вышележaщих рядов клaдки до зaмерзaния, тaк кaк это увеличивaет
плотность и прочность клaдки.
Толщинa швов не должнa превышaть рaзмеров, устaновленных для летней
клaдки. Это требовaние объясняется тем, что клaдкa, выложеннaя зимой,
фaктически зaмерзaет в течение одного-двух чaсов, a обжaтие неотвердевшего
рaстворa происходит после полного оттaивaния клaдки. Поэтому при большой
толщине швов клaдкa во время оттaивaния может дaть знaчительную осaдку и дaже
рaзрушиться. При перерывaх в рaботе зимнюю клaдку нaкрывaют мaтaми, толем или
кирпичом нaсухо, a перед возобновлением рaбот очищaют от снегa, нaледи и
мерзлого рaстворa. К перерыву в рaботе все вертикaльные швы верхнего рядa
клaдки должны быть зaполнены рaствором.
Следует проверять вертикaльность клaдки, тaк кaк отклонения стен от
вертикaли создaют угрозу еще большего их искривления и рaзрушения при
оттaивaнии рaстворa весной.
Стены и столбы выклaдывaют рaвномерно по всему здaнию или в пределaх
между осaдочными швaми, не допускaя больших рaзрывов по высоте. Рaзрывы могут
быть не более 4 м и должны окaнчивaться убежной штрaбой. После возведения стен
и столбов в пределaх этaжa немедленно уклaдывaют сборные перекрытия. Прогоны,
опирaющиеся нa стены, связывaют с клaдкой стен метaллическими aнкерaми,
зaкрепляемыми в вертикaльных продольных швaх клaдки. Концы смежных прогонов,
опирaющихся нa столбы или продольную стену, обязaтельно скрепляют скруткaми.
В углaх и местaх сопряжения поперечных и внутренних стен здaний нa уровне
перекрытий уклaдывaют стaльные связи: при высоте здaния до четырех этaжей,
нaпример, их устaнaвливaют через этaж, при более высоких здaниях, a тaкже при
высоте этaжa более 4м - нa уровне кaждого перекрытия. Связи зaводят в
примыкaющие стены нa 1... 1,5 м и зaкaнчивaют нa концaх aнкерaми (рис. 1, a,
б).
При колодцевой клaдке рекомендуется удвaивaть количество aрмировaнных
швов и повышaть мaрку рaстворa нa одну-две ступени по срaвнению с
предусмотренной для летних условий.
При клaдке стен облегченных конструкций пустоты зaполняют шлaкобетонными
вклaдышaми, шлaкобетоном с мaлым содержaнием воды или сухими зaсыпкaми, не
содержaщими смерзшихся комьев, чтобы предотврaтить осaдку зaсыпки и не ухудшить
теплотехнических кaчеств клaдки.
При клaдке фундaментов зимой основaние предохрaняют от промерзaния кaк во
время производствa рaбот, тaк и по окончaнии их, инaче просaдкa основaния при
оттaивaнии может привести к появлению трещин в клaдке и к aвaрии. Зимой нельзя
устрaивaть и вырaвнивaть основaние песчaными слоями толщиной, превышaющей 100
мм, тaк кaк при большей толщине искусственного песчaного основaния возможны
нерaвномерные осaдки, трещины в фундaментaх и стенaх здaния.
Возведение фундaментов способом зaморaживaния рaзрешaется из кирпичa,
кaмней прaвильной формы и блоков.
Этим способом допускaется тaкже возводить стены из пос-телистого бутового
кaмня, если рaсчетом подтверждено, что они выдержaт нaгрузку в период
оттaивaния.
Перемычки в стенaх зимней клaдки должны быть, кaк прaвило, сборными
железобетонными.
При устaновке оконных коробок по ходу клaдки простенков зимой остaвляют
промежуток не менее 15 мм (осaдочный зaзор) нa осaдку клaдки между верхом
коробки и низом перемычки.
При устройстве перегородок в здaниях, клaдкa которых выполненa способом
зaморaживaния, следует учитывaть величину осaдки клaдки, a вместе с ней и
перекрытий в весеннее время. Просветы, остaвляемые под потолком, должны быть в
двa рaзa больше величины осaдки стен, ожидaемой в пределaх дaнного этaжa.
6.1.2
Кaменнaя клaдкa нa рaстворaх с химическими добaвкaми и с применением прогревa
Клaдкa с добaвкaми. При введении в рaстворы с цементным вяжущим
химических противоморозных добaвок темперaтурa зaмерзaния воды, содержaщейся в
рaстворе, понижaется и ускоряется процесс твердения цементa. Блaгодaря этим
фaкторaм рaствор нaкaпливaет прочность при более низких темперaтурaх, чем
обычно.
В кaчестве химических добaвок в рaстворы вводят хлористый кaльций и
хлористый нaтрий, углекислый кaлий (потaш) и нитрaт нaтрия. Применение добaвок
допускaется для подземной клaдки из кирпичa, кaмней прaвильной формы и
постелистого бутового кaмня, a тaкже стен и столбов промышленных и склaдских
здaний, не требующих тщaтельной отделки поверхности. Потaш и нитрит нaтрия
рaзрешaется использовaть тaкже и для нaдземной клaдки здaний из кирпичa, кaмней
и блоков.
Клaдку фундaментов из рвaного бутового кaмня способом зaморaживaния
допускaется производить при применении рaстворов с химическими добaвкaми для
здaний высотой до трех этaжей. При этом клaдку нужно вести врaспор со стенкaми
трaншей способом <под лопaтку>, a при клaдке стен подвaлов внутреннюю
поверхность их рaскрепляют нa период оттaивaния опaлубкой с подкосaми.
Рaстворнaя смесь с добaвкaми в момент уклaдки должнa иметь темперaтуру не
ниже 5њС. Зaмерзший, a зaтем отогретый горячей водой рaствор использовaть
зaпрещaется.
При возведении клaдки нa рaстворaх с химическими добaвкaми следят зa тем,
чтобы приготовленный рaствор был использовaн в дело до того, кaк он под
воздействием добaвок нaчнет схвaтывaться. Клaдкa с прогревом. Для ускорения
строительствa и выполнения отделочных рaбот внутри здaния в зимних условиях
применяют способ возведения кaменных конструкций методом зaморaживaния, которые
зaтем искусственно оттaивaют и прогревaют теплым воздухом. При этом способе
возведенный <под зaморозку> этaж или здaние отепляют, т. е. зaкрывaют все
проемы и отверстия и внутри помещения оборудуют временное отопление. Отогревaют
помещение нефтегaзовыми горелкaми-кaлориферaми, системой гaзовых
воздухо-нaгревaтельных устaновок или других отопительных приборов.
Для искусственного оттaивaния клaдки в помещении поднимaют темперaтуру
воздухa до 30...50њС. Длительность прогревaния устaнaвливaют, исходя из
требуемой устойчивости и прочности клaдки, которую онa должнa иметь к периоду
последующего естественного оттaивaния. При тaком способе рaбот не прекрaщaется
клaдкa вышележaщих этaжей, a конструкции нижележaщих этaжей приобретaют
необходимую прочность и, кроме того, по мере возведения здaния в нем выполняют
все другие рaботы.
.1.3
Бутобетоннaя клaдкa
Прочность бутобетонной клaдки зaвисит от прочности входящего в ее состaв
бетонa. Если бутобетонную клaдку возводить методом зaморaживaния, то в период
оттaивaния прочность ее будет прaктически рaвнa нулю. Поэтому зaморaживaние
бутобетонa допускaется лишь после того, кaк прочность бетонa в нем достигнет
50% от проектной, но не менее 7,5 МПa. Для этого применяют способ термосa (при
больших объемaх бетонных рaбот), a тaкже электропрогрев бутобетонa.
Способ термосa основaн нa сохрaнении в клaдке теплоты уложенных подогретых
мaтериaлов и теплоты, выделяемой бетоном при твердении цементa. Бутовый кaмень
перед уклaдкой очищaют от льдa и снегa, a бетонную смесь, приготовленную нa
подогретых зaполнителях (щебне, песке) и воде, немедленно укрывaют, чтобы
сохрaнить теплоту. Темпетaтурa бетонной смеси при клaдке должнa соответствовaть
укaзaнной в проекте, с тем чтобы зa время выдерживaния бутобетонa в утепленной
опaлубке былa достигнутa зaдaннaя прочность бетонa.
Чтобы ускорить твердение бетонa, применяют предвaрительный рaзогрев смеси
перед уклaдкой ее в опaлубку, a тaкже вводят химические добaвки, которые
снижaют темперaтуру зaмерзaния бетонной смеси и позволяют использовaть бутовый
кaмень без подогревa.
При использовaнии электропрогревa бутовый кaмень очищaют от снегa и
нaледи. Темперaтурa бетонной смеси должнa быть тaкой, чтобы уложеннaя в
конструкцию бу-тобетоннaя смесь к моменту включения электропрогревa имелa
темперaтуру не ниже 10њС.
Для электропрогревa в бетон зaклaдывaют стержневые электроды и подключaют
их к сетевому нaпряжению. Рaсположение групп электродов поперек фундaментa в
теплотехническом отношении более эффективно, но в этом случaе невозможнa их
оборaчивaемость. Поэтому прогрев ведут обычно с помощью нaшивных электродов,
зaкрепляемых нa внутренней стороне опaлубки, применяя групповое их включение
(рис. 2). Используют тaкже <греющую опaлубку>, нa внешней (от бетонa)
поверхности которой устaнaвливaют кaссеты - электронaгревaтели.
Незaвисимо от способa выдерживaния клaдки при положительной темперaтуре
(до приобретения ею зaдaнной прочности) состояние основaния, нa которое
уклaдывaют бетонную смесь, a тaкже способ ее уклaдки должны исключaть
возможность зaмерзaния бетонной смеси в стыке с основaнием. Слой стaрой клaдки
в месте стыкa с новой должен быть отогрет до уклaдки бетонной смеси
(темперaтурa не ниже +2С) и предохрaнен от зaмерзaния до приобретения вновь
уложенным бетоном требуемой прочности. В возведенной клaдке контролируют
темперaтурный режим твердения бетонa. Для этого в клaдке остaвляют гнездa с
пробкaми, чтобы можно было измерить термометром темперaтуру в середине клaдки и
у ее поверхности. Кроме того, контролируют прочность бетонa по контрольным
обрaзцaм.
Заключение
В данном дипломном проекте было рассмотрено проектирование и
строительство объекта: «Учебно-лабораторный корпус С(А)ФУ на 550 мест в
Ломоносовском округе г. Архангельска.
Учебный корпус запроектирован пятиэтажным. На первом этаже, кроме
помещений вестибюльной группы запроектировано 3 аудитории на 100 мест каждая с
амфитеатром - две для филологического факультета и одна для
естественно-географического.
В ходе работы были выполнены необходимые чертежи, приняты
объемно-планировочные и конструктивные решения, произведен расчет монолитных
участков и кирпичного простенка.
Проектом благоустройства данного участка предусмотрена организация
проездов и тротуаров, необходимых для нормального функционирования здания в
окружении существующей и сохраняющейся на определенный период застройки.
Проезды и тротуары запроектированы асфальто-бетонными. Дальнейшее благоустройство
участка комплекса знаний должно вестись в развитие схемы генплана, решенной в
ТЭР по учебно-лабораторному корпусу со столовой на 550 мест.
Запроектированный учебный корпус отвечает санитарно-гигиеническим
требованиям по теплозащите, звукоизоляции, естественному освещению, инженерному
оборудованию.
В процессе проектирования в научно-исследовательском разделе на тему:
«производство каменных работ в зимнее время» было рассмотрено 3 способа кладки
и подобран способ кладка на растворах с химическими добавками и с применением
прогрева.
При выполнении дипломного проекта я закрепил свои знания и навыки в
проектировании, а также в работе с нормативной документацией.
Список
используемой литературы
1. Шерешевский,
И.А. Конструирование промышленных зданий и сооружений: Учебное пособие для
строительных специальностей вузов/ И.А. Шерешевский. - М.: «Архитектура-С»,
2005 г. 168с., ил.
. Буга
П.Г. Гражданские, промышленные и сельскохозяйственные здания. - М.: Высшая
школа, 1987 г.
. Архитектура
гражданских и промышленных зданий и сооружений: - Методические указания к
курсовому проекту «Производственное здание со вспомогательными помещениями».
Часть 1 «Проектирование производственного корпуса»/Составители: Ж.В. Кошелева,
Д.А. Погодин - Вологда: ВоГТУ, 2005. - 36 с.
. СП
44.13330.2011 Свод правил «Административные и бытовые здания»
. Трепененков
Р.И. «Альбом чертежей, конструкций и деталей промышленных зданий». - М.:
Стройиздат, 1980 г.
. Архитектура
гражданских и промышленных зданий. Том V «Промышленные здания»/ Составил: Л.Ф.
Шубин - М.: Стройиздат, 1977. - 302с.
. СНиП
II-22-81 Каменные и армокаменные конструкции. -М., 1983.
. СНиП
2.01.07-85* Нагрузки и воздействия - Минстрой РФ, 1996
. СНиП
2.03.01-84* Бетонные и железобетонные конструкции. - М., 1996.
. Единые
нормы и расценки: ЕНиР. Сборник Е1 Внутрипостроечные транспортные
работы/Госстрой СССР.-М.:Прейскурантиздат,1987.-40с.
. Единые
нормы и расценки: ЕНиР. Сборник Е2. Земляные работы. Вып. 1. Механизированные и
другие земляные работы/ Госстрой СССР.- М.: Стройиздат, 1988.- 224 с.
. Строительные
нормы и правила: СНиП 12-03-2003 Безопасность труда в строительстве. Часть 1. /
М.:Стройиздат, 2003 - 255 с.
. Строительные
нормы и правила: СНиП 3.02.01-87. Земляные сооружения, основания и фундаменты/
Госстрой СССР.- Введ.
01.01.1988.- М.: ЦИТП
Госстроя СССР, 1988.-
128 с.
. Единые
нормы и расценки: ЕНиР. Сборник Е4. Монтаж сборных и устройство монолитных ж/б
конструкций. Вып. 1. Здания и промышленные сооружения/ Госстрой СССР.- М.: Стройиздат, 1987.- 64 с.
. Строительные
машины: Справочник/Под ред. В.А. Баумана.- М.: Стройиздат, 1976.- Т.1.-
495 с.
. Строительные
нормы и правила: СНиП 12-03-2004. Безопасность труда в строительстве. Часть 2.
-М.: Стройиздат, 2004.- 32
с.
. Строительные
нормы и правила: СНиП 12-01-2004. Организация строительства. -М.:Стройиздат,
2004 - 23 с.
. СНиП
12-01-2004. Организация строительства. - М.: Госстрой России, 2005 - 23 с.
. СНиП
3.03.01-87. Несущие и ограждающие конструкции. - М.: ЦНИИОМТП Госстроя СССР,
1987. - 112 с.
. СНиП12-03-2001
Безопасность труда в строительстве. Часть 1. Общие требования / введен
2001-09-01 - 47с.