Разработка учебно-лабораторного стенда для изучения волоконно-оптического канала утечки акустической информации

  • Вид работы:
    Дипломная (ВКР)
  • Предмет:
    Информатика, ВТ, телекоммуникации
  • Язык:
    Русский
    ,
    Формат файла:
    MS Word
    2,44 Мб
  • Опубликовано:
    2013-11-18
Вы можете узнать стоимость помощи в написании студенческой работы.
Помощь в написании работы, которую точно примут!

Разработка учебно-лабораторного стенда для изучения волоконно-оптического канала утечки акустической информации

РЕФЕРАТ

Ходоркин Дмитрий Олегович. Разработка учебно-лабораторного стенда для изучения волоконно-оптического канала утечки акустической информации.

Для дипломного проекта выбрана актуальная проблема исследования нового канала утечки акустической информации и создания лабораторно-учебного стенда для обучения молодых специалистов. Произведен анализ немногочисленных научных статей по данной проблематике и выделены основные проблемы этой области. Определен минимально необходимый состав оборудования и компонентов, на базе которых разработан план исследования и проведения экспериментов. Описана методика настройки приборов.

Проведен ряд экспериментов с целью выяснения природы возникновения канала утечки и проверки ранее известных результатов. Эксперименты проводились по нарастающей сложности и, в конце концов, завершились этапом создания и проверки учебно-лабораторного стенда. Рассмотрены условия безопасной работы с лазерными установками и уровень допустимого шума. Проведен SWOT-анализ проекта и расчет стоимости проекта.

ВВЕДЕНИЕ

Ранее считалось, что каналы оптической связи в силу особенностей распространения электромагнитной энергии в оптическом волокне (ОВ), а также ввиду применения узконаправленных передающих антенн в атмосферных каналах оптической связи обладают повышенной скрытностью.

Известно, что волокно представляет собой волновую структуру, в которой оптическое излучение распространяется по закону полного внутреннего отражения. Тем не менее, даже после формирования статического распределения поля в волокне, небольшая часть рассеянного излучения все же проникает за пределы отражающей оболочки и может являться каналом утечки передаваемой информации.

В основе волоконно-оптического канала утечки речевой информации лежит эффект модуляции светового потока внешним акустическим полем. В свою очередь, промодулированный речью световой поток может выйти далеко за пределы конфиденциального помещения по штатным волоконно-оптическим коммуникациям. Злоумышленник, в свою очередь, подключившись к линии связи, может произвести демодуляцию светового потока и получить доступ к конфиденциальной информации. [1]

Световые потоки, протекающие через волоконно-оптическую линию связи, можно разделить на штатные, связанные с физической реализацией протокола передачи данных, и нештатные, специально сформированные нарушителем для несанкционированного съема речевой информации.

Штатные световые потоки, формируемые, например, при цифровых методах передачи информации, позволяют создать канал утечки без нарушения работы всей системы, так как уровень акустического воздействия на штатный световой поток незначительно уменьшает отношение сигнал/шум. Также для съема речевой информации могут быть использованы переменные по интенсивности световые потоки, применяемые для синхронизации на физическом уровне работы приемопередающего активного оборудования и действующие между передачей данных.

К нештатным потокам относятся любые излучения, формируемые источниками света, несанкционированно подключенными к волоконно-оптическим коммуникациям.

Все методы нейтрализации нового канала утечки можно разделить на пассивные (например, звукоизоляция волоконно-оптического канала связи) и активные методы (различные способы фильтрации, зашумления). Эффективность любой защиты зависит от технических возможностей обнаружения угрозы безопасности информации. Технические средства, позволяющие выявить сам факт подслушивания или настройки оборудования для его осуществления, несомненно, повысят надежность системы защиты организаций. Однако в случае волоконно-оптических коммуникаций следует учитывать физические особенности оптического канала связи, такие, как малые размеры, направленность излучения и отсутствие побочных световых потоков, на основе которых можно предложить простой и эффективный способ обнаружения несанкционированного съема информации (подслушивания) путем контроля существующих в канале световых потоков.

Постановка задачи

Целью данного дипломного проекта является создание учебно-лабораторного стенда для изучения волоконно-оптического канала утечки акустической информации на базе оборудования кафедры Защиты информации НГТУ, а также разработать учебно-методическую документацию для проведения специализированных лабораторных работ студентами кафедры.

В ходе данной работы будут реализованы следующие задачи:

создание макета стенда;

реализация стенда;

изучение эффекта модуляции светового потока внешним акустическим полем;

Далее рассмотрим подробнее каждую из задач.

Создание макета стенда

В ходе решения данной задачи на первом этапе будет построена модель стенда для подбора компонентов и необходимого оборудования. Далее, на втором этапе будет разработан экспериментальный макет стенда для сбора предварительных данных о защищенности волоконно-оптической линии связи. Результаты работы данного этапа в дальнейшем помогут сформировать состав конечного стенда и порядок проведения исследования.

Реализация стенда

В ходе решения данной задачи будет реализован стенд, проведены эксперименты и отлажено оборудование для получения объективных данных о защищенности волоконно-оптической линии связи. Конечный стенд в дальнейшем будет использоваться для новых исследований и внедрения в учебный процесс с целью использования его студентами в специализированных лабораторных работах кафедры ЗИ.

1. ИЗУЧЕНИЕ ЭФФЕКТА МОДУЛЯЦИИ СВЕТОВОГО ПОТОКА ВНЕШНИМ АКУСТИЧЕСКИМ ПОЛЕМ

В ходе решения данной задачи на основе экспериментов на макете стенда и конечном стенде будет получен набор данных, описывающих условия формирования канала, выявленные уязвимости штатной коммуникационной линии и возможные способы подключения к линии злоумышленником.

2. ОБЗОР СУЩЕСТВУЮЩИХ РЕШЕНИЙ

Статьи по прослушиванию оптоволокна достаточно редки в силу определенной специфики такого рода коммуникаций. По мере удешевления оборудования и стоимости организации каналов связи на основе оптоволокна, оно все чаще применяется в коммерческой практике. Специалистам ИТ, отвечающим за вопросы безопасности коммуникаций, стоит знать об основных источниках угроз и методах противодействия. Весь спектр угроз, реализуемых для данной линии связи в данной работе, будет разделен на два вида: хищение штатной (цифровой) информации, проходящей по линии связи, и использование оптоволокна как носителя речевой информации. Именно второй вид угрозы подробно описан в данной работе.

2.1 Хищение цифровой информации

Подробно данная угроза была рассмотрена в статье 2011 года «Скрытное подсоединение к оптоволокну: методы и предосторожности», авторами которой являются М. Зафар Икбал, Хабиб Фатхалла, Незих Белхадж. В статье достаточно подробно и популярно описаны все физические аспекты, причастные к образованию канала утечки. Во многом они аналогичны тем, что могут быть использованы для внешней акустической модуляции, о которой будет рассказано позже.

Для полноты данной работы необходимо тезисно рассмотреть проделанную ими работу и полученные результаты.

Подключение к оптоволокну (fiber tapping) - процесс, при котором безопасность оптического канала компрометируется вставкой или извлечением световой информации. Подключение к оптоволокну может быть интрузивным либо неинтрузивным. По первому методу волокно перерезается и подсоединяется к промежуточному устройству для съема информации, в то время как при использовании второго метода подключение выполняется без нарушения потока данных и перерыва соединения.

В настоящее время сообщается лишь о нескольких зафиксированных случаях подключения к оптоволокну. Это связано с большими сложностями в обнаружении места подключения, в то время как собственно подключение выполняется достаточно просто. Вот список основных инцидентов:

г. - в аэропорту Франкфурта, Германия обнаружено подключение к трем главным линиям компании Deutsche Telekom;

г. - на оптической сети компании Verizone обнаружено подслушивающее устройство;

г. - подводная лодка ВМФ США USS Jimmy Carter модернизирована специальным образом для установки несанкционированных подсоединений к подводным кабелям.

Методы подсоединения к оптоволокну

Сгибание волокна. При данном методе подключения кабель разбирается до волокна. Данный способ основан на принципе распространения света через волокно посредством полного внутреннего отражения. Для достижения результата этим способом угол падения света на переход между собственно ядром волокна и его оболочкой должен быть больше, чем критический угол полного внутреннего отражения.

В противном случае, часть света будет излучаться через оболочку ядра. Значение критического угла является функцией показателей отражения ядра и его оболочки и представлено следующим выражением:

θc=cos-1(μcladding/μcore), причем μcladding < μcore

Здесь θc - критический угол, μcladding - показатель преломления оболочки, μcore - показатель преломления ядра.

При сгибании волокно искривляется таким образом, чтобы угол отражения стал меньше критического, и свет начал проникать через оболочку. Очевидно, что могут быть два типа сгибов: микро и макро.

Моделирование

Для точной оценки потерь при сгибании оптоволокна типа SMF-28 используется полновекторный частотный решатель Максвелла, основанный на методе конечных элементов высокого порядка и допускающий адаптацию граничных условий - растягивающегося идеально согласованного слоя. Получены векторные расчеты констант распространения и электрических полей мод в изогнутых волноводах. Потери при сгибе рассчитываются на основе мнимой части константы распространения фундаментальной моды. Общие потери получены сложением потерь ортогональной и базовой моды.

Данные для моделирования. Для волокна SMF-28, радиус ядра и показатель преломления представляют собой соответственно:

rc = 4.15 μm и nc = 1.4493.

В оболочке, они соответственно равны:

rcl = 62.25 μm и ncl = 1.444.

Коэффициент преломления воздуха равен 1.

Расчет потери мощности. Радиус изгиба ρ взят по оси x, мода поляризуется вдоль оси y, а распространение идет по оси z, как показано на следующем рисунке:

Рис. 2.1 - Движение светового потока на сгибе оптоволокна

Рисунок 2.2 представляет собой выраженную в числах потерю на сгибе как функцию радиуса изгиба волокна метровой длины. Наблюдается логарифмическая зависимость потерь относительно радиуса изгиба. Для небольших радиусов изгиба (ρ < 10 mm), потери превышают 40 dB/м. При обычных радиусах изгиба (ρ > 15 mm) потери составляют меньше, чем 1 dB/м.

Рис. 2.2 - Численная оценка потери на изгибе как функции от радиуса изгиба

Эксперимент по подключению к оптоволокну

Полностью операция прослушивания может быть реализована с помощью следующих шагов:

получение оптического сигнала с волокна;

детектирование сигнала;

обнаружение механизма передачи (декодирование протокола);

программная обработка обнаружения фреймов/пакетов и извлечение из них необходимых данных.

Эксперимент включал в себя передачу цифрового видеосигнала через оптический Ethernet с одного компьютера на другой. Подсоединяемое волокно было оголено до оболочки и помещено в оптический каплер (coupler), где волокно сгибается, вызывая излучение некоторого количества света, нарушающего принцип полного внутреннего отражения. Это устройство направляет захваченный свет в однонаправленный конвертер Ethernet. В дальнейшем, фреймы Ethernet обрабатываются, и из них реконструируется видеопоток на третьем ПК. Для передачи потока и воспроизведения использовался VLC плеер. Анализатор протоколов WireShark использовался для захвата пакетов, а ПО Chaosreader использовалось для реконструкции видео из захваченных пакетов.

Программное и аппаратное обеспечение соединено, как это показано на рисунке 2.3. Оголенное волокно проходит от источника видео до приемника через зажим каплера. В зажиме часть света отводится и попадает в однонаправленный медиаконвертер, считывающий Ethernet-фреймы, которые затем передаются на третий ПК с установленным WireShark. Анализатор протокола конвертирует фреймы Ethernet и извлекает из них такую информацию, как MAC-адреса источника и приемника. Также он обрабатывает содержимое фреймов и достает из него IP-пакеты. Информация, полученная из пакетов, включает в себя IP-адреса, сообщения сигнальных протоколов и биты служебной загрузки.

Рис. 2.3 - Экспериментальная схема для подсоединения к волокну

Пакеты, собранные таким способом, сохраняются в формате файла pcap (packet capture). Затем файл обрабатывается ПО Chaosreader, который реконструирует оригинальные файлы и создает индекс реконструированных файлов. Для обнаружения захваченного видео выбираются *.DAT файлы большого размера из рабочего каталога WireShark. Затем эти файлы открывается в плеере VLC, который показывает перехваченную часть видеопотока.

Защита от подключения

Так же в рамках статьи были описаны способы защиты волоконно-оптический линии связи, такие как:

мониторинг сигналов вблизи волокна;

электрические проводники, внедренные под оболочку для отслеживания целостности кабеля;

мониторинг мощности мод;

измерение оптически значимой мощности;

применение оптических рефлектометров.

Последний способ стоит рассмотреть подробней, так как он теоретически применим и для отслеживания наличия модуляции внешним акустическим полем. Подробнее это будет описано в следующих разделах.

Поскольку подсоединение к волокну забирает часть оптического сигнала, для обнаружения подключений могут использоваться оптические рефлектометры. С их помощью можно установить расстояние по трассе, на котором обнаруживается падение уровня сигнала, что показано на следующем рисунке:

Рис. 2.4 - Поиск подключения на оптической трассе

Отдельно стоит упомянуть защиту данных шифрованием передаваемого по волоконно-оптической линии потока. Хотя шифрование никак не препятствует подсоединению к волокну, оно все же делает украденную информацию малополезной для злоумышленников. Шифрование обычно классифицируется по уровням 2 и 3.

Пример шифрования третьего уровня - протокол IPSec. Он реализуется на стороне пользователя, так что это вызывает определенные задержки в обработке. Протокол поднимается в начале сессии, и общая реализация может быть весьма сложной, если в работу вовлечено большое количество сетевых элементов. Например, ранее при разработке мультимедийных подсистем связь между различными узлами и элементами была незащищенной, что соответственно не препятствовало интерпретации информации. Существенно позже IPSec был встроен в оригинальный дизайн, так как технологии нижнего уровня не предлагали никакого шифрования вообще.

Шифрование второго уровня освобождает элементы третьего уровня от любого бремени шифрования информации. Один из возможных источников шифрования второго уровня - это оптический CDMA, который считается относительно безопасным. Данное допущение, в основном, базируется на методах расшифровки грубой силой и не учитывает более продвинутые способы. Вероятность успешного перехвата данных является функцией нескольких параметров, включая отношение сигнал/шум и дробление (fraction) доступной системной емкости. Увеличение сложности кода может увеличить отношение сигнал/шум, требуемое для злоумышленника, чтобы «сломать» кодирование всего лишь на несколько dB, в то время как обработка менее чем 100 бит со стороны злоумышленника может уменьшить отношение сигнал/шум на 12 dB. Перепрыгивание по длинам волн и распределение сигнала во времени, в частности, и использование O-CDMA, в общем, обеспечивают достаточный уровень секретности, но он высоко зависит от системного дизайна и параметров реализации.

В качестве заключения по данному разделу стоит еще раз подчеркнуть, что подсоединение к оптоволокну является весьма осязаемой угрозой интересам национальной безопасности, финансовым организациям, а также персональной приватности и свободам. После подключения, получаемая информация может быть использована многими способами в зависимости от мотивации злоумышленника и его технических возможностей. [2]

1.2 Оптоволокно как канал утечки речевой информации

Данный, специфический, канал утечки речевой информации описан в обширной серии статей кандидата физико-математических наук В.В. Гришачева. Помимо оригинальных экспериментов в данной работе ставятся и эксперименты, ранее уже проделанные Гришачевым. Результаты своих экспериментов Гришачев описывает в статье «Практическая оценка эффективности канала утечки акустической (речевой) информации через волоконно-оптические коммуникации». В работе построен стенд для изучения эффекта акустической модуляции светового потока волоконно-оптической линии связи, а также выведены зависимости эффективности канала от конкретных физических параметров оптического излучения в волоконно-оптическом канале связи. Проведенные экспериментальные исследования позволяют дать практические рекомендации по предотвращению прослушивания по штатным волоконно-оптическим коммуникациям.[3]

В своей статье «Количественная оценка эффективности канала утечки информации по техническим параметрам каналов связи» В.В. Гришачев рассматривает методы расчета параметров для практического использования при описании каналов утечки различного вида и природы. В качестве примера проведена оценка характеристик акусто-оптоволоконного канала утечки. Таким образом, на основе представленных им исследований можно провести оценку параметров акусто-оптоволоконного канала утечки речевой информации. Безопасным можно считать канал утечки с коэффициентом модуляции не выше CML = 0,1 %, коэффициентом шума не ниже CNL = 100 (20 дБ), тогда эффективность канала утечки не превысит CEL = 40 %. Бюджет канала утечки можно принять равным CLL = 20 дБ. Представленные оценочные значения характеристик акусто-оптоволоконного канала утечки показывают его высокую опасность для подслушивания. Надо отметить, что полученные оценки можно экстраполировать и на другие инженерно-технические каналы утечки.

На основе технических параметров канала связи выбраны характеристики, наиболее полно отвечающие оценке параметров канала утечки и адаптированные для практических расчетов. В качестве примера проведена оценка характеристик акусто-оптоволоконного канала утечки. [4]

В рамках данного дипломного проекта для построения учебно-лабораторного стенда используется ряд выявленных В.В. Гришачевым закономерностей. В стенде будет реализован схожий принцип формирования канала утечки, кроме того, будут задействованы и другие технические решения и подходы. Такие, как:

использование октавного генератора тонового сигнала для формирования речеподобного сигнала (по аналогии с общепринятой в России методикой оценки защищенности помещений, предназначенных для проведения конфиденциальных переговоров);

проведение ряда экспериментов с целью лучшего понимания физики явления модуляции светового потока в волоконно-оптической линии связи.

Как и было завялено выше, результатом проделанной работы станет учебно-лабораторный стенд, который в дальнейшем будет использоваться студентами в специализированных лабораторных работах кафедры ЗИ.

3. МАТЕМАТИКО-ФИЗИЧЕСКОЕОБЕСПЕЧЕНИЕ

.1 Акустическое (речевое) воздействие

Перед изучением волоконно-оптического канала утечки речевой информации следует детально рассмотреть физические принципы формирования и восприятия человеческой речи, известные каналы утечки речевой информации и методики их оценки.

Общие положения

Речь человека - определенная последовательность звуков, характерных для данного языка, произносимых, обычно, слитно с паузами после отдельных слов или групп звуков.

Речь создается артикуляционными органами человека и в силу неодинаковости их размера у разных людей речь любого человека индивидуальна.

Речь представляется тремя группами характеристик:

физические;

семантические;

фонетические.

Физические характеристики речи - характеристики речи с точки зрения волновых явлений. В этом смысле звук - колебательные движения частиц упругой среды, распространяющиеся в виде волн.

Звуковые волны в газообразных и жидких средах являются продольными (т.е. такими, в которых направления смещения частиц среды совпадают с направлением распространения волны); в твердых средах кроме продольных могут иметь место поперечные волны и их комбинации (изгибные, крутильные и т.п.).

Важнейшими характеристиками звуковых волн являются следующие:

• Диапазон частот, воспринимаемых человеческим ухом (Гц) - 16 Гц ÷20 кГц (< 16 Гц - инфразвук, > 20кГц - ультразвук).

• Скорость распространения звуковых волн в среде (скорость звука)-V(м\с); при неизменных условиях распространения (температура, атмосферное давление и т.п.), V -const. Так V в воздухе равна 331 м\с (при t0 -00С, Р=1 атм); в воде -1490 м\с (20оС); в бетоне 4200÷5300 м\с.

• Длина волны λ:

λ = V\f,

где f - частота звука в Гц; для звуковых волн λ= 1,65см ÷ 20,7м.

• Звуковое давление (Р) давление звуковой волны, которое она оказывает на среду при распространении в ней. Строго говоря, это переменная часть давления, т.е. разность между мгновенными значениями давления в точке среды при прохождении волны и статическим давлением в этой же точке (Р- линейная характеристика).

Р - сила, действующая на единицу поверхности: Р = F/S. Единицей измерения Р в системе СИ является Паскаль, Па (Ньютон/ метр2). для справки: 1Па в 105 раз меньше 1 атм.

Звуковое давление в воздухе изменяется от 2·10-5 Па (порог слышимости, Ро) до 105 Па (болевой порог).

Часто Р выражается в дБ:

Р

Р (дБ) = 20 lg ---------;

Ро

Динамический диапазон Р, воспринимаемый человеческим ухом, равен ~140дБ

• Интенсивность звука или сила звука I (энергетическая характеристика) - количество энергии, проходящей в секунду через единицу площади перпендикулярно к направлению распространения волны. Единицей интенсивности звука (в системе СИ) является Вт/м2

I

I (дб) = 10 lg (-----------), где I0 = 10 -12 Вт/м2

I0

Важнейшими характеристиками звуковых волн являются также фронт волны (плоская, сферическая, цилиндрическая волна), явления отражения, преломления, дифракции и затухания волн.

Понятие структурных акустических волн (структурный звук)

Под структурным звуком понимают механические колебания в твердом теле с частотой f = 16 Гц÷20 кГц. Механические колебания стен, перекрытий, трубопроводов и т.п. передаются на значительные расстояния, почти не затухая, и хорошо перехватываются приемными устройствами типа стетоскоп. Структурные (акусто-вибрационные) волны возникают из-за механического воздействия акустических волн на инженерные конструкции. В результате этого воздействия в конструкциях возникают напряжения и деформации, образующие структурные колебания. При этом возникают не только волны сжатия (продольные), но и поперечные их комбинации - изгибные, крутильные, волны Рэлея (поверхностные). Не вдаваясь в физику сложных волновых процессов, стоит отметить, что распространение структурных волн в инженерных конструкциях здания характеризуется:

затуханием волн вследствие их расхождения и поглощения (перехода энергии в тепло);

отражением на границах раздела сред (например, составные стены из разного материала, места разветвления, углы) и т.п.;

преобразованием типов волн (например, изгибных в продольные);

излучением в воздушную среду (в основном, при переходе изгибных волн в продольные).

При этом скорость распространения структурных волн зависит от частоты распространения f.

Опасность виброакустического канала утечки речевой информации состоит в большой и непредсказуемой дальности распространения звуковых волн, преобразованных в структурные колебания элементов инженерных коммуникаций с последующим их преобразованием в звуковые воздушные колебания. Экспериментальные исследования показали возможность перехвата речевой информации с высоким качеством в зданиях из железобетона через один-два этажа, по трубопроводам - через два-три этажа.

• Семантические характеристики речи - характеристики смысла передаваемых понятий.

• Фонетические характеристики - характеристики речи с точки зрения ее звукового состава, т.е. количества и частоты встречаемости, так называемых, фонем - наименьших звуковых единиц, образующих конкретные звуки данного языка. Например, в русской речи 41 фонема: 6 гласных, 3 твердых согласных, 2 мягких, 15 в твердом и мягком виде, 4 составных (я, ю, е, ё). Фонем больше, чем звуков.

Звуки речи неодинаково информативны и по-разному влияют на разборчивость речи. Наиболее информативными являются глухие согласные звуки.

Понятие разборчивости речи

Особенности строения речевого тракта человека обуславливают сложную волнообразную форму огибающей спектра произносимых звуков.

Максимумы концентрации энергии в спектре звука называются формантами. Каждый звук имеет несколько формант и свою индивидуальную спектральную огибающую, т.е. расположение формант на частотной оси, соотношение их уровней и характер изменения (рисунок 3.1).

Форманта - ключевое понятие в теории разборчивости речи. Разборчивость речи - основной показатель технической защищенности речевой информации, выражается процентным (или относительным количеством) правильно принятых элементов речи (звуков, слогов, слов, фраз) на выходе технического канала из общего их числа. Соответственно различают звуковую (D), слоговую (S), словесную (W) и фразовую (I) разборчивость. Между ними существует однозначная связь (для данного языка), установленная экспериментальным путем на основе так называемых артикуляционных испытаний.

Рис. 3.1 - Спектр огибающей фонемы «3»

Разборчивость речи тесно связана с качественной характеристикой «понятность речи», что представлено в таблице ниже:

Таблица 3.1 - Соотношение разборчивости и понятности речи

Понятность

Разборчивость %


Аф

S

W

I

Предельно допустимая

15÷22

25÷40

75÷87

91÷96

Удовлетворительная

22÷31

40÷50

87÷93

96÷98

Хорошая

31÷50

50÷80

93÷98

98÷99

Отличная

> 50

> 80

>98

>99


Экспериментально-расчетный метод оценки разборчивости речи.

Наиболее существенный вклад в развитие отечественной теории разборчивости внесли Покровский Н.Б., Быков Ю.С., Сапожков М.А.. В настоящее время для оценки разборчивости речи в задачах защиты информации принят экспериментально-расчетный метод, предложенный Н.Б. Покровским, суть которого заключается в следующем. Весь частотный (речевой) диапазон разделяется на «n» полос, в общем случае произвольных, например, равноартикуляционных, октавных, третьоктавных и т.п. Учитывая, что восприятие человеком формант обладает свойством аддитивности (т.е. когда каждая частотная полоса речевого диапазона вносит свой линейный вклад в суммарную разборчивость речи), можно записать:

Аф = Σ Афi = Σ gi Pi(1)

где gi - вклад i-той частотной полосы в cуммарную разборчивость Аф;- коэффициент восприятия формант человеческим ухом в i-той полосе частот.

Вклад gi каждой i-той частотной полосы в суммарную разборчивость формант можно оценить по так называемому формантному распределению (рис. 3.2), математический смысл которого - функция распределения вероятности встречаемости (наличия) формант по частотному диапазону.

Рис. 3.2 - Формантное распределение

Так, для принятого на практике октавного разбиения частотного диапазона gi имеют следующие значения (табл.3.2). Необходимо отметить, что в разных источниках значения gi несколько различаются. Кроме того, при использовании только пяти октавных полос, Аф= 0,91≠1, т.е. «теряется» 9% формантной разборчивости (табл.3.2).

Таблица 3.2 - Октавное разбиение частот

Наименование параметров

Среднегеометрические частоты октавных полос fсрi, Гц


250

500

1000

2000

4000

Числовое значение Δ В (формантного параметра спектра речевого сигнала в октавной полосе) дБ

18

14

9

6

5

Числовое значение весового коэффициента в октавной полосе gi

0,03

0,12

0,2

0,30

0,26


Далее в экспериментальном разделе для выявления модуляции будет использоваться тональный сигнал с частотой 2кГц. Поиск модулированного сигнала будет также производиться на этой частоте.

Если бы слушающий заведомо принимал все, что передает говорящий, т.е. если бы был идеальный канал «источник речевой информации - приемник», то независимо от числа полос и их ширины формантная разборчивость была бы равна 1:

Аф = Σ Афi = 1

Однако в реальных условиях часть формант не воспринимается из-за целого ряда причин: недостаточная громкость, искажения в тракте, шум, помехи и т.п. Поэтому всегда Аф ≤ 1. Данное обстоятельство учитывается коэффициентом восприятия формант Pi (по сути Р - вероятность правильного приема формант, 0 < Pi ≤ 1).

Коэффициент восприятия является функцией уровня ощущения формант, т.е. количеством формант, интенсивность которых выше некоторого порогового значения. Для большинства практических случаев уровень ощущения Е определяется по формуле:

Е = В´р - в - Вш (2)

где В´р - спектральная плотность формант;

в - коэффициент затухания тракта «источник-приемник»;

Вш - спектральная плотность шума.

На рисунке 3.3 приведены усредненные спектры русской речи Вр и соответствующий спектр формант В´р, а на рисунке 3.4 разность этих спектров Δ В, которая в большинстве случаев считается постоянной, что, вообще говоря, несправедливо для громкой речи.

Рис. 3.3 - Усредненные спектры русской речи и формант

Рис. 3.4 - Разница между спектром речи и формант

Числовые значения Δ В для 5-ти октавных полос даны в табл. 2.

На рисунке 3.5 приведена зависимость коэффициента восприятия Р от уровня ощущений E.

Рис. 3.5 - Зависимость коэффициента восприятия от уровня ощущений

Нетрудно показать, что формулу (2) можно представить в следующем виде:

E΄= (Вр -Δ В) - Вш - в = (Вр - Вш) -Δ В- в       (3)

Рассмотрев принципы формирования речевого канала утечки в уже хорошо изученных ситуациях и методику их оценки, можно перейти к рассмотрению волоконно-оптического канала утечки речевой информации.

3.2 Структура оптоволокна

Оптоволокно состоит из сердцевины, оболочки и защитной оболочки. По типу конструкции, вернее, по размеру сердцевины оптические волокна делятся на одномодовые и многомодовые. Строго говоря, употреблять эти понятия следует относительно конкретной используемой длины. Многомодовое волокно имеет диаметр сердечника (обычно 50 или 62,5 мкм) почти на два порядка больше, чем длина световой волны. Это означает, что свет может распространяться в волокне по нескольким независимым путям (модам). При этом очевидно, что разные моды имеют разную длину, и сигнал на приемнике будет заметно "размазан" по времени. Из-за этого хрестоматийный тип ступенчатых волокон с постоянным коэффициентом преломления по всему сечению сердечника, уже давно не используется по причине большой модовой дисперсии, низкой пропускной способности и относительно большего затухания, вызванного дисперсией сигналов с различными модами.

Рис. 3.6 - Многомодовое оптоволокно

Одномодовое оптоволокно представляет собой сердцевину диаметром 9 мкм и оболочку диаметром 125 мкм. Такой кабель позволяет передавать сигналы на расстояние до 50 км со скоростью до 2,5 Гбит/с без регенерации.

Рис. 3.7 - Одномодовое оптоволокно

По сравнению с другими линиями связи, ВОЛС имеет ряд достоинств и недостатков:

Достоинства:

Высокая пропускная способность, обусловленная большой частотой несущей (порядка 1 ТГц);

Очень малое затухание (линии вплоть до 100 км могут обойтись без регенерации сигнала);

Устойчивость к электромагнитным помехам;

Электробезопасность (оптоволокно искробезопасно и не представляет опасность взрыво- и пожарообразования);

Сравнительная дешевизна (по сравнению с медными проводами, кварц, который составляет ядро оптоволокна, более распространён);

Долговечность (срок службы ВОЛС не менее 25 лет).

Недостатки:

Высокая цена активного оборудования (активное оборудование превращает электрические сигналы в световые и наоборот);

Сварка оптоволокна - дорогой процесс из-за дороговизны оборудования, поэтому восстановление при обрывах оптоволокна гораздо сложнее, чем при обрывах меди.

3.3 Структура канала утечки и явление полного внутреннего

Ключевым принципом, на котором основана передача данных по ВОЛС, является эффект полного внутреннего отражения. Эффективность канала утечки информации по ВОЛС пропорциональна степени нарушения полного внутреннего отражения. Эффект полного внутреннего отражения заключается в том, что волна, при определённом угле падения (больше критического) полностью отражается от границы среды при переходе из более плотной среды в менее плотную, как показано на рисунке ниже:

Рис. 3.8 - Полное внутренне отражение

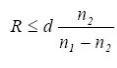
Если угол падения будет меньше критического угла полного внутреннего отражения, то произойдёт неполное внутреннее отражение: луч разделится на два, один отразится, другой выйдет из среды. Критический угол может быть рассчитан по формуле (4). В формуле (4) n1 и n2 - коэффициенты преломления сред, первая должна быть больше второй.

(4)

У луча, который перейдёт в оболочку, уменьшится интенсивность, а после того, как он отразится и вернётся в сердцевину, изменится значение фазы относительно изначального луча, а, следовательно, есть вероятность, что он не будет принят принимающим устройством на другом конце кабеля. Но главным эффектом при нарушении полного внутреннего отражения всё же остаётся затухание сигнала в оболочке.

3.4 Структура и принцип формирования канала утечки

Речевой сигнал смешивается с помехой и оказывает давление на оптоволокно, модулируя цифровой сигнал, проходящий по нему. За пределами контролируемой зоны злоумышленник устанавливает техническое средство разведки и снимает модулированный сигнал.

Рис. 3.9 - Схема акусто-оптоволоконного канала утечки речевой информации:1 - акустический источник информации, 2 - помехи, 3 - воздушная среда, 4 - акусто-вибрационное воздействие, 5 - волоконно-оптический кабель, 6 - технические средства разведки конфиденциальной информации

Основной эффект, образующий канал утечки - это изменение показателя преломления среды. Однако, если давление будет оказываться кабель напрямую, эффект будет слишком мал, чтобы образовать канал утечки. Существуют методы усиления этого эффекта.

Изгиб кабеля

Изменение угла падения может достигаться путём механического воздействия на оптоволокно, например, его изгибом. При изгибе оптического волокна происходит изменение угла падения электромагнитной волны на границе сердцевины и оболочки. Угол падения становится меньше предельного угла, что означает выход части электромагнитного излучения из световода (рисунок 3.10). Изгиб оптического волокна приводит к сильному побочному излучению в месте изгиба, что создаёт возможность несанкционированного съёма информации в локализованной области.

Рис. 3.10 - Изгиб кабеля: R - радиус изгиба с диаметром сердцевины d, j0 - угол падения, j1 - угол преломления

Оценим максимальный радиус изгиба R, при котором наблюдается побочное излучение в точке изгиба световода с диаметром сердцевины d, связанное с нарушением полного внутреннего отражения. Максимальный радиус определяется выражением:

здесь n1, n2 - показатели преломления сердцевины и оболочки световода. Интенсивность электромагнитной волны, выходящей из волокна в точке изгиба, определяется по формулам Френеля для p- и s-поляризаций, соответственно:


где I0 - интенсивность падающего излучения и Ip, Is - интенсивности прошедшего излучения для p- и s-поляризаций. Оценка радиуса изгиба для многомодового волокна с диаметром сердцевины d = 50 мкм и оптической оболочки - D = 125 мкм (n1 = 1,481, n2 = 1,476) показывает, что при R ≤ 3,5 см начинает наблюдаться сильное прохождение излучения в точке изгиба (до 80% значения интенсивности основного светового потока в оптоволокне). Надо отметить, что при оценке изгиба не учитывалась форма светового потока, цилиндрическая форма преломляющей поверхности и другие эффекты, изменяющие показатель преломления оптоволокна, например, фотоупругий эффект. Их вклад значительно меньше.

Нарушение полного внутреннего отражения при механическом воздействии возможно не только при изгибе волокна, но и при локальном давлении на оптоволокно, что вызывает неконтролируемое рассеяние (в отличие от изгиба) в точке деформации.

Растяжение кабеля

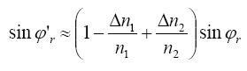
Другим внешним воздействием, изменяющим отношение показателя преломления оболочки к показателю преломления сердцевины оптоволокна (n2/n1), является механическое воздействие без изменения формы волокна, например, растяжение.

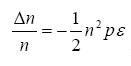
При растяжении оптического волокна происходит изменение показателей преломления сердцевины и оболочки оптического волокна на ∆n1 и ∆n2. При этом увеличивается значение угла полного внутреннего отражения от φr до φ'r. Значения углов связаны выражением:


Выражение для отношения (∆n/n) определяется фотоупругим эффектом так, что:


где p, ε - эффективные составляющие тензоров фотоупругости и деформации, это связано с анизотропией оптического волокна возникающей при растяжении. С учётом того, что плавленый кварц выдерживает большие напряжения (до 106 Па в идеальном состоянии), то, прикладывая большие механические напряжения к оптоволокну, можно добиться изменения предельного угла на величину φ'r - φr ≈ 10-6 sinφr, чего может оказаться достаточно для вывода части интенсивности основного информационного потока за пределы оптического волокна.

Рис 3.11 - Растяжение кабеля

Акустическое воздействие на оптоволокно

Изменения угла падения можно добиться не только изменением формы оптоволокна при механическом воздействии, но и акустическим воздействием на оптическое волокно. В сердцевине оптоволокна создаётся дифракционная решётка периодического изменения показателя преломления, которая вызвана воздействием звуковой волны. Электромагнитная волна отклоняется от своего первоначального направления, и часть её выходит за пределы канала распространения. Физическим явлением, с помощью которого возможно решить поставленную задачу, является дифракция Брэгга на высокочастотном звуке (>10 МГц), длина волны Λ которого удовлетворяет условию: (λL/Λ2), где λ - длина волны электромагнитного излучения, L - ширина области распространения звуковой волны. Деформации, создаваемые упругой волной, формируют периодическое изменение показателя преломления внутри оптоволокна для света являющейся дифракционной решёткой, что показано на следующем рисунке:

Рис. 3.12 - Акустическое воздействие

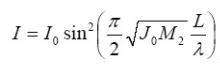
Максимальный угол отклонения единственного наблюдаемого дифракционного максимума равен двум углам Брэгга (2ΘB). Частота отклонённой электромагнитной волны приблизительно равна частоте основного информационного потока. Интенсивность дифракционного максимума может быть определена по формуле:


где J0 - интенсивность звуковой волны, M2=1,51×10-15 сек3/кг - акустооптическое качество кварца.

Вычисления показывают, что для многомодового оптоволокна с параметрами (d/D)=(50/125) при акустическом воздействии с длиной волны звука Λ=10 мкм и длине взаимодействия L=10-3 м, максимальный угол отклонения от первоначального направления распространения составляет 5 градусов. График зависимости интенсивности первого дифракционного максимума от интенсивности звуковой волны представлен на рисунке 3.13. Из графика видно, что даже при невысоких интенсивностях звуковой волны выводимое электромагнитное излучение достаточно велико для регистрации его современными фотоприёмниками. При фиксированной интенсивности звука, путём изменения области озвучивания L можно добиться максимального значения интенсивности в дифракционном максимуме, тем самым увеличить интенсивность света отводимого в канал утечки.

Рис. 3.13 - Зависимость интенсивности дифракционного максимума от интенсивности звуковой волны

Расчет глубины модуляции

Для расчета глубины модуляции используются показания цифрового осциллографа в режиме математической обработки сигнала - быстрое преобразование Фурье (БПФ). Это алгоритм вычисления преобразования Фурье для дискретного случая. В отличие от простейшего алгоритма, который имеет сложность порядка O (N2), БПФ имеет сложность всего лишь O (N*log2N). Иногда под БПФ понимается один из быстрых алгоритмов, называемый алгоритмом прореживания по частоте/времени или алгоритмом по основанию 2, имеющего сложность O (N*log(N)).

Физический смысл дискретного преобразования Фурье состоит в том, чтобы представить некоторый дискретный сигнал в виде суммы гармоник. Параметры каждой гармоники вычисляются прямым преобразованием, а сумма гармоник - обратным.

Таким образом, на осциллографе получается график зависимости мощности сигнала от частоты. Согласно описанной выше методике мы наблюдаем изменение мощности сигнала на частоте 2кГц. При проведении описанных далее экспериментах результаты заносятся сводные таблицы, и для каждой группы измерений вычисляется среднее значение. Подробно результаты представлены в следующих разделах и приложениях.

4. КОНСТРУКТОРСКИЙ РАЗДЕЛ

.1 Описание используемых приборов

Для проведения исследования были задействован ряд специализированных приборов.

Оптический рефлектометр FOD-7005. Прибор предназначен для измерения неоднородностей, затухания и длины волоконно-оптического кабеля, для определения потерь в местах сварок, в оптических разъемах и для измерения отражений от оптических разъемов. Рефлектометр имеет визуализатор повреждений на длине волны 650±10 нанометров, выходная импульсная мощность которого в одномодовом оптическом волокне от минус 2 до минус 1 дБм.

Цифровой осциллограф LeCroy WR 204Xi.

Нановольтметр селективный UNIPAN-237. Прибор предназначен для селективного измерения очень малых значений напряжений переменного тока в диапазоне 1Гц - 100кГц.

Селективный нановольтметр может быть использован:

для измерения малых значений напряжений переменного тока на фоне шума помех;

для спектрального анализа гармонических и шумовых процессов;

как высокочувствительный индикатор баланса различных мостовых схем переменного тока; как измерительный усилитель с полосой 0,3Гц-300кГц (погрешность 3дБ);

для фотометрических и спектрофотометрических измерений;

в качестве широкополосного микровольтметра в диапазоне 1Гц - 100кГц.237 применяется при проведении электроакустических измерений.

4.2 Структура и принцип работы «Фотометра»

Как было показано выше, для анализа модулированного оптического сигнала используется устройство, условно названное «Фотометр».

Рис. 4.1 - Схема подключения фотометра:1 - волоконно-оптический кабель, 2 -адаптер, 3 - Фотометр на основе фотодиода, 4 - селективный нановольтметр

Модулированный звуком световой поток поступает на вход «Фотометра», состоящего из кремниевого фотодиода, селективного и интегрирующего нановольтметра. Оптическое излучение регистрируется фотодиодом, величина напряжения на котором пропорциональна интенсивности светового потока. Полученное напряжение с фотодиода позволит произвести простейшую обработку и анализ полученного оптического сигнала.

Фотометр в собранном виде представлен на рисунке ниже:

Рис. 4.2 - Фотометр

4.3 Проект стенда

В результате проведения вышеописанных экспериментов были получены данные и опыт, позволяющие реализовать проект стенда для изучения волоконно-оптического канала утечки акустической (речевой) информации. Так же был рассмотрен принцип действия прибора - Фотометра - для преобразования светового потока в напряжение, после чего данный прибор был реализован.

Рис. 4.3 - Стенд: 1- переходники типа SC закрепленный на адаптерной планке кросса; 2 - катушка оптоволоконного кабеля

Состав и описание стенда:

оптический рефлектометр FOD-7005 - прибор обладает лазерным излучателем на длине волны порядка 650 нанометров и мощностью от минус 2 до минус 1 дБм. Данный порт рефлектометра называется визуализатором повреждений, который в нашем случае будет имитировать сигнал фиксированного уровня, запускаемый в оптоволоконную линию;

штатный металлический оптический кросс, оборудованный адаптерными планками для удобного монтажа оптоволоконных кабелей с различными типами соединительных разъемов, также в кроссе есть фиксатор для кабельной бухты в виде катушки и отверстия для ввода и вывода оптоволокна;

акустический/виброакустический излучатель - оказывает звуковое давление на стенки кросса, тем самым осуществляет модуляцию оптического сигнала проходящего через волокно в кроссе. По аналогии с принятой методикой оценки разборчивости речи, воздействие на оптоволокно будет осуществляться тестовыми сигналами на общепринятых среднегеометрических частотах октавных полос;

модулированный таким образом световой поток поступит на вход Фотометра. Оптическое излучение будет регистрироваться фотодиодом, величина напряжения на котором пропорциональна интенсивности светового потока. Полученное напряжение с фотодиода позволит произвести простейшую обработку и демодуляцию перенесенного звукового сигнала.

4.4 Настройка и калибровка оборудования

Для простоты описания метода настройки применяемых приборов вначале рассмотрим конфигурацию стенда, в которой вместо оптоволоконной линии будет использоваться акселерометр. Так как регистрация виброакустического воздействия - прямая функция акселерометра, то калибровочная настройка при его использовании будет гораздо легче и нагляднее. Изображение калибровочного стенда представлено на рисунке 4.4.

На вход селективного нановольтметра Унипан-237 подключается акселерометр. Сам Унипан настраивается на частоту 2кГц, заданную чувствительность напряжения и усиление выходного сигнала (при необходимости). К выходу Унипана подключается вход цифрового осциллографа Lecroy. Цифровой осциллограф обладает математическим режимом быстрого преобразования Фурье (БПФ). Данный режим вызывается нажатием кнопки «Math» на панели устройства либо посредством выбора соответствующего пункта меню в категории математической обработки сигналов.

Рис. 4.4 - Конфигурация калибровочного стенда

Результатом работы математического режима является график, где по горизонтали отображается частота, а по вертикали мощность сигнала в дБ. В этом режиме мы настраиваемся на просмотр частоты 2кГц и ставим контрольные курсоры на эту отметку. Для большей наглядности следует сочетать стандартный режим отображения с математическим (split-screen). Таким образом, стандартный режим работы осциллографа показывает хронологию работы сигнала, а режим БПФ - изменения мощности сигнала на интересующей нас частоте. Так как две выбранные развертки взаимосвязаны, то, используя органы управления разверткой для стандартного режима, желательно настроить его таким образом, чтобы режим БПФ приобрел высокую разрешающую способность, как показано на рисунке ниже, что дает большую информативность и точность.

Рис. 4.5 - БПФ-режим высокого разрешения

Теперь можно перейти к непосредственным измерениям. После включения акустического излучателя в режиме тонального сигнала на частоте 2кГц акселерометр успешно зафиксирует его воздействие, даже с достаточно большой дистанции (порядка 10 метров). При этом Унипан показывает заметное отклонение стрелки. Усиленный и переданный им на цифровой осциллограф сигнал хорошо виден: математический режим показывает прибавление мощности на частоте 2кГц на несколько дБ, а стандартный режим показывает четкое увеличение напряжения в хронологическом порядке.

Полученная таким образом конфигурация приборов наглядно демонстрирует свою эффективность при обнаружении изменения сигнала после некоторого его преобразования на заданных частотах. Для дальнейшего исследования модуляций светового потока необходимо только подобрать более высокий уровень чувствительности к изменению напряжения и степень усиления выходного сигнала для передачи цифровому осциллографу. Фрагменты результатов данного тестового прогона в двух соответствующих состояниях продемонстрированы на следующих рисунках.

Рис. 4.6 - Вариант стенда с акселерометром до облучения тональным сигналом

Рис. 4.7 - Вариант стенда с акселерометром при облучении тональным сигналом

4.5 Реализация стенда при использовании метода рефлектографии

Для выявления эффекта акустической модуляции в волоконно-оптической линии, в теории, можно использовать основное функциональное назначение оптического рефлектометра FOD-7005.

Для этого необходимо использовать режим «Обзор», реализованный в данном приборе. В это режиме прибор строит динамическую рефлекторамму изучаемого участка волоконно-оптического тракта. В данном и аналогичных режимах, прибор показывает затухание во всей линии и различные дефекты, в том числе и стыки волокон, реализованные с помощью переходников-коннекторов, так как это показано на следующем рисунке:

Рис. 4.8 - Пример рефлектограммы

Для регистрации модуляций в режиме на отражение необходимо настроить «драйвер» устройства, чтобы его частота зондирования соответствовала ~2 кГц или более и последующей настройке на конкретный дефект - в нашем случае это коннектор. При достаточном звуковом воздействии показатель изменения сигнала должен заметно меняться. Работая в таком режиме, можно получить больший эффект, т.к. глубина модуляции в отраженном сигнале будет больше, а засветка меньше.

К сожалению, в рамках данной работы не было найдено решение для перестройки драйвера на нужную частоту зондирования. Официальная тех-поддержка «ФОД» не смогла предложить такое решение.

4.6 Эксперимент №1: «Открытый лазер»

В рамках первого эксперимента будет изучена возможность модуляции открытого лазера акустическим давлением тонального сигнала на частоте 2 кГц.

Конфигурация узлов для первого эксперимента представляет собой два взаимонесвязанных стола, на первом из которых расположен акустический излучатель тонального сигнала, второй стол расположен таким образом, что линия лазера расположена по нормали к направлению излучателя. Таким образом, все лазерное оборудование расположено на втором столе.

Оно включает в себя:

источник лазерного излучения (в дальнейшем для ряда экспериментов будет использоваться два лазера: зеленый с длиной волны ~530 нано метров и красный с длиной волны ~650нм);

фотоприемное устройство на основе фотодиода ФД-10К.

Конфигурация с двумя типами лазеров должна помочь выявить зависимость длины волны лазера на чувствительность к внешнему акустическому воздействию. Таким образом, лазер прицеливается и фокусируется в точке приема фоточувствительного устройства, выход которого подключается к мультиметру (для простого измерения уровня сигнала) или к связке «нановольтметр-осциллограф» (для детального анализа сигнала). Описанная схема приведена на рисунке 4.9.

Здесь и далее под фотоприемным устройством понимается набор приборов, состоящий из фотодиода, подключенного к селективному нановольтметру, к выходу которого, в свою очередь, подключен вход цифрового осциллографа.

Для текущего и последующих экспериментов составлены сводные таблицы результатов измерений, которые в полном объеме представлены в приложении. Кратко их можно охарактеризовать следующим образом: учитывается расстояние от источника излучения до фотоприемника, максимальное напряжение, которое удалось получить в результате фокусировки на выходе фотоприемника, и, соответственно два ряда чисел (без звукового воздействия и при воздействии тональным сигналом), описывающих десять измерений уровня дБм, снятых с цифрового осциллографа. Следующей строкой идет среднее арифметическое значение этих десяти измерений для каждого случая. Последняя строка содержит название файла с изображением, полученным с цифрового осциллографа.

Рис. 4.9 - Конфигурация эксперимента

В ходе данного эксперимента изменяемой величиной было выбрано расстояние от источника до фотоприемника, т.к. в дальнейшем выяснилось, что расстояние акустического излучателя до лазерных устройств особого значения, при качественной фокусировке, в пределах помещения средних размеров, не имеет.

Таким образом, можно выявить следующую закономерность: расстояние от источника лазерного излучения до приемника имеет гораздо меньшее значение, нежели качество фокусировки. Именно качественная фокусировка позволяет передать максимальное количество световой энергии на фотоприемник, в свою очередь именно это позволяет донести до фотоприемника промодулированный световой сигнал.

Так как заданная частота тонального сигнала после всех преобразований регистрируется на связке «нановольтметр-осциллограф» на той же самой частоте, это свидетельствует о том, что в данном случае вибрационная составляющая воздействия ничтожно мала. Иначе бы приборы регистрировали усиление сигнала не только на этой частоте, но и на близких резонансных частотах.

Выявленная закономерность свидетельствует о том, что вероятнее всего модулировалась воздушная среда в промежутке между источником лазерного излучения и фотоприемником. Полученные результаты позволяют провести аналогию с принципом работы лазерного микрофона.

Фрагмент полученных данных с осциллографа представлен ниже, а в полном объеме графические результаты представлены в Приложении 1.

Рис. 4.10 - Показания осциллографа без звукового воздействия

Рис. 4.11 - Показания осциллографа при звуковом воздействии

Результаты серии измерений для обоих лазеров приведены в сводной диаграмме, представленной ниже:

Рис. 4.12 - Диаграмма сравнения средних уровней сигналов

Принцип работы лазерного микрофона

В данной технологии принципиальное значение имеет процесс модуляции, который можно описать следующим образом. Звуковая волна, генерируемая источником акустического сигнала, падает на границу раздела воздух-стекло и создает своего рода вибрацию, то есть отклонения поверхности стекла от исходного положения. Эти отклонения вызывают дифракцию света, отражающегося от границы. Если размеры падающего оптического пучка малы по сравнению с длиной 'поверхностной' волны, то в суперпозиции различных компонент отраженного света будет доминировать дифракционный пучок нулевого порядка. В этом случае, во-первых, фаза световой волны оказывается промодулированной по времени с частотой звука и однородной по сечению пучка, а во-вторых, пучок 'качается' с частотой звука вокруг направления зеркального отражения.

Необходимо учитывать, что на качество принимаемой информации оказывают влияние следующие факторы:

параметры используемого лазера (длина волны, мощность, когерентность и т.д.);

параметры фотоприемника (чувствительность и избирательность фотодетектора, вид обработки принимаемого сигнала и т. д.);

параметры атмосферы (рассеяние, поглощение, турбулентность, уровень фоновой засветки и т.д.);

качество обработки зондируемой поверхности (шероховатости и неровности, обусловленные как технологическими причинами, так и воздействием среды - грязь, царапины и проч.);

уровень фоновых акустических шумов;

уровень перехваченного речевого сигнала; конкретные местные условия.

Все эти обстоятельства накладывают свой отпечаток на качество фиксируемой речи, поэтому нельзя принимать на веру данные о приеме с дальности в сотни метров - эти цифры получены в условиях полигона, а то и расчетным путем.

4.7 Эксперимент №2: «Оценка защищенности оптоволоконного кабеля»

Этот эксперимент непосредственно связан с изучением эффекта модуляции штатного светового потока в волоконно-оптической линии связи. В рамках эксперимента используется штатный применяемый на практике в области сетевых коммуникаций оптический патч-корд.

В данном эксперименте применяется следующая конфигурация компонентов: все компоненты расположены на одном столе; по аналогии с предыдущим экспериментом используются лазерный излучатель и Фотометр; вместо открытой воздушной среды используется оптоволоконный патч-корд, на один конец которого фокусируется лазерный излучатель, а другой конец выведен к точке приема Фотометра; акустический излучатель находится в непосредственной близости от оптоволоконного кабеля, и в рамках данного эксперимента именно расстояние между ними является ключевым фактором.

Описанная конфигурация представлена на рисунке ниже.

Рис. 4.13 - Конфигурация эксперимента

Полученные в ходе эксперимента данные так же заносятся в сводную таблицу для последующего анализа и наглядного отображения.

Рис. 4.14 - Диаграмма сравнения средних уровней сигналов

Полученные сравнительные значения позволяют судить о том, что штатный волоконно-оптический патч-корд достаточно устойчив к внешнему высокочастотному акустическому воздействию. Сложность обнаружения четкого модулируемого сигнала заключается в том, что в данном случае преобладает виброакустическая составляющая, чему свидетельствует тот факт, что эффект наблюдался при непосредственном контакте корпуса акустического излучателя с оптоволоконным кабелем или, в меньшей степени, при очень малом расстоянии между ними. Так как в данном случае эффект модуляции происходит через виброакустическое воздействие, то регистрация модуляции наблюдается в том числе и на резонансных частотах, а не только на заданных нами 2 кГц.

Используемое в данном эксперименте оборудование не позволяет с одинаковой эффективностью отслеживать модуляцию сразу на нескольких частотах. Применяемый набор приборов и методика измерений позволяет эффективно отслеживать только небольшой участок частотной полосы в один подход эксперимента. Таким образом, применение более дорогостоящей техники позволит обойти это ограничение.

Фрагмент полученных данных с осциллографа представлен ниже, а в полном объеме графические результаты представлены в Приложении 2.

Рис. 4.15 - Показания осциллографа без звукового воздействия

Рис. 4.16 - Показания осциллографа при звуковом воздействии

4.8 Эксперимент №3: «Оценка защищенности штатного переходника»

Данный эксперимент во многом аналогичен проведенному ранее и описанному в разделе 4.7. конфигурация текущего эксперимента включает в себя следующие компоненты и особенности:

расположение компонентов аналогично предыдущему эксперименту, за исключением того, что исследуемой точкой приложения акустического воздействия является штатный волоконно-оптический переходник ST-типа, расположенный в середине волоконно-оптической линии;

так же, кроме использования лазерных излучателей красного и зеленого цветовых диапазонов, в данном случае будет использоваться порт оптического рефлектометра, функцией которого является визуализация повреждений волоконно-оптической линии;

акустический излучатель по аналогии с предыдущим экспериментом так же будет находиться либо вблизи переходника, либо будет осуществляться их непосредственный контакт; в сводную таблицу заносится наилучшее значение.

Конфигурация представлена на следующем рисунке:

Рис. 4.17 - Конфигурация эксперимента

На следующем рисунке изображено соединение двух оптических волокон посредством переходника ST-типа и акустический излучатель тонального сигнала в непосредственной близости от него.

Рис. 4.18 - Переходник ST-типа и акустический излучатель

Применяемый в оптическом рефлектометре визуализатор повреждений является лазерным излучателем на длине волны порядка 650 нм, таким образом, он аналогичен применяемому ранее лазерному излучателю красного цвета, но при его использовании решается проблема необходимости фокусировки лазерного луча в точке входа в изучаемую волоконно-оптическую линию.

Рис. 4.19 - Диаграмма сравнения средних уровней сигналов

Сравнительный анализ полученных в ходе эксперимента измерений позволяет судить о том, что порт визуализации повреждений оптического рефлектометра так же может быть использован для выявления модуляции в изучаемой волоконно-оптической линии. При этом, ввиду наличия отсутствия вышеописанных недостатков обычных лазерных излучателей, данные, полученные при использовании данного порта, более репрезентативны. Таким образом, использование лазерного излучателя рефлектометра гораздо удобнее в применении, так как нет необходимости в проведении работ по фокусировке.

Физический принцип столь явного изменения уровня модуляции по сравнению с экспериментом по оценке защищенности оптоволоконного кабеля можно объяснить следующим образом: стык оптических волокон, реализуемый оптическим переходником, может иметь некоторые изъяны. Самым очевидным изъяном является неплотный контакт двух волокон. Неплотность этого соединения может быть вызвана нарушением технологии сборки на стадии монтажа волоконно-оптической линии, либо являться следствием внешнего воздействия, в том числе и действий злоумышленника.

Так или иначе, полученная неплотность соединения оптических волокон будет иметь высокую чувствительность к внешнему акустическому воздействию. Это обусловлено тем, что корпус переходника так же является хорошим закрытым резонатором. Таким образом, наблюдаемый эффект можно сравнить с эффектом, увиденным ранее в эксперименте с открытым лазером. Аналогия заключается в том, что при внешнем акустическом воздействии происходит динамическое изменение длины дистанции пробега светового потока в среде передачи. В обоих случаях на фотоприемном устройстве регистрируется разная плотность фотонов в единицу времени, что регистрируется последующим оборудованием как изменение уровня напряжения. Именно эта незначительная разница является следствием эффекта модуляции.

Наилучший результат был получен при непосредственном контакте переходника с корпусом акустического излучателя при облучении тональным сигналом.

Фрагмент полученных данных с осциллографа представлен ниже, а в полном объеме графические результаты представлены в Приложении 3.

Рис. 4.20 - Показания осциллографа без звукового воздействия (3-3RF silence)

Рис. 4.21 - Показания осциллографа без звукового воздействия (3-3RF sound)

4.9 Эксперимент №4: «Переходник в составе оптического кросса»

Данный эксперимент повторяет эксперимент, проведенный В.В. Гришачевым в его ранее упомянутых статьях. Конфигурация стенда в этом эксперименте соответствует заявленной ранее в разделе 4.3:

конфигурация, по сути, является аналогичной той, что описана в предыдущем эксперименте (раздел 4.8.), но переходник закреплен в адаптерной планке штатного оптического кросса КРН-8/16;

расположение акустического излучателя будет выполнено по аналогии с предыдущим экспериментом (вблизи / непосредственный контакт); итоговая конфигурация будет выбрана по наилучшему результату.

Конфигурация элементов стенда для данного эксперимента представлена на рисунке ниже:

Рис. 4.22 - Конфигурация эксперимента

Как и было сказано ранее, эксперимент принципиально не отличается от предыдущего, за исключением присутствия оптического кросса. Его наличие обусловлено тем, что такая конфигурация наиболее близка к реальной конфигурации оптической линии, используемой в практике сетевых коммуникаций. Следовательно, данные, полученные в этом эксперименте, является показателем защищенности помещения от утечки по волоконно-оптической линии связи в случае наличия в помещении волоконно-оптического кросса.

На рисунке ниже изображена реализация стенда, собранного в лаборатории кафедры Защиты информации.

Рис. 4.23 - Стенд в сборе

Результаты измерений показывают, что оптический кросс, по крайней мере без крепления на стену, является не слишком хорошим резонатором, что отображено на сводной диаграмме средних значений мощности сигналов, представленной ниже:

Рис. 4.24 - Диаграмма сравнения средних уровней сигналов

Для сравнения на этой диаграмме так же представлены результаты предыдущего эксперимента, чтобы нагляднее показать разницу в степени модуляции. Объяснить эту разницу можно тем, что большое значение имеет не только взаимное расположение волокон в переходнике, который, в свою очередь, закреплен в оптическом кроссе, но и расположение акустического излучателя относительно всей этой конструкции. То есть, степень модуляции в значительной мере зависит от внутреннего устройства кросса и способа воздействия на него акустическим излучателем: эффект может быть хорошо заметен на дистанции в один метр между оптическим кроссом и излучателем, но при этом значительно ослабевать при непосредственном контакте между ними. Так же возможно и обратное. Таким образом, если злоумышленник будет эксплуатировать канал утечки при такой конфигурации, ему следует заранее определить условия, при которых наблюдается максимальный эффект.

Полученный результаты в целом совпадают с выводами В.В. Гришачева при проведении его эксперимента описанного в статье «Практическая оценка эффективности канала утечки акустической (речевой) информации через волоконно-оптические коммуникации».

Фрагмент полученных данных с осциллографа представлен ниже, а в полном объеме графические результаты представлены в Приложении 3.

Рис. 4.25 - Показания осциллографа без звукового воздействия (4-1-RFCB silence)

Рис. 4.26 - Показания осциллографа без звукового воздействия (4-2-RFCB sound)

Проведение значительной части экспериментов стало возможным, благодаря специализированному оснащению лаборатории оптики НГТУ и консультациям Мешалкина Юрия Петровича, доктора физико-математических наук профессора кафедры ССОД.

5. ОХРАНА ТРУДА

.1 Особенности обеспечения безопасности при проведении лазерно-акустических исследований

Данная научно исследовательская работа предполагает активное использование систем лазерного облучения и различных сред его прохождения, в том числе и в открытом воздушном пространстве. Кроме того на лазерную установку в различных её конфигурациях оказывается звуковое воздействие, тональными сигналами и белым шумом.

Классификация шума

По характеру спектра шум следует разделять на:

широкополосный с непрерывным спектром шириной более одной октавы;

тональный, в спектре которого имеются выраженные дискретные тона. Тональный характер шума для практических целей (при контроле его параметров на рабочих местах) устанавливают измерением в третьоктавных полосах частот по превышению уровня звукового давления в одной полосе над соседними не менее чем на 10 дБ.

По временным характеристикам шум следует подразделять на:

постоянный, уровень звука которого за 8-часовой рабочий день (рабочую смену) изменяется во времени не более чем на 5 дБ А при измерениях на временной характеристике “медленно” шумомера по ГОСТ 17187;

непостоянный, уровень звука которого за 8-часовой рабочий день (рабочую смену) изменяется во времени более чем на 5 дБ А при измерениях на временной характеристике “медленно” шумомера по ГОСТ 17187.

Непостоянный шум следует подразделять на:

колеблющийся во времени, уровень звука которого непрерывно изменяется во времени;

прерывистый, уровень звука которого ступенчато изменяется (на 5 дБ А и более), причем длительность интервалов, в течение которых уровень остается постоянным, составляет 1 с и более;

импульсный, состоящий из одного или нескольких звуковых сигналов, каждый длительностью менее 1 секунды, при этом уровни звука, измеренные в дБ AI и дБ А соответственно на временных характеристиках “импульс” и “медленно” шумомера по ГОСТ 17187, отличаются не менее чем на 7 дБ.

Характеристики и допустимые уровни шума на рабочих местах

Характеристикой постоянного шума на рабочих местах являются уровни звукового давления L в дБ в октавных полосах со среднегеометрическими частотами 31,5, 63, 125, 250, 500, 1000, 2000, 4000, 8000 Гц, определяемые по формуле

,

где p - среднее квадратическое значение звукового давления, Па, p0 - исходное значение звукового давления. В воздухе р0 = 2´10-5 Па.

Примечание. Для ориентировочной оценки (например, при проверке органами надзора, выявлении необходимости осуществления мер по шумоглушению и др.) допускается в качестве характеристики постоянного широкополосного шума на рабочих местах принимать уровень звука в дБ А, измеряемый на временной характеристике “медленно” шумомера по ГОСТ 17187 и определяемый по формуле

,

где рА - среднее квадратическое значение звукового давления с учетом коррекции “А” шумомера, Па.

Характеристикой непостоянного шума на рабочих местах является интегральный критерий - эквивалентный (по энергии) уровень звука в дБ А.

Дополнительно для колеблющегося во времени и прерывистого шума ограничивают максимальные уровни звука в дБ·А, измеренные на временной характеристике “медленно”, а для импульсного шума - максимальный уровень звука в дБ АI, измеренный на временной характеристике “импульс”.

Допускается в качестве характеристики непостоянного шума использовать дозу шума или относительную дозу шума.

Допустимые уровни звукового давления в октавных полосах частот, уровни звука и эквивалентные уровни звука на рабочих местах следует принимать:

для широкополосного постоянного и непостоянного (кроме импульсного) шума - по таблице;

для тонального и импульсного шума - на 5 дБ меньше значений, указанных в Приложении 4;

Примечания:

Допускается в отраслевой документации устанавливать более жесткие нормы для отдельных видов трудовой деятельности с учетом напряженности труда в соответствии с приложением 3.

Запрещается даже кратковременное пребывание в зонах с октавными уровнями звукового давления свыше 135 дБ в любой октавной полосе.

Для шума, создаваемого в помещениях установками кондиционирования воздуха, вентиляции и воздушного отопления на 5 дБ меньше фактических уровней шума в этих помещениях (измеренных или определенных расчетом), если последние не превышают значения, указанные в таблице (поправку для тонального и импульсного шума в этом случае принимать не следует), в остальных случаях на 5 дБ меньше значений, указанных в таблице.

Дополнительно к требованиям максимальный уровень звука непостоянного шума на рабочих местах по пп. 6 и 13 таблицы не должен превышать 110 дБ А при измерениях на временной характеристике “медленно”, а максимальный уровень звука импульсного шума на рабочих местах по п. 6 таблицы не должен превышать 125 дБАI при измерениях на временной характеристике “импульс”. [9]

5.1 Классификация лазеров

Твердотельные лазеры на люминесцирующих твёрдых средах (диэлектрические кристаллы и стёкла). В качестве активаторов обычно используются ионы редкоземельных элементов или ионы группы железа Fe. Накачка оптическая и от полупроводниковых лазеров, осуществляется по трёх- или четырёхуровневой схеме. Современные твердотельные лазеры способны работать в импульсном, непрерывном и квазинепрерывном режимах.

Полупроводниковые лазеры. Формально также являются твердотельными, но традиционно выделяются в отдельную группу, поскольку имеют иной механизм накачки (инжекция избыточных носителей заряда через p-n переход или гетеропереход, электрический пробой в сильном поле, бомбардировка быстрыми электронами), а квантовые переходы происходят между разрешёнными энергетическими зонами, а не между дискретными уровнями энергии. Полупроводниковые лазеры - наиболее употребительный в быту вид лазеров. Кроме этого применяются в спектроскопии, в системах накачки других лазеров, а также в медицине.

Лазеры на красителях. Тип лазеров, использующий в качестве активной среды раствор флюоресцирующих с образованием широких спектров органических красителей. Лазерные переходы осуществляются между различными колебательными подуровнями первого возбуждённого и основного синглетных электронных состояний. Накачка оптическая, могут работать в непрерывном и импульсном режимах. Основной особенностью является возможность перестройки длины волны излучения в широком диапазоне. Применяются в спектроскопических исследованиях.

Газовые лазеры - лазеры, активной средой которых является смесь газов и паров. Отличаются высокой мощностью, монохроматичностью, а также узкой направленностью излучения. Работают в непрерывном и импульсном режимах. В зависимости от системы накачки газовые лазеры разделяют на газоразрядные лазеры, газовые лазеры с оптическим возбуждением и возбуждением заряженными частицами (например, лазеры с ядерной накачкой, в начале 80-х проводились испытания систем противоракетной обороны на их основе, однако, без особого успеха), газодинамические и химические лазеры. По типу лазерных переходов различают газовые лазеры на атомных переходах, ионные лазеры, молекулярные лазеры на электронных, колебательных и вращательных переходах молекул и эксимерные лазеры.

Газодинамические лазеры - газовые лазеры с тепловой накачкой, инверсия населённостей в которых создаётся между возбуждёнными колебательно-вращательными уровнями гетероядерных молекул путём адиабатического расширения движущейся с высокой скоростью газовой смеси (чаще N2+CO2+He или N2+CO2+Н2О, рабочее вещество - CO2).

Эксимерные лазеры - разновидность газовых лазеров, работающих на энергетических переходах эксимерных молекул (димерах благородных газов, а также их моногалогенидов), способных существовать лишь некоторое время в возбуждённом состоянии. Накачка осуществляется пропусканием через газовую смесь пучка электронов, под действием которых атомы переходят в возбуждённое состояние с образованием эксимеров, фактически представляющих собой среду с инверсией населённостей. Эксимерные лазеры отличаются высокими энергетическими характеристикам, малым разбросом длины волны генерации и возможности её плавной перестройки в широком диапазоне.

Химические лазеры - разновидность лазеров, источником энергии для которых служат химические реакции между компонентами рабочей среды (смеси газов). Лазерные переходы происходят между возбуждёнными колебательно-вращательными и основными уровнями составных молекул продуктов реакции. Для осуществления химических реакций в среде необходимо постоянное присутствие свободных радикалов, для чего используются различные способы воздействия на молекулы для их диссоциации. Отличаются широким спектром генерации в ближней ИК-области, большой мощностью непрерывного и импульсного излучения.

Лазеры на свободных электронах - лазеры, активной средой которых является поток свободных электронов, колеблющихся во внешнем электромагнитном поле (за счёт чего осуществляется излучение) и распространяющихся с релятивистской скоростью в направлении излучения. Основной особенностью является возможность плавной широкодиапазонной перестройки частоты генерации. Различают убитроны и скаттроны, накачка первых осуществляется в пространственно-периодическом статическом поле ондулятора, вторых - мощным полем электромагнитной волны. Существуют также мазеры на циклотронном резонансе и строфотроны, основанные на тормозном излучении электронов, а также флиматроны, использующие эффект Черенковского и переходного излучений. Поскольку каждый электрон излучает до 108 фотонов, лазеры на свободных электронах являются, по сути, классическими приборами и описываются законами классической электродинамики.

Квантовые каскадные лазеры − полупроводниковые лазеры, которые излучают в среднем и дальнем инфракрасном диапазоне. В отличие от обычных полупроводниковых лазеров, которые излучают посредством вынужденных переходов между разрешенными электронными и дырочными уровнями, разделенными запрещенной зоной полупроводника, излучение квантовых каскадных лазеров возникает при переходе электронов между слоями гетероструктуры полупроводника и состоит из двух типов лучей, причем вторичный луч обладает весьма необычными свойствами и не требует больших затрат энергии.

Волоконный лазер - лазер, резонатор которого построен на базе оптического волокна, внутри которого полностью или частично генерируется излучение. При полностью волоконной реализации такой лазер называется цельноволоконным, при комбинированном использовании волоконных и других элементов в конструкции лазера он называется волоконно-дискретным или гибридным.

Вертикально-излучающие лазеры (VCSEL) - «Поверхностно-излучающий лазер с вертикальным резонатором» - разновидность диодного полупроводникового лазера, излучающего свет в направлении, перпендикулярном поверхности кристалла, в отличие от обычных лазерных диодов, излучающих в плоскости, параллельной поверхности пластин.

Другие виды лазеров, развитие принципов которых на данный момент является приоритетной задачей исследований (рентгеновские лазеры, гамма-лазеры и др.).

Безопасность лазеров

Лазеры являются устройствами, представляющими повышенную опасность. Хотя существуют несколько факторов риска, связанных с лазерными установками, под лазерной безопасностью понимают способы защиты от факторов, связанных непосредственно с лазерным излучением.

Даже лазеры самой малой мощности (несколько милливатт) могут представлять опасность для зрения. При попадании в глаз луч лазера фокусируется в пятно очень малых размеров, что может за доли секунды привести к ожогам сетчатки глаза, частичной или полной необратимой потере зрения. Лазеры большей мощности способны вызывать поражения глаз даже рассеянным излучением. Прямое, а в некоторых случаях и рассеянное излучение такого лазера способно вызывать ожоги кожи (вплоть до полного разрушения) и представляет пожарную опасность.

Классификация опасности лазеров

Существует несколько классификаций опасности лазеров, которые, однако, весьма похожи. Ниже приведена наиболее распространенная международная классификация.

Класс 1. Лазеры и лазерные системы очень малой мощности, не способные создавать опасный для человеческого глаза уровень облучения. Излучение систем класс 1 не представляет никакой опасности даже при долговременном прямом наблюдении глазом. Во многих странах к классу 1 относятся также лазерные устройства с лазером большей мощности, имеющие надежную защиту от выхода луча за пределы корпуса.

Класс 2. Маломощные видимые лазеры, способные причинить повреждение человеческому глазу в том случае, если специально смотреть непосредственно на лазер на протяжении длительного периода времени. Такие лазеры не следует использовать на уровне головы. Лазеры с невидимым излучением не могут быть классифицированы как лазеры 2-го класса. Обычно к классу 2 относят видимые лазеры мощностью до 1 милливатта.

Класс 2a (в некоторых странах). Лазеры и лазерные системы класса 2a, расположенные и закрепленные таким образом, что попадание луча в глаз человека при правильной эксплуатации исключено.

Класс 3a. Лазеры и лазерные системы с видимым излучением, которые обычно не представляют опасность, если смотреть на лазер невооружённым взглядом только на протяжении кратковременного периода (как правило, за счет моргательного рефлекса глаза). Лазеры могут представлять опасность, если смотреть на них через оптические инструменты (бинокль, телескоп). Обычно ограничены мощностью 5 милливатт. Во многих странах устройства более высоких классов в ряде случаев требуют специального разрешения на эксплуатацию, сертификации или лицензирования. Международные классы 2 и 3a примерно соответствуют российскому классу 2.

Класс 3b. Лазеры и лазерные системы, которые представляют опасность, если смотреть непосредственно на лазер. Это же относится и к зеркальному отражению лазерного луча. Лазер относится к классу 3b, если его мощность более 5 милливатт. В России примерно соответствуют классу 3.

Класс 4. Лазеры и лазерные системы большой мощности, которые способны причинить сильное повреждение человеческому глазу короткими импульсами (< 0,25 с) прямого лазерного луча, а также зеркально или диффузно отражённого. Лазеры и лазерные системы данного класса способны причинить значительное повреждение коже человека, а также оказать опасное воздействие на легко воспламеняющиеся и горючие материалы.

5.2 Угрозы при работе с научно-исследовательскими лазерными установками

Видимое, а также ближнее инфракрасное и ультрафиолетовое лазерное излучение представляет собой существенную опасность для глаз, так как это излучение хорошо фокусируется хрусталиком на сетчатке глаза. В то же время бытовые лазерные приборы имеют малую ширину пучка (порядка 3-5 мм), что обеспечивает высокую поверхностную плотность энергии в поперечном сечении луча. Именно высокая плотность энергии и может вызвать ожоги и другие повреждения.

На значительном расстоянии лазерный луч также может представлять опасность, ввиду того, что расходимость сравнима с дифракционной расходимостью при заданной апертуре. Поэтому высокая плотность энергии сохраняется на значительном расстоянии.

Лабораторные лазерные установки могут иметь среднюю мощность, доходящую до десятков и сотен ватт. При работе с такими установками требуется строжайшее соблюдение техники безопасности и специальная подготовка персонала.

Лазеры, излучающие вне видимого диапазона, представляют особую опасность в связи с тем, что человеческий глаз неспособен определить местоположение луча. При попадании в глаз такой луч будет замечен лишь тогда, когда поражение глаза уже наступило. Однако лазеры с достаточно большой длиной волны излучения (1,5 мкм) не проходят через внешние оболочки глаза и при малой мощности опасности не представляют. В этом случае поражение глаз возможно только при мощности, достаточной для разрушения роговицы глаза. Также многие виды излучения свободно проходят препятствия из оптически непрозрачных материалов (излучение на частотах 1-50ТГц проходит через лавсановую пластинку, в то время как для оптического и ИК излучения она является непрозрачной).

Существует мнение, что лазеры терагерцового диапазона излучения способны разрушать спираль ДНК, что может приводить к мутациям клеток. [10]

6. ОРГАНИЗАЦИОННО-ЭКОНОМИЧЕСКИЙ РАЗДЕЛ

.1 Целесообразность разработки с экономической точки зрения

Название: Разработка учебно-лабораторного стенда для изучения волоконно-оптического канала утечки акустической информации.

Этапы проведения работ:

сбор, изучение и анализ теоретических материалов, об аналогичных и подобных исследованиях;

проектирование стенда - выбор и закупка необходимых технических компонентов;

планирование и проведение серии экспериментов для изучения физических свойств канала утечки;

описание полученных результатов;

описание требований предъявляемых к конечному стенду и создание проекта методического пособия для проведения лабораторных работ с использование стенда.

6.2 SWOT-анализ

В данном разделе необходимо провести SWOT-анализ проекта и калькуляцию его себестоимости для оценки рентабельности.

При проведении SWOT анализа были использованы материалы из учебно-методического пособия НГТУ.

Сильные стороны(S):

рассматриваемый в работе канал утечки является сравнительно новым и мало изученным;

полученный в результате исследования стенд, после внедрения в учебный процесс позволит подготовить студентов к работе не только с «классическими» каналами утечки, но с самыми современными.

Слабые стороны (W):

так как рассматриваемый канал утечки до сих пор мало изучен, крайне маловероятно, что в рамках данной работы будет описана вся природа его образования и выявлены все возможные причины его возникновения;

Возможности (О):

полученные в результате исследования сведения позволят лучше понять природу нового канала утечки;

полученный стенд может явиться базой для дальнейших исследований и разработок.

Угрозы (Т):

реализация канала утечки злоумышленником на практике очень непростая задача. Гораздо проще воспользоваться другими «решениями»;

сложность реализации стенда ввиду высокой стоимости и редкости ключевых узлов.

Для анализа полученных данных воспользуемся сводной SWOT-матрицей.

Таблица 6.1 - SWOT-матрица

Сильные стороны

Возможности

Угрозы.

Итого


1. Большая ценность полученных результатов

2. Открывает перспективу дальнейших исследований

1. Относительная сложность реализации КУ

2. Сложность реализации стенда


1. рассматриваемый в работе канал утечки является сравнительно новым и мало изученным

++

++

0

+

+5

2. Возможность применение в учебном процессе

++

0

0

0

+2

Итого

+4

+2

0

+1

+7

Слабые стороны




1. Не достаточная полнота исследований в рамках данной работы

0

0

0

0

0

Итого

0

0

-1

-4

-5

Общий итог

+4

+2

-1

-3

+2


Проанализировав полученную SWOT-матрицу, можно сделать следующие выводы:

Все сильные стороны, в достаточной степени важны, но, по-видимому, наиболее важным достоинством разработки является возможность применения в учебном процессе. В дальнейшем необходимо обращать особое внимание на обеспечение и расширение этой стороны разработки;

Выделенные слабые стороны разработки представляют среднюю опасность для проекта в целом.

Из рассмотренных возможностей наиболее важны ценность полученных сведений и закономерностей.

Наиболее опасной угрозой, очевидно, является сложность осуществления канала утечки, что, однако не исключает эту возможность и тем более не уменьшает важность исследования.

Заключение о перспективности разработки. На данный момент имеются существенные проблемы в реализации разработки. В случае преодоления отмеченных слабостей разработка может стать перспективной, так как у нее имеется ряд очень важных достоинств.

6.3 Калькуляция себестоимости научно-технической продукции

В таблице приведен перечень материалов требующихся для создания стенда и проведения исследований.

Таблица 6.2 - Список материалов

Наименование материальных затрат

Кол-во

Цена без НДС с учетом комиссионных вознаграждений, таможенных пошлин и транспортны затрат, руб.

Сумма, руб.

Адаптер ST

4

23.73

94.92

Адаптер SC

2

23.73

47.46

Патчклод SC-SC 2m

1

130

130

Патч-корд ST-ST 2m

3

110.17

330.51

Патч-корд SC-ST 2m

1

144.07

144.07

Патч-корд SC-ST 5m

1

177.97

177.97

Патч-корд ST-ST 5m

3

127.97

383.91

КРН-8/16

1

12000

12000

Итого

2508.84


Затраты на оплату труда

Основные работы по данному проекту велись в течении 40 рабочих дней (2 месяца (18+22)) при 8 часовом рабочем дне. Оплата работ производится из расчета 8000 рублей в месяц.

Таблица 6.3 - Оценка трудоемкости работы

№ пункта

Описание этапа

Трудоемкость этапа, часы

1

Анализ задания и знакомство с темой

10

2

Подбор и изучение литературы

30

3

Разработка стенда

60

4

Отладка и тестирование стенда

180

5

Оформление документации

40


Итого

320


Разработка выполнялась лаборантом-студентом в течение 40 рабочих дней при восьмичасовом рабочем дне. Месячный фонд времени работы 160 часов, среднемесячная заработная плата 8000 руб.

Основная заработная плата разработчика составила:

Зосн = (8000/160)*8*40 = 16000 руб.

Дополнительная заработная плата составляет 20%:

Здоп = 0,2×Зосн = 0,2×16000 = 3200 руб.

Затраты на оплату труда с учетом поясного коэффициента НГТУ:

ЗТР = 1,2× (Зосн +Здоп) = 1,2× (16000+3200) = 23040 руб.

Отчисления на социальные нужды

Отчисления в Пенсионный фонд Российской Федерации (22% от затрат на оплату труда):

0,22×23040 = 5068,8 руб.;

Отчисления в Фонд социального страхования Российской Федерации (2,9% от затрат на оплату труда):

0,029×23040 = 668,16 руб.;

Отчисления в Федеральный фонд обязательного медицинского страхования (5,1% от затрат на оплату труда):

0,051×23040 = 1175,04 руб.;

Страховой взнос на обязательное социальное страхование от несчастных случаев на производстве и профессиональных заболеваний (0,2% от затрат на оплату труда):

0,002×23040 = 46,08 руб.

Итого отчисления на социальные нужды 6958,08 руб.

Прочие прямые расходы отсутствуют.

Накладные расходы составляют 80% от затрат на оплату труда

0,8×23040 = 18432 руб.

После произведенных расчетов заполним форму 1-пн:

Форма 1-пн

НГТУ АВТФ Кафедра ЗИ

Калькуляция составлена

«30» _мая______ 20 13 г.

КАЛЬКУЛЯЦИЯ плановой себестоимости

Разработка лабораторного стенда

Основание для проведения работ (договор, заказ) _заказ__________

Заказчик: __ Кафедра ЗИ___________________________________

Срок выполнения работы: начало __10 апреля 2013 г.______________

окончание __10 июня 2013 г.____________

Наименование статей затрат

Сумма, руб.

1

Материалы

2508.84

2

Затраты на оплату труда работников, непосредственно занятых созданием научно-технической продукции

23040

3

Отчисления на социальные нужды

6958,08

4

Накладные расходы

18432

5

Итого:

50938,92

6

Затраты по работам, выполняемым сторонними организациями и предприятиями

0,00

7

Всего себестоимость

50938,92


В организационной части дипломного проекта был проведен SWOT-анализ проекта по разработке лабораторного стенда. Анализ позволил четко описать сильные и слабые стороны разработки, оценить её перспективность и общенаучную ценность.

Также было осуществлено калькулирование себестоимости проекта. В себестоимость вошли затраты на потребовавшиеся материалы, зарплата специалиста по информационной безопасности, отчисления на социальные нужды и накладные расходы. [11]

Себестоимость всего проекта составила: 50938,92 рублей.

ЗАКЛЮЧЕНИЕ

В результате проделанной работы над дипломным проектом были выполнены все поставленные задачи. В дипломном проекте рассмотрены научные статьи по аналогичной проблематике. Тем самым была подчеркнута актуальность работы и потребность в дополнительных исследованиях.

Для проведения исследований был закуплен ряд компонентов волоконно-оптических коммуникаций. Определен минимально достаточный набор оборудования и приборов. Разработана методика проведения измерений, согласно которой был подробно описан процесс настройки измерительных приборов. На последнем этапе планирования была разработана концепция серии экспериментов различной сложности.

Для оценки модуляции светового потока в волоконно-оптической линии был спроектирован и разработан прибор для преобразования фототока в напряжение. Для простоты и удобства применения прибор был оснащен стандартными разъемами для соединения с волоконно-оптической линией и измерительными приборами.

Начальные эксперименты явились достаточно простыми и позволили выявить физические принципы формирования изучаемого канала утечки акустической информации. Далее последовали более сложные эксперименты, в ходе которых были рассмотрена степень восприимчивости к вешнему акустическому воздействию различных компонентов волоконно-оптической линии связи. Последним экспериментом стало испытание, и проверка показаний разработанного учебно-лабораторного стенда для изучения волоконно-оптического канала утечки акустической информации.

Графические материалы и показания приборов занесены в сводные таблицы, на основе которых был проведен анализ эффективности канала утечки в различных участках волоконно-оптического тракта. Подробная версия материалов приведена в приложениях.

СПИСОК ЛИТЕРАТУРЫ

1.      Ходоркин Д.О., Иванов А.В. Волоконно-оптический канал утечки речевой информации. Актуальные проблемы электронного приборостроения(АПЭП-2012) Том3. / Д.О. Ходоркин., А.В. Иванов. - Новосибирск, 2012. С.153-155.

2.      Скрытное подсоединение к оптоволокну: методы и предосторожности [Электронный ресурс] // Хабрахабр. 2012. - URL: <#"669741.files/image052.gif">

Рис. 1.1 - ex11-1-silence

Рис. 1.2. ex11-1-sound

Рис. 1.3 - ex11-2-silence

Рис. 1.4 - ex11-2-sound

Рис. 1.5 - ex11-3-silence

Рис. 1.6 - ex11-3-sound

Экс №1.1. Открытый лазер RED

№11-1

№11-2

№11-3

№11-4

Расстояние от лазера до фотодиода, мм

180

130

63,5

40

Max напряжение на фотодиоде, мВ

46,1

61,6

54,3

45


без звука, дБм

со звуком, дБм

без звука, дБм

со звуком, дБм

без звука, дБм

со звуком, дБм

без звука, дБм

со звуком, дБм

1

-33,76

-32,48

-32,26

-16,27

-32,89

-15,35

-41,08

-21,41

2

-44,12

-37,26

-32,32

-20,99

-42,36

-15,54

-35,24

-22,7

3

-33,04

-36,94

-38,23

-21,69

-42,55

-20,77

-40,49

-24,28

4

-36,16

-37,36

-32,46

-25,8

-35,52

-17,55

-35,73

-22,89

5

-41,86

-30,75

-36,68

-20,57

-32,27

-15

-34,08

-24,68

6

-37,55

-44,16

-27,95

-20,62

-30,98

-23,39

-37,68

-24,41

7

-31,67

-41,42

-36,61

-19,92

-33,22

-14,32

-39,63

-17,28

8

-40,79

-38,82

-34,77

-19,16

-38,2

-14,28

-33,62

-16,1

9

-38,33

-33,72

-25,86

-16,53

-30,88

-15,86

-34,16

-17,55

10

-30,74

-38,77

-33,6

-19,77

-28,5

-16,76

-29,18

-22,55

Среднее значение

-36,802

-37,168

-33,074

-20,132

-34,737

-16,882

-36,089

-21,385

Файл изображения

ex11-1-silence

ex11-1-sound

ex11-2-silence

ex11-2-sound

ex11-3-silence

ex11-3-sound

-

-


Рис. 1.7 - ex12-1-silence

Рис. 1.8 - ex12-1-sound

Рис. 1.9 - ex12-2-silence

Рис. 1.10 - ex12-2-sound

Рис. 1.11 - ex12-3-silence

Рис. 1.12 - ex12-3-sound

Рис. 1.13 - ex12-4-silence

Рис. 1.14. ex12-4-sound

Таблица 1.2 - Сводная таблица результатов эксперимента №1.2

Экс №1.2. Открытый лазер GREEN

№12-1

№12-2

№12-3

№12-4

Расстояние от лазера до фотодиода, мм

180

130

63,5

40

Max напряжение на фотодиоде, мВ

476

482

478

480


без звука, дБм

со звуком, дБм

без звука, дБм

со звуком, дБм

без звука, дБм

со звуком, дБм

без звука, дБм

со звуком, дБм

1

-1,61

9,82

2,28

7,07

-4,15

5,26

-0,33

7,37

2

1,48

8,13

-6,97

8,03

3,26

9,06

0

3,99

3

1,27

7,27

-25,2

1,17

-6,56

3,57

-2,75

10,19

4

-1,24

2,13

-19,81

1,25

1,06

7,39

-0,95

3,98

5

0,61

4,04

6,61

5,12

-3,04

5,31

1,65

5,77

6

1,09

5,02

-4,25

0,4

-6,17

4,12

-0,4

6,45

7

-6,14

5,59

3,24

8,95

0,44

6,23

1,06

6,97

8

-9,02

10,68

1,03

7,21

-6,96

4,79

2,11

11,41

9

-11,79

8,49

6,35

2,39

3,41

2,24

0,89

10,16

10

-2,66

0,47

-0,73

10,79

-2,3

4,11

3,44

3,02

Среднее значение

-2,801

6,164

-3,745

5,238

-2,101

5,208

0,472

6,931

Файл с изображения

ex12-1-silence

ex12-1-sound

ex12-2-silence

ex12-2-sound

ex12-3-silence

ex12-3-sound

ex12-4-silence

ex12-4-sound


ПРИЛОЖЕНИЕ 2

Результаты эксперимента №2

Рис. 2.1 - ex2-2-silence

Рис. 2.2 - ex2-2-sound

Таблица 2.1 - Сводная таблица результатов эксперимента №2

Экс №2. Волокно Ак.изл G/R

№2-1(G)

№2-1(R)

Расстояние от лазера до волокна, мм

60,25

60,00

Max напряжение на фотодиоде, мВ

240

290


без звука, дБм

со звуком, дБм

без звука, дБм

со звуком, дБм

1

0,17

2,23

0,1

0,95

2

-2,45

-0,91

-2,1

-0,11

3

-1,36

-0,86

-1,45

-0,12

4

-1,24

-1,1

-0,83

0,56

5

-1,45

-0,98

-1,43

0,21

6

1,09

0,95

1,29

0,22

7

-2,78

-1,02

-2,01

-1,1

8

-3,38

0,8

-3,12

-1,21

9

-3,58

-1,45

-3,92

-1,98

10

-2,66

-0,44

-0,21

-1,35

Среднее значение

-0,278

-1,368

-0,393

Файл с изображением

-

-

ex2-2-silence

ex2-2-sound


ПРИЛОЖЕНИЕ 3

Результаты экспериментов №3 и №4

Рис. 3.1 - ex4-1-silence

Рис. 3.2 - ex4-1-sound

Рис. 3.3 - ex4-2-silence

Рис. 3.4 - ex4-2-sound

Рис. 3.5 - ex4-3-silence

Рис. 3.6 - ex4-3-sound

Рис. 3.7 - ex4-4-silencе

стенд оптоволокно защищенность переходник

Рис. 3.8 - ex4-4-silence

Таблица 3.1 - Сводная таблица результатов экспериментов №3 и №4

Экс №3 Переходник SC. G/R/FOD7005

№4-1(G)

№4-2(R)

№4-3((R)FOD7005)

№4-4((R)FOD7005)Box

Расстояние от лазера до волокна, мм

60,25

135

0-fod

0-fod_box

Max напряжение на фотодиоде, мВ

240

315

460

460


без звука, дБм

со звуком, дБм

без звука, дБм

со звуком, дБм

без звука, дБм

со звуком, дБм

без звука, дБм

со звуком, дБм

1

-2,04

6,12

-34,26

-14,65

-27,29

5,98

-21,29

-18,3

2

-3,58

6,71

-28,33

-18,14

-29,41

2,81

-28,31

-17,85

3

-7,1

-5,9

-22,39

-20,41

-33,19

10,13

-21,97

-20,18

4

-15,79

9,35

-25,18

-7,85

-29,93

14,17

-22,47

-6,35

5

-11,73

-2,88

-28,96

-13,35

-28,14

-11,16

-29,85

1,83

6

-1,69

10,13

-24,9

-10,66

-34,73

-2,38

-31,35

-14,91

7

-8,27

10,12

-24,85

-14,01

-22,42

-2,91

-18,96

-9,68

8

-7,32

-5,43

-35,64

-10,62

-21,38

2,4

-32,09

-12,66

9

-8,25

8,43

-18,54

-13,34

-21,85

1,32

-15,89

-14,83

10

-3,96

-4,05

-29,5

-19,89

-33,98

5,81

-14,15

-5,7

Среднее значение

-6,973

3,26

-27,255

-14,292

-28,232

2,617

-23,633

-11,863

Файл с изображением

ex4-1-silence

ex4-1-sound

ex4-2-silence

ex4-2-sound

ex4-3-silence

ex4-3-sound

ex4-4-silence

ex4-4-sound

ПРИЛОЖЕНИЕ 4

Охрана труда

Таблица 4.1 - Классификация уровня шума для разных типов работ

Рабочее место

Уровни звукового давления, дБ, в октавных полосах со среднегеометрическими частотами, Гц

Уровни звука и эквивалентные уровни звука


31,5

63

125

250

500

1000

2000

4000

8000


В помещениях проектно-конструкторских бюро, расчетчиков

86

71

61

54

49

45

42

40

38

50

В конторских помещений, в лабораториях

93

79

70

68

58

55

52

52

49

60

В помещениях диспетчерской службы с речевой связью по телефону; на участках точной сборки

96

83

74

68

63

60

57

55

54

65

Дистанционное управление без речевой связи по телефону, в лабораториях с шумным оборудованием

103

91

83

77

73

70

68

66

64

75

Выполнение всех видов работ на посто­янных рабочих местах в производственных помещениях и на территории предприятий

107

95

87

82

78

75

73

71

69

80

Жилые комнаты квартир

с 7 до 23 ч.

79

63

55

44

39

35

32

30

28

40


с 23 до 7 ч.

72

52

45

35

29

25

22

20

18

30

Территориинепосредственно прилегающие к жилым домам

с 7 до 23 ч.

90

75

66

59

54

50

47

45

44

55


с 23 до 7 ч.

83

67

57

49

44

40

37

35

33

45


Похожие работы на - Разработка учебно-лабораторного стенда для изучения волоконно-оптического канала утечки акустической информации

 

Не нашли материал для своей работы?
Поможем написать уникальную работу
Без плагиата!
Без нейросетей!