Исследование показателей устойчивости системы
ДОНЕЦКИЙ
НАЦИОНАЛЬНЫЙ ТЕХНИЧЕСКИЙ УНИВЕРСИТЕТ
Кафедра ЭАПУ
Пояснительная
записка
к
курсовой работе по дисциплине
«Теория
автоматического управления»
на тему «Исследование показателей
устойчивости системы»
Выполнил: ст. гр. ЕАПУ -14 уск
Пахомов М.Ю.
Проверил:
Розкаряка П.И.
Донецк -
ДонНТУ - 2015
ЗАДАНИЕ
Исследовать показатели устойчивости системы,
базовая структурная схема которой приведена на рис. 1, при известных параметрах
объекта регулирования (ОР) при использовании типовых регуляторов
пропорционального (П-), интегрального (И-) и пропорционально-интегрального
(ПИ-) типа.
Рисунок 1 - Структурная схема системы
Исходные данные: k1=8;
k2=12; T1=11
мс; T2=45 мс.
Исследования для случая использования каждого из
перечисленных регуляторов выполнить в соответствии с рекомендованным
содержанием:
1) Определение условий устойчивости замкнутой
системы с использованием алгебраического критерия устойчивости (Гурвица);
2) Выбор передаточных функций регулятора из
условия обеспечения стандартных настроек системы (настройка на «критическое»
демпфирование, настройка на технический оптимум);
) Исследование характера переходного
процесса в замкнутой системе в зависимости от степени её удаленности от границы
устойчивости;
Определение запаса устойчивости замкнутой
системы при стандартных настройках с помощью логарифмических частотных
характеристик системы в разомкнутом состоянии.
РЕФЕРАТ
Объектом исследований данной курсовой работы
является схема с использованием различных типовых регуляторов .
Цель работы - исследовать показатели
устойчивости системы при использовании типовых регуляторов пропорционального,
интегрального и пропорционально интегрального типа.
Программа к курсовой работе разработана и
реализована на языке Матлаб.
В пояснительной записке приведены также
структурные схемы систем с различными регуляторами, описание нахождения
передаточных функций, графики переходных процессов, ЛАЧХ и ЛФЧХ разомкнутых
систем.
Актуальность работы заключается в том, что на
примере структурной схемы регулирования показано как ведут себя регуляторы в
системах автоматического регулирования (САР), а именно оценить их
работоспособность.
СИСТЕМА АВТОМАТИЧЕСКОГО РЕГУЛИРОВАНИЯ,
РЕГУЛЯТОР, ПЕРЕХОДНАЯ ФУНКЦИЯ, МАТРИЦА ГУРВИЦА, ХАРАКТЕРИСТИЧЕСКИЙ ПОЛИНОМ,
ЛАЧХ, ЛФЧХ.
ВВЕДЕНИЕ
устойчивость
система передаточный
Современные системы автоматического управления
электроприводами характеризуются главным образом быстродействием и высокой
точностью обработки заданных законов движения. Это позволяет повысить
производительность промышленных установок и обеспечить необходимое качество
выпускаемой продукции. Большое разнообразие структур управления ставит перед
проектировщиком автоматизированного электропривода сложную задачу выбора
наиболее рационального, обеспечивающего требуемое протекание технологического
процесса.
Автоматическое управление представляет
совокупность воздействий, направленных на осуществление функционирования
объекта управления в соответствии с имеющейся программой или целью управления,
и выполняется с помощью автоматических управляющих устройств. Современная
теория автоматического регулирования является основной частью теории
управления. Система автоматического регулирования состоит из регулируемого
объекта и элементов управления, которые воздействуют на объект при изменении
одной или нескольких регулируемых переменных. Под влиянием входных сигналов
(управления или возмущения) изменяются регулируемые переменные. Цель же
регулирования заключается в формировании таких законов, при которых выходные
регулируемые переменные мало отличались бы от требуемых значений. Решение
данной задачи во многом осложняется наличием случайных возмущений (помех). При
этом необходимо выбирать такой закон регулирования, при котором сигналы
управления проходили через систему с малыми искажениями, а сигналы шума
практически не пропускались. Проектирование систем автоматического
регулирования можно вести двумя путями: методом анализа, когда при заранее
выбранной структуры системы (расчетным путем или моделированием) определяют её
параметры; методом синтеза, когда по требованиям к системе сразу же выбирают
наилучшую её структуру и параметры. В настоящее время известно много методов
оптимизации и расчета параметров регуляторов. Они позволяют синтезировать
корректирующие устройства, подавляющие автоколебательные и неустойчивые
периодические режимы в нелинейных системах.
Полученные, таким образом, в процессе синтеза и
анализа системы регулирования позволяют обеспечить высокое качество выпускаемой
продукции, снижают её себестоимость и увеличивают производительность труда.
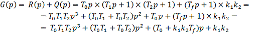
ИССЛЕДОВАНИЕ СИСТЕМЫ С П-РЕГУЛЯТОРОМ
Рисунок 2 - Структурная схема системы c
П- регулятором
.1 Определение устойчивости с помощью
критерий Гурвица
Для нашей системы составим передаточную функцию
разомкнутой системы:
Составим характеристический полином замкнутой
системы:
Исходя из критерий устойчивости Гурвица получим:
Составляем матрицу Гурвица:


По полученным данным можно сделать
вывод: наша система будет устойчива при 
.
1.2 Настройка системы на критическое
демпфирование
Т. к. характеристический полином
замкнутой системы имеет вид квадратного уравнения, через его дискриминант
приравняв, который к 0 можно найти значение 
, которое будет соответствовать КД.
Дискриминант равен
Раскроем скобки и получим
Выразим 
Подставим значения
По полученному результату строим
переходную и весовую характеристики системы с настройкой на КД. Ниже указан код
для построения графиков.
clc
clear
all
close
all
k1=8; T1=0.011;=12;
T2=0.045;=0.006;=0.25; k0=1;=kpa=kp*k1*k2/(1+kp*k1*k2);
[a,b,c,d]=linmod('P_regulator');=ss(a,b,c,d);(1)(2,1,1)
[y,t]=step(sys,tk)(t,y)
title('Переходная
функция')
subplot(2,1,2)
[y,t]=impulse(sys,tk);(t,y)('Весовая
функция')

Анализировать полученный график неудобно,
поэтому для удобства приведем его установившееся значение к единице, для этого
используем теорему о конечном значении.
Передаточная функция замкнутой системы будет
иметь вид
Отсюда установившееся значение будет равно:
Строим график с учетом проведенных вычислений
Рисунок 4 - График переходного процесса для
П-регулятора с настройкой на КД с учетом теоремы
На данном графике мы видим, что система при
данной настройке не имеет перерегулирования и достигается достаточно быстрая
реакция на управляющее воздействие, время переходного процесса приблизительно
составляет 0.125 секунды, система является статической, для наглядности при
помощи теоремы о конечном значении мы вывили установившееся значение на
единицу.
.3
Определение зависимости перерегулирования от коэффициента усиления регулятора
При помощи нескольких сеансов
моделирования построим графики переходных процессов для нашей системы, для
этого организуем цикл, в котором будем произвольно изменять коэффициент 
нашего регулятора.
Ниже приведен скрип нашей программы:
clcallall=8; T1=0.011;=12;
T2=0.045;=0.006; ko=3.76*kpa;=0.25; k0=1;='kgcbmrb';=1kp=[kpa,kpa*2,3*kpa,5*kpa,10*kpa,20*kpa,ko];=kp*k1*k2/(1+kp*k1*k2);
[a,b,c,d]=linmod('P_regulator');=ss(a,b,c,d);(1)(2,1,1)
[y,t]=step(sys,tk)(t,y/U,color(i)),grid
on,hold on('Переходная функция')('КД','kp*2','kp*3','kp*5','kp*10','kp*20','ТО')(2,1,2)
[y,t]=impulse(sys,tk);(t,y,color(i)),grid
on,hold on('Весовая функция')=i+1
end
Рисунок 5 - График зависимости перерегулирования
от величины коэффициента усиления регулятора
При рассмотрении данных графиков можно сделать
вывод, что при увеличении коэффициента усиления регулятора, наша система
начинает быстрее реагировать на управляющее воздействие но при этом растет
значение перерегулирования.
На основании полученных результатов заполним
таблицу 1.
Таблица 1 - Устойчивость системы с П-регулятором
|
kp
|
kpa = 0.006
|
2kpa =0.012
|
3kpa =0.018
|
kpo =0.0226
|
5kpa =0.03
|
10kpa =0.06
|
20kpa =0.12
|
|
tc, мс
|
∞
|
∞
|
51
|
41
|
33
|
20
|
13
|
|
δ,%
|
0
|
0
|
2.47
|
4.3
|
7.31
|
17.6
|
30.24
|
Исходя из таблицы 1 построим графики
зависимости 
и 
а) б)
Рисунок 6 - График зависимости: а) 
, б)
1.4 Построение ЛАЧХ и ЛФЧХ разомкнутой системы
Для того, чтобы построить ЛАЧХ и ЛФЧХ для нашей
системы необходимо обеспечить размыкание обратной связи. Построим ЛАЧХ и ЛФЧХ
для нескольких случаев коэффициентов усиления регулятора.
Текст
программы:=0;kp=[kpa,kpa*2,3*kpa,5*kpa,10*kpa,20*kpa,ko];
[a,b,c,d]=linmod('P_regulator');(2)(a,b,c,d),grid
on,hold on('КД','kp*2','kp*3','kp*5','kp*10','kp*20','МО')
end
Рисунок 7 - ЛАЧХ и ЛФЧХ для коэффициента
усиления при настройке на модульный оптимум
Для того, чтобы обеспечить нормальную
(устойчивую) работу САР, обычно необходимо обеспечить запас устойчивости по
амплитуде А ≥ 14 дБ и запас устойчивости по фазе Ψ
≥ 30о
Для данного графика определим запасы
устойчивости по амплитуде и по фазе: по амплитуде наша система имеет очень
большой запас т.к. ЛФЧХ в отметке -π стремится
к бесконечности, а по фазе Ψ = 100о
.
Можно сделать вывод, что система является
устойчивой.
Построим ЛАЧХ и ЛФЧХ для остальных значений
коэффициента усиления регулятора.
Рисунок 8 - ЛАЧХ и ЛФЧХ для разных коэффициентов
усиления
Для данных коэффициентов запасы устойчивости
можно определить таким же образом.
На основании наших исследований заполним таблицу
2
Таблица 2 - Параметры системы с П - регулятором
|
Параметр
|
Значение
|
|
|
Характеристический
полином замкнутой системы
|
|
|
Условие
устойчивости
|
|
|
Настройка
на КД достигается при
|
|
|
Настройка
на ТО достигается при
|
|
2 ИССЛЕДОВАНИЕ СИСТЕМЫ С И-РЕГУЛЯТОРОМ
Рисунок 9 - Структурная схема системы c
И- регулятором
.1 Определение устойчивости с помощью
критерий Гурвица
Составим передаточную функцию разомкнутой
системы:
Составим характеристический полином замкнутой
системы:
Исходя из критерий устойчивости Гурвица получим:
Составляем матрицу Гурвица:


По полученным данным можно сделать
вывод, что наша система будет устойчива при 

.
Определим значение постоянной
времени 
при, которой система будет
находиться на границе устойчивости, для этого приравняем второй определитель
матрицы Гурвица к нулю и решим уравнение.
Разделим наше уравнение на 
Вынесем общий множитель за скобку
Выразим 
Подставим значения и получим
Из решенного уравнения имеем, что 
=0.85.
2.2 Построение графиков
Для анализа работы системы построим графики
переходных и весовых характеристик для трех случаев:

, 
, 
.
Код программы:
Tugr=0.85;=1.5; k0=1;
for Tu=[Tugr,Tugr*2]
[a,b,c,d]=linmod('U_regulator');=ss(a,b,c,d);(5)(2,1,1)
[y,t]=step(sys,tk);
plot(t,y)('Переходная функция')
legend ('Tugr','Tugr*2')(2,1,2)
[y,t]=impulse(sys,tk);(t,y)('Весовая
функция')
%___________________________________________________________=Tugr/2;
[a,b,c,d]=linmod('U_regulator');=ss(a,b,c,d);(6)(2,1,1)
[y,t]=step(sys,tk);(t,y),grid
on('Tugr/2')(2,1,2)
[y,t]=impulse(sys,tk);
plot(t,y),grid on
Рисунок 10 - График переходных
процессов для 
, 
На данных графиках мы видим, что для
постоянной времени 
характер переходного процесса имеет
вид синусоиды (не затухающие колебания) это означает, что при такой настройке
система находиться на границе устойчивости. При увеличении постоянной времени
до 
мы наблюдаем, что колебание со
временем затухают, и система выйдет на установившееся значение в данном случае
система сдвигается от границ устойчивости и САР становиться более
работоспособной.
Рисунок 11 - График переходного
процесса для 
На этом графике можно увидеть, что
при такой постоянной времени система далеко перешла за границы устойчивости и
стала не работоспособной.
Построим ЛАЧХ и ЛФЧХ для этих
постоянных времени.
Код программы
k0=0;Tu=[Tugr,Tugr*2,Tugr/2]
[a,b,c,d]=linmod('U_regulator');(7)(a,b,c,d),grid
on,hold on('Tugr','Tugr*2','Tugr/2')
end
Рисунок 12 - ЛАЧХ и ЛФЧХ для
постоянных времени 
, 
, 
.
Анализируя данные характеристики
можно сделать вывод, что система будет не устойчивой т.к. имеет очень маленький
запас устойчивости по амплитуде и фазе.
2.3 Настройка на модульный оптимум и
критическое демпфирование.
Экспериментально при помощи
нескольких сеансов моделирования определим значения 
и 
постоянной времени И-регулятора,
при которых достигается настройка системы на КД (s=0) и на технический (модульный) оптимум (s»4,3 %) соответственно.
Построим переходную и весовую характеристики.
Код программы
Tugr=0.85; Tua=Tugr*17.6;
[a,b,c,d]=linmod('U_regulator');=ss(a,b,c,d);(5)(2,1,1);
[y,t]=step(sys,tk);(t,y,color(i)),grid
on,hold on;('Переходная функция')('Tugr*3','Tugr*5','Tugr*10','MO','КД')(2,1,2);
[y,t]=impulse(sys,tk);(t,y,color(i)),grid
on,hold on;('Весовая функция')=i+1;
end
Рисунок 13 - Переходные
характеристики при разных значения постоянной времени 
На данных графиках видно, что при
росте значения постоянной времени интегрирующего звена уменьшается значение
перерегулирования и следовательно быстродействие системы, это обусловлено тем,
что 
стоит в знаменателе. Так же видны
настройки на МО и КД.
Фиксируя полученные результаты
заполним таблицу 3
Таблица 3 - Устойчивость системы с
И-регулятором
|
Tu
|
Tu.гр =0.85
|
2Tu.гр =1.7
|
3Tu.гр =2.55
|
5Tu.гр =4.25
|
10Tu.гр
=8.5
|
Tu.опт =10.82
|
Tu.a =14,96
|
|
tc, мс
|
43
|
61
|
77.6
|
107.7
|
190
|
252
|
∞
|
|
δ,%
|
100
|
62
|
46
|
28
|
9
|
4.3
|
0
|
По полученным данным построим
графики зависимости 
и 
Рисунок 14 - Графики зависимости: а)

, б) 
.4 Построение ЛАЧХ и ЛФЧХ системы
при настройке на модульный оптимум (МО)
Для построения ЛАЧХ и ЛФЧХ разомкнем
обратную связь, для этого напишем следующую программу:
k0=0;Tu=Tuopt;
[a,b,c,d]=linmod('U_regulator');(7)(a,b,c,d),grid
on,hold on;
title ('MO')
Рисунок 15 - ЛАЧХ и ЛФЧХ для системы с И-
регулятором при настройке на модульный оптимум.
Из данных характеристик можно увидеть, что наша
система имеет маленький запас устойчивости по амплитуде А = 22.5 дБ, но хороший
запас устойчивости по фазе Ψ = 63о.
Эти данные позволяют сделать вывод, что система будет устойчива, т.к. для
нормальной работы необходимо обеспечить условия, при которых запас устойчивости
по амплитуде A > 20 дБ, а по
фазе Ψ
> 30о.
По проведенным исследованиям И- регулятора
заполним таблицу.
Таблица 4 - Параметры системы с И - регулятором
|
Параметр
|
Значение
|
|
Передаточная
функция разомкнутой системы
|
|
|
Характеристический
полином замкнутой системы
|
|
|
Граница
устойчивости
|
|
|
Условие
устойчивости
|
 .
|
|
Настройка
на КД достигается при
|
|
|
Настройка
на ТО достигается при
|
|
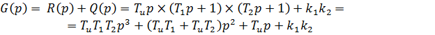
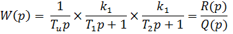
3 ИССЛЕДОВАНИЕ СИСТЕМЫ С ПИ-РЕГУЛЯТОРОМ
Рисунок 16 - Структурная схема системы c
ПИ- регулятором
.1 Определение устойчивости с помощью критерий
Гурвица
Составим передаточную функцию разомкнутой
системы:
Составим характеристический полином замкнутой
системы:
Исходя из критерий устойчивости Гурвица получим:
Составляем матрицу Гурвица:


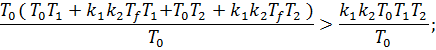
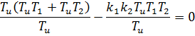
Для обеспечения устойчивости системы
с ПИ- регулятором необходимо добиться следующего условия:
Сделать это можно проверив на
положительность второй определитель матрицы Гурвица, поэтому если исходя из
условия 
то 
.
Раскроем скобки и получим
Вынесем 
за скобки
Поделим левую и правую часть на 
Вынесем 
и 
за скобки, сгруппируем полученное
уравнение
Разделим левую и правую части на 
3.2 Компенсация постоянной времени Tf на T2.
Для дальнейших исследований выберем значение Tf
из условия компенсации влияния наибольшей постоянной времени ОР:
.
Используя критерий устойчивости
Гурвица, докажем, что при таком выборе
система при любых значениях
будет
устойчивой. Для этого проверим положительность всех коэффициентов
характеристического полинома замкнутой системы.
Для нашей системы составим
передаточную функцию разомкнутой системы:
Составим характеристический полином
замкнутой системы:

Исходя из критерий устойчивости
Гурвица получим:
Составляем матрицу Гурвица:


По полученным данным можно сделать
вывод: наша система будет устойчива при 
.
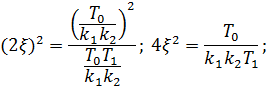
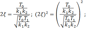
.3 Настройка на критической
демпфирование, среднее демпфирование и модульный оптимум.
Для этого рассчитаем величины
,
и
постоянной
времени интегрирования, при которых замкнутая система будет иметь передаточную
функцию, которая соответствует колебательному звену с коэффициентами
демпфирования x=1
(настройка на КД), x=
(настройка
на ТО), x=0,5
(настройка на «среднее» демпфирование СД) соответственно.
Приведем нашу передаточную функцию
замкнутого контура к виду колебательного звена, разделим числитель и
знаменатель на k1k2.
Для того, чтобы определить x сравним получившуюся
передаточную функцию с традиционной формой записи:
Выразим постоянные времени
Отсюда получим, что коэффициент
демпфирования равен
Из полученной формулы можно найти
величины
,
и
Подставим коэффициент демпфирования x=1 (настройка на КД), x=
(настройка
на ТО), x=0,5
(настройка на «среднее» демпфирование СД) и получим, что:



Таблица 5 - Параметры системы с ПИ -
регулятором
|
Параметр
|
Значение
|
|
Передаточная
функция разомкнутой системы
|
|
|
Характеристический
полином замкнутой системы
|
|
|
Условие
устойчивости
|
|
|
Настройка
на КД (x=1)
достигается при
|
|
|
Настройка
на ТО (x= )достигается
при
|
|
|
Настройка
на СД (x=0,5)
достигается при
|
|
3.4 Построение графиков переходных процессов
замкнутой системы, ЛАЧХ и ЛФЧХ разомкнутой системы.
По рассчитанным постоянным времени
,
и
построим
переходные и весовые функции, ЛАЧХ и ЛФЧХ разомкнутой системы и определим запас
устойчивости по амплитуде и фазе.
Код программы:
T0=k1*k2*4*T1;
T0a=T0*1^2;opt=T0*(sqrt(2)/2)^2;c=T0*0.5^2;=0.25;
k0=1;='brg';=1T0=[T0a,T0opt,T0c];
[a,b,c,d]=linmod('PU_regulator');=ss(a,b,c,d);(10)(2,1,1);
[y,t]=impulse(sys,tk);(t,y,color(i)),grid
on,hold on;('Весовая функция')=i+1;=0;T0=[T0a,T0opt,T0c];
[a,b,c,d]=linmod('PU_regulator');(11)(a,b,c,d),grid
on,hold on;
legend ('КД','МО','СД')
Рисунок 17 - Графики переходных процессов для
настройки на КД, МО и СД.
На данных графиках видно настройку на
критическое демпфирование перерегулирование отсутствует но наблюдаем самое
маленькое быстродействие. На модульный оптимум перерегулирование равно 4.3 % ,
быстродействие повысилось. На среднее демпфирование, наблюдается самое большое
перерегулирование но самое высокое быстродействие.
Для построения ЛАЧХ и ЛФЧХ используем следующий
код:
k0=0;T0=[T0a,T0opt,T0c];
[a,b,c,d]=linmod('PU_regulator');(11)(a,b,c,d),grid
on,hold on;
legend ('КД','МО','СД')
Рисунок 18 - ЛАЧХ и ЛФЧХ при
настройке ПИ- регулятора при настройке на КД, МО, СД.
На данном графике мы видим, что
запас устойчивости по амплитуде очень велик т.к. ЛФЧХ в отметке -π стремится к
бесконечности, а по фазе равно Ψ1 = 96о (критическое демпфирование), Ψ2 = 66о
(модульный оптимум), Ψ3 = 52о
(среднее демпфирование). Самым большим запасом устойчивости по фазе обладает
система с настройкой на критическое демпфирование.
ВЫВОДЫ
Для того, чтобы провести анализ
данной курсовой работы и оценить работу всех рассмотренных регуляторов.
Построим в одном окне графики переходных процессов для трех регуляторов: П, И,
ПИ и разомкнутой системы без регулятора при одинаковых настройках на модульный
оптимум и критическое демпфирование.
Рисунок 19 - Графики переходных
процессов для П, И, ПИ и без регулятора: а) при настройке на МО, б) при
настройке на КД.
Из данных графиков можно увидеть,
что П - регулятор в отличии от систем с другими регуляторами имеет самую
быструю реакцию на скачок, но как следствие имеет самую большую ошибку по
управляющему воздействию в сравнении с другими регуляторами. И - регулятор
позволяет уменьшить статизм системы по сравнению с П - регулятором т.к содержит
интегратор, но уменьшается быстродействие. Система с ПИ - регулятором имеет
высокое быстродействие ( немного медленнее П - регулятора), но исключает ошибку
как И - регулятор. Система без регулятора отрабатывает скачок без
перерегулирования но такую систему не возможно контролировать.
СПИСОК ИСПОЛЬЗУЕМОЙ ЛИТЕРАТУРЫ
1. А.В. Нетушила. Теория
автоматического управления. Учебник для вузов. Изд. 2-е, доп. и перераб. М.,
«Высшая школа», 1976.
. А.А. Воронов. Основы теории
автоматического регулирования и управления. - М., Высшая школа, 1977.
. В.А. Бесекерский, Е.П. Попов «
Теория систем автоматического управления» - М.: Наука, 1978.
. Куропаткин П.В.» Теория
автоматического управления» . М.: «Высшая школа», 1973.
. Иващенко Н.Н. Автоматическое
регулирование. М.: «Машиностроение», 1973.
. Конспекты лекций.