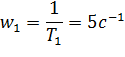
Устойчивость исходной непрерывной системы
Министерство
образования и науки Российской Федерации
Государственное
образовательное учреждение
Высшего
профессионального образования
«Пермский
национальный исследовательский политехнический университет»
Курсовая
работа
Дисциплина:
Теория автоматического управления
Выполнил: студент группы
ЭАПУу-10 Смирнов Г.Г.
Проверил: преподаватель
Васильев Е.М.
Пермь
2014
Содержание
1. Исследование устойчивости исходной непрерывной системы
. Определение критический коэффициент усиления разомкнутой системы
. Синтез последовательного корректирующего устройства
. Моделирование скорректированной системы
Список литературы
Анализ и синтез системы. Исходные
данные
К1,, - коэффициент
регулятора, К2, К3 - коэффициенты объекта;
КОС - коэффициент
обратной связи; Т1, Т2, Т3, - постоянные
времени.
|
№ вар.
|
К1
|
К2
|
Кз
|
Кос
|
Т1,с
|
Т2,с
|
Т3,с
|
δст мах
|
σ %мах
|
t р мах
|
|
27
|
25
|
10
|
2
|
0,4
|
0,2
|
0,8
|
1
|
0,002
|
18
|
1,1
|
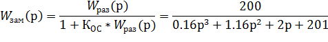
Передаточная функция разомкнутой
части объекта:
Передаточная функция замкнутого
контура:
.
Исследование устойчивости исходной непрерывной системы с использованием ЛЧХ
Для исследования устойчивости
исходной непрерывной системы подставляем в Matlab следующий скрипт:
%=[25];den1=[0.2
1];=tf(num1,den1);=[10];den2=[0.8 1];=tf(num2,den2);=[2];den3=[1
1];=tf(num3,den3);=[0.4];den4=[1];=tf(num4,den4);=series(sys1,sys2);=series(sys5,sys3);=series(sys6,sys4);
%m=minreal(sys7);
%=logspace(-1,2,100);(sys7m,w);
%
Получаем ЛАЧХ и ЛФЧХ исходной
системы:
Рисунок 1 - Диаграмма Боде
Вывод: Из графика
следует, что замкнутая система автоматического регулирования неустойчивая, так
как логарифмическая фазовая частотная характеристика разомкнутой системы
пересекает прямую 
при значении частоты,
меньшей значения частоты среза 
.
. Определить критический
коэффициент усиления разомкнутой системы
Значение коэффициента
усиления системы, при котором она находится на границе устойчивости, называют
предельным (критическим) коэффициентом усиления
. При уменьшении
коэффициента усиления неустойчивой системы до величины, меньшей предельного
значения, система становится устойчивой.
Передаточная функция разомкнутой
части объекта:
По критерию Михайлова необходимо
получить характеристическое уравнение замкнутой системы.
Характеристическое уравнение примет
вид:
непрерывная система устойчивость
корректирующий
Далее осуществим переход к частотной
переменной, используя замену
:
Выделим в левой части получившегося
уравнения действительную и мнимую части:
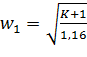
Далее найдем их положительные корни:

, откуда 

По критерию Михайлова
для устойчивости системы необходимо, чтобы корни функций
и
чередовались
с ростом частоты, начиная с
, то есть должны
выполняться неравенства
.
Поскольку
,
неравенство
будет
выполнено для любого положительного значения
, поэтому для
устойчивости системы необходимо, чтобы
. Очевидно, что режим
границы устойчивости будет соответствовать равенству
:
Установить коэффициент
регулятора, обеспечивающий запас устойчивости системы по амплитуде не менее 15
децибел. Провести моделирование системы в Matlab и оценить показатели качества
исследуемой системы (допускается оценка показателей качества системы другими
методами, включая косвенные оценки качества).
Запас устойчивости по
амплитуде можно рассчитать по следующей формуле:
где, g - запас
устойчивости по амплитуде, Дб;
- передаточная функция
системы;
-
частота при которой ФЧХ системы пересекает ось -π.
Так как исходная система
неустойчива, показатели качества не определяются.
. Выполнить синтез последовательного
корректирующего устройства
Построение Lисх(w):
Найдём соответствующие сопрягающие
частоты:
Прямая с наклоном 0дб/дек идет из
бесконечности на расстоянии от оси абсцисс 20lg(k)=20*lg(200)=46 дБ до первой
сопрягающей частоты w3, после её прохождения меняет наклон на
-20дб/дек до пересечения со второй сопрягающей частотой w2, после
наклон прямой меняется на -40дБ/дек. Пройдя третью сопрягающею частоту w1,
прямая меняет наклон на -60дб/дек.
Построить желаемую ЛАЧХ Lж(w).
Согласно номограмме [рис. 6.7, 1] и
учитывая данное перерегулирование, σ=18, получаем:

, следовательно:
Через точку
проведем
прямую с наклоном -20дБ/дек, которая представляет собой среднечастотную
асимптоту желаемой ЛАЧХ.
Диапазон средних частот
рекомендуется определять по следующим выражениям:
где,
-
правая граница среднечастотного диапазона,
- левая граница
среднечастотного диапазона,
- частота среза.
Низкочастотная часть определяет
статические свойства системы автоматического регулирования, т. е. точность и
порядок астатизма.
Желаемый передаточный коэффициент
скорректированной разомкнутой системы определяется, как:
На уровне
проводится
прямая, соответствующая порядку астатизма системы, в нашем случае порядок
астатизма системы равен 0, следовательно, прямая пройдет параллельно оси
абсцисс.
Далее необходимо выполнить
сопряжение низкочастотной и среднечастотной части. Это производится прямой с
наклоном -40дБ/дек. Частота сопряжения между низкочастотной и среднечастотной
частью равна ω5=0,23 с-1.
Высокочастотная часть
логарифмической амплитудной частотной характеристики относительно мало влияет
на характер протекания переходного процесса. Вследствие этого ее целесообразно,
с целью упрощения структуры корректирующего устройства, по возможности выбрать
аналогичной исходной нескорректированной системе. В нашем случае оставим
высокочастотную часть нескорректированной.
Определить ЛАЧХ последовательного
корректирующего звена Lпск(w).
пск(w)= Lж(w)- Lисх(w)
По виду Lпск(w)
определить передаточную функцию последовательного корректирующего звена.
В приложении 1 изображена Lпск(w),
согласно которой можно записать:
Передаточная функция корректирующего
звена:
. Выполнить моделирование
скорректированной системы и определить полученные показатели качества,
сопоставить их с требуемыми значениями
Рисунок 2 - Модель скорректированной
системы
Рисунок 3 - График переходного
процесса
. Время регулирования процесса tрег
= 1,1 с.
. Перерегулирование

Ошибка

Список литературы
Динкель А.Д. Теория автоматического управления