Исследование искажений сигналов на выходе фильтра нижних частот
Федеральное
государственное автономное образовательное учреждение высшего образования
«Санкт-Петербургский
государственный электротехнический университет «ЛЭТИ» им. В.И. Ульянова
(Ленина)»
Факультет ИБС
Кафедра ТОЭ
КУРСОВАЯ
РАБОТА
По
дисциплине: Теоретические основы электротехники
На тему:
ИССЛЕДОВАНИЕ ИСКАЖЕНИЙ СИГНАЛОВ НА ВЫХОДЕ ФИЛЬТРА НИЖНИХ ЧАСТОТ
Выполнил Соколов В.Н.
Проверил: Попов Е.Ф.
Санкт-Петербург
2015 г.
Оглавление
1.
Техническое задание
. Нормировка
. Определение
передаточной функции цепи
. Расчет
частотных характеристик цепи
. Составление
уравнений состояний цепи
. Определение
переходной и импульсной характеристик
. Вычисление
реакции при воздействии одиночного импульса
. Определение
спектральных характеристик одиночного импульса воздействия
. Вычисление
спектра реакции при одиночном импульсе на входе цепи
. Определение
спектра периодического входного сигнала
.
Приближенный расчет реакции при периодическом воздействии
Заключение
Список
использованной литературы
1. Техническое задание
Целью курсовой работы является практическое освоение и сравнение
различных методов расчета цепей, прогноза ожидаемых реакций и оценки полученных
результатов.
Задание к курсовой работе:
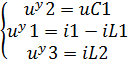
Схема
Входной
импульс
Параметры
схемы
|
R1=R2,
Ом
|
L1, мГн
|
L2, мГн
|
C1, пФ
|
|
2000
|
1
|
1
|
500
|
|
Данные импульса
|
|
Im, A
|
tи1, мкс
|
tи2, мкс
|
T
|
|
2
|
62.8
|
12.56
|
tи
|
2. Нормировка
Проведем нормирование параметров и переменных цепи.
Базисные величины при нормировке: Rб = Rн
= R2 = R1 = 2 кОм; wб = 106 c-1
R*1 = R*2 =
*1 =
; L*2 = 0.5*1 = CwбRб = 1
Для простоты записи знак нормировки “*” в дальнейшем опускаю
3. Определение передаточной функции цепи
Для расчета передаточной функции цепи воспользуемся методом
пропорциональных величин:
Пусть I’Rн(S) = 1, тогда U’Rн(S) = 1
U’L2(S) = I’н(S)zL2
=
’C1(S) = U’L2(S)
+ U’н(S) =
’C1(S) =
’L1(S) = I’C1(S)
+ I’Rн(S) =
’L1(S) = I’L1(S)zL1 =
’R1(S) = U’L1(S)
* U’C1(S) =
’R1(S) =
I’0 = I’R1(S) + I’L1(S)
=
(S) =
(3.1)
Рис. 2.2.а
Рис. 2.2.б
Проконтролируем
функция Н(S). Из (3.1) следует, что Н(0) = 0,5;H(∞) = 0, что
соответствует результатам, полученным по схемам замещения цепи при S=0 и при
, приведенным на рис. 2.2,а,б соответственно
Практическая
длительность переходного процесса:
4. Расчет частотных характеристик цепи
цепь
сигнал импульс спектр
Амплитудно-фазовая
характеристика получается из переходной характеристики при подстановке
Обобщенная
частотная характеристика:
H(jw)= H(s)|S=jw =
Амплитудно-частотная
характеристика(АЧХ):
А(w)=|(H(jw)|=
Фазочастотная
характеристика (ФЧХ):
Определим
полосу пропускания по графику АЧХ на уровне 0,707 Amax (ω) ≈0,3535
. Частота среза ωср ≈ 2; полоса пропускания ∆ωПП ∈ [0;2], что соответствует фильтру нижних частот.
Значение АЧХ на нулевой частоте, определяющее соотношение площадей под
графиками входного и выходного сигналов, A(0) = 0,5. Так как A(∞) = 0, то
график выходного сигнала должен быть непрерывным (без скачков).
Анализ
рис. 2.1, б показывает, что ФЧХ в полосе пропускания близка к линейной. Следовательно,
в случае попадания спектра воздействия в полосу пропускания цепи искажения
формы сигнала не будут существенными.
Оценим
время запаздывания по наклону графика ФЧХ в области низких частот: tз = |∆Φ
(ω)|/ ∆ω, где ∆Φ(ω) - приращение фазы, измеренное в радианах; ∆ω - приращение частоты в области низких частот. Для ФНЧ
можно также использовать формулу t з = Φ′(0). Таким образом, tз ≈ 1.
Графики
АЧХ, ФЧХ, АФХ приведены на рис. 2.1, а, б, в соответственно
Рис.2.1.а
Рис.2.1.б
рис.2.1.в
5. Составление уравнений состояний цепи
Получим уравнения состояния цепи с помощью формальной процедуры, для чего
заменим L-элементы на источники тока i(t)L1 и i(t)L2 , а
C- элемент на источник напряжения u(t)С1 .
Для получения уравнений состояния используем метод узловых напряжений:
Используем
соотношения
;
получим
уравнения состояния:
Уравнение
состояния в матричной форме
Записываем характеристический полином
Корни ХП - частоты собственных колебаний цепи
6. Определение переходной и импульсной характеристик
Для получения переходной и импульсной характеристик воспользуемся
операторным методом.
Получение переходной характеристики
График
переходной характеристики приведен на рис. 2.2, а.
Рис.2.2.а
Получение импульсной характеристики:
Для этого возьмем производную от переходной характеристики.
h(t)=1e-2t - 0.578cos(1.73t + 1.571)e- t
- 0.99994sin(1.73t+1.571)e-t
График импульсной характеристики приведен на рис. 2.2, б.
Рис.2.2.б
Выполним численный расчет переходной характеристики, для чего получим
численное решение уравнений состояния на основе алгоритма Эйлера:


Уравнение связи:
Реакция на нагрузке
Графики переходной характеристики, полученные на основе аналитического и
численного расчета, приведены на рис 2.3
Рис.2.3
7. Вычисление реакции при воздействии одиночного импульса
Найдем изображение по Лапласу входного одиночного импульса, для чего с
помощью метода двойного дифференцирования представим указанный импульс в виде
i0(t) = 2I0mδ1(t) - 4I0mδ1(t - tu/2) + 2I0mδ1(t - tu)0(S)
=
(2.6)н(S) = H(S)I0(S) =
= Iн1(S) - Iн1(S)e-Stu/2 + Iн1(S)e-Stu
Iн1(S) = Iн1(t)δ1(t) - Iн1(t - tu/2)
δ1(t - tu/2) + Iн1(t - tu)δ1(t - tu)
Графики реакции (штриховая линия) и измененного в A(0) раз воздействия
(сплошная линия) приведены на рис. 2.4.а ,б соответственно. Анализ рис. 2.4.а,б
подтверждает правильность предположений, сделанных в п.4
Рис.2.4.а
Рис.2.4.б
8. Определение спектральных характеристик одиночного импульса
воздействия
Определим спектральные характеристики одиночного импульса. С учетом (2.6)
комплексный спектр импульсного воздействия:
I0(jw) = I0(S)|S=jw =
(1 - 2e-jwtu/2 + e-jwtu)
=
e-jwtu/2(ejwtu/2
- 2 + e-jwtu/2) =
e-jwtu/2sin2
Амплитудный спектр входного сигнала:
A(w) =
sin2
Фазовый спектр входного сигнала:
Ф(w) = -
+
Ширина спектра импульсного входного сигнала, определенная по 10%-му
амплитудному критерию (см. рис. 2.5.1, а), ∆ωСП ∈ [0;0,9]. Сравнение ширины спектра
воздействия и полосы пропускания цепи показывает, что спектр входного сигнала
укладывается в полосе пропускания, следовательно, оценки, сделанные в п. 4,
справедливы, что подтверждается данными точного расчета, проведенного в п. 7
Рис.2.5.1.а
Рис.2.5.1.б
Рис.2.5.2.а
Рис.2.5.2.б
9. Вычисление спектра реакции при одиночном импульсе на входе
цепи
Выражение для амплитудного спектра реакции:
A1(w) =
sin2
А(w) =
2(w) = A1(w)*A(w)
Фазовый спектр реакции:
Ф1(w) = -
+
Ф2(w) = 0 - arctg
- arctg(w - 1.73) - arctg(w + 1.73)
Ф3(w) = Ф1(w) + Ф2(w)
Графики амплитудного и фазового спектров реакции на импульсное воздействие
приведены на рис.2.6.1.а,б и рис.2.6.2,а,б соответственно
Рис.2.6.1.а
Рис.2.6.1.б

Рис.2.6.2.а
Рис.2.6.2.б
10. Определение спектра периодического входного сигнала
I1(s) =
-
e-Stu/2+
e-Stu =
(1 - 2e-Stu/2 + e-Stu)
Åk =
*
(1 - e-jk2πtu/2tu + e-jk2πtu/tu) =
(1 - 2e-jkπ + e-jk2π) =
e-jkπ
sin2
Aмплитудный
спектр входного периодического сигнала
Ak = | Åk| =
sin2
Фазовый спектр входного периодического сигнала
Фk = arg Åk = - kπ +
Запишем отрезок ряда Фурье, аппроксимирующий входное периодическое
воздействие при N = 9
Графики амплитудного и фазового дискретных спектров приведены на
рис.2.7.1 и рис.2.7.1,а,б соответственно
Рис.2.7.1
Рис.2.7.1.а
Рис.2.7.1.б
11. Приближенный расчет реакции при периодическом воздействии
Запишем выражения для амплитудного и фазового дискретных спектров реакции
при периодическом воздействии:
Ak2 = Ak * A(w)
Фk2
= Фk + Ф(w)
u = 62.8
Полученные значения отсчетов дискретных спектров приведены в таблице
|
k
|
wk
|
Akвх
|
Фkвх
|
A(w)
|
Ф(w)
|
Akвых
|
Фkвых
|
|
0
|
0
|
0
|
0
|
0.501
|
0
|
0
|
0
|
|
1
|
0.1
|
2.546
|
-90o
|
0.501
|
6o
|
1.276
|
96o
|
|
3
|
0.3
|
0.849
|
0.501
|
17o
|
0.425
|
107o
|
|
5
|
0.5
|
0.509
|
-90o
|
0.501
|
29o
|
0.255
|
119o
|
|
7
|
0.7
|
0.364
|
-90o
|
0.5
|
41o
|
0.182
|
131o
|
|
9
|
0.9
|
0.283
|
-90o
|
0.499
|
54o
|
0.141
|
144o
|
Отрезок ряда Фурье, аппроксимирующий реакцию, имеет вид:
Графики амплитудного и фазового дискретных спектров реакции на
периодическое воздействие приведены на рис.2.8.1,а,б.
Рис.2.8.1.а
Рис.2.8.1.б
tu = 12.56
Полученные значения отсчетов дискретных спектров приведены в таблице
|
k
|
wk
|
Akвх
|
Фkвх
|
A(w)
|
Ф(w)
|
Akвых
|
Фkвых
|
|
0
|
0
|
0
|
0
|
0.501
|
0
|
0
|
|
|
1
|
0.5
|
2.546
|
-90o
|
0.501
|
29o
|
1.275
|
|
|
3
|
1.5
|
0.849
|
-90o
|
0.461
|
97o
|
0.391
|
|
|
5
|
2.5
|
0.509
|
-90o
|
166o
|
0.116
|
|
|
7
|
3.5
|
0.364
|
-90o
|
0.092
|
200o
|
0.033
|
|
|
9
|
4.5
|
0.283
|
-90o
|
0.044
|
217o
|
0.012
|
|
Отрезок ряда Фурье, аппроксимирующий реакцию, имеет вид:
Графики амплитудного и фазового дискретных спектров реакции на
периодическое воздействие приведены на рис.2.8.2,а,б.
Рис.2.8.2.а
Рис.2.8.2.б
Анализ приведенного на рис. 2.8.1.б и 2.8.2.б графиков подтверждают
правильность оценки времени запаздывания ( tз ≈ 1), данной в
п.4
Заключение
В результате выполнения курсовой работы было исследовано влияние фильтра
нижних частот на входной сигнал. При использовании и сравнении различных
методов расчета электрических цепей было установлено:
.Полоса пропускания заданного фильтра нижних частот составляет интервал
от 0 до 2
. Значение АЧХ на нулевой частоте, определяющее соотношение площадей под
графиками входного и выходного сигналов, A(0) = 0,5. Так как A(∞) = 0, то
график выходного сигнала должен быть непрерывным (без скачков).
. ФЧХ в полосе пропускания близка к линейной. Следовательно, в случае
попадания спектра воздействия в полосу пропускания цепи искажения формы сигнала
не будут существенными.
.Сигнал на выходе имеет время запаздывания, равное 1 c.
Список использованной литературы
1. Бычков
Ю.А., Золотницкий В.М., Чернышев Э.П. Основы теории электрических цепей:
Учебник для вузов. - СПб.: Издательство «Лань», 2002. - 464 с.
. Бычков
Ю.А., Золотницкий В.М., Чернышев Э.П. и др. Сборник задач и практикум по
основам теории электрических цепей. - СПб.: Питер, 2005. - 304 с.:ил. - (Серия
«Учебное пособие»).
. Бычков
Ю.А., Соловьева Е.Б., Чернышев Э.П. и др. Анализ электрических цепей. Учебное
пособие к курсовой работе по теоретической электротехнике - СПб.: СПбГЭТУ
«ЛЭТИ», 2011. - 176 с.