Модификация метода наименьших квадратов Прони
Введение
При передаче и хранении аналоговых сигналов
могут происходить искажения или потери участков данных[1,2]. Это могут быть
нерегулярные сбои в телеметрических каналах, механические повреждения носителей
аудиозаписей (аудиокассет или грампластинок) и другие подобные ситуации, общим
в которых является нерегулярность следования поврежденных участков и их
относительно высокая интенсивность, что не позволяет использовать традиционные
методы линейной фильтрации и необходимо просто заменить поврежденный участок на
его оценку, полученную с использованием закономерностей изменения сигнала в
окрестности поврежденного участка [3,4,5]. Необходимо сразу отметить, что
задача установления границ, т.е. начала и конца искаженных участков, не
рассматривается в рамках нашего исследования и представляет в общем случае
отдельную задачу за исключением тривиальных случаев полного пропадания или
резкого повышения уровня сигнала на поврежденном участке.
Цель работы
Разработать и реализовать алгоритм на основе
модификации метода наименьших квадратов Прони для восстановления поврежденных
участков сигнала;
проверить работоспособность алгоритма на
тестовых сигналах, смоделированных на компьютере;
проверить работоспособность алгоритма для
восстановления поврежденных участков аудиосигналов;
Восстановить поврежденные участки сигнала,
полученного в эксперименте по изучению свойств ударно-сжатых диэлектрических
материалов
1. Обзор методов интерполяции и
экстраполяции
.1 Увеличение частоты дискретизации
в целое число раз
Эту процедуру называют интерполяцией или
восстановлением отсутствующих отсчетов дискретного сигнала. [6] Для
интерполяции дискретного сигнала x(n) его сначала удлиняют в L раз путем
вставления между каждыми двумя соседними отсчетами L -1 нулевых отсчетов. Такой
сигнал xуд(n) можно записать в виде
Следовательно, спектр сигнала xуд(n) примет
форму:
(1.1)
Из (1.2.1) следует вывод о том, что при
описанной выше операции удлинения дискретного сигнала, спектр сигнала xуд(n)
сжимается по оси частот в L раз в сравнении со спектром исходного сигнала, а
период повторения будет равен 2p/L. Если затем пропустить
xуд(n) через идеальный ДФНЧ с полосой пропускания и усилением L , то лишние
спектральные полосы будут удалены, а выходной сигнал фильтра будет точно
соответствовать дискретному сигналу xин(n) с периодом дискретизации T/L, т.е.
частота дискретизации его увеличится в L раз, а нужные отсчеты будут
восстановлены.
Рисунок 1
а) исходный сигнал и его спектр;
б) сигнал, удлиненный добавлением нулевых
отсчетов и его спектр;
в) интерполированный сигнал на выходе ДФНЧ и его
спектр.
Рисунок 2 - Структура интерполятора (экспандера
частоты дискретизации), увеличивающего частоту дискретизации в L раз
Если необходимо изменить частоту дискретизации
исходного дискретного сигнала в L/M (рациональное число) раз, то такая операция
может быть выполнена каскадным соединением интерполятора в L раз и дециматора в
M раз, как это представлено на рис.3. Два последовательно включенных дискретных
фильтра нижних частот ДФНЧ1 и ДФНЧ2 могут быть заменены одним с меньшей
частотой среза и усилением L.
Рис. 3
1.2 Примеры применения дециматоров и
интерполяторов
Рассмотрим примеры применения дециматоров и
интерполяторов в цифровой аудиотехнике. При преобразовании в цифровую форму
аналогового музыкального сигнала полагают, что полоса его соответствует
интервалу частот 0 £f £22кГц
и минимальная частота дискретизации равна 44кГц. Перед дискретизацией
необходима аналоговая низкочастотная фильтрация (ФНЧ) для исключения эффекта
наложения и внеполосного шума. При этом ФНЧ должен иметь высокую равномерность
частотной характеристики в полосе пропускания и узкую переходную полосу от
полосы пропускания к полосе задерживания. Такие фильтры, как правило, имеют
очень нелинейную фазо-частотную (ФЧХ) характеристику у края полосы пропускания
(у частоты 22кГц), что считается недопустимым для высококачественного
воспроизведения музыки. Распространенный способ решения этой проблемы состоит в
повышении вдвое (иногда вчетверо) частоты дискретизации. При этом аналоговый
ФНЧ может иметь более широкую переходную полосу в интервале частот 22кГц -
44кГц и нелинейность ФЧХ оказывается приемлемо малой.
Рисунок 4
а) спектр аналогового сигнала;
б) требуемая амплитудно-частотная характеристика
ФНЧ при частоте дискретизации 44кГц;
в) требуемая амплитудно-частотная характеристика
ФНЧ при частоте дискретизации 88кГц.
Полученный на выходе аналого-цифрового
преобразователя (АЦП) цифровой сигнал с частотой дискретизации 88кГц далее
обрабатывается цифровым ФНЧ (ЦФНЧ) с требуемой крутизной переходной полосы и
прореживается вдвое для получения нужного сигнала с частотой дискретизации
44кГц, как это представлено на рис.5. Заметим здесь, что реализация ЦФНЧ с
линейной ФЧХ, как это будет показано в дальнейшем при рассмотрении
характеристик цифровых фильтров, не вызывает принципиальных затруднений. Для
этой цели используются КИХ-фильтры с симметричной импульсной характеристикой.
Рис. 5
Аналогичная проблема возникает в ступени
цифро-аналогового преобразования, когда цифровой музыкальный сигнал должен быть
преобразован в аналоговый путем обработки в ФНЧ. Для этой цели нужен аналоговый
ФНЧ с частотой среза 22кГц и узкой переходной полосой и, следовательно, он будет
иметь сильно нелинейную ФЧХ, что недопустимо. Для решения этой проблемы
используют интерполятор, повышающий частоту дискретизации цифрового сигнала
вдвое, после чего такой сигнал преобразуется в аналоговый в ЦАП с аналоговым
ФНЧ, переходная полоса которого может быть в интервале частот 22кГц - 44кГц, а
нелинейность ФЧХ будет приемлемо малой. Блок-схема такой обработки представлена
на рис. 6.
Рис. 6
1.3 Алгоритм полигармонической
экстраполяции для реставрации аудиозаписей (автор А.П. Евсеев)
С точки зрения математики мы имеем дело с
задачей интерполяции [7], то есть нахождения значений некоторой функции внутри
отрезка по её значениям вне этого отрезка. Но, в отличие от традиционной
постановки (когда рассчитываются не более нескольких десятков точек и при этом
используются интерполирующие полиномы соответствующего порядка), в задаче
восстановления аудиофайлов требуется вычислять сотни и тысячи отсчетов внутри
одного поврежденного участка. Для традиционного подхода это практически
нерешаемая задача, поскольку требует полиномов очень высокого порядка.
Представляется целесообразным применить для восстановления потерянных отсчетов
алгоритм полигармонической экстраполяции [8], физическая суть которого изложена
далее.
Для всех практически интересных сигналов могут
быть получены Фурье-спектры, статические или динамические. Привлекательность
использования спектральных характеристик для задач экстраполяции и прогноза
заключается в том, что они характеризуют сигнал в целом и в каждом отсчете
спектра, как в голограмме, присутствует информация о закономерностях динамики
сигнала на доступном наблюдению отрезке предыстории. В связи с интегральным
характером спектральных характеристик изменение амплитудно-частотного спектра
при перемещении «окна» Фурье-преобразования происходит сравнительно медленно,
чего нельзя сказать о фазо-частотном спектре. Алгоритм экстраполяции сигналов
со значительным содержанием квазипериодических составляющих основан на
известном постулате теории прогнозирования о том, что любой прогноз будет
являться близким к действительности лишь в том случае, если на интервале
прогноза будут действовать закономерности, которые
были на интервале предыстории. Следовательно,
эффективно могут быть проэкстраполированы только те периодические компоненты
процесса, которые целиком заполняют интервал предыстории [t-T- τ,
t] и
интервал прогноза [t, t+ τ]. Иллюстрацией
к последующим рассуждениям служит рис. 7.
Берется отрезок реализации сигнала размером T на
интервале предыстории [t-2T+ τ, t-T+ τ] и
вычисляется его комплексный спектр:
Рис. 7 - Схема взаиморасположения «окон»
Фурье-преобразования для экстраполяции сигнала S(t) на отрезок [t, t+ τ]
Заметим, что границы интервалов интегрирования
здесь и далее опущены с целью уменьшения громоздкости выражений и совпадают с
границами соответствующих отрезков сигнала. Затем берется другой отрезок
размером T, сдвинутый относительно первого на τ, и
также вычисляется его комплексный спектр:
Знание спектров SI(w)
и SII(w)
позволяет найти комплексный коэффициент передачи E(w)
некоторого гипотетического четырехполюсника, обеспечивающего соответствующее
преобразование спектра при переходе от первой реализации ко второй, сдвинутой
на интервал
Учитывая предположение о сохранении
периодических закономерностей процесса на интервале прогноза и на интервале
предыстории, можно предположить, что коэффициент преобразования спектра отрезка
реализации при переходе от второй реализации к третьей, смещенной относительно
второго на τ в область прогноза,
изменится незначительно, относительно коэффициента преобразования спектра при
переходе от первого отрезка реализации ко второму.
Тогда можно утверждать, что:
амплитудно-частотный
спектр;
фазо-частотный
спектр.
При что обосновано условием медленности
изменения
спектральных характеристик на интервале
предыстории, получаем
Это позволяет
записать симметричную пару соотношений:
Выражение (2) в совокупности есть не что иное,
как комплексный спектр для третьего «окна», сдвинутого относительно второго на
интервал τ. Производя обратное
Фурье-преобразование:
найдем отсчеты сигнала в интервале [t-T+ τ,
t+ τ], который частично перекрывается с областью
предыстории, а частично лежит в той области, где они предварительно были
неизвестны. Таким образом, получаем оценки неизвестных отсчетов, опираясь на
линейное преобразование спектральных характеристик известной части сигнала,
т.е. решаем задачу прогноза.
На основе спектральных представлений может быть
предложен другой, упрощенный алгоритм прогноза, пригодный в случаях, когда в
обрабатываемой последовательности отсчетов превалируют колебательные тренды, а
прогнозировать требуется лишь моменты экстремумов на интервале упреждения. В
основе такого алгоритма лежит известное в теории простых сигналов соотношение
Для
сложных сигналов
Однако для сложных
сигналов, образованных суммой отдельных одновременно действующих простых
сигналов (составной сигнал), справедливо первое соотношение в применении к
каждой компоненте. Таким образом, задача продолжения колебательных
закономерностей, присущих сигналу на интервале предыстории .t, за границы этого
интервала сводится к задаче адекватного уменьшения ширины пиков в его спектре.
Наиболее простым и естественным способом, на наш взгляд, является почленное
умножение компонент комплексного спектра на соответствующие точки нормированной
огибающей этого же спектра. При этом, как легко увидеть, значение спектра в
«пике» наибольшего значения останется без изменений, а уровень «скатов»
понизится тем больше, чем ниже их исходный уровень по отношению к высоте пика.
Конечно, уровень других пиков тоже понизится, но тем меньше, чем менее их
уровень будет отличаться от уровня наибольшего пика. Выполняя обратное
Фурье-преобразование для модифицированного спектра, получим на временной оси
продолжение колебательных закономерностей исходного отрезка (предыстории).
Причем продолжение возникает как в «будущее», так и в «прошлое». Как показывает
компьютерное моделирование, положение точек экстремумов на графике прогноза
достаточно точно совпадает с координатами соответствующих точек в полной
реализации процесса. Аналитическое выражение для последовательности операций
этого алгоритма имеет вид:
где Sbase(t) - отрезок с отсчетами предыстории,
Sextr(t) - отрезок предыстории, расширенный на удвоенный интервал
экстраполяции; 1 . F и F - соответственно операторы обратного и прямого
Фурье-преобразования; - масштабирующий множитель, вычисляемый по критерию
согласования уровней прогноза и предыстории на границах интервала предыстории.
Описанные алгоритмы являются базовыми и в силу прозрачности их физической
интерпретации допускают ряд модификаций и обобщение на многомерные случаи, что
и позволяет говорить о классе АПГЭ.
Рис. 8 - Сверху - искаженный сигнал, снизу -
восстановленный сигнал
Результаты по восстановлению искаженных сигналов
в целом положительны. Сравнение с аналогичной программой «MP3Doctor» показало
существенное улучшение качества реставрации дефектов аудио - файлов в виде
резких щелчков.
Использование двумерного обобщения алгоритма
полигармонической экстраполяции позволяет распространить этот подход и на
двумерные сигналы (фотографии).
2. Метод Прони
.1 Исходный подход Прони
Метод Прони [1,9] аппроксимирует
последовательность комплексных данных xi моделью, состоящей из p затухающих
комплексных экспонент
:
где Ak - амплитуда, fk - частота, jk
- начальная фаза, ak - коэффициент затухания и T -
период дискретизации сигнала.
Запишем выражение (2.1) в виде:
, n = 1, 2, … 2p
где
, (2.2)
.(2.3)
Для всех n составим систему уравнений:
(2.4)
Для решения этой системы введем дополнительные
коэффициенты a0, a1,,a2,…, ap, такие, что a0 = 1 и
,(2.5)
для k = 1, 2,…, p.
Далее над системой уравнений (2.4) проделаем
следующие действия:
-ю строку системы умножим на a0, 2-ю - на a1,
3-ю - на a2, и так до (p+1) строки. Сложив эти строки, получим первую строку
новой системы уравнений.
-ю строку системы умножим на a0, 3-ю - на a1,
4-ю - на a2, и так до (p+1) строки. Сложив эти строки, получим вторую строку
новой системы уравнений.
И так далее до p-ой строки, т.е. новая система
уравнений будет выглядеть следующим образом:
Учитывая (2.5), заметим, что левая часть в
каждой строке системы уравнений равна нулю, т.е. систему уравнений можно
переписать:
(2.6)
или учитывая, что a0 = 1, получим систему
линейных уравнений, где неизвестными будут a1, a2, a3,…, ap:
(2.7)
Решив эту систему, найденные значения a1, a2,
a3,…, ap подставим в выражение (2.5), из которого найдем zk, т.е. необходимо
решить следующее уравнение n-ого порядка:
,(2.8)
где a0 = 1.
Далее, взяв первые p строк системы уравнений
(2.4) и подставив в нее корни уравнения (2.8) z1, z2,…, zp , получим еще одну
систему линейных уравнений:
(2.9)
из которой найдем значения h1, h2,…, h p
Алгоритм поиска параметров модели Прони по
классическому подходу состоит из четырех этапов:
этап: составляется и решается система уравнений
(2.7), из которой находятся коэффициенты a1, a2, a3,…, ap;
этап: найденные значения a1, a2, a3,…, ap
подставляем в уравнение (2.8), из которого находим z1, z2,…, zp;
этап: найденные значения z1, z2,…, zp
подставляем в систему линейных уравнений (2.9), решая которую находим h1, h2,…,
h p;
этап: учитывая выражения (2.2) и (2.3), найдем
параметры модели:
(2.10)
Описанный алгоритм раскладывает N комплексных
отсчетов сигнала на N/2 комплексных затухающих экспоненциальных компонент.
Недостатками являются:
большая погрешность вычисления при N превышающих
200 отсчетов, так как приходится решать уравнение (2.8) 100-го и выше порядка,
а также системы из 100 и более линейных уравнений (2.7) и (2.9);
Если сигнал не раскладывается на N/2 комплексных
затухающих экспоненциальных компонент, то возникает значительная ошибка
аппроксимации.
На рисунке 9 приведен исходный текст программы,
реализующей метод Прони, написанной в среде программирования LabVIEW, а на
рисунке 10 приведен пример ее работы.
Рис. 9 - Блок диаграмм программы, реализующей
метод Прони
Рис. 10 - Программа, реализующая метод Прони
2.2 Пример вычисления спектра
методом Прони
Задание сигнала
В качестве примера анализируемого сигнала
возьмем четыре отсчета синусоиды, записанной следующим выражением:
,
где

- амплитуда,

- частота,
jk
- начальная фаза,
ak 
- коэффициент
затухания.
Подставляя значения
от
единицы до четырёх, получаем:
Вычисление спектра методом Прони для заданного
сигнала
этап: составляем и решаем систему уравнений
(2.7) для p = 2:
,
из которой находим коэффициенты a1 и a2:
.
этап: найденные значения a1, a2 подставляем в
уравнение (2.8)
, где
.
,
откуда находим комплексные корни z1 и z2:
.
.
Используя найденные значения, можем найти
частоту и коэффициент затухания по формулам (2.10):
;
этап: найденные значения z1, z2 подставляем в
систему линейных уравнений
,
решая которую находим h1 и h2
этап: учитывая выражение (2.10), найдем
оставшиеся параметры модели:
;
Запишем сигнал, используя полученные результаты:
что соответствует нашему исходному сигналу с
точностью до седьмого знака.
2.3 Метод наименьших квадратов Прони
Для работы с реальными сигналами используют
метод наименьших квадратов [9,11], имеющий ряд преимуществ перед исходным:
количество комплексных экспонент p в выражении
(2.1) меньше или равно половине отсчетов в сигнале (p £
N / 2);
данный метод минимизирует ошибку аппроксимации.
Выведем формулы для нахождения параметров методом
наименьших квадратов Прони.
Так как p £ N / 2, то система
уравнений (2.4) будет выглядеть по-другому:
(2.11)
(знак равенства поставлен условно, так как
предполагается, что модель имеет ошибку аппроксимации, в дальнейшем мы это
учтем).
Далее над системой уравнений (3.11) проделаем
следующие действия:
-ю строку системы умножим на a0, 2-ю - на a1,
3-ю - на a2, и так до (p+1) строки. Сложив эти строки, получим первую строку
новой системы уравнений.
-ю строку системы умножим на a0, 3-ю - на a1,
4-ю - на a2, и так до (p+1) строки. Сложив эти строки, получим вторую строку
новой системы уравнений.
И так далее до p-ой строки, т.е. новая система
уравнений будет выглядеть следующим образом:
Коэффициенты a0, a1, a2,…, ap необходимо выбрать
так, чтобы выполнялось выражение (2.5) и a0 = 1, т.е. левая часть в каждой
строке системы уравнений равна нулю, и систему уравнений можно переписать:
(2.12)
т.е. получилась система из (N-p) уравнений,
аналогичная системе (2.6), состоящей из p уравнений.
Учитывая, что аппроксимация сигнала моделью
(2.1) имеет погрешность, перепишем систему уравнений (2.12) с учетом ошибок:
,
Параметры am будем выбирать так, чтобы сумма
квадратов ошибок
была минимальна. Для этого необходимо взять
производную от r по каждому параметру am. и
полученное выражение приравнять к нулю. Проделав это, получается система
уравнений:
которую можно записать по другому
(2.13)
Решая эту систему уравнений, находим
коэффициенты a0, a1, a2,…, ap.
Найденные значения a1, a2, a3,…, ap подставляем
в уравнение (2.8), из которого находим z1, z2,…, zp.
Чтобы найти h1, h2,…, hp , изменим выражение
(2.11) чтобы учесть ошибки аппроксимации:
где e1, e2,…, ep ошибки аппроксимации, которые
необходимо минимизировать. Для этого необходимо взять производную от
по
каждому параметру hm, и полученное выражение приравнять к нулю. Получится новая
система уравнений:
(2.14)
из которой можно найти h1, h2, …, hp.
Используя формулу суммы геометрической
прогрессии, перепишем последнее выражение:
,(2.15)
где
Алгоритм поиска параметров модели Прони по
методу наименьших квадратов состоит из четырех этапов:
этап: составляется и решается система уравнений
(2.13), из которой находятся коэффициенты a1, a2, a3,…, ap;
этап: найденные значения a1, a2, a3,…, ap
подставляем в уравнение (2.8), из которого находим z1, z2,…, zp;
этап: найденные значения z1, z2,…, zp
подставляем в систему линейных уравнений (2.15), решая которую находим h1,
h2,…, h p;
этап: из выражений (2.10) найдем параметры
модели: Ak, fk, jk, ak.
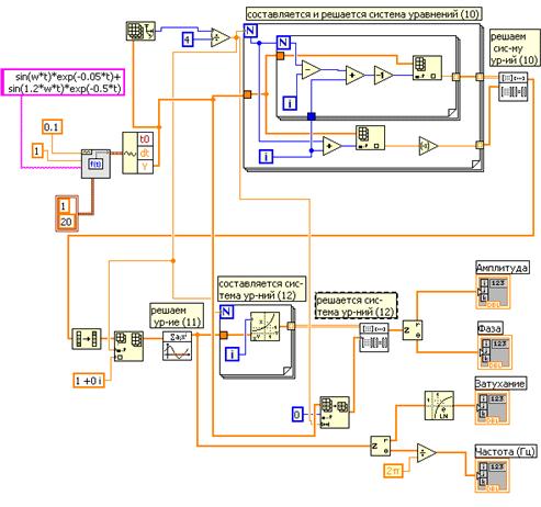
Блок-схема программы, реализующей алгоритм
поиска параметров модели Прони по методу наименьших квадратов, представлен на
рисунках 11-13.
Рис. 11 - Программа, вычисляющая спектр по
методу наименьших квадратов Прони
Рис. 12 - Подпрограмма, вычисляющая
Рис. 13 - Подпрограмма, вычисляющая амплитуды и
фазы, решая систему линейных уравнений (2.14)
3. Модификация метода наименьших
квадратов Прони для восстановления поврежденных участков сигнала
.1 Описание алгоритма
За основу алгоритма взят метод наименьших
квадратов (МНК) Прони [9].
Берем не непрерывный участок сигнала как в МНК
Прони, а участок, у которого есть потерянные данные.
Суть метода состоит в следующем: дан сигнал хi;
i=0……n1, n2…N-1. У нас есть два отрезка сигнала: начальные отсчеты и конечные.
В качестве модели мы принимаем модель алгоритма Прони.- последний отсчет перед
поврежденным участком сигнала,- первый отсчет после поврежденного участка
сигнала,- общее количество отсчетов сигнала,
, i = 0...n1,n2,
…N-1 (3.1)
, (3.2)
. (3.3)
Для всех n составим систему уравнений
(3.4)
При этом должно выполняться условия
(n1+1+N-n2)/2
n1
p-1n2
p
Для решения этой системы введем дополнительные
коэффициенты a0, a1,,a2,…, ap, такие, что a0 = 1 и
,(3.5)
спектр сигнал прони экстраполяция
для k = 1, 2,…, p.
Далее над системой уравнений (3.4) проделаем
следующие действия:
-я часть системы: 1-ю строку умножим на ap, 3-ю
- на ap-1, 4-ю - на ap-2, и так до (p+1) строки. Сложив эти строки, получим
вторую строку новой системы уравнений.
И так далее.
Проделав все это у нас получится новая система
уравнений, в которой учитывая условие (3.5), левые части равны нулю. Система
условно разделена на 2 части
(3.6)
или учитывая, что a0 = 1, получим систему
линейных уравнений, где неизвестными будут a1, a2, a3,…, ap:
(3.7)
Решая систему уравнений, находим коэффициенты
a1,a2,a3 и т.д.
подставим в выражение (3.5), из которого найдем
zk, т.е. необходимо решить следующее уравнение n-ого порядка:
, (3.8)
где a0 = 1.
Далее, взяв строки системы уравнений (3.4) и
подставив в нее корни уравнения (3.8) z1, z2,…, zp , получим еще одну систему
линейных уравнений:
(3.9)
из которой найдем значения h1, h2,…, h p
Найдем (3.8), решаем (3.9) и получаем: фазы,
амплитуду, частоту, зная амплитуду, частоту и фазы мы можем найти все точки, в
том числе и промежуточные, потерянные.
Зная частоту, амплитуду, фазу и коэффициент
затухание мы легко сможем восстановить недостающий участок сигнала.
4. Тестирование алгоритма
.1 Реализация алгоритма
восстановления сигнала в среде программирования LabVIEW
Данный алгоритм реализован как виртуальный
прибор (ВП) в среде программирования LabVIEW. На рисунке 15 приведен исходный
текст программы, реализующей модификацию МНК Прони для восстановления отрезка
сигнала, а на рисунке 14 приведен пример ее работы.
В самом начале работы необходимо задать
параметры исследуемого сигнала (см. рис.16: амплитуда сигнала A, частота f,
фаза φ,
коэффициент
затухания α) либо вручную, либо
загрузить эти данные из файла (с разделителем - табуляция).
Далее можно указать параметры метода Прони
(кол-во экспоненциальных компонент), уровень шума.
Далее после введения всех необходимых входных
данных запускаем программу и на лицевой панели отображается (рис.14): таблица с
найденными параметрами сигнала и график, на котором можно визуально увидеть
правильность полученных данных (сравнив графики входного сигнала и график
сигнала, определенного методом наименьших квадратов Прони).
Рис. 14 - Программа, реализующая модификацию МНК
Прони
Рис. 15 - Блок диаграмм программы, реализующей
модификацию МНК Прони
Рис. 16
4.2 Исследования алгоритма на
сигналах смоделированных на компьютере
В качестве примера рассмотрим сигнал, записанный
выражением
, (4.1)
состоящий из одной частотной компоненты с
цифровой частотой 0,01; амплитудой А=1, нулевой фазой и без затухания (φ=0,
α=0); вырезка отсчетов 200 - 700. На отрезке длиной
1000 отсчетов размещается 10 периодов сигнала, что видно из рисунка 17.
Сигнал аппроксимируется пятью комплексными
экспонентами (P=5).
Рис. 17 - N=1000, n1=200, n2=700, P=5
σ= 5,16247E-27
Из рисунка 17 можно видеть, что удаленные данные
были восстановлены с относительной ошибкой аппроксимации σ=
5,16247E-27.
Проверим модификацию МНКП на чувствительность к
шуму. Для этого добавим к сигналу (4.1) белый гауссов шум с СКО 0,1.
Осциллограмма такого сигнала представлена на рисунке 18.
Рис. 18 - N=1000, n1=200, n2=700, P=50
σ= 0,0156033
Для восстановления сигнала с шумом потребовалось
увеличить количество комплексных экспонент для аппроксимации до 50.
Относительная ошибка аппроксимации удаленного участка σ=
0,015, что
соизмеримо с дисперсией шума
Добавим к сигналу (4.1) белый гауссов шум с СКО
0,2. Осциллограмма такого сигнала представлена на рисунке 19. Относительная
ошибка аппроксимации удаленного участка σ= 0,05,
что соизмеримо с дисперсией шума.
Рис. 19 - N=1000, n1=200, n2=700,
P=50 σ=0,049786
При увеличении СКО шума до 0,5 для
восстановления сигнала требуется увеличить количество комплексных экспонент для
аппроксимации до 100. Относительная ошибка аппроксимации удаленного участка σ=0,25,
что
соизмеримо с дисперсией шума. График представлен на рис. 20.
Рис. 20 - N=1000, n1=200, n2=700,
P=100 σ= 0,242978
Рассмотрим сигнал, записанный выражением
, (4.2)
состоящий из одной частотной компоненты с
цифровой частотой 0,123; вырезка отсчетов 20 - 70; количество экспонент P=10 на
отрезке длиной 100 отсчетов размещается 12 периода сигнала, что видно из
рисунка 21.
Рис. 21 - N=100, n1=20, n2=70, P=10 σ=
2,64346E-29
Добавим к сигналу (4.2) белый гауссов шум с СКО=
0,1.
Состоящий из одной частотной компоненты с
цифровой частотой 0,123; вырезка отсчетов 20 - 70; количество экспонент P=30,
что видно из рисунка 22.
Рис. 22 - N=100, n1=20, n2=70, P=30
σ=
0,0224372
Относительная ошибка аппроксимации удаленного
участка σ=0,022,
что
соизмеримо с дисперсией шума.
Рассмотрим сигнал, записанный выражением
, (4.2)
состоящий из одной частотной компоненты с
цифровой частотой 0,0123; вырезка отсчетов 300 - 800; количество экспонент P=5
, что видно из рисунка 23.
Рис. 23 - N=1000, n1=300, n2=800, P=5
σ= 2,24513E-26
Добавим к сигналу (4.2) белый гауссов шум с СКО=
0,1.
Состоящий из одной частотной компоненты с
цифровой частотой 0,123; вырезка отсчетов 20 - 70; количество экспонент P=30,
что видно из рисунка 24.
Рис. 24 - N=1000, n1=300, n2=800, P=30
σ= 0,0179442
Алгоритм ведет себя одинаково не зависимо от
частоты исследуемого сигнала.
Рассмотрим сигнал, состоящий из двух
гармонических компонент, представленный выражением
.(4.3)
Цифровая частота одной компоненты равна 0,01,
другой - 0,0123. Вырезка 250-700, количество P=4. Осциллограмма сигнала
представлена на рисунке 25.

Рассмотрим сигнал (4.3), добавим к нему белый
гауссов шум с СКО=0,2.
Вырезка 250-700,количество P=105
Осциллограмма сигнала представлена на рисунке
26.
Рис. 26 - N=1000, n1=250, n2=700, P=105 σ=
0,0983174
Относительная ошибка аппроксимации удаленного
участка σ=0,09,
что
соизмеримо с дисперсией шума.
Результаты работы восстановления удаленного
отрезка из сигнала sin(x)/x, представленного выражением
.(4.4)
с различным уровнем шума, приведены на рисунках
27,28,29
Рис. 27 - N=100, n1=10, n2=70, P=5, σ=3.38377E-5
Добавим к сигналу (4.4) белый гауссов шум с
СКО=0,01.
Рис. 28 - N=200, n1=60, n2=70,
P=50 σ= 0,138959
Относительная ошибка аппроксимации удаленного
участка σ=0,138959
Добавим к сигналу (4.4) белый гауссов шум с
СКО=0,02.
Рис. 29 - N=200, n1=60, n2=85,
P=50 σ=0,19893
Относительная ошибка аппроксимации удаленного
участка σ=0,19893.
Качественно можно видеть, что алгоритм
восстановил участки сигнала
Рассмотрим квазипериодический сигнал с изменяющейся
частотой, в качестве такого сигнала возьмем линейный частотно - модулированный
(ЛЧМ) сигнал, представленный выражением
. (4.5)
Осциллограмма сигнала представлена на рисунке
30.
Частота сигнала за 500 отсчетов изменяется по
линейному закону от 0,01 до 0,015.
Рис. 30 - N=500, n1=300, n2=400, P=35,
σ=1,67315E-6
Добавим к сигналу (4.5) белый гауссов шум с
СКО=0,1
Рис. 31 - N=500, n1=300, n2=400,
P=250 σ= 0,0706444
Для восстановления сигнала требуется больше
отсчетов на известных участках и увеличить количество комплексных экспонент для
аппроксимации. При добавлении шума количество комплексных экспонент необходимо
еще увеличить.
Относительная ошибка аппроксимации удаленного
участка σ=0,07.
Рассмотрим квазигармонический сигнал с частотой,
меняющейся по синусоидальному закону.
(4.6)
Рис. 32 - N=1000, n1=800, n2=900, P=477, ошибка
2,41305E-5
За 1000 отсчетов частота сигнала меняется по
синусоидальному закону от 0,01 до 0,02 два раза. Белым цветом показан исходный
сигнал, зеленым - аппроксимированный.
Так как ЧМ сигнал не входит в модель алгоритма
Прони, то для его аппроксимации и, соответственно, восстановления удаленного
участка требуется большее количество комплексных экспанент.
5. Восстановление аудиоданных
Для того, чтобы оценить метод “на слух”, была
написана программа, “сшивающая” последовательно восстанавливаемые отрезки
сигнала. Таким образом, мы можем качественно оценить, насколько восстановленный
сигнал похож на оригинал. На рис.33 показана блок-диаграмма программы, в
которой реализован данный алгоритм сшития восстановленных фрагментов данных.
Рис. 33
Было проведено тестирование алгоритма на
реальном аудио-сигнале оцифрованном с частотой дискретизации 11025. Примеры
работы модификации программы представлены на рис. 34 - 38.
В качестве аудио-сигнала использовались отрезки
аудиозаписи “ What if god was one of us” разной длины.
Рис. 34 - Аудиосигнал до восстановления
Рис. 35 - Отрезок аудио-файла. N=500; n1=300;
n2=400; P=250, относительная ошибка аппроксимации восстановленных участков
0,0148982
На рисунке 36 представлена более длинная
реализация аудиосигнала, причем, начиная с середины, амплитуда сигнала резко
увеличилась более, чем в 2 раза. Несмотря на ошибку аппроксимации в момент
резкого изменения амплитуды, на слух ошибка практически незаметно. Наблюдения
показали, что алгоритм хорошо справляется с отрезками сигналов, которые не
содержат резко отличающихся участков (например, повышение амплитуды сигнала
более, чем в 1,5 раза).
Рис. 36 - N=500, n1=300, n2=400, P=250, ошибка
аппроксимации 0,163711
Рис. 37 - N=500, n1=300, n2=400, P=250
На рис. 24 показан увеличенный участок рис. 23.
Рис. 38 - Ошибка аппроксимации равна 0.0732436
Белым цветом показан аппроксимированный сигнал,
красным - исходный. Видим, что восстановленная часть практически не отличается
от оригинала.
Исследование показало, что алгоритм применим для
восстановления поврежденных участков аудио-записей.
Восстановление поврежденного участка сигнала,
полученного в эксперименте по изучению свойств ударно-сжатых диэлектрических
материалов
Рассмотрим эксперимент по изучению свойств
ударно-сжатых диэлектрических материалов [13]. Схема проведения эксперимента
показана на рисунке 39. Исследуемый образец представлял собой цилиндр диаметром
70 мм и толщиной 20 мм из фторопласта Ф-4. Конструкция нагружающего устройства
такова, что по фторопласту распространяется плоская ударная волна. Пара
контактных датчиков, установленных на границе алюминиевый экран - исследуемый
образец и на свободной границе, позволяет контролировать скорость
распространения ударной волны в образце. В этом опыте был использован
интерферометр 3 мм диапазона. Измеренная контактными датчиками средняя скорость
ударной волны составила D = (3487 м/с ±35) м/с. Целью
эксперимента является определение скорости распространения ударных и
детонационных волн в исследуемом образце, а также значений реальной и мнимой
частей комплексного показателя преломления диэлектрика за фронтом волны.
В данном случае имеется три границы раздела -
граница между антенной и исследуемым образцом, фронт ударной волны и
металлический экран. Очевидно, что электромагнитная волна испытывает
бесконечное количество отражений от каждой границы раздела, количество мод
распространения также бесконечно и каждой моде соответствует свой доплеровский
сдвиг частоты. По мнению авторов, в этом случае целесообразен отличный от рассмотренного
выше подход к обработке интерферограмм. Суть предлагаемого подхода состоит в
аппроксимации интерферограммы по параметрам электродинамической модели
исследуемого объекта, учитывающей наличие в нем многократных отражений от трех
границ раздела.
Для установления связи этих параметров с
регистрируемыми сигналами интерферометра используется модель распространения
радиоволн в плоскослоистой слабонеоднородной среде, учитывающая многолучевой
характер распространения. Геометрия хода лучей, предполагаемая данной моделью,
представлена на рисунке 39.
Рис. 39 - Геометрии хода лучей в толще
исследуемого диэлектрика
На рисунке ось Ox указывает направление
зондирования образца, точка О - координата неподвижной передней кромки образца,
соприкасающаяся с АФС, вектора RA, RF, RFS и RS - направления отраженных от
антенны в образец, от фронта ударной волны в невозмущенную часть образца, от
фронта в сжатую часть образца и от металлического экрана лучей соответственно,
вертикальные линии F и S отмечают мгновенные положения фронта и экрана, V1 = D
- скорость фронта относительно неподвижной передней кромки образца, V2 = u - D
- скорость экрана относительно фронта.
Введем следующие обозначения: l0 - толщина
невозмущенного образца или расстояние от фронта процесса до точки отражения в
антенне; l - длина волны зондирующего сигнала; n1 -
показатель преломления невозмущенного диэлектрика; xF= l0 - V1t - текущая
координата фронта газодинамического процесса, t - текущее время; xS = xF + V2t
- текущая координата экрана; n2(x) - профиль показателя преломления
возмущенного диэлектрика; RF - комплексный коэффициент отражения сигнала от
фронта (со стороны невозмущенного диэлектрика); RFF - комплексный коэффициент
отражения сигнала от слоя сжатого вещества в целом; RА - комплексный
коэффициент отражения сигнала от антенны (со стороны входа); TF - комплексный
коэффициент прохождения через фронт (в обе стороны), причем ½TF½
= (1-½RF½2),
Arg{TF} = D; Uin(t) - сигнал интерферограммы; U0 -
комплексная амплитуда опорного (зондирующего) сигнала в интерферометре; A(xi) -
функция ослабления амплитуды принимаемого антенной сигнала, отраженного от
препятствия на расстоянии xi от антенны.
Будем полагать модуль коэффициента отражения от
экрана равным единице, и что поворот фазы сигнала в антенне не зависит от
расстояния до отражающей поверхности.
Используя введенные обозначения, можно записать
несколько соотношений для интересующих нас величин. Сначала получим связь
профиля показателя преломления внутри фронта ударной волны с его
электродинамическими характеристиками - комплексными коэффициентами отражения и
пропускания. Будем пренебрегать поглощением электромагнитной волны в толще
фронта, полагая ее малой по сравнению с длиной волны, и разобьем ее на N тонких
виртуальных плоско-параллельных слоев с постоянным показателем преломления в
каждом слое. Воспользовавшись известной формулой Френеля для коэффициента
отражения от границы раздела двух диэлектрических сред при нормальном падении
луча,
(6.1)
В этом соотношении дробные члены описывают
отражения от границ раздела между виртуальными слоями, а экспоненциальный
множитель отвечает за набег фазы отраженного от i - го слоя сигнала.

.(6.2)
В этой формуле первый сомножитель равен
коэффициенту пропускания через переднюю (по отношению к антенне) границу
фронта, экспоненциальный член приводит отсчет набега фазы проходящей
электромагнитной волны к передней границе фронта, а сомножитель в виде
произведения учитывает уменьшение амплитуды прошедшей волны за счет отражения
от границ раздела однородных виртуальных слоев.
Теперь опишем связь этих характеристик фронта
ударной волны с формой сигнала интерферограммы, учитывая (КМ) - кратное
отражение от всех имеющихся границ раздела в экспериментальной установке.
,(6.3)
Реальная или мнимая части выражения (6.3)
берутся в зависимости от выбора одного из двух квадратурных каналов
интерферометра. Комплексная огибающая отраженного сигнала U0Z(t) вычисляется с
помощью формулы
,
,(6.3¢)
,
,
.(6.3²)
Здесь (КМ)2 - количество суммируемых лучей в
модели; сумма в (6.3′) - результат интерференции (КМ) лучей, отражающихся
k раз от антенны и толщи сжатого вещества; xk - длина оптического пути
соответствующего луча и координата изображения источника этого луча,
отсчитываемая от апертуры антенны (точки О); сумма в (6.3″) - результат
интерференции (КМ) лучей, отражающихся m раз от фронта ударной волны в толщу
сжатого вещества и от экрана; антенная функция А(х) должна быть определена
специально для конкретной антенной системы.
На основании приведенных соотношений,
описывающих рассмотренную электродинамическую модель экспериментальной
установки, можно выполнить расчет диэлектрических характеристик фронта
газодинамического процесса и скоростей движения фронта процесса и
металлического экрана (массовой скорости процесса). Для этого проведем
аппроксимацию экспериментально измеренной интерферограммы по
электродинамической модели исследуемого объекта.
Аппроксимация выполняется путем минимизации
разности энергий реально измеренного и аппроксимирующего сигналов по семи
(восьми) параметрам: скорости фронта ударной волны или (и) произведения
скорости экрана на показатель преломления сжатого вещества (n2S), комплексному
коэффициенту отражения от АФС, расстоянию от фронта процесса до точки отражения
в антенне, комплексному коэффициенту отражения от фронта ударной волны и набегу
фазы электромагнитной волны при прохождении через фронт. Поиск глобального
минимума функции невязки выполняется по модифицированному методу Ньютона.
Значения параметров, определяющие положение глобального минимума, принимаются
за результат вычислений оценок (измерений).
Испытание алгоритма на тестовых сигналах
показало, что он устойчиво сходится при длине реализации интерферограммы больше
одного периода, соответствующего присутствующему в интерферограмме минимальному
доплеровскому сдвигу частоты. Кроме того алгоритм устойчив к действию
аддитивных высокочастотных и низкочастотных помех, а также широкополосного
гауссова шума.
Помимо скоростей движения границ раздела
исследуемой среды, этот метод позволяет получить оценку другой важной
характеристики ударно-волнового процесса - показателя преломления
ударно-сжатого диэлектрика за фронтом ударной волны. Для этого используются
комплексные значения коэффициентов отражения и прохождения фронта,
соответствующие наилучшей аппроксимации. Если учесть, что сумма квадратов
модулей коэффициентов отражения и прохождения фронта равна единице, то
комплексные значения этих коэффициентов определяют три независимых параметра
фронта. Таким образом, по этим параметрам можно определить три независимых
параметра профиля показателя преломления сжатого вещества, т.е. этот профиль
может быть аппроксимирован описываемой тремя параметрами монотонно возрастающей
функцией, что соответствует физической модели процесса. Например, если в
качестве модели профиля использовать параболу, то этими тремя параметрами могут
быть минимальное (n2F) и максимальное (n2S) значения показателя преломления и
толщина переходного слоя. Парабола аппроксимируется ступенчатой функцией с N
ступеньками. После достижения значения, соответствующего максимуму параболы,
показатель преломления сжатой среды остается постоянным до экрана. Варьируемыми
параметрами этой модели являются значения n2F и n2S, а также шаг ступенек Dx.
Пределы изменения варьируемых переменных задаются соотношениями

.
Эта задача также решается методом аппроксимации
значений комплексных коэффициентов отражения и прохождения по
трехпараметрической модели профиля показателя преломления сжатого вещества.
Минимизируется функция, равная сумме квадратов разностей вычисленных по
электродинамической модели и по модели профиля реальных и мнимых частей
коэффициентов отражения и прохождения фронта. Полученные значения параметров
модели профиля показателя преломления регистрируются, а также вычисляются
значение относительной скорости экрана делением соответствующего параметра
электродинамической модели на n2S и толщина (skin) переходного слоя как
произведение числа ступенек на их шаг (skin) = N´Dx.
Экспериментально измеренный сигнал имеет
зашумленный вид, результат аппроксимации электродинамической моделью - более
плавный. Под рисунками приведены значения варьируемых параметров модели,
определяющие вид представленных графиков.
Наблюдается хорошее совпадение формы
экспериментальных и аппроксимирующих кривых. На экспериментальной
интерферограмме имеется пораженный мощной импульсной помехой участок, который
был исключен из области анализа невязки. Минимальная невязка аппроксимирующего
и измеренного сигналов соответствует относительной ошибке аппроксимации 11 ¸
16 %. Значения минимальной невязки в модели профиля показателя преломления
соответствуют относительной ошибке определения реальных и мнимых частей
коэффициентов отражения и прохождения фронта ударной волны в 1 ¸
2 %. Эта погрешность существенно меньше погрешности определения этих параметров
по электродинамической модели.
Значения массовой скорости, определенные по
данным двух каналов, отличаются друг от друга на 2%. Среднее значение равно
996.5 м/с. Среднее значение показателя преломления сжатого фторопласта равно
1.642 с отклонением ± 0,4%. Толщина переходного слоя
вещества внутри фронта ударной волны - 2,49 ±0,01 мм.
n2SV2/l = 2.55422 МГц, RA
= 0.054exp(-j2.338), RF = 0.047exp(j3.089), D = 1.790 рад.
n2F = 1.634, n2S = 1.648, u = V1 -
V2 = 1006.586 м/с,
skin= 0.00248 м.
Размах значений сигнала - 0.25.
Минимальная невязка электродинамической модели -
0.00120.
Минимальная невязка модели профиля показателя
преломления - 2.826E-05.
n2SV2/l = 2.55658 МГц, RA
= 0.0019exp(-j1.341), RF = 0.047exp(-j2.784), D = 2.316
рад.
n2F = 1.623, n2S = 1.635, u = V1 -
V2 = 986.232 м/с,
skin= 0.00250 м.
Размах значений сигнала - 0.25.
Минимальная невязка электродинамической модели -
0.00128.
Минимальная невязка модели профиля показателя
преломления - 2.927E-04.
Имеющийся объем данных, полученных в одном
эксперименте, явно недостаточен для проведения адекватного статистического
анализа полученных результатов. Однако выбор объекта исследований и сама
постановка опыта позволяют сравнить эти результаты с некоторыми известными
соотношениями. Так для оценки достоверности результатов измерения массовой
скорости фторопласта можно использовать эмпирическое соотношение между
скоростью ударной волны во фторопласте и массовой скоростью, приведенное в .
,(6.4)
где D = 3,49 км/с - скорость ударной волны.
Соотношение (6.4) дает u = 0.970 км/с и 2,7% отклонения от среднего измеренного
по двум каналам значения.
Для сравнения полученных значений показателя
преломления сжатого фторопласта с независимыми результатами можно использовать
соотношение из:
,(6.5)
где r - плотность
сжатого вещества, а r0 - плотность несжатого вещества.
Другое контрольное соотношение вытекает из
формулы Лоренц - Лоренца:
(6.6)
В эксперименте получены значения показателя
преломления сжатого фторопласта 1.648 и 1.636 для первого и второго каналов
соответственно. Максимальное отклонение от значения n2 = 1.568, вычисленного по
формуле (6.5), составило 5,1%, а от значения n2 = 1.609, получаемого из
соотношения Лоренц - Лоренца (6), - 2,4%.
С учетом связи показателя преломления
диэлектрика с его плотностью можно говорить о согласии полученного в данной
работе значения толщины переходного слоя 2,5 мм с результатами измерений
профиля механического напряжения в ударно-сжатом фторопласте с помощью
манганиновых датчиков. Также очень интересно отметить совпадение полученного
результата с оптической толщиной невозмущенного фторопласта в видимом свете,
равной 2,4 мм. Если принять во внимание, что температура фторопласта за фронтом
ударной волны повышается до температуры ~ 103К, то такое
совпадение может говорить о связи механизма формирования переходного слоя с
переносом равновесного теплового электромагнитного излучения через фронт
ударной волны.
Сигнал состоит из 360 отсчетов. На
интерферограмме есть участок с помехой длиной 48 отсчетов (рис.40). Поставлена
задача восстановить данные, искаженные помехой.
Данные были восстановлены разработанным
алгоритмом. Количество комплексных экспонент необходимых для аппроксимации
равно 202. Результат работы алгоритма представлен на рисунках 40 - 41.
Рис. 40 - Интерферограмма полученного сигнала
Рис. 41 - Аппроксимация интерферограммы
N=360,n1=255, n2=305, P=207
Видим, что известная часть сигнала
аппроксимировалась почти точно, неизвестная близко повторяет основные
закономерности сигнала.
Заключение
Разработан алгоритм восстановления поврежденных
участков сигнала.
Реализован данный алгоритм на языке
программирования LabVIEW;
Проведеные исследования работы алгоритма
показали возможность восстановления поврежденных участков гармонимческих и
квазигармонических сигналов.
Исследована возможность восстановления
поврежденных участков аудиозаписей.
Данным алгоритмом восстановлен поврежденный
участок интерферограммы полученный в результате эксперимента по изучению
свойств ударно-сжатых диэлектрических материалов проведенного в РФЯЦ-ВНИИЭФ.
Требования к технике безопасности
Рабочее место пользователя должно удовлетворять
следующим условиям [14]:
Место для работы на компьютере не должно быть
размещено в подвальных помещениях.
Вокруг оператора должно быть пространство
площадью 6м2.
Оператор должен находиться на расстоянии не
менее 60-80 см от монитора.
Стены и потолки помещений, где устанавливаются
ЭВМ, должны быть облицованы звукопоглощающими материалами, независимо от единиц
устанавливаемого оборудования. В качестве таких материалов могут быть
использованы: перфорированные плиты, а также плотные х/б ткани, которыми
драпируются потолок и стены. Кроме того, необходимо использовать подвесные
акустические потолки. Освещение в помещении должно быть смешанным, т.е.
искусственным и естественным. Лучше, чтобы свет из окна падал сбоку, а не в
экран дисплея или в лицо оператору. Не допускается расположение дисплеев
экранами друг к другу. Полы в помещениях должны иметь антистатическое покрытие.
Компьютеры генерируют несколько типов излучений,
в том числе и рентгеновское, радиочастотное, видимое и ультрафиолетовое.
Однако, уровень этих излучений достаточно низкий. И все же рекомендуется
использовать специальные защитные экраны. Продолжительность работы за
компьютером, не должна превышать 4 часов. А через каждый час работы необходим
перерыв на 10-15 минут.
Компьютеры и мониторы должны иметь защитное
заземление.
Список литературы
1. Марпл
С.Л. Цифровой спектральный анализ и его приложения/ С.Л. Марпл - М.: Мир, 1990.
- 584 с.
2. Fadeyev
V. and Haber, C., J. Audio Eng. Soc., vol. 51, no. 12, pp. 1172-1185 (2003).
. N.S.
Jayant and S. Christensen, “Effects of Packet Losses in Waveform Coded Speech
and Improvements Due to an Odd-Even Sample-Interpolation Procedure,”IEEE Trans.
Communications, vol. CAM-29, pp. 101-109, Feb. 1981.
I. Kauppinen,
J. Kauppinen, and P. Saarinen, “A Method for Long Extrapolation of Audio
Signals,” J. Audio Eng. Soc., vol. 49, pp. 1167-1180, Dec. 2001.
4. P.
Alku and T. Backstrom, “All-pole Modeling Technique based on the Weighted Sum
of the LSP Polynomials,” in Proc. IEEE Int. Conf. on Acoustics, Speech and
Signal Processing (ICASSP 2002), vol. 1, (Orlando, Florida, USA), pp. 665-668,
May 2002.
5. Кривошеев
В.И. Цифровая обработка сигналов. Учебное пособие // Н. Новгород: Издательство
Нижегородского госуниверситета, 2006 - 207 с.
. Сысоев
Д.А., Евсеев А.П. // Труды международной научно-практической конфе-ренции. М.:
Российский университет дружбы народов, 2007. С. 529.
. Евсеев
А.П., Баданов В.В. // Труды Шестой научной конференции по радиофизике. 7 мая
2002 г. / Ред. А.В. Якимов. Н.Новгород: ТАЛАМ, 2002. С. 169.
. Лупов
С.Ю., Фрадкина Е.П., Шахматова Е.А. Лабораторная установка для учебного курса
«Цифровая обработка сигналов» / Труды XI научной конференции по радиофизике,
посвященной 105-летию со дня рождения М.Т. Греховой (Нижний Новгород, 7 мая
2007) / Под ред. А.В. Кудрина, А.В. Якимова. - Нижний Новгород, 2007. с.
101-102.
. Оппенгейм
А., Шафер Р. Цифровая обработка сигналов. - М., Связь, 1979.
. Бугров
В.Н., Ротков Л.Ю., Фрадкина Н.Х. Компьютерный практикум. Методическая
разработка. // Под ред. Сорокина Ю.М. / Н. Новгород, ННГУ, 1997, 64 с.
. Канаков
В.А., Лупов С.Ю., Орехов Ю.И., Родионов А.В. Методы извлечения информации о
перемещении границ раздела в газодинамических экспериментах с использованием
радиоинтерферометров миллиметрового диапазона // Изв. вузов. Радиофизика, 2008.
Том LI. № 3. C. 234-246.
. СанПиН
2.2.2.542-96 "Гигиенические требования к видеодисплейным терминалам,
персональным электронно-вычислительным машинам и организации работы.