Динамический расчет следящих систем
Содержание
1. Введение
2. Техническое задание
3. Описание следящей системы
4. Модели элементов следящей системы
4.1 Измеритель рассогласования
4.2 Преобразователь угла поворота
4.3 Усилитель напряжения и мощности
4.4 Редуктор
4.5 Двигатель постоянного тока
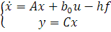
5. Уравнения заданной части следящей системы
5.1 Уравнения в переменных состояния
5.2 Уравнения "вход-выход”
6. Анализ свойств заданной части следящей системы
6.1 Проверка управляемости и наблюдаемости
6.2 Проверка устойчивости нескорректированной следящей системы
7. Синтез устройства управления
7.1 Синтез управления по заданным показателям качества
8. Техническая структура следящей системы
8.1 Разработка схемы управляющего устройства на операционных
усилителях или схемы корректирующего звена
9. Заключение
Библиографический список
1.
Введение
Основной задачей курсовой работы является синтез и
последующее исследование следящей системы с использованием современных методов
и инструментов теории автоматического управления. Описание следящей системы
осуществляется с использованием уравнений в переменных состояния, уравнений
"вход-выход” и передаточных функций. Синтез системы выполняется на основе
либо управления по выходу и воздействиям, либо модального управления с
применением наблюдателя Калмана, либо методом желаемых логарифмических
характеристик. Эти методы позволяют придать следящей системе устойчивость и
требуемые показатели качества. Для проведения расчетов рекомендуется
использовать систему MATLAB, а для численного моделирования - программную
среду "Simulink” for Windows этой же системы.
Выполнение данной курсовой работы способствует углубленному
усвоению таких разделов курса "Теория автоматического управления” как
составление математических моделей элементов систем; преобразование моделей;
аналитический синтез устройств управления по требованиям к качеству системы;
реализация этих устройств, то есть разработка схемы устройства управления на
операционных усилителях или алгоритма работы вычислителя цифрового варианта
устройства управления.
Курсовая работа выполняется в соответствии с вариантом
задания, который определяется преподавателем.
Как известно, система управления называется следящей, если
перед ней ставится задача слежения за некоторой измеряемой величиной g (t) (например, углом
поворота задающей оси, как в данном случае), закон изменения которой заранее
неизвестен. В этом случае управляемая величина y (t) (угол поворота оси
нагрузки) должна с заданной точностью воспроизводить измеряемую величину или
некоторую функцию измеряемой величины.
Основным требованием, предъявляемым к подобным системам,
является минимум погрешности δ (t), определяемой как
разность между заранее неизвестным законом g (t) и управляемой величиной
y (t). Кроме того, следящие
системы чаще всего проектируются как замкнутые системы управления по
отклонению, т.е. такие системы, в которых управляющее воздействие формируется в
непосредственной зависимости от управляемой величины. В этих системах задающее
воздействие g
(t) однозначно определяет yэт (t), где yэт (t) - эталонное (требуемое)
значение управляемой величины, соответствующее заданию g (t).
В курсовой работе синтезировали замкнутую следящую систему
управления, отрабатывающую задающее воздействие с некоторой постоянной ошибкой ε (t), уменьшающейся в статическом (установившемся) режиме до
величины, близкой к нулю. Следящие системы применяются для управления
радиолокационными антеннами, радиотелескопами, артиллерийскими установками на
подвижных платформах, а также для регулирования синхронности и синфазности
вращения валов ведущего и ведомого двигателей в том случае, когда они
расположены на достаточно большом расстоянии друг от друга.
2.
Техническое задание
1) Исходные данные
Двигатель постоянного тока с независимым возбуждением
Pяном=175 Вт
Iяном=2 А
Uяном=110 В
nяном=3600 об/мин
Rякоря=4.1 Ом
Jдв=25 г см с2
Jн=0.19 кг м с2
Редуктор, передаточное число
iред=55
Усилитель
Тип - тиристорный
Tу=0.03 с
Измеритель рассогласования. Крутизна характеристики, 0.6
В/град
Тип - поворотные трансформаторы
) Определить значение коэффициента по формуле
Kу=15*№гр+№вар, (1)
где №гр - номер группы (1-4), №вар-номер
варианта в соответствии со списочным составом группы;
) Изучить функциональную схему разрабатываемой системы и
работу следящих систем (СС), аналогичных разрабатываемой.
) Вывести дифференциальные уравнения в переменных состояния,
уравнения "вход - выход" и передаточные функции всех заданных
элементов системы.
замкнутая следящая система усилитель
Составить структурную схему разрабатываемой СС и вывести для
заданной части системы (УМ+ИД+Ред) и (СЭ+ИП-1+ИП-2) уравнения в переменных
состояния и уравнения "вход-выход”. Здесь СЭ - сравнивающий элемент.
) Проверить управляемость, наблюдаемость исполнительной части
(УМ+ИД+Ред), пользуясь уравнениями канала Uy->φвых, а также устойчивость нескорректированной СС.
) Найти управление по ошибке и по выходу, пользуясь методикой
синтеза двумерного УУ по заданным показателям качества.
7) Проверить устойчивость замкнутой СС с разработанным управлением
или разработанным корректирующим звеном. Воспользовавшись для моделирования
пакетом "Simulink” for Windows в
системе MATLAB, получить переходные процессы при
ступенчатом 1 (t) и линейном изменении 0.15 t входного угла поворота φвх, при отсутствии и наличии момента сопротивления нагрузки Mсн= (0.05
0.1) *1 (t-1.5tp*).
) Разработать электрическую схему устройства управления на
операционных усилителях или же схему корректирующего звена заданного типа.
Вычертить схему всей системы на листе формата А3 в соответствии с требованиями
ГОСТ к оформлению технических разработок.
3. Описание
следящей системы
Проектируемая следящая система, функциональная схема которой
представлена на рис.1, включает следующие компоненты: сравнивающий элемент
(СЭ); измерительные преобразователи (ИП-1, ИП-2); устройство управления (УУ) с
двумя входами; усилитель напряжения и мощности (УМ); исполнительный двигатель
(ИД), редуктор (Ред).
Приводимый в движение с помощью рассматриваемой следящей
системы агрегат обозначен на схеме как "Нагрузка”. Совокупность элементов
УМ, ИД и Ред для краткости будем называть - исполнительным устройством (ИУ).
Рис. 1. Функциональная схема проектируемой системы
В качестве измерительного преобразователя ИП-1 могут
использоваться либо потенциометры, либо сельсины, либо поворотные
трансформаторы. Преобразователь угла поворота φвых выходного вала (ИП-2) во
всех вариантах берется потенциометрическим с коэффициентом передачи равным
заданному коэффициенту передачи измерителя рассогласования (СЭ+ ИП-1).
Потенциометрические датчики обычно питаются от источника
постоянного напряжения. Если измерительные преобразователи работают на
переменном токе, как например, сельсины или трансформаторы, то на их выходе
включается фазочувствительный усилитель-выпрямитель (ФЧУВ), который является в
этом случае частью ИП-1.
4. Модели
элементов следящей системы
Для начала переведем все исходные данные в систему единиц СИ,
имея виду, что
кг м с2 = 9.81 кгм2 ≈ 10 кгм2
г см с2 = 10-3*10-2*9.81 кг
м2 ≈ 10-4 кг м2
Jдв=25 г см с2=25*10-4 кг м2
Jн=0.19 кг м с2=1.9 кг м2
Момент вращения Mвр, развиваемый двигателем, рекомендуется
определять по формуле
Mвр=Pяном/ωяном; (2)
где ωяном=nякоряπ/30; (3)
ωяном =3600*3.14/30=376.8
об/мин
Значение момента инерции определяется как сумма
J= Jдв + Jн, пр, (4)
где Jн, пр - приведенный к оси двигателя момент инерции
нагрузки, кг м2.
J=25*10-4+0.000628=0.0025+0.000628=0.003128 кг м2
Jн, пр = Jн / i2ред; (5)
Jн, пр =1.9/552=0.000628
При рассмотрении момента инерции J влияние вращающихся масс
редуктора учитывать не надо, так как оно учтено в значении заданной величины Jдв.
4.1
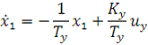
Измеритель рассогласования
Измеритель рассогласования, выполненный на вращающихся
трансформаторах следует считать безынерционным, так как его постоянная времени
на несколько порядков меньше постоянных времени остальных звеньев. Измеритель
рассогласования на поворотных трансформаторах, естественно, является
безынерционным устройством.
Uир (t) =Kир [φвх (t) - φвых (t)], (6)
при этом передаточная функция измерителя рассогласования
Wир (p) =Kир,
α=0.6=> Wир (p) = Kир=
=34.39
а его уравнение в переменных состояния совпадает с уравнением
"вход-выход”.
4.2
Преобразователь угла поворота
Преобразователь угла поворота вала нагрузки ИП-2 во всех
вариантах является потенциометрическим. Его коэффициент передачи Kпр берется равным Kир. Поэтому его уравнение
"вход-выход” и уравнение в переменных состояния одинаковы и имеют вид
Uпр (t) =Kпрφвых (t). (7)
4.3 Усилитель
напряжения и мощности
Этот усилитель имеет коэффициент усиления, вычисляемый по
формуле (1), и может состоять из предварительного усилителя напряжения,
являющегося безынерционным звеном и, собственно, усилителя мощности.
Wу (p) =
(8)
При этом уравнения усилителя в переменных состояния имеют вид
(9)
Тогда при Kу=585, Tу=0.03 с
Wу (p) =
4.4 Редуктор
Пренебрегая нелинейностями, связанными с люфтом и сухим
трением, можно считать редуктор линейным безынерционным звеном с передаточной
функцией
Wред (p) =Kред=1/iред, (10)
где iред - передаточное число редуктора, определяемое
вариантом задания.
При этом уравнение "вход-выход” редуктора,
устанавливающее связь между угловым перемещением вала нагрузки φвых (t) и углом поворота вала двигателя φя (t), определится как
φвых (t) =Kред φя (t), (11)
а его уравнение в переменных состояния совпадает с
приведенным уравнением "вход-выход”.
φвых (t) = 1/iред φя (t); φвых (t) = 1/55 φя (t) =0.018 φя (t)
Wред (p) =0.018
4.5 Двигатель
постоянного тока
При выводе уравнений двигателя следует считать, что
управление осуществляется по цепи якоря, магнитный поток в зазоре двигателя
постоянен, а реакция якоря и гистерезис магнитной цепи отсутствуют. В этом
случае исходные уравнения двигателя оказываются линейными и образуют следующую
систему уравнений:

(12)

(13)
Здесь Mсн (t) - приведенный
к валу двигателя момент сопротивления нагрузки.
Исключив из приведенных уравнений двигателя промежуточные
переменные iя (t), eя (t), Mя (t) при Lя=0, получаем дифференциальное уравнение двигателя в переменных
состояния x2=ωя, x3=φя;
При этом электромеханическая постоянная времени равна:
уравнения двигателя
а) вход 
выход 
:

(14)
б) вход 
выход 
:

(15)
передаточные функции: а) по управлению (напряжению на якоре):
б) по моменту сопротивления нагрузки:
5. Уравнения
заданной части следящей системы
5.1 Уравнения
в переменных состояния
Уравнения в переменных состояния выводятся только для
исполнительной части следящей системы, состоящей из УМ, ИД и Ред. С этой целью
в полученных выше уравнениях в переменных состояния усилителя (9) и двигателя
исключаем все промежуточные переменные, затем объединяем с уравнением (11)
редуктора и объединяем в систему.
Затем представляем уравнения в матричной форме

(16)
где x=
-трехмерный вектор столбец переменных состояния; u=Uу (t) - управление (напряжение на выходе управляющего устройства); f=Mсн (t) - возмущение-момент сопротивления нагрузки; y=φвых (t) - угол
поворота вала нагрузки, равный углу поворота выходного вала редуктора.
Здесь



5.2 Уравнения
"вход-выход”
Уравнения "вход-выход” составляются отдельно для
исполнительной и для измерительной части следящей системы. Они также выводятся
путем исключения промежуточных переменных из полученных выше уравнений
"вход-выход” элементов системы. Объединение уравнений элементов можно
проводить и с помощью передаточных функций элементов. Для исполнительной части
было получено уравнение "вход-выход” следующего вида:

(17)
где 
=КуКдuКред, kМ=КредКДМсн.
Обозначения y и 
здесь те же, что и в уравнениях (16).
Уравнения "вход-выход” (6) и (7) измерительной части, состоящей
из СЭ, ИП-1 и ИП-2, не меняются.
Уравнение "вход-выход" для СЭ выглядит следующим
образом:
Уравнение "вход-выход" (6) измерительной части состоящей
из ИР не меняется.
6. Анализ
свойств заданной части следящей системы
Для заданной части получены две передаточные функции:
по напряжению управления

(18)
по моменту сопротивления

(19)
6.1 Проверка
управляемости и наблюдаемости
Управляемость и наблюдаемость заданной части системы проводится
по уравнениям в переменных состояния (11). Для этой цели строим необходимые
матрицы управляемости и наблюдаемости. Затем делаем выводы о том, полностью ли
заданная часть управляема и наблюдаема или нет.
Строим матрицу управляемости:

Пользуясь критерием управляемости Калмана,
можно сделать вывод, что система является вполне управляемой.
Для проверки наблюдаемости по уравнениям в переменных
состояния необходимо построить матрицу наблюдаемости вида:



Согласно критерию наблюдаемости Калмана,
система является полностью наблюдаемой.
6.2 Проверка
устойчивости нескорректированной следящей системы
Проверка устойчивости нескорректированной замкнутой системы
обычно проводится для того, чтобы убедиться, нельзя ли построить требуемую
следящую систему лишь на основе заданных элементов.
Действительно, если выходной сигнал измерителя
рассогласования
подать на вход усилителя, то получится такая
замкнутая система:
Рис. 2 Структурная схема нескорректированной следящей системы
Фактически в этом случае сигнал управления, которым в
рассматриваемой следящей системе является напряжение на входе усилителя
, будет прямо пропорционален сигналу
рассогласования. Другими словами, в системе будет реализовано простейшее
пропорциональное управление по отклонению. Если такая система окажется
устойчивой и будет иметь приемлемые показатели качества (время регулирования,
перерегулирование, колебательность и ошибку), то, очевидно, не возникнет
необходимости в каком-либо ее усложнении.
Для определения устойчивости системы найдем передаточную функцию
замкнутой системы, с учетом того, что передаточная функция разомкнутой системы
определяется функцией:

(20)
соответственно, характеристический полином замкнутой системы:

Поскольку старшая степень полинома равна трем, то для проверки
устойчивости можно воспользоваться частным случаем алгебраического критерия
Гурвица - критерием Вышнеградского. Согласно последнему, система будет
устойчивой, если будет выполнено следующее условие
где
- коэффициенты характеристического полинома при переменной р в
соответствующих степенях, которые имеют следующие численные значения 
Подставим коэффициенты нашего характеристического полинома в
последнее выражение и проверим выполнение этого условия 0.236>8.28
Условие не выполняется, следовательно, система неустойчива. Для
устойчивости и получения благоприятных показателей качества системы требуется
синтезировать устройство управления.
7. Синтез
устройства управления
7.1 Синтез
управления по заданным показателям качества
В этом случае устройство управления (УУ) ищется таким, чтобы
замкнутая система обладала астатизмом порядка νg*=1 к задающему воздействию g. При этом время регулирования по задающему воздействию должно
быть не более t
, а перерегулирование не более σ*=5%. Предполагается, что на вход УУ поступают два сигнала:
задающее воздействие g и управляемая
переменная y. Относительная степень УУ равна μуу*=1.
Рассмотрим методику синтеза УУ по заданным показаниям качества,
при
=1, а заданная часть описывается
уравнением
(21)
где у - управляемая переменная системы;
- возмущение (для рассматриваемой следящей системы
, а
), причем 
,
Будем предполагать также, что полином В (р) является числом
или полиномом, удовлетворяющим условиям Гурвица, т.е. В (р) =
или 

.
Полагая характеристический полином замкнутой системы
(22) где
, (23)
- коэффициент полинома В (р) при p в старшей
степени т;
- гурвицевый полином, выбираемый по условиям качества
синтезируемой системы.
- полином, имеющий нули, равные тем нулям полинома А (р), модуль
реальной части которых является достаточно большим, т.е. эти нули располагаются
в области
, комплексной плоскости, допустимой для дайной системы.
(24)
(25)
В соответствии с рассматриваемым методом синтеза сначала ищется
уравнение "вход-выход" искомого УУ в виде
R (p) u = Q (p) g-L (p) y, (26)
где R (p), Q (p), L (p) - полиномы,
подлежащие определению в процессе синтеза. При этом по условиям физической
реализуемости должны выполняться неравенства

(27) или

где 


заданная относительная степень УУ.
Как видно, УУ имеет, в общем случае, не менее двух входов по
задающему воздействию g и по
управляемой переменной - у (выходу системы), поэтому оно и называется двумерным
устройством управления (ДУУ).
Относительной степенью
управляемой динамической системы называется минимальный порядок
производной по времени от выхода системы, которая явно зависит от управления. В
случае линейного ДУУ его относительная степень
Для обеспечения астатизма порядка vgпо задающему воздействию необходимо, чтобы
в разомкнутой цепи системы управления было vg интеграторов. Если
, причем v0<vg, то в ДУУ необходимо ввести
интеграторов. Подставляя заданные значения
получим
Таким образом, очевидно, что вводить в ДУУ
дополнительные интеграторы не нужно.
Для определения уравнения
"вход-выход" искомого УУ применяют следующие формулы
(28)
(29)
где
,
- неизвестные пока полиномы.
При этом характеристический полином D (p) замкнутой системы имеет вид
Так как в этом равенстве
, (30)
то сокращая общие множители
и
, подставляя
получим
или подставляя
,
=38.96 и выражение (24), получим
(31)
Степень
полинома
в (31), равна степени произведения
. Следовательно,
в системе уравнений, которой эквивалентно полиномиальное уравнение (31),
содержится Ny =
уравнений и
Nk=
+ 1 +
+1=
+
+2 неизвестных коэффициентов, т.е.
Ny =
+ 1=
+
, Nk=
.
Для решимости указанной системы необходимо, чтобы Nk=Nу. Отсюда, используя
приведенные выражения найдем
Для выбора коэффициентов полинома
(p) степени
пользуются стандартные передаточные функции. По заданному порядку
астатизма νg*=1 степени
и перерегулированию σ*=5% выбираются коэффициенты
и величина tрм.
Далее вычисляются временной масштабный коэффициент
ω0=tрм/t* (32)
а затем желаемые коэффициенты полинома
(p) по формуле
(33)
Подставляя выбранные коэффициенты, получим
После этого записывается соответствующая система уравнению (31)
система следующего вида:
(35)
Матрица этой системы имеет
+1=2 столбцов, составленных из коэффициента
, и
+1 =3 столбцов, составленных из коэффициентов полинома
Получим систему
Подставив численные значения, получим
Далее построим систему, по которой найдем элементы второй матрицы
(36)
Решая систему уравнений (36) относительно
и
, получим численные значения коэффициентов полиномов
и
Решение системы (33) позволяет записать полиномы:
(37)
(38)
Затем записываем полиномы R (p) и L (p) по приведенным выше выражениям (28),
(29).
Полином Q (p) определяется по формуле
(39)
Подставив известные значения в выражение (25) получим
Проверим условие физической реализуемости по (27) 2-1≥1, 2-1≥1,
условие выполняется.
Таким образом, найдены все полиномы ДУУ и можно записать его
уравнение по формуле (26).
В синтезируемой следящей системе измеряемыми являются отклонение ε=g-y (40) и
управляемая переменная y=φвых (t), а управлением - напряжение на входе усилителя мощности u=Uу (t).
Поэтому, заменяя в формуле (26) g по формуле (40) и приводя подобные слагаемые, получим следующее
уравнение
R (p) Uу=Q (p) ε- (L (p) - Q (p)) φвых. (41)
Подставим ранее найденные полиномы R (p), Q (p), L (p) в (41)
(
)
Uу= (3.76p+125.37) ε- ( (
) - (
)) φвых,
Приведем подобные слагаемые и в результате получим
(
) Uу= (3.76p+125.37) ε- (0.573p2+19.11p) φвых
Наконец, заменяя в уравнении (41) ε и φвых из выражений Uир=Kирε и Uпр=Kпр φвых, получим уравнение физически реализуемого
ДУУ
(42)
Подставив найденные значения полиномов, получим
Упростив выражение, получим:

Рис. 3. Структурная схема следящей системы
На этом рисунке символом ИУ обозначены исполнительные элементы
следящей системы: усилитель, двигатель и редуктор, а символом РДДУ - реализуемое
двумерное устройство управления.
8. زهُيè÷هٌêàے ًٌٍَêًٍَà ٌëهنےùهé ٌèٌٍهىû
8.1 ذàçًàلîٍêà ٌُهىû َïًàâëےùهمî ًٌٍَîéٌٍâà
يà îïهًàِèîييûُ ٌَèëèٍهëےُ èëè ٌُهىû êîًًهêٍèًَùهمî çâهيà
بٌٌëهنîâàيèه
ٌèيٍهçèًîâàييîé ٌëهنےùهé ٌèٌٍهىû âûïîëيےهى ïٍَهى ىîنهëèًîâàيèے â
ًٌهنه SIMULINK ïًîمًàىىيîمî ïàêهٍà MATLAB. انهٌü ىîنهëèًَهٌٍے âٌے ٌèٌٍهىà. رُهىَ
يàلîًà ٌîٌٍàâëےهى ïî ًٌٍَêًٍَيîé ٌُهىه ٌèٌٍهىû ٌ èٌïîëüçîâàيèهى
ïهًهنàٍî÷يûُ ôَيêِèé êàê ëهىهيٍîâ çàنàييéî ÷àٌٍè
(21), (22), ٍàê è ٌèيٍهçèًîâàييîمî
ًٌٍَîéٌٍâà
َïًàâëهيèے. ر ïîىîùü ىîنهëè يàُîنèى
مًàôèêè
ًهàêِèè
ٌèٌٍهىû يà çàنàùهه ٌٍَïهي÷àٍîه âîçنهéٌٍâèه (Step) è ëèيهéيî âîçًàٌٍàùهه âîçنهéٌٍâèه (Ramp) لهç يàمًَçêè è
ٌ يàمًَçêîé
(âٌهمî 4
ًèٌَيêà). دًè ٍîى ىîىهيٍ
ٌîïًîٍèâëهيèے
يàمًَçêè ïîنàهٌٍے
يà
ٌèٌٍهىَ ٌ çàنهًوêîé (time delay) â 1.5 tً, ٍ.ه. ïًè φâُ (t) ىîىهيٍ ٌîïًîٍèâëهيèے
يàمًَçêè Mٌي (t) =0.15*1 (t-1.5tً). دî ïîëَ÷هييûى مًàôèêàى نهëàهى âûâîنû îل
ٌٍَîé÷èâîٌٍè
è êà÷هٌٍâه ٌèيٍهçèًîâàييîé ٌèٌٍهىû.
ذèٌ. 4. رُهىà ىîنهëè
ٌëهنےùهé ٌèٌٍهىû
ہيàëèç ٌèٌٍهىû لهç
َ÷هٍà ىîىهيٍà يàمًَçêè
ذèٌ. 5. ذهàêِèے ٌèٌٍهىû يà
ٌêà÷îê
(1 ًàنèàي) Step
دهًهًهمَëèًîâàيèه ≤5% è âًهىے ًهمَëèًîâàيèے 1.65 ٌ
ذèٌ. 6. ذهàêِèے ٌèٌٍهىû يà ëèيهéيîه âîçنهéٌٍâèه Ramp
ہيàëèç ٌèٌٍهىû ٌ َ÷