Тепловая защита зданий
МИНИСТЕРСТВО
ОБРАЗОВАНИЯ И НАУКИ РФ
Сыктывкарский
лесной институт - филиал государственного образовательного учреждения высшего
профессионального образования
«Санкт-Петербургская
государственная лесотехническая академия имени С.М. Кирова» (СЛИ)
Кафедра
«Дорожного, промышленного и гражданского строительства»
Расчетно-графическая
работа
по
дисциплине: Теплогазоснабжение с ОТТ
Сыктывкар
2015
Содержание
Теплотехнический
расчет наружной стены
Теплотехнический
расчет перекрытия над подвалом
Теплотехнический
расчет бесчердачного перекрытия
СПИСОК ИСПОЛЬЗОВАННЫХ ИСТОЧНИКОВ
Теплотехнический
расчет наружной стены
Исходные данные:
Место строительства - г. Брянск.
Зона влажности - нормальная.
Влажностный режим помещения - нормальный.
Температура воздуха наиболее холодной
пятидневки, обеспеченностью 0,92 tн5 = -26 °C.
Расчетная температура внутреннего воздуха tв= 20 °C.
Относительная влажность jв= 55% .
Условия эксплуатации наружного ограждения -
Б.
Температура отопительного периода (со
среднесуточной температурой t≤ 8˚C) tо.п =
-2,3 °С. Продолжительность отопительного периода Zо.п = 205.
Конструкция наружной стены:
Наружные стены 5-ислойные. 1 - бетонная
плита, теплопроводность l1, =
1,51 Вт/°С, толщина внутреннего и наружного слоя 200 мм. 2 - утепляющий слой,
теплопроводность l2 =
0,041 Вт/°С. 3 - бетонная плита, теплопроводность l3 = 1,69 Вт/°С, толщина слоя 600 мм.
Значение коэффициента n для наружных стен n = 1
(таб. 6 СНиП 23-02-2003).
Коэффициент теплоотдачи внутренней
поверхности стены aв = 8,7
Вт/(м2.°С) (таб. 7 СНиП 23-02-2003).
Коэффициент теплоотдачи наружной поверхности
стены aн = 23 Вт/(м2.°С).
Нормируемый температурный перепад между
температурой внутреннего воздуха tв и температурой
внутренней поверхности ограждающей конструкции, для жилых помещений Dtн = 4 (таб.5 СНиП
23-02-2003).
Решение:
1. Сопротивление теплопередаче R0 должно быть не менее требуемого сопротивления
теплопередаче по санитарно-гигиеническим условиям R0тр.
Требуемые минимальные значения сопротивления
теплопередаче из условий энергосбережения определяются из таблицы 4 СНиП
23-02-2003 по величине градусо-суток отопительного периода (ГСОП).
ГСОП = (tв-t о.п)Zо.п = (20-(-2,3)) .205 = 4571,5
°С
. сут
Требуемое сопротивление теплопередаче определяем
интерполяцией по таблице 4 СНиП 23-02-2003.
Значения Rтр для величин Dd, отличающихся от
табличных, следует определять по формуле:
Rтр = aDd + b,
где Dd - градусо-сутки отопительного периода, °С·сут,
для конкретного пункта;
a, b - коэффициенты, значения
которых следует принимать по данным таблицы для соответствующих групп зданий
(для стен a =
0,00035, b =
1,4)
Выбираем максимальное
.
2. Определяем необходимую толщину утепляющего
слоя из условия R0> R0тр
Определим необходимую толщину утепляющего слоя:
По конструктивным требованиям принимаем
минимальную толщину утепляющего слоя dут = 0,1 м (100мм). Общее сопротивление
теплопередаче ограждающей конструкции:
Условие R0 = 3,012 м2·°С/Вт > R0тр = 3,0м2·°С/Вт выполнено,
следовательно конструкция соответствует требованиям а) п.5.1 СНиП 23-02-2003.
3. Проверка выполнения санитарно-гигиенических
требований тепловой защиты здания.
Определяем температуру внутренней поверхности
стены по формуле:
Разница температур внутреннего воздуха и
внутренней поверхности стены:
Перепад температур меньше нормируемого.
Теплотехнический
расчет перекрытия над подвалом
Исходные данные:
Температура воздуха наиболее холодной
пятидневки, обеспеченностью 0,92 tн5 = -26 °C.
Расчетная температура внутреннего воздуха tв= 20 °C.
Температура отопительного периода (со
среднесуточной температурой t≤ 8˚C) tо.п =
-2,3 °С
Продолжительность отопительного периода
(сут.) Zо.п = 205.
Значение коэффициента n для подвальных перекрытий n = 0,6
(таб. 6 СНиП 23-02-2003).
Коэффициент теплоотдачи внутренней
поверхности перекрытия aв = 8,7
Вт/(м2.°С) (таб. 7 СНиП 23-02-2003).
Коэффициент теплоотдачи наружной поверхности
перекрытия aн = 17 Вт/(м2.°С).
Нормируемый температурный перепад между
температурой внутреннего воздуха tв и температурой
внутренней поверхности ограждающей конструкции, для жилых помещений Dtн = 2 (таб.5 СНиП
23-02-2003).
Состав конструкции подвального перекрытия:
1 - линолеум, теплопроводность l1= 0,35 Вт/°С, толщина слоя 3 мм. 2 - стяжка,
теплопроводность l2= 0,58
Вт/°С, толщина слоя 20 мм. 3 - пароизоляционный слой, теплопроводность l3= 0,185 Вт/°С, толщина слоя 3 мм. 4 - теплоизоляционный
слой, теплопроводность l4= 0,041
Вт/°С. 5 - плита перекрытия, теплопроводность l5= 1,69
Вт/°С, толщина слоя 220 мм
1. Находим термическое
сопротивление многопустотной ж/б панели.
Для упрощения круглые отверстия - пустоты
панели диаметром 150 мм заменяем равновеликими по площади квадратными со
стороной 130 мм.
Термическое сопротивление в направлении,
параллельном движению теплового потока, вычисляем в двух характерных сечениях I-I и II-II.
Сечение I-I:
два слоя бетона δ = 30 мм, l= 1,69 Вт/м°с и воздушная прослойка δ = 130 мм.
Термическое сопротивление воздушной
прослойки Rв.п. = 0,21 (табл. 1.6 [5])
Сечение II-II:
глухая часть панели - слой бетона δ = 150 мм l= 1,69 Вт/м°с.
Термическое сопротивление неоднородной
ограждающей конструкции в параллельной плоскости:
Термическое сопротивление в направлении,
перпендикулярном движению теплового потока, вычисляем в трех характерных слоях
1,2,3.
Для слоев 1 и 3 бетон δ = 30мм l= 1,69 Вт/м°с
Для слоя 2 найдем средний коэффициент
теплопроводности, т.к. конструкция этого слоя состоит из воздушной прослойки δ = 90мм и ж/б толщиной δ = 30мм.
Суммарное термическое сопротивление всех
трех слоев панели:
Можно принять полученные сопротивления, и
полное термическое сопротивление ж/б панели:
2.Найдем требуемое сопротивление
теплопередаче по санитарно-гигиеническим условиям R0тр.
3. Определяем необходимую
толщину утепляющего слоя.
Теплотехнический расчет ведется из условия
равенства общего термического сопротивления Rо
требуемому, т.е Rо= 1,69 .
Термическое сопротивление ограждающей
конструкции может быть представлено как сумма термических сопротивлений
отдельных слоев, т.е.

Принимаем толщину утепляющего
слоя пенополиуретана равной 50 мм.
Общее сопротивление теплопередаче
ограждающей конструкции:
Условие R0 = 2,3
м2·°С/Вт > R0тр = 1,69 м2·°С/Вт
выполнено, следовательно конструкция соответствует требованиям а) п.5.1 СНиП
23-02-2003.
4. Проверка выполнения
санитарно-гигиенических требований тепловой защиты здания.
Определяем температуру внутренней
поверхности стены по формуле:
Разница температур внутреннего воздуха и
внутренней поверхности стены:

Перепад температур меньше
нормируемого (таб.5 СНиП 23-02-2003) Конструкция соответствует требованиям б)
п.5.1 СНиП 23-02-2003
ТЕПЛОТЕХНИЧЕСКИЙ РАСЧЕТ БЕСЧЕРДАЧНОГО
ПЕРЕКРЫТИЯ
теплотехнический перекрытие
стена
Исходные данные:
Температура воздуха наиболее холодной
пятидневки, обеспеченностью 0,92 tн5 = -26 °C.
Расчетная температура внутреннего воздуха tв= 20 °C.
Температура отопительного периода (со
среднесуточной температурой t≤ 8˚C) tо.п =
-2,3°С
Продолжительность отопительного периода
(сут.)Zо.п = 205.
Значение коэффициента n для подвальных перекрытий n = 1
(таб. 6 СНиП 23-02-2003).
Коэффициент теплоотдачи внутренней
поверхности потолка aв = 8,7
Вт/(м2.°С) (таб. 7 СНиП 23-02-2003).
Коэффициент теплоотдачи наружной поверхности
чердачного перекрытия aн = 12
Вт/(м2.°С).
Нормируемый температурный перепад между
температурой внутреннего воздуха tв и температурой
внутренней поверхности ограждающей конструкции, для жилых помещений Dtн = 3 (таб.5 СНиП
23-02-2003).
Состав конструкции бесчердачного перекрытия
:
- водоизоляционный ковер, теплопроводность l1= 0,27 Вт/°С, толщина слоя 4,5 мм, 2 - асфальтовая
стяжка, теплопроводность l2= 1,05
Вт/°С,м, толщина слоя 10 мм, 3 - утеплитель , теплопроводность l3= 0,041 Вт/°С, 4- плита перекрытия, теплопроводность l6= 1,69 Вт/°С, толщина слоя 90 мм
1.Найдем требуемое сопротивление
теплопередаче по санитарно-гигиеническим условиям R0тр.
3. Определяем необходимую
толщину утепляющего слоя.
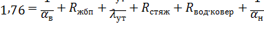
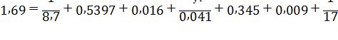
Теплотехнический расчет ведется из условия
равенства общего термического сопротивления Rо
требуемому, т.е Rо= 1,76 .
Термическое сопротивление ограждающей
конструкции может быть представлено как сумма термических сопротивлений
отдельных слоев, т.е.


Принимаем толщину утепляющего
слоя минераловатных плит равной 50мм.
Общее сопротивление теплопередаче
ограждающей конструкции:
Условие R0 = 1,98
м2·°С/Вт > R0тр = 1,76 м2·°С/Вт
выполнено, следовательно конструкция соответствует требованиям а) п.5.1 СНиП
23-02-2003.
Определяем температуру внутренней
поверхности стены по формуле:
Разница температур внутреннего воздуха и
внутренней поверхности стены:
Перепад температур меньше
нормируемого (таб.5 СНиП 23-02-2003) Конструкция соответствует требованиям б)
п.5.1 СНиП 23-02-2003
СПИСОК ИСПОЛЬЗОВАННЫХ ИСТОЧНИКОВ
1. СНиП 23-02-2003.
Тепловая защита зданий.
. СНиП 23-01-99.
Строительная климатология.
. СП 23-101-2004.
Проектирование тепловой защиты зданий.
. Худяков А.Д.
Теплозащита зданий в северных условиях: Учебное пособие для вузов. - М:
Издательство АСВ, 2001- 107с., с илл.
. Справочник по
теплоснабжению и вентиляции (издание 4-е). Книга 1-я. Р.В. Щекин, С.М.
Кореневский - Киев, 1976 - 416с.