Проектирование системы отопления жилого здания
Содержание
1. Общая
часть
2.
Определение тепловой мощности системы отопления
2.1
Определение нормируемого значения сопротивления теплоотдачи стен
2.2
Определение нормируемого значения сопротивления теплоотдачи совмещенного
покрытия
2.3 Определение
нормируемого значения сопротивления теплоотдачи надподвального перекрытия
3.
Определение тепловой мощности отопления
3.1
Определение тепловой мощности системы отопления
3.2
Определение основных и добавочных потерь тепла
3.3
Определение потерь тепла по укрупненным измерителям
4. Система
отопления
3.1 Принятая
проектом схема отопления и ее описание
3.2
Гидравлический расчет трубопровода
4.3 Расчет
нагревательных приборов
4.4 Расчет и
подбор водоструйного элеватора
5.
Вентиляция
5.1 Система
и схема вентиляции
5.2
Аэродинамический расчет системы вентиляции
Список
используемой литературы
Описание
здания:
18-квартирный
3-этажный 2-секционный жилой дом (для посемейного заселения и постоянного
проживания) с наружными стенами из красного керамического кирпича марки М100
толщиной 0.65м. Высота этажа 3 м. Класс сооружения, т.е. совокупность
требований, касающихся степени долговечности, огнестойкости и других
эксплуатационных качеств, - II; степень огнестойкости - II (несгораемое
здание); степень долговечности - вторая (срок службы 50-100 лет). В здании
имеется не отапливаемый со световыми проемами в стенах подвал с чистой высотой
2.2м. Кровля здания плоская с совмещенным покрытием с вентилируемой воздушной
прослойкой. Ориентация главного фасада по сторонам света юго-западная.
Географическая
и климатическая характеристика района строительства:
Проектируемое
здание предназначено для строительства в городе Архангельск, который находится
в II умеренном климатическом районе.
Климатические
характеристики города:
Температура
воздуха наиболее холодной пятидневки (tН5) обеспеченностью 0,92: минус 31°С.
Средняя
температура наиболее холодных суток (tН1) обеспеченностью
0,92: минус 37°С.
Средняя
скорость ветра в январе: 3,7 м/с.
Расчетное
барометрическое давление (РБАР): 1010 гПа.
Преобладающее
направление ветра за декабрь-февраль: ЮВ
Максимальная
из средних скоростей ветра по румбам за январь: 5,9
Средняя
скорость ветра, м/с, за период со средней суточной температурой воздуха £
8 °С: 3,7
Преобладающее
направление ветра за июнь-август: СЗ
Минимальная
из средних скоростей ветра по румбам за июль, м/с: 4
Технические
условия для проектирования:
Ввод
наружной тепловой сети осуществляется со стороны дворового фасада. Параметры
теплоносителя на вводе в здание: 140-70°С. Располагаемый напор на вводе в
здание (РЭ ЗАД): 50 кПа.
Перечень
нормативных документов по которым велось проектирование:
СНиП
23-01-99* Строительная климатология.
СНиП
41-01-2003 Отопление, вентиляция и кондиционирование.
СНиП
31-01-2003 Здания жилые и многоквартирные.
СНиП
23-02-2003 Тепловая защита зданий.
СНиП
3.05.01-85* Внутренние санитарно-технические системы.
ГОСТ
30494-96 Здания жилые и общественные. Параметры микроклимата помещения.
ГОСТ
21.205-93 СПДС. Условные обозначения элементов санитарно-технических систем.
Ограждающие
конструкции здания представлены наружными стенами, перекрытием над верхним
этажом и надподвальным перекрытием.
Наружные
стены выполнены из красного керамического кирпича марки М100, толщина стен
составляет 0.65м, термическое сопротивление (R0) равно
0.9770
.
Перекрытие
над верхним этажом совмещено с покрытием здания, в нем присутствует
вентилируемая воздушная прослойка. Толщина перекрытия (
) составляет 0.34м, термическое
сопротивление (R0) равно
1.3189
.
Перекрытие
над не отапливаемым со световыми проемами в стенах подвалом имеет толщину (
) 0.383м, с термическим
сопротивлением (R0) равно
1.7686
.
Рисунок
1 Конструкция наружных стен
Определение
градусо-суток отопительного периода
;
tint-расчетная средняя
температура внутреннего воздуха здания определяемая по ГОСТ 30494 (таб.№1)
tht-средняя
температура наружного воздуха (по СНиП 23-01)
zht-продолжительность
отопительного периода в сутках по СНиП 23-01ительная климатология"
(таб.№1)
Для
Архангельска tint=20 tht=-4,4; zht=253
;
По
СНиП 23-02 таб №4 примечание: если значение отличается от табличных используем
формулу
;
Для
живого здания таб №4 значения а=0,00035; в=1,4
;
Стена
из красного кирпича толщиной 650мм с
=0,67
и
утеплителя из минеральной тяжелой ваты толщиной 151мм с
=0,06
;
Условие
выполняется конструкция стены пригодна для использования в г. Архангельск.
Рисунок
2. Конструкция совмещенного покрытия
Определение
градусо-суток отопительного периода
;
Для
Архангельска tint=20 tht=-4,4; zht=253
;
По
СНиП 23-02 таб №4 примечание: если значение отличается от табличных используем
формулу
;
Для
живого здания таб №4 значения а=0,0005; в=2,2
;
Совмещенное
покрытие состоит из: бикроста в 2 слоя толщиной 8мм и утеплителя из тяжелых
минераловатных плит толщиной 230мм с
=0,06
Цементно-песчаной
стяжки толщиной 20мм с
=0,76
;
Железобетонной
плиты толщиной 0,34 мм с
=1,319
;
;
Условие
выполняется конструкция перекрытия пригодна для использования в г. Архангельск.
Рисунок
3. Конструкция надподвального перекрытия
Определение
градусо-суток отопительного периода
;
Для
Архангельска tint=20 tht=-4,4; zht=253
;
По
СНиП 23-02 таб №4 примечание: если значение отличается от табличных используем
формулу
;
Для
живого здания таб №4 значения а=0,00045; в=1,9

;
Совмещенное
покрытие состоит из:
Бикроста
в 2 слоя толщиной 8мм
Утеплителя
из тяжелых минераловатных плит толщиной 170мм с
=0,06
Цементно-песчаной
стяжки толщиной 20мм с
=0,76
;
Железобетонной
плиты толщиной 0,383 мм с
=1,769
;
;
Условие
выполняется конструкция надподвального перекрытия пригодна для использования в
г. Архангельск.
Проектируемое
здание предназначено для строительства в городе Архангельск.
Стены:
материал
стен: кирпич красный; утеплитель из минеральной тяжелой ваты толщиной 151мм с
=0,06
толщина
стен: dнс =820 мм;
термическое
сопротивление Rо=3,65м2·°С/Вт;
Перекрытие
над верхним этажом:
совмещенное
покрытие с вентилируемой воздушной прослойкой (n=0,9);
толщина:
dпт=590 мм;
термическое
сопротивление Rо=5,34 м2·°С/Вт;
Перекрытие
над подвалом:
подвал
неотапливаемый со световыми проемами в стенах, расположенный ниже уровня земли
(n=0,75);
толщина:
dпт=581 мм;
термическое
сопротивление Rо=4,787 м2·°С/Вт;
Вид заполнения
световых проемов:
тройное
остекление в деревянных переплетах (спаренный и одинарный).
Rо=0,42м2·°С/Вт;
Требуемая
тепловая мощность системы отопления определяется расчетом тепловых потерь через
ограждающие конструкции помещений. Суммарные тепловые потери всеми помещениями
представляют собой теплопотери здания.
Потери
тепла через ограждающую конструкцию определяются по выражению:
QОГР
= К·F· (tВ - tН5) ·n (1+Sb);
Где К
- коэффициент теплопередачи через соответствующее ограждение, Вт/м2 °С.
Коэффициент теплопередачи связан с термическим сопротивлением теплопередаче R0
соотношением:
К =
;
для
несущих стен:
;
для
окон:
;
для
пола:
;
для
потолка:
;
F -
площадь ограждения, м2.
tВ
- расчетная температура воздуха внутри помещения.
tН5
- расчетная температура наружного воздуха для расчета систем отопления, равная
средней температуре наиболее холодной пятидневки.
Sb - коэффициент учета добавочных потерь.
n -
коэффициент учета положения ограждающей конструкции по отношению к наружному
воздуху.
Добавочные
потери учитываются согласно СНиП 2.04.05-86 в долях от основных потерь тепла.
Для
расчета теплопотерь данного здания необходимо учесть следующие добавочные
потери:
На
ориентацию вертикальных наружных ограждений в размере:
10%
(0,1) - при ориентации на С, В;
5%
(0,05) - на З;
0% -
на Ю.
На
открывание входных наружных дверей, не оборудованных тепловыми завесами. В
зависимости от высоты отапливаемой части здания Н (м) для двойных дверей с тамбуром
добавочные потери равны:
0,34Н
= 0,34·9,38=3,189;
На
инфильтрацию через наружные окна и балконные двери. Для трехэтажных зданий
добавки на инфильтрацию принимаются: для 1-го этажа - 1%, для 2-го - 5%, для
3-го - 0%;
На
скорость ветра (среднюю за январь). Т.к. скорость ветра 3,7 м/с, то добавочные
потери на стены, окна и двери принимаются в размере 5%.
На
угловые помещения в размере 5% при ориентации на С, В и 1% при ориентации в
других случаях.
Расчетная
тепловая нагрузка помещения представляет собой сумму потерь через все
ограждения помещения. Потери уменьшаются на величину бытовых теплопоступлений:
QР
=S QОГР - QБ = QП - QБ;
Вт;
Бытовые
тепловыделения определяются:
QБ.=17·FП;
Вт;
где FП
- площадь пола помещения, м2.
Добавочные
потери учитываются согласно СНиП 2.04.05-86 в долях от основных потерь тепла.
При
расчете проектируемого здания учитывались следующие добавочные потери:
на
ориентацию вертикальных наружных ограждений в размере:
10%
(0,1) - при ориентации на С, В, СВ, СЗ;
5%
(0,05) - на ЮВ, З;
на
открывание входных наружных дверей, не оборудованных тепловыми завесами, в
зависимости от высоты отапливаемой части здания Н (м)
двойные
без тамбура-0,34Н;
на
инфильтрацию через наружные окна и балконные двери для трехэтажных зданий: 1-й
этаж 1%,2-й этаж 5%, 3-й этаж 0%;
на
скорость ветра (среднюю за январь). На стены, окна, двери в размере:
5%
если средняя скорость ветра за январь до 5м/с
10%
если средняя скорость ветра за январь 5-10м/с
15%
если средняя скорость ветра за январь более 10м/с
Принимаем
5% т.к. средняя скорость ветра за январь 3,7м/с
на
угловые помещения в размере
5% от
основных потерь через наружные стены и окна при ориентации С, В, СВ, СЗ;
1% -в
других случаях.
Добавочные
потери на ориентацию заносятся в графу 9, другие добавочные потери - в графу 10
в таблице №2 приложения.
Определение
тепловой мощности системы отопления приводится в таблице №2 приложения.
Метод
определения потерь тепла по укрупненным измерителям позволяет произвести
приближенную оценку потерь тепла зданием с целью проверки правильности
выполненного расчета потерь тепла через ограждающие конструкции.
Ориентировочно
значение тепловых потерь здания определяется по выражению:
Qу
= q0·VН· (tСР - tН5), Вт;
где q0
- удельная тепловая характеристика здания, Вт /м3·°С;
q0=0,1528
Вт /м3·°С;
VН
- строительный объем отапливаемой части здания по наружному обмеру, м3.
VН=3903,08
м3
tСР
- средняя температура воздуха в отапливаемых помещениях, °С.
(принимается равной внутренней температуре tВ большинства
помещений);
Qу
= q0·VН· (tСР - tН5) =
0,177·3903,08·51=35233,1 Вт;
Удельная
тепловая характеристика здания представляет собой теплопотери 1м3
здания при перепаде температур внутреннего и наружного воздуха в 1°С
(Вт/м3·°С).
Удельная
тепловая характеристика здания любого назначения может быть определена по
формуле:
где Р
- наружный периметр здания, м;
P=88,98
м
S -
площадь здания по наружному обмеру, м2;
S=413,75м2
Н -
высота отапливаемой части здания, м;
Н=9,383м.
КОК,
КНС, КПЛ, КПТ - коэффициенты теплопередачи
соответственно окон, стен, перекрытий над подвалом и потолком, Вт /м2·°С.
r0 - коэффициент остекления (отношение суммарной площади окон
и балконных дверей к суммарной площади вертикальных наружных ограждений;
r0=0,21
nПЛ,
nПТ - коэффициенты в формуле
Проверка:
Расхождения
находятся в пределах нормы.
Определение
тепловой мощности отопления приведено в таблице 1
Т.к. в
здании нет чердака, то проектируется схема отопления двухтрубная, тупиковая с
искусственной циркуляцией и с нижней разводкой подающих и обратных магистралей,
присоединенная через индивидуальный тепловой пункт к наружной водяной
теплосети. Используются стальные водогазопроводные трубы (ГОСТ 3262-75*)
диаметрами 20 и 25 мм. Стояки труб расставляются в углах и простенках наружных
стен; лестничные клетки оборудуются отдельными стояками. Стояки располагаются
открыто. Для опорожнения системы все магистрали прокладываются с уклоном 0,002
в сторону теплового пункта. Все трубопроводы в подвале теплоизолируются.
Отопительные
приборы - чугунные секционные радиаторы типа МС-90-108, площадь их
нагревательной поверхности fc =0,187 м3, номинальный тепловой поток
qНОМ = 802·0,89 = 713,78 Вт/м2 для двухтрубных систем при
движении воды "снизу-вниз" и qНОМ = 802·0,79 = 633,58 Вт/м2
при движении воды "снизу-вверх".
Радиаторы в квартирах устанавливаются под световыми
проемами и у наружных стен на высоте 70 мм от пола. В подъезде радиаторы
устанавливаются на лестничной клетке первого этажа.
Арматура
для регулирования и отключения ставится на подающих и обратных ответвлениях циркуляционных
колец для возможности аварийного выключения каждого циркуляционного кольца. Для
регулирования работы отопительных приборов на подводках устанавливаются краны
двойного регулирования КРД. Также на обратных стояках устанавливаются вентили
для гашения избыточного давления.
Располагаемое
циркуляционное давление для главного кольца определяется по формуле:
РГЛ.
К = РИ + Б (РЕ + DРЕ. ТР), Па
где РИ
- искусственное давление, создаваемое насосом или элеватором;
РЕ
- естественное циркуляционное давление в расчетном кольце, обусловленное
разностью давлений горячей воды в подающем стояке и охлажденной воды в обратном
стояке;
Б -
коэффициент снижения естественного давления при температуре наружного воздуха
выше расчетной температуры наиболее холодной пятидневки tН5. Для
двухтрубных систем Б =0,4;
DРЕ. ТР -
дополнительное естественное давление, возникающее за счет охлаждения воды в трубопроводах.
При нижней разводке оно не учитывается.
При
непосредственном присоединении системы отопления к наружным теплосетям величина
искусственного давления рассчитывается в зависимости от давления РЭ.ЗАД перед
элеватором по формуле:
Па
где q
- коэффициент смешения (эжекции) элеватора, представляющий собой отношение
массы воды подмешиваемой из обратного трубопровода, к массе воды, подаваемой из
тепловой сети в сопло элеватора GC, кг/час:
где TГ
- температура воды в подающей магистрали наружной теплосети, 0С;
tГ,
tО - температура воды в подающей и обратной магистрали системы
отопления здания, 0С
GСМ
- количество воды (кг/час) циркулирующие в системе отопления.
Естественное
давление рассчитывается по формуле:
РЕ
= h·g· (rО - rГ), Па
где h
- расстояние от оси элеватора до середины расчетного прибора, м;
rО, rГ - плотность воды в
обратном и подающем трубопроводе, кг/м3;
Средние
удельные линейные потери давления для рассматриваемого циркуляционного кольца:
Па/м
где S LГЛ.
К - сумма длин всех участков циркуляционного кольца, м. Для
проектируемого здания S LГЛ. К = 74,42 м.
Па/м
Определяются
расчетные расходы теплоносителя на каждом участке по формуле:
кг / час
где QУЧ
- тепловая нагрузка расчетного участка, Вт;
С -
теплоемкость воды (С = 4, 19, кДж/кг град);
(tГ
- tО) - разность температур теплоносителя в подающем и обратном
трубопроводе системы отопления, 0С;
b1 - поправочный коэффициент,
учитывающий дополнительную (сверх расчетной) теплопередачу приборов при подборе
стандартных типов их. Для радиаторов и конвекторов b1
составляет 1,06;
b2 - поправочный коэффициент,
учитывающий дополнительные теплопотери приборов при их установке у наружных
стен. Для радиаторов и конвекторов b2 =1,02.
Линейные
потери давления на участке) графа 8) определяются по формуле:
hL = R·L; Па
где
R -
удельные потери напора на участке, Па/м
L - длина участка, м
Общие
потери давления на участке (графа 11) состоят из линейных и местных потерь и
определяются:
PУЧ = R L + Z; Па
R -
удельные потери напора на трении, Па;
L -
длина участка;
Z -
потери напора на местные сопротивления.
Определяются
общие потери давления в кольце (графа 12), как сумма потерь по всем расчетным
участкам циркуляционного кольца.
РГЛ. К.
= S (R L + Z), Па
Значения
РГЛ. К. и
РГЛ. К. = (0,9…0,95) РГЛ. К.
т.е.
запас располагаемого давления должен составлять 5 - 10%.
т.к.
запас находится в пределах 5 - 10% расчет кольца закончен.
После
расчета главного циркуляционного кольца в той же таблице производится расчет
колец через приборы вышележащих этажей того же стояка.
Располагаемое
циркуляционное давление через прибор 2-го этажа больше давления РГЛ. К. в
главном кольце на величину:
где
- потери давления в подводках приборов
нижележащего (первого) этажа;
h2 - превышение оси прибора 2-го этажа над осью прибора 1-го
этажа;
Расчету
подлежат только участки, не входящие в главное кольцо.
Аналогично
определяется добавочная величина циркуляционного давления через прибор 3-го
этажа:
где
- потери давления в подводках приборов
нижележащего (второго) этажа;
h2 - превышение оси прибора 3-го этажа над осью прибора 2-го
этажа;
Далее
производится расчет малого циркуляционного кольца через ближайший к узлу
управления стояк в той же ветви через прибор 1-го этажа. Расчет выполняется
только для участков стояка, так как остальные участки малого кольца рассчитаны
в главном кольце.
Располагаемое
давление в малом стояке представляет собой разность давлений между точками
подключения стояка к подающей и обратной ветвям главного кольца:
где
- суммарные потери участков, общих с
главным кольцом.
Гидравлический
расчет приведен в таблице 2.
Для
поддержания в помещении расчетной температуры необходимо, чтобы теплоотдача
нагревательных приборов компенсировала теплопотери помещения.
Расчетная
площадь прибора определяется по формуле:
, м2,
где QПР - требуемая теплоотдача прибора, Вт;
qПР - расчетная плотность теплового потока прибора, Вт/м2.
Требуемая
теплоотдача прибора:
QПР = QР - 0,9QТР, Вт
где QР - тепловая нагрузка помещения, Вт;
QТР - суммарная теплоотдача открыто проложенных труб в
помещении, Вт, определяемая по выражению:
QТР =qВ lВ + qГ lГ,
где qВ, qГ - теплоотдача 1 м
вертикально или горизонтально проложенных труб, Вт/м;
lВ, l Г - длина труб в
пределах помещения, м.
Расчетная
плотность теплового потока прибора определяется по формуле:
где n, Р -
коэффициенты, зависящие от типа, схемы установки прибора, расхода и направления
воды. Для проектируемого здания n=0,25 при направлении движении воды снизу-вверх, при
расходе теплоносителя 18-61 кг/ч, Р=0,12, n=0,15 при направлении
движении воды снизу-вниз; при расходе теплоносителя 18-61 кг/ч, Р=0,08;
qНОМ - номинальная плотность теплового потока (теплоотдача 1 м2
прибора при стандартных условиях). Для принятых приборов qНОМ = 633,58 Вт/м2 при движении воды снизу-вверх, qНОМ = 713,78 Вт/м2 при движении воды снизу-вниз;
DtСР - средний
температурный напор, определяемый по формуле:
DtСР = 0,5 (tВХ + tВЫХ) - tВ, 0С
Расход
теплоносителя через прибор GПР определяется
исходя из требуемой теплоотдачи прибора QПР по формуле:
, кг
/ час
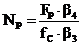
Число
секций чугунных радиаторов определяется по формуле:
,
где fC -
площадь 1 секции радиатора, м2;
b3 - коэффициент, учитывающий число секций в одном радиаторе.
Коэффициент b3 рассчитывается:
;
b4 - коэффициент, учитывающий способ установки радиатора. При
открытой установке b4 = 1.
Расчет
нагревательных приборов приведен в таблице 3.
Основная
рабочая характеристика элеватора - коэффициент смешения (эжекции), определяемый
по формуле
;
где GСМ - количество воды (кг/час), циркулирующей в системе
отопления;
T1 - температура теплоносителя в подающей магистрали тепловой
сети, принимаемая в соответствии с вариантом задания, 0С;
tГ, tО - температура воды
в подающей и обратной магистрали системы отопления, 0С;
Величина
коэффициента смешения необходима для определения диаметров горловины и сопла
элеватора.
Расчетный
диаметр горловины определяется по формуле:
;
где РИ
- искусственное циркуляционное давление (Па).
Сравниваем
полученный диаметр горловины со значениями таблицы 6.1. Принимаем фактический
диаметр dГС = 15 мм и вычисляем диаметр выходного сечения сменного
сопла по приближенной формуле:
; мм
Требуемое
давление, которое необходимо иметь в тепловой сети перед элеватором для
преодоления гидравлического сопротивления элеватора и создания искусственного
циркуляционного давления в системе отопления определяется по формуле:
РЭ=
1,4· (1+q) 2 ·Pu, Па
РЭ=1,4·
(1+1,8) 2·4555,39=50 кПа
Так
как отклонение давления перед элеватором от требуемого вызывает
разрегулирование системы отопления, то есть неравномерную теплоотдачу приборов,
в данном случае т.к. РЭ.Зад ≥ РЭ перед элеватором
устанавливают регулятор расхода.
Приток
воздуха в помещения осуществляется неорганизованно через форточки и неплотности
в притворах окон и балконных дверей. Для трехэтажного здания при совмещенной
кровле устраивается вентиляция с индивидуальными для каждого помещения каналами
или с объединяющими каналами под потолком вспомогательных помещений..
Нормы
воздухообмена для жилых квартир:
ванная
комната - 25 м 3/ч
уборная
индивидуальная - 25 м 3/ч
кухня
с 2 х-конфорочной плитой - 60 м 3/ч.
В
вентилируемых помещениях данного проекта каналы устраивают в толще внутренних
кирпичных стен. Их сечение кратно размерам кирпича и составляет 140 х 140 мм.
Таблица
- Расчет естественной вентиляции
|
Помещение
|
Температура внутреннего воздуха,
tB
|
Требуемый воздухообмен
L, м3/ч
|
Располагаемое
давление
PЕ, Па
|
Размеры
жалюзийной
решетки
|
|
№
|
Наименование
помещ.
|
|
1
|
2
|
3
|
4
|
5
|
6
|
|
102,103,106,107,111,116
|
Кухня
|
18
|
60
|
6,04
|
|
Ванная
|
25
|
25
|
9,17
|
140х140
|
|
Туалет
|
18
|
25
|
6,04
|
140х140
|
|
202,203,206,207,211,216
|
Кухня
|
18
|
60
|
4,40
|
140х270
|
|
Ванная
|
25
|
25
|
6,67
|
100*150
|
|
Туалет
|
18
|
25
|
4,40
|
140х270
|
|
302,303,306,307,311,316
|
Куня
|
18
|
60
|
2,75
|
140х270
|
|
|
Ваная
|
25
|
25
|
4,17
|
140х140
|
|
Тулет
|
18
|
25
|
2,75
|
140х270
|
Располагаемое
естественное давление рассчитывается по формуле:
РЕ
= h
(rН - rВ) g, Па
где h -
вертикальное расстояние от центра вытяжной решетки (располагается на 0,2-0,5 м
ниже потолка) до устья общей вытяжной шахты на кровле, м.
rН, rВ - плотность
воздуха соответственно при расчетной температуре наружного и внутреннего
воздуха, кг/м3.
Плотность
воздуха определяется по выражению:
,
где РБАР
- барометрическое давление в районе строительства, для проектируемого здания РБАР
= 1010 гПа;
t - расчетная температура
воздуха, °С;
tH = 5 0C;
u - скорость движения воздуха,
м/с.
Размеры
сечения каналов и жалюзийных решеток подбираются исходя из расчетной площади
сечения:
где L - расчетный
расход воздуха, м3/ч;
u - скорость движения воздуха,
м/с.
Для
каналов прямоугольного сечения со сторонами а и б определяется эквивалентный
диаметр:
мм
По
фактическому сечению вычисляется фактическая скорость движения uФ = L / 3600 FФ
Линейные
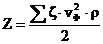
потери давления на участке определяются как произведение R L bШ.
Местные
потери давления определяются по формуле:
; Па
где Sz -
сумма коэффициентов местных сопротивлений на участке, принимаемых по приложению
X;
- динамическое давление воздуха, Па.
Расчет
коэффициентов местных сопротивлений приведен в таблице 5.
Аэродинамический
расчет приведен в таблице.
Таблица
- Расчет коэффициентов местных сопротивлений
|
№участка
|
Вид сопротивления
|
Кол-во
|
Коэфф. сопротивления z
|
Sz на участке
|
|
1
|
Вход в решетку с поворотом
|
1
|
2,0
|
2,0
|
|
2
|
Колено б/а=0,5
Дефлектор
|
1
1
|
1,284
0,64
|
1,924
|
|
3
|
Вход в решетку с поворотом
|
1
|
2,0
|
2,0
|
|
4
|
Колено б/а=0,5
Дефлектор
|
1
1
|
1,284
0,64
|
1,924
|
|
5
|
Вход в решетку с поворотом
|
1
|
2,0
|
2,0
|
|
6
|
Колено б/а=1
Дефлектор
|
1
1
|
1,2
0,64
|
1,84
|
|
7
|
Вход в решетку с поворотом
Дефлектор
|
1
1
|
2,0
0,64
|
2,64
|
|
8
|
Вход в решетку с поворотом
Дефлектор
|
1
1
|
2,0
0,64
|
2,64
|
|
9
|
Вход в решетку с поворотом
Дефлектор
|
1
1
|
2,0
0,64
|
2,64
|
1.
Тихомиров К. В. Теплотехника, теплогазоснабжение и вентиляция. М,
Стройиздат, 1974.
2.
Справочник проектировщика, ч. I. Отопление. Под ред. . И. Г.
Староверова. - М, Стройиздат, 1990.
3.
Еремкин А. И., Королева Т. И. Тепловой режим зданий, М, Изд-во АСВ,
2003.
4.
Сканави А. И. Отопление., М, Стройиздат, 1988.
5.
Гусев В. Н. Теплоснабжение и вентиляция. Л, Стройиздат, 1975.
6.
Юркевич А. А. Отопление гражданского здания., Ижевск, Издательство
ИжГТУ, 2001.
7.
Бондаренко В. В., Мишнева Г. С. Отопление и вентиляция жилого здания.
Пермь, ПГТУ, 1995.
8.
СНиП 2.01.01-82, Строительная климатология и геофизика, Госстрой СССР М,
Стройиздат, 1983.
9.
СНиП 2.04.05-91*. Отопление, вентиляция и кондиционирование. Госстрой
СССР, М, Стройиздат, 1987.
10.
СНиП 2.08.01-89. Жилые здания. Госстрой СССР М, Стройиздат, 1989.
11.
СНиП II-3-79**. Строительная теплотехника. Нормы
проектирования. М, Стройиздат, 1987.
12.
ГОСТ 21.602-79 СПДС. Отопление, вентиляция и кондиционирование воздуха.
Рабочие чертежи. М. Изд-во стандартов, 1980.
13.
ГОСТ 21.205-93 СПДС. Условные обозначения элементов санитарно -
технических систем.