Наружные
условия.
Параметры
наружного воздуха для жилых, общественных, административно-бытовых и
производственных помещений следует принимать:
Параметры
А - для систем вентиляции, воздушного душирования и кондиционирования третьего
класса для теплого периода года;
Параметры
Б - для систем отопления, вентиляции, воздушного душирования и
кондиционирования для холодного периода года и для систем кондиционирования
первого класса для теплого периода года. Для систем кондиционирования второго
класса следует принимать температуру наружного воздуха для теплого периода года
на 2 °С и удельную энтальпию на 2 кДж/кг ниже установленных для параметров Б.
Строительные
конструкции внешних ограждений отапливаемых жилых и общественных зданий должны
отвечать требованиям: прочности и устойчивости,
огнестойкости и долговечности, архитектурного оформления и экономичности, а
также теплотехническим нормам. Ограждающие конструкции выбирают в зависимости
от физических свойств материала, конструктивного решения,
температурно-влажностного режима воздуха в здании и климатических характеристик
района строительства в соответствии с нормами сопротивления теплопередаче,
паро- и воздухопроницанию.
Проектирование
системы отопления включает в себя: расчет поверхности
нагревательных приборов, гидравлический расчет циркуляционных колец системы,
выбор запорно-регулирующей арматуры, насосов системы воздухоудаления,
конструктивное исполнение отдельных узлов системы отопления.
Санитарно-гигиенические
требований ограничивают: понижение температуры tв.пов.
на внутренней поверхности ограждений значением допустимой температуры
. Температура
должна
быть такой, чтобы человек не испытывал интенсивного радиационного охлаждения.
Исключается и конденсация водяных паров на ограждениях, т.е. tв.пов>
tтр.
(температура точки росы воздуха в помещении).
Внутренние
условия.
Обслуживаемая
зона помещения (зона обитания) — пространство в помещении, ограниченное
плоскостями, параллельными полу и стенам: на высоте 0,1 и 2,0 м над уровнем пола (но не ближе чем 1 м от потолка при потолочном отоплении), на расстоянии 0,5 м от внутренних поверхностей наружных и внутренних стен, окон и отопительных приборов.
Помещение
с постоянным пребыванием людей — помещение, в котором люди находятся не менее 2
ч непрерывно или 6 ч суммарно в течение суток.
Микроклимат
помещения — состояние внутренней среды помещения, оказывающее воздействие на
человека, характеризуемое показателями температуры воздуха и ограждающих
конструкций, влажностью и подвижностью воздуха.
Оптимальные
параметры микроклимата — сочетание значений показателей микроклимата, которые
при длительном и систематическом воздействии на человека обеспечивают
нормальное тепловое состояние организма при минимальном напряжении механизмов
терморегуляции и ощущение комфорта не менее чем у 80 % людей, находящихся в
помещении.
Допустимые
параметры микроклимата — сочетания значений показателей микроклимата, которые
при длительном и систематическом воздействии на человека могут вызвать общее и
локальное ощущение дискомфорта, ухудшение самочувствия и понижение
работоспособности при усиленном напряжении механизмов Терморегуляции не вызывают
повреждений или ухудшения состояния здоровья.
Классификация
помещений
Помещения
1 категории — помещения, в которых люди в положении лежа или сидя находятся в
состоянии покоя и отдыха.
Помещения
2 категории — помещения, в которых люди заняты умственным трудом, учебой.
Помещения
За категории — помещения с массовым пребыванием людей, в которых люди находятся
преимущественно в положении сидя без уличной одежды.
Помещения
36 категории — помещения с массовым пребыванием людей, в которых люди находятся
преимущественно в положении сидя в уличной одежде.
Помещения
Зв категории — помещения с массовым пребыванием людей, в которых люди находятся
преимущественно в положении стоя без уличной одежды.
Помещения
4 категории — помещения для занятий подвижными видами спорта.
Помещения
5 категории — помещения, в которых люди находятся в полураздетом виде
(раздевалки, процедурные кабинеты, кабинеты врачей и т.п.).
Помещения
6 категории — помещения с временным пребыванием людей (вестибюли, гардеробные,
коридоры, лестницы, санузлы, курительные, кладовые).
Параметры
микроклимата
1 В помещениях жилых и общественных
зданий следует обеспечивать оптимальные или допустимые нормы микроклимата в
обслуживаемой зоне.
2 Требуемые параметры микроклимата:
оптимальные, допустимые или их сочетания — следует устанавливать в нормативных
документах в зависимости от назначения помещения и периода года.
3 Параметры,
характеризующие микроклимат помещений:
-
температура воздуха;
-
скорость движения воздуха;
-
относительная влажность воздуха; результирующая температура помещения;
-
локальная асимметрия результирующей температуры.
Тепловые
потери помещения.
Влажностный
режим помещений зданий и сооружений в зимний период в зависимости от
относительной влажности и температуры внутреннего воздуха следует устанавливать
по табл. 1 [4]. Зоны влажности территории СССР следует принимать по при л. 1*
[4].
Условия
эксплуатации ограждающих конструкций в зависимости от влажностного режима
помещений и зон влажности района строительства следует устанавливать по прил. 2
[4].
Сопротивление
теплопередаче ограждающих конструкций
Приведенное
сопротивление теплопередаче ограждающих конструкций Ro следует принимать в соответствии с
заданием на проектирование, но не менее требуемых значений,
, определяемых исходя из
санитарно-гигиенических и комфортных условий и условий энергосбережения — табл.
16* [4].
Требуемое
сопротивление теплопередаче ограждающих конструкций (за исключением
светопрозрачных), отвечающих санитарно-гигиеническим и комфортным условиям,
определяют по формуле
где
- коэффициент, принимаемый в зависимости
от положения наружной поверхности ограждающих конструкций по отношению к
наружному воздуху по табл. 3* [4];
tв - расчетная температура внутреннего воздуха, °С, берется
из табл3;
tн.р - расчетная
зимняя температура наружного воздуха, °С, равная средней температуре наиболее
холодной пятидневки обеспеченностью 0,92 (табл. 1.);
Dtнор - нормативный температурный перепад между температурой
внутреннего воздуха и температурой внутренней поверхности ограждающей конструкции;
Rв - сопротивление теплопередаче
внутренних поверхностей наружных ограждений,
Rв=0,1149 м2К/Вт;
Для стен цеха:
2К/Вт
Dtнор=20 – 12 = 8 0С;
Дальнейший расчет
требуемого сопротивления теплопередаче ограждающих конструкций сведен в
таблицу:
|
стены
помещения
|
Влажностный режим
помещения
|
Средняя температура, ºС
|
|
Т-ра точки росы,ºС
|
Dtнор,ºС
|
|
цех
|
сухой
|
20
|
0,74
|
12
|
8
|
|
кабинетов
|
сухой
|
20
|
0,46
|
7
|
13
|
|
раздевалки
|
сухой
|
21
|
0,468
|
8
|
13
|
|
душевых
|
мокрый
|
25
|
1,637
|
21
|
4
|
|
лестницы
|
сухой
|
17
|
0,626
|
8
|
9
|
|
сан. узел
|
сухой
|
17
|
0,804
|
10
|
7
|
Выбор тепловой
изоляции для стен:
Величина сопротивления
теплопередаче принятой конструкции:
,
;
где
- сумма сопротивлений конструктивных
слоёв,
;
,
;

;
Температура внутренней
поверхности ограждений:
Для стен цеха:
.
железобетон d=0,4м lж.б.=1,92 Вт/м2К
гипсокартон (1 листа 0,01м)
d=0,01 м lг.к.=0,36 Вт/м2К
ППУ d=0,02 м lППУ= 0,05 Вт/м2К
.
-
условие выполняется



.
Конденсация водяных паров происходить не будет.
Требуемое
сопротивление теплопередаче
дверей и ворот должно
быть не менее
стен зданий и сооружений,
определенного выше при расчетной зимней температуре наружного воздуха, равной
средней температуре наиболее холодной пятидневки обеспеченностью 0,92.
Требуемое сопротивление теплопередачи для окон находится из условия отсутствия
конденсации влаги на внутренних поверхностях.
Для верности расчета
необходимо, чтобы
Конденсация водяных паров
происходить не будет, если выполняется условие
Дальнейший расчет
сопротивления ограждающих конструкций сведен в таблицу:
|
Наимен. помещения
|
Влажностный режим
|
Структура
|
Материал
|
δ, м
|
λ, Вт/м²С
|
R
|
R0,
м²С/Вт
|
|
|
цех
|
сухой
|
Опорная конструкция
|
ж/б
|
0,4
|
1,92
|
0,208
|
0,8
|
0,609
|
|
Наружная изоляция
|
ППУ
|
0,02
|
0,05
|
0,4
|
|
Внутренняя отделка
|
гипсокартон
|
0,01
|
0,36
|
0,06
|
|
кабинет
|
сухой
|
Опорная конструкция
|
ж/б
|
0,4
|
1,92
|
0,208
|
1,032
|
0,46
|
|
Наружная изоляция
|
ППУ
|
0,03
|
0,05
|
0,6
|
|
Внутренняя отделка
|
гипсокартон
|
2*0,01
|
0,36
|
0,06
|
|
раздевалка
|
сухой
|
Опорная конструкция
|
ж/б
|
0,4
|
1,92
|
0,208
|
1,297
|
0,468
|
|
Наружная изоляция
|
ППУ
|
0,04
|
0,05
|
0,8
|
|
Внутренняя отделка
|
дек.плитка
|
0,01
|
0,08
|
0,125
|
|
душ
|
мокрый
|
Опорная конструкция
|
ж/б
|
0,4
|
1,92
|
0,208
|
1,829
|
1,637
|
|
Наружная изоляция
|
ППУ
|
0,06
|
0,05
|
1
|
|
Внутренняя изоляция
|
минераловата
|
0,01
|
0,076
|
0,132
|
|
Внутренняя отделка
|
дек.плитка
|
0,01
|
0,08
|
0,125
|
|
лестница
|
сухой
|
Опорная конструкция
|
ж/б
|
0,4
|
1,92
|
0,208
|
1,297
|
0,626
|
|
Наружная изоляция
|
ППУ
|
0,04
|
0,05
|
0,8
|
|
Внутренняя отделка
|
дек.плитка
|
0,01
|
0,08
|
0,125
|
|
сан.узел
|
сухой
|
Опорная конструкция
|
ж/б
|
0,4
|
1,92
|
0,208
|
1,297
|
0,804
|
|
Наружная изоляция
|
ППУ
|
0,04
|
0,05
|
0,8
|
|
Внутренняя отделка
|
дек.плитка
|
0,01
|
0,08
|
0,125
|
Тепловые
потери помещений.
Qпот=Qогр+Qинф+Qмат+Qтех+Qвент
Теплопотери через
ограждения помещений:
Основные
и добавочные потери теплоты следует определять суммируя потери теплоты через
отдельные ограждающие конструкции Q, Вт для помещений по формуле:
|
где А —
|
расчетная площадь ограждающей конструкции, м2;
|
|
R —
|
сопротивление теплопередаче ограждающей конструкции, м2
× С/Вт. Сопротивление теплопередаче
конструкции следует определять по СНиП II-3-7** (кроме полов на грунте); для полов на грунте
— в соответствии с п. 3 настоящего приложения, принимая R = RC, для неутепленных полое и R = Rh для утепленных;
|
tp ‑
|
расчетная температура воздуха, °С, в помещении с учетом повышения
ее в зависимости от высоты для помещений высотой более 4 м;
|
|
texp ‑
|
расчетная температура наружного воздуха для холодного
периода года при расчете потерь теплоты через наружные ограждения или температура
воздуха более холодного помещения—при расчете потерь теплоты через внутренние
ограждения;
|
|
b —
|
добавочные потери теплоты в долях от основных потерь,
определяемые в соответствии с п. 2 настоящего приложения;
|
|
п —
|
коэффициент, принимаемый в зависимости от положения
наружной поверхности ограждающих конструкций по отношению к наружному воздуху
по СНиП II-3-79**.
|
2.* Добавочные потери
теплоты b через
ограждающие конструкции следует принимать в долях от основных потерь:
а) в помещениях любого
назначения через наружные вертикальные и наклонные (вертикальная проекция)
стены, двери и окна, обращенные на север, восток, северо-восток и северо-запад
в размере 0,1, на юго-восток и запад— в размере 0,05; в угловых помещениях дополнительно
— по 0,05 на каждую стену, дверь и окно, если одно из ограждений обращено на
север, восток, северо-восток и северо-запад и 0,1 —в других случаях;
б) в помещениях,
разрабатываемых для типового проектирования, через стены, двери и окна,
обращенные на любую из сторон света, в размере 0,08 при одной наружной стене и
0,13 для угловых помещений (кроме жилых), а во всех жилых помещениях — 0,13;
а) через необогреваемые
полы первого этажа над холодными подпольями зданий в местностях с расчетной
температурой наружного воздуха минус 40°С и ниже (параметры Б) — в размере 0,05;
г) через наружные двери,
не оборудованные воздушными или воздушно-тепловыми завесами, при высоте зданий H, м, от средней планировочной отметки земли до верха
карниза, центра вытяжных отверстий фонаря или устья шахты в размере:
0,2 H — для тройных дверей с двумя тамбурами между ними;
0,27 H — для двойных дверей с тамбурами
между ними;
0,34 H —для двойных дверей без тамбура;
0,22 H —для одинарных дверей;
д) через наружные ворота,
не оборудованные воздушными и воздушно-тепловыми завесами, — в размере 3 при
отсутствии тамбура и в размере 1 — при наличии тамбура у ворот.
Примечание Для летних и
запасных наружных дверей и ворот добавочные потери теплоты по подпунктам
"г" и "д" не следует учитывать.
Расчет сопротивления
ограждающих конструкций сведен в таблицу:
|
№ помещения
|
Название помещения
|
Внутренняя температура
tв
|
Характеристика ограждающих конструкций
|
п
|
Наружная температура
tн
|
Добавки
|
Потери через огр.
Конструкции
|
Общие потери
|
|
наименование
|
ориентация
|
размер
|
площадь
|
Сопротивл.
теплопередач
Ro
|
прочие
|
Σβ+1
|
|
а
|
b
|
F
|
Оогр
|
QΣогр
|
|
|
°с
|
|
|
м
|
м
|
м2
|
(м2*°С)/Вт
|
|
°С
|
|
|
|
Вт
|
Вт
|
|
1
|
2
|
3
|
4
|
5
|
6
|
7
|
8
|
9
|
10
|
11
|
13
|
14
|
15
|
16
|
17
|
|
101
|
цех
|
20
|
Окно 1*2шт
|
С
|
2
|
2,5
|
5*2=10
|
0.54
|
1
|
-32
|
0,1
|
0.05
|
1,15
|
1107,407
|
27487,06
|
|
Окно 2*2шт
|
С
|
2
|
2,5
|
5*2=10
|
0.54
|
1
|
-32
|
0,1
|
0,05
|
1,15
|
1107,407
|
|
НС1
|
С
|
8
|
9,5
|
76
|
0,789
|
1
|
-32
|
0,1
|
0.075
|
1,175
|
5885,425
|
|
Окно 3*2шт
|
В
|
2
|
2,5
|
5*2=10
|
0.54
|
1
|
-32
|
0,1
|
0.05
|
1,15
|
1107,407
|
|
Окно 4*2шт
|
В
|
2
|
2,5
|
5*2=10
|
0.54
|
1
|
-32
|
0,1
|
0,05
|
1,15
|
1107,407
|
|
НД
|
В
|
2
|
2,5
|
5
|
0,562
|
1
|
-32
|
0,1
|
0,05
|
1,15
|
532,0285
|
|
НС 2
|
В
|
12
|
9,4
|
112,8
|
0,789
|
1
|
-32
|
0,1
|
0,075
|
1,175
|
8735,209
|
|
Окно 5*2шт
|
Ю
|
2
|
2,5
|
5*2=10
|
0,54
|
1
|
-32
|
0,05
|
0,05
|
1,1
|
1059,259
|
|
Окно 6*2шт
|
Ю
|
2
|
2,5
|
5*2=10
|
0,54
|
1
|
-32
|
0,05
|
0,05
|
1,1
|
1059,259
|
|
НСЗ
|
Ю
|
8
|
9,5
|
76
|
0,789
|
1
|
-32
|
0,05
|
0,075
|
1,125
|
5634,981
|
|
ВД
|
0
|
2
|
2,5
|
5
|
0.323
|
1
|
17
|
-
|
-
|
1
|
46,43963
|
|
ВС1
|
0
|
4
|
9,4
|
37,6
|
0,538
|
1
|
17
|
0
|
0
|
1
|
209,6654
|
|
ВС2
|
0
|
6
|
9,4
|
56,4
|
0,538
|
1
|
21
|
0
|
0
|
1
|
-104,833
|
|
102
|
кабинет
|
20
|
окно 1
|
Ю
|
2
|
2,5
|
5
|
0,54
|
1
|
-32
|
0,05
|
0,05
|
1,1
|
529,6296
|
1864,23
|
|
НС
|
Ю
|
4
|
4,5
|
18
|
0,789
|
1
|
-32
|
0,05
|
0.075
|
1,125
|
1334,601
|
|
103
|
раздевалка
|
21
|
окно
|
С
|
2
|
2,5
|
5
|
0,54
|
1
|
-32
|
0,1
|
0,05
|
1,15
|
564,3519
|
1954,252
|
|
НС
|
С
|
4
|
4,5
|
18
|
0,853
|
1
|
-32
|
0,1
|
0,05
|
1,15
|
1286,166
|
|
ВД1
|
З
|
1
|
2,5
|
2,5
|
0,451
|
1
|
17
|
0,05
|
0,05
|
1,1
|
24,39024
|
|
ВС1
|
Ю
|
4
|
4,5
|
18
|
0,751
|
1
|
17
|
0
|
0
|
1
|
95,87217
|
|
ВД2
|
Ю
|
1
|
2,5
|
2,5
|
0,605
|
1
|
25
|
-
|
-
|
1
|
-16,5289
|
|
104
|
лестница
|
17
|
НД
|
З
|
2
|
2,5
|
5
|
0,562
|
1
|
-32
|
0,1
|
0,075
|
1,175
|
512,2331
|
2259,885
|
|
НС1
|
З
|
4
|
4,5
|
18
|
1,133
|
1
|
-32
|
0,05
|
0,07
|
1,12
|
871,88
|
|
НС2
|
Ю
|
4
|
4,5
|
18
|
1,133
|
1
|
-32
|
0,05
|
0,075
|
1,125
|
875,7723
|
|
105
|
су.
|
17
|
НС2
|
З
|
3
|
4,5
|
13,5
|
1,133
|
1
|
-32
|
0,1
|
0,075
|
1,175
|
686,0216
|
600,4093
|
|
ВС1
|
Ю
|
2
|
4,5
|
9
|
0,841
|
1
|
25
|
-
|
-
|
1
|
|
106
|
душевая
|
25
|
Окно
|
С
|
2
|
2,5
|
5
|
0,54
|
1
|
-32
|
0,1
|
0,05
|
1,15
|
606,9444
|
1458,858
|
|
НС
|
С
|
4
|
4,5
|
18
|
1,385
|
1
|
-32
|
0,1
|
0,05
|
1,15
|
851,9134
|
Тоже самое что и на 1
этаже-только без учета Цеха
|
№ помещения
|
Название помещения
|
Внутренняя температура
tв
|
Характеристика ограждающих конструкций
|
п
|
Наружная температура
tн
|
Добавки
|
Потери через огр.
Конструкции
|
Общие потери
|
|
наименование
|
Ориентация
|
размер
|
площадь
|
Сопротивл.
теплопередач
Ro
|
β1
|
прочие
|
Σβ+1
|
|
а
|
b
|
F
|
Оогр
|
QΣогр
|
|
|
°с
|
|
|
м
|
м
|
м2
|
(м2*°С)/Вт
|
|
°С
|
|
|
|
Вт
|
Вт
|
|
1
|
2
|
3
|
4
|
5
|
6
|
7
|
8
|
9
|
10
|
11
|
13
|
14
|
15
|
16
|
17
|
|
101
|
кабинет
|
20
|
окно 1
|
Ю
|
2
|
2,5
|
5
|
0,54
|
1
|
-32
|
0,05
|
0,05
|
1,1
|
529,6296
|
1864,23
|
|
НС
|
Ю
|
4
|
4,5
|
18
|
0,789
|
1
|
-32
|
0,05
|
0.075
|
1,125
|
1334,601
|
|
102
|
раздевалка
|
21
|
окно
|
С
|
2
|
2,5
|
5
|
0,54
|
1
|
-32
|
0,1
|
0,05
|
1,15
|
564,3519
|
1954,252
|
|
НС
|
С
|
4
|
4,5
|
18
|
0,853
|
1
|
-32
|
0,1
|
0,05
|
1,15
|
1286,166
|
|
ВД1
|
З
|
1
|
2,5
|
2,5
|
0,451
|
1
|
17
|
0,05
|
0,05
|
1,1
|
24,39024
|
|
ВС1
|
Ю
|
4
|
4,5
|
18
|
0,751
|
1
|
17
|
0
|
0
|
1
|
95,87217
|
|
ВД2
|
Ю
|
1
|
2,5
|
2,5
|
0,605
|
1
|
25
|
-
|
-
|
1
|
-16,5289
|
|
103
|
лестница
|
17
|
НД
|
З
|
2
|
2,5
|
5
|
0,562
|
1
|
-32
|
0,1
|
0,075
|
1,175
|
512,2331
|
2259,885
|
|
НС1
|
З
|
4
|
4,5
|
18
|
1,133
|
1
|
-32
|
0,05
|
0,07
|
1,12
|
871,88
|
|
НС2
|
Ю
|
4
|
4,5
|
18
|
1,133
|
1
|
-32
|
0,05
|
0,075
|
1,125
|
875,7723
|
|
104
|
су.
|
17
|
НС2
|
З
|
3
|
4,5
|
13,5
|
1,133
|
1
|
-32
|
0,1
|
0,075
|
1,175
|
686,0216
|
600,4093
|
|
ВС1
|
Ю
|
2
|
4,5
|
9
|
0,841
|
1
|
25
|
-
|
-
|
1
|
-85,6124
|
|
105
|
душевая
|
25
|
Окно
|
С
|
2
|
2,5
|
5
|
0,54
|
1
|
-32
|
0,1
|
0,05
|
1,15
|
606,9444
|
1458,858
|
|
НС
|
С
|
4
|
4,5
|
18
|
1,385
|
1
|
-32
|
0,1
|
0,05
|
1,15
|
851,9134
|
Определение
теплопотерь через полы.
Сопротивление
теплопередачи для неутепленных полов на грунте и стен, расположенных ниже
уровня земли, с коэффициентом теплопроводности λ > 1,2 Вт/(м2-°С)
по зонам шириной 2 м, параллельным наружным стенам, принимая Rc, м2-°С /Вт, равным:
I зона – R=2,15 м2К/Вт
II зона – R=4,3м2К/Вт
III зона – R=8,6 м2К/Вт
IV зона – R = 14,2 м2К/Вт
На полу уложены
железобетонные плиты
(l=6 м, b=0,8
2,0 м, δ=0,4 м, R=1,0 м2с/Вт)
на воздушной прослойке δ=100
мм;
ж.б. плита δ = 0,4 м, λ = 1,5 Вт /м2К;
воздушная прослойка δ
= 0,1 м, R = 4,35 м2К/Вт;
грунт λ = 2,33 Вт /м2К
;
Для пола ИТП:
Для подвальных стен ИТП:
Rж.б. плиты =
м2К/Вт
|
наимен. помещения
|
Площадь зоны, м²
|
термич. сопротивления зон
|
Qпол, Вт
|
|
I
|
II
|
III
|
IV
|
RI
|
RII
|
RIII
|
R IV
|
|
ИТП
|
56
|
56
|
56
|
52,5
|
2,15
|
4,3
|
8,6
|
14,2
|
3698,041
|
|
кабинет
|
8,8
|
8,8
|
8,8
|
10
|
2,15
|
4,3
|
8,6
|
14,2
|
620,2326
|
|
раздевалка
|
8,8
|
8,8
|
8,8
|
18
|
2,15
|
4,3
|
8,6
|
14,2
|
799,03
|
|
душ
|
14,2
|
14,2
|
14,2
|
3,75
|
2,15
|
4,3
|
8,6
|
14,2
|
723,9989
|
|
сан.узел
|
6
|
6
|
6
|
8,7
|
2,15
|
4,3
|
8,6
|
14,2
|
|
коридор
|
4,2
|
4,2
|
4,2
|
17,2
|
2,15
|
4,3
|
8,6
|
14,2
|
573,7655
|
|
лестница
|
16,4
|
16,4
|
16,4
|
6,25
|
2,15
|
4,3
|
8,6
|
14,2
|
879,057
|
Теплопотери через
крышу:
Q=(1/R) ×F×Dt×n
гидроизоляция d = 0,02 м, l =0,6 Вт/м2 К
шлакобетон d = 0,15 м, l = 0,7 Вт/м2 К
ж.б. плита d = 0,25 м, l=1,5 Вт/м2К
Rкр= Rн + å(di/li)+ Rв
Rкр=(0,02/0,6)+(0,15/0,7)+(0,25+1,5)+0,114+0,05
= 0,578;
Rн=0,05 м2 К/Вт
Rв=0,114 м2 К/Вт
n = 0.75 – для бесчердачной крыши
Для крыши цеха:
Q = (1/0,578) ×96×(20-(-32))×0,75= 6477,51 Вт;
|
Наимен. помещения
|
Площадь, м²
|
(tв - tн), °С
|
Rкр
|
n
|
Qкр, Вт
|
|
Цех
|
96
|
52
|
0,578
|
0,75
|
6477,51
|
|
Кабинет
|
16
|
52
|
0,578
|
0,75
|
1079,58
|
|
раздевалка
|
24
|
53
|
0,578
|
0,75
|
1650,52
|
|
Душ
|
12
|
57
|
0,578
|
0,75
|
887,543
|
|
Лестница
|
16
|
49
|
0,578
|
0,75
|
1017,3
|
|
сан.узел
|
12
|
49
|
0,578
|
0,75
|
762,976
|
|
Коридор
|
16
|
50
|
0,578
|
0,75
|
1038,06
|
12913,5
Сопротивление
воздухопроницанию ограждающих конструкций
Сопротивление
воздухопроницанию ограждающих конструкций, за исключением заполнений световых
проемов (окон, балконных дверей и фонарей), зданий и сооружений RH должно быть не менее требуемого
сопротивления воздухопроницанию
м2чПа/кг,
определяемого по формуле:
где ∆р
— разность давлений воздуха на наружной и внутренней поверхностях ограждающих
конструкций, Па;
GH —
нормативная воздухопроницаемость ограждающих конструкций, кг/(м2 ч).
Разность
давлений воздуха на наружной и внутренней поверхностях ограждающих конструкций ∆р,
Па, следует определять по формуле:
,
где Н —
высота здания (от поверхности земли до верха карниза), м;
gН, gВ — удельный вес соответственно
наружного и внутреннего воздуха, Н/м3, определяемый по формуле:
g =
здесь t - температура воздуха: внутреннего
(для определения gВ), наружного (для определения gн );
v — максимальная
из средних скоростей ветра по румбам за январь, повторяемость которых
составляет 16 % и более, принимаемая согласно [1].
Нормативную
воздухопроницаемость GH, кг/(м2ч), ограждающих конструкций зданий
и сооружений следует принимать по табл. 12* [4].
Сопротивление
воздухопроницанию многослойной ограждающей конструкции Па/кг, следует
определять по формуле
где
- сопротивления воздухопроницанию
отдельных слоев ограждающей конструкции, м2 • ч • Па/кг, принимаемые
по прил. 9* [4].
Rстены=4Rжб+Rппу+Rгипсокарт.=4*19620+2*79+10*0,12=78638
м2 • ч • Па/кг
Rкрыши=4Rжб+Rшлакобетон+Rгидроизол.=4*19620+0,3+∞(воздухонепрониц.)=
∞ м2 • ч • Па/кг
Сопротивление
воздухопроницанию окон и балконных дверей жилых и общественных зданий, а также
окон и фонарей производственных зданий RH должно быть не менее требуемого
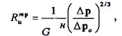
сопротивления воздухопроницанию RНтр, м2 • ч/кг, определяемого
по формуле
— разность давления воздуха, при
которой определяется сопротивление воздухопроницанию
Результаты
расчетов требуемого сопротивления воздухопроницанию заносим в таблицу. Для окон
реальное сопротивление воздухопроницанию берется из [10].
|
Требуемое сопротивление воздухопроницанию ограждающих
конструкций.
|
|
Конструкция
|
Помещение
|
tНАР,
|
|
tВН
|
|
Н
|
V
|
∆р
|
GH
|
RИтр
|
Rn
|
|
°С
|
Н/м3
|
°С
|
Н/м3
|
м
|
м/с
|
Па
|
кг/(м2*ч)
|
(м2*ч*Па)/кг
|
(м2*ч*Па)/кг
|
|
1
|
2
|
3
|
4
|
5
|
6
|
7
|
8
|
9
|
10
|
11
|
12
|
|
наружные стены
|
цех
|
-32
|
14,37
|
20
|
11,82
|
10
|
5,7
|
28,03
|
1
|
28,03
|
78638
|
|
кабинет
|
-32
|
14,37
|
20
|
11,82
|
10
|
5,7
|
28,03
|
0,5
|
56,06
|
78638
|
|
раздевалка
|
-32
|
14,37
|
21
|
11,78
|
10
|
5,7
|
28,25
|
0,5
|
56,50
|
78234
|
|
лестница
|
-32
|
14,37
|
17
|
11,94
|
10
|
5,7
|
27,37
|
0,5
|
54,74
|
78234
|
|
душевая
|
-32
|
14,37
|
25
|
11,62
|
10
|
5,7
|
29,13
|
0,5
|
58,26
|
78247
|
|
крыша
|
цех
|
-32
|
14,37
|
20
|
11,82
|
10
|
5,7
|
28,03
|
1
|
28,03
|
|
|
кабинет
|
-32
|
14,37
|
20
|
11,82
|
10
|
5,7
|
28,03
|
0,5
|
56,06
|
|
|
раздевалка
|
-32
|
14,37
|
21
|
11,78
|
10
|
5,7
|
28,25
|
0,5
|
56,50
|
|
|
су.
|
-32
|
14,37
|
17
|
11,94
|
10
|
5,7
|
27,37
|
0,5
|
54,74
|
|
|
лестница
|
-32
|
14,37
|
17
|
11,94
|
10
|
5,7
|
27,37
|
0,5
|
54,74
|
|
|
душевая
|
-32
|
14,37
|
25
|
11,62
|
10
|
5,7
|
29,13
|
0,5
|
58,26
|
|
|
коридор
|
-32
|
14,37
|
17
|
11,94
|
10
|
5,7
|
27,37
|
0,5
|
54,74
|
|
|
окна
|
цех
|
-32
|
14,37
|
20
|
11,82
|
10
|
5,7
|
28,03
|
8
|
3,50
|
0,44
|
|
кабинет
|
-32
|
14,37
|
20
|
11,82
|
10
|
5,7
|
28,03
|
6
|
4,67
|
0,44
|
|
раздевалка
|
-32
|
14,37
|
21
|
11,78
|
10
|
5,7
|
28,25
|
6
|
4,71
|
0,44
|
|
душевая
|
-32
|
14,37
|
25
|
11,62
|
10
|
5,7
|
29,13
|
6
|
4,86
|
0,44
|
|
лестница
|
-32
|
14,37
|
17
|
11,94
|
10
|
5,7
|
27,37
|
6
|
4,56
|
0,44
|
|
двери
|
цех
|
-32
|
14,37
|
22
|
11,74
|
10
|
5,7
|
28,47
|
8
|
3,56
|
0,272
|
|
лестница
|
-32
|
14,37
|
17
|
11,94
|
10
|
5,7
|
27,37
|
6
|
4,56
|
0,349
|
Расход теплоты Qi, Вт, на нагревание инфильтрующегося
воздуха следует определять по формуле
Qi =
0,28 S Gi c(tp - ti)k, (1)
|
где Gi —
|
расход инфильтрующегося воздуха, кг/ч, через ограждающие
конструкции помещения, определяемый в соответствии с п. 3 настоящего
приложения;
|
|
с —
|
удельная теплоемкость воздуха, равная 1 кДж/(кг×°С);
|
|
tp, ti —
|
расчетные температуры воздуха, °С, соответственно в помещении
(средняя с учетом повышения для помещений высотой более 4 м) и наружного воздуха в холодный период года (параметры Б);
|
|
k —
|
коэффициент учета влияния встречного теплового потока в
конструкциях, равный 0,7 для стыков панелей стен и окон с тройными
переплетами, 0,8 — для окон и балконных дверей с раздельными
переплетами и 1,0 — для одинарных окон, окон и балконных дверей со
спаренными переплетами и открытых проемов.
|
Расход инфильтрующегося
воздуха в помещении Gi, кг/ч, через неплотности наружных ограждений следует
определять по формуле:
Gi
= 0,216 S A1 Dpi0,67
/Ru + S A2 GH (Dpi/Dp1)0,67
|
где A1, A2 —
|
площади наружных ограждающих конструкций, м2,
соответственно световых проемов (окон, балконных дверей, фонарей) и других
ограждений;
|
|
Dpi, Dp1 —
|
расчетная разность между давлениями на наружной и
внутренней поверхностях ограждающих конструкций соответственно на расчетном
этаже при Dp1 =
10 Па;
|
|
Ru —
|
сопротивление воздухопроницанию, м2×ч×Па/кг, принимаемое по СНиП II-3-79**;
|
|
GH —
|
нормативная воздухопроницаемость наружных ограждающих
конструкций, кг/(м2×ч), принимаемая по СНиП II-3-79**;
|
|
l —
|
длина стыков стеновых панелей, м.
|
Расчетная разность
давлений Dpi,
определяется по формуле
Dpi =g [(H - hi) (pн – pв ) + 0,5 pi v2
(ce,n - ce,p) kl - pint]
где Н—
высота здания, м, от уровня средней планировочной отметки земли до верха
карниза, центра вытяжных отверстий фонаря или устья шахты;
h— расчетная
высота, м, от уровня земли до верха окон, балконных дверей, дверей, ворот,
проемов или до оси горизонтальных и середины вертикальных стыков стеновых
панелей;
gi, gp — удельный вес, Н/м, соответственно
наружного воздуха и воздуха в помещении, определяемый по формуле
g =
|
pi —
|
плотность наружного воздуха, кг/м3;
|
|
v —
|
скорость ветра, м/с, принимаемая по обязательному
приложению 8 и в соответствии с п.3.2;
|
|
ce,n, ce,p ‑
|
аэродинамические коэффициенты соответственно для
наветренной и подветренной поверхностей ограждений здания, принимаемые по
СНиП 2.01.07-85;
|
|
kl ‑
|
коэффициент учета изменения скоростного давления ветра в
зависимости от высоты здания, принимаемый по СНиП 2.01.07-85;
|
|
pint ‑
|
условно-постоянное давление воздуха в здании, Па.
|
Примечания: 1.
Максимальный расход теплоты на нагревание наружного воздуха следует учитывать
для каждого помещения при наиболее неблагоприятном для него направлением ветра.
При расчете тепловой нагрузки здания с автоматическим регулированием расход
теплоты на инфильтрацию следует принимать при наиболее неблагоприятном
направлении ветра для всего здания.
Находим
расчетную разность давлений и результаты заносим в таблицу. Потери теплоты на
нагрев инфильтрационного воздуха и заносим в последующую таблицу.
|
Расчетная разность давлений.
|
|
№ пом-я
|
Помещение
|
Конструк.
|
tНАР,
|
Ун
|
tВН
|
Ув
|
Н
|
h
|
V
|
ρН
|
Се.р
|
Се.п.
|
k
|
∆р
|
|
°С
|
Н/м3
|
°С
|
Н/м3
|
м
|
м
|
м/с
|
кг/м3
|
|
|
|
Па
|
|
1
|
2
|
3
|
4
|
5
|
6
|
7
|
8
|
9
|
10
|
11
|
12
|
13
|
14
|
15
|
|
101
|
цех
|
окно
|
-32
|
14,37
|
20
|
11,82
|
10
|
3,5
|
5,7
|
1,479
|
-0,6
|
0,8
|
0,72
|
36,093
|
|
дверь
|
2,5
|
38,663
|
|
стена
|
9,8
|
33,009
|
|
102
|
кабинет
|
окно
|
-32
|
14,37
|
20
|
11,82
|
10
|
3,5
|
5,7
|
1,479
|
-0,6
|
0,8
|
0,72
|
35,5795
|
|
стена
|
4,7
|
32,5903
|
|
103
|
раздевалка
|
окно
|
-32
|
14,37
|
21
|
11,78
|
10
|
3,5
|
5,7
|
1,479
|
-0,6
|
0,8
|
0,72
|
35,8395
|
|
стена
|
4,7
|
32,8023
|
|
104
|
лестница
|
дверь
|
-32
|
14,37
|
17
|
11,94
|
10
|
2,5
|
5,7
|
1,479
|
-0,6
|
0,8
|
0,72
|
37,1555
|
|
стена
|
4,7
|
31,9437
|
|
105
|
душевая
|
окно
|
-32
|
14,37
|
25
|
11,62
|
10
|
3,5
|
5,7
|
1,479
|
-0,6
|
0,8
|
0,72
|
36,8665
|
|
стена
|
4,7
|
33,6397
|
|
202
|
кабинет
|
окно
|
-32
|
14,37
|
20
|
11,82
|
10
|
8,4
|
5,7
|
1,479
|
-0,6
|
0,8
|
0,72
|
23,3736
|
|
стена
|
9,8
|
19,8862
|
|
203
|
раздевалка
|
окно
|
-32
|
14,37
|
21
|
11,78
|
10
|
8,4
|
5,7
|
1,479
|
-0,6
|
0,8
|
0,72
|
23,4376
|
|
стена
|
9,8
|
19,8942
|
|
204
|
лестница
|
окно
|
-32
|
14,37
|
17
|
11,94
|
10
|
8,4
|
5,7
|
1,479
|
-0,6
|
0,8
|
0,72
|
23,1784
|
|
стена
|
9,8
|
19,8618
|
|
205
|
душевая
|
окно
|
-32
|
14,37
|
25
|
11,62
|
10
|
8,4
|
5,7
|
1,479
|
-0,6
|
0,8
|
0,72
|
23,6904
|
|
стена
|
9,8
|
19,9258
|
|
|
|
|
|
|
|
|
|
|
|
|
|
|
|
|
Потери на нагрев инфильтрационного воздуха по 1 этажу
|
№ помещения
|
Название помещения
|
Внутренняя температура
Tв
|
Характеристика ограждающих конструкций
|
k
|
Наружная температура
tн
|
GH
|
Δp
|
Расход воздуха
|
Потери теплоты за счет инф.
|
Общие потери
|
|
наименование
|
размер
|
площадь
|
Сопротивл.
теплопередач
Rи
|
|
а
|
b
|
F
|
Оинф
|
QΣинф
|
|
|
°с
|
|
м
|
м
|
м2
|
(м2*°С)/Вт
|
|
°С
|
|
|
|
Вт
|
Вт
|
|
1
|
2
|
3
|
4
|
5
|
7
|
8
|
9
|
10
|
11
|
13
|
14
|
15
|
16
|
17
|
|
101
|
цех
|
20
|
окно 1
|
2
|
2,5
|
5
|
0.44
|
0,7
|
-32
|
-
|
36,093
|
27,13
|
281,83
|
3063,711
|
|
окно 2
|
2
|
2,5
|
5
|
0.44
|
0,7
|
-32
|
-
|
36,093
|
27,13
|
281,83
|
|
НС1
|
8
|
4,5
|
36
|
79521,6
|
1
|
-32
|
-
|
33,009
|
0.001
|
0,015
|
|
окно 3
|
2
|
2,5
|
5
|
0.44
|
0,7
|
-32
|
-
|
36,093
|
27,13
|
281,83
|
|
окно 4
|
2
|
5
|
0.44
|
0,7
|
-32
|
-
|
36,093
|
27,13
|
281,83
|
|
НС 2
|
12
|
4,5
|
54
|
79521,6
|
1
|
-32
|
-
|
33,009
|
0,0015
|
0,02
|
|
окно 5
|
2
|
2,5
|
5
|
0,44
|
0,7
|
-32
|
-
|
36,093
|
27,13
|
281,83
|
|
окно 6
|
2
|
2,5
|
5
|
0,44
|
0,7
|
-32
|
-
|
36,093
|
27,13
|
281,83
|
|
НСЗ
|
8
|
4,5
|
36
|
79521,6
|
1
|
-32
|
-
|
33,009
|
0,001
|
0,015
|
|
НД
|
2
|
2,5
|
5
|
-
|
1
|
-32
|
8
|
38,663
|
92,5
|
1372,7
|
|
102
|
кабинет
|
20
|
окно 1
|
2
|
2,5
|
5
|
0.44
|
0,7
|
-32
|
-
|
35,5795
|
26,87
|
268,6
|
268,67
|
|
НС
|
4
|
4,5
|
18
|
79521,6
|
1
|
-32
|
-
|
32,5903
|
0,0005
|
0,07
|
|
103
|
раздевалка
|
21
|
окно
|
2
|
2,5
|
5
|
0,44
|
0,7
|
-32
|
-
|
35,8395
|
27
|
275,2
|
275,207
|
|
НС
|
4
|
4,5
|
18
|
79494,9
|
1
|
-32
|
-
|
32,8023
|
0,0005
|
0,007
|
|
104
|
лестница
|
17
|
НД
|
2
|
2,5
|
5
|
0,562
|
1
|
-32
|
8
|
37,1555
|
96,4
|
1295,6
|
1295,614
|
|
НС!
|
4
|
4,5
|
18
|
79494,9
|
1
|
-32
|
-
|
31,9437
|
0,0005
|
0,007
|
|
НС!
|
4
|
4,5
|
18
|
79494,9
|
1
|
-32
|
-
|
31,9437
|
0,0005
|
0,007
|
|
105
|
су.
|
17
|
НС
|
3
|
4,5
|
13,5
|
79495,7
|
1
|
-32
|
-
|
31,9437
|
0,0004
|
0,006
|
0,006
|
|
106
|
душевая
|
25
|
окно
|
2
|
2,5
|
5
|
0,44
|
0,7
|
-32
|
-
|
36,8665
|
27,52
|
302,06
|
302,073
|
|
НС
|
4
|
4,5
|
18
|
79495,7
|
1
|
-32
|
-
|
33,6397
|
0,0005
|
0,013
|
Потери на нагрев инфильтрационного воздуха по 2этажу
|
№ помещения
|
Название помещения
|
Внутренняя температура
tв
|
Характеристика ограждающих конструкций
|
k
|
Наружная температура
tн
|
GH
|
Δp
|
Расход воздуха
|
Потери теплоты за счет инф.
|
Общие потери
|
|
наименование
|
размер
|
площадь
|
Сопротивл.
теплопередач
Rи
|
|
а
|
b
|
F
|
Оинф
|
QΣинф
|
|
|
°с
|
|
м
|
м
|
м2
|
|
|
°С
|
|
|
G,
кг/ч
|
Вт
|
Вт
|
|
1
|
2
|
3
|
4
|
6
|
7
|
8
|
9
|
10
|
11
|
12
|
13
|
14
|
15
|
16
|
|
202
|
кабинет
|
20
|
окно 1
|
2
|
2,5
|
5
|
0.44
|
0,7
|
-32
|
-
|
23,3736
|
20,28
|
202,7
|
202,704
|
|
НС
|
4
|
4,5
|
18
|
79521,6
|
1
|
-32
|
-
|
19,8862
|
0,0003
|
0,004
|
|
203
|
раздевалка
|
21
|
окно
|
2
|
2,5
|
5
|
0,44
|
0,7
|
-32
|
-
|
23,4376
|
20,97
|
213,7
|
213,706
|
|
НС
|
4
|
4,5
|
18
|
79494,9
|
1
|
-32
|
-
|
19,8942
|
0,0004
|
0,006
|
|
204
|
лестница
|
17
|
окно
|
2
|
2,5
|
5
|
0,44
|
0,7
|
-32
|
-
|
23,1784
|
20,164
|
146,34
|
146,345
|
|
НС!
|
4
|
4,5
|
18
|
79494,9
|
1
|
-32
|
-
|
19,8618
|
0,0004
|
0,005
|
|
205
|
су.
|
17
|
НС1
|
3
|
4,5
|
13,5
|
79495,7
|
1
|
-32
|
-
|
19,8618
|
0,0003
|
0,004
|
0,004
|
|
206
|
душевая
|
25
|
окно
|
2
|
2,5
|
5
|
0,44
|
0,7
|
-32
|
-
|
23,6904
|
20,46
|
224,57
|
224,576
|
|
НС
|
4,5
|
18
|
79495,7
|
1
|
-32
|
-
|
19,9258
|
0,0004
|
0,006
|
|
|
|
|
|
|
|
|
|
|
|
|
|
|
|
|
Итого теплопотери на нагрев инф. Воздуха в целом по
зданию: Qинф = 7261,056 Вт
Теплопоступления в
помещения
Qвыд=Qчел+Qобор+Qэл+Qмат+Qтех+Qизл
Тепловыделения от человека:
Q=βинт×βод×(2,5+10,36
)×(35-tв)
βинт – коэффициент учета интенсивности работы, принимаемый
для легкой работы равным 1,05;
βод – коэффициент учета теплозащитных
свойств одежды = 0,65;
Wв – подвижность воздуха в помещении,
м/с = 0,1 м/с;
Для цеха:
Qчел=1,05×0,65×(2,5+10,36
)×(35 - 20)= 60 Вт/чел
N = 15 человек;
Qчел= 15×60 = 900 Вт;
Qвыд для кабинета от людей:
Qчел=1,05×0,65×(2,5+10,36
)×(35-20) = 73 Вт/чел
N = 4 человека;
Qчел = 4×73 = 292 Вт;
Теплопоступления
от установок:
Теплопоступления в
помещение от нагретого оборудования Qоб определяют по данным технологического проекта или вычисляют
теплоотдачу от нагретой поверхности, если заданы площадь поверхности,
температура поверхности.
,
где: φ –
коэффициент облучаемости, принимаемый равным 1 , если рассеивание идет между параллельными
поверхностями.
Данное выражение возможно
упростить, приняв, что:
где b1-2 – некоторый коэффициент перевода,
учитывающий влияние 4-ой степени;
при τ1=
65°С и tвн = 20°С , b1-2 =1,3;
εпр = 0,9 – приведенный коэффициент
черноты системы тел;
С0 –
постоянная Больцмана, С0 = 5,67 Вт/ м2 К4
Теплопоступления в цех от
одного аппарата:
В цеху установлено 4 таких
установки. Следовательно, суммарное поступление тепла в цеху от оборудования
будет составлять:
Теплопоступления от электрооборудования
и освещения
Qэл=k×N
N - мощность осветительных приборов
или силового оборудования, Вт
k=k1×k2×k3×k4
k1 = 0,7 - учитывает использование фактической мощности
оборудования;
k2 = 0,5 – учитывает загрузку
оборудования;
k3 = 0,5 – коэффициент одновременности
работы оборудования;
k4 = 0,15 – учитывает долю перехода эл.
энергии в теплоту;
k4 =1 – для светильников;
Для цеха:
Q'эл=0,7×0,5×0,5×0,15×18
= 0,47 кВт=470 Вт;
Qламп=0,7×0,5×0,5×1×2=350
Вт;
Qэл=470 + 350 = 820 Вт;
Для кабинета: Qэл =0 т.к. люминесцентные лампы.
Определение полных теплопотерь и
теплопоступлений в помещения
Qпот = Qстен + Qпол(Qкр) + Qинф;
Qпост = Qчел+ Qэл + QОБ
Qот = Qпот - Qпост;
Для цеха:
Qпот= 27487,06+ 6477,51 + 3063,711=37028,281Вт;
Qпост =900 + 2480 + 820 =4200 Вт
Qот =37028,281 – 4200 = 32828,281 Вт
|
наимен. помещения
|
Qстен, Вт
|
Qинф, Вт
|
Qкр, Вт
|
Qэл, Вт
|
QОБ, Вт
|
Qчел, Вт
|
Qпот, Вт
|
Qпост, Вт
|
Qот, Вт
|
|
ИТП
|
подвал
|
3698,041
|
-
|
-
|
820
|
-
|
-
|
3698,041
|
820
|
2878,04
|
|
кабинет
|
620,23
|
-
|
-
|
-
|
-
|
292
|
620,23
|
292
|
328,23
|
|
раздевалка
|
799,03
|
-
|
-
|
-
|
-
|
-
|
799,03
|
-
|
829,4
|
|
душ
|
724,00
|
-
|
-
|
-
|
-
|
-
|
724,00
|
-
|
749,65
|
|
лестница
|
464,94
|
-
|
-
|
-
|
-
|
-
|
464,94
|
-
|
910,8
|
|
сан.узел
|
573,77
|
-
|
-
|
-
|
-
|
-
|
573,77
|
-
|
482,35
|
|
коридор
|
879,06
|
-
|
-
|
-
|
-
|
-
|
879,06
|
-
|
595,65
|
|
цех
|
1этаж
|
27487,06
|
3063,711
|
6477,51
|
820
|
2480
|
900
|
37028,281
|
4200
|
32828,281
|
|
кабинет
|
1864,23
|
284,47
|
-
|
-
|
-
|
292
|
2148,7
|
292
|
1856,7
|
|
раздевалка
|
1954,25
|
285,78
|
-
|
-
|
-
|
-
|
2240,03
|
-
|
2240,03
|
|
душ
|
2259,89
|
291,28
|
-
|
-
|
-
|
-
|
2551,17
|
-
|
2551,17
|
|
лестница
|
600,41
|
1457,58
|
-
|
-
|
-
|
-
|
2057,99
|
-
|
2057,99
|
|
сан.узел
|
1458,86
|
0,0006
|
-
|
-
|
-
|
-
|
1458,861
|
-
|
1458,861
|
|
коридор
|
-
|
-
|
-
|
-
|
-
|
-
|
-
|
-
|
-
|
|
|
2этаж
|
|
|
|
|
|
|
|
|
|
|
кабинет
|
1864,23
|
202,704
|
1079,58
|
-
|
-
|
292
|
3146,514
|
292
|
2854,514
|
|
раздевалка
|
1954,25
|
213,706
|
1650,52
|
-
|
-
|
-
|
3818,476
|
-
|
3818,476
|
|
душ
|
2259,89
|
224,576
|
887,543
|
-
|
-
|
-
|
3372,009
|
-
|
3372,009
|
|
лестница
|
600,41
|
146,345
|
1017,3
|
-
|
-
|
-
|
1764,055
|
-
|
1764,055
|
|
сан.узел
|
1458,86
|
0,004
|
762,976
|
-
|
-
|
-
|
2221,84
|
-
|
2221,84
|
|
коридор
|
-
|
-
|
1038,06
|
-
|
-
|
-
|
1038,06
|
-
|
1038,06
|
|
ИТОГО:
|
70605,06
|
5896
|
64836,11
|
РАСЧЕТ И ВЫБОР
ОТОПИТЕЛЬНЫХ ПРИБОРОВ
Предварительный
расчет отопительных приборов.
Функцию
непосредственного обогрева помещения выполняют нагревательные приборы,
являющиеся основным элементом системы отопления. В них происходит подача
потребителю тепла, аккумулированного теплоносителем в тепловом пункте системы.
Устройство для обогрева помещения должно наилучшим образом передавать тепло от
теплоносителя в помещение, обеспечивать комфортность тепловой обстановки в
помещение не ухудшая его интерьера, при наименьших затратах средств, а также
металла и других материалов.
Принимаю двухтрубную
систему отопления с нижней разводкой. Температурный график 95/70 °С.
Независимое присоединение к тепловой сети, работающей по температурному графику
150/70 °С, через пластинчатый теплообменник.
Отопительные приборы:
Принимаем стальные
панельные радиаторы компании «Stelrad»
(Голландия). Стальные панельные радиаторы компании «Stelrad» являются приборами высокого дизайна с упрочненной
воздуховыпускной решёткой и несколько скруглёнными углами для травмобезопасности.
Эти радиаторы представляют собой отопительные приборы регистрового типа (с
горизонтальными каналами вверху и внизу каждой панели, соединенными вертикальными
каналами с шагом 33 1/3 мм)
Δtср =
,
где: Δtср - температурный напор;
tпр - температура горячей воды °С;
tобр - температура охлаждённой воды °С;
tв - температура внутреннего воздуха, °С;
где: Gвд - расход воды через отопительный
прибор кг/ч;
Qот - сводные теплопотери Вт;
Свд = 4,187
кДж/кг°С;
tпр - температура горячей воды °С;
tобр - температура охлаждённой воды °С;
коэффициенты β1
и β2 беруться из табл. 9.4 и 9.5 [7].
β1 = 1,04
β2 = 1,02
tпр = 95°С;
tобр = 70°С;
Требуемый номинальный тепловой
поток: Qпрн
для
выбора типоразмера отопителя определяется:
,
где: Qотрасч – требуемая теплота по результатам
теплового баланса помещения;
φк – комплексный коэффициент приведения
Qнусл к расчетным условиям
φк =
,
где: N, p, c – экспериментальные числовые показатели, учитывающие тип
отопительного прибора, направление движения воды и ее расход.
n = 0,15 – для чугунных радиаторов;
b = 0,99 -
коэффициент учета атмосферного давления в данной местности;
ψ
= 0,85 - коэффициент
учета направления движения теплоносителя в отопительном приборе
Коэффициент
избыточного (недостаточного) тепловыделения отопительных приборов из-за
кратности числа секций:
Предварительный
гидравлический расчет сети отопления и выбор диаметров трубопроводов
Гидравлический
расчет выполняется двумя основными способами:
1. по характеристикам гидравлического
сопротивления (исходя из выбранного диаметра труб, в них определяется расход
воды);
2. по удельным линейным потерям
давления (зная расход воды, определяются диаметры трубопроводов).
Принимаем
для стояков, подводки и магистралей водогазопроводные трубы.
Задаемся
диаметрами:
- для
стояков и подводки принимаем Dусл =15 мм ;
- для
магистралей Dусл =25 мм;
При
расчете с использованием характеристик сопротивления трубопроводов линейные и
местные потери давления на участке системы в Па находятся по формуле:
где G – расход воды на участке, кг/ч;
S – характеристика
гидравлического сопротивления участка, Па/(кг/ч)2;
,
где: А
- удельное динамическое давление на участке Па/(кг/ч)2,
определяется по табл 10.7 [7].
dтр и l - эквивалентный диаметр и длина участка;
λ
- коэффициент
гидравлического сопротивления;
Σξ- сумма коэффициентов местных
сопротивлений. Определяется исходя из принятой системы отопления.
Находим
потери до потребителя на самом дальнем и самом ближнем стояке (главное и малое
кольцо) и результаты заносим в таблицу. При большом различии гидравлических
потерь (больше 10 %) необходимо уменьшить разность гидравлических
сопротивлений. Один из способов - шабирование.
На
стояках с меньшими гидравлическими потерями ставятся шайбы, с сопротивлением,
снижающим разность гидравлических сопротивлений стояков к допустимой.
Теплопоступления
от проходящих в помещении труб систем отопления:

lверт и lrop - соответственно длина вертикального
и горизонтального участка, м.
Потери
температуры в трубах находятся по формуле:
, °С
Если в
проектируемом помещении разность Qот – Qтр < 0, то участок трубы (магистрали или
стояка) выполняются в этом помещении с тепловой изоляцией. В качестве тепловой
изоляции будем использовать пенополиуретан.
В подвале для ИТП,
кабинета, раздевалки тепловыделения от труб оказались больше, чем требовалось
на отопление. Оцениваем увеличение температуры в этих помещениях:

,
для ИТП:
G = 98,91 кг/ч,
,
,
т.е. в ИТП будет
увеличение температуры на 2,7 °С (допустимо);
для кабинета: G = 11,28 кг/ч
,
, т.е. в кабинете будет увеличение
температуры на 2,1 °С (допустимо);
для раздевалки: G = 28,50 кг/ч
,
, т.е. в кабинете будет увеличение
температуры на 2,5 °С (допустимо);