|
Расчётная схема
|
Поперечное
сечение
|
|
|
Рекомендуемая литература:
. Дружинина Т.Я., Фильчагина Э.И. Построение эпюр внутренних
силовых факторов: Учебное пособие к расчетно-проектировочным работам и домашним
задачам по курсу сопротивления материалов для студентов машиностроительных и
механических специальностей очного и заочного обучения. - Иркутск: Изд-во
ИрГТУ, 2002. - 99 с., ил.64;
. Методические указания к выполнению курсовых и контрольных
работ для студентов нестроительных специальностей заочной формы обучения.
Составили Т.Я. Дружинина, В.Б. Распопина. - Иркутск: Изд-во ИрГТУ. - 2006.41 с.
Дата выдачи задания: _04_ __марта____2015 г.
Дата представления работы руководителю: 05 _июня____2015 г.
Руководитель курсовой работы ___________________
Содержание
Введение
Часть 1. Расчет рам на прочность и жесткость
Пункт 1. Подбор двутаврового сечения для рамы №1
Пункт 2. Определение перемещения сечения т. К для рамы
№1. С помощью интеграла Мора
Определение перемещения сечения т. К для рамы №1
способом Верещагина
Пункт 3. Подбор круглого сечения по участкам рамы №3 с
помощью IIIтеории прочности
Часть 2. Расчет стержня на устойчивость
Заключение
Список использованных источников
Введение
Сопротивление материалов - есть введение в науку об
инженерных методах расчета конструкций (конструктивных элементов) на прочность,
жесткость и устойчивость.
Под прочностью понимается способность конструкции
сопротивляться заданным нагрузкам не разрушаясь.
Под жесткостью конструкции понимают её способность изменять
свои размеры и форму на величины, не превышающие значений, установленных
нормами эксплуатации.
Под устойчивостью понимается способность конструкции
сохранять определенную начальную форму упругого равновесия.
Зарождение науки о сопротивлении материалов относится к XVII в. и связано с работами
Галилея. Значительный вклад в развитие науки и теории упругости сделан
выдающимися учеными Гуком, Бернулли, Сен-Венаном, Коши, Ламэ и другими, которые
сформулировали основные гипотезы и дали некоторые расчетные уравнения. Работа
Л. Эйлера, посвященная расчету сжатых стержней на устойчивость, широко
используется и в настоящее время. ВXIXв. мировую известность приобретают работы русских
ученых Д.И. Журавского, Х.С. Головина и др. Важные и интересные исследования по
расчету сжатых стержней на устойчивость, не потерявшие значения и до настоящего
времени, выполнены в конце XIX в.Ф.С. Ясинским. В XXвеке появляются работы
И.Г. Бубнова, А.Н. Крылова и др., посвященные дальнейшему развитию и
совершенствованию методов сопротивления материалов. Важные исследования
выполнены Ю.Н. Работновым, А.А. Ильюшиным, Э.И. Григолюком и многими другими
советскими учеными.
Знание науки о сопротивлении материалов является обязательным
в деле подготовки первоклассного специалиста. Оно, наряду со знанием ряда
других общеинженерных дисциплин, составляет базис знаний инженера, а гипотезы и
методы науки о сопротивлении материалов позволяют производить расчеты различных
инженерных конструкций и сооружений на прочность, жесткость, устойчивость и
позволяют прогнозировать поведение конструкции при тех или иных режимах
эксплуатации, избегать нагрузок, ведущих к неустойчивому состоянию и
разрушению.
брус прочность поперечное сечение
Часть
1. Расчет рам на прочность и
жесткость
Пункт I.
Построение эпюр внутренних силовых факторов
Дано:

Рама №1
Для определения неизвестных реакций составляем уравнения статики:
) 
, 
) 
) 
из 2): 
из 3): 
из 1): 
Проверка:
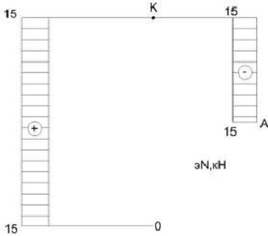
Расчет внутренних силовых факторов:

;


;


;


;


; 

;


Рама №2
Для определения неизвестных реакций составляем уравнения статики:
) 
, 
) 
) 
из 2): 
из 3): 

Проверка:
Расчет внутренних силовых факторов:


Рама №3
Расчет внутренних силовых факторов:



Пункт 1.
Подбор двутаврового сечения для рамы №1
С помощью сортамента прокатной стали (ГОСТ 8239 - 72*)
подбираем наиболее походящее значение табличного момента сопротивления двутаврового
сечения относительно центральной оси, перпендикулярной стенки двутавра. В
данном случае это двутавр №22
Нормальные напряжения:
Сечение симметричное, 
равны друг другу

= 
= 4,9

= 
- 
= 145,4 - 4,9 = 140,5

= 
+ 
= 145,4 + 4,9 = 150,3
Вычисления показывают, что имеет место недонапряжение150,3<160.
Определим процент недонапряжения:


100% = 6,06% < 9%.
Что допустимо. Следовательно, двутавровое сечение подобрано.
Пункт
2.
Определение перемещения
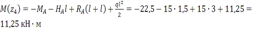
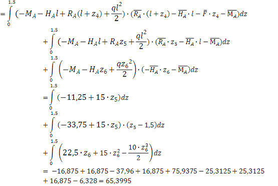
сечения т. К для рамы №1. С помощью интеграла Мора
Формируется заданная система
В точке К прикладывается единичная сила F=1 (вертикальная)
Составляем уравнения равновесия статики для изгибающего
момента заданной системы и определяем моменты:

, 


, 

, 
Поскольку результат вычислений больше нуля, направление
перемещения совпадает с направлением единичной силы.
Определение
перемещения сечения т. К для рамы №1 способом Верещагина
1. Единичная система

. Составим выражение Верещагина для определения
перемещения.

=
Расхождение результатов метода Мора и Верещагина равно:
Пункт
3.
Подбор круглого сечения по
участкам рамы №3 с помощью IIIтеории прочности
Условие прочности при изгибе:
Тогда условие проектировочной задачи принимает следующий вид:
.
Для круглого сечения осевой момент сопротивления равен:

, тогда 
Расчетные значения диаметра вала округляются до ближайшего
стандартного значения [8]: 10, 10.5, 11, 11.5, 12, 13, 14, 15, 16, 17, 18, 19,
20, 21, 22, 24, 25, 26, 28, 30, 32, 34, 36, 38, 40, 42, 45, 48, 50, 53, 56, 60,
63, 67, 71, 75, 80, 85, 90, 95, 100, 105, 110, 120, 125, 130, 140, 150, 160,
170, 180, 190, 200, 210, 220, 240.
Часть 2.
Расчет стержня на устойчивость
|
Расчётная схема
|
Поперечное сечение
|
|
|
1. Найти размеры поперечного сечения стержня при допускаемом
напряжении на центральное сжатие 
, пользуясь методом последовательных приближений.
Условие устойчивости:
Тогда
где, 
коэффициент уменьшения допускаемого напряжение на сжатие, или
коэффициент продольного изгиба.
,
Площадь поперечного сечения:
тогда
Минимальный радиус инерции:
Первое приближение:

, тогда
По таблице определяем значение коэффициента
, соответствующего гибкости
.
Путём линейной интерполяции:
.
Проверим выполнение условия устойчивости в первом приближении. Для
этого вычислим рабочие напряжения первого приближения:
.
Затем определим допускаемые напряжения по устойчивости в первом
приближении:
.
Из приведённых вычислений следует, что условие устойчивости не
выполняется, так как:
.
В этом случае перенапряжение составляет:
,
что недопустимо. Следовательно, необходимо второе приближение.
· Выполняем второе приближение. Во втором
приближении коэффициент продольного изгиба:
.
Тогда площадь сечения:
.
Диаметр:
,
Гибкость колонны:
.
Определяем значение коэффициента
, соответствующего этой гибкости.
.
Проверим выполнение условия устойчивости во втором приближении.
Для этого вычислим рабочие напряжения второго приближения:
Затем определим допускаемые напряжения по устойчивости во втором
приближении:
Из приведённых вычислений следует, что условие устойчивости не
выполняется, так как:
.
В этом случае перенапряжение составляет:
что допустимо, так как оно не превышает 5%. То есть, окончательно
принимаем:
следовательно, сечение имеет размеры 10,56×17,6 мм,
,
.
Заключение
В данной работе были проделаны расчеты на прочность,
жесткость рам, расчеты на устойчивость стержня. Были освоены методики
построения эпюр внутренних силовых факторов, методики расчетов на жесткость и
прочность, методики подбора сечения, а также способы определения перемещения
сечений с помощью интеграла Мора и способа Верещагина.
Список
использованных источников
1.
Степин П.А. Сопротивление материалов: Учебник.10-е изд., стер. - СПб.:
Издательство "Лань", 2010. - 320 с.: ил. - (Учебники для вузов.
Специальная литература).
.
Распопина В.Б. Сопротивление материалов. Определение геометрических
характеристик поперечных сечений стержневых конструктивных элементов
аналитически и с помощью модуля APMStructure 3D программного комплекса WinMachine: учеб. пособие. -
Иркутск: Изд-во ИрГТУ, 2012. - 152с.
.
В.Б. Квактун, Мартыненко М.Г. Сопротивление материалов. Лабораторный практикум.
- Иркутск: Изд-во ИрГТУ. - 1999. - 272 с. ил. 195
.
Интернет-ресурс www.soprotmat.ru