Основы логистики
МИНИСТЕРСТВО
ОБРАЗОВАНИЯ И НАУКИ РОССИЙСКОЙ ФЕДЕРАЦИИ
Федеральное
государственное бюджетное образовательное учреждение
высшего
профессионального образования
«Кузбасский
государственный технический университет
имени Т. Ф.
Горбачева»
Кафедра:
«Автомобильных перевозок»
КУРСОВАЯ
РАБОТА
по
дисциплине: “Основы логистики”
Выполнил: студент гр. АТз-09
Проверил: ст. преподаватель
Сидорова С.Н.
Кемерово
2015
Содержание
Задание на курсовую работу
. Организация производства готовой
продукции
2. Организация
материально-технического снабжения (закупок сырья)
Список литературы
Приложение
Задание на курсовую работу
Динамика спроса за год
|
k
|
1
|
2
|
3
|
4
|
5
|
6
|
|
rk,
т
|
40
|
35
|
44
|
46
|
39
|
42
|
Исходные данные за год
|
t
|
Gt,
руб.
|
Cmt,
руб./т
|
Sпрt,
руб./т
|
Sхрt,
руб./т
|
|
1
|
1039,6
|
487,8
|
20,04
|
47,17
|
|
2
|
1494,7
|
377,5
|
22,85
|
49,75
|
|
3
|
1142,1
|
477,7
|
25,76
|
41,12
|
|
4
|
867,2
|
379,2
|
24,18
|
49,47
|
|
5
|
1389
|
407,7
|
22,13
|
40,3
|
|
6
|
1353,7
|
499,1
|
28,48
|
45,22
|
1. Организация производства готовой продукции
запас
снабжение сырье производство
Содержательная постановка задачи. На
производственное предприятие периодически в течение года согласно графику,
поступают заказы на производство продукции в соответствии со спросом. Если
предприятие не может выполнить эти заказы, оно терпит убытки от недополученной
прибыли. С другой стороны, если производственные возможности предприятия выше
требуемых, оно также терпит убытки из-за излишнего количества запасов на складе
готовой продукции. Если известны зависимости затрат (убытков) от
неудовлетворения спроса и от переизбытка запасов, то можно установить
оптимальную политику выпуска готовой продукции, при которой суммарные издержки
по производству и запасам будут минимальными.
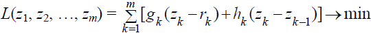
Математическая постановка задачи. Обозначим
через rk спрос, а через zk − необходимую производительность предприятия в
k-м периоде, k = 1,m, где m - число заказов, поступающих в течение года
(периоды). При этом z0 = c − некоторый фиксированный начальный уровень
производства. Для своевременного выполнения заказов требуется, чтобы спрос
всегда удовлетворялся, т.е. zk ≥ rk, k = 1,m .
В соответствии с этим введём две функции
убытков:
а) gk * (zk - rk) − убытки в k-м периоде,
вызванные тем, что производство превышает спрос и появляются излишние запасы
(zk >rk, k = 1,m);
б) hk * (zk - zk-1) − убытки в k-м периоде,
вызванные неравномерностью производственной программы по месяцам (zk ≠
rk, k = 1,m).
Таким образом, первая функция (gk) определяет
убытки от перепроизводства продукции, вторая (hk) − убытки, связанные с
изменением уровня запасов или обслуживания.
Тогда целевая функция может быть записана в
виде:
при ограничениях
zk ≥ rk, k = 1,m
Данная задача может быть решена методом
динамического программирования. Обозначим через fk (c) суммарные издержки при
оптимальной производственной программе на год, если до конца планируемого
периода остается k периодов. Тогда оптимальное решение можно получить с помощью
следующих рекуррентных соотношений:
Начальные условия: fm+1(c) = 0 и r0 = 0.
Исходные данные:
По прогнозу ожидается получение заказов 6 раз в
течение года в объемах, приведенных в табл. 1.1. Требуется установить
оптимальную производственную программу на год.
Динамика спроса за год
|
k
|
1
|
2
|
3
|
4
|
5
|
6
|
|
rk,
т
|
40
|
35
|
44
|
46
|
39
|
42
|
Функцию издержек вследствие перепроизводства
продукции принимают равной
gk * (zk -rk) = 2 * (zk-rk) + 10, k
= 1,6.
Затраты на увеличение прозводительности
предполагают равными этому увеличению
(zk - с) = 3а, где, а = max (zk - с), k = 1
, а затраты на уменьшение производительности −
равными нулю.
Расчёт начинаем с конца, т.е. с 6-го периода.
Так как rk = r6 = 42, rk-1 = r5 = 39, max rk = 46, то получаем соответственно:
39 <= c <= 46, 42 <= z6 <= 46
Алгоритм расчета следующий: фиксируем c = 39 и
перебираем значения z6 от минимального (39 т) до максимального (46 т). Имеем:
c = 36; z6
= 0; a = 0;
f6(39,42) =
[2*(42-42)+10] + 3*a + f7(39)
= 2*0 + 10 + 3*7 + 0 = 31
f6(39,43) =
[2*(42-43)+10] + 3*a + f7(39)
= 2*1 + 10 + 3*7 + 0 = 33
На втором этапе увеличиваем c на единицу и
повторяем расчёты. Расчёты продолжаются до достижения значения с = 43.
Результаты расчётов сведены в табл. 1.2.
Из табл. 1.2 видно, что для каждого значения с
имеется своё минимальное значение функции f6(c). Значения z, соответствующие
этому минимальному значению функции f6(c), должны быть признаны оптимальными
для соответствующих с при k = 6. Они заносятся в табл. 1.4, которая в
дальнейшем будет использована для определения оптимальной программы
производства.
Значения функции f6(c)
|
k
|
а
|
с
|
zk
|
f6(c)
|
|
42
|
7
|
39
|
42
|
31
|
|
42
|
6
|
40
|
42
|
28
|
|
42
|
5
|
41
|
42
|
25
|
|
42
|
4
|
42
|
42
|
10
|
|
42
|
3
|
43
|
42
|
10
|
|
42
|
2
|
44
|
42
|
10
|
|
42
|
1
|
45
|
42
|
10
|
|
42
|
0
|
46
|
42
|
10
|
Затем переходим к расчетам с 5-го по 1-й период
включительно. Все расчеты с 6-го по 1-й период приведены в таблице 1.3
приложения 1.
Полученная таким образом оптимальная
производственная программа за год представлена в табл. 1.4.
Оптимальная производственная программа за год
|
k
|
1
|
2
|
3
|
4
|
5
|
6
|
|
rk,
т
|
40
|
35
|
44
|
46
|
39
|
42
|
|
Zk,
т
|
44
|
44
|
44
|
46
|
42
|
42
|
. Организация материально-технического снабжения
(закупок сырья)
Содержательная постановка задачи. Для
производства товара используется сырьё, потребность в котором определяется
производственной программой. В зависимости от объемов и сроков поставок партий
сырья, типа груза и требований, предъявляемых к нему, а также надёжности
поставок, осуществляется выбор вида транспорта по критерию минимума совокупных
затрат в процессе товародвижения. Для определения моментов предъявления заказов
на пополнение запасов сырья выбирается динамическую модель в виде процесса с
периодом, равным году, и временным интервалом, равным 12/m, где m − число
рассматриваемых периодов (т = 6), с учетом динамики расходования сырья и
изменения стоимостных параметров во времени.
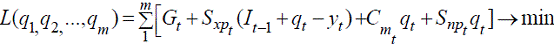
Математическая постановка задачи. Обозначим
через qt − объем поставки сырья в момент времени t, т; уt − расход
данного вида сырья на складе в момент времени t, т; Gt − затраты на
доставку партии заказа, руб.; Sхрt − затраты на хранение единицы запаса в
единицу времени, р./т; Cmt − стоимость 1 т груза, руб.; Sпрt −
удельные затраты на проведение погрузочно-разгрузочных операций, включая
затраты на использование погрузочно-разгрузочных механизмов, р./т.
Тогда суммарные затраты в единицу времени,
которые необходимо свести к минимуму, определятся из выражения:
при ограничениях:
· на вместимость хранилищ склада
· по загрузке транспортных средств
· на не отрицательность переменных
где It − текущий уровень запасов сырья на
складе потребителя в момент времени t, т; вместимость склада, т; Iстр −
страховой уровень запасов для обеспечения бесперебойной работы предприятия на
случай возможной задержки поставки, т; g − вместимость одного автомобиля
заданной грузоподъемности для доставки сырья потребителю, т; N −
количество автомобилей для перевозки сырья потребителю.
Для снижения затрат на доставку перевозка
заказанного сырья производится целым количеством автомобилей.
В модели учитываются также скидки с цены на
продукцию, зависящие от объемов поставки. Используя систему скидок, оптовую
цену на сырьё можно описать выражением:
где n - общее число диапазонов объемов поставок,
где действует скидка; cи − скидка с оптовой цены (%), которая действует в
диапазоне от минимального au до максимального Bu объема поставки.
Данная задача также может быть решена методом
динамического программирования. Обозначим через ft(c) суммарные затраты за
периоды с 1 по t при оптимальной политике поставок сырья. Тогда оптимальное
решение можно получить с помощью рекуррентных соотношений
Начальные условия: f0(c) = 0. Исходные данные:
Потребность в сырье за год зависит от производственной программы,
представленной в табл. 1.6. Для доставки сырья используются автомобили
грузоподъемностью g = 12 т. Количество их не ограничено. Емкость склада V
составляет 340 т. Текущий запас на складе на момент начала наблюдения I0 равен
60 т. Страховой запас Iстр составляет 0 т. Задержки поставки отсутствуют.
Исходные данные по транспортным тарифам Gt, стоимости товара Cmt, затратам на
хранение Sхрt и погрузочно-разгрузочные операции Sпрt, меняющиеся в течение
года, приведены в таблице 2.1
Исходные данные за год
|
t
|
Gt,
руб.
|
Cmt,
руб./т
|
Sпрt,
руб./т
|
Sхрt,
руб./т
|
|
1
|
1039,6
|
487,8
|
20,04
|
47,17
|
|
2
|
1494,7
|
377,5
|
22,85
|
49,75
|
|
3
|
1142,1
|
477,7
|
25,76
|
41,12
|
|
4
|
867,2
|
379,2
|
24,18
|
49,47
|
|
5
|
1389
|
407,7
|
22,13
|
40,3
|
|
6
|
1353,7
|
499,1
|
28,48
|
45,22
|
Система скидок выглядит следующим образом: при
закупках сырья в объёме от 4 до 10 т поставщик делает скидку в 2%, от 11 до 25
т - 3%, от 26 до 40 т - 5%, от 41 до 80 т - 7%, свыше 80 т - 10%.
Используя перечисленные выше экономические и
технологические параметры, определяем оптимальные объёмы поставок сырья в
течение года. Суммарный спрос за год в соответствии с данными табл. 1.6
составляет 246. Так как поставки осуществляют полностью загруженными
автомобилями то данная сумма должна делиться нацело на 12, т.е. границы
изменения для c от 0 до 252 т с шагом 12 т.
Для 1-го периода:
I1 = I0
- y1 + q1
= 60 - 40 + q1 = 20 + q1
> Iстр = 20
Максимальное поступление сырья составляет 340 т.
Имеем (252 + 20 = 272 < V = 300 т), т.е. неравенство на этом этапе не
выполняется. При c = 0 и q1 = 0 получаем:
f1(0-0) = (G1(0))
+ (Cm1 * 0 * 0) + (Snp1
* 0) + (Sxp1 * I0)
+ f0(0 - 0) = (1039,6
* 0) + (487,8 * 0 * 0) + (20,04 * 0) + (47,17 * 60) + (0) = (0) + (0) + (0) +
(2830,2) + (0) = 2830,2 руб.
Для с = 0 - это единственные значения f1(c) и
q1, поэтому они должны быть признаны оптимальными.
При c = 10 и q1 = 0 значение f1(12−0)
будет равно f1(0−0) и составит также 2830,2 руб. Аналогично будет
обстоять дело и для всех остальных с, т.е.(0−0) = f1(12−0) = f1(24−0)
= … = f1(252−0) = 2830,2 руб.
При формировании партии поставки в 12 т можно
использовать 1 автомобиль, и предоставляется скидка с цены в размере 3
Минимальные затраты при оптимальной политике
поставок сырья составят f6(252) = 170764,3 руб. Используя данные таблицы 2.4 и
двигаясь в обратном направлении т.е. от 6-го до 1-го периода, получим план
поставок сырья на год, оптимальные значения функции f1(c) - f6(c) приведены в
таблице 2.5.
Оптимальные значения функции f1(c) - f5(c)
|
t
|
c
|
q1
|
fk(c)
|
|
1
|
60
|
0
|
2830,2
|
|
2
|
72
|
12
|
29614,05
|
|
3
|
108
|
36
|
66104,71
|
|
4
|
156
|
48
|
111637,8
|
|
5
|
204
|
48
|
138781,6
|
|
6
|
252
|
48
|
170764,3
|
Результаты расчётов при оптимальной политике
поставок сырья приведены в таблице 2.6
Результаты расчетов за год
|
t
|
Спрос
yt, т
|
Текущий
уровень запаса It, т
|
Объем
поставки qt,
т
|
Затраты
нарастающим итогом, руб.
|
|
1
|
40
|
20
|
0
|
2830,2
|
|
2
|
35
|
9
|
12
|
29614,05
|
|
3
|
44
|
1
|
36
|
66104,71
|
|
4
|
46
|
3
|
48
|
111637,8
|
|
5
|
39
|
0
|
48
|
138781,6
|
|
6
|
42
|
1
|
48
|
170764,3
|
Список литературы
. Основы
логистики: учеб. пособие / под ред. Л. Б. Миротина, В. И. Сергеева. - М.:
ИНФРА-М, 2006. - 200 с.
2. Воронов
Ю. Е. Основы логистики: текст лекций (электронная версия). - Кемерово, 2009. -
83 с.
. Пилишенко
А. Н. Логистика: практикум / под ред. Н. К. Моисеевой. - М.: МИЭТ, 1998. - 172
с.
. Гордон
М. П. Логистика товародвижения / М. П. Гордон, С.Б. Карнаухов. - М.: Центр
экономики и маркетинга, 1998. - 168 с.
. Мельник
М. М. Экономико-математические методы в материально-техническом снабжении. -
М., 2000. - 325 с.
. Беллман
Р. Прикладные задачи динамического программирования / Р. Беллман, С. Дрейфус. -
М.: Наука, 1990. - 407 с.
. Исследование
операций в экономике: учеб. пособие для вузов / Н. Ш. Кремер, Б. А. Путко, И.
М. Тришин, М. Н. Фридман; под ред. проф. Н. Ш. Кремера. - М.: ЮНИТИ, 2001.
. Калихман
И. Л. Динамическое программирование в примерах и задачах / И. Л. Калихман, М.
А. Войтенко. - М.: Высш. шк., 1989. - 125 с.
Приложение №1
|
r6
|
а
|
с
|
z6
|
fk
|
|
42
|
7
|
39
|
42
|
31
|
|
42
|
7
|
39
|
43
|
33
|
|
42
|
7
|
39
|
44
|
35
|
|
42
|
7
|
45
|
37
|
|
42
|
7
|
39
|
46
|
39
|
|
r6асz6fk
|
|
|
|
|
|
42
|
0
|
46
|
42
|
10
|
|
42
|
0
|
46
|
43
|
12
|
|
42
|
0
|
46
|
44
|
14
|
|
42
|
0
|
46
|
45
|
16
|
|
42
|
0
|
46
|
46
|
18
|
|
r5асz5fk
|
|
|
|
|
|
39
|
0
|
46
|
39
|
41
|
|
39
|
0
|
46
|
40
|
40
|
|
39
|
0
|
46
|
41
|
39
|
|
39
|
0
|
46
|
42
|
26
|
|
39
|
0
|
46
|
43
|
28
|
|
39
|
0
|
46
|
44
|
30
|
|
39
|
0
|
46
|
45
|
32
|
|
39
|
0
|
46
|
46
|
34
|
|
r4асz4fk
|
|
|
|
|
|
46
|
2
|
44
|
46
|
42
|
|
|
|
|
|
|
|
|
|
|
|
r4
|
а
|
с
|
z4
|
fk
|
|
46
|
1
|
45
|
46
|
39
|
|
|
|
|
|
|
|
|
|
|
|
r4
|
а
|
с
|
z4
|
fk
|
|
46
|
0
|
46
|
46
|
36
|
|
r3
|
а
|
с
|
z3
|
fk
|
|
44
|
11
|
35
|
44
|
85
|
|
44
|
11
|
35
|
45
|
84
|
|
44
|
11
|
35
|
46
|
83
|
|
r3асz3fk
|
|
|
|
|
|
44
|
0
|
46
|
44
|
52
|
|
44
|
0
|
46
|
45
|
51
|
|
44
|
0
|
46
|
46
|
50
|
|
r2асz3fk
|
|
|
|
|
|
35
|
6
|
40
|
35
|
93
|
|
35
|
6
|
40
|
36
|
92
|
|
35
|
6
|
40
|
37
|
91
|
|
35
|
6
|
40
|
38
|
90
|
|
35
|
6
|
40
|
39
|
89
|
|
35
|
6
|
40
|
40
|
88
|
|
35
|
6
|
40
|
41
|
105
|
|
35
|
6
|
40
|
42
|
104
|
|
35
|
6
|
40
|
43
|
103
|
|
35
|
6
|
40
|
44
|
98
|
|
35
|
6
|
40
|
45
|
99
|
|
35
|
6
|
40
|
46
|
100
|
|
r2асz2fk
|
|
|
|
|
|
35
|
0
|
46
|
35
|
93
|
|
35
|
0
|
46
|
36
|
92
|
|
35
|
0
|
46
|
37
|
91
|
|
35
|
0
|
46
|
38
|
90
|
|
35
|
0
|
46
|
39
|
89
|
|
35
|
0
|
46
|
40
|
88
|
|
35
|
0
|
46
|
41
|
87
|
|
35
|
0
|
46
|
42
|
86
|
|
35
|
0
|
46
|
43
|
85
|
|
35
|
0
|
46
|
44
|
80
|
|
35
|
0
|
46
|
45
|
81
|
|
35
|
0
|
46
|
46
|
82
|
|
r1
|
а
|
с
|
z3
|
fk
|
|
40
|
46
|
0
|
40
|
236
|
|
40
|
46
|
0
|
41
|
237
|
|
40
|
46
|
0
|
42
|
238
|
|
40
|
46
|
0
|
43
|
239
|
|
40
|
46
|
0
|
44
|
236
|
|
40
|
46
|
0
|
45
|
238
|
|
40
|
46
|
0
|
46
|
240
|
|
r1асz1fk
|
|
|
|
|
|
40
|
0
|
46
|
40
|
98
|
|
40
|
0
|
46
|
41
|
99
|
|
40
|
0
|
46
|
42
|
100
|
|
40
|
0
|
46
|
43
|
101
|
|
40
|
0
|
46
|
44
|
98
|
|
40
|
0
|
46
|
45
|
100
|
|
40
|
0
|
46
|
46
|
102
|
|
42
|
7
|
39
|
42
|
31
|
6
|
|
|
42
|
6
|
40
|
42
|
28
|
6
|
|
|
42
|
5
|
41
|
42
|
6
|
|
|
42
|
4
|
42
|
42
|
10
|
6
|
|
|
42
|
3
|
43
|
42
|
10
|
6
|
|
|
42
|
2
|
44
|
42
|
10
|
6
|
|
|
42
|
1
|
45
|
42
|
10
|
6
|
|
|
42
|
0
|
46
|
42
|
10
|
6
|
|
|
39
|
0
|
46
|
42
|
26
|
5
|
|
|
46
|
2
|
44
|
46
|
42
|
4
|
|
|
46
|
1
|
45
|
46
|
39
|
4
|
|
|
46
|
0
|
46
|
46
|
36
|
4
|
|
|
44
|
11
|
35
|
46
|
83
|
3
|
|
|
44
|
10
|
36
|
46
|
80
|
3
|
|
|
44
|
9
|
37
|
46
|
77
|
3
|
|
|
44
|
8
|
38
|
46
|
74
|
3
|
|
|
44
|
7
|
39
|
46
|
71
|
3
|
|
|
44
|
6
|
40
|
46
|
68
|
3
|
|
|
44
|
5
|
41
|
46
|
65
|
3
|
|
|
44
|
4
|
42
|
46
|
62
|
3
|
|
|
44
|
3
|
43
|
46
|
59
|
3
|
|
|
44
|
2
|
44
|
44
|
52
|
3
|
|
|
44
|
1
|
45
|
45
|
51
|
3
|
|
|
44
|
0
|
46
|
46
|
50
|
3
|
|
|
35
|
6
|
40
|
40
|
82
|
2
|
|
|
35
|
5
|
41
|
41
|
81
|
2
|
|
|
35
|
4
|
42
|
42
|
80
|
2
|
|
|
35
|
3
|
43
|
43
|
79
|
2
|
|
|
35
|
2
|
44
|
44
|
74
|
2
|
|
|
35
|
1
|
45
|
44
|
74
|
2
|
|
|
35
|
0
|
46
|
44
|
74
|
2
|
|
|
40
|
46
|
0
|
40
|
236
|
1
|
|
|
40
|
45
|
1
|
40
|
233
|
1
|
|
|
40
|
44
|
2
|
40
|
230
|
1
|
|
|
40
|
43
|
3
|
40
|
227
|
1
|
|
|
40
|
42
|
4
|
40
|
224
|
1
|
|
|
40
|
41
|
5
|
40
|
221
|
1
|
|
|
40
|
40
|
6
|
40
|
218
|
1
|
|
|
40
|
39
|
7
|
40
|
215
|
1
|
|
|
40
|
38
|
8
|
40
|
212
|
1
|
|
|
40
|
37
|
9
|
40
|
209
|
1
|
|
|
40
|
36
|
10
|
40
|
206
|
1
|
|
|
40
|
35
|
11
|
40
|
203
|
1
|
|
|
40
|
34
|
12
|
40
|
200
|
1
|
|
|
40
|
33
|
13
|
40
|
197
|
1
|
|
|
40
|
32
|
14
|
40
|
194
|
1
|
|
|
40
|
31
|
15
|
40
|
191
|
1
|
|
|
40
|
30
|
16
|
40
|
188
|
1
|
|
|
40
|
29
|
17
|
40
|
185
|
1
|
|
|
40
|
28
|
18
|
40
|
182
|
1
|
|
|
40
|
27
|
19
|
40
|
179
|
1
|
|
|
40
|
26
|
20
|
40
|
176
|
1
|
|
|
40
|
25
|
21
|
40
|
173
|
1
|
|
|
40
|
24
|
22
|
40
|
170
|
1
|
|
|
40
|
23
|
23
|
40
|
167
|
1
|
|
|
40
|
22
|
24
|
40
|
164
|
1
|
|
|
40
|
21
|
25
|
40
|
161
|
1
|
|
|
40
|
20
|
26
|
40
|
158
|
1
|
|
|
40
|
19
|
27
|
40
|
155
|
1
|
|
|
40
|
18
|
28
|
40
|
152
|
1
|
|
|
40
|
17
|
29
|
40
|
149
|
1
|
|
|
40
|
30
|
40
|
146
|
1
|
|
|
40
|
15
|
31
|
40
|
143
|
1
|
|
|
40
|
14
|
32
|
40
|
140
|
1
|
|
|
40
|
13
|
33
|
40
|
137
|
1
|
|
|
40
|
12
|
34
|
40
|
134
|
1
|
|
|
40
|
11
|
35
|
40
|
131
|
1
|
|
|
40
|
10
|
36
|
40
|
128
|
1
|
|
|
40
|
9
|
37
|
40
|
125
|
1
|
|
|
40
|
8
|
38
|
40
|
122
|
1
|
|
|
40
|
7
|
39
|
40
|
119
|
1
|
|
|
40
|
6
|
40
|
40
|
98
|
1
|
|
|
40
|
5
|
41
|
40
|
98
|
1
|
|
|
40
|
4
|
42
|
40
|
98
|
1
|
|
|
40
|
3
|
43
|
40
|
98
|
1
|
|
|
40
|
2
|
44
|
44
|
98
|
1
|
|
|
40
|
1
|
45
|
44
|
98
|
1
|
|
|
40
|
0
|
46
|
44
|
98
|
1
|
|
|
r6
|
а
|
с
|
z6
|
fk
|
|
|
|
f(0-0)
|
2830,2
|
0
|
0
|
0
|
1
|
|
|
f(12-12)
|
8526,048
|
12
|
12
|
1
|
1
|
|
|
f(24-24)
|
15991,62
|
24
|
24
|
2
|
1
|
|
|
f(36-36)
|
23164,52
|
36
|
36
|
3
|
1
|
|
|
f(48-48)
|
30103,27
|
48
|
48
|
4
|
1
|
|
|
f(60-60)
|
37393,24
|
60
|
60
|
5
|
1
|
|
|
f(72-72)
|
44683,21
|
72
|
72
|
6
|
1
|
|
|
f(84-84)
|
50743,92
|
84
|
84
|
7
|
1
|
|
|
f(96-96)
|
57858,28
|
96
|
96
|
8
|
1
|
|
|
f(108-108)
|
64972,64
|
108
|
108
|
9
|
1
|
|
|
f(120-120)
|
72087
|
120
|
120
|
10
|
1
|
|
|
f(132-132)
|
79201,36
|
132
|
132
|
11
|
1
|
|
|
f(144-144)
|
86315,72
|
144
|
144
|
12
|
1
|
|
|
f(156-156)
|
93430,08
|
156
|
156
|
13
|
1
|
|
|
f(168-168)
|
100544,4
|
168
|
168
|
14
|
1
|
|
|
f(180-180)
|
107658,8
|
180
|
180
|
15
|
1
|
|
|
f(192-192)
|
114773,2
|
192
|
192
|
16
|
1
|
|
|
f(204-204)
|
121887,5
|
204
|
204
|
17
|
1
|
|
|
f(216-216)
|
129001,9
|
216
|
216
|
18
|
1
|
|
|
f(228-228)
|
136116,2
|
228
|
228
|
19
|
1
|
|
|
f(240-240)
|
143230,6
|
240
|
240
|
20
|
1
|
|
|
f(252-252)
|
150345
|
252
|
252
|
21
|
1
|
|
|
|
|
c
|
q1
|
g
|
2
|
|
f(0-0)
|
77455,2
|
0
|
0
|
0
|
2
|
|
f(12-12)
|
29614,05
|
12
|
12
|
1
|
2
|
|
f(24-24)
|
29959,37
|
24
|
24
|
2
|
2
|
|
f(36-36)
|
43892,27
|
36
|
36
|
3
|
2
|
|
f(48-48)
|
57591,02
|
48
|
48
|
4
|
2
|
|
f(60-60)
|
71640,99
|
60
|
60
|
5
|
2
|
|
f(72-72)
|
85690,96
|
72
|
72
|
6
|
2
|
|
f(84-84)
|
98511,67
|
84
|
84
|
7
|
2
|
|
f(96-96)
|
112386
|
96
|
96
|
8
|
2
|
|
f(108-108)
|
126260,4
|
108
|
108
|
9
|
2
|
|
f(120-120)
|
140134,8
|
120
|
120
|
10
|
2
|
|
f(132-132)
|
154009,1
|
132
|
132
|
11
|
2
|
|
f(144-144)
|
167883,5
|
144
|
144
|
12
|
2
|
|
f(156-156)
|
181757,8
|
156
|
156
|
13
|
2
|
|
f(168-168)
|
195632,2
|
168
|
168
|
14
|
2
|
|
f(180-180)
|
209506,6
|
180
|
180
|
15
|
2
|
|
f(192-192)
|
223380,9
|
192
|
192
|
16
|
2
|
|
f(204-204)
|
237255,3
|
204
|
204
|
17
|
|
f(216-216)
|
251129,6
|
216
|
216
|
18
|
2
|
|
f(228-228)
|
265004
|
228
|
228
|
19
|
2
|
|
f(240-240)
|
278878,4
|
240
|
240
|
20
|
2
|
|
f(252-252)
|
292752,7
|
252
|
252
|
21
|
2
|
|
|
|
|
|
|
|
|
|
|
|
|
|
|
|
|
|
|
|
|
c
|
q1
|
g
|
3
|
|
f(0-0)
|
221375,2
|
0
|
0
|
0
|
3
|
|
f(12-12)
|
131201,7
|
12
|
12
|
1
|
3
|
|
f(24-24)
|
89214,67
|
24
|
24
|
2
|
3
|
|
f(36-36)
|
66104,71
|
36
|
36
|
3
|
3
|
|
f(48-48)
|
87193,9
|
48
|
48
|
4
|
3
|
|
f(60-60)
|
108634,3
|
60
|
60
|
5
|
3
|
|
f(72-72)
|
130074,7
|
72
|
72
|
6
|
3
|
|
f(84-84)
|
150285,9
|
84
|
84
|
7
|
3
|
|
f(96-96)
|
171550,7
|
96
|
96
|
8
|
3
|
|
f(108-108)
|
192815,5
|
108
|
108
|
9
|
3
|
|
f(120-120)
|
214080,3
|
120
|
120
|
10
|
3
|
|
f(132-132)
|
235345,1
|
132
|
132
|
11
|
3
|
|
f(144-144)
|
256609,9
|
144
|
144
|
12
|
3
|
|
f(156-156)
|
277874,7
|
156
|
156
|
13
|
3
|
|
f(168-168)
|
299139,5
|
168
|
168
|
14
|
3
|
|
f(180-180)
|
320404,3
|
180
|
180
|
15
|
3
|
|
f(192-192)
|
341669,1
|
192
|
192
|
16
|
3
|
|
f(204-204)
|
362933,9
|
204
|
204
|
17
|
3
|
|
f(216-216)
|
384198,7
|
216
|
216
|
18
|
3
|
|
f(228-228)
|
405463,5
|
228
|
228
|
19
|
3
|
|
f(240-240)
|
426728,3
|
240
|
240
|
20
|
3
|
|
f(252-252)
|
447993,1
|
252
|
252
|
21
|
3
|
|
cq1g4
|
|
|
|
|
|
|
f(0-0)
|
443990,2
|
0
|
0
|
0
|
4
|
|
f(12-12)
|
300069,4
|
12
|
12
|
1
|
4
|
|
f(24-24)
|
204335,2
|
24
|
24
|
2
|
4
|
|
f(36-36)
|
127341,5
|
36
|
36
|
3
|
4
|
|
f(48-48)
|
111637,8
|
48
|
48
|
4
|
4
|
|
f(60-60)
|
139152,1
|
60
|
60
|
5
|
4
|
|
f(72-72)
|
166666,4
|
72
|
72
|
6
|
4
|
|
f(84-84)
|
192951,4
|
84
|
84
|
7
|
4
|
|
f(96-96)
|
220290,1
|
96
|
96
|
8
|
4
|
|
f(108-108)
|
247628,8
|
108
|
108
|
9
|
4
|
|
f(120-120)
|
274967,5
|
120
|
120
|
10
|
4
|
|
f(132-132)
|
302306,2
|
132
|
132
|
11
|
4
|
|
f(144-144)
|
329644,8
|
144
|
144
|
12
|
4
|
|
f(156-156)
|
356983,5
|
156
|
156
|
13
|
4
|
|
f(168-168)
|
384322,2
|
168
|
168
|
14
|
4
|
|
f(180-180)
|
411660,9
|
180
|
180
|
15
|
4
|
|
f(192-192)
|
438999,6
|
192
|
192
|
16
|
4
|
|
f(204-204)
|
466338,2
|
204
|
204
|
17
|
4
|
|
f(216-216)
|
493676,9
|
216
|
216
|
18
|
4
|
|
f(228-228)
|
521015,6
|
228
|
228
|
19
|
4
|
|
f(240-240)
|
548354,3
|
240
|
240
|
20
|
4
|
|
f(252-252)
|
575693
|
252
|
252
|
21
|
4
|
|
cq1g5
|
|
|
|
|
|
|
f(0-0)
|
589070,2
|
0
|
0
|
0
|
5
|
|
f(12-12)
|
403238,6
|
12
|
12
|
1
|
5
|
|
f(24-24)
|
265593,4
|
24
|
24
|
2
|
5
|
|
f(36-36)
|
147992,8
|
36
|
36
|
3
|
5
|
|
f(48-48)
|
138781,6
|
48
|
48
|
4
|
5
|
|
f(60-60)
|
173081,8
|
60
|
60
|
5
|
5
|
|
f(72-72)
|
207382
|
72
|
72
|
6
|
5
|
|
f(84-84)
|
240453
|
84
|
84
|
7
|
5
|
|
f(96-96)
|
274577,6
|
96
|
96
|
8
|
5
|
308702,3
|
108
|
108
|
9
|
5
|
|
f(120-120)
|
342826,9
|
120
|
120
|
10
|
5
|
|
f(132-132)
|
376951,5
|
132
|
132
|
11
|
5
|
|
f(144-144)
|
411076,1
|
144
|
144
|
12
|
5
|
|
f(156-156)
|
445200,7
|
156
|
156
|
13
|
5
|
|
f(168-168)
|
479325,4
|
168
|
168
|
14
|
5
|
|
f(180-180)
|
513450
|
180
|
180
|
15
|
5
|
|
f(192-192)
|
547574,6
|
192
|
192
|
16
|
5
|
|
f(204-204)
|
581699,2
|
204
|
204
|
17
|
5
|
|
f(216-216)
|
615823,8
|
216
|
216
|
18
|
5
|
|
f(228-228)
|
649948,5
|
228
|
228
|
19
|
5
|
|
f(240-240)
|
684073,1
|
240
|
240
|
20
|
5
|
|
f(252-252)
|
718197,7
|
252
|
252
|
21
|
5
|
|
cq1g6
|
|
|
|
|
|
|
f(0-0)
|
778994,2
|
0
|
0
|
0
|
6
|
|
f(12-12)
|
546463,4
|
12
|
12
|
1
|
6
|
|
f(24-24)
|
362119,2
|
24
|
24
|
2
|
6
|
|
f(36-36)
|
197639,8
|
36
|
36
|
3
|
6
|
|
f(48-48)
|
170764,3
|
48
|
48
|
4
|
6
|
|
f(60-60)
|
212992,3
|
60
|
60
|
5
|
6
|
|
f(72-72)
|
255220,4
|
72
|
72
|
6
|
6
|
|
f(84-84)
|
296219,2
|
84
|
84
|
7
|
6
|
|
f(96-96)
|
338271,7
|
96
|
96
|
8
|
6
|
|
f(108-108)
|
380324,1
|
108
|
108
|
9
|
6
|
|
f(120-120)
|
422376,6
|
120
|
120
|
10
|
6
|
|
f(132-132)
|
464429,1
|
132
|
132
|
11
|
6
|
|
f(144-144)
|
506481,5
|
144
|
144
|
12
|
6
|
|
f(156-156)
|
548534
|
156
|
156
|
13
|
6
|
|
f(168-168)
|
590586,4
|
168
|
168
|
14
|
6
|
|
f(180-180)
|
632638,9
|
180
|
180
|
15
|
6
|
|
f(192-192)
|
674691,4
|
192
|
192
|
16
|
6
|
|
f(204-204)
|
716743,8
|
204
|
204
|
17
|
6
|
|
f(216-216)
|
758796,3
|
216
|
216
|
18
|
6
|
|
f(228-228)
|
800848,7
|
228
|
228
|
19
|
6
|
|
f(240-240)
|
842901,2
|
240
|
240
|
20
|
6
|
|
f(252-252)
|
884953,7
|
252
|
252
|
21
|
6
|
|
|
|
c
|
q1
|
g
|
1
|
|
f(0-0)
|
2830,2
|
0
|
0
|
0
|
1
|
|
f(12-0)
|
2830,2
|
12
|
0
|
1
|
1
|
|
f(24-0)
|
2830,2
|
24
|
0
|
2
|
1
|
|
f(36-0)
|
2830,2
|
36
|
0
|
3
|
1
|
|
f(48-0)
|
2830,2
|
48
|
0
|
4
|
1
|
|
f(60-0)
|
2830,2
|
60
|
0
|
5
|
1
|
|
f(72-0)
|
2830,2
|
72
|
0
|
6
|
1
|
|
f(84-0)
|
2830,2
|
84
|
0
|
7
|
1
|
|
f(96-0)
|
2830,2
|
96
|
0
|
8
|
1
|
|
f(108-0)
|
2830,2
|
108
|
0
|
9
|
1
|
|
f(120-0)
|
2830,2
|
120
|
0
|
10
|
1
|
|
f(132-0)
|
2830,2
|
132
|
0
|
11
|
1
|
|
f(144-0)
|
2830,2
|
144
|
0
|
12
|
1
|
|
f(156-0)
|
2830,2
|
156
|
0
|
13
|
1
|
|
f(168-0)
|
2830,2
|
168
|
0
|
14
|
1
|
|
f(180-0)
|
2830,2
|
180
|
0
|
15
|
1
|
|
f(192-0)
|
2830,2
|
192
|
0
|
16
|
1
|
|
f(204-0)
|
2830,2
|
204
|
0
|
17
|
1
|
|
f(216-0)
|
2830,2
|
216
|
0
|
18
|
1
|
|
f(228-0)
|
2830,2
|
228
|
0
|
19
|
1
|
|
f(240-0)
|
2830,2
|
240
|
0
|
20
|
1
|
|
f(252-0)
|
2830,2
|
252
|
0
|
21
|
1
|
|
|
|
q1
|
g
|
2
|
|
f(0-12)
|
29614,05
|
0
|
12
|
0
|
2
|
|
f(12-12)
|
29614,05
|
12
|
12
|
1
|
2
|
|
f(24-12)
|
29614,05
|
24
|
12
|
2
|
2
|
|
f(36-12)
|
29614,05
|
36
|
12
|
3
|
2
|
|
f(48-12)
|
29614,05
|
48
|
12
|
4
|
2
|
|
f(60-12)
|
29614,05
|
60
|
12
|
5
|
2
|
|
f(72-12)
|
29614,05
|
72
|
12
|
6
|
2
|
|
f(84-12)
|
29614,05
|
84
|
12
|
7
|
2
|
|
f(96-12)
|
29614,05
|
96
|
12
|
8
|
2
|
|
f(108-12)
|
29614,05
|
108
|
12
|
9
|
2
|
|
f(120-12)
|
29614,05
|
120
|
12
|
10
|
2
|
|
f(132-12)
|
29614,05
|
132
|
12
|
11
|
2
|
|
f(144-12)
|
29614,05
|
144
|
12
|
12
|
2
|
|
f(156-12)
|
29614,05
|
156
|
12
|
13
|
2
|
|
f(168-12)
|
29614,05
|
168
|
12
|
14
|
2
|
|
f(180-12)
|
29614,05
|
180
|
12
|
15
|
2
|
|
f(192-12)
|
29614,05
|
192
|
12
|
16
|
2
|
|
f(204-12)
|
29614,05
|
204
|
12
|
17
|
2
|
|
f(216-12)
|
29614,05
|
216
|
12
|
18
|
2
|
|
f(228-12)
|
29614,05
|
228
|
12
|
19
|
2
|
|
f(240-12)
|
29614,05
|
240
|
12
|
20
|
2
|
|
f(252-12)
|
29614,05
|
252
|
12
|
21
|
2
|
|
|
|
c
|
q1
|
g
|
3
|
|
f(0-36)
|
66104,71
|
0
|
36
|
0
|
3
|
|
f(12-36)
|
66104,71
|
12
|
36
|
1
|
3
|
|
f(24-36)
|
66104,71
|
24
|
36
|
2
|
3
|
|
f(36-36)
|
66104,71
|
36
|
36
|
3
|
3
|
|
f(48-36)
|
66104,71
|
48
|
36
|
4
|
3
|
|
f(60-36)
|
66104,71
|
60
|
36
|
5
|
3
|
|
f(72-36)
|
66104,71
|
72
|
36
|
6
|
3
|
|
f(84-36)
|
66104,71
|
84
|
36
|
7
|
3
|
|
f(96-36)
|
66104,71
|
96
|
36
|
8
|
3
|
|
f(108-36)
|
66104,71
|
108
|
36
|
9
|
3
|
|
f(120-36)
|
66104,71
|
120
|
36
|
10
|
3
|
|
f(132-36)
|
66104,71
|
132
|
36
|
11
|
3
|
|
f(144-36)
|
66104,71
|
144
|
36
|
12
|
3
|
|
f(156-36)
|
66104,71
|
156
|
36
|
13
|
3
|
|
f(168-36)
|
66104,71
|
168
|
36
|
14
|
3
|
|
f(180-36)
|
66104,71
|
180
|
36
|
15
|
3
|
|
f(192-36)
|
66104,71
|
192
|
36
|
16
|
3
|
|
f(204-36)
|
66104,71
|
204
|
36
|
17
|
3
|
|
f(216-36)
|
66104,71
|
216
|
36
|
18
|
3
|
|
f(228-36)
|
66104,71
|
228
|
36
|
19
|
3
|
|
f(240-36)
|
66104,71
|
240
|
36
|
20
|
3
|
|
f(252-36)
|
66104,71
|
252
|
36
|
21
|
3
|
|
|
|
c
|
q1
|
g
|
4
|
|
f(0-48)
|
111637,8
|
0
|
48
|
0
|
4
|
|
f(12-48)
|
111637,8
|
12
|
48
|
1
|
4
|
|
f(24-48)
|
111637,8
|
24
|
48
|
2
|
4
|
|
f(36-48)
|
111637,8
|
36
|
48
|
3
|
4
|
|
f(48-48)
|
111637,8
|
48
|
48
|
4
|
4
|
|
f(60-48)
|
111637,8
|
60
|
48
|
5
|
4
|
|
f(72-48)
|
111637,8
|
72
|
48
|
6
|
4
|
|
f(84-48)
|
111637,8
|
84
|
48
|
7
|
4
|
|
f(96-48)
|
111637,8
|
96
|
48
|
8
|
4
|
|
f(108-48)
|
111637,8
|
108
|
48
|
9
|
4
|
|
f(120-48)
|
111637,8
|
120
|
48
|
10
|
4
|
|
f(132-48)
|
111637,8
|
132
|
48
|
11
|
|
f(144-48)
|
111637,8
|
144
|
48
|
12
|
4
|
|
f(156-48)
|
111637,8
|
156
|
48
|
13
|
4
|
|
f(168-48)
|
111637,8
|
168
|
48
|
14
|
4
|
|
f(180-48)
|
111637,8
|
180
|
48
|
15
|
4
|
|
f(192-48)
|
111637,8
|
192
|
48
|
16
|
4
|
|
f(204-48)
|
111637,8
|
204
|
48
|
17
|
4
|
|
f(216-48)
|
111637,8
|
216
|
48
|
18
|
4
|
|
f(228-48)
|
111637,8
|
228
|
48
|
19
|
4
|
|
f(240-48)
|
111637,8
|
240
|
48
|
20
|
4
|
|
f(252-48)
|
111637,8
|
252
|
48
|
21
|
4
|
|
|
|
c
|
q1
|
g
|
5
|
|
f(0-48)
|
138781,6
|
0
|
48
|
0
|
5
|
|
f(12-48)
|
138781,6
|
12
|
48
|
1
|
5
|
|
f(24-48)
|
138781,6
|
24
|
48
|
2
|
5
|
|
f(36-48)
|
138781,6
|
36
|
48
|
3
|
5
|
|
f(48-48)
|
138781,6
|
48
|
48
|
4
|
5
|
|
f(60-48)
|
138781,6
|
60
|
48
|
5
|
5
|
|
f(72-48)
|
138781,6
|
72
|
48
|
6
|
5
|
|
f(84-48)
|
138781,6
|
84
|
48
|
7
|
5
|
|
f(96-48)
|
138781,6
|
96
|
48
|
8
|
5
|
|
f(108-48)
|
138781,6
|
108
|
48
|
9
|
5
|
|
f(120-48)
|
138781,6
|
120
|
48
|
10
|
5
|
|
f(132-48)
|
138781,6
|
132
|
48
|
11
|
5
|
|
f(144-48)
|
138781,6
|
144
|
48
|
12
|
5
|
|
f(156-48)
|
138781,6
|
156
|
48
|
13
|
5
|
|
f(168-48)
|
138781,6
|
168
|
48
|
14
|
5
|
|
f(180-48)
|
138781,6
|
180
|
48
|
15
|
5
|
|
f(192-48)
|
138781,6
|
192
|
48
|
16
|
5
|
|
f(204-48)
|
138781,6
|
204
|
48
|
17
|
5
|
|
f(216-48)
|
138781,6
|
216
|
48
|
18
|
5
|
|
f(228-48)
|
138781,6
|
228
|
48
|
19
|
5
|
|
f(240-48)
|
138781,6
|
240
|
48
|
20
|
5
|
|
f(252-48)
|
138781,6
|
252
|
48
|
21
|
5
|
|
|
|
c
|
q1
|
g
|
6
|
|
f(0-48)
|
170764,3
|
0
|
48
|
0
|
6
|
|
f(12-48)
|
170764,3
|
12
|
48
|
1
|
6
|
|
f(24-48)
|
170764,3
|
24
|
48
|
2
|
6
|
|
f(36-48)
|
170764,3
|
36
|
48
|
3
|
6
|
|
f(48-48)
|
170764,3
|
48
|
48
|
4
|
6
|
|
f(60-48)
|
170764,3
|
60
|
48
|
5
|
6
|
|
f(72-48)
|
170764,3
|
72
|
48
|
6
|
6
|
|
f(84-48)
|
170764,3
|
84
|
48
|
7
|
6
|
|
f(96-48)
|
170764,3
|
96
|
48
|
8
|
6
|
|
f(108-48)
|
170764,3
|
108
|
48
|
9
|
6
|
|
f(120-48)
|
170764,3
|
120
|
48
|
10
|
6
|
|
f(132-48)
|
170764,3
|
132
|
48
|
11
|
6
|
|
f(144-48)
|
170764,3
|
144
|
48
|
12
|
6
|
|
f(156-48)
|
170764,3
|
156
|
48
|
13
|
6
|
|
f(168-48)
|
170764,3
|
168
|
48
|
14
|
6
|
|
f(180-48)
|
170764,3
|
180
|
48
|
15
|
6
|
|
f(192-48)
|
170764,3
|
192
|
48
|
16
|
6
|
|
f(204-48)
|
170764,3
|
204
|
48
|
17
|
6
|
|
f(216-48)
|
170764,3
|
216
|
48
|
18
|
6
|
|
f(228-48)
|
170764,3
|
228
|
48
|
19
|
6
|
|
f(240-48)
|
170764,3
|
240
|
48
|
20
|
6
|
|
f(252-48)
|
170764,3
|
252
|
48
|
21
|
6
|