Проектирование централизованной системы теплоснабжения
Введение
теплоснабжение централизованный
здание
Централизованная система теплоснабжения состоит
из следующих основных элементов: источника тепла, тепловых сетей и местных
систем потребления - систем отопления, вентиляции и горячего водоснабжения
(ГВС).
Для централизованного теплоснабжения используют
два типа источников тепла: теплоэлектроцентрали (ТЭЦ), районные котельные (РК).
На ТЭЦ осуществляется комбинированная выработка тепла и электроэнергии,
обеспечивающая существенное снижение расходов топлива при получении
электроэнергии.
Системы теплоснабжения бывают двух видов:
Открытые системы теплоснабжения - системы, в
которых происходит водоразбор горячей воды для нужд потребителя непосредственно
из теплосети. При этом водоразбор может быть частичным или полным. Оставшаяся в
системе горячая вода используется для отопления и вентиляции.
Закрытые системы теплоснабжения - системы, в
которых циркулирующая в трубопроводе вода используется только как
теплоноситель, и не забирается из теплосети для обеспечения горячего
водоснабжения. Система в этом случае полностью закрыта от окружающей среды.
Теплоснабжение - система обеспечения теплом
зданий и сооружений, предназначенная для обеспечения теплового комфорта для
находящихся в них людей или для возможности выполнения технологических норм.
1.
Определение расчетных тепловых нагрузок района города. Построение графиков
расхода теплоты
Задание на курсовой проект:
) 26 вариант
) Город Анадырь
) ТЭЦ находится на юге на расстоянии 14км
) Закрытая система теплоснабжения
) Температурный график 150 на 70
) Вариант генплана района города №2
1. Определяем площади кварталов:

,
га (1)
где а и b- стороны
зданий в мм; масштаб 1:40000.

= 4,8га
и так для всех зданий.
2. Определяем жилую площадь зданий
кварталов
Fж=P∙Fквn,,
м2 (2)
где Р - плотность жилого фонда, м2/га;
Fкв-
площадь квартала, га; Fж
- жилая площадь, м2. Для 5-этажных зданий- Р=3100м2/га,
для 9-этажных Р=3700 м2/га, для 12-этажных Р=3900 м2/га
[1].
Fж=3100∙4,8=14880
м2
. Общая площадь жилых зданий

м2 ,
(3)
где K-безразмерный
планировочный коэффициент, принимаем равным 0,7[1].

м2
4. Количество жителей в квартале:

чел,
(4)
где 
- норма жилой площади на одного
человека, принимаем 
м2[2].

чел.
5. Максимальный тепловой поток на отопление
жилых и общественных зданий:

Вт, (5)
где qo-укрупненный
показатель максимального теплового потока на отопление жилых зданий, принимаем
в зависимости от температуры наружного воздуха, qo=95
Вт/м2 [8]; K1-коэффициент,учитывающий
тепловой поток на отопление жилых зданий, K1=0,25
[2].

кВт.
6. Максимальный тепловой поток на вентиляцию
общественных зданий квартала:

Вт;
(6)
где K2-коэффициент,учитывающий
тепловой поток на вентиляцию общественных зданий, K2=0,6 [2].

кВт.
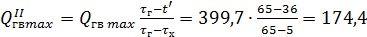
7. Средний тепловой поток на ГВС:

Вт;
(7)
где qh-укрупненный
показатель среднего теплового потока на ГВС на одного человека, в зависимости
от нормы расхода ГВС на человека в сутки (а=105 л/сут), принимаем qh=376
Вт/м2[2].

=399,7 кВт;
8. Суммарный расход теплоты на квартал:

, кВт (8)

кВт.
Таблица 1. Расчет теплопотребления в кварталах
№ Этажность Площадь
квартала, 
гаПлотность, Р, м2/га Жилая
площадь, Fж, м2 Общ
площадь, А, м2 Число жителей ,m чел. 
,
кВт
,
кВт
кВт
,
|
кВт
|
|
|
|
|
|
|
1
|
2
|
3
|
4
|
5
|
6
|
7
|
8
|
9
|
10
|
11
|
|
1
|
5
|
4,8
|
3100
|
14880
|
25542,8
|
1064
|
3033,2
|
363,9
|
399,7
|
3796,8
|
|
2
|
5
|
8,64
|
3100
|
26784
|
38262,8
|
1913
|
4543,7
|
545,2
|
719,3
|
5808,2
|
|
3
|
5
|
3,84
|
3100
|
11904
|
17005,7
|
850
|
2019,4
|
242,3
|
319,6
|
2581,3
|
|
4
|
5
|
5,76
|
3100
|
17856
|
25508,6
|
1275
|
3029,1
|
363,5
|
479,6
|
3872,2
|
|
5
|
5
|
5,76
|
3100
|
17856
|
25508,6
|
1275
|
3029,1
|
363,5
|
479,6
|
3872,2
|
|
6
|
12
|
14,56
|
3900
|
56784
|
81120
|
1275
|
9633
|
1155,9
|
1525,1
|
12314
|
|
7
|
12
|
5,76
|
3900
|
22464
|
32091,4
|
4056
|
3810,9
|
457,3
|
377,9
|
4646,1
|
|
8
|
12
|
5,76
|
3900
|
22464
|
32091,4
|
1005
|
3810,9
|
457,3
|
603,5
|
4871,7
|
|
9
|
9
|
3,84
|
3700
|
14208
|
20297,1
|
1605
|
2410,3
|
289,2
|
381,6
|
3081,1
|
|
10
|
9
|
3,84
|
3700
|
14208
|
20297,1
|
1015
|
2410,3
|
289,2
|
381,6
|
3081,1
|
|
11
|
9
|
3,84
|
3700
|
14208
|
20297,1
|
1015
|
2410,3
|
289,2
|
381,6
|
3081,1
|
|
12
|
9
|
3,84
|
3700
|
14208
|
20297,1
|
1015
|
2410,3
|
289,2
|
381,6
|
3081,1
|
|
13
|
9
|
3,84
|
3700
|
14208
|
20297,1
|
1015
|
2410,3
|
289,2
|
381,6
|
3081,1
|
|
14
|
5
|
12,48
|
3100
|
38688
|
55268,6
|
2763
|
6563,1
|
787,6
|
1038,9
|
8389,6
|
|
15
|
5
|
12,48
|
3100
|
38688
|
55268,6
|
2763
|
6563,1
|
787,6
|
1038,9
|
8389,6
|
|
16
|
5
|
12,48
|
3100
|
38688
|
55268,6
|
2763
|
6563,1
|
787,6
|
1038,9
|
8389,6
|
|
175
|
5
|
10,08
|
3100
|
31248
|
44640
|
2232
|
5301
|
636,1
|
839,2
|
6776,3
|
|
18
|
|
|
|
|
|
|
69951,1
|
8393,8
|
10768,2
|
89113,1
|
|
|
|
|
|
|
|
|
|
|
|
|
|
|
|
|
|
|
|
|
По данным «СНиП 2.01.01-82
Строительная климатология и геофизика» находим для г. Анадырь расчетную
температуру наружного воздуха для проектирования отопления 
°C.
Графики часовых расходов теплоты
строим в координатах Q - 
При 
°C, 
69900кВт 
8400 кВт
При 
°C по формуле

,
(9)

;

,
(10)

;
где 
- средняя температура внутреннего
воздуха отапливаемых зданий (для жилья и общественных зданий равна 20°C)
Отложив на графике значения 
при различных 
и соединив их прямой, получим
графики 

.
Расход теплоты на горячее
водоснабжение не зависит от 
, поэтому его график представляет
прямую, параллельную оси абсцисс - прямая 
.
График суммарного часового расхода
теплоты на отопление, вентиляцию и горячее водоснабжение строим путем сложения
соответствующих ординат при 
°C и 
°C (линия ∑Q).
По (2, табл. 1.3) находим
продолжительность отопительного периода для г. Анадырь 
, продолжительность стояния
температур наружного воздуха в часах с интервалом 5°C в течение отопительного
периода. Данные сводятся в таблице 2
Таблица 2. Продолжительность стояния
температур наружного воздуха
|
Tн, °C
|
-40
|
-35
|
-30
|
-25
|
-20
|
-15
|
-10
|
-5
|
0
|
5
|
8
|
|
|
n,ч
|
22
|
151
|
456
|
669
|
690
|
793
|
826
|
840
|
1068
|
1116
|
737
|
7368
|
|
∑n,ч
|
22
|
173
|
629
|
1298
|
1988
|
2781
|
3607
|
4447
|
5515
|
6631
|
7368
|
|
По данным таблицы 1 и 2 строим график часовых и
годовых расходов теплоты (приложение 1).
2. Регулирование отпуска теплоты в закрытых
системах теплоснабжения
1. Вид центрального качественного
регулирования определяется по зависимости:
Если
, то регулирование по отопительной
нагрузке.

=(399,7/3033,2)*100%=13%
(11)
Температура воды в подающей и
обратной магистралях:
, (12)
, (13)
где t1,t2
- температура воды в подающей и обратной магистралях при температуре наружного
воздуха tн
соответственно;
tв-
температура воздуха в помещении, єС;
tн-
температура наружного воздуха, єС [2];
Dt¢
- температурный напор нагревательного прибора, при расчетной температуре воды в
отопительном приборе t3¢
= 95єС [2];
Dt¢ - расчетный перепад воды в тепловой
сети, єС;
¢ - расчетный перепад температур воды в местной
системе отопления, єС.
(14)
єС,
где
- температура воды в подающей
магистрали при tн = tро.
(15)
єС
Таблица 3. Зависимость температуры
теплоносителя от температуры наружного воздуха[3].
|
τ\tн
|
8
|
5
|
0
|
-5
|
-10
|
-15
|
-20
|
-25
|
-30
|
-35
|
-40
|
|
τ1
|
50,7
|
57,6
|
68,5
|
79,1
|
89,6
|
99,9
|
110,2
|
119,2
|
130,3
|
140,2
|
|
τ2
|
34,7
|
37,5
|
41,8
|
45,8
|
49,6
|
53,3
|
56,9
|
60,3
|
63,6
|
66,8
|
70
|
По данным таблицы строим температурный график
(приложение 2).
При регулировании по отопительной
нагрузке водоподогреватели горячего водоснабжения присоединяются к тепловым
сетям в зависимости ототношения максимальной тепловой нагрузки горячего
водоснабжения 
к расчетной отопительной нагрузке 
и типа регулятора по следующим
схемам:
при 
=0,2-1,0 - по двухступенчатым
схемам;
при остальных соотношениях - при
параллельной схеме.

=0,36.
Водоподогреватели присоединяются к
тепловым сетям по двухступенчатой схеме.
Расчет повышенного температурного
графика заключается в определении перепада температур сетевой воды в
подогревателях верхней 
и 
нижней ступеней при различных
температурах наружного воздуха и балансовой нагрузке горячего водоснабжения.

, (16)
где -балансовый коэффициент
,учитывающий неравномерность расхода теплоты на горячее водоснабжение в течение
суток, для закрытых систем теплоснабжения 
.
Суммарный перепад температур сетевой
воды в подогревателях верхней и нижней ступеней д в течение всего отопительного
периода постоянен и определяется:
д = 

=
(
(17)
д = 
*(150-70) = 14,8.

; 
.

=0,9
При 

=д*
; (18)

=14,8*
=6,99.
При 

=
*
;
(19)

=
*
=12,6
где 
-температура воды, поступающей в
систему горячего водоснабжения, ̊С; 
- температура водопроводной воды в
отпительный период, ̊С.
Зная 
и 
, находят температуру сетевой воды в
обратной магистрали по повышенному температурному графику:

=
-
и 
-
(20,21)
Перепад температур сетевой воды в
верхней ступени подогревателя при 
и 
:

и 
=д-
(22,23)

=2,2

Температура сетевой воды в подающей
магистрали тепловой сети для повышенного температурного графика:

=
и 
= 
+
(24,25)

и 
=77,81.
3. Определение расчетных расходов теплоносителя
в тепловых сетях закрытых систем теплоснабжения

;
(26)

, (27)
где 
и 
- расчетные температуры сетевой воды
соответственно в подающем и обратном теплопроводах при 
, ̊С; 
-удельная теплоемкость воды,
кДж/(кг*̊С).

=0,7494 т/ч;

=0,089 т/ч.
При двухступенчатых схемах
присоединения водоподогревателей:
среднечасовой

=
*(
+0,2); (28)

=
*(
+0,2)= 0,216т/ч.
максимальный

=
;
(29)

=
=0,42 т/ч.
Суммарный расчетный расход сетевой
воды в двухтрубных тепловых сетях при качественном регулировании по
отопительной нагрузке:

=
+
+ 
*
, (30)
где 
<100 МВт при отсутствии баков -
аккумуляторов
=1,2[2].
∑
=89,1МВт.

= 0,7494+ 0,089+1,2*0,42=1,3424 т/ч.
Таблица 4. Расход теплоносителя по
кварталам
|
№
квартала
|
|
|
|
|
|
|
1
|
3,25
|
0,38
|
0,65
|
15,6
|
12,48
|
|
2
|
4,8
|
0,58
|
1,17
|
28,1
|
22,48
|
|
3
|
2,16
|
0,26
|
0,52
|
12,48
|
9,98
|
|
4
|
3,25
|
0,38
|
0,78
|
18,7
|
14,96
|
|
5
|
3,25
|
0,38
|
0,78
|
18,7
|
14,96
|
|
6
|
10,3
|
1,23
|
2,48
|
59,52
|
47,6
|
|
7
|
4,1
|
0,49
|
0,61
|
14,6
|
11,68
|
|
8
|
4,1
|
0,49
|
0,98
|
23,52
|
18,8
|
|
9
|
2,6
|
0,31
|
0,62
|
14,88
|
11,9
|
|
10
|
2,6
|
0,31
|
0,62
|
14,88
|
11,9
|
|
11
|
2,6
|
0,31
|
0,62
|
14,88
|
11,9
|
|
12
|
2,6
|
0,31
|
0,62
|
14,88
|
11,9
|
|
13
|
2,6
|
0,31
|
0,62
|
14,88
|
11,9
|
|
14
|
7,03
|
0,84
|
1,69
|
40,56
|
32,4
|
|
15
|
7,03
|
0,84
|
1,69
|
40,56
|
32,4
|
|
16
|
7,03
|
0,84
|
1,69
|
40,56
|
32,4
|
|
17
|
5,7
|
0,68
|
1,36
|
32,64
|
26,1
|
|
∑G
|
74,8
|
8,96
|
17,5
|
419,94
|
335,74
|
|
Потери
5%
|
78,54
|
9,41
|
18,375
|
440,9
|
352,5
|
. Выбор трассы, конструкции теплопроводов и
разработка монтажной схемы
Трасса в городах предусматривается в отведенных
для инженерных сетей технических полосах, параллельно красным линиям улиц,
дорогам и проездам. В проекте проектируется тупиковая схема. В пределах
городской застройки прокладку тепловых сетей принимаем надземной. Вне
городской застройки принята надземная прокладка.
Монтажная схема разработана для расчетной
магистрали после выбора трассы, способа прокладки и предварительного
гидравлического расчета, по которому определяются диаметры теплопроводов.
Монтажная схема вычерчена в две линии, причем подающий теплопровод
располагается с правой стороны по ходу движения теплоносителя от источника
теплоты. В местах ответвлений к кварталам предусмотрены тепловые камеры.
Запорная арматура установлена только в необходимых случаях, т.к. для ее
обслуживания требуется устройство тепловых камер. Составление монтажной схемы -
это расстановка на трассе неподвижных опор, компенсаторов, запорной арматуры.
Расположение трассы и вид монтажной схемы
приведены на листе формата A1.
. Гидравлический расчет
Гидравлический расчет водяных тепловых сетей
производят для зимнего и летнего режима.
Гидравлический расчет закрытой системы
теплоснабжения для зимнего периода выполняют для двух режимов:
) при отсутствии водозабора на горячее
водоснабжение, когда расчетные расходы теплоносителя, а следовательно, и потери
давления в подающем и обратном трубопроводах будут равными (расчет производят
только для подающего трубопровода);
) при максимальном водозаборе на горячее водоснабжение
из обратного теплопровода (расчет выполняют для подающего и обратного
теплопровода)
Расходы сетевой воды на отопление и вентиляцию
каждого квартала определяют по формуле (26) и (27), на горячее водоснабжение -
по (29). Расходы воды в подающем и обратном трубопроводах каждого квартала
находят по выражениям:

(31)

(32)
Определив расходы воды по кварталам,
составляют расчетную схему тепловой сети и находят расходы воды по участкам
сети:
Участок 12: 
Аналогично определяем расходы воды
по остальным расчетным участкам сети
Исходя из расчетного расхода
теплоносителя 
и нормируемого удельного падения
давления R=30-80 Па/м,
определяют по номограммам диаметр подающего теплопровода, действительное
значение удельных потерь давления R, скорости
движения теплоносителя н, принимая диаметр обратного трубопровода таким же.
Потери давления и скорости движения
теплоносителя в обратном трубопроводе находят по тем же номограммам, исходя из
расхода воды 
и принятого диаметра трубопровода.
Зная диаметры участков
теплопроводов, разрабатывают монтажную схему тепловой сети: устанавливают
неподвижные опоры, компенсаторы, запорную арматуру, секционные задвижки.
Значения эквивалентных длин местных
сопротивлений на участках сети 
принимают по [6, прилож. 15].
Определив эквивалентные длины
местных сопротивлений, находят приведенную длину участка 
, потери давления на участке 
и суммарные потери давления в сети.
Гидравлический расчет основной
магистрали сводят в таблицу 4
Таблица 5. Гидравлический расчет
(Зимний режим)
|
№
участка
|
 , т/чDу, мм
|
Dу*s, мм
|
R
Па/м
|
ν,
м/с
|
l,
м
|
 , мl', м∆Pn, Па∆H∑H
|
|
|
|
|
|
|
12-11
|
130
|
200
|
219*7
|
76
|
1,13
|
108
|
27,72
|
135,7
|
10314,7
|
1,05
|
1,05
|
|
11-10
|
261
|
300
|
325*8
|
35
|
1,02
|
245
|
40,3
|
285,3
|
9985,8
|
1,018
|
1,068
|
|
10-9
|
296
|
300
|
325*8
|
48
|
1,16
|
242,5
|
33,31
|
275,8
|
13238,9
|
1,35
|
2,418
|
|
9-8
|
427
|
350
|
377*9
|
45
|
1,23
|
235
|
47,9
|
282,9
|
12730,5
|
1,299
|
3,717
|
|
8-7
|
539
|
350
|
377*9
|
70
|
1,55
|
1046,5
|
67,9
|
1114,4
|
78008
|
7,96
|
11,677
|
|
7-0
|
1653
|
800
|
820*9
|
11,2
|
0,95
|
14000
|
596,1
|
14596,1
|
163476,32
|
16,68
|
28,357
|
Таблица 6. Гидравлический расчет (Летний режим)
№ участка 
, т/чDу, мDу*s, ммR
|
Па/мν, м/сl, м , мl', м∆Pn, Па∆H∑H
|
|
|
|
|
|
|
|
|
|
|
|
|
12-11
|
18,46
|
200
|
219*7
|
0,1
|
0,01
|
108
|
27,72
|
135,7
|
135,7
|
0,0138
|
0,0138
|
|
11-10
|
18,46
|
300
|
325*8
|
0,1
|
0,01
|
245
|
40,3
|
285,3
|
285,3
|
0,028
|
0,0418
|
|
10-9
|
4,96
|
300
|
325*8
|
0,1
|
0,01
|
242,5
|
33,31
|
275,8
|
275,8
|
0,0284
|
0,0702
|
|
9-8
|
18,46
|
350
|
377*9
|
0,1
|
0,01
|
235
|
47,9
|
282,9
|
282,9
|
,02876
|
0,09896
|
|
8-7
|
15,87
|
350
|
377*9
|
0,1
|
0,01
|
1046,5
|
67,9
|
1114,4
|
1114,4
|
0,1137
|
0,21266
|
|
7-0
|
76,224
|
820*9
|
0,1
|
0,01
|
14000
|
596,1
|
14596,1
|
14596,1
|
1,489
|
1,70166
|
. Разработка графиков давлений и выбор схем
присоединения абонентов к тепловым сетям
Гидравлические режимы водяных тепловых сетей
(пьезометрические графики) следует разрабатывать для отопительного и
неотопительного периодов. Пьезометрический график позволяет: определить напоры
в подающем и обратном трубопроводах, а также располагаемый напор в любой точке
тепловой сети; с учетом рельефа местности, располагаемого напора и высоты
зданий выбрать схемы присоединения потребителей; подобрать авторегуляторы, сопла
элеваторов, дроссельные устройства для местных систем теплопотребления;
подобрать сетевые и подпиточные насосы.
Пьезометрические графики строятся для
магистральных и квартальных тепловых сетей. Для магистральных тепловых сетей
могут быть приняты масштабы: горизонтальный Мг 1:10 000, вертикальный Мв 1:1
000; для квартальных тепловых сетей: Мг 1:1 000, Мв 1:500. Пьезометрические
графики строятся для гидростатического и гидродинамического режимов системы
теплоснабжения. За начало координат в магистральных сетях принимают
местоположение ТЭЦ. В принятых масштабах строят профиль трассы и высоты
присоединенных потребителей (приняв 9-10-этажную застройку). За нулевую отметку
оси ординат (оси напоров) принимают обычно отметку низшей точки теплотрассы или
отметку сетевых насосов. Строят линию статического напора, величина которого
должна быть выше местных систем теплопотребления не менее чем на 5 м,
обеспечивая их защиту от «оголения», и в то же время должна быть менее на 10 м
(или более) величины максимального рабочего напора для местных систем.
Величина максимального рабочего напора местных
систем теплопотребления составляет: для систем отопления со стальными
нагревательными приборами и для калориферов - 80 м; для систем отопления с
чугунными радиаторами - 60 м; для независимых схем присоединения с
поверхностным теплообменниками - 100 м. Гидростатический напор в системах
теплоснабжения при теплоносителе воде должен определяться для температуры
сетевой воды, равной 100 °С.
Затем приступают к построению графиков напоров для
гидродинамического режима. На оси ординат откладывают требуемый напор у
всасывающих патрубков сетевых насосов (30-35 м) в зависимости от марки насоса.
Давление и температура воды на всасывающих патрубках сетевых, подпиточных,
подкачивающих и смесительных насосов не должны быть ниже давления кавитации и
не должны превышать допускаемых значений по условиям прочности конструкций
насосов. Далее, используя результаты гидравлического расчета, строят линию
потерь напора обратной магистрали. Величина напоров в обратной магистрали
должна соответствовать требованиям, указанным выше при построении линии
статического напора. Напор воды в обратных трубопроводах водяных тепловых сетей
при гидродинамическом режиме должен быть избыточным (не менее 5 м), быть выше
местных систем теплопотребления не менее чем на 5 м, обеспечивая их защиту от
«оголения», и в то же время должен быть меньше на 10 м (или более) величины
максимального рабочего напора для местных систем теплопотребления. Далее
строится линия располагаемого напора для системы теплоснабжения расчетного
квартала, величина которого может быть принята 40-50 м.
Затем строится линия потерь напора подающего
трубопровода, а также линия потерь напора в коммуникациях источника теплоты
(ТЭЦ). При отсутствии данных потери напора в коммуникациях ТЭЦ могут быть
приняты равными 25-30 м. Напор во всех точках подающего трубопровода, исходя из
условия его механической прочности, не должен превышать 160 м.
Следует также учитывать, что напор в подающих
трубопроводах водяных тепловых сетей при работе сетевых насосов должен
обеспечить «невскипание» воды при ее максимальной температуре.
Пьезометрический график при изменении напора
подпиточного насоса может быть перемещен параллельно себе вверх или вниз, если
возникает опасность «оголения» или «раздавливания» местных систем
теплопотребления.
При этом необходимо учитывать, чтобы напор на
всасывающем патрубке сетевого насоса не превысил предельного значения для
принятой марки насоса как по минимуму, так и по максимуму. Под пьезометрическим
графиком располагают спрямленную однолинейную схему теплотрассы с
ответвлениями, указывают номера и длины участков, диаметры трубопроводов,
расходы теплоносителя, располагаемые напоры в узловых точках. На
пьезометрическом графике главной магистрали строится график расчетного
ответвления.
Пьезометрические графики должны быть построены и
для неотопительного периода. В закрытых системах для этого необходимо
определить потери напора в подающем и обратном трубопроводах главной магистрали
при пропуске максимального расхода сетевой воды на горячее водоснабжение в
неотопительный период Ghmax. В открытых системах потери напора в подающей
магистрали определяют при пропуске расхода, равного Gs, в обратной магистрали -
при пропуске расхода, равного 10 % Gs (см. Подбор сетевых и подпиточных
насосов). Потери напора в коммуникациях источника, а также располагаемый напор
перед расчетным кварталом принимают такими же, как и для отопительного периода.
При построении пьезометрического графика для квартальных сетей следует
учитывать, что квартальные сети являются продолжением магистральных сетей и
линии напоров пьезометрического графика квартальных сетей и при
гидростатическом, и при гидродинамическом режимах будут также продолжением
соответствующих линий пьезометрического графика магистральных тепловых сетей.
Располагаемый напор в начале квартальных сетей
должен быть использован на потери напора в подающей и обратной магистралях
квартальных сетей и на потери напора в местных системах теплопотребления зданий
кварталов. При построении пьезометрического графика для квартальных сетей
располагаемый напор на вводе в здание (при элеваторном присоединении системы
отопления) следует принимать равным расчетным потерям напора на вводе и в
местной системе с коэффициентом 1,5, но не менее 15 м, а при наличии, кроме
элеваторной системы отопления, также и закрытой системы горячего водоснабжения.
. Подбор основного оборудования
теплоподготовительной установки источника теплоты
Для обеспечения отопительно-вентиляционной
нагрузки, а так же нагрузки горячего водоснабжения на современных ТЭЦ
устанавливают конденсационные турбины с отопительным отбором типа Т. Эти
турбины могут использоваться одновременно и для обеспечения технологической
нагрузки, когда теплоносителем является вода. Если для технологических целей
требуется теплоноситель пар, могут быть приняты конденсационные турбины ПТ с
один регулируемым производственным и одним или двумя теплофикационными отборами
пара (один из них регулируемый). Пар из производственного отбора используется
только для технологических целей, из теплофикационных только для подогрева
воды.
Все конденсационные турбины типа Т и ПТ (кроме
ПТ-60) укомплектованы двумя горизонтальными подогревателями ПСГ (верхняя и
нижняя ступени подогрева). Подогревательная установка сетевой воды в данном
случае состоит из четырех ступеней подогрева: встроенного в конденсатор
теплофикационного пучка, подогреватели нижней и верхней ступеней и пикового
котла. Теплофикационный пучок конденсатора чаще всего используют для
предварительного нагрева подпиточной воды при открытых системах теплоснабжения
и сетевой воды при закрытых системах.
В качестве пиковых котлов применяют водогрейные
котлы ПТВМ или КВГМ устанавливаемые на территории станции или в тепловом
районе.
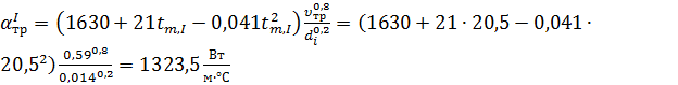
Производим подбор турбины. Задаваясь
коэффициентом теплофикации 
, распределяем тепловую нагрузку на
ТЭЦ: нагрузка ТЭЦ, удовлетворяемая за счет отборов турбин

,
(33)

МВт,
а нагрузка пикового источника:

, (34)

МВт
По номинальной нагрузке
теплофикационных отборов турбин принимаем одну турбину Т - 50/60 - 130 с 398
ГДж/ч.
Турбина Т - 50 имеет 2
теплофикационных отбора пара давлением: 0,05 - 0,2 Мпа в первом отборе и 0,06 -
0,25 Мпа во втором отборе. Номинальная нагрузка теплофикационного отбора 398
ГДж/ч, расход пара в отборе Д=180 т/ч. Турбина укомплектована двумя
горизонтальными подогревателями ПСГ с поверхностью нагрева каждого F = 1300 
.
По давлению пара в отборах
определяем температуру насыщенного пара:
· при P = 0.15 Мпа 
· при P = 0.25 Мпа 
Принимая величину недогрева в
подогревателе нижней ступени 
, в верхней ступени 
, находим температуру сетевой воды
после подогревателей нижней и верхней ступеней:

, (35)

, (36)
Принимая среднюю температуру
обратной сетевой воды 
, находим температуру сетевой воды
на входе в подогреватель нижней ступени по формуле:

, (37)
где 
- расход сетевой воды;

- температура подпиточной воды,
принимается равно 40
;

- расчетный расход подпиточной
воды.
Тепловая нагрузка подогревательной
установки турбины 120,6 ГДж/ч.
Тепловую нагрузку подогревательной
установки турбины распределяем между подогревателями нижней и верхней степеней:

,
(38)

,
(39)
Производим поверочный расчет
подогревателей нижней и верхней ступеней.
Среднелогарифмическая разность
температур сетевой воды у подогревателей:

, (40)

,
(41)
Коэффициент теплопередачи
подогревателей:

, (42)

,
(43)
Производим подбор сетевого насоса.
Требуемый напор сетевых насосов в зимний период:

, (44)
где, 
- потери напора в пиковых котлах и
станционных коммуникациях;

- потери напора в подающих и
обратных трубопроводах теплосети;

- потери напора у абонентов.
По технической характеристике
сетевых насосов подбираем насос СЭ2500-60. Характеристику насоса принимаем по
[3, рис. 2.18]. Определяем характеристику сопротивления сети:

,
(45)
Задаваясь различными расходами воды при
постоянной характеристике сопротивления сети, находим напор в ней. Результаты
заносим в таблицу 7.
Таблица 7 Напор в сети
|
|
|
|
200
|
4,44
|
|
400
|
17,76
|
|
800
|
71,04
|
|
1600
|
284,16
|
По этим данным строим характеристику
сопротивления сети s. К
установке принимаем 3 насоса: два рабочих и один аварийный. Требуемый напор
сетевых насосов в летний период находим по выражению:

, (46)
По летнему расходу 
т/ч и требуемому напору 
м выбираем один насос Д320-50. К
установке принимаем два насоса, один из них резервный (приложение 5).
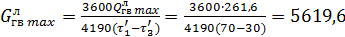
Производим подбор подпиточного
насоса. Статический напор с системе составляет 40 м, сумма потерь напора в
тепловой сети и в подпиточной линии составляет 22 м. Уровень воды в подпиточных
баках поддерживается на отметке 3 м по отношению к оси подпиточных насосов.
Объем воды в системе теплоснабжения
определяем по формуле:

,
(47)
где 
- удельный объем воды в тепловых
сетях;

- удельный объем сетевой воды в
системах отопления гражданских зданий.
Подача подпиточных насосов 
т/ч. Требуемый напор подпиточных
насосов:

, (48)

м.
По характеристике выбираем насос
К90/55, который при подаче 44,1 т/ч развивает напор 70 м[3,рис.2.69].
. Механический расчет теплопроводов
Равнодействующая сил, действующих на
опору слева, складывается из неуравновешанной силы внутреннего давления (при
закрытой задвижке), силы трения в сальниковом компенсаторе и силы трения в
подвижных опорах на участке длинной l1 = 95;
равнодействующая сил, действующих на опору справа, - из сил трения в
сальниковом компенсаторе и подвижных опорах труб на участвке длинной l2 = 5 м.
Рис.1
Принимая по таблице силу тяжести 1 м
подающей трубы 
, определяем результирующее усилие
на неподвижную опору при закрытой задвижке (коэффициент а=1):

, (49)
где 
- рабочее давление теплоносителя,
Па

- наружный диаметр патрубка
компенсатора, м

- коэффициент трения на подвижных
опорах.
При открытой задвижке (a = 0):

,
(50)
Аналогично рассчитываем для
остальных диаметров трубопроводов и заносим результаты в таблицу 8.
Таблица 8. Результирующее усилие на
неподвижную опору
Требуется найти результирующее усилие на щитовую
неподвижную опору. Сумма сил, действующих на опору справа, складывается из
неуравновешенных сил внутреннего давления, сил трения в сальниковом
компенсаторе и в подвижных опорах труб на участке длиной l1
= 100 м, а сумма сил, действующих на опору слева, из сил трения в подвижных
опорах труб на участке длинной l3
=
30 м, и усилия от Г - образного компенсатора.
Приняв наружный диаметр патрубка
компенсатора равным наружному диаметру трубы 
= 0,377 м, длину сальниковой
набивки 
м и коэффициент 
, находим силу трения в сальниковом
компенсаторе:

,
(51)
Результирующее усилие на неподвижную
опору:

, (52)
По справочным данным находим
допустимое осевое усилие для щитовой неподвижной опоры под трубопроводы Dy 350 равное
350000 Н. Аналогично производим расчет для остальных диаметров и заносим в
таблицу 9.
Таблица 9 Результирующее усилие на
подвижную опору
|
113642,88 341235,479 159461,76 617009,306
|
. Тепловой расчет теплоизоляционной конструкции
Определяем эффективность тепловой изоляции
двухтрубной тепловой сети с диаметром теплопроводов Dy
=175, 200, 250, 300, 350 ,500 и 800мм.
Среднегодовая температура сетевой
воды в подающем 
, в обратном 
.
Толщина основного слоя 
(с учетом уплотнения), покровный
слой из бризола в 2 слоя, 
.
Коэффициент теплопроводности
основного слоя изоляции для подающего и обратного трубопровода:

, (53)

,
(54)
Термическое сопротивление покровного
слоя изоляции для каждой трубы (в примере рассчитаем для трубы с диаметром
350мм):

,
(55)
Термическое сопротивление покровного
слоя для каждой трубы:

, (56)
где 
- коэффициент теплопроводности
покровного слоя бризола, 
= 0,175
.

Термическое сопротивление на
поверхности покрытия для каждого трубопровода:

, (57)
где 
коэффициент теплоотдачи на
поверхности покрытия принят 
= 8 
.
Термическое сопротивление каждого
теплопровода:

,
(58)
Температуру воздуха в канале
определяем по выражению:
Удельные потери теплоты подающим и
обратным изолированными теплопроводами:

, (60)
Суммарные удельные потери тепла:

,
(61)

При условии неизолированных
теплопроводов суммарное термическое сопротивление будет равно термическому
сопротивлению на поверхности теплопровода:

, (62)
Температура воздуха в канале при
неизолированных теплопроводах:
Удельные потери тепла
неизолированными теплопроводами:

,
(63)
Суммарные потери тепла
неизолированными теплопроводами будут равны потерям тепла подающим
теплопроводом.
Эффективность тепловой изоляции:
Аналогично рассчитываем для
остальных диаметров. Результаты заносим в таблицу 10.
Таблица 10 Определение эффективности
тепловой изоляции
|
|
|
|
Rиз
|
Rпс
|
Rп
|
q1
|
q2
|
qиз
|
|
1,132
|
1,12
|
0,82
|
0,902662
|
0,009697
|
0,035167
|
98,01348
|
58,57355
|
156,587
|
|
0,841
|
0,829
|
0,529
|
1,300613
|
0,013077
|
0,047335
|
68,2356
|
40,77809
|
109,0137
|
|
0,79
|
0,778
|
0,478
|
1,410295
|
0,013928
|
0,050391
|
62,97946
|
37,63699
|
100,6164
|
|
0,689
|
0,677
|
0,377
|
1,694922
|
0,015987
|
0,057778
|
52,50806
|
31,37921
|
83,88727
|
|
0,637
|
0,625
|
0,325
|
1,893244
|
0,017305
|
0,062494
|
47,06959
|
28,12914
|
75,19872
|
|
0,585
|
0,573
|
0,273
|
2,146537
|
0,018859
|
0,068049
|
41,58163
|
24,8495
|
66,43113
|
|
0,531
|
0,519
|
0,219
|
2,498066
|
0,020799
|
0,07497
|
35,80424
|
21,39689
|
57,20113
|
|
0,506
|
0,494
|
0,194
|
2,706072
|
0,021839
|
0,078674
|
33,09014
|
19,77492
|
52,86506
|
|
Rп
неиз
|
q1'
|
q2'
|
qнеиз
|
|
|
|
0,048547
|
956,4867
|
186,7245
|
1143,211
|
0,863029
|
|
|
0,075253
|
617,0506
|
120,4601
|
737,5106
|
0,852187
|
|
|
0,083282
|
557,5618
|
108,8467
|
666,4085
|
0,849017
|
|
|
0,105594
|
439,7506
|
85,84773
|
525,5983
|
0,840397
|
|
|
0,122489
|
379,0953
|
74,00666
|
453,102
|
0,834036
|
|
|
0,14582
|
318,4401
|
62,16559
|
380,6057
|
0,825459
|
|
|
0,181776
|
255,4519
|
49,8691
|
305,321
|
0,812653
|
|
|
0,205201
|
226,2908
|
44,17628
|
270,467
|
0,804542
|
|
|
|
|
|
|
|
|
|
|
|
|
|
|
|
. Тепловой и гидравлический расчет
водоподогревательных установок
Тепловой и гидравлический расчеты водоподогревателей
сводятся к определению расчетной поверхности нагрева, выбора номера и
количества секций, а также гидравлического сопротивления водоподогревателя по
греющей и нагреваемой воде.
Расчет водоподогревателей системы горячего
водоснабжения при любых схемах подключения их к тепловым сетям производится для
самого неблагоприятного режима, соответствующего точке излома температурного
графика или по минимальной температуре воды, если отсутствует излом графика.
Для скоростных секционных водоподогревателей следует принимать противоточную
схему потоков теплоносителей, при этом греющая вода из тепловой сети должна
поступать в межтрубное пространство. Кроме скоростных водоподогревателей, могут
использоваться пластинчатые.
Число водоводяных подогревателей для системы
горячего водоснабжения принимается равным двум параллельно включенным в каждой
ступени подогрева, рассчитанных на 50% теплового потока. При максимальном
тепловом потеке до 2 МВт предусматривается установка по одному
водоподогревателю в каждой ступени нагрева.
Водоподогреватели горячего водоснабжения
присоединяются к тепловым сетям в ЦТП по параллельной или двухступенчатой
схемам.
Расчет двухступенчатой последовательной схемы
ведется по балансовой нагрузке горячего водоснабжения, а расчет двухступенчатой
смешанной схемы производят при условии равенства температур сетевой воды после
подогревателя второй ступени и после системы отопления. Тепловой расчет
водоподогревателей сводится к определению коэффициентов теплопередачи, площади
поверхности нагрева и потерь давления в них греющей и нагреваемой воды. При
этом скорость движения нагреваемой воды в трубках должна быть в пределах 1-2,5
м/с, в межтрубном пространстве - не более 2 м/с.
В зимний период расход сетевой воды:
на отопление

кг/ч (65)
на ГВС

кг/ч (66)
Расчетный расход на абонентский ввод

кг/ч 7
Расход нагреваемой воды для ГВС

кг/ч (68)
Температура нагреваемой воды на
выходе из подогревателя первой ступени

(69)
Теплопроизводительность
подогревателей второй и первой ступеней:

Вт (70)

Вт (71)
Температура сетевой воды на выходе
из подогревателя 1ой ступени

(72)
Среднелогарифмические разности
температур между греющим т нагревательным теплоносителями в подогревателях 1ой
и 2ой ступеней:

(73)

(74)
Средние температуры сетевой и
нагреваемой воды в подогревателях 1ой и 2о ступней:

(75)

(76)

(77)

(78)
Задавшись скоростью нагреваемой воды

м/с, определяем требуемую площадь
живого сечения трубного пространства подогревателя

м2
(79)
К установке принимаем скоростной
водоподогреватель типа 08 ОСТ 34-588-68 с техническими данными: длина секции l=4000 мм,
внутренний диаметр корпуса Di=106 мм,
площадь поверхности нагрева одной секции Fсек=3,54 м2,
диаметры трубок de/di=16/14мм,
количество трубок n=19, площадь живого сечения
межтрубного пространства fм.тр=0,005 м2,
трубного пространства fтр=0,00293 м2.
Эквивалентный диаметр межтрубного
пространства

мм= 0,0207 м
(80)
Действительная скорость нагреваемой
воды в трубках подогревателя

м/с (81)
Скорость сетевой воды в межтрубном
пространстве водоподогревателей 1ой и 2ой ступеней:

м/с (82)

м/с (83)
Коэффициенты теплоотдачи от сетевой
воды к стенкам трубок в подогревателях 1ой и 2ой ступеней

(84)

(85)
Коэффициенты теплоотдачи от стенок
трубок к нагреваемой воде в подогревателях

(86)

(87)
Коэффициенты теплоотдачи для
подогревателей 1ой и 2ой ступеней

(88)

(89)

м2 (90)

м2 (91)
Количество секций в подогревателях

секции
(92)

секций
(93)
Потери давления в трубном и
межтрубном пространстве подогревателей

кПа (94)

кПа (95)

кПа (96)

кПа (97)
Водоподогреватель типа 10 ОСТ
34-588-68 с техническими данными: длина секции l=4000 мм, внутренний диаметр
корпуса Di=158 мм, площадь поверхности нагрева одной секции Fсек=6,9 м2,
диаметры трубок de/di=16/14мм, количество трубок n=37, площадь живого сечения
межтрубного пространства fм.тр=0,0122м2, трубного пространства fтр=0,0067 м2.
В летний период расчетные
температуры сетевой воды составляют:

, 
, 
.
Расход теплоты для ГВС

КВт (98)
Расход нагреваемой воды

кг/ч (99)
Расход сетевой воды

кг/ч (100)
Среднелогарифмическая разность
температур теплоносителей

(101)
Средние температуры нагреваемой и
сетевой воды в подогревателе

(102)

(103)
Скорость сетевой и нагреваемой воды
в подогревателе:

м/с (104)

м/с (105)
Коэффициенты теплоотдачи:

(106)

(107)
Коэффициенты теплопередачи:

(108)
Поверхность нагрева подогревателей в
летний период

м2 (109)
Количество секций подогревателя

секции (110)
В летний период включается только
подогреватель 1ой ступени.
Потери давления в летнее время

кПа (111)

кПа (112)
Аналогично для всех кварталов
Таблица 11 Зимний режим:
Таблица 12. Летний режим:
. Расчет температур на участках
теплопровода
В процессе движения по теплопроводу
энтальпия теплоносителя уменьшается. Вследствие этого происходит снижение
температуры теплоносителя вдоль теплопровода. При коротких теплопроводах расчет
может проводиться в предположении постоянства удельных тепловых потерь. Для
расчета падения температуры по длине трубопровода используем формулу:

, (113)
где G - расход
теплоносителя на участке;

- теплоемкость теплоносителя;

и 
- температура теплоносителя в
начале и конце участка;
l - длинна
участка;
q - удельные
линейные тепловые потери;

- коэффициент местных потерь
теплоты.
Результаты расчетов заносим в
таблицу 13.
|
№
участка
|
l,
м
|
Gп,
т/ч
|
|
|
|
1
|
560
|
42,2
|
149,8
|
69,38
|
|
2
|
255
|
1144,8
|
149,78
|
69,93
|
|
3
|
325
|
1107
|
149,77
|
69,94
|
|
4
|
262,5
|
385
|
149,75
|
69,95
|
|
5
|
208
|
234
|
149,73
|
69,97
|
|
6
|
86,5
|
205
|
149,71
|
69,98
|
|
7
|
1046,5
|
539
|
149,78
|
69,907
|
|
8
|
235
|
427
|
149,76
|
69,91
|
|
9
|
242,5
|
296
|
149,74
|
69,92
|
|
10
|
245
|
261
|
149,73
|
69,94
|
|
11
|
108
|
130
|
149,71
|
69,95
|
|
12
|
50
|
95
|
149,69
|
69,97
|
Список использованной литературы
1) Источники и системы
теплоснабжения промышленных предприятий: Пособие к курсовому проектированию для
студентов специальности 100700-Промышленная теплоэнергетика/Д.Л.Жуховицкий,
А.А.Цынаева - Ульяновск - 2002.-28с.
2) Теплоснабжение и вентиляция:
Курсовое и дипломное проектирование/под общей редакцией Б.М. Хрусталева-3-е
изд. испр. и доп.-М. - 2012.-336с.
3) Наладка и эксплуатация
водяных тепловых сетей: Справочник/В.И. Манюк, Я.И. Каплинский, Э.Б. Хиж и
др.-3-е изд. перераб. и доп.-М.:Стройиздат,1988.-432с.
) СНиП 2.04.07-86. Тепловые
сети./Госстрой СССР. - М.: ЦИТП Госстроя СССР, 1986.-45с.
) Соколов Е. Я. Теплофикация
и тепловые сети. - М.: Издательство МЭИ, 2001. - 472 с.
6) Наладка водяных систем
централизованного теплоснабжения: Справочное пособие /М.М. Апарцев: - М.:
Энергоатомиздат, 1983. - 204 с.
7) Теплоснабжение. Учебное
пособие для вузов. /В.Е. Козин, Т.А. Левина, А.П. Марков и др. - М.: Высш.шк.,
1980. - 408 с.
) СНиП 2.04.14-88. Тепловая
изоляция оборудования и теплопроводов /Госстрой СССР. - М.: ЦИТП Госстроя СССР,
1989. - 32 с.
) СНиП 2.01.01-32.
Строительная климатология и геофизика. - М.: Стройиздат, 1983.