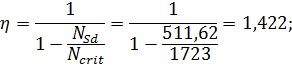
|
Вид нагрузки
|
Величина нагрузки
|
|
нормативная
|
 расчетная
|
|
|
Постоянные (g)
|
|
|
|
|
1 Элементы кровли и несущей
конструкции при шаге балок 6м
|
19,56
|
1,35
|
26,41
|
|
2 В том числе от веса балки
|
3,6
|
1,35
|
4,86
|
|
Переменные (p)
|
|
|
|
|
3 Снеговая при шаге балок 6
м
|
9
|
1,5
|
13,5
|
|
4 В том числе длительные
|
4,5
|
1,5
|
6,75
|
|
Суммарные (q)
|
|
|
|
|
5 Полные
|
28,56
|
|
39,91
|
|
6 В том числе длительные
|
24,06
|
|
33,16
|
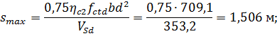
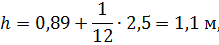
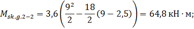
5.2 Расчет балки по нормальным сечениям
В
изгибаемых элементах переменной высоты опасным по изгибающему моменту будет
нормальное сечение, смещенное от середины пролета к опоре. При уклоне верхнего
пояса i = 1/12 расстояние от опоры до опасного сечения составляет х = 0,37l.
Если рабочая высота сечения на опоре 
, то в
опасном сечении 
.
Изгибающий
момент в опасном сечении от полной расчетной равномерно распределенной нагрузки
q = 39,91 кН/м:
Ширина поперечного сечения балки b = 280 мм. Рабочая высота в расчетном
сечении при предварительно принятом расстоянии от крайних растянутых волокон до
центра тяжести напрягаемой арматуры с = 140 мм:
Определим
площадь поперечного сечения напрягаемой арматуры 
,
расположенной в растянутой зоне, методом предельных усилий.
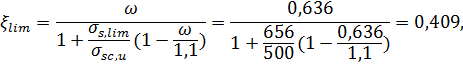
Граничное
значение относительной высоты сжатой зоны бетона:
где


- величина
предварительного напряжения арматуры.
В
решетчатых балках имеются вырезы, поэтому необходимо следить, чтобы нейтральная
ось сечения не выходила из пределов верхнего пояса (не заходила в пределы
отверстий).
принимаем

.
Требуемая
площадь напрягаемой арматуры:
Принимаем
6
20 мм S800,

.
Рисунок 5.2 - Схема расположения напрягаемой арматуры
Рабочая высота расчетного сечения балки:
Проверим несущую способность сечения.
Относительная высота сжатой зоны сечения:
Высота сжатой зоны бетона:

что
больше высоты верхнего пояса балки, равного 0,16 м. Нейтральная ось сечения
проходит в пределах отверстия, поэтому сжатой принимаем только высоту верхнего
пояса, т.е. 
м.
Несущую
способность сечения 
определяем
по условию равновесия внешнего и внутреннего моментов относительно точки, через
которую проходит равнодействующая сжатого бетона верхнего пояса.
Плечо
внутренней пары сил:

что
больше 
Проверим
несущую способность расчетного сечения при действии дополнительной нагрузки от
двух подвесных мостовых кранов грузоподъемностью 5 т.
Максимальное
Dmax и минимальное Dmin значения расчетных нагрузок на
подкрановый путь в местах крепления к стропильной балке и соответственно
нагрузка на стропильную балку составит (пролет подкранового пути 6,0 м, пролет
крана Lп = 15,0 м, база крана 2,7 м, ширина 3,295 м, давление тележки на подкрановый
путь 
= 38,8
кН, 
= 5,30
кН):
Ординаты линий влияния по рисунку 5.3:

; 
; 
; 
;
Рисунок
5.3 - Ординаты линий влияния опорных реакций подвесных балок
Изгибающий момент от действия подвесных кранов в расчетном сечении, при
расстоянии от опор до мест подвески кранового пути к балке 1,35 м (рисунок
5.4):
-
опорная реакция от подвесного мостового крана на конце балки со стороны
действия 
:
-
расчетный момент с коэффициентом сочетания 
:
Рисунок 5.4 - Эпюра изгибающих моментов в стропильной балке от действия
подвесных мостовых кранов грузоподъемностью 5 т
Суммарный расчетный изгибающий момент от полной нагрузки, включающей
подвесные краны:
Прочность расчетного сечения обеспечена.
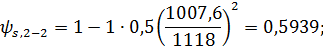
.3 Геометрические характеристики расчетных сечений
Определим геометрические характеристики двух сечений балки - расчетного
(1-1) и в середине пролета (2-2):
-
ширина сечения 
;
высота
сечения 
;
высота
отверстия 
площадь
напрягаемой арматуры 
коэффициент

;
площадь
отверстия 
рабочая
высота сечения 

;
площадь
бетонного сечения
момент
инерции бетонного сечения
приведенная
площадь сечения
статический
момент приведенного сечения относительно нижней грани сечения
расстояние
от нижней грани до центра тяжести приведенного сечения
расстояние
от верхней грани до центра тяжести приведенного сечения
-
расстояние от точки приложения силы обжатия до центра тяжести при-веденного
сечения
момент
инерции приведенного сечения
момент
сопротивления приведенного сечения относительно нижней грани
момент
сопротивления приведенного сечения относительно верхней грани
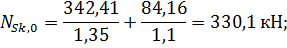
5.4 Предварительные напряжения и потери напряжений в напрягаемой арматуре
Предварительное
напряжение 
назначается
с учетом допустимых отклонений значения предварительного напряжения р таким
образом, чтобы выполнялись условия:
Принимаем

, тогда
при электротермическом способе натяжения 
, где 
- длина
натягиваемого стержня (расстояние между наружными гранями упоров стенда).

.
Проверяем
условия
условия
выполняются.
Определяем потери предварительного напряжения в напрягаемой арматуре.
Технологические
потери (первые потери в момент времени t =
, т. е.
непосредственно после передачи усилия предварительного обжатия на бетон):
Потери
от релаксации напряжений арматуры
2
Потери от температурного перепада для бетона класса 
где

-
разность между температурой нагреваемой арматуры и неподвижных упоров (вне зоны
прогрева), воспринимающих усилие натяжения.
Потери,
вызванные деформацией стальной формы. Так как натяжение арматуры выполняется на
упоры стенда, то потери от деформации формы равны нулю: 
.
Потери,
вызванные трением напрягаемой арматуры об огибающие приспо-собления, равны
нулю, так как напрягаемая арматура прямолинейна: 
5 Потери от деформации анкеров
где

-
обжатие опрессованных шайб, принимается равным 2 мм; 
- длина
натягиваемого стержня.
Потери,
вызванные упругой деформацией бетона,
где

;

- усилие
предварительного напряжения с учетом потерь, реализованных к моменту обжатия
бетона,

Тогда
Усилие
предварительного обжатия 
,
действующее после передачи предварительного обжатия на конструкцию, должно быть
не более 
,

, условие
выполняется.
Максимальное
напряжение в бетоне в момент обжатия:
для
сечения 1-1

, что
меньше 
, условие
выполняется.
Здесь

-
средняя прочность бетона в момент обжатия, когда класс бетона не выше 
.
для
сечения 2-2
условие
выполняется.
Эксплуатационные
потери (вторые потери в момент времени 
):
7 Реологические потери предварительного напряжения, вызванные ползучестью
и усадкой бетона, а также длительной релаксацией напряжений в арматуре
где

- потери
предварительного папряжения, вызванные ползучестью, усадкой и релаксацией; 
-
ожидаемое значение относительных деформаций усадки бетона (класса 
) к
моменту времени t,

,

-
физическая часть усадки при высыхании бетона, табл. 6.3 
, 
- хими-
ческая часть усадки, обусловленная процессами твердения вяжущего,

,

, для t =
100 сут;

-
коэффициент ползучести бетона за период времени от 
до t =
100 сут, принимаем по рисунку 6.1 
. При
площади 
и
периметре поперечного сечения балки 
,

-
напряжения в бетоне на уровне центра тяжести напрягаемой арматуры от
практически постоянного сочетания нагрузок, включая собственный вес,

-
начальное напряжение в бетоне на уровне центра тяжести напрягаемой арматуры от
действия усилия предварительного обжатия (с учетом первых потерь)

-
изменение напряжений в напрягаемой арматуре, вызванные релаксацией арматурной
стали. Для вычисления 
сначала
определяем 
-
напряжения в арматуре, вызванные натяжением (с учетом первых потерь) и от
действия практически постоянного сочетания нагрузок,
Принимая

и при
уровне напряжений 
,
определяем по таблице 9.2 
для
стержневой арматуры максимальные потери начальных напряжений в арматуре от ее
релаксации. Они составляют 1,5%. Тогда

МПа.
Вычислим
произведение:
Тогда

.
Среднее
значение усилия предварительного обжатия 
(с
учетом всех потерь)
Величина

не
должна быть больше следующих величин:

.
Проверим
эти условия:

;

условия
выполняются.
5.5 Предварительные напряжения и потери напряжений в напрягаемой арматуре
Балка
имеет уклон верхнего пояса, поэтому ее рекомендуется рассчитывать на прочность
по поперечной силе при рабочей высоте 
в конце
наклонного сечения (рисунок 5.5):

,
где

-
рабочая высота сечения в начале наклонного сечения; 
-
горизонтальная проекция наклонного сечения.
Рисунок
5.5 - Схема усилий в элементе при его расчете по поперечной силе
Величина
поперечной силы:
Рабочая
высота в начале наклонного сечения:
Определим
поперечную силу, которую может воспринять балка без поперечного армирования:
но
не менее 
.
В
этих формулах:
Тогда

,
поперечная арматура ставится по расчету.
Подбираем
поперечную арматуру:
определяем
коэффициент 
. Для
тяжелого бетона 
, для
прямоугольного сечения 
, а 
-
коэффициент, учитывающий влияние продольного усилия предварительного
напряжения,
На
стадии эксплуатации 
:
определяем
величины
определяем
усилие в хомутах на единицу длины балки
определяем
длину проекции наклонной трещины, на которой учитывается работа хомутов,
то
есть 
, поэтому

определяем
по формуле
назначаем
диаметр поперечной арматуры 
, тогда
площадь с учетом постановки двух каркасов 
;
определяем
требуемый шаг стержней
рассчитываем максимально допустимый шаг хомутов
-
определяем шаг стержней по конструктивным требованиям 
и не
более 300 мм. Принимаем шаг 
мм.
Проверяем прочность наклонного сечения при принятом армировании:

,
прочность обеспечена.
Проверим
прочность балки по наклонной полосе между наклонными трещинами по условию
где

-
коэффициент, учитывающий работу хомутов,

,
прочность обеспечена.
.6
Расчет прочности балки в стадии изготовления и монтажа
Прочность
балки при изготовлении и монтаже проверяется в сечении, где устанавливаются
подъемные петли, обычно на расстоянии 
.
Принимаем 
= 2,5 м,
тогда изгибающий момент от собственного веса консоли (рисунок 5.6) с учетом
коэффициентов безопасности по нагрузке и динамики 
, 
равен:
Этот
момент суммируется с моментом от усилия обжатия бетона напрягаемой арматурой 
, который
вычисляется относительно центра тяжести верхней арматуры
Высота сечения балки в месте установки подъемных петель
рабочая
высота балки 
.
Усилие

в
напрягаемой арматуре после обжатия
Здесь

-
коэффициент безопасности для усилия предварительного обжатия;
МПа
- падение напряжений в напрягаемой арматуре в связи с деформациями обжатия
бетона.
Суммарный
момент в расчетном сечении
Рисунок
5.6 - Схема подъема балки при монтаже и эпюра изгибающего момента от
собственного веса
Рисунок
5.7 - Схема внутренних усилий в расчетном сечении
Подбираем
арматуру:
Требуемая площадь верхней арматуры
Принимаем
2
12 S400,

.
Проверяем
прочность сечения

,
прочность обеспечена.
5.7 Расчет по образованию нормальных трещин в стадии изготовления
В стадии изготовления трещины в верхней зоне сечений образуются от
действия предварительного обжатия. Образованию трещин сопротивляется бетон этой
зоны, поэтому условие обеспечения трещиностойкости удобнее записать в виде
где

.
Определим
геометрические характеристики сечения.
Площадь
бетонного сечения 
.
Площадь
приведенного сечения

.
Статические
моменты и моменты инерции приведенного сечения относи-тельно крайних нижних и
верхних волокон сечений:
Момент
сопротивления верхних волокон сечения


, трещины
образуются.
Проверим
образование трещин в сечениях 1-1 и 2-2.
Определим
коэффициент 
для
сечения 1-1, так как оно имеет отверстие:

, трещины
не образуются.

, трещины
не образуются.
5.8 Расчет по образованию нормальных трещин в стадии эксплуатации
Расчет
выполняем на действие практически постоянного сочетания нагрузок, при котором 
.
что
меньше 
.
Следовательно, трещины в стадии эксплуатации в сечении 1-1 при низшем пределе
усилия предварительного обжатия образуются.
Проверим,
образуются ли трещины по середине пролета балки в сечении 2-2:

трещины
образуются.
.9
Расчет по раскрытию нормальных трещин
В стадии изготовления и монтажа трещины образуются в верхней зоне
сечения, где устанавливаются монтажные петли.
Расчетная
ширина раскрытия трещин 
,
нормальных к продольной оси, определяют по формуле
где

, так как
ширина сечения балки меньше 300 мм; 
-
среднее расстояние между трещинами, мм, 
; 
-
стержни периодического профиля; 
- при
изгибе; 
-
диаметр стержней, 12 мм; 
-
эффективный коэффициент армирования, 
; 
; 
; 
; 
.
Среднее
значение относительной деформации растянутой арматуры 
определяется
по формуле
где

-
относительная деформация растянутой арматуры в сечении с трещиной, 
; 
-
коэффициент, учитывающий неравномерность распределения относительных деформаций
растянутой арматуры на участке между трещинами.
Для
вычисления 
определяем
напряжения в растянутой арматуре 
:
где

, 
- высота
сжатой зоны сечения, определяется из условия равенства статических моментов
сжатой и растянутой зон относительно нейтральной оси:
Здесь

, 
- для
кратковременной нагрузки.
Получаем

.
Тогда

.
Определяем
величину 
:
Здесь

- для
стержней периодического профиля; 
- для
кратковременной нагрузки.
После
чего определяем: 
Тогда
расчетная ширина раскрытия трещин

.
Ширина
раскрытия трещин не превышает допустимую.
В
стадии эксплуатации трещины образуется в нижней зоне в расчетных сечениях 1-1 и
2-2.
Коэффициент

= 1,3,
так как ширина сечения меньше 300 мм.
Среднее
расстояние между трещинами
Для длительно действующей нагрузки
Определяем высоту сжатой зоны сечения (рисунок 5.8):
Рисунок 5.8 - Определение высоты сжатой зоны сечения

Так
как высота сжатой зоны больше высоты бетона над отверстием сечения балки, то ее
принимаем равной высоте над отверстием 
.
Равнодействующую сжатой зоны бетона считаем приложенной на половине высоты
х/2.
Определяем
приращение напряжений в напрягаемой арматуре:

- для
длительно действующей нагрузки;
Ширина
раскрытия трещин в сечениях 1-1 и 2-2 не превышает допустимую.
5.10 Расчет по деформациям
Прогиб
балки определяем в середине пролета (сечение 2-2) упрощенным методом расчета и
исходя из принципа суперпозиции, т. е. суммируя прогиб от внешней нагрузки и
выгиб от усилия предварительного обжатия бетона (соответственно 
):
Здесь

- для
однопролетной балки, загруженной равномерно распределенной нагрузкой; 
- для
напрягаемых стержней с прямолинейной осью трассы; 
; 
.
В
расчетном сечении образуются трещины, поэтому изгибная жесткость балки
определяется по формуле:
где

; 
- момент
инерции приведенного сечения балки с нормальными трещинами в растянутой зоне
относительно нейтральной оси. Положение нейтральной оси и высоту сжатой зоны 
находим
из условия равенства статических моментов сжатой зоны сечения и растянутой
арматуры относительно нейтральной оси: 
:

;
- момент
инерции приведенного сечения балки без трещин в растянутой зоне.
Для
определения 
при 
вычисляем
расстояние от нижней грани до центра тяжести приведенного сечения:
Предельно
допустимый прогиб:
Максимальный
прогиб в середине пролета балки не превышает допустимый.
6.
Расчет внецентренно нагруженных фундаментов
.1
Определение размеров подошвы
Подбор
размеров подошвы фундамента под среднюю колонну
К
расчету примем 1-е и 4-е сочетание усилий:

Бетон
класса С16/20, fcd=10,67 МПа, fctd=0,87 МПа,
арматура класса S400, fyd=365 МПа.
Для
определения размеров подошвы фундамента рассчитываем нагрузки с коэффициентом
надежности по нагрузкам γf
=1 в сечении колонны:
для
1-го сочетания нагрузок
Вычисляем
вертикальную силу и момент в уровне подошвы фундамента:
-
для 4-го сочетания нагрузок
Вычисляем
вертикальную силу и момент в уровне подошвы фундамента:
Здесь
высота фундамента 
, глубина
заложения 
при
отметке обреза, равной отметке поверхности земли -0,15 м.
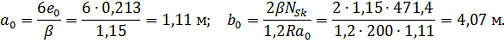
Определяем
размеры подошвы фундамента при R=200 кПа, β=1,15.
Для
1-го сочетания нагрузок эксцентриситет
тогда
в первом приближении
Так
как 
.
Принимаем 
м.
Принимаем 
м и по
формуле
Для
4-го сочетания нагрузок эксцентриситет
тогда
в первом приближении
Так
как 
.
Принимаем 
м и по
формуле

м,
принимаем 
м.
Размеры
подошвы фундамента, полученные по 1-му сочетанию нагрузок

=2,1
2,1 м,
меньше размеров подошвы фундамента, полученные по 4-му сочетанию 
=3,0
2,1 м. К
дальнейшему расчету принимаем фундамент с большими размерами подошвы.
Проверка
принятых размеров подошвы фундамента
Определяем
максимальное и минимальное значения давления под подошвой фундамента в
предположении линейного расположения давления в грунте:
где

;

;

;
Тогда
максимальное значение давления под подошвой фундамента:
Минимальное
значение давления под подошвой фундамента:
Условия
выполняются, следовательно, полученные размеры подошвы фундамента могут быть
использованы в дальнейших расчетах.
Подбор
размеров подошвы фундамента под крайнюю колонну
К
расчету примем 1-е и 4-е сочетание усилий:

Бетон
класса С16/20, fcd=10,67 МПа, fctd=0,87 МПа,
арматура класса S400, fyd=365 МПа.
Для
определения размеров подошвы фундамента рассчитываем нагрузки с коэффициентом
надежности по нагрузкам γf
=1 в сечении колонны:
для
1-го сочетания нагрузок
Вычисляем
вертикальную силу и момент в уровне подошвы фундамента:
для
4-го сочетания нагрузок
Вычисляем
вертикальную силу и момент в уровне подошвы фундамента:
Здесь
вес нижних панелей 
,
эксцентриситет приложения нагрузки от нижних панелей 
(табл.
3.4), высота фундамента 
, глубина
заложения 
при
отметке обреза, равной отметке поверхности земли -0,15м.
Определяем
размеры подошвы фундамента при R=200 кПа, β=1,15.
Для
1-го сочетания нагрузок эксцентриситет
тогда
в первом приближении
Так
как 
.
Принимаем 
м.
Принимаем 
м и по
формуле
Для
4-го сочетания нагрузок эксцентриситет
тогда
в первом приближении
Так
как 
.
Принимаем 
м.
Принимаем 
м и по
формуле
Размеры
подошвы фундамента, полученные по 1-му сочетанию нагрузок

=2,1
1,5 м,
меньше размеров подошвы фундамента, полученные по 4-му сочетанию 
=2,1
1,8 м.
Проверка
принятых размеров подошвы фундамента
Определяем
максимальное и минимальное значения давления под подошвой фундамента в
предположении линейного расположения давления в грунте:
где

;

;

;
Тогда
максимальное значение давления под подошвой фундамента:
Минимальное
значение давления под подошвой фундамента:
Условия
выполняются, следовательно, полученные размеры подошвы фундамента могут быть
использованы в дальнейших расчетах.
.2
Расчет тела фундамента
Расчет тела фундамента заключается в определении его высоты, количества и
размеров ступеней, подбора рабочей арматуры подошвы фундамента.
6.2.1 Определение высоты
Для назначения высоты фундамента определим толщину дна стакана из условия
прочности на продавливание:
Полная
высота фундамента определяется суммой толщины дна стакана, защитного слоя
бетона, глубины заделки колонны в фундамент и подливки: 
.
Принимаем высоту фундамента 
.
Рисунок
6.1 - Принятое поперечное сечение фундамента
6.2.2 Расчет на раскалывание
Вычисляем площадь вертикальных сечений за вычетом площади стакана в
направлении длинной «a» и
короткой «b» сторон подошвы:
Так
как 
больше,
чем 
, то
вертикальное усилие, которое может воспринять фундамент не раскалываясь,
вычисляем по формуле:
Полученное
вертикальное усилие больше максимального расчетного усилия 
, поэтому
прочность на раскалывание обеспечена.
6.2.3 Проверка прочности нижней ступени
Проверяем прочность нижней ступени на поперечную силу в направлении
длинной стороны подошвы фундамента «a»:

, прочность
обеспечена.
Определим
периметр вышележащей (второй) ступени:

.
Так
как 
, то
расчет нижней ступени на продавливание не производится. Принятые размеры
фундамента удовлетворяют условиям прочности.
.2.4
Расчет арматуры
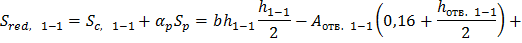
Для расчета площади арматуры подошвы фундамента определим изгибающие
моменты в сечениях I-I…III-III.

Рисунок 6.2 - Схема к расчету арматуры фундамента
-
реактивное давление под подошвой фундамента 
:
изгибающие моменты в сечениях:
Требуемая площадь арматуры:
в направлении длинной стороны подошвы
в направлении короткой стороны подошвы
В
направлении длинной стороны подошвы фундамента принимаем 
мм, 
. Шаг
стержней 
мм.
В
направлении короткой стороны подошвы фундамента принимаем 
мм, 
.
Маркировка
по ГОСТ 23279-85
Рисунок
6.3 - Сетка армирования нижней ступени фундамента
6.2.5 Проверка прочности дна стакана на продавливание
Рабочая высота дна стакана:
Длина критического периметра:
Площадь внутри расчетного критического периметра:
Поперечная сила:
Погонная поперечная сила:
Расчетный коэффициент армирования:
Допускаемая расчетная поперечная сила:

, что
больше 
.
Прочность
обеспечена.
Список литературы
1 СНБ 5.03.01-02. Бетонные и железобетонные конструкции.
Нормы проектирования. - Взамен СНиП 2.03.01-84* ; введ. 01.07.2003. - Мн. :
Минстройархитектуры РБ, 2003. - 139 с.
СНиП 2.01.07-85*. Нагрузки и воздействия. - Введ. 01.01.1987.
- М. : ЦИТП Госстроя СССР, 1986. - 36 с.
ТКП 45-5.01-67-2007 (02250). Фундаменты плитные. Правила
проектирования. - Введ. 01.09.2007. - Мн. : Минстройархитектуры РБ, 2008.
СНиП II-23-81*. Стальные конструкции. Нормы проектирования. -
Взамен СНиП II-В.3-72; введ. 01.01.1982. - М.: ЦИТП Госстроя СССР, 1990.
Железобетонные конструкции. Основы теории, расчета и
конструирования: учеб. пособие для студентов строительных специальностей ; под
ред. Т.М. Пецольда и В.В. Тура. - Брест : БГТУ, 2003. - 380 с.
Байков, В. Н. Железобетонные конструкции : Общий курс / В.Н.
Байков, Э.Е. Сигалов. - М. : Стройиздат, 1991. - 767 с.
Попов Н.Н. Проектирование и расчет железобетонных и каменных
конструкций / Н.Н. Попов, А.В. Забегаев. - М. : Высшая школа, 1989. - 400 с.
Талецкий В.В. Проектирование конструкций каркаса и
фундаментов одноэтажного промышленного здания из сборного железобетона. Ч.I. Проектирование стоек каркаса:
учеб.-метод. пособие по курсовому и дипломному проектированию. - Гомель:
БелГУТ,2010.-64с.
Талецкий, В.В. Проектирование конструкций каркаса и
фундаментов одноэтажного промышленного здания из сборного железобетона. Ч.II. Расчет и проектирование
преднапряженных конструкций покрытия и внецентренно нагруженного фундамента:
учеб.-метод. пособие по курсовому и дипломному проектированию. - Гомель:
БелГУТ, 2012. - 60с.