Методы сбыта товаров предприятия ООО 'Национальная водная компания'

  • Вид работы:
    Курсовая работа (т)
  • Предмет:
    Маркетинг
  • Язык:
    Русский
    ,
    Формат файла:
    MS Word
    139,57 Кб
  • Опубликовано:
    2015-06-08
Вы можете узнать стоимость помощи в написании студенческой работы.
Помощь в написании работы, которую точно примут!

Методы сбыта товаров предприятия ООО 'Национальная водная компания'

Содержание

Введение

. Теоретические аспекты изучения организации сбыта товаров

.1 Понятие сбытовой политики предприятия, ее задачи и функции

.2 Каналы распределения товаров в маркетинге

.3 Характеристика методов сбыта продукции

. Анализ организации в ООО «Национальная водная компания»

.1 Организационно-экономическая характеристика ООО «Национальная водная компания»

.2 Анализ маркетинговой деятельности предприятия

.3 Исследование применения методов сбыта ООО «Национальная водная компания»

. Рекомендации по повышению эффективности деятельности предприятия ООО «Национальная водная компания»

Заключение

Список использованных источников

Введение

Актуальность темы исследования обусловлена тем, что система сбыта товаров - ключевое звено маркетинга и комплекс во всей деятельности фирмы по созданию, производству и доведению товара до потребителя. Собственно, именно здесь потребитель либо признаёт, либо не признаёт все усилия фирмы полезными и нужными для себя и, соответственно, покупает или не покупает ее продукцию и услуги.

Существует несколько причин, определяющих роль сбытовых систем в экономике. Одна из них - это необходимость. Если речь идет о продаже уникальной специализированной производственной линии, то продавец и покупатель прекрасно обходятся без специальной сбытовой системы.

Вторая из причин - это борьба за деньги потребителя. Жизнь в условиях изобилия привела потребителей к убеждению, что удобство приобретения товара - неотъемлемая принадлежность нормального образа жизни, т.е. потребитель, требует хорошего ознакомления с товарным набором, минимума времени на приобретение товара, максимума удобств до, во время и после покупки.

Все эти требования можно выполнить, всемерно развивая сбытовую сеть, приближая ее конечные точки к потребителю, создавая максимум удобств для него. Если фирма сумела это сделать, она (при прочих равных условиях) привлекла к себе покупателя и добилась преимущества в рыночной борьбе.

Третья причина - это рационализация производственных процессов. Конкретно речь идет о том, что есть ряд операций производства, которые связаны в большей мере не с изготовлением, а с подготовкой товара к продаже (сортировка, фасовка, упаковка). Все эти операции целесообразно осуществлять уже на этапе «завод - потребитель», т.е. перед транспортировкой, на складах, в магазинах, в предпродажном процессе. От своевременности, качества и рациональности их выполнения существенно зависит сбыт продукции. Соответственно, система маркетинга втягивает в себя некоторую «технологическую составляющую».

Четвертая причина - это проблемы эффективности рыночного поведения и развития фирмы. Самое важное в познании и удовлетворении потребностей потребителей - это изучать их мнение о товарах фирмы, конкурирующих.

Объектом исследования курсовой работы является ООО «Национальная водная компания».

Предмет исследования - методы сбыта товаров предприятия.

Цель данной курсовой работы - исследование теоретических основ и предложение практических рекомендаций по совершенствованию организации сбыта продукции.

Для достижения поставленной цели в курсовой работе были поставлены и решены следующие задачи:

а) рассмотреть понятие сбытовой политики предприятия;

б) изучить каналы распределения и методы сбыта продукции;

в) исследовать маркетинговую деятельность ООО «Национальная водная компания»;

г) проанализировать применение методов сбыта в деятельности ООО «Национальная водная компания»;

д) разработать рекомендации по совершенствованию деятельности ООО «Национальная водная компания».

Методологической базой исследования являются научные труды российских и зарубежных авторов.

1. Теоретические аспекты организации сбыта товаров

.1 Понятие сбытовой политики предприятия, ее задачи и функции

Современная рыночная экономика построена таким образом, что требования маркетинговой политики заключаются не в одном лишь создании товаров соответствующего качества, отвечающих желаниям потребителей, но и грамотной постановкой цены на него. Главной целью участников рынка - это доведение товара до конечного потребителя и обеспечение его доступности основному сегменту отрасли. В связи с этим на любом предприятии возникает необходимость организации эффективной сбытовой политики.

Работа всех предприятий-производителей, а также реализаторов готовой продукции в действующих условиях современной экономики держится и создаётся на новых принципах, проявляющихся в сбытовой отрасли готовой продукции. В условиях жёсткой конкуренции, главной задачей формирования сбытовой политики предприятий является завоевать и удержать им выбранной доли рынка с сохранением превосходства над конкурентами в избранной области [1].

Сбыт - это реализация готовой продукции предприятия, которая включает в себя модель отношений с внешней сетью сбыта и конечными потребителями (покупателями) продукции. Таким образом, сбыт является неотъемлемым элементом процесса маркетинга, который является конечной и самой ответственной стадией обеспечения потребителей требующимися для них товарами либо услугами.

Сбытовая политика формируется в соответствии с целями и задачами сбыта, поэтому она обязана подчёркивать и не противоречить бизнес-концепции предприятия (какого игрока в отрасли оно из себя представляет, в чем его преимущество перед конкурентами, какое место на рынке желает занять и проч.), а также выбранному курсу действий. Для разработки сбытовой политики на предприятии, необходимо проведение детального анализа внутренних и внешних условий деятельности предприятия, его недостатков и возможностей. Сбытовая политика предприятия - это выбранные её руководящим аппаратом совокупности маркетинговых стратегий (теории охвата рынка, позиционирования своего товара) и комплекс мероприятий, включающие в себя решения и действия по разработке и объединению ассортимента выпускаемой продукции в группы товаров и ценообразованию, а также существующему спросу и стимулированию сбыта с помощью рекламы, обслуживания покупателей, коммерческого кредитования, скидок; оформлению договорных отношений сбыта(поставки) товаров, его движения, перевозке, по взиманию дебиторской задолженности, организационным, материально-техническим и другим особенностям сбыта.

Задачи сбытовой политики товаров и услуг разделяют на тактические и стратегические. С организационно-коммерческими функциями распределения, с формированием, организацией и налаживанием каналов сбыта в основном связаны стратегические задачи. Решение вопросов по работе с уже существующей клиентской базой, организации своевременной оплаты заказов потребителями, проверки деятельности внешней службы компании-производителя, по наличию и достаточности торговых запасов, существующей потребности в презентации товара, организации мероприятий по поддержке сбыта возникают тактические задачи формирования сбытовой политики [2].

Любые изменения сбытовой политики влекут за собой серьёзные структурные перестроения налаженных каналов сбыта. Для того чтобы на реализацию данных процессов производилось меньше затрат в ходе функционирования предприятия, необходимо выстроить процесс формирования сбытовой политики предприятия на основе нескольких этапов. На первом этапе определяются цели сбыта предприятия; второй этап заключается в выборе стратегии сбыта. Третий этап - это отбор посредников и участников системы сбыта, а затем поиск пути, благодаря которому можно успешно осуществить сотрудничество между участниками каждого из каналов распределения. Заключительный этап в формировании сбытовой политики предприятия заключается в разработке технологий контроля сбытовой деятельности в целом, а также по каждому каналу распределения и отдельным посредникам.

Главной проблемой формирования сбытовой политики предприятия является то, что при наличии жесткой конкуренции её основной задачей остаётся завоевание и сохранение предприятием необходимой доли рынка и достижение превосходства над существующими конкурентами[3].

Сбытовая политика является ключевым положением сразу в нескольких областях стратегического планирования на предприятии: построение эффективной системы управления сбытом продукции можно назвать одним из основных факторов успеха предприятия. Проблемы, возникающие в области управления сбытом товаров на предприятии, могут в конечном итоге приводить к серьёзным финансовым потерям (в виде убытков и упущенной выгоды) либо частичной (в некоторых случаях и полной) остановке производства продукции . К таким проблемам относят:

недостаточную осведомленность предприятия о потребностях населения, их вкусах и предпочтениях, величине спроса на определённые группы товаров;

малую известность предприятия среди всех слоёв населения, неустойчивый имидж компании;

не налажены каналы сбыта от предприятия к покупателям;

недостаточное количество квалифицированных кадров на предприятии, слабая оснащенность высокотехнологичным оборудованием, которое позволяло бы организовать сбытовую политику наилучшим образом [4].

Именно на основании цели решения вышеизложенных проблем, сбытовая политика предприятия должна быть сформирована таким образом, чтобы удовлетворять потребности рынка, сокращать расходы на производство продукции, позволять реализовывать весь выпускаемый товар, приносить высокую прибыль компании.

В результате сбытовой политики осуществляется: выбор организационных структур, форм товародвижения, методов и систем сбыта; распределение функций между отдельными участниками системы сбыта и их стимулирование, а также минимизацию расходов в каждом звене канала сбыта (при хранении готовых товаров, подлежащих реализации в ближайшие и отдаленные периоды; при выборе вида транспорта и составлении маршрутов перевозки; при обосновании объемов складских и гарантийных запасов, а также места и условий их хранения; при решении проблемы упаковки; при поиске путей уменьшения риска порчи и хищения; при выборе тары; при механизации складских помещений).

.2 Каналы распределения товаров в маркетинге

Основой формирования сбытовой политики является использование элемента комплекса маркетинга «доведение продукта до потребителя», который характеризует деятельность организации, направленную на создание продукт доступного целевым потребителям.

Главное содержание элемента комплекса маркетинга «доведение продукта до потребителя»- это выбор оптимальной схемы доставки продукта от производителя к потребителю, ее физическое воплощение, которое называют физическим распределением или товародвижением (организация транспортировки, хранения, обработки груза), а также послепродажное (сервисное) обслуживание потребителей.

Одним из ключевых вопросов доведения продукта до потребителя является выбор для различных видов продукта типа канала распределения, называемого каналом маркетинга. Под каналом распределения понимается ряд организаций или отдельных лиц, которые включены в процесс, который делает продукты доступными для использования или потребления индивидуальными потребителями или отдельными организациями; это путь движения товаров от производителя к потребителю. Участники канала занимаются:

сбором и распространением маркетинговой информации;

стимулированием сбыта;

установлением контактов;

подгоняют продукт под требования потребителей (сортировка, сборка, упаковка);

проведением переговоры;

транспортировкой и хранением товаров;

финансированием функционирование канала;

принятием на себя риск за функционирование канала.

Любой канал характеризуется наличием следующих потоков: физических продуктов, собственности на них, платежей, информации и продвижения продукта. В каналах сферы услуг циркулируют нематериальные продукты (услуги, идеи, знания).

Каналы распределения можно охарактеризовать числом их уровней. Уровень канала - любой посредник, который выполняет определенную работу по приближению товара и права собственности на него к конечному покупателю. Число независимых уровней определяет длину канала распределения. Самый простой - канал прямого маркетинга, состоящий из производителя, продающего товар непосредственно потребителю.

Хотя канал прямого маркетинга является простейшим, он не обязательно дешевый. В случае достаточно разнообразного ассортимента выпускаемой продукции, большого числа рынков, географических факторов экономическая целесообразность диктует использование более сложных видов каналов распределения.

Более сложные каналы для определенных потребительских товаров являются более эффективными. Когда несколько посредников могут эффективно выполнять специализированные функции, издержки могут быть ниже, чем в случае, когда один посредник ответственен за их реализацию во многих регионах. С точки зрения производителя, чем длиннее канал, тем тяжелее контролировать его функционирование. В условиях коррумпированной мафиозной экономики промежуточные звенья в распределительной системе могут служить источником получения прибыли за счет более высоких цен для потребителей без создания для них каких-либо ценностей.

С организационной точки зрения выделяют обычные каналы распределения; вертикальные маркетинговые системы и горизонтальные маркетинговые системы.

Обычный канал распределения состоит из одного или более независимых производителей, оптовых и розничных торговцев, каждый из которых максимизирует свою прибыль без учета возможности получения максимальной прибыли для данного канала; этот канал включает в свой состав независимые организации, не имеющие явно выраженных лидирующих позиций и подверженных конфликтам.

Вертикальная маркетинговая система (ВМС) - структура канала распределения, в которой производители, оптовые и розничные торговцы действуют как единая система.

Один из членов канала либо является владельцем других каналов, либо имеет контракты с ними, либо обладает достаточной силой для обеспечения полного сотрудничества. ВМС - частный случай вертикально-интегрированных хозяйственных систем, которые в сферу своего управленческого воздействия включают также производство и поставку ресурсов, необходимых для ведения производственно-хозяйственной деятельности.

Поскольку усилия отдельных участников ВМС объединены, их маркетинговая деятельность во взаимных интересах может быть скоординирована и в ней исключено дублирование.

Выделяют корпоративные, договорные и административные ВМС.

Корпоративная вертикальная маркетинговая система объединяет последовательные стадии производства и распределения под одним владельцем, который осуществляет общее руководство каналом. Например, компании больших продовольственных магазинов имеют мощности по производству льда и мороженого, разливочные линии различных напитков, пекарни; вся эта продукция поставляется в магазины данной компании.

Договорная вертикальная маркетинговая система состоит из независимых производственных и распределительных организаций разных уровней системы, связанных договорными отношениями с целью получения экономии или значительных коммерческих результатов. Договорные вертикальные системы бывают трех типов: добровольные цепи под эгидой оптовиков, кооперативы розничных торговцев и франшизные организации.

Кооператив розничных торговцев - группа независимых розничных торговцев или магазинов розничной торговли, объединившихся для централизованных совместных закупок, ведения общего складского хозяйства и проведения общей политики в области закупок и продвижения продукта. Члены кооператива закупают большинство товаров через кооператив, планируют совместную рекламную кампанию. Прибыль каждого члена пропорциональна объему сделанных им закупок. Через кооператив могут производить закупки также и розничные торговцы, не входящие в его состав, однако они не имеют своей доли в прибыли кооператива.

В канале распределения функционируют самые различные организации. Когда между ними нет согласия относительно целей и содержания их деятельности, а также вознаграждения за нее, в канале возникают конфликты. Эти конфликты бывают горизонтальными и вертикальными. Первые возникают между организациями одного уровня канала, например, между дилерами, обслуживающими одного производителя. Вторые - между различными уровнями одного канала, например, между производителем и дилерами. Члены канала могут предъявить производителям претензии относительно качества товара и выполнения графика его отгрузки. Производители и розничные торговцы могут быть недовольны тем, что кто-то из оптовиков не склонен координировать с ними свою деятельность и т. п. Хотя единых рецептов разрешения таких конфликтов не существует, для установления в канале духа кооперации должны быть выполнены по крайней мере два условия. Первое - предполагает установление четких ролей всем участникам канала, касаясь как нормы прибыли, так и обязанностей, ими выполняемых. Второе - заключается в разработке определенных мер по координации деятельности участников канала, что обычно предполагает наличие лидера в канале и доброй воли со стороны других его участников

.3 Характеристика методов сбыта продукции

Выбор метода сбыта продукции является достаточно сложным и важным для предприятия процессом. Как отмечалось ранее, существует несколько путей выбора методов сбыта. Рассмотрим основные из них подробнее. Прямой - производитель непосредственно продает продукцию покупателям.

Побочный - сбыт ориентирован на независимых посредников.

Комбинированный - сбыт осуществляется через организацию с общим капиталом производителя и независимого посредника.

Рассмотрим, при каких условиях целесообразно выбор прямого канала товародвижения:

если количество предлагаемого товара достаточно велика и оправдывает немалые расходы на прямой сбыт;

когда рынок потребителей концентрированный;

когда товар требует высокоспециализированного сервиса;

объем предлагаемой партии достаточен для заполненного контейнера или вагона;

при наличии сети собственных складов на рынках;

товар является узкоспециализированным, т.е. производится по техническим условиям покупателя;

часто колеблется цена;

цена намного превышает себестоимость, оправдывает требования прямого сбыта.

Производители часто используют метод косвенных каналов сбыта, то есть через посредников. Рассмотрим эти каналы. Побочный метод сбыта продукции осуществляется через каналы товародвижения.

Маркетологи выделяют следующие их виды:

) одноуровневый канал;

) двухуровневый канал;

) трехуровневый канал

Одноуровневый канал распределения включает одного посредника;

сбытовой маркетинговый товар организационный

где В - предприятие - производитель товара;

ОП - оптовая торговля (торговый посредник) С - потребитель товара

На рынке это чаще розничный торговец, а на рынке товаров производственного назначения торговый агент или брокер.

Дистрибьюторы - предприятия, осуществляющие сбыт оптовых партий готовой продукции крупных промышленных предприятий. Торговый агент - лицо, представляющее интересы определенных производителей при сбыте их товаров. Обращаться к услугам торгового агента целесообразно, когда:

осуществляется выход на рынок, который еще не изучен;

количество сегментов ограничена;

возможно отгрузки товара без сервисного обслуживания перед продажей.

Двухуровневый канал включает двух посредников. На потребительском рынке ними является оптовая и розничная торговцы, а на рынке твитов - промышленный дистрибьютор и дилер:


где РТ - розничная торговля

Привлечение оптовика рекомендуется при следующих условиях:

рынок горизонтальный и требует разветвленной сбытовой сети;

рынок распылен географически;

часто возникает потребность в срочных поставках незначительных партий товара;

большая разница между ценой продажи и себестоимостью товара;

можно значительно сэкономить на транспортных расходах.

Трехуровневый канал товародвижения включает трех посредников:


где Д - дистрибьютор

Между оптовым и розничным торговцами находится мелкий оптовик Мелкие оптовики покупают товар у крупных оптовых торговцев, а потом перепродают его небольшим предприятиям розничной торговли, которых оптовики не обслуживают.

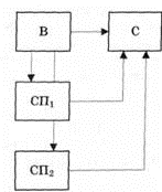
Вертикальным каналом распределение товаров происходит путем создания предприятием-изготовителем совместных предприятий или дочерних предприятий по сбыту в тех странах, в которые предприятие экспортирует свою продукцию, например:


где СП1 и СП2 - совместные предприятия по сбыту продукции предприятия в других странах

Существуют следующие критерии выбора торгового посредника:

. Сегмент рынка, обслуживаемый данной фирмой-посредником.

. Представляет ли данная фирма на рынке конкурентный товар?

. Платежеспособность посредника (продавца). Источники его финансирования.

. Предоставлены ли фирме кредиты и, если «да», то каким банком.

. Репутация потенциального посредника на рынке.

. Уровень специализации посредника. Квалификация персонала.

. Уровень материально-технической базы посредника.

. Манера рыночного поведения посредника и принципы его деловой этики.

. Характеристика личности руководителя: образование, социальное положение в обществе.

Полезно заключать краткосрочные соглашения о посредничестве с новой фирмой, позволяющие узнать о ее возможностях и ответственности. Нельзя сосредоточиваться на одном посреднике. Золотое правило бизнеса: «Нельзя класть все яйца в одну корзину». Существуют следующие формы работы предприятия-производителя с посредниками.

Экстенсивный сбыт - размещение и реализация товара на любых предприятиях торговых посредников, которые готовы и способны этим заниматься.

Исключительный сбыт - выбор одного торгового посредника в данном регионе, который и будет продавать продукцию изготовителя.

Выборочный (селективный) сбыт - выбор ограниченного числа посредников в зависимости от характера их клиентуры, возможностей сервисного обслуживания, уровня подготовки персонала.

2. Анализ организации сбыта в ООО «Национальная водная компания»

.1 Организационно-экономическая характеристика ООО «Национальная водная компания»

Общество с ограниченной ответственностью «Национальная водная компания» создано из Государственного предприятия «Оренбургский консервный завод», зарегистрированного Постановлением Главы администрации г. Оренбурга Оренбургской области, № 194 от 28 апреля 1992 года.

Сокращенное наименование предприятия: ООО «Национальная водная компания», производящее питьевую газированную воду.

Местонахождение общества: 460000, г.Оренбург, ул.Чичерина, 22.

ООО «Национальная водная компания» является собственником принадлежащего ему имущества и денежных средств и отвечает по своим обязательствам собственным имуществом.

Основной целью деятельности предприятия ООО «Национальная водная компания», как любого коммерческого предприятия, является получение прибыли

Основные виды деятельности предприятия ООО «Национальная водная компания»:

производство питьевой газированной воды;

оптовая и розничная торговля безалкогольными напитками через посредников.

Особенностью предприятия является его структура, в которой присутствуют как вертикальные связи и горизонтальные, так и диагональные связи между цехами, отделами и другими функциональными подразделениями предприятия.

Структура управления ООО «Национальная водная компания» представлена на рис. 1.

Возглавляет предприятие генеральный директор, который осуществляет управление и контроль за всеми видами деятельности предприятия.

Рисунок 1 - Структура управления ООО «Национальная водная компания»

Данное структурное распределение позволяет иметь широкий спектр возможностей влияния, общения и мотивации сотрудников руководителем, что в свою очередь приводит к эффективной реализации целей и задач предприятия, придерживаясь выбранного курса развития деятельности производства.

Управление финансово-хозяйственной деятельностью предприятия является важнейшим условием достижения положительных экономических результатов.

В связи с тем, что ежедневно предприятие выполняет ряд разнообразных функций, призванных поддерживать оптимальное финансово-производственное состояние, возникает необходимость в проведении расчетов, определяющих достижение экономических результатов по сравнению с плановыми за отчетный период времени.

Существуют разнообразные виды анализа, способствующие раскрытию той или иной стороны хозяйственной деятельности предприятия. Эти виды имеют разные приемы, специфические особенности и преследуют разные цели.

Проведем анализ основных экономических показателей деятельности предприятия ООО «Национальная водная компания» (табл.1).

Таблица 1 - Основные показатели финансово-хозяйственной деятельности предприятия ООО «Национальная водная компания»

Показатели

2012г.

2013г.

2014г.

Отклонение (+,-)

Темп роста, %

1. Выручка от продаж, тыс.руб.

17864

21547

26398

+8534

147,77

2. Себестоимость продаж, тыс.руб.

17514

20432

23894

+6380

136,43

3. Прибыль от продаж, тыс. руб.

350

1115

2504

+2154

715,43

4. Чистая прибыль, тыс.руб.

350

1115

2504

+2154

715,43

5. Остаточная стоимость основных средств, тыс.руб.

3554

3055

2464

-1090

69,33

6. Среднесписочная численность работников, чел.

336

336

339

+3

108,33


Из таблицы видно, что объем выручки от реализации товаров, продукции, работ, услуг в 2014г. по сравнению с 2012г. возрос на 4951тыс.руб, что составляет 22,51%.

Себестоимость реализованных товаров возросла на 3462 тыс.руб. (16,94%), что вполне объясняет причину повышения предыдущего показателя: объем выручки от реализации повысился за счет увеличения себестоимости реализованной продукции.

Тем не менее, прибыль от финансово-хозяйственной деятельности также возросла на 24,57% (1389 тыс.руб.). Данный показатель свидетельствует о повышении деловой активности предприятия. Численность предприятия увеличилась на 8% за счет создания новых рабочих мест.

.2 Анализ маркетинговой деятельности ООО «Национальная водная компания»

Маркетинговую деятельность на предприятии ООО «Национальная водная компания» осуществляет отдел сбыта, являющийся одним из основных подразделений предприятия. Отдел сбыта на предприятии состоит из: начальника отдела, менеджера по продажам и помощника менеджера.

Данный отдел решает следующие задачи:

разработка рациональных путей сбыта продукции, выпускаемой предприятием;

организация поставок товаров покупателям в соответствии с заключенными договорами и поступившими заказами;

разработка и внедрение стандартов предприятия по организации хранения, сбыта и транспортировки готовой продукции.

Рисунок 2 - Структура отдела маркетинга ООО «Национальная водная компания»

Отдел сбыта решает и маркетинговые задачи предприятия:

- проведение комплексного анализа конъюнктуры рынка;

оценка результатов коммерческой деятельности и влияющих на нее факторов;

создание прогнозов объемов продаж;

разработка долгосрочных и текущих планов маркетинга по предприятию в целом и для каждой товарной группы в отдельности;

осуществление координации деятельности подразделений предприятия;

проведение мероприятий по совершенствованию производственно-сбытовой деятельности, а также общей работы предприятия в целом;

разработка программ по установлению контактов с различными организациями, действующими на рынке

формирование имиджа надежной и преуспевающей организации.

Чтобы определить степень влияния составляющих среды непосредственного окружения на предприятие, следует определить отраслевой рынок, в области которого происходит их взаимодействие. (см.Табл.2).

Необходимо провести анализ, выявляющий рынки сбыта продукции. В контексте данной работы этот рынок кондитерских изделий.

В связи с тем, что на данном рынке присутствует множество предприятий, то этот рынок можно признать конкурентным

Таблица 2 - Качественное описание рынка сбыта продукции предприятия ООО «Национальная водная компания»

Классификационный признак

Тип рынка

Особенности рынка сбыта предприятия «Национальная водная компания»

1.Территориальный охват

Национальный рынок

 Продукция предприятия имеет высокий спрос у потребителей из-за высокого качества и превосходных вкусовых качеств

2.Рыночный механизм воздействия государства

Рынок без участия государства

Государство не оказывает никакого влияния на деятельность предприятия, за исключением законодательного и налогового регулирования

3.Тип конкуренции

Внутриотраслевая конкуренция

Помимо «Национальной водной компании» на рынке присутствует множество предприятий аналогичного вида.

4.Соотношение спроса и предложения

Рынок «покупателя»

Можно назвать рынком «покупателя», аргументируя это не столько высокой конкуренцией, сколько стремление завоевывать покупателей качеством продукции, уделив особое внимание потребностям и желаниям покупателей.

5.Срок использования товара

Рынок товаров ограниченного срока годности

 Продукция предприятия имеет ограничение по сроку годности, при покупке товара большее значение для клиента имеют свойства товаров, чем их цена.

6.Материальная специфика продукта.

Рынок продуктов, имеющих материальное воплощение.

Продукция относится к виду товаров, имеющих материальное воплощение, а значит, может быть во внешнюю и внутреннюю торговлю.

7.Тип потребителя (клиента)

Потребительский рынок

Основными потребителями продукта являются юридические лица и частные предприниматели. Фирма стремится учитывать предпочтения потребителей и постоянно повышает планку качества товара

8.Степень зрелости рыночных отношений

Развивающийся рынок

РФ относят к типу «развивающихся рынков». Несмотря на то, что рынок представляет собой высокорискованный объект, он все же в целом привлекателен для заграничных инвесторов. Государственной проблемой является нехватка местного капитала и простой промышленных предприятий.

9.Степень агрегирования товара.

Товарный рынок по групповому признаку

 Можно отнести к рынку продовольственных товаров


Не смотря на высокий уровень конкуренции и множество предприятий с аналогичными товарами, фирма стремится повышать качество продукции, используя передовые технологии. В связи с этим, предприятие остается конкурентоспособным.

Для систематизации и более полного удовлетворения предпочтений клиентов, необходимо распределить их на группы и провести сегментацию рынка.

SWOT-анализ деятельности предприятия ООО «Национальная водная компания» представлен в таблице 3.

Таблица 3 - SWOT -анализ деятельности предприятия ООО «Национальная водная компания»


Возможности

Угрозы


1. Налаженные партнерские отношения 2. Возможность использовать новые технологии 3. Улучшение демографической ситуации. 5. Государственный контроль и регулирование отрасли 6. Появление новых технологий.

1. Наличие большого числа конкурентов, представляющих товар высокого качества 2. Отсутствие барьеров вхождения в отрасль.

Сильные стороны



1. Стабильное финансовое состояние. 2 Квалифицированный персонал 3. Высокий уровень мотивации сотрудников 4. Система скидок.

Квалификация персонала и высокое качество услуг может обеспечить расширение сегмента потребителей

Наличие квалифицированного персонала и высокое качество услуг при появлении новых конкурентов позволит сохранить конкурентные преимущества

Слабые стороны



1. Отсутствие стратегии развития предприятия 2. Задержка при выплатах заработной платы 3. Недостаточная рекламная политика. 4. Не высокий уровень управления

Отсутствие стратегии не формирует четкого плана действий. Предприятие просто «течет по течению», снижая эффективность своей деятельности

Задержка выплат по заработной плате может привести к уходу специалистов из компании к конкурентам


После проведения анализа выяснилось, что развитие конкурентоспособности товарного ассортимента - наиболее важная задача предприятия. Периодически проводится инвентаризация различных групп товаров в течении года, причем с среднем раз в год по каждой подгруппе. На предприятии нет четко установленных сроков для товаров разных подгрупп, что делает систему контроля над состоянием ассортимента несовершенной и неупорядоченной. Отсутствует четкость в системе управления ассортиментом, выраженная в том, что некоторые товарные наименования поступают регулярно через определенные временные интервалы, иные товары следует заказывать по факту отсутствия продукции на складе (или под заказ покупателя). Есть категория товара, которая заказывается раз в год, учитывая опыт прошлых лет. Производя анализ стратегий компании, напрашивается вывод о том, что использованные методы имеют неценовую направленность конкуренции, повышается планка качества и расширяется ассортиментный ряд в соответствии с необходимостями современного рынка. Это является достоинствами данного предприятия. В отличие от малых предприятий, типа ООО «Национальная водная компания» масштабность компании делает ее менее маневренной и менее гибкой в среде постоянных рыночных перемен, что становится слабой стороной фирмы.

Проведем анализ основных потребителей продукции предприятия ООО «Национальная водная компания» (рисунок 3).

Рисунок 3 - Соотношение покупателей предприятия ООО «Национальная водная компания»

Как видно из рисунка 3, основными покупателями предприятия ООО «Национальная водная компания» являются оптовые покупатели, в частности, индивидуальные предприниматели и торговые организации.

Лишь 10% выпускаемой продукции реализуется через собственные торговые точки.

Маркетинговая деятельность предприятия возложена в основном на помощника менеджера по продажам, а так на менеджера по продажам. Зачастую не хватает времени на решение задач и по сбыту и по маркетингу. Не всегда рационально распределяются обязанности по маркетингу, что приводит к конфликтам в отделе.

После исследования маркетинговой деятельности обнаружились следующие недостатки:

. Отсутствует положение об отделе маркетинга. ООО «Национальная водная компания» в своей деятельности использует элементы маркетинга, но положения об отделе отсутствует. Функции маркетинга выполняет отдел сбыта, что затрудняет его работу по основным задачам.

. Нет маркетингового плана, соответственно маркетинговая деятельность организовывается не рационально. Благодаря маркетинговому плану всегда можно четко проследить работу сотрудников, сравнивая полученные результаты с плановыми. Маркетинговый план составляется на один год специалистами, которые имеют большой опыт в этой сфере. На написание маркетингового плана отводится большое количество времени, для того чтобы продумать стратегию поведения и развития организации. С планом знакомят работников, они должны знать к чему им стремиться и какие должны быть достигнуты цели.

. Отсутствует сайт об организации. Предприятию в ближайшее время необходимо создать собственный сайт, в котором разместится информация о предприятии, сотрудниках, выпускаемой продукции. На сайте можно будет ознакомиться с историей развития организации, ассортиментом продукции, СанПиНами, списком обслуживаемых организаций, с которыми заключены длительные договора на поставку питьевой воды. Покупатели смогут оставлять свои комментарии и пожелания, таким образом осуществлять анализ удовлетворенности продукцией. Так же можно разместить на сайте перечень наиболее часто задаваемых вопросов и ответов на них.

. Отсутствует печатная продукция. Организации необходимо создать буклеты с информацией о самом предприятии, о применяемых новых технологиях на производстве, ассортименте продукции. Раздавать буклеты на выставках, ярмарках и т. п. Можно изготовить сувенирную продукцию (кружки, блокноты, ручки), и дарить их в качестве приза за лучшую идею по улучшению качества продуктов питания. Это повысит интерес потребителей к организации и производимой продукции.

. Реклама о доставке питьевой минеральной воды на предприятия города Оренбурга и области. Данную информацию можно разместить в сети интернет, а при наличии собственного сайта - на главной странице. Эти услуги непременно будут пользоваться спросом.

. Участие только на городских выставках. На сегодняшний день существует множество выставок - продаж, на которых можно представить продукцию. В Москве существует выставочный центр «Крокус Экспо», в котором проходят межрегиональный и международные выставки.

Можно сделать вывод о том, что ООО «Национальная водная компания», как любое современное предприятие, использует в управление элементы маркетинга. Но для того чтобы быть конкурентоспособным на рынке, успешно функционировать и удовлетворять потребности потребителей наиболее эффективным способом необходимо устранить существующие недостатки.

.3 Исследование применения методов сбыта ООО «Национальная водная компания»

ООО «Национальная водная компания» в своей деятельности использует следующие элементы маркетинга:

Постоянно предприятие принимает участие в межрегиональной выставке-ярмарке продовольственных товаров и упаковки «МЕНОВОЙ ДВОР». На выставке представляется весь ассортимент производимой продукции, рассказывается о новых технологиях приготовления, представляются новинки. Посетителям предлагается попробовать продукцию, оставить свое мнение. Так реализуется метод пробных продаж, который наиболее эффективен и объективен при изучении спроса на новую продукцию.

Менеджер отдела сбыта и технолог производства представляют продукцию посетителям и отслеживают заинтересованность к ней.

. Ежегодно ООО «Национальная водная компания» выставляет свои точки на фестивале «Долг, честь, родина». Фестиваль проводится в «Экспресс», и длится 3 дня. Каждый день предприятие ставит в среднем 3 точки со своей продукцией. Так как «Долг, честь, родина» фестиваль областной, количество выступающих и посетителей большое, все они знакомятся с продукцией ООО «Национальная водная компания». На точках представлены не только газированные напитки, но и выпечка.

. ООО «Национальная водная компания» участвует в праздниках города, это как правило день города, масленица, день победы. Администрация города Оренбурга высылает приглашение принять участие на празднике.

ООО «Национальная водная компания» выставляет свои точки во многих парках города, в них представлен большой ассортимент безалкогольных газированных напитков. Продукция выкладывается на прилавок продавцами, они же расставляют ценники и прикрепляют таблички с названием. После окончания праздника, подсчитывается количество реализованной продукции и выручки. Результаты передаются в отдел сбыта для дальнейшего использования и анализа.

Проанализируем, как реклама минеральной воды, производимой предприятием ООО «Национальная водная компания» воздействует на потребителя и определяет его выбор.

Газированные напитки относятся к категории продовольственных товаров, которые приобретает каждый человек, независимо от пола и возраста. Таким образом, потребителями газированных напитков является широкий круг покупателей различных возрастов и социальных слоев. Первая трудность, которая возникает при создании рекламы для продукта - разнообразие вкусов покупателей.

Минеральная вода разливается в пластиковые бутылки емкостью 0,5 л., 1,5л и 5л. В такие бутыли разливаю газированные напитки все производители, поэтому они друг от друга не отличаются и особого интереса для покупателей не представляют.

Проведем анализ рекламной деятельности, осуществляемой предприятием ООО «Национальная водная компания».

Главная цель рекламной деятельности ООО «Национальная водная компания» - привлечение как можно большего количества потенциальных покупателей.

Основной район, на который направлена реклама компания - территория города Оренбурга. Иногда предприятие осуществляет рекламную деятельность на территории области, реже соседних регионов: Самарской области и республики Башкортостан.

ООО «Национальная водная компания» использует в рекламной деятельности следующие виды рекламы:

периодические печатные издания города Оренбург и Оренбургской области;

бегущая строка на телевизионных каналах Россия 1 и СТС;

городское радио.

Значительное внимание предприятие уделяет рекламе на упаковке - фирменные этикетки.

Отличительная черта товара, которая позволяет различать производителей газированных напитков - этикетка на бутылке.

Этикетка минеральной воды «Национальная водная компания» голубого цвета.

Кроме эмблемы, этикетка содержит всю необходимую информацию о продукте:

состав минеральной воды;

информацию о производителе;

дату розлива;

срок хранения и т.д.

Реклама на упаковке используется с целью привлечения внимания покупателей, кроме того создает определенный имидж компании, чем вызывает популярность среди покупателей данной продукции.

Так как реклама служит инструментом для поднятия престижа предприятия, то ООО «Национальная водная компания» старается активно пропагандировать свой товарный знак.

Выделим преимущества и недостатки размещения рекламы товара ООО «Национальная водная компания» (таблица 4).

Таблица 4 - Преимущества и недостатки рекламы ООО «Национальная водная компания»

Средство рекламы

Преимущества

Недостатки

Телевидение

Сочетание изображения, звука и динамики; обращение непосредственно к чувствам; высокий уровень внимания; высокая степень охвата

Высокая стоимость; насыщенность; мимолётность контакта; меньшая степень избирательности аудитории

Радио

Массовость; высокая степень избирательности по географическим и демографическим признакам; низкая стоимость

Только восприятие на слух; уровень внимания ниже по сравнению с ТВ-обращениями; непродолжительность воздействия

Наружная реклама (рекламные вывески, указатели проезда, спецодежда персонала)

Гибкость; высокий показатель повторных контактов; низкая цена; отсутствие конкуренции

Отсутствие избирательности аудитории


Как видно из таблицы 4, каждый вид рекламы имеет свои преимущества имеет свои преимущества и недостатки. Достоинствами наружной рекламы является высокий показатель повторных контактов, гибкость, низкая цена.

В таблице 5 проведен анализ расходов ООО «Национальная водная компания» на рекламу.

Таблица 5 - Динамика расходов на рекламу ООО «Национальная водная компания» в 2013г.

Вид рекламы

Сумма расходов на рекламу, руб.


1 квартал

2 квартал

3 квартал

4 квартал

Итого за 2013г.

Наружная реклама

3500

4200

4800

2800

15300

Телевидение

6400

7500

7500

5200

26600

Радио

2100

2500

2500

2000

9100

Всего

12000

14200

10000

51000


Как видно из таблицы 5, в 2014г исследуемое предприятие больше всего тратило средств на рекламу на телевидении - 26600 руб. в год, причем данная ситуация наблюдается в каждом квартале.

Расходы на наружную рекламу занимают вторую позицию, составляют 15300 руб. в год, что в 2 раза меньше стоимости рекламы на телевидении.

Если рассматривать по кварталам, то в 2 и 3 квартале наблюдалось повышение расходов на наружную рекламу, а в 4 квартале данные расходы значительно сократились.

Изобразим данные графически (рисунок 4).

Рисунок 4 - Доля расходов на рекламу ООО «Национальная водная компания» в 2014г

Таким образом, можно сделать следующие выводы: ООО «Национальная водная компания» в качестве средств рекламы использует рекламу на телевидении, радио, а также наружную рекламу.

Кроме того, предприятие большое внимание уделяет этикетке своей продукции. По мнению производителей, она должна быть яркой, узнаваемой, формировать имидж предприятия.

3. Рекомендации по повышению эффективности деятельности предприятия ООО «Национальная водная компания»

В результате исследования было выявлено, что решением маркетинговых вопросов на предприятии занимается отдел маркетинга. В его функциональные обязанности входит: поиск покупателей, заключение договоров с клиентами, подготовка к участию в ярмарках и выставках и др.

Тем не менее, предприятие ООО «Национальная водная компания» не имеет четко сформулированной маркетинговой стратегии. Предприятие «течет по течению», все решения принимаются импульсивно.

В качестве рекомендации необходимо предложить руководству предприятия совместно с отделом маркетинга разработать маркетинговую стратегию, куда необходимо включить все элементы маркетинга.

Особо привлекательным со стороны руководства должен являться тот факт, что создание такой программы не требует финансовых затрат. Необходимо лишь поставить задачу специалистам отдела маркетинга.

В результате опроса было выявлено, что торговая марка «Живая вода» не является достаточно популярной, поэтому одновременно с маркетинговой стратегией необходимо разрабатывать и рекламную кампанию.

Так как продукция торговой марки «Живая вода» является продуктом массового потребления, то самыми подходящими формами размещения рекламы будут являться:

рекламные баннеры на улицах города;

реклама на бортах автомобиля;

разработка эксклюзивной этикетки.

Обоснуем выбор: рекламные баннеры расположены на улицах города и привлекают внимание людей всех возрастов и социальных слоев. Т.е. товарный знак фирмы станет узнаваем.

В качестве примера рассмотри два варианта наружной рекламы. Один плакат будет ориентирован на широкий круг потребителей - жителей города Оренбург, второй - на корпоративных клиентов, организации, которые осуществляют закупку воды в офис.

Для размещения рекламы используем автомобили, принадлежащие компании, которые используются для доставки воды в торговые точки и корпоративным клиентам - в организации или на дом.

Так как продукция в основном разводится до места назначения на грузовых автомобилях марки «Газель», то рекламу целесообразно на бортах данных автомобилей.

Предполагается выкрасить автомобили предприятия в опознавательный голубой цвет. Изобразить на борту автомобиля логотип торговой марки «Живая вода», разместить крупную надпись названия организации и продукта (она должна быть читаема издалека). Обязательный элемент - адрес организации и контактные телефоны.

Аналогично можно разместить рекламу на легковых автомобилях, принадлежащих компании, которые используются для управленческих нужд, а также на арендованных автомобилях торговых представителей. Реклама будет аналогична представленной выше, однако она будет немного больших размеров, чтобы гармонично смотрелась на описанных автомобилях продукции торговой марки «Живая вода» не пользуется спросом среди покупателей. Однако дело не в том, что товар плохого качества и не нравится покупателям.

Большинство потребителей просто не знают о существовании такой торговой марки, не имеют сведений о ее продукции.

Большое значение при этом сыграла упаковка товара. Она бледная, не интересная, не выделяется среди товаров-конкурентов. Фирменный знак разработан не обоснованно, и не имеет непосредственного отношения к продукции. Точно так же обстоят дела и с названием, которое не несет в себе никакой информации о продукте. С целью решения этой проблемы предприятию необходимо разработать новую этикетку на бутылки с продукцией, которая позволила бы выделиться товару среди конкурентов.

Обратим внимание на то, как решили данную проблему известные бренды, выпускающие аналогичную продукцию. Всемирно известная торговая марка «Кока-Кола», к примеру, разработала яркую этикетку, которая издалека привлекает к себе взгляды покупателей. Не отстали от нее и такие производители, как «Пепси», «Спрайт», «Миринда». Несмотря на высокую цену данного продукта, он пользуется большим спросом среди покупателей.

Так же огромную роль при выборе товара играет его название. К примеру, название минеральной воды «Чистый глоток», «Хрустальный колодец» говорят сами за себя и как бы кричат «Выпей меня! Утоли свою жажду».

Заключение

Вопрос развития сбытовой деятельности компаний имеет тесную взаимосвязь с большим потоком товаров и услуг на рынке, с постоянно меняющимся спросом и предпочтениями потребителей, увеличением фактора неценовой конкуренции. Отличительной особенностью рынка сбыта РФ является общая нестабильность, инфляция, демографические проблемы, не прогнозируемость. Руководство любого предприятия сталкивается с проблемой сбыта продукции. Степень успешности связана с глубоким изучением рынка и возможностей произведенного товара. Особое место в деятельности предприятия занимает анализ рыночных условий и разработка методов продвижения товаров , увеличение объемов сбыта.

Предприятия всегда имеют много вариативность организации распределения своей продукции. Основой организации сбыта является ориентированность на удовлетворение потребностей покупателя или на формирование такой системы, которая позволит повысить эффективность как самого предприятия, так и посредников. Способ существования такой системы- это всегда совокупность действий, направленных на сближение товара и потребителя или привлечение потенциального покупателя к данной продукции.. Выбор ориентирования и метода учета предпочтений потребителей- это суть политики предприятия в сфере сбыта.

Методы развития коммуникаций с потребителем, получившие наибольшее распространение:

проведение презентаций нового продукта;

принятие участия в акциях, носящих благотворительный характер, таких как взносы в фонды, участие в «марафонах»);

популяризация здорового образа жизни путем поддержки организаций здравоохранения, спорта и культуры;

посещение выставок узконаправленного профессионального характера, например ежегодной выставки «Оренбург-Экспо-Форум»;

Предприятие ООО «Национальная водная компания» пренебрегают мощным инструментом , таким, как реклама.

Политика ценообразования совершенствуется с помощью активных мероприятий, позволяющих поддерживать цены на приемлемом уровнена товары и услуги ,не снижая качества. Этим предприятие обеспечивает себе стабильную норму дохода, увеличивая рыночную долю г. Оренбурга. ООО «Национальная водная компания» не имеют ярко выраженной коммуникационной стратегии, а некоторые элементы существующей коммуникационной политики направлены на корпоративных и оптовых клиентов. Таким образом, сегмент розничной торговли не только не охвачен, но и стабильно снижается уровень продаж этого направления.

Взяв за основу проведенное исследование, были выведены такие рекомендации:

)перед разработкой стратегии сбыта необходимо провести маркетинговое исследование, систематизировать сведения о предпочтениях потребителей;

)на этапе формирования цены нужно придерживаться метода неокругленных цен. В каждой группе товаров, которые выпускает предприятие, стоит выявить товар-лидер, пользующийся наибольшей популярностью;

)сферу рекламы предлагается активизировать, также как и другие методы продвижения товара на рынке и стимулирования сбыта;

)использовать визитные карточки для на предприятиях -потенциальных клиентах, равно как и другую полиграфическую продукцию, информирующую о компании.

Данные мероприятия призваны улучшить финансовое положение предприятия ООО «Национальная водная компания».

Список использованных источников

1.      Акулич И.Л., Герчиков И.З. Маркетинг: Учеб. пособие. - Мн.: Интерпрессервис, 2013. - 284 - 287 с.

.        Алборова А. ИМК. Больше чем просто маркетинг//Маркетинг. - 2011. - №12. -68-71 с.

.        Амблер Т. Практический маркетинг. - М.: Инфра-М, 2014. - 317 с.

.        Барнетт Дж., Мориарти С. Маркетинговые коммуникации. Интегрированный подход. - СПб.: Питер, 2013. - 246 с.

.        Барышев А.Ф. Маркетинг: Учебник. - 2-е изд., стер. - М.: Изд. центр «Академия», 2012. - 180 с.

.        Блайд Д. Маркетинговые коммуникации. Что? Как? И почему? М.: Баланс-Клуб, 2011. - 368 с.

.        Голубкова Е. Н. Маркетинговые коммуникации: Учеб. пособие / Е. К. Голубкова. - 2-е издание переаб. и доп. - М.: Финпресс, 2013. - 258 с.

.        Голубкова Е.Н. Маркетинговые коммуникации. - М.: Фин-пресс, 2012. - 352 с.

.        Гольман Н. Практика рекламы. - М.: ЭКСМО-ПРЕСС, 2014. - 106 с.

.        Зефирова Ю. И. Битвы за лояльность // Маркетинг в России и за рубежом. - 2003. - № 4. - 57-64 с.

.        Имшенецкая И. А. Программы сотрудничества с клиентом или как привел новых клиентов? / И. А. Ишменецкая. - М.: РИП - Холдинг, 2014. - 128 с.

.        Имшинецкая И. Жанры печатной рекламы // Лаборатория рекламы, маркетинга и publicrelations. - 2014. - №3. - с. 52-56.

.        Катернюк А.В. Современные рекламные технологии: коммерческая реклама. - Ростов н/Д.: Феникс, 2013. - 320 с.

.        Климин А. И. Стимулирование продаж: Учеб. пособие/ Анастасий Климин. - М.: Вершина. - 2012. - 272 с.

.        Кнышова Е.Н. Маркетинг: Учебное пособие. - М.: ФОРУМ: ИНФРА-М, 2014. - 282с.

.        Кобцев Р. Ю. Оценка эффективности маркетинговых коммуникаций на основе единой модели// Маркетинг в России и за рубежом. - 2013. - №6. - 50 - 59 с

.        Кобцев Р.Ю. Оценка эффективности маркетинговых коммуникаций на основе единой модели // Маркетинг в России и за рубежом, 2010. №6.

.        Корчагина Н. Продвижение, или «тяни-толкай» // Маркетинговые коммуникации, 2011. -№5.

.        Котлер Ф. Основы маркетинга. - СПб.: Питер, 2013. - 287 с.

.        Крис Браун. Практическое пособие по стимулированию сбыта: пер. с англ. - М.: Консалтинговая группа «Имидж - контакт»: ИНФРА - М. - 2012. - 382 с.

.        Лукина А.В. Маркетинг: Учебное пособие. - М.: ИНФРА-М, 2013. - 360 с.

.        Максимова И. Оценка эффективности акции стимулирования продаж // Маркетинг в России и за рубежом. - 2014. - № 1. - 36-45 с.

.        Маслов В. О роли маркетинга в деятельности предприятия // Маркетинг в Рос-сии и за рубежом. - 2012. - №8. - с. 35-39.

.        Мачадо Р. Маркетинг для малых предприятий. - СПб: Питер, 2012. - 268 с.

.        Медведева Е.В. Рекламная коммуникация. Изд. 2-е, испр. - М.: Едиториал УРСС, 2013. - 292 с.

.        Мурахтанова Н.М., Еремина Е.И. Маркетинг: Учеб. пос. - М.: Изд. центр «Академия», 2014. -161 с.

.        Наумова Л.М. Прикладной маркетинг в деятельности фирмы: Учебное пособие - Москва, « Издательство Элит», 2014. - 208 с.

Похожие работы на - Методы сбыта товаров предприятия ООО 'Национальная водная компания'

 

Не нашли материал для своей работы?
Поможем написать уникальную работу
Без плагиата!
Без нейросетей!