Значение туризма, его прикладная роль

  • Вид работы:
    Курсовая работа (т)
  • Предмет:
    Туризм
  • Язык:
    Русский
    ,
    Формат файла:
    MS Word
    82,6 Кб
  • Опубликовано:
    2016-02-10
Вы можете узнать стоимость помощи в написании студенческой работы.
Помощь в написании работы, которую точно примут!

Значение туризма, его прикладная роль

МИНИСТЕРСТВО СПОРТА РОССИЙСКОЙ ФЕДЕРАЦИИ

НАБЕРЕЖНОЧЕЛНИНСКИЙ ФИЛИАЛ ФЕДЕРАЛЬНОГО ГОСУДАРСТВЕННОГО БЮДЖЕТНОГО ОБРАЗОВАТЕЛЬНОГО УЧРЕЖДЕНИЯ ВЫСШЕГО ПРОФЕССИОНАЛЬНОГО ОБРАЗОВАНИЯ

«ПОВОЛЖСКАЯ ГОСУДАРСТВЕННАЯ АКАДЕМИЯ ФИЗИЧЕСКОЙ КУЛЬТУРЫ, СПОРТА И ТУРИЗМА»

Факультет адаптивной физической культуры, сервиса и туризма

Заочная форма обучения

Кафедра социально-экономических дисциплин, сервиса и туризма

Специальность: Рекреация и спортивно-оздоровительный туризм

Специализация: Детско-юношеский туризм




ЗНАЧЕНИЕ ТУРИЗМА, ЕГО ПРИКЛАДНАЯ РОЛЬ

Курсовая работа





г. Набережные Челны - 2014 год

ОГЛАВЛЕНИЕ

ВВЕДЕНИЕ

ГЛАВА 1. ТЕОРЕТИЧЕСКИЙ АСПЕКТ ВОПРОСА О ЗНАЧЕНИИ ТУРИЗМА И ЕГО ПРИКЛАДНОЙ РОЛИ

.1 Современный туризм как социально-экономическое явление

.2 Значение туризма в жизни общества и его прикладная роль

.3 Задачи использования туризма на различных возрастных этапах жизнедеятельности человека

.4 Роль и значение занятий туризмом в физическом воспитании подростков 13-14 лет

ГЛАВА 2. МЕТОДИКА И ОРГАНИЗАЦИЯ ИССЛЕДОВАНИЯ….…

.1 Методика исследования

.2 Организация исследования

ГЛАВА 3. МАТЕМАТИКО-СТАТИСТИЧЕСКАЯ ОБРАБОТКА ДАННЫХ ТЕСТИРОВАНИЯ

.1 Исследование и оценка исходных показателей физического развития экспериментальной и контрольной группы до проведения эксперимента

.2 Исследование и оценка динамики показателей физического развития экспериментальной и контрольной группы после проведения эксперимента

.3 Сравнительный анализ полученных результатов

ВЫВОДЫ

СПИСОК ЛИТЕРАТУРЫ

ПРИЛОЖЕНИЕ

ВВЕДЕНИЕ

Актуальность работы. На сегодня особую актуальность и значимость приобретает воспитание нового поколения, способного жить и работать в новом веке, веке образования, культуры, духовности, новых технологий. Для этого человек должен быть здоровым. Но, несмотря на достижения современной цивилизации, во всех, даже экономически развитых, странах растут заболеваемость и смертность. К числу основных негативных влияний современной цивилизации на здоровье человека можно отнести следующие факторы: снижение биологически обусловленного режима двигательной активности при одновременном росте психоэмоциональных нагрузок; несбалансированное по составу и избыточное по калорийности питание; загрязнение окружающей среды; вредные привычки (курение, алкоголизм, наркомания и т.п.); нарушение режима учебы, труда и личной жизни.

Статистика медицинских заключений о состоянии здоровья населения свидетельствует, что первое место среди общего числа заболеваний занимают болезни сердечнососудистой системы (52% от общего количества смертей по болезни). Основными болезнями можно назвать атеросклероз, гипертоническую болезнь, инфаркт миокарда, инсульт, аутоиммунные заболевания, психическую депрессию и др. Поэтому постепенно приходит понимание того, что медицина, традиционно ориентированная на лечение болезней, нередко оказывается малоэффективной.

Очевидно, что ведущая роль в формировании здорового образа жизни отводится оптимизации двигательной активности человека. И выход из положения видится в первую очередь в оздоровлении самого человека, в повышении его сопротивляемости болезням, в закалке к неблагоприятным воздействиям внешней среды, в регулярной тренирующей нагрузке, в перемене городской обстановки на природную, то есть именно в том, что может дать активный туризм. Особо остро стоит проблема здоровья подростков. По статистике, почти 70% школьников подвержены малоподвижному образу жизни (гиподинамии), которая стала уже «болезнью века». Анализ теоретической литературы показал недостаточную методическую разработанность вопроса организации школьного и подросткового туризма. Поэтому, на сегодня является актуальным вопрос о прикладной роли туризма для воспитанников.

Противоречие - несмотря на то, что в современной жизни от учащихся требуется большей двигательной активности, статистика показывает об обратном: у многих детей развивается гиподинамия.

Проблема - влияет ли туристическая деятельность на физическое развитие учащихся.

Объектом исследования является туристическая деятельность, направленная на укрепление здоровья и развитие общества.

Предметом исследования является значение туризма в деятельности воспитанников.

Гипотеза исследования. Мы предполагаем, что туризм имеет большое значение в воспитании, обучении и физическом развитии личности.

Целью исследования является теоретическое освещение вопроса о влиянии занятий туристским многоборьем на физическую подготовку подростков 13-14 лет, а также его экспериментальное подтверждение на исследовательском уровне.

Задачи исследования:

изучить на основе теоретической литературы вопрос о значении туризма и его прикладной роли;

изучить особенности современного туризма как социально-экономического явления;

изучить особенности физического развития и функционального состояния исследуемых детей в возрасте 13-14 лет;

разработать методику проведения занятий туристским многоборьем на физическую подготовку подростков 13-14 лет;

провести сравнительный анализ показателей в контрольной и экспериментальной группах, и на его основе оценить влияние занятий туристским многоборьем на физическую подготовку подростков 13-14 лет.

В работе применялись следующие методы исследования:

.        анализ и обобщение данных научно-методической литературы;

.        клинические: анализ медицинских карт;

. тестирование;

. антропометрические измерения;

. педагогический эксперимент;

.        методы математической статистики.

Практическая значимость работы заключается в том, что данное исследование может быть использовано в дальнейшем как методическое пособие при обучении школьников и студентов на специальных курсах.

Структура работы. Курсовая работа состоит из введения, двух глав, выводов и списка литературы.

ГЛАВА 1. ЗНАЧЕНИЕ ТУРИЗМА И ЕГО ПРИКЛАДНАЯ РОЛЬ

.1 Современный туризм как социально-экономическое явление

Слово «туризм» происходит от французского «tоur», что значит прогулка, поездка, путешествие, т.е. туризм - это путешествие, организованное в свободное от занятий время в цвелях активного отдыха и культурного досуга на лоне природы, укрепления здоровья, физического совешенствования и познания окружающей действительности [12, с. 25].

Современный туризм как социально-экономическое явление имеет следующие особенности [7, с. 10]:

туризм входит в число ведущих отраслей мирового хозяйственного комплекса (по экономическим показателям он занимает второе место после нефтеперерабатывающей отрасли, а по числу рабочих мест он прочно удерживает первую позицию).

по своей сути, туризм является индустрией, сферой занятости;

туризм существует в виде туристского продукта и услуг, которые не могут накапливаться и транспортироваться (на туризм приходится примерно 10% всех потребительских расходов);

туризм создает новые рабочие места и выступает зачастую пионером освоения новых районов (в настоящее время каждое шестое новое рабочее место в мире создают туристские организации и индустрия гостеприимства, что составляет около 3 млн. рабочих мест);

туризм выступает как механизм перераспределения национального дохода в пользу стран, специализирующихся на туризме (если финны едут на отдых в Германию, то они не только вывозят туда часть заработанных в других производствах средств, но и создают там новые рабочие места);

туризм также и важнейший катализатор экономического роста многих быстро развивающихся стран (например, Ю. Корея, Тайланд);

туризм характеризуется высоким уровнем эффективности и быстрой окупаемостью инвестиций (на туризм приходится примерно 10% всех мировых инвестиций),

туризм является мультипликатором роста национального дохода, занятости и развития местной инфраструктуры и роста уровня жизни местного населения (для некоторых стран приносит доход 70-100%);

туризм выступает как эффективное средство охраны природы и культурного наследия, поскольку именно эти элементы составляют основу его ресурсной базы;

туризм совместим практически со всеми отраслями хозяйства и видами деятельности человека, поскольку именно их дифференциация и дискретность и создает ту разность потенциалов рекреационной среды, которая и вызывает потребности людей к перемене мест и познанию;

туризм выступает в политических интересах стран (туризм является важным и действенным средством сохранения мира).

Развитие туризма оказывает стимулирующее воздействие на такие ключевые секторы экономики, как транспорт, связь, торговля, строительство, сельское хозяйство, производство товаров народного потребления и, с учетом мультипликативного эффекта, составляет одно из наиболее перспективных направлений структурной перестройки экономики.

Международный туризм, для многих стран превратился в существенный источник увеличения доходов и роста национальной экономики. Такие высокоразвитые страны, как Швейцария, Австрия, Франция, значительную долю своего благосостояния построили на доходах от туризма.

Международный туризм стал важным источником валютных поступлений для многих развитых и развивающихся стран. Например, удельный вес доходов от иностранного туризма в общей сумме поступлений от экспорта товаров и услуг составляет: в Испании - 18,3%, Австрии - 11,8%, Греции - 33,6%, Португалии - 14,9%, на Кипре - 53%. В большинстве развивающихся стран на долю иностранного туризма приходится 10-15% доходов от экспорта товаров и услуг (Индия, Египет, Перу, Парагвай, Коста-Рика) [2, с. 14].

Таким образом, туризм способен оказывать активное влияние на экономику региона (или страны), в котором он развивается, на его хозяйственную, социальную и гуманитарную основы.

В результате усилий, направленных на развитие туризма и стремления людей к путешествиям, эта деятельность проникла во многие сферы жизни человека. Туризм на данный момент является автономной индустрией и одновременно с этим проникает во все сферы культурной, экономической, религиозной, общественной и даже политической жизни человека. Туризм играет огромную роль в областях здравоохранения и физического развития, способствует культурному, духовному и социальному росту и развитию личности.

Современный туризм многогранен по своей форме и содержанию. Существует множество классификаций туризма по различным критериям.

В зависимости от цели путешествия современный туризм можно классифицировать следующим образом:

познавательный (экскурсионный) туризм - посещение достопримечательных мест и осмотр культурных и природных памятников;

спортивный туризм - предполагает участие в спортивных соревнованиях в природной среде;

оздоровительный - осуществляется с целью профилактики заболеваний и укрепления здоровья;

медицинский (лечебный) - совмещение отдыха с получением медицинской помощи;

деловой туризм - путешествие в профессиональных целях;

социальный - участие в общественных мероприятиях;

религиозный - поездки по «святым » местам;

экологический - посещение природных мест, не тронутых рукой человека;

учебный;

этнический.

В зависимости от условий путешествия различают туризм:

Организованный: путешествие происходит по программе, разработанной туристическим учреждением; во время путешествия предоставляется комплекс услуг;

Самодеятельный: план путешествия разрабатывает сам турист; во время путешествия в значительной степени присутствует самообслуживание.

Туризм выполняет множество важных функций в жизни человека. Одной из таких функций является социальная функция. Высокие темпы жизни современного человека, стрессовые ситуации в бытовой и профессиональной жизни, плохая экологическая ситуация отражаются на его физическом и психологическом здоровье. В результате у человека возникают частые конфликты с сотрудниками, начальством и близкими людьми, снижается его физическая активность. Активный отдых и смена привычной обстановки способны восстановить организм человека, восполнить его внутренние ресурсы. Во время путешествий человек получает огромное количество положительных эмоций, восстанавливает свои силы, снимает стрессовое состояние и усталость. Все это способствует налаживанию взаимоотношений с окружающими людьми, уменьшению конфликтных ситуаций в семье и на работе. Современный туризм одновременно с оздоровительным отдыхом и развлечением, успешно решает культурные, духовные, просветительские и воспитательные задачи.

1.2 Значение туризма в жизни общества, его прикладная роль

Туризм - исключительно ценное средство физического воспитания и активного отдыха человека на природе. В туристских походах учащиеся закаляют свой организм, укрепляют здоровье, развивают выносливость, силу и другие физические качества, приобретают прикладные навыки и умения ориентирования на местности, преодоления естественных препятствий, самообслуживания и др [12, 26].

Туризму отводится особая роль в оздоровлении населения, одна из функций которого - оздоровительная, т.е. использование благотворного воздействия природных факторов для поддержания и восстановления физического, умственного, психического, эмоционального состояния организма, развитие адаптационных возможностей, восстановление трудоспособности. Значит, о туризме правомерно говорить как о важном жизненном стимуляторе, своеобразном «витамине», крайне необходимом для здоровья населения. Он характеризуется многими положительными свойствами [12, 27].

Во-первых, туристские маршруты выводят нас на свежий воздух. Ученые давно установили, что свежий воздух очень богат отрицательными нонами, которые обладают способностью быстро и эффективно снимать усталость.

Туристический поход - это движение, физическая нагрузка, самым благотворным образом воздействующая на организм человека. Тренированный человек не так скоро утомляется, работоспособность у него всегда повышенная.

Во-вторых, тишина леса, простор полей, аромат и краски леса - все многообразие красот родной природы, заставляют забыть о будничных делах и заботах, раскрепощают нервную систему.

Наконец, туризм является профилактикой бездуховности, эмоциональной бедности и различных правонарушений. Он решает проблему занятости детей, позволяет им рационально использовать свое свободное время, органически сочетать досуг с образовательной деятельностью.

Заметна оздоровительная роль туризма и среди других видов физической культуры и спорта, поскольку он включает в себя только ту физическую активность, которая прямо направлена на укрепление здоровья, без стремления достигнуть спортивного мастерства и выполнить определенные нормативы. Периодические занятия туризмом человека, приобщенного к физической культуре, в значительной мере способствуют поддержанию его организма на достаточно высоком уровне физической подготовленности.

Как спорт, туризм включает уже напряженные тренировки, высокие физические и эмоциональные нагрузки, требует постоянного технического и тактического совершенствования.

Оздоровительная задача туризма решается посредством правильно организованного графика прохождения маршрута с соблюдением оптимального режима физических нагрузок и активного отдыха, использования благотворного воздействия природных факторов на все функции организма, соблюдения правил личной и общественной гигиены [12, 27].

Периодическое переключение на туризм людей, регулярно занимающихся оздоровительным бегом или плаванием, позволяет ликвидировать нежелательные последствия адаптации человека к физическим нагрузкам.

Адаптация обусловлена тем, что в результате длительного стандартного выполнения одной и той же физической нагрузки прекращается процесс появления новых приспособительных сдвигов (перестроек) в организме. В данном случае нужна временная переориентация человека на несколько иной род деятельности, но также сопряженный с определенными физическими нагрузками.

Таким образом, туризм и здоровье неотделимы. Туристские путешествия не только способствуют физическому закаливанию организма, снимают усталость, укрепляют нервную систему, они все больше становятся настоятельной потребностью человека как активный, насыщенный физическими нагрузками отдых. Кроме того, туристская деятельность сопряжена с длительным пребыванием человека на свежем воздухе в естественных условиях природы.

Туризм имеет еще и прикладное значение. Оно определяется еще и той огромной ролью, какую играет он, по сравнению с другими видами, в образовании и формировании жизненно важных прикладных знаний, умений и навыков нужными в жизни каждому человеку, их возможность оказывать всесторонне и гармоничное воздействие на все функциональные системы и органы человека.

Туризм характеризуется естественной прикладностью. Он включает разнообразные по форме и содержанию двигательные действия по рациональному преодолению значительных расстояний в малонаселенной местности, выполняемые в естественных условиях коллективными усилиями [11, 36]:

умение передвигаться в различных условиях местности, рельефа, среды с активным использованием естественных и технических средств (пешком, на лыжах, лодках, велосипедах, мотоцикле, автомобиле и т.д.);

умение ориентироваться в разнообразных условиях местности, пространства и времени с помощью карты, компаса, часов, по природным ориентирам или по местным предметам, по народным приметам.

определять высоту предметов и расстояние;

преодолевать естественные препятствия, встречающиеся на пути (подъемы, спуски, рвы, канавы, реки, болота, лесные завалы, скалы, ледники);

организовывать ночлег и разводить костер в любых условиях;

оказывать необходимую помощь пострадавшему при ушибах, ожогах, обморожении, тепловом или солнечном ударе, при укусе змей и т.п.;

различать и находить съедобные грибы, ягоды, коренья;

готовить пищу в различных полевых условиях;

вести наблюдение за природой и многое другое.

Таким образом, туризм обладает многими, подчас мелкими и незаметными навыками, которые в сумме делают человека приспособленным к жизни.

Кроме того, занятия туризмом вырабатывают у человека ряд очень ценных навыков, например, навык в правильной ходьбе.

В туристском походе вырабатывается умение преодолевать трудности. Эти трудности лишь в редких случаях можно преодолеть в одиночку. Как правило, только усилия всей группы дают результат. Так ребята учатся коллективизму не на словах, а на деле. Ради общего дела они учатся преодолевать усталость, становиться выше личных симпатий и антипатий, помогать друг другу, быть чуткими [12, 29].

Регулярное занятие туризмом вырабатывает сознательную дисциплину и настойчивость.

Все это имеет большое значение в военном деле и в мирном труде специалистов ряда профессий. Особенно важно это для геологов, землеустроителей, зоотехников, чабанов, охотников, строителей отдаленных объектов и др.

Ловкость, физическая выносливость, воспитываемые туристскими походами, находят применение практически всюду. Если к этому добавить, что туризм является незаменимым средством активного отдыха для людей напряженного умственного труда, то будет понятным его прикладное значение.

Таким образом, туризм является одной из совершенных форм использования свободного времени и содействия подготовке человека к трудовой деятельности и активному участию в развитии общества.

Все это свидетельствует о большом прикладном значении туризма, его роли в образовании и формировании жизненно важных прикладных знаний, умений и навыков.

В связи с этим, необходимо всемерно развивать туризм, организовывать различные туристские мероприятия и привлекать к участию в них возможно большее количество трудящихся - рабочих, служащих, членов их семей и учащуюся молодежь.

1.3 Задачи использования туризма на различных возрастных этапах жизнедеятельности человека

Современный туризм представляет следующие основные виды: пешеходный, лыжный, водный, горный, велосипедный, спелеологический и автомобильный. В практике туризма также сочетаются несколько видов туризма в одном походе (например, часть похода учащиеся плывут на байдарках, а часть маршрута проходят на велосипедах). Такой смешанный вид туризма называется комбинированным [19, 13].

Основными формами туристской работы являются: занятия в туристской секции, туристские объединения, походы, путешествия, туристские слеты и соревнования.

Походы могут быть одно-, двух- и трехдневными. Иногда такие походы называют походами выходного дня.

Путешествия - это многодневные походы. Походы и путешествия могут быть ближними и дальними, т.е. их маршруты могут проходить по территории родного края (ближние) или выходить за его пределы, проходить по другим областям и регионам, странам (дальние).

Успехи в спортивной деятельности человека во многом зависят от своевременного начала занятий тем или иным видом спорта, а также от того, насколько устойчиво сформировался у него осознанный интерес к избранному виду. В этих целях организуются специальные мероприятия по отбору, начало которого связано с ориентацией на последующие систематические занятия спортом. Ориентация проводится в два этапа. Цель первого этапа - вызвать у человека в большей степени созерцательный интерес к физической культуре и спорту. Цель второго этапа - пробудить действенный интерес к занятиям тем или иным видом спорта, показав его достоинства в сравнении с другими видами [19, 14].

Отбор, как направленное педагогическое действие, состоит в том, что у каждого человека есть сложившиеся представления о занятиях физической культурой, спортом, туризмом, а также в том, что при определенных условиях у него могут проявиться в той или иной мере спортивные наклонности и способности, удовлетворить которые помогут занятия избранным видом спорта. Выявить эти наклонности и способности, сформировать предпосылки, способствующие началу активных занятий конкретным видом спорта для достижения в нем высоких результатов, - такова в целом задача отбора.

Направленность, характер и содержание ориентации и отбора в туризме имеют по сравнению с другими видами спорта некоторые особенности. Даже сама процедура выявления способностей человека с учетом его анатомо-физиологических признаков, играющих важную роль в приобщении к тому или иному виду спорта, в туризме несколько иная. Так, спортивный отбор обусловлен конкретными действиями по оценке потенциальных возможностей человека для выявления соответствий антропометрических и морфофункциональных данных модели спортсмена, а также его двигательных качеств [19, 19].

При отборе занимающихся туризмом надо прежде всего исходить из того, что туризм как, средство воспитания отличается доступностью, прикладностью и что определенным уровнем двигательных качеств, умений и навыков, формирующихся посредством занятий туризмом, должен владеть каждый человек. К тому же высокий спортивный результат в туризме достигается только слаженными коллективными действиями группы. Важно также подчеркнуть, что в спортивном туризме высокие результаты достигаются за счет отработанных длительной практикой таких личностных качеств, как коллективизм, умение подчинять личностные интересы общественным, чувство ответственности за порученное дело, дисциплинированность, инициатива, творчество, обязательность выполнения каждым участником похода на достаточно высоком уровне комплексных общественно полезных работ. В роли своеобразного естественного регулятора в отборе для участия в сложных походах наиболее опытных и подготовленных людей выступает как стимулирующий фактор сама спортивная классификация.

Таким образом, возрастная ориентация и отбор в туризме, как результат осуществления различных форм пропаганды и агитации, а также просвещения, связаны с решением следующих задач:

формирование сознательного отношения к занятиям туризмом, предполагающего создание правильных представлений о значимости его как средства воспитания, о формах и методах туристской работы как непременной составной части в деятельности коллективов физической культуры, о необходимости самостоятельного овладения туристскими умениями и навыками, о важности ведения в походах разнообразных общественно полезных мероприятий;

создание устойчивых по составу туристских секций, члены которых способны организовать и провести категорийные походы, участвовать в различных туристских соревнованиях.

Воспитательные, образовательные, оздоровительные и спортивные задачи в туризме относятся к категории общих задач, т. е. их решение осуществляется в тесном единстве и не зависит от возраста и степени специальной физической подготовленности занимающихся. Например, во время похода воспитательная задача решается непосредственно воздействием на каждого участника со стороны коллектива, т. е. происходит формирование чувства коллективизма, подчинение личностных интересов общественным; кроме того, длительность передвижения в походных условиях, постепенное повышение физических нагрузок воспитывают выносливость и волевые качества человека.

Одновременно с воспитательной задачей в походе решается и образовательная. Имеется в виду закрепление знаний по краеведению, природоведению, топографии, полученных занимающимися до похода, т. е. в данном случае теория подкрепляется практикой. В походных условиях также совершенствуются знания по методике формирования двигательных умений и навыков.

Оздоровительная задача решается посредством правильно организованного графика прохождения маршрута с соблюдением оптимального режима физических нагрузок и активного отдыха, использования благотворного воздействия природных факторов на все функции организма, соблюдения правил личной и общественной гигиены. Периодическое переключение на туризм людей, регулярно занимающихся оздоровительным бегом или плаванием, позволяет ликвидировать нежелательные последствия адаптации человека к физическим нагрузкам. Адаптация обусловлена тем, что в результате длительного стандартного выполнения одной и той же физической нагрузки прекращается процесс появления новых приспособительных сдвигов (перестроек) в организме. В данном случае нужна временная переориентация человека на несколько иной род деятельности, но также сопряженный с определенными физическими нагрузками. Периодические занятия туризмом человека, приобщенного к физической культуре, в значительной мере способствуют поддержанию его организма на достаточно высоком уровне физической подготовленности.

В целом, что касается спортивных задач в туризме, следует отметить три момента. Во-первых, занятия туризмом способствуют созданию базы общей физической подготовки, необходимой в любом виде спорта. Во-вторых, они предусматривают специальную подготовку для участия в соревнованиях по туристской технике. В-третьих, спортивная классификация способствует реализации принципа максимальных нагрузок в туризме.

1.4 Роль и значение занятий туризмом в физическом воспитании подростков 13-14 лет

Туризм является одним из средств разностороннего физического развития, закаливания организма и воспитания выносливости, настойчивости и привычки к походной жизни. Туризм связан с умением хорошо ходить, бегать и плавать, грести, лазать, переносить грузы, преодолевать различные естественные и искусственные препятствия, а зимой ходить на лыжах. Путешествия способствуют выработке у туристов прочных двигательных навыков, которые приходится применять в различной и часто меняющейся обстановке. Все это развивает у туристов такие качества, как быстрота, сила, выносливость, ловкость.

Планируя организацию туристской подготовки детей 13-14 лет, следует учитывать анатомо-физиологические и психические особенности учащихся. Подростковый возраст характеризуется значительным увеличением веса и роста учащихся. Во время периода полового созревания наблюдается стабилизация или даже замедление уровня развития физических качеств: выносливости к работе умеренной интенсивности, силовой выносливости мышц рук и туловища. Быстрое развитие половых желез сопровождается нарушениями координации отдельных функций организма. Претерпевает заметные изменения и психика школьника. Вместе с тем происходит развитие внимания, волевых качеств, появляется умение анализировать движения и целостные действия.

Учитывая все особенности детского организма, следует строго дифференцировать нагрузку при воспитании физических качеств, обращая внимание не столько на календарный возраст, сколько на биологический.

Школьный возраст особенно благоприятен при обучении движениям. Именно в эти годы наиболее легко усваиваются и совершенствуются разнообразные формы двигательных действий, что объясняется прежде всего интенсивным развитием функций двигательного анализатора, естественное возрастное формирование которого в основном заканчивается к 14-15 годам (В.С. Фарфель). Физические способности детей школьного возраста в целом значительно прогрессируют. Однако в определенные годы темпы развития некоторых из них то увеличиваются, то снижаются. Эти особенности также необходимо учитывать. Гибкость, в отличие от других физических качеств человека, начинает регрессировать в первые годы жизни и по мере окостенения хрящевых тканей к 13-16 годам (Л.П. Матвеев). Типичными для воспитания гибкости будут упражнения на растягивание, характеризующиеся постепенным увеличением амплитуды движений до возможного на данном занятии предела. Основной метод воспитания гибкости - повторное выполнение упражнений; основные упражнения - элементарные движения из гимнастики, подвижные и спортивные игры.

Известно, что в любом виде спорта однообразные тренировки приводят к быстрому физическому и психическому утомлению спортсменов. Туризм благодаря разнообразию мест и районов походов, соревнований, слетов, эстетическому восприятию местности при эмоциональных ощущениях на маршруте служит одной из наиболее увлекательных форм физической культуры.

Таким образом, роль и значение занятий туризмом для детей 13 - 14 лет очень велика: бесценно значение туризма не только в развитии физического состояния школьников, но и в воспитании и развитии прикладных умений и навыков в приготовлении пищи, разведении костра, установке палатки, ориентировании на местности, пользовании картой, компасом и др.

Большое значение имеет туризм для формирования и развития высоких моральных и волевых качеств, для организованности и дисциплинированности люден.

Совместные путешествия, коллективные действия в условиях походной жизни, преодоление трудностей сплачивают туристов, развивают чувство товарищеской взаимопомощи.

Современный туризм многогранен по своей форме и содержанию. Туризм на данный момент является автономной индустрией и одновременно с этим проникает во все сферы культурной, экономической, религиозной, общественной и даже политической жизни человека. Туризм играет огромную роль в областях здравоохранения и физического развития, способствует культурному, духовному и социальному росту и развитию личности. Туризм - исключительно ценное средство физического воспитания и активного отдыха человека на природе. В туристских походах учащиеся закаляют свой организм, укрепляют здоровье, развивают выносливость, силу и другие физические качества, приобретают прикладные навыки и умения ориентирования на местности, преодоления естественных препятствий, самообслуживания и др.

Как спорт, туризм включает уже напряженные тренировки, высокие физические и эмоциональные нагрузки, требует постоянного технического и тактического совершенствования. Туризм характеризуется естественной прикладностью.

Он включает разнообразные по форме и содержанию двигательные действия по рациональному преодолению значительных расстояний в малонаселенной местности, выполняемые в естественных условиях коллективными усилиями.

Современный туризм представляет следующие основные виды: пешеходный, лыжный, водный, горный, велосипедный, спелеологический и автомобильный. Основными формами туристской работы являются: занятия в туристской секции, туристские объединения, походы, путешествия, туристские слеты и соревнования.

Планируя организацию туристской подготовки детей 13-14 лет, следует учитывать анатомо-физиологические и психические особенности учащихся. Учитывая все особенности детского организма, следует строго дифференцировать нагрузку при воспитании физических качеств, обращая внимание не столько на календарный возраст, сколько на биологический.

Таким образом, роль и значение занятий туризмом для детей 13 - 14 лет очень велика: бесценно значение туризма не только в развитии физического состояния школьников, но и в воспитании и развитии прикладных умений и навыков в приготовлении пищи, разведении костра, установке палатки, ориентировании на местности, пользовании картой, компасом и др.

ГЛАВА 2. МЕТОДИКА И ОРГАНИЗАЦИЯ ИССЛЕДОВАНИЯ

.1 Методика исследования

В работе используются следующие методы исследования.

Качественное и количественное измерение.

Результаты количественного исследования представляют в статистической форме. Количественное исследование используется для отслеживания изменений и тенденций.

Качественное исследование призвано узнать о личных реакциях и чувствах испытуемых относительно впечатлений и эмоционального состояния.

Исследование проводится на нескольких уровнях: первичное исследование, выход в «поле», статистическая обработка.

Первичное исследование подразумевает непосредственную разработку анкет, тестов, материалов специально для выхода в «поле», то есть для исследования отобранных представителей (детей выбранной возрастной группы), с целью получить данные для эксперимента. Затем проходит обработка данных.

Тестирование включает в себя следующие виды:

. Тест «Подтягивание на перекладине»;

. Тест «Бег на дистанции 30 метров»;

. Тест «Прыжок в длину».

Тестирование проводится в соответствии с требованиями программ и методик.

Тест «Подтягивание на перекладине». Подтягивание на перекладине (на турнике) - одно из тех упражнений, которое показывает состояние физической формы человека, в которой выявляется степень гармонии массы тела с развитием мышц. Иными словами позволяет оценить силу и силовую выносливость мышц верхнего плечевого пояса. В висе на перекладине, руки должны быть прямые, учащемуся предлагается выполнить максимально возможное число подтягиваний. Подтягивание считается выполненным правильно, когда руки сгибаются, подбородок выше перекладины, затем разгибаются полностью, ноги не сгибаются в коленных суставах, движения без рывков и махов. Неправильно выполненные подтягивания не засчитываются. Преподаватель проводит подсчет корректно выполненных подтягиваний.

Тест «Бег на дистанции 30 метров» используется в исследовании для оценки быстроты и скорости движений. На прямой ровной дорожке длиной не менее 40 м обозначают линию старта и через 30 м линию финиша. За линией финиша на расстоянии 5-6 м ставят яркий флажок или другой ориентир. Участникам дается задание пробежать всю дистанцию, не замедляя движения, с максимально возможной скоростью. Рекомендуется проводить забеги парами. Преподаватель с секундомером становится сбоку на линии финиша, его помощник с флажком - у стартовой линии и помогает преподавателю в организации забегов. По команде помощника «На старт!» участники подходят к черте и встают лицом по направлению бега, отставив одну ногу назад. По команде «Внимание!» помощник поднимает флажок вверх, участники при этом слегка сгибают обе ноги и наклоняют туловище чуть вперед. По команде «Марш!» помощник резко опускает флажок вниз, а преподаватель включает секундомер. Участники бегут в полную силу до ориентира. Секундомер выключается в момент пересечения груди участников линии финиша. Точность измерения - до 0,1 сек. Преподаватель может пользоваться двумя секундомерами.

Тест «Прыжок в длину» используется для измерения динамической силы мышц нижних конечностей. Из исходного положения стоя, стопы слегка врозь, носки стоп на одной линии со стартовой чертой, выполнить прыжок вперед с места на максимально возможное расстояние. Участник предварительно сгибает ноги, отводит руки назад, наклоняет вперед туловище, смещая вперед центр тяжести тела и махом рук вперед, и толчком двух ног выполняет прыжок. Тест необходимо проводить на мате или мягком грунтовом покрытии (можно использовать яму с песком). Участникам дается 2 попытки.

Преподаватель вносит результаты по каждому тесту в протокол для дальнейшего исследования результатов.

Помимо этого используются также методы анализа и обобщения данных научно-методической литературы, методико-педагогические наблюдения, статистические измерения, методы математической статистики.

2.2 Организация исследования

туризм тест подросток

Исследование влияния туризма на состояние детей проводилось с сентября 2011 года по январь 2012 года (5 месяцев).

В исследовании принимала участие две группы детей (контрольная и экспериментальная) в возрасте от 13 до 14 лет. Количество испытуемых - 17 человек (8 человек в экспериментальной группе и 9 человек в контрольной группе). Экспериментальная группа обучается первый год в объединении «Туристов-проводников» туристического клуба «Кама». Контрольная группа - это учащиеся СОШ, не принимающие участие в туристической деятельности и занимающаяся обычной физической культурой по школьной программе.

Цель исследования - выявить влияние занятий туристским многоборьем на физическую подготовку подростков 13-14 лет.

Исследование состояло из трех этапов.

На первом этапе проводится первичное тестирование учащихся по физической подготовке.

На втором этапе исследования организуется работа с воспитанниками по туристической деятельности. Организация и подготовка походов - это комплекс параллельных и последовательных мероприятий, системное выполнение которых обеспечивает достижение поставленных целей, решение воспитательных, образовательных и спортивных задач при максимальном оздоровительном эффекте и полной безопасности участников похода.

Содержание программы отражено в талице 1.

Таблица 1 - Учебно-тематический план занятий

№ п/п

Наименование разделов

Всего (часов)

Количество часов




теория

практика

1.

Вводное занятие План работы объединения. Инструктаж по технике безопасности

2

2


2. 2.1. 2.2. 2.3. 2.4. 2.5. 2.6.

Основы туристской подготовки Туристические путешествия, история развития туризма. Воспитательная роль туризма.  Личное и гpyпповое туристское снаряжение.  Привалы и ночлеги.  Питание в туристском походе.  Правила движения в походе, преодоление препятствий.

2 2 8 18 15 22 69

2 2 2 2 4 17

- 6 16 12 18 52

3. 3.1.  3.2. 3.3. 3.4. 3.5.

Топография и ориентирование. Меры безопасности при проведении занятий по ориентированию Ориентирование по горизонту, азимут.  Компас. Работа с компасом.  Измерение расстояний.  Способы ориентирования.

1 7 11 9 9 37

1 2 2 1 2 8

1 5 9 8 7 29

4. 4.1 4.2 4.3

Краеведение и экология. Родной край, его природные особенности, история, известные земляки.  Туристские возможности родного края  Изучение района путешествия.

10 10 10 30

2 2 2 6

8 8 8 24

5. 5.1. 5.2

Основы гигиены и первая доврачебная помощь. Личная гигиена туриста, профилактика заболеваний. Походная медицинская аптечка.

5 3 8

3 1 4

2 2 4

ИТОГО за период обучения:

144

35

109


На третьем этапе проводится промежуточное тестирование воспитанников по тем же трем методикам тестирования. Сравниваются и обобщаются результаты, проводится математико-статистическая обработка данных тестирования, делаются выводы.

ГЛАВА 3. РЕЗУЛЬТАТЫ ИССЛЕДОВАНИЯ

.1 Исследование и оценка исходных показателей физического развития экспериментальной и контрольной группы до проведения эксперимента

На первом этапе нами было проведено первичное тестирование экспериментальной и контрольной группы. При записи в объединение «Туристы-проводники» в сентябре 2011 г. проводилось тестирование детей по физической подготовке (прыжок в длину, бег 30 м, подтягивание на перекладине). Результаты представлены в таблице 2.

Таблица 2 - Результаты тестирования воспитанников объединения «Туристы-проводники»

№ п/п

Ф.И.О.

возраст (лет)

тесты




подтягивание (раз)

бег 30 (сек)

прыжок в длину(см)

1. 1

Ахметов 3.

14

5

5,0

230

2. 2

Баранов В.

14

6

5,4

210

3. 3

Васильев А.

13

10

4,6

170

4. 4

Кузнецов О.

14

8

5,1

210

5. 5

Курбанов Р.

13

7

5,2

195

6. 6

Мазов С.

14

8

4,7

215

7. 7

Фардеев И.

14

11

4,5

190

8. 8

Якимов Ю.

14

12

 4,5

185

9. 1

Ахметов 3.

14

7

4,6

232

10. 2

Баранов В.

14

7

4,4

214

11. 3

Васильев А.

13

13

4,3

190

12. 4

Кузнецов О.

14

9

4,5

216

13. 5

Курбанов Р.

13

9

4,8

200

14. 6

Мазов С.

14

10

4,6

215

15. 7

Фардеев И.

14

11

4,1

196

16. 8

Якимов Ю.

14

14

 4,1

191


На рисунке 1 наглядно приведены результаты тестирования воспитанников в сравнении средних показателей до и после занятий туристической деятельностью.

Рис. 1 - Результаты тестирования воспитанников в сравнении средних показателей до и после занятий туристической деятельностью

Таким образом, группа воспитанников первого года обучения (возраст 13-14 лет) объединения «Туристов-проводников» туристического клуба «Кама» была протестирована по физической подготовке, при записи в объединение (сентябрь) и через 5 месяцев.

Также была протестирована контрольная группа учащихся СОШ по тем же параметрам. Результаты представлены в таблице 3.

Таблица 2 - Результаты тестирования учащихся СОШ

№ п/п

Ф.И.О.

возраст (лет)

тесты




подтягивание (раз)

бег 30 (сек)

прыжок в длину(см)

17. 1

Авдиев М.

13

6

5,0

206

18. 2

Андреев К.

13

7

5,1

175

19. 3

Валиев Р.

5

4,2

195

20. 4

Львов П.

14

9

5,1

180

21. 5

Магдеев Р.

14

11

4,4

200

22. 6

Петров А.

14

8

4,6

210

23. 7

Селиванов И.

14

10

5,2

205

24. 8

Тимофеев Ю.

14

12

4,9

205

25. 9

Черных А.

14

9

5,0

206

26. 1

Авдиев М.

13

7

5,0

207

27. 2

Андреев К.

13

8

5,1

176

28. 3

Валиев Р.

14

6

4,1

192

29. 4

Львов П.

14

10

5,0

183

30. 5

Магдеев Р.

14

11

4,4

201

31. 6

Петров А.

14

8

4,6

210

32. 7

Селиванов И.

14

10

5,1

207

33. 8

Тимофеев Ю.

14

12

4,7

206

34. 9

Черных А.

14

10

4,9

208


На рисунке 2 наглядно приведены результаты тестирования учащихся СОШ в сравнении средних показателей до и после занятий физической культурой по школьной программе.

Рис. 2 - Сравнение результатов тестирования учащихся СОШ до и после эксперимента

3.2. Исследование и оценка динамики показателей физического развития экспериментальной и контрольной группы после проведения эксперимента

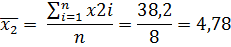
В таблице 5. представлены данные экспериментальной группы по тесту «Бег на 30 м».

Таблица 5 - Данные теста в беге на 30 м (сек.)

При записи

5,0

5,4

4,6

5,1

5,2

4,7

4,5

4,5

после 5-ти месяцев занятий

4,6

4,4

4,3

4,5

4,8

4,6

4,1

4,1


Определяем, значимо ли изменился этот показатель под влиянием физической нагрузки.

Выдвигаем нуль гипотезу:

),

То есть, по среднему арифметическому, показатели результатов в беге на 30 м группы воспитанников не изменились существенно за время занятий в объединении.

Выбираем уровень значимости: α=0,05

Составляем таблицу:

i

Xli

x2i

di=x2i-Xli

di -

1

5,0

4,6

-0,4

0,04

0,0016

2

5,4

4,4

-1,0

-0.56

1,12

3

4,6

4,3

-0,3

0,14

0,0196

4

5,1

4,5

-0,6

-0.16

0,0256

5

5,2

4,8

-0,4

0,04

0,0016

6

4,7

4,6

-0,1

0,34

0,1156

7

4,5

4,1

-0,4

0,04

0,0016

8

4,5

4,2

-0,3

0,14

0,0196

39

35,5

-3,5


1,3052


. Находим среднее арифметическое разностей di=x2i-xli

вычисляем среднее квадратическое отклонений разностей dj:

Находим ошибку среднего арифметического разностей:

Находим расчетное значение t-критерия Стьюдента для связанных выборок:

. Определяем число степеней свободы:

ν=n-1=8-1=7

7. В таблице критических значений t-критерия Стьюдента находим критическое значение:кp.(0,05;7)=2,365

. Сравниваем расчетное и критическое значения: > tкp (2,933>2,365)

Вывод: tp> tкp (2,933>2,365)

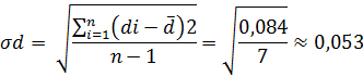
Таким образом, состояние группы изменилось существенно с доверительной вероятностью q=l-α= l-0,05=0,95, то есть с вероятностью 0,95 можно утверждать, что после 5-ти месяцев занятий показатели в беге на 30 м у воспитанников изменились значимо.

Можно сделать вывод, что туризм служит важным средством, укрепления физического здоровья детей, а также их гармонического развития в целом.

Также проведем анализ результатов тестирования в контрольной группе учащихся СОШ.

В таблице 6. представлены данные контрольной группы по тесту «Бег на 30 м».

Таблица 6 - Данные теста в беге на 30 м (сек.)

При записи

5,0

5,1

4,2

5,1

4,4

4,6

5,2

4,9

после 5-ти месяцев занятий

5,0

5,1

4,2

5,0

4,4

4,6

5,1

4,8


пределяем, значимо ли изменился этот показатель под влиянием физической нагрузки.

Выдвигаем нуль гипотезу:

),

То есть, по среднему арифметическому, показатели результатов в беге на 30 м группы воспитанников не изменились существенно за время занятий физической культурой.

Выбираем уровень значимости: α=0,05

Составляем таблицу:

i

Xli

x2i

di=x2i-Xli

di -

1

5,0

5,0

0

-0,038

0,0014

2

5,1

5,1

0

-0,038

0,0014

3

4,2

4,2

0

-0,062

0,0014

4

5,1

5,0

-0,1

-0.16

0,0038

5

4,4

4,4

0

-0,038

0,0014

6

4,6

4,6

0

-0,038

0,0014

7

5,2

5,1

-0,1

-0,062

0,0038

8

4,9

4,8

-0,1

-0,062

0,0038

38, 5

38,0

-0,3


0,0184


. Находим среднее арифметическое разностей di=x2i-xli

вычисляем среднее квадратическое отклонений разностей dj:

Находим ошибку среднего арифметического разностей:

Находим расчетное значение t-критерия Стьюдента для связанных выборок:

. Определяем число степеней свободы:

ν=n-1=8-1=7

7. В таблице критических значений t-критерия Стьюдента находим критическое значение:кp = (0,05;7)=2,365

. Сравниваем расчетное и критическое значения: < tкp (2,11<2,365)

Вывод: tp < tкp (2,11<2,365)

Состояние группы изменилось не существенно с доверительной вероятностью q=l-α= l-0,05=0,95, то есть с вероятностью 0,95 можно утверждать, что после 5-ти месяцев занятий в школе показатели в беге на 30 м у учащихся 13-14 лет почти не изменились.

3.3 Сравнительный анализ полученных результатов

В таблице 7. приведены результаты (сек), показанные воспитанниками объединения «Туристы проводники» (экспериментальная группа) и учащиеся СОШ (контрольная группа) по тесту «Бег на 30 м».

Таблица 7 - Данные теста в беге на 30 м (сек.)

Группа 1, х1

4,6

4,4

4,3

4,5

4,8

4,6

4,1

4,1

Группа 2, х2

5,0

5,1

4,2

5,0

4,4

4,6

5,1

4,8


Определяем, достоверность различий результатов в беге на 30 м у испытуемых групп:

Выдвигаем нуль гипотезу:

),

То есть, по среднему арифметическому, показатели результатов в беге на 30 м у группы воспитанников и группы учащихся не изменились существенно за 5 месяцев с начала учебного года. Выбираем уровень значимости: α=0,05. Составляем таблицу:

i

хli

x2i

х1i-хl

х2i-х2

1

4,6

5,0

0,17

0,22

0,0289

0,0484

2

4,4

5,1

-0,03

0,32

0,0009

0,1024

3

4,3

4,2

-0,13

-0,58

0,0169

0,3364

4,5

5,0

0,07

0,22

0,0049

0,0484

5

4,8

4,4

0,37

-0,38

0,1369

0,1444

6

4,6

4,6

0,17

-0,18

0,0289

0,0324

7

4,1

5,1

-0,33

0,32

0,1089

0,1024

8

4,1

4,8

-0,33

-0,02

0,1089

0,0024

 35, 5

 38,2



 0,4352

0,8152


4. Находим среднее арифметическое наблюдаемого признака для обеих груп

Вычисляем среднее квадратическое отклонений:

Находим ошибки средних арифметического разностей:

Находим расчетное значение t-критерия Стьюдента для несвязанных выборок:

. Определяем число степеней свободы:

ν=n1 + n2 - 2 = 8+8-2 = 14

. В таблице критических значений t-критерия Стьюдента находим критическое значение:кp = (0,05;14)=2,145

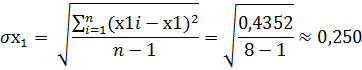
. Сравниваем между собой расчетное и критическое значения: > tкp (2,333>2,145)

Вывод: tp > tкp (2,333>2,145), гипотеза H0 отклоняется. То есть по среднему арифметическому группы отличаются с доверительной вероятностью 0,05.

С вероятностью 0,05 можно утверждать, что в беге на 30 м, результаты, показанные воспитанниками объединения «Туристы-проводники», после 5 месяцев занятий лучше, чем результаты учеников СОШ после 5 месяцев с начала учебного года.

Таким образом, комплексное разумное использование естественных факторов природы, солнечной энергии, свежего воздуха и воды, активных и разнообразных форм передвижения, смены обстановки и впечатлений в процессе туристической деятельности - все это дает благотворное влияние на человека, укрепляет его физические качества и развивает организм.

ВЫВОДЫ

На основе теоретической литературы нами был изучен вопрос о значении туризма и его прикладной роли. Можно сделать вывод, что туризм имеет огромное значение в жизни общества. Он играет важную роль в воспитательных, образовательных, оздоровительных и спортивных задачах. Эти задачи в туризме относятся к категории общих и их решение осуществляется в тесном единстве и не зависит от возраста и степени специальной физической подготовленности занимающихся. Активные занятия туризмом со спортивной направленностью позволяют формировать и совершенствовать физические качества человека.

Современный туризм как социально-экономическое явление представляет собой своего рода систему мероприятий, в которой необходимо различать в качестве компонентов идеологические, естественнонаучные, научно-методические, организационно-управленческие и программно-нормативные основы.

В работе были изучены особенности физического развития и функционального состояния исследуемых детей в возрасте 13-14 лет. Подростковый возраст характеризуется значительным увеличением веса и роста учащихся. Во время периода полового созревания наблюдается стабилизация или даже замедление уровня развития физических качеств: выносливости к работе умеренной интенсивности, силовой выносливости мышц рук и туловища. Планируя организацию туристской подготовки детей 13-14 лет, следует учитывать анатомо-физиологические и психические особенности учащихся.

Разработанная нами методика проведения занятий туристским многоборьем на физическую подготовку подростков 13-14 лет включает в себя основы туристской подготовки; топографию и ориентирование, краеведение и экологию, основы гигиены и первую доврачебную помощь.

На основе проведенного сравнительного анализа показателей в контрольной и экспериментальной группах, мы сделали вывод, что с вероятностью 0,05 можно утверждать, что в беге на 30 м, результаты, показанные воспитанниками объединения «Туристы-проводники», после 5 месяцев занятий лучше, чем результаты учеников СОШ после 5 месяцев с начала учебного года. Гипотеза о том, что туризм имеет большое значение в воспитании, обучении и физическом развитии личности подтвердилась.

СПИСОК ЛИТЕРАТУРЫ

35.    Абухов, А.Х. Туризм на новом этапе / А.Х. Абухов. - М.: Профиздат, 1999. - 415 с.

.        Бабкин, А.В. Туризм. Специальные виды туризма: учеб. пособие / А.В. Бабкин. - Ростов н/Д: Феникс, 2011. - 252 с.

.        Бирюков, Е.С. Развитие туризма в мире и его влияние на экономику / Е.С. Бирюков. - М.: Экономика, 2009. - 168 с.

.        Вяткин, Л.А. Туризм и спортивное ориентирование / Л.А. Вяткин. - М.: «Академия» 2009. - 208с.

.        Гуляев, В.Г. Организация туристской деятельности: учебное пособие / В.Г. Гуляев, - М.: Нолидж, 2010. - 312 с.

.        Козлова, Ю.В., Полевой туристский лагерь школьников / Ю.В. Козлова, В.В. Ярошенко. - Москва: «Издат - Школа», 1999. - 312 с.

.        Константинов, Ю.С., Педагогика школьного туризма: учебно - методическое пособие, 2-е изд., дополненное. / Ю.С. Константинов, В.М. Куликов. - М.: ФЦДЮТиК, 2011. - 208 с.

.        Козлова, Т.В., Физкультура для всей семьи / Т.В. Козлова, Т.А. Рябухина, - М.: Ф.и С., 1999. - 208 с.

.        Маслов, А.Г., Полевые туристские лагеря / А.Г. Маслов, И.А. Дрогов. - М.: Гуманит. Изд. Центр ВЛАДОС, 2011. - 160 с.

.        Махов, С.И. Совершенствование туристско-краеведческой подготовки в школе и вузе / С.И. Махов - Нижний Новгород, 2009. - 157с.

.        Махов, С.И. Учет возрастных и индивидуальных особенностей школьников в туристско-краеведческой деятельности / С.И. Махов - Нижний Новгород, 2009. - 157 с.

.        Миронов, К.П. Методические рекомендации по проверке готовности туристской группы к путешествию / К.П. Миронов. - М.: Управление самодеятельного туризма, 1977. - 646 с.

.        Миронов, К.П. Проблемы безопасности в горах / К.П. Миронов. - М.: Ф и С, 1987. - 430 с.

.        Моргунов, Б.П. Туризм / Б.П. Моргунов. - М.: Просвещение, 2010.-120 с.

.        Никонова, М.А. Практикум по географическому краеведению / М.А. Никонова. - М: Просвещение, 1978. - 420 с.

.        Огородников, Б.И., Подготовка спортсменов - ориентировщиков / Б.И. Огородников, А.Н. Кирчо, Л.А. Крохин. - М.: «Физкультура и спорт», 1978. - 109 с.

.        Остапец, А.А. Педагогика туристско-краеведческой работы в школе / А.А. Остапец. - М.: Педагогика, 1985. - 109 с.

.        Пасечный, П.С. На туристкой тропе / П.С. Пасечный. - М., Ф. и С., 2005. - 109 с.

.        Петров, П.К. Физическая культура: Курсовые и выпускные квалификационные работы / П.К. Петров. - М.: Изд-во ВЛАДОС-ПРЕСС, 2003. - 112 с.

.        Петров, П.К. Питание в туристском путешествии / П.К. Петров. - М: Профиздат, 1986. - 300 с.

.        Рогатин, Б. В ногу со временем / Б. Рогатин. М., Ф. и С., 1986. - 300 с.

.        Стрелец, В.Г. Туризм и здоровье / В.Г. Стрелец, Н.Н. Алфимов, В.В. Белоусов - Л.: Знание, 1982. - 232с.

.        Стрелец, В.Г. Туризм и топография. / В.Г. Стрелец, Н.Н. Алфимов, В.В. Белоусов - Л.: Знание, 1988. - 552с.

.        Стрелец, В.Г. Туризм и спортивное ориентирование: Учеб. для ин-тов и тех-мов физ. культ / В.Г. Стрелец, В.И. Ганопольский - М.: Физкультура и спорт, 1987. - 240с.

.        Уваров, В.А., В поход пешком / В.А. Уваров, А.А. Козлов - М.: «Советский спорт», 1988. - 148 с.

.        Фарфель, В.С. Физиология человека / В.С. Фарфель. - М.: Физкультура и спорт. 1970. - 256с.

.        Федотов, Ю.Н., Спортивно-оздоровительный туризм: Учебник / Ю.Н. Федотов, И.Е. Востоков, - М.: Советский спорт, 2004. - 328с.

.        Федотов, Ю.Н. Физиология человека / Ю.Н. Федотов, И.В. Зимкина. - М.: Физкультура и спорт. 1975. - 455 с.

.        Фомин, Н.А. Физическая тренировка в туризме: методические рекомендации / Н.А. Фомин. - М.: Центральное рекламно-информационное бюро «Турист», 1989. - 245с.

.        Фомин, Н.А. Физиологи человека: учеб. пособие для студентов фак. физ. воспитания пед. ин-тов / Н.А. Фомин, - М.: Просвещение, 1982. - 320 с.

.        Штюрмер, Ю.А. Краткий справочник туриста / Ю.А. Штюрмер. - М., Профиздат, 1985. - 205 с.

ПРИЛОЖЕНИЕ

Учебно-тематический план занятий

. Вводное занятие. 2ч.

План работы объединения. Цели и задачи объединения. Требования к воспитанникам. Что такое турист и кого называют туристом? Кодекс туриста. Инструктаж по технике безопасности.

Базовые понятия: туризм, кодекс, объединение.

. Основы туристской подготовки

2.1. Туристские путешествия. История развития туризма. 2 ч.

Туризм средство познания своего края, физического и духовного развития, оздоровления, привит ие самостоятельности, трудовых и прикладных навыков. Знаменитые путешественники, их роль в развитии нашей страны. История развития туризма в России. Организация туризма в России. Роль государства и органов образования в развитии детско-юношеского туризма. Виды туризма: пешеходный, лыжный, водный, горный, велосипедный, спелеотуризм. Характеристика каждою вида. ! 1онятия о спортивном туризме. Экскурсионный, зарубежный туризм, туристские нормативы и значки «Юный турист России», «Турист России». Разрядные нормативы по спортивному туризму, спортивному ориентированию, туристскому многоборью.

.2 Воспитательная роль туризма. 2 ч.

Значение туристско-краеведческой деятельности в развитии личности. Её роль в подготовке к защите Родины, в выборе профессии и подготовке к предстоящей трудовой деятельности. Роль туристско-краеведческой работы в формировании общей культуры личности, правильного поведения в природе и обществе. Волевые усилия и их значения в походных тренировках. Воспитание волевых качеств: целеустремленности, настойчивости и упорства, самостоятельности и инициативы, решительности и смелости, выдержки и самообладания. Законы, правила, нормы и традиции туризма, традиции своего коллектива, общественно - полезная работа.

Личное и групповое туристское снаряжение. 8 ч.

Понятие о личном и групповом снаряжении. Перечень личного снаряжения для многодневных походов, требования к нему. Типы рюкзаков, спальных мешков, преимущества и недостатки. Правила размещения предметов в рюкзаке. Одежда и обувь для летних и зимних походов. Снаряжение для зимних походов, типы лыж. Как готовить личное снаряжение к походу. Групповое снаряжение, требования к нему. Типы палаток, их назначение, преимущества и недостатки. Походная посуда для приготовления пиши. Топоры, пилы. Состав и назначение ремонтной аптечки. Хозяйственный набор: оборудование для костра, рукавицы, ножи, половник и др. Особенности снаряжения для зимнего похода.

Практические занятая

Укладка рюкзаков, подгонка снаряжения. Работа со снаряжением, уход за снаряжением, его ремонт.

Привалы и ночлеги. 18 ч.

Привалы и ночлеги в походе. Продолжительность и периодичность привалов в зависимости от условий (погода, рельеф местности, физическое состояние участников и т. д.). Выбор места для привала и ночлега (бивака). Основные требования к месту привата и бивака. Организация работы по развертыванию и свертыванию лагеря (выбор места для палаток. костра, определение мест для забора воды и умывания, туалетов, мусорной ямы», заготовка дров. Установка палаток.

Похожие работы на - Значение туризма, его прикладная роль

 

Не нашли материал для своей работы?
Поможем написать уникальную работу
Без плагиата!
Без нейросетей!