Создание денег: роль центрального банка и банковской системы в целом

  • Вид работы:
    Курсовая работа (т)
  • Предмет:
    Банковское дело
  • Язык:
    Русский
    ,
    Формат файла:
    MS Word
    418,38 Кб
  • Опубликовано:
    2015-10-23
Вы можете узнать стоимость помощи в написании студенческой работы.
Помощь в написании работы, которую точно примут!

Создание денег: роль центрального банка и банковской системы в целом

Автономное образовательное учреждение
высшего профессионального образования Ленинградской области «ГОСУДАРСТВЕННЫЙ ИНСТИТУТ ЭКОНОМИКИ, ФИНАНСОВ, ПРАВА И ТЕХНОЛОГИЙ»

Факультет: экономический

Кафедра: финансов и банковского дела







КУРСОВАЯ РАБОТА

на тему: СОЗДАНИЕ ДЕНЕГ: РОЛЬ ЦЕНТРАЛЬНОГО БАНКА

И БАНКОВСКОЙ СИСТЕМЫ В ЦЕЛОМ


Специальность: «Деньги, кредит, банки»

Выполнила студентка группы №122

Комарова Надежда Александровна

Научный руководитель:

Малькова Светлана Анатольевна



Гатчина 2014

СОДЕРЖАНИЕ

ВВЕДЕНИЕ

ГЛАВА 1. МЕСТО И РОЛЬ ГОСУДАРСТВА И БАНКОВ В СИСТЕМЕ СОЗДАНИЯ ДЕНЕГ

.1 Роль государства в создании денег

.2 Банковская система и ее роль в создании денег

.3 Значение Центрального банка и его роль в создании денег

ГЛАВА 2. СПЕЦИФИКА СОЗДАНИЯ ДЕНЕГ

.1 Модель создания денег

.2 Процесс создания денег

ЗАКЛЮЧЕНИЕ

СПИСОК ЛИТЕРАТУРЫ

ВВЕДЕНИЕ

В развитии любого государства значительное место занимает кредитная система, которая во многом определяет развитие экономики, рост потенциальных возможностей государства и рост благосостояния его населения. Вместе с этим само государство должно оказывать влияние на развитие кредитной системы, на ее формирование, деятельность и соответственно размещению на территорию государств. Эффективность кредитной системы во многом зависит не только от ее структуры функции, но и размещения банков по территории государства.

В современной рыночной экономике часто возникает противоречие, которое выражается в следующем. У ряда фирм, компаний, индивидуальных предпринимателей и просто населения возникает проблема в получении денежных средств для осуществления своей деятельности или удовлетворения потребностей. Это выражается в следующем: расширение производства, закуп оборудования, технологий, приобретение жилых помещений, автомобилей и др. А у других же предпринимателей, компаний фирм, в тоже время имеются в достаточном количестве свободные средства, в виде амортизационных отчислений, временно свободных денежных средств и т.п. Это возникшее противоречие устраняет кредитная система.

Кредитная система - совокупность кредитно-финансовых организаций, учреждений, создающих, аккумулирующих и предоставляющих денежные средства на условиях платности, срочности и возвратности. Кредитная система представляет собой совокупность кредитных отношений и институтов, организующих эти отношения.

Целью курсовой работы является изучение особенностей и проблем, роли Центрального банка и банковской системы в целом в создании денег и кредитной роли государства

Реализация поставленной цели предполагает решение следующих задач:

.        Определить роль государства в создании денег.

.        Рассмотреть банковскую систему и ее роль в создании денег.

.        Обозначить значение Центрального банка и его роль в создании денег.

.        Охарактеризовать модель создания денег.

.        Исследовать процесс создания денег.

.        Сделать соответствующие выводы.

По своей структуре данная курсовая работа состоит из введения, двух глав, включающих в себя пять параграфов, заключения и списка литературы.

ГЛАВА 1. МЕСТО И РОЛЬ ГОСУДАРСТВА И БАНКОВ В СИСТЕМЕ СОЗДАНИЯ ДЕНЕГ

.1 Роль государства в создании денег

деньги банк рыночный

При рассмотрении такой основополагающей финансовой категории, как деньги, в частности аспекта создания денег, следует отметить, что признание эволюционной концепции происхождения денег не снимает совсем вопроса о роли рационального фактора в создании денег, прежде всего государства. Благодаря своей общественной природе и чрезвычайно важной экономической и социальной роли деньги и государство существуют в тесной взаимосвязи и взаимовлиянии [13, с.44]. Поэтому нет оснований вообще отрицать роль государства в эволюции денег. Другими словами, не государство создает деньги как экономическое явление, хотя она может определять и изменять внешние атрибуты денег, влиять на форму и качественные свойства денег с целью лучшего приспособления их к эффективному выполнению общественной роли.

Например, государство предоставило металлическим деньгам форму монеты, благодаря государству стала возможной замена золотых денег неполноценными кредитными деньгами, государство определяет номинал, форму, порядок эмиссии дензнаков и т.п. Но все эти действия государства относительно денег не задевают их сущности, не определяют и не возражают ее, т.е. имеют четко определенные границы. Если же государство в своих трансформирующих действиях выходит за эти пределы, например, эмитирует такие деньги, которые теряют доверие к себе со стороны общества, а итак - перестают быть деньгами в сущности, то самая экономическая действительность начинает «искать» или создавать более надежные деньги, в частности прибегает к услугам иностранной валюты или кредитных обязательств (векселей) надежных коммерческих структур [9, с.21]. При таких условиях государство вынужденное будет ограничить свое влияние на деньги указанными границами, заменить «некачественные» деньги качественными, проведя денежную реформу, и в дальнейшем будет считаться с объективной природой денег в своих трансформирующих действиях [5, с.18].

Характерно, что роль государства в формировании денег постепенно усиливалась по мере развития самых денег, повышение их роли и усиление требований к ним со стороны рынка. На первых порах, когда сам рынок стихийно выдвигал на роль денег один из наиболее ходовых товаров, внешнее вмешательство в этот процесс было минимальным.

С закреплением роли денег за драгоценными металлами вмешательства государства в создание денег заметно усилилось. Она взяла на себя обязательства предоставлять деньгам точно определенную форму (монета), ввела контроль за производством денег (чеканка монет, фиксация пробы металла, контроль содержимого драгоценного металла в монетах), организовала борьбу с подделкой монет и т.п. [21, с.63].

Еще большей постоянная роль государства в функционировании денег после демонетизации золота. Она определяет не только форму денег, а и их стоимость, регулируя, прежде всего, массу денег в обороте. Благодаря усилиям государства, прежде всего ее центрального банка, обычные клочки бумаги или простые записи в бухгалтерских книгах банков приобрели способность выполнять функции и роль денег.

Тем не менее, это не означает, что государство стало творцом неполноценных денег, которые ее роль в этом процессе определяющая, а самые современные деньги - исключительно продукт, созданный государством. Деньги и сегодня является продуктом рынка.

Во-первых, в самый раз рынок служит причиной объективную потребности в деньгах, с чем государство не может не считаться.

Во-вторых, рынок предъявляет жесткие требования к носителю денежных функций, и государство должна создать такого носителя, который способный наиполнее удовлетворять эти требования.

В-третьих, количество денег в обороте определяется определенными объективными закономерностями, которые государство должен учитывать в своих регулятивных действиях относительно денег. Поэтому и сегодня деньги не декретируются государством, а порождаются самой рыночной экономикой [7, с.35].

.2 Банковская система и ее роль в создании денег

На первый взгляд, положительный ответ на этот вопрос означал бы, что банк выдает кредиты за счет несуществующих денег, то есть, вроде бы, мошенничает. Но не будем спешить с оценками. Лучше приглядимся к повседневной деятельности банкиров. Осуществляя эту деятельность, банкир в один прекрасный миг замечает: большая часть денег, внесенных на депозиты (даже если это текущие депозиты), подолгу лежит без движения.

Конечно, каждый день в банк приходят клиенты, которые берут деньги со своих счетов. Но они чередуются с клиентами, которые, наоборот, приносят деньги в банк. И если в стране общая ситуация спокойная, то, как правило, за день люди приносят денег даже больше, чем берут. Ведь редко кто кладет деньги в банк, чтобы на следующее утро снова их забрать. И тогда у банкира возникает ощущение «собаки на сене». С одной стороны, его сейфы полны наличных денег, лежащих мертвым грузом. А с другой - каждый день в дверь банка стучится столько предпринимателей, которым нужны деньги для развития коммерции и которые готовы хорошо заплатить за кредиты [3, с.27].

Эта странная ситуация заставляет банкира сесть за математические расчеты. Он начинает подсчитывать: сколько в среднем ему нужно реально держать наличных денег в своих сейфах, чтобы ни один клиент, пришедший снять деньги со счета, не услышал от кассира чреватых паникой слов: «Денег нет!». И расчеты приводят банкира к выводу: избежать конфликтов с вкладчиками (то есть быть платежеспособным) банк может и в том случае, если будет держать в сейфах - как резерв - лишь небольшую долю тех наличных денег, которые ему принесли вкладчики. Остальные деньги можно смело пускать в оборот, представляя кредиты. Так сама жизнь рождает идею частичных резервов [15, с.64].

Частичный резерв - доля внесенных в банк депозитов, которую он должен и может постоянно иметь в своем распоряжении, чтобы быть в состоянии выполнять свои обязательства перед вкладчиками в нормальных условиях деятельности. Допустим, что банк получил от вкладчиков 100 млн. руб. и обнаружил, что даже в дни наибольших изъятий денег (например, перед праздниками или отпусками) ему приходится добавлять в кассу из своих подземных хранилищ не более 20 млн. руб. Остальные выплаты обычно удается покрывать за счет денег, полученных от клиентов в тот же день [8, с.31].

Вывод напрашивается сам собой: именно столько - 20 млн. руб., или 20% суммы вкладов, - надо хранить в сейфах ежедневно как резерв, обеспечивающий надежность банка. Остальные 80 млн. руб., или 80% вкладов, это избыточные резервы. Их можно пускать в оборот, чтобы они зарабатывали деньги и банку, и вкладчикам. Так управляющий банком однажды и поступает. И в этот момент происходит денежный «фокус»: деньги начинают размножаться, «рождая» кредиты. Этот процесс «размножения» называется кредитной эмиссией [4, с.43].

Кредитная эмиссия - увеличение банком денежной массы страны за счет создания новых депозитов для тех клиентов, которые получили от него ссуды.

Давайте внимательнее приглядимся к «фокусу» с кредитной эмиссией, поскольку это одно из наиболее необычных явлений в мире экономики.

Суть его в том, что банки «одалживают деньги у будущего». По сути дела, банк берет на себя риск и дает клиенту право расплачиваться деньгами, которые еще «не заработаны» страной. Иными словами, за деньгами кредитной эмиссии еще нет реальных ценностей в виде драгоценных металлов или товаров. Покупательная способность кредитных денег гарантирована поэтому только репутацией банковской системы страны, а точнее - ее способностью выполнять обязательства перед клиентами.

Но если банк правильно оценил надежность своего нового должника, такой риск не станет причиной банковских неприятностей. Банки всегда выдают кредиты не просто так, а под определенные нужды и проекты, то есть в расчете на то, что «кредитные деньги» потом будут возвращены из выручки от продажи реальных товаров или услуг [17, с.62].

Основой кредитной эмиссии стало осознание банками того факта, чтобы избыточные резервы не обязательно хранить в своих сейфах. Их можно превращать в деньги. И для этого даже не нужны секреты алхимиков. Достаточно просто договориться с заемщиками о том, что они теперь могут брать из банка деньги точно также, как те граждане и фирмы, которые некогда действительно внесли свои сбережения в этот банк. Иными словами, избыточные резервы банк сам превращает для своих заемщиков в депозиты.

Но ведь за счет этих - созданных самим банком - депозитов можно покупать блага точно также, как за счет наличных денег. Достаточно лишь дать банку указание оплатить эти блага за счет полученного кредита. А раз банковские депозиты заемщиков пригодны для оплаты покупок, то они экономически ничем не отличаются от наличных денег. Вот так банки и начинают создавать кредитные деньги - полноправный элемент общей денежной массы страны [21, с.35].

Поэтому теперь можно сказать, что в любом современном банке существуют депозиты двух видов:

) внесенные владельцами сбережений;

) созданные банков при предоставлении кредитов и имеющие своей основой избыточные резервы.

Очевидно, что механизм кредитной эмиссии в принципе крайне рискован. А вдруг многие или даже все вкладчики банка одновременно захотят превратить свои вклады обратно в наличные деньги, и надо будет выплатить денег больше, чем есть у банка в частичных резервах?

Поэтому система частичных резервов, если банки используют ее в одиночку, довольно опасна. Наученные горьким опытом банковских крахов банкиры и правительства в конце концов поняли:

) кредитная эмиссия на основе частичных резервов полезна для экономики и ее надо использовать;

) такая организация работы банков требует объединения всех банков страны в систему частичных резервов, которой должен управлять национальный (центральный) эмиссионный банк.

Так родилась система частичных банковских резервов, ставшая ныне основой банковской деятельности многих стран мира, в том числе и таких крупных, как Россия и США [14, с.16].

Эта система основана на двух принципах:

) банки обязаны хранить в качестве резерва для расчетов с вкладчиками часть внесенных на депозиты средств (создавать частичные резервы);

Эти резервные фонды в любой момент могут быть использованы любым банком страны для ликвидации чрезвычайных ситуаций в банковской системе страны. Например, может случиться, что одному или многим неожиданно не хватит повседневно хранящихся в них средств для покрытия возросших требований клиентов. Такая ситуация сложилась, например, в России летом 1995 г. В этом случае денежные средства для ликвидации экстремальной ситуации коммерческим банкам выдает - из резервного фонда и в качестве кредитов - центральный банк страны. Он поэтому становится как бы банком банков.

В Российской Федерации банковская система стала резервной с 90-х - начала 2000-х гг., после того, как были приняты следующие нормативно-правовые акты:

) Федеральный закон от 10.07.2002 № 86-ФЗ «О Центральном банке Российской Федерации (Банке России)» [1];

) Федеральный закон от 02.12.1990 №395-1 «О банках и банковской деятельности» [2];

) Иные нормативно-правовые акты, регулирующие общественные отношения в финансово-кредитной сфере.

Они предоставили главному банку страны право устанавливать для коммерческих банков единые резервные требования.

Резервные требования - устанавливаемая центральным банком страны обязательная пропорция образования частичных резервов.

Резервное требование устанавливается в процентах к общей сумме денег, находящихся в банке на разных типах счетов. Например, с 1 мая 1995 г. Центральный банк России установил для коммерческих банков страны следующие ставки резервных требований:

·        по счетам до востребования и депозитам на срок до 30 дней - 20,0%

·        по депозитам на срок от 30 до 90 дней - 14,0%

·        по депозитам на срок свыше 90 дней - 10,0%

·        по валютным счетам - 1,5% [6, с.25]

Таким образом, чем на более короткий срок получены банками средства вкладчиков, чем выше возможность полного изъятия средств всеми вкладчиками одновременно, тем выше норма резервирования как средство страхования банков.

Система частичных банковских резервов это, прежде всего, способ повышения устойчивости банковской системы. Более того, такая система расширяет возможности банков по кредитованию клиентов. Ведь при использовании этой системы каждая денежная единица банковских резервов становится обеспечением нескольких денежных единиц, выдаваемых банком в виде кредитов.

У резервной системы есть несколько чрезвычайно полезных свойств.

Во-первых, она помогает организовывать расчеты между банками.

Во-вторых, оно повышает надежность банковской системы страны в целом. Коммерческий банк, попавший в трудную ситуацию из-за нестандартно высокого объема денег, который его клиенты хотели бы получить, может одолжить деньги у центрального банка. А если он разорится, то его резервы могут быть использован для того, чтобы хотя бы частично компенсировать потери вкладчиков и клиентов.

Из-за этого центральный банк называют иногда «кредитором последней инстанции». Ведь он принимает на себя такую функцию только в самом крайнем случае, используя для поддержки попавшего в трудную ситуацию банка общенациональные резервные фонды. Таким образом, снижая угрозу стабильности банковской системы, резервная система позволяет банкам страны спокойно пользоваться механизмом кредитной эмиссии [10, с.45].

В-третьих, резервная система дает возможность через изменение размера денежной массы управлять всей экономической жизнью страны. Если центральный банк повышает резервные требования, то банки могут выдать меньше кредитов и предложение заемных средств на рынке капитала сокращается, а их цена возрастает. И напротив - снижая резервные требования, центральный банк дает возможность коммерческим банкам выдать кредитов больше и тогда предложение на рынке капитала возрастает, а цена заемного капитала снижается.

1.3 Значение Центрального банка и его роль в создании денег

Как известно, денежно-кредитная система представляет совокупность кредитно-финансовых учреждений, которые используются государством в целях регулирования экономики.

Кредитные системы отдельных стран при всем их разнообразии имеют общие черты. Они складываются из банковской системы и совокупности небанковских кредитно-финансовых институтов, способных аккумулировать временно свободные денежные средства и размещать их на условиях срочности, платности и возвратности [12, с.74].

В мировой практике небанковские кредитно-финансовые учреждения представлены инвестиционными фондами, инвестиционными и страховыми компаниями, негосударственными пенсионными фондами, сберегательными кассами, ломбардами. Эти институты, формально не являясь банками, выполняют многие банковские операции и конкурируют с банками. Однако, несмотря на общие функции, выполняемые банками и другими финансовыми институтами, ядром кредитной системы государства остается банковская система.

В истории развития банковских систем различных стран известно несколько их видов:

·          двухуровневая банковская система (Центральный банк и система коммерческих банков);

·          централизованная монобанковская система;

·          уникальная банковская система, представленная опытом развития банков в США.

В большинстве стран с рыночной экономикой (в том числе и в России) существует двухуровневая структура банковской системы.

Первый уровень обозначенной выше (двухуровневой) банковской системы образует Центральный банк страны.

Исторически Центральные банки возникли в результате централизации денежной эмиссии (выпуска банкнот) в надежных банках.

Функции Центрального банка сводятся к следующему:

·          эмиссия денег (будучи эмиссионным центром страны, он обладает монопольным правом выпуска банкнот и монет);

·          хранение золотовалютного резерва страны;

·          выполнение роли «банка банков» (аккумулирует и хранит кассовые резервы коммерческих банков; открывает вклады и выдает ссуды коммерческим банкам; осуществляет контроль и надзор за деятельностью коммерческих банков; выдает и отзывает лицензии коммерческих банков);

·          денежно-кредитное регулирование (совместно с правительством) [11, с.14].

Коммерческий банк - универсальный тип банка, занимающийся широким кругом операции, самой главной из которых является предоставление кредитов промышленным, торговым и другим предприятиям преимущественно за счет денежных средств, привлеченных в виде вкладов. Основное назначение банка в современной экономике - финансовое посредничество в перемещении денежных средств между различными участниками экономических отношений.

Баланс банка - это перечень его активов и пассивов.

Пассивы банка - источники средств, которыми распоряжается банк; они подразделяются на собственные средства (уставный капитал) и привлеченные средства (вклады, паи и т.д.).

Следует заметить, что Центральный банк - это единственный банк страны, для которого наличные деньги являются пассивом.

Активы банка - различные объекты вложения средств, являющиеся средством сохранения стоимости. Схематично баланс Центрального банка можно представить в виде определенной таблицы (табл. 1).

Таблица 1 - Баланс Центрального банка

Основные статьи Центрального банка

Актив

Пассив

Ø валютные резервы (золото и иностранная валюта); Ø ценные бумаги; Ø кредиты коммерческим банкам; Ø кредиты правительству; Ø прочие активы.

Ø наличные деньги в обращении; Ø депозиты коммерческих банков; Ø депозиты Правительства; Ø прочие пассивы.


Увеличивая активы, Центральный банк создает деньги, а сокращая активы, уничтожает их. В каждый данный момент денежная база распределена между наличными деньгами, находящимися в обращении, и депозитами коммерческих банков в Центральном банке.

В условиях двухуровневой системы баланс Центрального банка содержит статьи, отражающие его взаимоотношения с коммерческими банками: в активе - указанная сумма кредитов, предоставленных коммерческим банкам; в пассиве - средства на коммерческих счетах этих банков.

Коммерческие банки обязаны часть своих активов (обязательные резервы) хранить на счете в Центральном банке.

Норма обязательных резервов устанавливается Центральным банком в процентах от суммы депозитов данного коммерческого банка (отношение к) и выражается следующей формулой (1):

= R / D , (1)

где- норма обязательных резервов;- сумма резервов;- сумма депозитов.

Требование хранить часть активов коммерческих банков в виде резервов на счетах Центрального банка позволяет контролировать способность коммерческих банков к кредитованию своих клиентов. Сумма кредита, которую может выдать банк, определяется по следующей формуле (2):

K = D×(1 - RR) , (2)

где- денежные средства, которые могут быть использованы коммерческими банками для кредитных операций;- сумма депозитов;- норма обязательных резервов.

Из чего следует вывод: чем выше норма обязательных резервов, тем меньше доля денежных средств может быть использована коммерческими банками для кредитных операций.

Увеличение нормы обязательных резервов уменьшает денежный мультипликатор, что отражено следующей формулой (3):

= 1 / RR (3)

где- денежный мультипликатор;- норма обязательных резервов.

Следовательно, увеличение нормы обязательных резервов ведет к сокращению денежной массы, что отражено формулой (4), приведенной ниже.

М = D×MD (4)

где- денежная масса;- сумма депозитов;- денежный мультипликатор;

Таким образом, современная банковская система - это система с частичным резервным покрытием: только часть своих депозитов банки хранят в виде резервов, а остальные используют для выдачи ссуд, кредитуя субъекты экономики страны.

ГЛАВА 2. СПЕЦИФИКА СОЗДАНИЯ ДЕНЕГ

.1 Модель создания денег

Переходя, непосредственно к рассмотрению модели создания денег, следует ввести некоторые обозначения (табл. 2).

Таблица 2 - Используемые условные обозначения

Условное обозначение

Обозначаемая величина

H

RR

норма обязательных резервов (минимальные резервы)

ER

избыточные резервы

K

денежные средства, которые могут быть использованы коммерческими банками для кредитных операций (кредиты коммерческих банков)

D

сумма депозитов (чековые (бессрочные) депозиты)

СM

наличные деньги в обращении


При использовании обозначенных в таблице 2 обозначений могут быть составлены балансы денежных средств участников создания денег (табл. 3). К таким участникам, в рамках данного раздела работы, отнесены следующие субъекты:

1. Центральный банк;

2.      Коммерческие банки;

.        «Публика».

Таблица 3 - Балансы денежных средств участников создания денег

Баланс Центрального банка

Баланс коммерческих банков

Баланс «публики»

Актив

Пассив

Актив

Пассив

Актив

Пассив

H

CM

RR

D

CM

K

 

RR

ER

 

D

H

 

ER

K

 

 

 

Всего

Всего

Всего

Всего

Всего

Всего

Центральный банк приобрел у населения и государства свои активы, расплатившись банкнотами. Одна часть последних образует актив населения (CM), а другая поступает на депозиты в коммерческие банки, образуя их актив (RR + ER). Депозиты являются активом для населения и пассивом для коммерческих банков. Кредиты последних - это часть их актива, но пассив для населения.

Процесс создания денег банковской системой отражается в двух балансовых уравнениях:

H = CM + RR + ER; K = D - RR - ER (5)

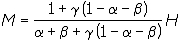
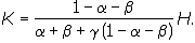
Введем следующие коэффициенты:/D =  - норматив минимального резерва;/D =  - коэффициент кассовых остатков коммерческих банков;/K =  - доля наличных денег в общей сумме кредитов коммерческих банков.

Из балансовых уравнений банковской системы следует, что

 (6)

Сомножитель перед Н называют депозитным мультипликатором. Он показывает, насколько возрастет сумма депозитов в коммерческих банках при увеличении денежной базы на единицу.

Из системы можно также вывести кредитный мультипликатор, который показывает, насколько увеличится сумма предоставленных коммерческими банками кредитов при росте денежной базы на единицу,

 (7)

Поскольку под деньгами понимается денежный агрегат (8), то количество созданных банковской системой денег определяется по формуле (9).

М1 = CM + D = K + D (8)

 (9)

Сомножитель, стоящий перед Н в выражении, называют денежным мультипликатором. Он показывает, насколько возрастет количество находящихся в обращении денег при увеличении денежной базы на единицу. Чем стабильнее значение мультипликатора, тем легче Центральному банку регулировать количество находящихся в обращении денег.

.2 Процесс создания денег

Мультипликационный процесс создания денег развертывается в данном примере по следующей цепочке. Центральный банк оплачивает покупку у населения золота на 100 денежных единиц (далее - д.е.) чеками на себя. Эти чеки вносятся в банки, в которых население открывает счета до востребования. Из полученных денег коммерческие банки 20 д.е. направляют в минимальные резервные покрытия, 8 д.е. оставляют в своей кассе и 72 д.е. предоставляют в кредит частному сектору. Полученный кредит распределяется так: 18 д.е. население хранит у себя наличными и 54 д.е. депонирует в коммерческие банки. Последние, получив очередной вклад, распределяют его между минимальным резервным покрытием (10,8 д.е.), своей кассой (4,32 д.е.) и дополнительными кредитами (38,88 д.е.), из которых часть (29,16 д.е.) снова вернется к ним в виде депозитов и т.д. (табл. 4).

Таблица 4 - Процесс создания денег

Номер итерации

CM

D

RR

ER

K

 

100

20

8

72

1

18

54

10,8

4,32

38,88

2

9,72

29,16

5,83

2,33

21,00

3

5,25

15,75

3,15

1,26

11,34

4

2,83

8,50

1,70

0,68

6,12

5

1,53

4,59

0,92

0,37

3,31

6

0,83

2,48

0,50

0,20

1,79

7

0,45

1,34

0,27

0,11

0,96

8

0,24

0,72

0,14

0,06

0,52

9

0,13

0,39

0,08

0,03

0,28

10

0,07

0,21

0,04

0,02

0,15

...

...

...

...

...

Всего

39,1

217,4

43,5

17,4

156,5


Итак, при заданной денежной базе (количестве выпущенных банкнот) размер денежной массы в стране зависит от значений параметров , , , которые определяются поведением соответственно Центрального банка, коммерческих банков и населения. Схема, представленная на рис. 1, отображает воздействие каждого из них на формирование денежной массы (- денежный мультипликатор).

Рисунок 1 - Процесс образования денежной массы

Количество денег в стране увеличивается в случае, если:

·        растет денежная база (H);

·        снижается норма минимального резервного покрытия ();

·        уменьшаются избыточные резервы коммерческих банков ();

·        снижается доля наличных денег в общей сумме кредитов коммерческих банков ().

Следует обратить внимание на то, что денежная база превышает количество наличных денег в обращении на величину резервов коммерческих банков (рис. 2).

Рисунок 2 - Денежная база и денежная масса

Величины H и  определяются политикой Центрального банка и рассматриваются в модели в качестве экзогенных параметров. Показатели  и представляют собой убывающие функции от ставки процента, так как с ростом i у коммерческих банков усиливается заинтересованность в снижении избыточных резервов, а у населения - доли наличных денег в составе их имущества. Если изменения H и влияют на количество денег Центрального банка за его пределами, то изменение i - на скорость их обращения. По воздействию на экономическую конъюнктуру ускорение обращения денег эквивалентно увеличению их количества, а замедление - уменьшению общего количества платежных средств в заданном периоде.

Рисунок 3 - Кривая предложения денег

На основе проведенного в данном разделе анализа можно записать следующую функцию предложения денег:

= (, (i), (i))×H. (10)

Чем выше ставка процента, тем больше будет предложение денег при заданной денежной базе и фиксированной норме резервного покрытия. При увеличении (уменьшении) денежной базы график сдвигается вправо (влево). При снижении (повышении) нормы резервного покрытия график функции смещается вправо (влево).

ЗАКЛЮЧЕНИЕ

Развитие рыночных отношений в России привело к резкой активизации банков при сохранении Центрального банка. Большое развитие получают коммерческие банки, которые создаются в центре с размещением своих филиалов по территории России, и в отдельных регионах.

Особую роль в кредитной системе занимает центральный банк любой страны. Для выяснения его роли в этой системе, в работе была раскрыта деятельность Центрального банка России. Рассмотрены функции и операции, которые Центральный банк Российской Федерации осуществляет в своей деятельности.

В ходе выполнения работы было выяснено, что по своей структуре кредитная система подразделяется на три яруса (звена):

.        Центральный банк.

.        Банковский сектор.

.        Специализированные кредитные организации.

Эта структура характерна для развитых стран мира с некоторыми отличиями, характерными для кредитных систем Западной Европы. Кредитная система Российской Федерации, в целом, сформирована по образу систем стран с развитой экономикой.

Главным звеном банковской системы является коммерческий банк. В связи с этим, подробнейшим образом, была раскрыта деятельность последних в условиях рыночной экономики. Рассмотрены основные операции, выполняемые коммерческими банками на рынке: прием депозитов, осуществление денежных расчетов и платежей, выдача кредитов, операции с ценными бумагами, факторинг, лизинг и т.п.

Исторически Центральные банки возникли в результате централизации денежной эмиссии (выпуска банкнот) в надежных банках.

Функции Центрального банка сводятся к следующему:

·          эмиссия денег (будучи эмиссионным центром страны, он обладает монопольным правом выпуска банкнот и монет);

·          хранение золотовалютного резерва страны;

·          выполнение роли «банка банков» (аккумулирует и хранит кассовые резервы коммерческих банков; открывает вклады и выдает ссуды коммерческим банкам; осуществляет контроль и надзор за деятельностью коммерческих банков; выдает и отзывает лицензии коммерческих банков);

·          денежно-кредитное регулирование (совместно с правительством).

Подводя итог, можно сказать, что Центральный Банк Российской Федерации играет первостепенную роль в создании денег, обладая при этом монопольным правом на их эмиссию, осуществляя денежно-кредитное регулирование (отправляя денежно-кредитную политику государства) совместно с Правительством РФ, что должным образом закреплено федеральным законодательством: Федеральным законом от 10.07.2002 № 86-ФЗ «О Центральном банке Российской Федерации»; Федеральным законом от 02.12.1990 №395-1 «О банках и банковской деятельности»; иными законами и ведомственными актами.

СПИСОК ЛИТЕРАТУРЫ

1.      Федеральный закон от 10.07.2002 № 86-ФЗ «О Центральном банке Российской Федерации (Банке России)» // СЗ РФ, 15.07.2002, № 28, ст. 2790.

2.      Федеральный закон от 02.12.1990 № 395-1 «О банках и банковской деятельности» // СЗ РФ, 05.02.1996, № 6, ст. 492.

.        Анализ и оценка банковской деятельности (на основе отчетности, составленной по российским и международным стандартам) / Под ред. Г.Н. Щербаковой. - М.: Вершина, 2006. - 464 с.

.        Балаш В.А., Гурылева Е.К., Прокофьев С.Е. Организация денежно-кредитного регулирования: Учеб.пособие. Саратов: Издат.центр Сарат гос.экон.академии, 2008. - 356 с.

.        Банковское дело: Курс лекций/ Е.П. Жарковская, И.О. Арендс. - 2- изд. - М.: Омега-Л, 2009. - 400 с.

.        Банковское дело: Учебник/Под ред.д-ра экон.наук, проф. Г.Г. Коробовой. - М.: Экономистъ, 2008. - 751 с.

.        Банки и небанковские кредитные организации и их операции: Учебник / Под ред. Е.Ф. Жукова. - М.: Вузовский учебник, 2004. - 491 с.

.        Барковский Н.Д. Государственный банк СССР накануне Великой отечественной войны.//Деньги и кредит. - 2006. - №8. - с.72-76.

.        Голикова Ю.С, Хохленкова М.А. Банк России: организация деятельности. М.: ООО Издательско-консалтинговая компания «ДеКА», 2010. - 263 с.

.        Голубев С.А. Актуальные вопросы правового регулирования банковской деятельности.//Деньги и кредит. - 2005. - №3 - с.15-19.

.        Деньги, кредит, банки: учебник/ под ред. засл.деят.науки РФ, д-ра экон.наук, проф. О.И. Лаврушина. - 3-е изд., перераб. и доп. - М.: КНОРУС, 2009. - 560 с.

.        Деньги. Кредит. Банки: Учебник/ Г.Е. Алпатов, Ю.В. Базулин и др.; Под ред. В.В. Иванова, Б.И. Соколова. - М.: ТК Велби, Изд-во Проспект, 2008. - 624 с.

.        Долан Э.Дж., Кэмпбелл К.Д., Кэмпбелл Р.Дж. Деньги, банковское дело и денежно-кредитная политика. - М.: ЮНИТИ, 2010. - 396 с.

.        Захаров В.С. О стратегии развития банковской системы.//Деньги и кредит. - 2008. - № 11. - с. 26-35.

.        Климович В.П. Основы банковского аудита: Учебник. - М.: ФОРУМ: ИНФРА-М, 2010. - 192 с.

.        Медведев П.А. Совершенствование банковского законодательства.// Деньги и кредит. - 2009. - № 1. - с. 11-17.

.        Миллер Р.Л., Ван-Хуз Д.Д. Современные деньги и банковское дело/ Пер.с англ. М.: ИНФРА-М, 2010. - 399 с.

.        Мишкин Ф. Экономическая теория денег, банковского дела и финансовых рынков: Учеб.пособие для вузов/ Пер.с англ. М.: Аспект Пресс, 2009. - 401 с.

.        Саркисян Г.С. Банковский надзор: генератор или тормоз развития банковской системы.//Деньги и кредит. - 2006. - № 9. - с.21-23.

.        Сафронов В.А. Формирование Банком России системы мониторинга финансовой устойчивости банковского сектора.//Деньги и кредит. - 2006. - № 8. - с.16-20.

.        Свиридов О.Ю. Деньги, кредит, банки: Экспресс-справочник для студентов вузов. Изд-е 2-е, испр. и доп. - М.: ИКЦ «МарТ»; Ростов н/Д: Издательский центр «МарТ», 2009. - 288 с.

.        Усатова Л.В., Сероштан М.С., Арская Е.В. Бухгалтерский учет в коммерческих банках: Учебное пособие. - 2-е изд., перераб. и доп. - М.: Издательско-торговая корпорация «Дашков и Ко», 2006. - 404 с.

.        Финансы, деньги, кредит в вопросах и ответах: учеб.пособие. - М.: ТК Велби, 2010. - 256 с.

.        Финансы и кредит: Пособие для сдачи экзамена/ Под ред. Г.Н. Белоглазовой. - М.: Юрайт-Издат, 2009. - 208 с.

.        Финансы и кредит: учебник / М.Л. Дьяконова, Т.М. Ковалева, Т.Н. Кузьменко и др.; под ред. проф. Т.М. Ковалевой. - 2-е изд. перераб. и доп. М.: КНОРУС, 2006 - 376 с.

Похожие работы на - Создание денег: роль центрального банка и банковской системы в целом

 

Не нашли материал для своей работы?
Поможем написать уникальную работу
Без плагиата!
Без нейросетей!