Анализ маркетинговой деятельности предприятия ОАО 'Алеся'

  • Вид работы:
    Курсовая работа (т)
  • Предмет:
    Маркетинг
  • Язык:
    Русский
    ,
    Формат файла:
    MS Word
    308,38 Кб
  • Опубликовано:
    2016-02-16
Вы можете узнать стоимость помощи в написании студенческой работы.
Помощь в написании работы, которую точно примут!

Анализ маркетинговой деятельности предприятия ОАО 'Алеся'

Анализ маркетинговой деятельности предприятия ОАО "Алеся"

Содержание

Введение

Раздел 1. Маркетинговые исследования

.1 Информационная база в маркетинге

.2 Сущность и процесс маркетинговых исследований

.3 Исследование рынка

.4 Сегментирование рынка

Раздел 2. Поведение покупателей и потребителей

.1 Исследование потребителей

.2 Поведение организации-покупателя

Раздел 3. Товарная политика

.1 Сущность товарной политики. Товарная номенклатура и ассортимент товаров

.2 Создание нового товара

.3 Исследование и прогнозирование конкурентоспособности товара

.4 Товарный знак

.5 Упаковка и маркировка товара

.6 Сервис в товарной политике

Раздел 4. Сбытовая политика

.1 Структура системы распределения. Каналы сбыта

.2 Оптовая, розничная торговля. Логистика

.3 Рыночные структуры, участвующие в реализации сбытовой политики

Раздел 5. Ценовая политика

.1 Рыночные основы ценовой политики

.2 Установление цен на новые товары

.3 Управление ценами

Раздел 6. Коммуникационная политика

.1 Формирование коммуникационной политики

.2 Массовые коммуникации

.3 Личные коммуникации

Раздел 7. Управление маркетингом

.1 Стратегическое планирование

.2 Организация и контроль маркетинговой деятельности

Заключение

Список использованных источников

Введение


Технологическая практика является одним из важнейших этапов учебного процесса. Основная цель данного этапа - углубленное изучение реальной маркетинговой системы на предприятии с позиций ситуационного анализа. Специальность "Маркетинг" предполагает изучение спроса и предложения, выбор оптимального варианта товарного ассортимента, проведения исследований рынка, анализ покупательских предпочтений. Занимается исследованием рыночной среды, изучением потребителей и их поведения, анализирует потребительские свойства товара и его поведение на рынке. Проводит анализ производственно-сбытовых возможностей предприятия. Оценивает ценовую, товарную, коммуникационную и сбытовую политики предприятия.

Цели и задачи данной практики основываются на всестороннем анализе маркетинговой деятельности предприятия ОАО "Алеся", где ключевая цель - совершенствование и систематизация полученных теоретических навыков по специальности, формирование навыков самостоятельной работы в условиях конкретного предприятия. Цель поэтапно определяет постановку и решение конкретных задач:

1.   Закрепление и углубление теоретических знаний по специальности;

2.      Формирование профессиональной компетентности специалиста;

3.      Подготовка к выполнению профессиональных функций на месте будущей работы;

.        Исследование специфики маркетинговой деятельности конкретного предприятия.

Объектом исследования является предприятие ОАО "Алеся", занимающееся выпуском и реализацией трикотажных изделий на рынках Республики Беларусь. Предметом исследования - маркетинговая деятельность вышеупомянутого предприятия.

Общая характеристика предприятия. Рынок одежды, в том числе трикотажной, как во всем мире, так и в Беларуси в последнее годы развивается динамичными темпами и является одним из перспективных направлений коммерческой деятельности. Увеличение емкости рынка в последние годы составляет около 15%. Увеличение динамики развития трикотажной отрасли становится устойчивой тенденцией в Беларуси на фоне повышения уровня жизни и доходов населения.

ОАО "Алеся" относится к трикотажной отрасли и входит в состав Белорусского государственного концерна по производству и реализации товаров легкой промышленности "Беллегпром". Предприятие является частной коммерческой организацией юридическим лицом, имеет самостоятельный баланс, печать. Общество имеет штампы, бланки со своим наименованием, товарный знак, зарегистрированный в установленном законодательством порядке, расчетный и иные счета в банках. Основной целью деятельности ОАО "Алеся", в соответствии с уставом, является извлечение прибыли. Основными задачами, стоящими перед ОАО "Алеся" в настоящее время, являются обеспечение выполнения целевых показателей на 2011 год, повышение эффективности производственно-хозяйственной деятельности, качества продукции, снижения материалоемкости и энергоемкости продукции, увеличение выручки от реализации, рентабельности и эффективности производства. В соответствии с планами технического развития на предприятии постоянно разрабатываются и реализуются мероприятия, направленные на техническое переоснащение производственных мощностей, экономию материальных, энергетических и трудовых затрат, повышение качества выпускаемой продукции, выполняемых работ и оказываемых услуг.

Текущее финансовое положение предприятия. Выручка (нетто) от реализации в 2010 году превысила аналогичный показатель 2009 года на 2 677 млн. руб., или 43,9%. По отношению к 2008 году выручка от реализации в 2009 году увеличилась на 5 149 млн. руб., то есть в 2,4 раза. Темп роста производственных издержек в 2010 году по отношению к 2009 году увеличился в 2 раза. Опережающие темпы роста выручки от реализации продукции над темпами роста производственных издержек позволили предприятию значительно увеличить эффективность производственно-хозяйственной деятельности. В 2009-2010 гг. предприятие получило прибыль от реализации, а также чистую прибыль, то есть вышло на устойчиво прибыльную работу. Коэффициенты ликвидности и обеспеченности собственными оборотными средствами (К 1 и К 2) на протяжении анализируемого периода имеют значения, превышающие нормативные, что является основанием для признания структуры баланса удовлетворительной, а финансового состояния предприятия - устойчиво стабильным. Коэффициент оборачиваемости оборотных средств свидетельствует об ускорении оборачиваемости и повышении эффективности использования чистого оборотного капитала в текущем году. Соотношение дебиторской и кредиторской задолженности предприятия свидетельствует о пассивном сальдо баланса, характеризующемся преобладанием кредиторской задолженности над дебиторской. При этом на конец 2010 года это соотношение улучшилось и составило 0,7 по сравнению с 0,62 на начало года. Анализ оборачиваемости задолженности предприятия показывает сокращение длительности оборота дебиторской задолженности с 73 до 52 дней, кредиторской задолженности - со 118 до 74 дней, что характеризует ускорение оборачиваемости задолженности предприятия и сокращение сроков расчетов с дебиторами и кредиторами.

Краткая история. Возникновение предприятия было обусловлено развитием трикотажной отрасли в Беларуси. Становление трикотажного предприятия началось 20 июня 1958 года, когда артель "Светлый путь" была переименована в артель "Красный три котажник". 1 июля 1961 годы было решено объединить фабрику имени Н.К. Крупской и артель "Красный трикотажник", в результате чего была образована фабрика имени Н.К. Крупской. Вновь созданное предприятие размещалось в двух приспособленных под производство одноэтажных корпусах. 3 августа 1962 года фабрика имени Н.К. Крупской была объединена с фабрикой "Прогресс", в результате чего предприятие получило название "Прогресс". Эту дату принято считать датой официального образования предприятия. В то время предприятие было оснащено оборудованием 1948-1950 годов выпуска. Ассортимент трикотажных изделий в то время был очень невелик - варежки, перчатки, шапки, джемпера - и характеризовался самой низкой категорией качества. В связи с отсутствием средств у государства на строительство новых корпусов коллектив вновь сформированного предприятия поставил перед собой задачу построить новую фабрику своими руками за счет средств предприятия, хозяйственным способом. За 2,5 года силами трудового коллектива фабрики был построен и сдан в эксплуатацию двухэтажный производственный корпус, где было установлено новое технологическое оборудование. В последующие 5 лет был построен четырехэтажный административный корпус с клубом на 500 мест и столовой на 250 посадочных мест. Производственные цеха были оснащены современным технологическим оборудованием как импортного, так и отечественного производства: кругловязальными и плосковязальными машинами "Мультикомет", "Одзинов", "Унио", "Метин", ПВПЭМ, ПВРК и т.д., швейным оборудованием фирмы "Римольди" и др. 12 мая 1975 года трикотажная фабрика "Прогресс" была переименована в Минское производственное трикотажное объединение "Прогресс". 1 апреля 1986 года в связи с реорганизацией МПТО "Прогресс" предприятие было переименовано в Минскую опытно-экспериментальную фабрику верхнего трикотажа. В свою очередь, 20 ноября 1986 года Минская опытно-экспериментальная фабрика верхнего трикотажа была переименована в Республиканский Дом моделей трикотажных изделий. 16 апреля 1991 года статус Республиканского Дома моделей трикотажных изделий был изменен в связи с очередным переименованием его в Минскую промышленно-торговую трикотажную фирму "Алеся", которая 31 октября 2000 года была преобразована в ОАО "Алеся" в соответствии с законодательством Республики Беларусь об акционерных обществах и приватизации государственной собственности.

Схема управления организации и отдела маркетинга. В условиях рыночной экономики предприятиям и организациям необходимо быстро реагировать на изменения внешней среды и адаптировать свои организационные структуры к этим изменениям. Под структурой управления организацией понимается упорядоченная совокупность взаимосвязанных элементов, которые находятся между собой в постоянных отношениях, которые обеспечивают их функционирование и развитие как единого целого. Элементами структуры являются отдельные рабочие, службы и другие звенья аппарата управления. Для ОАО "Алеся" характерна следующая организационная структура:

Схема 1. Организационная структура ОАО "Алеся"

Как мы видим в данной схеме, структура разработана сверху вниз. Сначала руководители - собрание акционеров, наблюдательный совет и генеральный директор, затем директора других подразделений и.т.п. При этом руководители регламентируют деятельность каждого отдела (которая предусмотрена в положениях об отделах), а более мелкие организационные подразделы выполняют вспомогательные и дополнительные функции, для того, чтобы эффективнее использовать специализацию и избегать перегрузки руководства. Таким образом, данная организационная структура более всего схожа со структурами бюрократического типа.

Функциональные обязанности сотрудников отдела маркетинга. Функции маркетинга на предприятии выполняет отдел материально-технического снабжения, маркетинга и сбыта. Отдел материально-технического снабжения, маркетинга и сбыта на ОАО "Алеся" построен по функциональному принципу. В отделе работает 6 человек, которые выполняют функции закупки, сбыта и маркетинга. Схематично отдел МТСМиС можно представить следующим образом:

Схема 2. Структура отдела ОМТСМиС

Все работники ОМТСМиС подчиняются начальнику ОМТСМиС. Отдел ОМТСМиС является самостоятельным структурным подразделением и подчиняется директору ОАО "Алеся". Маркетологи отдела МТСМиС в соответствии с должностной инструкцией выполняют функции, связанные с осуществлением маркетинговых исследований, оценкой деятельности конкурентов, прогнозированием экономической ситуации, организацией рекламы и т.д. Все должностные обязанности, возлагаемые на маркетологов ОМТСМиС, соответствуют выполняемым ими функциям, см. таблицу 1.

Таблица 1. Функциональные обязанности сотрудников отдела маркетинга.

Функция маркетинга

Наименование структурного подразделения

 Должность работника, выполняющего функцию

Должностные обязанности в связи с выполнением функции

Изучение рынка

 ОМТСМиС

 маркетолог

Осуществлять исследования спроса, как определение сегментов рынка через группы критериев сегментации в целях обеспечения рыночного успеха предприятия.

Анализ и исследование конкурентов

 ОМТСМиС

 маркетолог

Давать оценку сильных и слабых сторон деятельности конкурентов в целях определения возможных вариантов рыночной доли.

Прогноз сбыта

 ОМТСМиС

 маркетолог

Анализировать систему сбыта продукции в целях выявления возможностей и эффективности сбыта через альтернативные каналы.

Анализ экспортных возможностей

 ОМТСМиС

Специалист по маркетингу

 Проводить всесторонний анализ внешнеэкономической деятельности предприятия, разрабатывать предложения и мероприятия по развитию внешнеэкономических связей.

Анализ и оценка эффективности экономической деятельности предприятия

 ОМТСМиС

 маркетолог

Анализировать показатели производственно-сбытовой деятельности предприятия для определения эффективности его деятельности по каждому из направлений производства и сбыта, выявления целесообразности изменения или сохранения стратегии по этим направлениям.

Анализ финансового состояния предприятия

 ОМТСМиС

 маркетолог

Анализировать финансовое состояние предприятия для определения способности финансировать существующие и перспективные направления деятельности.

Формирования баз данных и знаний

 ОМТСМиС

 маркетолог

Организовывать накопление и хранение информации, собранной через маркетинговые исследования

Организация и развитие рекламы и рекламных акций

 ОМТСМиС

 маркетолог

Определять наиболее эффективные направления рекламной деятельности, анализировать результаты рекламных мероприятий и на их основе давать предложения по изменению ассортимента выпускаемых моделей.

Прогнозирование экономической ситуации

 ОМТСМиС

 маркетолог

Давать прогноз экономической ситуации, которая может повлиять на условия сбыта на рынке РБ, ближнего и дальнего зарубежья.

Руководство и анализ работы фирменной торговли и фирменных секций.

 ОМТСМиС

 маркетолог

Контролировать работу фирменного магазина с точки зрения соответствия требованиям действующего законодательства и своевременности и полноты обновления ассортимента.



Распределение обязанностей между сотрудниками ОМТСМиС осуществляется по функциональному принципу, что дает возможность качественного выполнения должностных обязанностей всеми сотрудниками. А разделение рынков сбыта по географическому принципу делает закупочно-сбытовую деятельность еще более эффективной. В данном случае за каждым сотрудником закреплены конкретные обязанности, за выполнение которых он отвечает перед начальником ОМТСМиС. Все маркетинговые решения на предприятии принимаются начальником ОМТСМиС, что во многом снижает скорость их принятия. Однако при такой системе принятия решений существует низкая вероятность принятии решения некомпетентным в данном вопросе сотрудником.

 

Раздел 1. Маркетинговые исследования


В условиях рыночной экономики повышается роль и влияние маркетинговых исследований на деятельность предприятий. Маркетинговые исследования представляют собой упорядоченный процесс сбора, обработки и анализа данных с целью уменьшения неопределенности, сопутствующей принятию маркетинговых решений. Иными словами, характеризуют тот недочет информации, который обязан быть ликвидирован для предоставления руководителям способности разрешать маркетинговые трудности. Следовательно, главным моментом определения целей исследования является выявление специфичных типов информации, полезной менеджерам при решении вопросов управления маркетингом.

 

.1 Информационная база в маркетинге


Маркетинговую информационную систему можно трактовать как совокупность процедур и действий, направленных на сбор, обработку и анализ информации для принятия оперативных маркетинговых решений на регулярной, неизменной основе. Маркетинговая информационная база должна рассматриваться как часть постоянно работающего интегрированного информационного процесса. Необходимо, чтобы предприятие разрабатывало и совершенствовало систему постоянного наблюдения за окружающей средой и хранения данных для того, чтобы эти данные могли анализироваться в будущем.

В любой компании существует внутренняя отчетность, отражающая текущие характеристики сбыта, суммы издержек, объемы материальных запасов, данные о дебиторской и кредиторской задолженности; где применение ЭВМ позволяет создать такие системы внутренней отчетности, которые способны обеспечить информационный сервис всех собственных подразделений. На предприятии "Алеся" широко используются такие источники, как бизнес-план, план маркетинга, отчеты отделов маркетинга и рекламы, материально-технического снабжения, стратегического развития, планово-экономического отдела и отдела продаж; бухгалтерский баланс и отчетность, прайс-лист продукции ОАО "Алеся", каталог стандартов и др.

Система сбора наружной (внешней) текущей маркетинговой информации обеспечивает управляющих информацией о самых последних событиях. Это набор источников и методических приемов, посредством которых руководители получают повседневную информацию о событиях, происходящих в коммерческой среде. Исследуемое предприятие использует повсеместно применяемые источники, такие как законы, указы, постановления государственных органов; данные официальной статистики, результаты научных исследований. В целях конкретизации приведем перечень используемых ОАО "Алеся" вторичных источников:

1.   печатные издания общей экономической направленности (газеты "Республика", "Экономическая газета"; журналы "Маркетинг", "Экономика, финансы, управление" и.т.д.);

2.      периодические издания (к примеру, газеты "Из рук в руки", "Советская Белоруссия", и др.);

.        каждодневные газеты;

.        газеты бесплатных объявлений;

.        электронные средства массовой информации (телевидение, радио, информационные интернет-порталы);

.        наружная реклама;

.        статистический ежегодник Белорусского статистического комитета "Беларусь в цифрах";

.        публикации специализированных экономических и маркетинговых организаций.

Также, к источникам наружной вторичной информации относятся: выставки, ярмарки, совещания, конференции, презентации, дни открытых дверей, коммерческие базы и банки данных.

Поскольку названные источники доступны каждому, дело заключается в том, чтобы максимально оперативно и пристально следить, собирать и оценивать информацию.

 

1.2 Сущность и процесс маркетинговых исследований


Как уже говорилось выше, маркетинговые исследования представляют собой процесс сбора, обработки и анализа данных, направленных на решение проблем связанных с маркетингом товаров и услуг. Исследованиям подвергаются рынок, конкуренты, потребители, цены, внутренний потенциал компании. Исследование рынка предполагает определение его состояния, тенденций развития, что может помочь выявить недочеты сегодняшней маркетинговой политики и подсказать способы и пути ее совершенствования в будущем.

Для ОАО "Алеся" маркетинговые исследования чрезвычайно важны, так как в легкой промышленности, а в частности и на рынке трикотажных изделий, конкуренция носит глобальный и очень интенсивный характер. Поэтому, чтобы оставаться рентабельным и получать прибыль, предприятию необходимо следить за малейшими изменениями в потребительских предпочтения.

Маркетинговыми исследованиями на предприятии занимается ОМТСМиС в соответствии с годовым планом маркетинга. Маркетинговые исследования выполняют сотрудники отдела маркетинга, а по потребителям, с которыми заключены контракты - сотрудники отделов продаж в РБ и в странах СНГ. Специалисты данного отдела обладают достаточной квалификацией, однако, материально-техническая база отсутствует. Это связано с отсутствием на предприятии широкой практики проведения маркетинговых исследований. Предприятие не взаимодействует с внешними организациями, маркетинговыми фирмами, проводя маркетинговые исследования собственными силами.

Маркетинговые исследования на ОАО "Алеся" осуществляются по следующим основным направлениям:

1.   Анализ и изучение рынков (разделение рынков, выделение предпочтительных, сегментация и позиционирования рынка);

2.      Изучение поведения потребителей на рынках;

.        Изучение рыночной конъюнктуры, колебаний спроса и предложения по конструктивным группам продукции;

.        Анализ динамики цен конкурентов (заводов-изготовителей, дистрибьюторов, посреднических структур);

Отчеты и рекомендации, разрабатываемые в процессе маркетинговых исследований, носят узкий характер.

На предприятии за последний год было проведено исследование оценки удовлетворенности потребителей по сотрудничеству с ОАО "Алеся". Целью данного исследования стало выявление удовлетворенности организаций-покупателей сотрудничеством с ОАО "Алеся". В качестве метода исследования был выбран опрос. В данном случае в качестве основной формы опроса было выбрано анкетирование потребителей целевого сегмента, которое представляет собой письменные опрос по структурированной проблеме, при котором респонденту предлагается лично заполнить анкету. В качестве исследовательской базы была использована как вторичная, так и первичная информация. Респондентам, в качестве которых были выбраны торговые организации Республики Беларусь, было предложено заполнить две анкеты. Первая анкета предполагала дачу сравнительной характеристики ОАО "Алеся" с ее основными конкурентами по показателям имиджа, качества, дизайна, упаковки и т.д. Для сравнительной оценки использовалась балльная шкала от 1 до 5. Вторая анкета использовалась для оценки удовлетворенности организаций по десятибалльной шкале. В результате исследования была получена информация об удовлетворенности по сотрудничеству с предприятием, были выявлены причины низкой оценки по некоторым вопросам сотрудничества, дана сравнительная характеристика предприятия, а также сформулированы предложения по улучшению работы ОАО "Алеся".

На основании вышеописанного маркетингового исследования можно составить план исследования:

) Цель исследования. Для данного исследования, главное - выявление степени удовлетворенности организаций-покупателей сотрудничеством с ОАО "Алеся".

) Решаемые задачи:

А) Анализ проблемы ценообразования;

Б) Определение степени удовлетворенности покупателей ассортиментом выпускаемой ОАО "Алеся" продукции;

В) Исследования конкурентов.

) Предполагаемые результаты. Укрепление конкурентных позиций предприятия, определение предпочтений целевых потребителей, в целом - проверка достоверности гипотезы и поиск путей решения проблемы.

) Приблизительная смета на проведение исследования.

∑затрат = оплата услуг лиц, принимавших участие в разработке и организации МИ + канцелярские расходы ≈ 10000000 + 200000 = 10200000 руб.

 

1.3 Исследование рынка


Рынок одежды, в том числе трикотажной, как во всем мире, так и в Беларуси в последнее годы развивается динамичными темпами и является одним из перспективных направлений коммерческой деятельности. Если заглянуть в прошлое, то на сегодня рынок трикотажных изделий совершил большой прорыв. Судите сами. Во времена Советского Союза вся лёгкая промышленность, в том числе и трикотажная, работала по государственному заказу, поэтому изготовителям не приходилось самостоятельно решать такие проблемы как конкурентоспособность, расширение ассортимента, сбыт продукции, спрос на швейно-трикотажные изделия. Белорусская трикотажная отрасль во времена СССР развивалась в направлении увеличения объемов производства, при этом проблемы реализации предприятия-производителей продукции практически не волновали. Продукция трикотажных предприятий изначально была рассчитана на людей среднего и пожилого возраста с достатком ниже среднего, и следует отметить, что данный стереотип до сих пор очень силен в сознании потребителя. Что же мы видим на сегодняшний день? Повышенным спросом пользуется повседневная одежда для молодежи. Причины понятны: трикотажное полотно изготавливается в основном из хлопка, допускается небольшое содержание синтетики. Для верхней одежды идут практичные смесовые материалы. Такие вещи очень ноские и неприхотливы в использовании. Поэтому трикотажная одежда становится все более популярной в мире. Об этом также свидетельствуют и данные опроса, проведенного в рамках исследований в г. Москве, где 65% москвичек предпочитают трикотажную одежду текстильной. Доля верхних изделий в общем объеме трикотажного производства составляет около 40%. Спрос на качественный трикотаж объясним многими факторами: благодаря натуральным волокнам (допускается незначительное содержание синтетики) вещи из него приятны для тела, долго носятся, не требуют сложного ухода. Современный рынок трикотажных изделий по официальным данным благодаря интенсивному росту производства и официального импорта (в процентном соотношении его доля немногим больше 40%) по сравнению с кризисными годами увеличился в 2,5 раза. А ежегодный темп емкости рынка в последние годы составляет около 15%. Исходя из перечисленных факторов, мы видим, что увеличение динамики развития трикотажной отрасли становится устойчивой тенденцией в Беларуси на фоне повышения уровня жизни и доходов населения.

Используя создавшиеся благоприятные условия, ОАО "Алеся" активно завоевывает рынки ближнего зарубежья. Если в 2007 году удельный вес поставок за пределы РБ (в основном в Российскую Федерацию) составлял 7,7%, в 2010 году он достиг уже 34,4%. В 2011 году предприятие планирует увеличить объем экспорта продукции до 3,3 млрд. руб., или 45% в общем объеме реализации. Активно развивается товаропроводящая сеть предприятия как на территории РБ, так и за ее пределами. Так, в 2009 году предприятие планировало открыть собственный фирменный магазин в Российской Федерации. На основании проведенных маркетинговых исследований для этого был выбран г. Москва. В РБ в настоящее время ОАО "Алеся" имеет три фирменных магазина, расположенных в центре г. Минска и около 10 фирменных секций, расположенных в торговых центрах по всей республике. Фирменные магазины и секции позволяют предприятию наиболее полно представить ассортиментный перечень производимой продукции, предложить потребителю весь размерный ряд и определиться с покупкой.

Однако в условиях жесточайшей конкуренции предприятию необходимо смотреть в перспективу. Это значит - осуществлять регулярный поиск новых потенциальных потребителей и путей максимального удовлетворения потребительского спроса на продукцию, где, в первую очередь, служба маркетинга предприятия должна внимательно изучать данные о коммерческих структурах, имеющих непосредственное отношение к трикотажу.

Как уже говорилось, белорусские предприятия, в том числе и ОАО "Алеся", ведут хозяйственную и сбытовую деятельность в условиях жесточайшей конкуренции. На внутреннем рынке это большой объем трикотажных изделий из азиатских стран - Китая, Индии, Пакистана, Малайзии и т.д., имеющий невысокое качество и плохой состав пряжи, но обладающий привлекательной ценой и заполонивший собой практически все рынки республики. На российском рынке, помимо азиатской продукции, конкурентную среду ужесточают многие российские производители, а также многочисленные европейские брэнды, размещающие заказы на производство фэшн-трикотажа в тех же странах Азии с целью минимизации издержек на производство. Среди сдерживающих факторов для белорусского трикотажа на российском рынке следует также отметить политику закупок большинством российских ритейлеров, предпочитающих максимизировать прибыль от продажи изделий путем приобретения товара невысокого качества по никой закупочной цене. В силу ряда перечисленных причин продвижение белорусской трикотажной продукции на российском рынке, несмотря на его кажущуюся привлекательность, до сих пор остается достаточно проблематичным.

На сегодняшний день основными конкурентами ОАО "Алеся" на белорусском рынке являются следующие предприятия:

1.   ОАО "Бобруйсктрикотаж";

2.      ОАО "Полесье" (г. Пинск);

.        ОАО "Брестская трикотажная фирма "Элма";

.        УП "Ромгиль" (Слоним);

.        СП "Трикотажная фабрика "Ареола" (г. Минск).

Кроме того, существуют небольшие частные производства, обеспечивающие выпуск трикотажной продукции и реализующие ее как на территории республики, так и за ее пределами. Таким образом, кокурентную среду ОАО "Алеся" можно разделить на подгруппы и представить в виде таблицы 2.

Конкурирующие предприятия имеют следующие преимущества перед ОАО "Алеся":

1.   Наличие собственной рыночной ниши на региональных рынках;

2.      Жесткий контроль над издержками и установление конкурентоспособных цен на продукцию;

.        Гибкость производства и возможность выпуска малых партий, диверсификация производства.

Таблица 2. Кокурентная среда ОАО "Алеся".


Конкурентными преимуществами ОАО "Алеся" перед прочими белорусским производителями, в свою очередь, являются:

.     Большие производственные мощности и объемы производства

2.      продукции;

.        Наличие фирменных магазинов и товаропроводящих сетей;

.        Постоянное обновление ассортимента;

.        Наличие собственных оборотных средств;

.        Возможность установления конкурентоспособных цен на продукцию в силу снижения удельного веса условно-постоянных издержек в цене единицы продукции.

Из всего вышесказанного можно сделать слудующий вывод: в настоящее время рынок качественной одежды имеет в республике достаточно привлекательные перспективы. Одновременно с этим на рынке наблюдается достаточно жесткая конкуренция, в особенности со стороны низкокачественных изделий из стран Азии, в широком ассортименте представленных на многочисленных рынках Республики Беларусь. Следовательно, основной задачей маркетинга предприятия является постепенное выстраивание маркетинговой стратегии, обеспечивающей потребителя информацией о ценности трикотажных изделий высокого качества из натуральных волокон. Для достижения этого необходима разработка и реализация маркетинговой политики, включающей в себя многочисленные аспекты.

 

.4 Сегментирование рынка


Сегментация рынка - это маркетинговая деятельность предприятия по классификации потенциальных потребителей в соответствии с их требованиями, особенностями спроса или реакция потребителей на те или иные маркетинговые мероприятия. Цель сегментации рынка - максимальное удовлетворение потребностей потребителей, через обеспечение адресности выпускаемых товаров. Сегмент рынка может быть определен по-разному, но, в сущности, - это особым образом выделенная часть рынка, группа потребителей, продуктов или предприятий, обладающих определенными общими признаками (признаком). Рынки состоят из покупателей, а покупатели отличаются друг от друга по самым разным параметрам. Разными могут быть потребности, ресурсы, географическое положение, покупательские отношения и привычки. И любую из этих переменных можно рассматривать в качестве основы для сегментирования рынка. В качестве основы для сегментирования рынков товаров трикотажного производства можно использовать те же переменные, что используются при сегментировании всех потребительских рынков. То есть, покупателей товаров для конечного потребления можно сегментировать по географическому принципу и по ряду поведенческих переменных, на основе искомых ими выгод, статуса пользователя, интенсивности потребления, степени приверженности, готовности к восприятию товара и отношения к нему и др. Однако не стоит забывать, что сегментирование по всем перечисленным параметрам было бы весьма затратным и продолжительным. Поэтому предприятию необходимо разработать единый пошаговый план сегментирования, который позволил бы вычленить из общей массы один или несколько целевых сегментов.

Целевой маркетинг на ОАО "Алеся" требует проведения сегментирования в виде трех основных мероприятий:

1.   Сегментирование рынка, разбивка рынка на четкие группы покупателей, для каждой из которых могут потребоваться отдельные товары и/или комплексы маркетинга. На данном этапе предприятие определяет разные способы сегментирования рынка, составляет профили полученных сегментов и оценивает степень привлекательности каждого из них.

2.      Выбор целевых сегментов рынка, оценка и отбор одного или нескольких сегментов рынка для выхода на них со своими товарами.

.        Позиционирование товара на рынке, обеспечение товару конкурентного положения на рынке и разработка детального комплекса маркетинга.

Данный процесс можно изобразить в виде схемы:

Схема 3. Мероприятия целевого маркетинга.

Рассмотрим основные принципы сегментирования рынка, выбора целевых сегментов и позиционирования товара на ОАО "Алеся". Для примера возьмем рынок верхнего трикотажа. Условно рынок верхних трикотажных изделий ОАО "Алеся" делиться на четыре части: рынок Республики Беларусь; рынок Российской Федерации; рынки стран Прибалтики, рынок Дальнего зарубежья (Азия, Европа). Рынок Республики Беларусь. Так как, отечественный рынок характеризуется низкой покупательской способностью основной части населения и высокой степенью чувствительности к изменению цен, необходима ориентация производства на сегменты, предпочитающие качественные, но недорогие изделия. Целесообразно уделить отдельное внимание молодежи и пенсионерам, так как данные потребительские группы представляют собою значительную часть потенциального рынка ОАО "Алеся. Важную роль будут играть социально-экономические и поведенческие признаки сегментирования. Российский рынок. Для определения перспектив реализации продукции предприятия в России, как основного экспортного потребителя, был проведен анализ развития рынков ее регионов, что позволило определить регионы с максимально возможными потребностями, а также те, выход на которые имеет большую перспективу. Выяснилось, что данный рынок характерен продолжающейся дифференциацией продаж в зависимости от качества продукта:

1.   оптовые продажи на вещевых рынках продукции невысокого качества по низким ценам;

2.      продажи в магазинах розничной торговли высококачественной продукции по относительно высокой цене.

Следовательно, сегментирование должно производиться отдельно по каждой категории продаж, так как очевидны разительные отличия в требованиях сегментов (Здесь речь идет о потребительских и деловых рынках). Рынки стран Прибалтики. В этом регионе, особенно после присоединения трех прибалтийских стран к Европейскому союзу и притока на рынок высококачественных товаров известных торговых марок, характерны растущие требования к качеству продукции, упаковке, срокам исполнения заказа, широте товарного ассортимента. Вероятны значительные изменения в составе целевого сегмента предприятия, данные рынки требуют наиболее широкого и полного изучения. Мировой рынок. В целом для мирового рынка характерна достаточно высокая степень насыщенности, жесткие сроки поставок и высокая конкуренция, сложившиеся устойчивые связи. В связи с этим желательно завоевать один, широкий по охвату, сегмент - например, зрелых людей (мужчин и женщин) в возрасте от 35 до 50 лет, с высоким уровнем дохода.

Решив, на каком сегменте выступать, предприятие должно решить, как проникнуть на этот сегмент. Тем более что выбранный сегмент устоялся, и конкуренты уже заняли свои "позиции". Таки образом, для того чтобы решить вопрос о собственном позиционировании, ОАО "Алеся" должно определить позиции имеющихся конкурентов. Покупателей целевого сегмента в первую очередь интересуют два параметра: цена и качество. Схема позиционирования трикотажных изделий по цене и качеству ОАО "Алеся" и наиболее крупных отечественных конкурентов представлена на рис. 1 (выделенные области на рис. 1 пропорциональны объемам продаж каждого из конкурентов).

Рис. 1. Схема позиционирования по цене и качеству.

Как видим, СП "Ареола" считается производителем самых дорогих по пошиву и выбору возможностей вязки изделий, а УП "Ромгиль" - самых качественных. ОАО "Элма" производит изделия достаточно высокого качества, но с ограниченными возможностями вязки; ОАО "Бобруйсктрикотаж" - производитель трикотажа с качеством выше среднего и удовлетворительными возможностями вязки. ОАО "Полесье" и ОАО "Алеся" производят изделия высокого качества, при этом цены на их изделия являются наиболее низкими по некоторым ассортиментным позициям. Следует также отметить, что ни одно предприятие не производит низкокачественного товара по низким ценам, что более характерно для производителей из азиатского региона. С учетом вышеизложенного, ОАО "Алеся" может позиционировать себя так, как это показано на данный момент на рис. 1. Получаем, что возможность улучшения качества продукции появляется только при увеличении затрат на оборудование и персонал. Это возможно в случае, если: во-первых, модернизировать старое оборудование, либо приобрести новое, что позволит расширить возможности вязки; во-вторых, повысить квалификацию персонала для улучшения качества производимых товаров. Конкурентными преимуществами реализуемой продукции станут высокое качество продукции в широком смысле, доступные для широкого круга потребителей цены, а также положительный имидж предприятия и его продукции, который будет упрочен вследствие реализации комплекса маркетинга.

В целях контроля за повышением эффективности производственной и сбытовой деятельности предприятия планируется постоянное проведение анализа эффективности управления маркетингом. Анализ эффективности управления маркетингом целесообразно основывать на расчете динамики показателей, характеризующих прибыльность коммерческой организации и ее конкурентоспособность:

1.   Объем реализации продукции в натуральном и стоимостном выражении (в действующих и сопоставимых ценах);

2.      Объем спроса на различную продукцию в разрезе ассортиментных

.        перечней с учетом сезонности спроса (емкость рынка);

.        расходы на маркетинг и рекламу;

.        коэффициент конкурентоспособности.

Вывод: так как компания работает не нескольких сегментах рынка и представители каждого из этих сегментов имеют свою систему ценностей, то, соответственно, и требования у них различны. Нельзя не учитывать психографические характеристики потребителей, которые могут значительно варьироваться даже в пределах одного и того же сегмента. Представители одного из сегмента отличаются невысоким уровнем дохода, однако предпочитают идти в ногу со временем. ОАО "Алеся" предлагает для данного сегмента модные, качественные, но достаточно недорогие изделия. Поэтому, в настоящее время предприятие серьезно работает над разработкой новых моделей в соответствии с мировыми модными тенденциями в целях увеличения охвата покупателей с достатком выше среднего, а также молодежь. Также одним из сегментов являются пенсионеры, которые, как правило, носят одежду более трех лет, и поэтому значимыми характеристиками для них является долговечность изделий ОАО "Алеся". Модным тенденциям они предпочитаются классическую линию, которую выпускает ОАО "Алеся".

Также, в рамках проведенного сегментирования рынка было решено, что стратегия предприятия должна быть направлена на удовлетворение покупательского спроса на стильную женскую и мужскую одежду из трикотажа из высококачественного сырья, продолжена линия мужских джемперов, свитеров.

 

Раздел 2. Поведение покупателей и потребителей


Поведение потребителей и покупателей - это сфера деятельности, которая актуальна для тех, кто старается добиться успеха на рынке, используя различные методы изучения и управления потребительским (покупательским) поведением. С развитием рыночных отношений и усилением конкуренции в РБ работа с ними должна занимать центральное место в комплексе маркетинга организаций разного уровня и профиля. Н. Остин и Т. Петерс в книге "Страсть к совершенству" пишут о том, что для достижения успеха в бизнесе нужно заботиться о потребителях с помощью отличного качества товаров и услуг, а так же планомерно обновлять ассортимент продукции. Ф. Котлер подтверждает данное изречение: "Продолжающийся рост количества продуктов и конкурентов на рынке свидетельствует о том, что на смену дефицита товаров пришел дефицит потребителей. В результате именно они стали центром рыночной вселенной.

 

2.1 Исследование потребителей


Поведение потребителя - это деятельность, направленная непосредственно на получение, потребление и распоряжение продуктами и услугами, включая процессы принятия решений, которые предшествуют этим действиям и следуют за ними. В любой момент жизни человек испытывает массу потребностей. Потребность становится мотивом в том случае, когда она заставляет человека действовать, а ее удовлетворение снижает психологическое напряжение. Психологами разработано несколько основных концепций мотивации человека. Самые известные из них - теории З. Фрейда, А. Маслоу и Ф. Герцберга - приводят своих сторонников к совершенно разным выводам относительно исследований потребителей и стратегии маркетинга. Однако какие бы выводы служба маркетинга предприятия не сделала, не следует забывать, что потребность на рынке трансформируется в покупательский спрос. Спрос конкретизирует потребность, очерчивает ее границы, делает измеримой. И именно, правильно рассчитанные, размер и качество данной потребности предопределяют успешность деятельности предприятия.

Для проведения исследования отношения потребителей к конкретному товару (в нашем случае к трикотажным изделиям ОАО "Алеся") были применены следующие инструменты исследования:

1.   разработано и проведено анкетирование среди потребителей;

2.      построена матрица удовлетворенности/неудовлетворенности.

В результате в анкетировании приняло участие 46 человек, из них 38 участниц и 8 участников. Средний возраст респондентов 23, 4 года, из них:

человека в возрасте менее 18 лет, большинство,31 человек - выбрали вариант от 18 до 30 лет, и одиннадцать- от 30 до 60. Вариант ответа "более 60" не выбрал ни один участник.

В дальнейшем, будут приведены расчеты по респондентам, которые дали положительный ответ на вопрос "Приобретали ли Вы когда-нибудь продукцию ОАО "Алеся" - таковых 30 человек или 65,2%.

На вопрос о степени известности торговой марки "Алеся" большинство респондентов (19 чел. или 63,3%) ответили, что хорошо знакомы с продукцией данного предприятия, 10 человек (33,3%) недостаточно знакомы с торговой маркой, а 1 человек (3,3%) впервые слышит о предприятии.

На третий вопрос анкеты (Как часто Вы приобретаете продукцию данного производителя?) 14 участников опроса указали вариант "редко", 11 человек ответили "иногда", часто покупают продукцию "Алеся" 3 участника и 2 участника приобретает изделия "Алеся" постоянно.

Качество продукции "Алеся" было оценено следующим образом: 3 участников охарактеризовали его как отличное, 12 участников признали качество хорошим, 13 человек высказали нейтральную позицию - "удовлетворительное", и 2 посчитали качество плохим. Следует отметить, что вариант ответа "отвратительное" не выбрал ни один участник.

В пятом вопросе требовалось оценить дизайн изделий "Алеся" относительно аналогичной продукции конкурентов, в итоге относительно большая часть респондентов (8 чел.) поставила 8 баллов из 10 возможных. Также:

·    Ни один участник не поставил 1 и 2 балла;

·        на 3 и 4 балла дизайн оценили по 2 участника;

·        5, 6, 7 баллов выставило соответственно 5, 5 и 6 участников;

·        9 и 10 баллов поставило по 1 участнику.

Среднее значение удовлетворенности составило 6,5 балла.

Для продукции конкурента соответствующее значение составило 6,8 балла.

На вопрос "Считаете ли вы ОАО "Алеся" лидером на рынке трикотажных изделий РБ?" положительно ответили 9 человек, что составляет 30,0% опрошенных, отрицательно на этот вопрос ответил 21 респондент (70,0%).

В седьмом вопросе у участников требовалось определить, привлекательна ли для них продукция ОАО "Алеся", в результате 16 участника (53,3%) сказали "да" и 14 (46,7%) высказались негативно.

На вопрос "Будете ли вы покупать в дальнейшем продукцию ОАО "Алеся"? 26 участников ответили положительно, и 4 ответили "нет".

Если рассматривать моду в иерархии факторов, приведенных в последнем вопросе, влияющих на принятие решения при покупке трикотажной одежды, то она относится к числу наиболее важных и значимых факторов (указали 24 респондента). Что касается других параметров, наиболее важными факторами, влияющими на покупку трикотажной одежды среди опрошенных, являются:

·    добротность и долговечность - 19;

·        функциональность и качество - 16;

·        цена - 16.

Такая ситуация объясняется как раз невысокими доходами. Большая часть респондентов желает приобретать качественную и долговечную одежду по достаточно низким ценам. Наименее важные факторы, с точки зрения респондентов:

·    Страна - производитель одежды - 9 ;

·        бренд - 8;

·        уникальность фасона, модели - 4.

Судя по всему, такое мнение обусловлено большим количеством низкокачественной одежды из Китая, Турции и т. п. Поэтому при наличии достаточного количества качественной одежды покупатель не будет обращать внимания на страну, в которой произведена одежда, а примет решение о покупке, руководствуясь другими факторами.

По итогам вышеописанного анкетирования была построена матрица удовлетворенности/неудовлетворенности, смотрите рисунок 2:

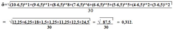
Рис. 2. Матрица удовлетворенности/неудовлетворенности для ОАО "Алеся"

Этапы построения матрицы удовлетворенности/неудовлетворенности.

1.   Определение среднего значения удовлетворенности для ОАО "Спартак":

2.   Определение среднего квадратического отклонения для ОАО "Алеся":


3.   Определение среднего значения удовлетворенности для УП "Ромгиль":

4.   Определение среднего квадратического отклонения для УП "Ромгиль":


Исходя из матрицы удовлетворенности/неудовлетворенности, следует вывод, о том, что данные покупатели переориентированы на товары конкурентов. Для увеличения количества лояльных потребителей ОАО "Алеся" необходимо провести ряд маркетинговых исследований, цель которых выяснить, что именно заставляет потребителей выбрать продукцию конкурента. Так как большинство опрошенных отметили качество продукции лишь удовлетворительным, рационально будет повышать данный показатель, посредством совершенствования используемых технологий и методик производства, закупки более качественных материалов, сотрудничества с зарубежными предприятиями производящими трикотажные изделия.

 

2.2 Поведение организации-покупателя


Обеспеченность высококачественным сырьем в трикотажной отрасли промышленности является одной из сложнейших проблем. Приобретаемые сырье и материалы должны соответствовать технологической карте производства, а также установленным на них ГОСТам, СТБ и ТУ. Каждая партия материалов, поставляемых на предприятие, должна быть сертифицирована на соответствие системе качества. Из этого следует, что организация должна серьезно и обоснованно подходить к вопросу выбора поставщика.

На ОАО "Алеся" работа по закупкам необходимого сырья и материалов (пряжа и материалы) производится ежемесячно в зависимости от плановой потребности, формируемой производственно-диспетчерским отделом (ПДО). Порядок определения потребности в сырье и вспомогательных материалах в ассортименте и их объеме также осуществляется производственно-диспетчерским отделом и представляется в виде потребности в сырье и вспомогательных материалах с предоставлением образцов сырья и вспомогательных материалов согласно утвержденному образцу-эталону изделия. Работники отдела первоначально решают ряд стратегических задач, таких как определение объема и ассортимента сырья и материалов, необходимых для обеспечения собственного производства; исследование конъюнктуры рынка сырья и вспомогательных материалов, оценка и выбор поставщика; входной контроль качества и.т.п.

Порядок выбора и оценки поставщиков осуществляется по следующим критериям:

1.   Предлагаемая цена;

2.      Определение требований к системе менеджмента качества поставщиков;

.        Мониторинг деятельности и развития поставщиков;

.        Условия и сроки поставки и оплаты;

.        Длительность работы предприятия с данным поставщиком и его деловая репутация;

.        Наличие позитивного опыта работы с поставщиком (реагирование поставщика на пожелания и замечания, наличие фактов несоблюдения условий и сроков поставки, наличие претензий по качеству и количеству и т.д.).

Выбрав таким образом поставщика, организация начинает процесс согласования и заключения договоров (контрактов) на поставку сырья и вспомогательных материалов. Как правило, закупка всех необходимых сырья и материалов осуществляется на тендерной основе. Договора с субъектами хозяйствования заключаются в письменной форме. Условия договоров в каждом конкретном случае согласовываются с контрагентом индивидуально.

В 2011 году предприятием запланирована работа со следующими основными отечественными поставщиками сырья:

.     ОАО "Слонимская КПФ";

2.      ОАО "Полесье" (г. Пинск);

.        ОАО "Камволь" (г. Минск).

С зарубежными поставщиками:

.     "Фолли Кампаньоло Спа" (Италия);

2.      "Аdam Dis Ticaret Ltd. Sti" (Турция).

Закупка вспомогательных материалов и комплектующих в основном осуществляется у резидентов Республики Беларусь, а также у отечественных производителей, что создает необходимые условия для поставок в кратчайшие сроки и в необходимом количестве.

Специалисты управления маркетинга ОАО "Алеся" ведут постоянную работу, направленную на поиск новых партнеров и контролируют текущую ситуацию на рынке сырья и фурнитуры. Кроме того, такой мониторинг рынка помогает найти качественно новые виды сырья и даёт возможность улучшить и сделать более интересной свои изделия. Нужно отметить, что проводимая работа дает положительные результаты.

 

Раздел 3. Товарная политика


Товар занимает основное место в комплексе маркетинга. Именно он должен удовлетворять реальные нужды и потребности человека, а маркетинг призван помочь каждому производителю выявить и обеспечить их удовлетворение лучше, чем это делают конкуренты. Последнее и обеспечивается, прежде всего, путём реализации товарной политики. Продуманная товарная политика является одним и важнейших направлений современной маркетинговой деятельности.

 

3.1 Сущность товарной политики. Товарная номенклатура и ассортимент товаров


Прежде всего, товарная политика предполагает определенные целенаправленные действия или наличие заранее обдуманных принципов поведения маркетологов. Поэтому, в целях формирования оптимальной товарной политики, служба маркетинга ОАО "Алеся" ежегодно разрабатывает маркетинговую стратегию товарной политики, которая основывается на результатах глубинного исследования целевой аудитории. То есть, при использовании данной стратегии, успех новой коллекции определяется главным образом тем, насколько тщательно отделом маркетинга изучены особенности целевых групп и насколько точно спрогнозированы возможные варианты их покупательского поведения, изменения их вкусов и предпочтений. После этого можно судить, например, о том, насколько популярной окажется та или иная модная тенденция среди представителей данной целевой группы. Однако никогда нельзя точно определить, найдет ли данная тенденция отклик среди большинства. Поэтому при отборе моделей для запуска в производство в целях снижения риска маркетологи отдают предпочтение классическим вариантам, допускается лишь ограниченное число моделей с более модным дизайном. Все эти товары и услуги определяют его товарную номенклатуру. Товарная номенклатура ОАО "Алеся" представляет собой, следующие виды изделий: по направлению женский трикотаж - джемперы, жакеты, жилеты, платья, свитеры, сарафаны. По направлению мужской трикотаж - джемперы, жилеты. Также предприятие осуществляет производство форменной одежды под заказ.

Совокупность всех ассортиментных групп товаров, изготовляемых фирмой, определяет так называемый товарный ассортимент. Он характеризуется:

·   широтой (количество изготовляемых ассортиментных групп);

·   глубиной (количество ассортиментных позиций в ассортиментной группе);

·   насыщенностью (количество ассортиментных позиций во всех ассортиментных группах);

·   гармоничностью (степень близости товаров различных ассортиментных групп с точки зрения их потребителя или каких-то иных показателей);

·   новизной (обновлением) ассортимента (способность набора товаров удовлетворять изменившиеся потребности за счет новых товаров).

Результаты расчетов показателей товарной номенклатуры и ассортимента ОАО "Алеся" представлены в таблице 3.

Таблица 3. Показатели товарной номенклатуры и ассортимента.

Показатели

Значение

Широта

9

Глубина

-

Мужские джемперы

5

Жилеты

3

Женские джемперы

15

Жилеты

5

Жакеты

9

Свитеры

3

Платья

7

Сарафаны

1

Форменная одежда

6

Насыщенность

54

Коэффициент гармоничности

0,75

Коэффициент обновления

0,8

Как видим, ассортиментное предложение ОАО "Алеся" является широким. Компания выпускает разнообразную продукцию для мужчин и женщин различных моделей, при этом постоянно обновляет ассортимент и придерживается относительно одинаковых ассортиментных концепции для различных групп потребителей.

Однако чтобы обеспечить эффективную предпринимательскую деятельность, предприятие должно постоянно развивать товарный ассортимент. Товарный ассортимент ОАО "Алеся" меняется каждый сезон. Изменяется не только цветовая гамма изделий, но и фасоны, покрой изделий. Созданием коллекций в компании занимается группа художников-модельеров, однако контролирует этот процесс отдел маркетинга. Именно он задает направление разработки коллекции, и это вовсе не убивает творчество дизайнера, как считают многие, а лишь ставит его в определенные рамки (возраст, пол потенциального потребителя, тип фигуры, назначение готового изделия). Руководствуясь этими данными и информацией о тенденциях моды, дизайнеры разрабатывают эскизы моделей. Окончательное решение о запуске той или иной модели в производство также принимается отделом маркетинга. Это весьма грамотный подход к процессу создания нового продукта, так как именно в этом проявляется маркетинговая ориентация предприятия на потребителя.

На данный момент на предприятии производятся изделия коллекции Весна-Лето 2011. В разработке находиться коллекция Осень-Зима 2011. В коллекциях ОАО "Алеся" находят отражения самые последние модные тенденции в трикотажном производстве. К одной из таких тенденций можно отнести изделия с яркими полосками, болеро с завышенной талией. При этом каждая коллекция имеет в запасе ряд классических моделей для потребителей, которые предпочитают классику. В каждую коллекцию входят различные виды изделий, однако большинство видов трикотажных изделий остается неизменным. Ассортимент продукции ОАО "Алеся" ежемесячно обновляется на 80-90%. Расширяется ассортимент изделий и по отдельным потребительским группам, например для мужчин и молодежи. Ежемесячно разрабатываются модификации имеющихся изделий, чтобы наиболее полно соответствовать тенденциям моды и запросам потребителей. Снятие тех или иных моделей с производства определяется достаточно высокой скоростью обновления ассортимента, а не отсутствием спроса на товары.

 

.2 Создание нового товара


Разработка и выведение на рынок нового товара позволяет оградить предприятие от последствий неизбежного устаревания существующих товаров и поспособствовать расширению производства, распределить коммерческий риск, а также постепенно увеличить общую рентабельность и уменьшить сезонные и циклические колебания производства и сбыта. А в обстановке жесткой конкуренции среди производителей трикотажа постоянное новаторство в выпуске товара - обязательное условие выживания. Процесс разработки нового товара от идеи до готового продукта включает в себя пять основных этапов: выработка идеи; концептуальная проработка; опытно-конструкторская разработка, включая создание опытного образца; пробный выход на рынок коммерциализация, смотрите рис.3.

Рис. 3. Процесс разработки нового товара

Как уже говорилось, принятие решения о разработке и внедрении какого-либо нового товара принимает отдел маркетинга предприятия. На первом этапе отделом производится первичная оценка предложений дизайнеров и технологов по разработке новых товаров с целью выбрать из них более перспективные. Идеи, прошедшие первоначальную оценку, подвергаются концептуальной проработке, где они уточняются с учетом запросов потенциальных потребителей путем проведения маркетинговых исследований, отслеживания модных тенденций в СМИ и др. После одобрения концепции начинается этап опытно-конструкторской проработки, на котором решаются все конструкторские, технологические, производственно-технические и инженерные вопросы. Этап разработки завершается созданием опытного образца для проведения испытаний и презентации покупателям, по результатам которых можно судить о том, примет ли рынок новый товар. С продукцией ОАО "Алеся" можно ознакомиться на ежегодных выставках-ярмарках "Белтекстлегпром" (Минск), "Индустрия моды" (Санкт-Петербург), московских федеральных оптовых ярмарках. И последний этап предполагает выход полноценного продукта на потребительский рынок. Самые новые модели, как правило, поступают в фирменные магазины предприятия, затем в крупные торговые центры, такие как: СП ТД "На Немиге", ОАО "ЦУМ", ОАО "ГУМ", УП "Универмаг "Беларусь" и другие.

Возьмем, к примеру, в качестве нового товара мужской свитер. Его новизна проявляется не с позиции уникальности для потребителя, а, в первую очередь, с позиции освоения производством новых технологий кроя, пошива изделия, его дизайна и состава. Данная ассортиментная группа была выбрана мною, потому что по мужскому ассортименту конкуренция либо незначительная, либо слабо заметная; а так как конкуренты выпускают, в основном, изделия женского ассортимента, здесь есть шанс привлечь новых потребителей и увеличить долю рынка. Также сегментирование рынка показало, что мужчины остаются самой устойчивой группой потребителей одежды отечественного производства. Они проще реагируют на белорусский бренд, но в отличие от женщин, захотят купить добротную вещь, "без сносу". Ткань, ее структура и расцветка - вот лакмусовая бумажка их спроса.

Построим график, отображающий основные этапы жизненного цикла комплекса товаров ОАО "Алеся", и представим его на рис. 4. Также на рисунке представлен предполагаемый жизненный цикл нового товара - мужского свитера.

Исходя из рисунка, можно сделать следующие выводы:

жизненный цикл товаров мужского ассортимента, в том числе мужских свитеров, более всего напоминает классический;

достижение наибольшего объема продаж прогнозируется на этапе роста, прибыли - на этапе зрелости;

четко проявляется переход от этапа зрелости к этапу упадка.

Рис. 4. Основные этапы жизненного цикла трикотажных изделий ОАО "Алеся".

Исходя из названных особенностей, можно спланировать основные маркетинговые решения на каждом конкретном этапе.

1.   Разработка товара. Проведение маркетинговых исследований на изучение потребности в товаре. Анализ опыта зарубежных компаний производящих аналогичную продукцию. Широкомасштабный сбор информации позволит добиться результатов в поиске оптимального дизайна продукта и сформировать правильную программу позиционирования. Еще до выхода на рынок нового товара необходимо распространять информацию о его достоинствах преимуществах перед аналогами.

2.   Выведение на рынок. Увеличение затрат на коммуникационную политику: активная рекламная компания, проведение в магазинах "презентаций" товара, оформление витрин с учетом особенностей психологии и восприятия целевой аудитории. Продвижение изделий должно быть не только информационным, но и стимулирующим (использование рекламы не только самих изделий, но и стимулирования их приобретения). Упаковка, реклама и средства маркетинговых коммуникаций должны всячески подчеркивать новые сравнительные преимущества продукции. Цена достаточно высока и компенсируется растущим интересом к новому товару.

3.   Рост. На данном этапе главная цель маркетинга - удержать существующих и привлечь новых покупателей. Для этого можно стимулировать повторные покупки товара с помощью скидок или акций. Привлекать торговый персонал фирменных магазинов к рекламированию нового продукта. Постоянно производить доработку (модификацию) новых моделей, учитывая пожелания потребителей. Желательно не повышать цены и оставить их на уровне цен имеющихся изделий (либо поднять на незначительный уровень, чтобы сохранить конкурентное преимущество), достичь роста объемов продаж (что является реальным и возможным). Цены остаются на прежнем уровне, до тех пор, пока не начнется спад роста спроса. Своевременное снижение цен в таком случае может привлечь дополнительное число потребителей.

4.   Зрелость. На этом этапе возможны некоторые существенные модификации: изменение качества, перемена рекламной идеи, увеличение числа ассортиментных позиций. Данные изменения должны быть направлены на поиск новых преимуществ товара для повышения устойчивости его позиции в "конкурентной войне". Возможны предложения новых видов услуг (например, предложить гарантийный срок изделий 1 месяц, в течение которого бесплатно производить ремонт приобретенной вещи; можно предложить потребителям прием заказов на дому с выездом закройщицы к клиенту). Можно использовать новые каналы распределения (не только привлекать заказчиков ателье, покупателей в магазинах, но выйти на новые сегменты рынка, например: на покупателей в лице крупных организаций).

5.      Упадок. Устаревшие модели, находящиеся на стадии упадка, необходимо снять с производства и перейти к разработке и производству новых, современных, стильных, более качественных мужских моделей, уделяя особое внимание деловому и молодежно-спортивному стилю.

 

3.3 Исследование и прогнозирование конкурентоспособности товара

маркетинговый трикотажный сбыт снабжение

Для деятельности предприятия на данный момент характерна высокая степень развития отношений конкуренции. В первую очередь выявляются конкуренты, которые оказывают значительное влияние на осуществление деятельности предприятия. Так изучаются прямые существующие конкуренты такие как: предприятия Концерна "Беллегпром" - ОАО "Полесье", ОАО "Брестская трикотажная фирма "Элма", ОАО "Бобруйсктрикотаж", ЧУТП "Ромгиль" г. Слоним, "Ареола" г. Минск.

Основными производителями верхнего трикотажа в Российской Федерации являются такие предприятия как: ЗАО "Курский трикотажный комбинат" г. Курск, ЗАО "Санткон" г. Ижевск, "Уфимская трикотажная фабрика" г. Уфа, "Удачный выбор" г. Новосибирск. А также появляются множество потенциальных конкурентов, которые расширяют ассортимент или применяют новую технологию, совершенствуют продукцию для того, чтобы лучше удовлетворять потребности покупателя и в результате стать прямыми конкурентами. Появляются также новые фирмы, вступающие в конкурентную борьбу - ЗАО "Мультитекс" г. Невьянск Урало-Сибирского региона, Торговая марка "Alegro" г. Орел, торговая марка "Инторг-групп" г. Екатеринбург и другие.

Известно, что основными параметрами, определяющими конкурентоспособность, являются цена и качество. Если говорить о конкурентоспособности белорусских производителей, то качество отечественного трикотажа находится на относительно одинаковом уровне, чего нельзя сказать об их ценовой политике. Об этом можно судить, полагаясь на данные следующей таблицы:

Таблица 4. Конкурентоспособность продукции ОАО "Алеся" на внутреннем рынке по цене изделий.

Наименование товара (товарной группы)

Цена изделия, тыс. руб. РБ

ОАО "Алеся"

ОАО "Элма"

ОАО "Полесье""

УП "Ромгиль"

СП "Ареола"

Костюм женский

65-85

80-110

60-80

-

120-150

Джемпер женский

30-50

35-50

20-40

25-45

50-70

Жакет женский

55-75

65-80

35-50

45-60

60-90

Джемпер мужской

45-65

---

20-40

30-50

50-90

Однако нельзя не отметить схожесть цен на изделия по некоторым ассортиментным позициям. Какие же конкурентные преимущества, кроме цены и качества, могут способствовать выделению продукции ОАО "Алеся" на рынке?

1.   универсальный парк вязального оборудования, представленный машинами с широким диапазоном классов (с 3-го по 28-й);

2.      широкий ассортимент продукции для всех категорий и групп населения;

.        моделирование для конкретных групп потребителей с учетом специфики региона, национальных особенностей, материальной обеспеченности и др.;

.        наличие на предприятии высококвалифицированных художников-дизайнеров, что позволяет разрабатывать и создавать современные конкурентоспособные полотна, рисунки, модели трикотажных изделий, выгодно отличающиеся от аналогичных образцов предприятий-конкурентов;

.        эксклюзивный характер небольших партий, ручное вязание, вышивка, применение в отделке "фриволите", что расширяет возможности реализации продукции покупателям с изысканным вкусом;

.        использование авторских (имиджевых) коллекций для привлечения "нестандартных", весьма требовательных и обеспеченных клиентов;

.        использование новейших видов сырья с вложением натуральных волокон (лен, хлопок, шелк, шерсть, ангора, мохер) для изготовления изделий;

.        применение современной фурнитуры, прикладных и отделочных материалов;

Исследовав в полной мере значения параметров конкурентоспособности, специалистам отдела МТСМиС необходимо дать оценку прибыльности коммерческой деятельности предприятия на основе определения коэффициента конкурентоспособности. Сводный коэффициент конкурентоспособности рассчитывается как среднеарифметическое значение следующих расчетных коэффициентов:

- коэффициента рыночной доли;

коэффициента предпродажной подготовки;

коэффициента изменения объема продаж;

коэффициента уровня цен;

коэффициента доведения продукта до потребителя;

коэффициента рекламной деятельности.

1.   КРД = ОП/ ООПР,

где ОП - объем продаж продукта, ООПР - общий объем продаж на рынке.

КРД2011=13593,0+1369,0/13593,0+11229,1+2342,5+21,4+1369,0+1204,7+164,3 = 14962/ 29924 = 0,5.

2.   КПП = ЗПП/ ЗПОП,

где ЗП - сумма затрат на послепродажную подготовку, ЗПОП - сумма затрат на производство (приобретение) продукта и организацию его продаж.

КПП2011 = 126,3/ 175,4 = 0,7.

3.   КИОП = ОПКОП/ ОПНОП,

где ОПКОП - объем продаж на конец отчетного периода, ОПНОП - объем продаж на начало отчетного периода.

КИОП2011 = 14962,0/ 10664,0 = 1,4.

4.   КУЦ = Цmax + Цmin / 2 Цуф,

где Цmax - максимальная цена товара на рынке; Цmin- минимальная цена товара на рынке; Цуф - цена товара, установленная фирмой.

КУЦ2011 = 90000 + 20000/ 2* 450000 = 1,2.

5.   КДПП = КИОП * ЗСБкоп/ ЗСБноп,

где КИОП - коэффициент изменения объема продаж (см. пункт 3), ЗСБкоп - сумма затрат на функционирование системы сбыта на конец отчетного периода, ЗСБноп - сумма затрат на функционирование системы сбыта на начало отчетного периода.

КДПП2011 = 1,4 * 2760/ 2004 = 1,9.

6.   КрекД = КИОП * ЗРДкоп/ ЗРДноп,

где ЗРДкоп - затраты на рекламную деятельность на конец отчетного периода; ЗРДноп - затраты на рекламную деятельность на начало отчетного периода;

КрекД2011 = 1,4*90/ 115,5 = 1,1.

Сводный коэффициент конкурентоспособности = КРД + КПП + КИОП + КУЦ + КДПП + КрекД = 0,5 + 0,7 + 1,4 + 1,2 + 1,9 +1,1/ 6 = 1,13 ≈ 1,1.

Для того чтобы сделать вывод по полученному показателю, рассмотрим матрицу на рис. 5:

Рис. 5. Матрица групп фирм, конкурирующих на рынке.

Матрица представляет собой прямоугольник, разбитый на девять квадрантов (секторов), каждый из которых соответствует определенному коэффициенту от -10 до 10. Сам прямоугольник делится на пять уровней, каждый из которых соответствует определенной группе фирм, различающихся между собой уровнем конкурентоспособности и относящихся к следующим группам участников рынка. Как видим ОАО "Алеся" относится к рыночным последователям - фирмам, сводный коэффициент конкурентоспособности которых лежит в диапазоне от 1 до 3. Эта группа фирм проводит политику следования за отраслевым лидером, не рискует, но и не проявляет пассивности. Фирмы этой группы особенно осторожно и взвешенно принимают решения, касающиеся их деятельности на рынке. Они копируют деятельность лидера, но действуют более осмотрительно и рассчитывают на меньшие ресурсы. Они, как правило, подвержены атакам со стороны рыночных претендентов.

3.4 Товарный знак


Товарный знак - зарегистрированное в установленном законом порядке обозначение, присвоенное товару для его идентификации и указания производителя (предприятия, фирмы).Используемый на предприятии представлен на рис. 6:

Рис. 6. Товарный знак ОАО "Алеся".

Его можно охарактеризовать следующим образом:

По виду собственности: товарный знак является собственностью фирмы. По способу обозначения: словесный. По степени известности: обыкновенный. Товарный знак был разработан дизайнерами по поручению его владельца. По объекту: фирменный. Товарный знак предназначен для идентификации изготовителя товаров.

Данный товарный знак не является единственным в своем роде. Под таким названием продаются кухонные комбайны белорусского производства, а в городе Минске есть не больших фирм с названием "Алеся". Поэтому для того, чтобы идентифицироваться, компания стала писать название своего продукта латиницей и использовать особый графический дизайн - большие буквы белого цвета на красно-бордовом фоне. Товарный знак легко запоминается, и ассоциируется с белоруской девушкой благодаря использованию исконно белорусского имени и красно-белого сочетания слов. Он является лаконичным, эстетичным, простым по технологичности нанесения. Товарный знак "Алеся" не является брендом, так как он не достиг необходимого уровня узнаваемости и лояльности со стороны потребителей. Следовательно, и стоимость марочного капитала будет невысока. Для оценки марочного капитала предприятия применим, самый распространенный, затратный метод.

Марочный капитал ОАО "Алеся" = затраты на разработку + затраты на реальное исполнение + затраты на продвижение = 1,4 + 9 + 115,5 = 125,9 (млн. руб.)

Для повышения стоимости марочного капитала, а также превращения товарного знака в бренд необходимо: время, финансовые средства, профессиональная компания специалистов.

Свидетельство о регистрации товарного знака ОАО "Алеся" содержит номер заявки и дату подачи заявки на регистрацию товарного знака. В свидетельстве также указан регистрационный номер, присвоенный товарному знаку ОАО "Алеся". Длительность действия регистрации составляет 10 лет с 2007.07.04. Дополнение к свидетельству содержит изображение товарного знака, а также товары и/или услуги, для обозначения которых он может быть применен. Свидетельство выдается Национальным центром интеллектуальной собственности в соответствии с законом Республики Беларусь "О товарных знаках и знаках обслуживания".

 

3.5 Упаковка и маркировка товара


Упаковка - это средство или комплекс средств, обеспечивающих защиту товара от повреждений и потерь, а окружающую среду от загрязнений. Для маркетинга: носитель маркировки и красочного оформления товара, средство создания потребительских предпочтений.

Трикотажные изделия упаковывают в потребительскую тару (первичную и вторичную) и тару для транспортирования. В качестве первичной потребительской тары используют конверт, вторичной - коробку. Коробки с готовыми изделиями для транспортирования укладываются в картонные ящики.

На ОАО "Алеся" используется следующий вид упаковки:

По назначению: потребительская (полимерные пленки и картонные коробки) и транспортная (картонные ящики). Потребительская упаковка предназначена для товаров массового потребления; она является частью товара, входит в его стоимость, а после реализации товара переходит в полную собственность покупателя. Транспортная упаковка предназначена для перевозки, складирования и хранения продукции, она образует самостоятельную транспортную единицу.

Потребительская упаковка в свою очередь классифицируется:

- По кратности использования: на одноразовую и универсальную;

 По механической устойчивости упаковка, как правило, мягкая, изготовлена из полимерных пленок. Именно такая структура упаковки надежно защищает продукцию от внешних воздействий и позволяет полностью автоматизировать процесс упаковывания. Также она эстетична, имеет привлекательный внешний вид, отличается небольшой удельной массой и низкой стоимостью;

 По количеству упакованных единиц: штучная;

 По степени оригинальности: традиционная. Имеет традиционные, привычный внешний вид.

 По отношению к упаковываемому продукту. Внутренняя и внешняя. Внутренняя упаковка предназначена для размещения товара и находится с ним в непосредственном контакте. Внешняя упаковка служит защитой для внутренней и, как правило, выполняет дополнительные функции. Упаковка, используемая на предприятии, отвечает всем основополагающим (безопасность, экологичность, надежность, совместимость, взаимозаменяемость, экономичность) и дополнительным (транспортабельность, складируемость) требованиям. С точки зрения маркетинга, упаковка обладает набором следующих параметров:

 информативность. Упаковка содержит полную и достоверную информацию о продукте и производителе.

 эстетичность. Упаковка красочно оформлена, вызывает положительные эмоции.

 узнаваемость. Упаковка содержит оригинальную маркировку, отражающую наименование торговой марки продукта.

 адекватность продукту, марке, клиенту. Упаковка полностью определяется образом жизни и предпочтениями покупателей.

 соответствие каналам сбыта. Упаковка наилучшим образом подходит для розничной продажи.

К сожалению, не нашли отражения требования повышения ценности и последующей применимости упаковки. Абсолютная и относительная стоимость упаковки представлена в таблице 5:

Таблица 5. Стоимость упаковки.

Товар

Вид упаковки

Цена товара, т.р.

Стоимость упаковки, т.р.



без упаковки

с упаковкой

абсолютная

относительная

Верхний трикотаж

полимерные пленки и картонные коробки

40

40,5

0,5

1,24%


Маркировка- это текст, условное обозначение или рисунок, нанесенный на упаковку или товар, а также другие вспомогательные средства, предназначенные для идентификации товара или отдельных его свойств, доведения информации об изготовителях, количественных и качественных характеристиках товара. По своей структуре маркировка обычно включает три элемента: текст, рисунок, условные обозначения, или информационные знаки. Каждому из перечисленных элементов маркировки отводится определенная роль и выделяется соответствующая доля в общем объеме маркировки. Структура маркировки продукции ОАО "Алеся" представлена в таблице 6.

Таблица 6. Структура маркировки товаров

Элементы

Структура, %

1. Текст

60

2. Рисунок

30

3. Информационные знаки

10

Маркировка продукции ОАО "Алеся" выполняет следующие функции:

информационная. Информационная функция маркировки как одного из средств товарной информации является основной. Наибольший удельный вес приходится на основополагающую и потребительскую информацию, меньший - на коммерческую. Маркировка содержит информацию о наименовании продукции, типе, сорте, размере, составе товара, изготовителе, торговой марке, гарантийном сроке, дате изготовления, соответствии продукции стандартам и техническим условиям.

 идентифицирующая. Маркировка продукции ОАО "Алеся" обеспечивает прослеживаемость товарных партий на всех этапах товародвижения.

 эмоциональная. Красочно оформленная маркировка, поясняющие тексты, применение общепринятых символов вызывают у потребителя положительные эмоции.

 мотивационная. Яркая маркировка служит важной мотивацией для принятия решения о покупке товара.

Маркировка ОАО "Алеся" является достоверной, достаточной, доступной. Специфичность заключается в том, что текст и иллюстрации выполнены качественными несмывающимися красителями, четко; текст, содержащийся в маркировке имеет однозначную трактовку, понятен и прост для восприятия, маркировка содержит достоверную информацию относительно количества и качества товара, места его происхождения. Информационные знаки, размещенные на упаковке, предоставлены эксплуатационными знаками, которые информируют покупателя о способах ухода за товарами. В связи с большим разнообразием материалов, ниток и отделок, используемых при производстве трикотажных изделий, и многообразием способов чистки зачастую сложно визуальным способом правильно выбрать необходимый метод ухода за изделием.

Для облегчения выполнения этой задачи используется стандартный набор графических символов, содержащий информацию по уходу, для использования при маркировке изделий. Данные символы являются общепринятыми и характеризуются высокой степенью доступности как для потребителей национального, так и зарубежного рынков.

Набор символов характеризуется простотой его понимания для потребителей и максимальным содержанием информации, необходимой для предотвращения повреждения изделия во время его чистки от загрязнений. При необходимости текстом на изделии могут указываться особенности ухода за ним.

Информационным знакам свойственны краткость, выразительность, наглядность и быстрая узнаваемость. Краткость обусловлена тем, что в качестве информационных знаков могут выступать отдельные слова, буквы, цифры, рисунки и другие символы. Выразительность и наглядность информационных знаков обусловливаются их формой, цветом, сочетанием отдельных символов, соответствующим определенным эстетическим требованиям потребителей. Быстрая узнаваемость информационных знаков достигается путем применения общепринятых символов, изображения которых зачастую расшифровываются без специальных знаний. Этим отличаются международные символы, изображаемые на этикетках и упаковках текстильных изделий. Процесс стирки трикотажных изделий предусматривает обычное механическое воздействие при температуре не более 40 градусов. На отдельных изделиях допускается более бережная ручная стирка. Трикотажные изделия нельзя подвергать отбеливанию хлорсодержащим веществом. Глажение изделий допускается при максимальной температуре подошвы утюга до 110 градусов. Допускается обычная процедура сухой чистки. Условия сушки: изделие, насыщенное влагой, должно раскладываться на плоской поверхности для сушки. Символы по уходу наносятся на этикетку, которая должна постоянно находиться на изделии и содержать все виды обработок. Условия обработки трикотажных изделий устанавливают с учетом допустимых условий обработки текстильных материалов, использованных для ее изготовления, и применяют ко всему изделию.

 

3.6 Сервис в товарной политике


Сервис и гарантийное обслуживание являются неотъемлемыми элементами товарной политики. Они представляют собой услуги, которые предоставляются покупателям до и после приобретения того или иного товара. Сервис рассматривается как система обслуживания покупателей. Цель сервиса - предложить покупателям имеющийся товар и оказать им помощь в получении наибольшей пользы от приобретенного товара. Возрастающее значение сервисного обслуживания покупателей обусловлено следующими причинами: ростом конкуренции на все более насыщаемых товарных рынках; созданием и профилизацией сервисных центров; возрастанием желаний покупателей иметь возможности решения проблем, возникающих в процессе использования приобретенного товара; усложнением процесса эксплуатации товара.

Основными функциями сервиса как инструмента маркетинга являются: привлечение покупателей; поддержка и развитие продаж товара; информирование покупателя.

Основная функция сервиса - это привлечение покупателя. Каким же образом можно привлечь его внимание? Мотивом любого человека является четко определенная цель - купить. И серьезное влияние на то, в какой именно магазин он пойдет, оказывает только несколько факторов: ассортимент товара, его качество и ценовая политика. Поэтому на этапе выбора магазина, производитель, к сожалению, бессилен как-либо повлиять на клиента. Поэтому дополнительные услуги вводятся для того, чтобы, посетив магазин впервые, клиент приходил сюда снова и снова. Хороший сервис всегда оставляет у человека приятные впечатления, ощущение комфорта, что непременно повлияет на его выбор, когда он захочет опять отправиться за покупками. Сервисное обслуживание высокого уровня является значимым конкурентным преимуществом для магазинов "Алеся". Так как фирменных магазинов предприятия в г. Минске только три, то целесообразно было бы в каждом организовать мини-ателье и нанять мастера по пошиву. Данная услуга не принесет значительных затрат и можно с уверенность сказать, что ею будут пользоваться как постоянные клиенты, так и пришедшие впервые, которые впоследствии тоже могут стать частыми посетителями магазина. Предположим, что человек приходит в магазин трикотажных изделий, чтобы купить себе красивую одежду, найти для себя наиболее выигрышный вариант костюма. Именно с последним параметром наиболее часто возникают проблемы, потому что основная масса одежды шьется на людей со стандартным телосложением, а в реальной жизни таких мало. Именно с целью решить эту проблему, магазин предлагает своему клиенту пошив одежды. Мастер с легкостью подкорректирует любую вещь, учитывая особенности фигуры клиента. Он делает наброски, советуется с клиентом, показывает покупателю, как это будет выглядеть, если необходимо, сделает корректировку заново. Важно чтобы мастер по пошиву одежды был профессионалом, имеющим специализированное образование, опыт работы, который отлично бы разбирался в тканях и прекрасно знал свое дело.

Безусловно, огромным конкурентным преимуществом магазина является и такой фактор, как бесплатное оказание услуг при приобретении определенного количества товара, или если их наличие не оказывает влияние на ценовую политику магазина в целом. Но чтобы предприятие не несло убытки, на эти же услуги можно ввести плату, которая обуславливается приданием ей дополнительных свойств. К примеру, для упаковки покупки можно использовать стандартные материалы, и не брать за это плату. Но также, если покупатель хочет чего-то неординарного и необычного, можно использовать другой тип упаковки, более дорогостоящий и привлекательный, украшенный множеством декоративных элементов.

Не стоит забывать и о предоставлении услуг, связанных с техническим обслуживанием, таких как восстановление функций товара, оказание помощи покупателю при решении проблем эксплуатации, а также предоставление консультаций по надежной эксплуатации и сохранности товара.

Послепродажный сервис - доставка, контроль, обслуживание и ремонт не характерны для производителей одежды.

Благодаря сервисному обслуживанию и введению системы гарантий организация создает благоприятные доверительные отношения с покупателями и формирует основы для продолжения эффективных коммерческих коммуникаций.

 

Раздел 4. Сбытовая политика


При организации распределения своего продукта фирма преследует две основополагающих цели. Первая заключается в принципиальной ориентации на удовлетворение многообразных запросов конечного потребителя (либо на построении такой системы распределения, которая была бы эффективна, как для самой организации, так и для посредников). Вторая - определение такого способа её существования, который по максимуму приблизил бы товар к целевой группе потребителей (либо наоборот, привлек потребителей к товару фирмы). Таким образом, выбор ориентации и способа удовлетворения запросов потребителей и составляет суть сбытовой политики организации.

 

4.1 Структура системы распределения. Каналы сбыта


Сбытовую политику ОАО "Алеся" следует рассматривать, как целенаправленную деятельность, принципы и методы, осуществления которой призваны организовать движение потока товаров к конечному потребителю. Основным условием при выборе канала товародвижения на ОАО "Алеся" является его доступность для изготовителя. Для достижения коммерческого успеха при использовании того или иного канала товародвижения тщательно анализируются все финансовые вопросы. Проводится сравнительная характеристика затрат предприятия на возможные каналы сбыта. В эти затраты входят: расходы на подбор и обучение сбытового персонала; административные расходы; затраты на рекламу и стимулирование сбыта, на организацию товародвижения, включая расходы на транспортировку, складское хозяйство; уровень комиссионных выплат. При этом следует иметь в виду, что на начальной стадии работы предприятия сбытовые издержки возрастают, но они не носят постоянного характера.

На предприятии ОАО "Алеся" каналы распределения не подразделяются по группам продуктов. Все продукция реализуется через существующие каналы распределения в зависимости от географического положения потребителей. Каналы распределения продукции ОАО "Алеся" представлены на схеме 4.

Схема 4. Каналы распределения продукции ОАО "Алеся".

Участникам данных каналов распределения являются как частные, так и государственные структуры. Предприятие сотрудничает с оптовыми дилерами и розничными посредниками, которые реализуют продукцию конечным потребителям. Трехуровневая товаропроводящая система позволяет контролировать товародвижение, а также регулировать цены на продукцию. Также представлена и фирменная торговля. ОАО "Алеся" имеет 3 фирменных магазина, которые реализуют продукцию без торговой надбавки, тем самым ускоряя товародвижение и оборот денежных средств. Региональным дилером ОАО "Алеся" является ООО "Икар" (Витебск). Оптовый склад в РФ: ООО "Чаровница" (Краснодар).

ОАО "Алеся" имеет разветвленную товаропроводящую сеть. Участники канала товародвижения выполняют следующие функции: собирают и распространяют маркетинговую информацию, стимулируют сбыт, устанавливают контакты, подгоняют продукт под требования потребителей (сортировка, сборка, упаковка); проводят переговоры; транспортируют и хранят товары. Анализ структуры сбыта представлен в диаграмме 1.

Диаграмма 1. Структура сбыта ОАО "Алеся".

Основными покупателями продукции фирмы являются крупные торговые организации г. Минска, областных городов, районов республики такие как: СП ТД "На Немиге" ООО г. Минск, УП "Кирмаш" г. Минск; ОАО "ЦУМ" г. Минск, ОАО "ГУМ" г. Минск, УП "Универмаг "Беларусь" г. Минск, ОАО "Трикотажторг" г. Минск, ОАО "Витебский Универмаг" г. Витебск, ОАО "Дом торговли" г. Новополоцк, ОАО "Дом торговли" г. Полоцк, ОАО "Торгодежда" г. Минск, ОАО "Брестский Центральный Универмаг" г. Брест, УП "Гродноторгодежда" г. Гродно, сеть гипермаркетов г. Минска, таких как ИП БелВиллистден (ГИППО), СЗАО "Простор-маркет" (ПРОСТОР), СООО "Табак-Инвест" (КОРОНА) и др.

Основными крупными покупателями в Российской Федерации являются: ООО "Одеждаоптторг" г. Москва, ООО "Чаровница" г. Краснодар, ООО "Торговый дом "Белая Русь" г. Ульяновск, ООО "Трик" г. Санкт- Петербург, ООО "Континент" г. Тверь, ООО "Торгово-деловой центр "Беларусь" г. Ижевск, ООО "Вилена" г. Москва, ООО "Ардан" г. Москва, ООО "Обнова" г. Москва, ЗАО "Франт" г. Можайск, ИП Буйнова, ИП Барсукова и др.

В ближайшее время планируется значительное увеличение товарооборота с уже имеющимися торговыми домами в регионах России (ТД "Белая Русь" г. Ульяновск, ООО "Континент" г. Тверь, ООО "Торгово-деловой центр "Беларусь" г. Ижевск). Учитывая хорошие показатели в работе с данными покупателями в 2009 г. планируется заключение новых договоров в других регионах Российской Федерации.

Также на ОАО "Алеся" было принято решение открыть оптовый склад в Краснодаре для упрощения отгрузки товаров и их доставки в регионы РФ. Оптовая база в Краснодаре является представительством ОАО "Алеся" в Российской Федерации. Каналы товародвижения в РФ и странах СНГ не отличаются от товаропроводящей сети в РБ.

Важно отметить то, что выбор канала сбыта обычно связан с заключением долгосрочных соглашений между контрагентами, Неправильный выбор канала распределения может вызвать аннулирование юридических соглашений, что, естественно, скажется на результатах работы предприятия и участвующих в этом соглашении посредников.

Посредники занимают промежуточное положение между изготовителями и потребителями изделий и далеко не всегда идут на тесный контакт с поставщиками, предпочитая общаться с потребителями. Причиной возникающих иногда конфликтов между поставщиками и посредниками является убежденность последних в том, что они не получают достаточной помощи от поставщиков в обучении персонала, изготовлении рекламных материалов и т.п. Посредники, в частности оптовые предприятия, хотят, чтобы предприятия-изготовители продавали товар им, а не через них, так как в последнем случае изготовитель рассматривает посредников не как потребителей, запросы которых необходимо изучать и удовлетворять. Продажа через оптовые предприятия означает, что главное внимание изготовитель уделяет конечным потребителям, а нужды посреднических организаций для него не имеют большого значения. При организации работы с посредниками такие вопросы необходимо анализировать и учитывать. Это поможет создать хорошие взаимоотношения между изготовителями и посредническими организациями.

 

4.2 Оптовая, розничная торговля. Логистика


Выбор каналов распределения является важным этапом работы, однако, поскольку маркетинг предполагает интерпретацию всей деятельности фирмы, необходимо соответствующим образом планировать и организовывать систему продвижения продукции от предприятия-изготовителя к получателю. Все элементы этой системы взаимосвязаны, поэтому пренебрежение каким-либо из них способно серьезно нарушить функционирование товародвижения и отрицательно повлиять на престиж фирмы.

Процесс организации товародвижения на ОАО "Алеся" включает следующие этапы:

·    прогнозирование объемов будущих продаж;

·        выбор места хранения запасов и способа складирования;

·        определение системы перемещения грузов;

·        введение системы управления запасами;

·        установление процедуры обработки заказов;

·        выбор способов транспортировки продукции.

При эффективной организации товародвижения каждый из этих этапов планируется как неотъемлемая часть хорошо уравновешенной и логически построенной общей системы.

Для прогнозирования объемов будущих продаж проанализируем динамику роста продаж за 2007-2011 г.г. в целом, а также объем и долю реализации продукции ОАО "Алеся" по рынкам сбыта в 2009-2011 гг. Для этого рассмотрим диаграммы 2,3 и таблицу 7.

Таблица 7. Реализация продукции ОАО "Алеся" по рынкам сбыта в 2009-2011 гг.

Наименование показателя

Ед. изм.

Период, год



2009

2010

2011 (прогноз)

Объем реализации продукции по рынкам сбыта:

Собственный ассортимент

млн. руб.

7777,3

9402,1

13593,0

- внутренний рынок

млн. руб.

6910,8

7439,8

11229,1

- страны СНГ (Россия)

млн. руб.

866,5

1962,3

2342,5

- страны дальнего зарубежья

млн. руб.

-

19,7

21,4

Давальческая услуга

млн. руб.

887,4

1262,7

1369,0

- внутренний рынок

млн. руб.

788,6

1100,6

1204,7

- страны СНГ (Россия)

млн. руб.

98,8

162,2

164,3

- страны дальнего зарубежья

млн. руб.

-

-

-

Диаграмма 2. Структура сбыта на внутреннем и внешнем рынках за 2009-2011 гг.

Исходя из данных таблицы 7 и диаграммы 2 видно, что доля поставок трикотажных изделий ОАО "Алеся" в 2011 г. году на рынок Республики Беларусь составит 83,2%, в основном в торговые сети Республики Беларусь. Доля поставок на рынок ближнего зарубежья, в основном Российскую Федерацию, составит 16,8%.

Диаграмма 3. Динамика роста продаж за 2007-2011 г.г.

Как видим, за период с 2007 по 2010 гг. предприятием достигнуты значительные показатели роста производства продукции, тем самым и увеличение роста продаж продукции как на внутреннем рынке Республики Беларусь, так и на внешних рынках стран ближнего и дальнего зарубежья. Также планируется увеличение роста продаж и в 2011 г., что видно из диаграммы представленной выше. Из этого следует, что объемы поставок продукции ОАО "Алеся" растут с каждым годом, причем темп роста увеличивается в геометрической прогрессии. Следовательно, предприятию необходимо расширять существующую систему физического распределения, а также организовывать деятельность, направленную на увеличение числа покупателей.

Основными мероприятиями, направленными на увеличение числа покупателей, являются:

1.   Создание и совершенствование фирменного стиля, включающего в себя комплекс мер по разработке фирменного знака и фирменной упаковки, отличной от конкурентов;

2.      Повышение внимания к имиджевой рекламе;

.        Активное продвижение собственного Интернет-сайта с форумом для обсуждения в целях обеспечения обратной связи с покупателем и интернет-магазином. Это позволит предприятию обеспечить еще один канал сбыта собственной продукции с минимальными издержками;

.       

Похожие работы на - Анализ маркетинговой деятельности предприятия ОАО 'Алеся'

 

Не нашли материал для своей работы?
Поможем написать уникальную работу
Без плагиата!
Без нейросетей!