Разработка инвестиционного проекта на примере ООО 'Гермес'

  • Вид работы:
    Дипломная (ВКР)
  • Предмет:
    Финансы, деньги, кредит
  • Язык:
    Русский
    ,
    Формат файла:
    MS Word
    252,74 Кб
  • Опубликовано:
    2015-05-31
Вы можете узнать стоимость помощи в написании студенческой работы.
Помощь в написании работы, которую точно примут!

Разработка инвестиционного проекта на примере ООО 'Гермес'

Реферат


Цель проекта - разработать инвестиционный проект и оценить его эффективность.

Метод исследования - аналитический и опытно-статистический методы проведения анализа отчётных данных, методика оценки инвестиционных проектов ЮНИДО.

Проанализированы отчётные данные за последние 3 года деятельности компании.

При реализации разработанного инвестиционного проекта чистый дисконтированный доход составит 25 627,58 тыс. руб. и окупится через 1,11 года. При этом каждый вложенный рубль инвестиций принесёт 53,31 руб.

Введение


Эффективная деятельность организаций в долгосрочной перспективе, обеспечение высоких темпов их развития и повышение конкурентоспособности выпускаемой продукции в условиях перехода к рыночной экономике в значительной мере определяются уровнем их инвестиционной активности и диапазоном инвестиционной деятельности, которые в свою очередь, непосредственно зависят от инвестиционной стратегии компании. Недостаточная разработанность данного вопроса и его высокая значимость, как для отдельных фирм, так и для экономки России в целом обостряют актуальность проблемы формирования чёткой обоснованной инвестиционной стратегии.

Инвестиционные решения являются одним из ведущих факторов развития и увеличения стоимости любой организации. Они могут быть направлены на реализацию как текущих стратегических задач (например, увеличение оборотного капитала), так и долгосрочных, связанных с приобретением нового оборудования, осуществлением маркетинговых программ, проведением научно-исследовательских работ, поглощением других компаний и т.п.

Независимо от целей и конкретного объекта, в общем случае процесс принятия инвестиционных решений предполагает сопоставление ресурсов, расход которых необходимо осуществить сегодня, с предполагаемой величиной благ и выгод, получение которых ожидается в будущем. По сути, такое сравнение представляет собой процесс определения стоимости, создаваемой этими решениями, с учетом ограниченности имеющихся средств, а также различных внутренних и внешних факторов, включая время и риск.

Поскольку в своей деятельности фирма рассматривает различные варианты инвестирования ограниченных средств, ключевой задачей финансового менеджера является определение оптимального направления вложений, т.е. в наибольшей степени способствующих достижению основной цели - максимизации стоимости фирмы. Решение этой задачи на практике предполагает глубокое понимание принципов и хорошее владение соответствующими методами оценки эффективности инвестиционных решений, а также используемых при этом критериев.

Целью данного дипломного проекта является разработка инвестиционного проекта, способного улучшить состояние собственника бизнеса, и оценка его эффективности с позиции различных участников.

Для достижения указанной цели необходимо решить следующие задачи:

1) изучить теоретические основы инвестиционного проектирования;

2)      освоить методику оценки эффективности инвестиционных проектов;

)        дать организационно-экономическую характеристику объекта исследования;

)        определить его текущее финансовое состояние;

)        разработать проект, способный удовлетворить потребности заказчика;

)        описать экономическое обоснование предлагаемых инвестиций;

)        оценить эффективность разработанного проекта.

Объектом исследования выступает инвестиционный проект ООО «Гермес». Предмет исследования - совокупность принципов и методов организации инвестиционного проектирования.

Теоретической и методологической основой дипломного проекта послужили труды отечественных и зарубежных исследователей, посвященные проблеме оценки эффективности инвестиционных проектов, нормативно-правовая база по исследуемому вопросу.

Исследование проводилось с применением общих методов научного познания: сравнение, абстракция, математическое моделирование, анализ и синтез. Для решения поставленных задач в работе применялся метод системного анализа. Для наглядности представления данных применялся графический метод.

В настоящее время наибольшее распространение в теории и практике финансового менеджмента получили динамические методы оценки экономической эффективности инвестиций, базирующиеся на дисконтировании денежных потоков, такие как расчёт критериев NPV, IRR, РI и др. Их применение позволяет учесть и увязать в процессе принятия решений такие важнейшие факторы, как цена капитала, требуемая норма доходности, стоимость денег во времени и риск проекта.

1    Теоретические основы инвестиционного проектирования

 

1.1 Инвестиционный проект: понятие, классификация


В обширной литературе по проблемам инвестиций можно встретить многочисленные определения этого понятия, что объясняется его большой смысловой ёмкостью. В самом общем смысле под инвестициями следует понимать финансовые или иные средства, используемые для получения некоего положительного результата (экономического, социального, интеллектуального, оборонного и т.д.). Такое определение выходит далеко за пределы экономической интерпретации, которая в широком смысле трактует слово «инвестировать» как «расстаться с деньгами сегодня, чтобы получить большую их сумму в будущем», или инвестиция - это использование денег для получения больших денег, для извлечения дохода или достижения прироста капитала, либо для того и другого. Приведенное определение охватывает экономическое представление об инвестициях как средстве наращивания капитала, а также представление о них, как средстве достижения инвестором неэкономических целей [44, c. 6].

Термин «инвестиция» происходит от латинского investio - «одеваю» и подразумевает долгосрочное вложение капитала.

Деятельность любой организации, так или иначе, связана с вложением ресурсов в различные виды активов, приобретение которых необходимо для осуществления её основной деятельности. Для увеличения уровня рентабельности организация также может вкладывать временно свободные ресурсы в различные виды активов, приносящих доход, но не участвующих в основной деятельности. Такая деятельность называется инвестиционной.

Основными нормативными документами, регулирующими порядок осуществления инвестиционной деятельности в Российской Федерации, являются:

−  Гражданский кодекс Российской Федерации;

−       Федеральный закон «Об инвестиционной деятельности в Российской Федерации, осуществляемой в форме капитальных вложений» от 25.02.99 №39-ФЗ;

−       Федеральный закон «Об иностранных инвестициях в Российской Федерации» от 09.07.99 №160-ФЗ;

−       Федеральный закон «О защите прав и законных интересов инвесторов на рынке ценных бумаг» от 05.03.99 №46-ФЗ;

−       Федеральный закон «О рынке ценных бумаг» от 22.04.96 №39-ФЗ;

−       Федеральный закон «О финансовой аренде (лизинге)» от 29.10.98 №164-ФЗ;

−       Федеральный закон «Об инвестиционных фондах» от 29.11.2001 №156-ФЗ и др. [32, c. 7].

Отдельные крупные субъекты РФ также имеют свое законодательство в этой области. В частности, в Санкт-Петербурге действуют два закона, принятые Законодательным Собранием: от 8 июля 1998г. №185-36 «О государственной поддержке инвестиционной деятельности на территории Санкт-Петербурга» и от 9 июля 1998г. №191-35 «Об инвестициях в недвижимость Санкт-Петербурга». Эти законы регулируют порядок получения поручительства Администрации Санкт-Петербурга как обеспечения обязательств инвестора по возврату заемных денежных средств, привлекаемых для осуществления инвестиционной деятельности, определяют формы бюджетной поддержки, виды налоговых льгот и др.

В упомянутых законодательных актах можно найти определения ключевых понятий инвестиционного процесса.

Инвестиции - денежные средства, ценные бумаги, иное имущество, в том числе имущественные права, иные права, имеющие денежную оценку, вкладываемые в объекты предпринимательской и (или) иной деятельности в целях получения прибыли и (или) достижения иного полезного эффекта. [5]

В типологии инвестирования основной является классификация инвестиций по объектам инвестиционной деятельности или по объектам вложения инвестиций (рисунок 1.1) [44, c. 8].

Рисунок 1.1 - Виды инвестиций по объектам инвестирования

По данному признаку выделяют реальные и финансовые инвестиции. Последние представляют собой вложение капитала в финансовые активы - паи, акции, облигации; вторые - в развитие материально-технической базы компаний производственной и непроизводственной сфер [26, c. 258]. За реальными инвестициями в российском законодательстве закреплен специальный термин - капитальные вложения, определение которого было приведено выше.

Использование инвестиций происходит путём реализации инвестиционных проектов, направленных на достижение определенных, чётко обозначенных целей и представляющих собой комплекс не противоречащих законодательству мероприятий и действий по реализации определённого объема инвестиций для достижения конкретных целей (результатов) в течение установленного периода времени.

В экономической литературе понятие «инвестиционный проект» не имеет единого, общепринятого толкования. До недавнего времени в отечественной практике термин «проект» использовался преимущественно в технической сфере, и с ним связывалось представление о совокупности документации по созданию каких-либо сооружений либо зданий. Соответственно разработка документации называлась проектированием.

В научной литературе существуют как минимум две трактовки понятия «инвестиционный проект» - в широком и узком смысле слова. В широком смысле инвестиционный проект рассматривается как комплекс взаимосвязанных мероприятий, предполагающий определённые вложения капитала в течение ограниченного времени с целью получения доходов в будущем; в узком - как комплекс организационно-правовых, расчётно-финансовых и конструкторско-технологических документов, необходимых для обоснования и проведения соответствующих работ по достижению целей инвестирования.

Для более полного понимания сущности инвестиционного проекта необходимо рассмотреть определение, которое закреплено в действующем законодательстве России.

Согласно Закону №39-ФЗ, инвестиционный проект есть обоснование экономической целесообразности, объемов, сроков осуществления капитальных вложений, в том числе необходимая проектно-сметная документация, разработанная в соответствии с законодательством Российской Федерации и утвержденными в установленном порядке стандартами (нормами и правилами), а также описание практических действий по осуществлению инвестиций (бизнес-план).

Таким образом, если следовать букве закона, то инвестиционный проект трактуется как набор документации, содержащий два крупных блока документов.

В то же время в соответствии с Методическими рекомендациями по оценке эффективности инвестиционных проектов, утвержденными Госстроем России, Минэкономики России, Минфином России, Госкомпромом России №ВК 477 от 21 июня 1999г. понятие «инвестиционный проект» может применяться в таких значениях, как:

−  дело, деятельность, мероприятие, осуществление комплекса каких-либо действий, обеспечивающих достижение определённых целей (получение определённых результатов); близкими по содержанию в данном случае являются понятия «хозяйственное мероприятие», «научно-техническое мероприятие», «комплекс работ», «проект»;

−       система организационно-правовых и расчетно-финансовых документов, необходимых для осуществления каких-либо действий, или описание этих действий.

Сравнение существующих определений позволяет отметить, что в большей степени специфике экономики и организации инвестиционной деятельности отвечает трактовка понятия «инвестиционный проект», которая дана в справочном пособии для специалистов и предпринимателей по управлению инвестициями: «инвестиционный проект представляет собой системно ограниченный и законченный комплекс мероприятий, документов и работ, финансовым результатом которого является прибыль (доход), материально-вещественным результатом - новые или реконструируемые основные фонды (комплексы объектов), или приобретение и использование финансовых инструментов или нематериальных активов с последующим получением дохода». Это определение, во-первых, четко определяет цель (результат) инвестиционного проекта и разграничивает её на финансовую и материально-вещественную составляющие, во-вторых, объединяет мероприятия, документы и работы, выполняемые (оформляемые) в рамках инвестиционного проекта, в единый законченный комплекс.

Инвестиционные проекты могут быть объединены в программы. Инвестиционная программа представляет собой совокупность инвестиционных проектов или предложений с конкретной целевой направленностью.

Для понимания внутренней структуры инвестиционного проекта важно рассмотреть его ключевые элементы. Любой проект, в том числе инвестиционный, включает три базовых элемента: идею или замысел; средства и пути реализации идеи; результат [26, c. 182].

Основные элементы инвестиционного проекта органически связаны и взаимообусловлены, образуя его костяк. Рассмотрим их более подробно.

Замысел - это фактически то, с чего начинается любой проект. Он основывается на реализации определённой идеи, например, вложении инвестиций в освоение новых источников сырьевых ресурсов с целью получения прибыли посредством их продажи на внутреннем или международном рынке.

Средства реализации - это конкретные инструменты и механизмы осуществления идеи инвестиционного проекта. Например, для того чтобы освоить новые источники сырьевых ресурсов, необходимо провести геолого-разведочные работы, закупить необходимое оборудование для добычи ресурсов, подобрать группу работников с определённой квалификацией и др.

Цель - желаемый результат инвестиционной деятельности, который достигается за установленный для реализации проекта период. Результатом выступает получение прибыли как финансовой составляющей цели и (или) возведение физического объекта как материально-вещественной составляющей совокупного результата.

В целом инвестиционный проект характеризуется наличием следующих признаков: конкретная цель, определенные изменения, ограниченность во времени, неповторимость, новизна (может быть относительной), ограниченность требуемых ресурсов, комплексность, специфическая организация проекта.

Практическое воплощение любого инвестиционного проекта немыслимо без коллективной или индивидуальной целенаправленной деятельности, устремлённой на решение поставленных в проекте тактических и стратегических задач. В этом суть инвестиционной деятельности, которая в названном выше законе трактуется как вложение инвестиций и осуществление практических действий в целях получения прибыли и (или) достижения иного полезного эффекта.

С понятиями инвестиций и инвестиционного проекта тесно связаны понятия субъекта и объекта инвестиционной деятельности. Под субъектом инвестиционной деятельности понимаются физические и юридические лица, осуществляющие целенаправленные действия по решению задач, поставленных в инвестиционном проекте. Субъектами инвестиционной деятельности являются инвесторы, заказчики, подрядчики, пользователи объектов инвестиционной деятельности и другие физические и юридические лица, участвующие в реализации инвестиционного проекта [44, c. 8].

Инвесторами, т.е. лицами, осуществляющими капитальные вложения, могут быть физические и юридические лица, создаваемые на основе договора о совместной деятельности и не имеющие статуса юридического лица объединения юридических лиц, государственные органы, органы местного самоуправления, а также иностранные субъекты предпринимательской деятельности (иностранные инвесторы).

В качестве заказчиков по инвестиционному проекту могут выступать как собственно инвесторы, так и уполномоченные ими физические и юридические лица.

Непосредственные работы по возведению производственных мощностей в соответствии с требованиями проекта осуществляются подрядчиками, под которыми понимаются физические и юридические лица, выполняющие работы по договору подряда и (или) государственному контракту, заключаемым с заказчиками в соответствии с Гражданским кодексом РФ. Подрядчики обязаны иметь лицензию на осуществление ими тех видов деятельности, которые подлежат лицензированию в соответствии с федеральным законом.

Пользователями объектов капитальных вложений могут выступать как инвесторы, так и любые физические и юридические лица, в том числе иностранные, а также государственные органы, органы местного самоуправления, иностранные государства, международные объединения и организации, для которых создаются указанные объекты [26, c. 261].

Законодательно субъекту инвестиционной деятельности предоставлено право совмещать функции двух и более субъектов, если иное не установлено договором и (или) государственным контрактом, заключенным между ними.

Все инвесторы имеют равные права на осуществление инвестиционной деятельности, самостоятельное определение объемов и направлений капитальных вложений, владение, пользование и распоряжение объектами капитальных вложений и результатами осуществленных инвестиций, а также осуществление других прав, предусмотренных договором и (или) государственным контрактом в соответствии с законодательством РФ. Вместе с тем инвесторы несут ответственность за нарушение законодательства РФ и обязаны в установленном порядке возместить убытки в случае прекращения или приостановления инвестиционной деятельности, осуществляемой в форме капитальных вложений.

Государство не только регулирует инвестиционную деятельность, но и гарантирует всем субъектам инвестиционной деятельности независимо от форм собственности: обеспечение равных прав при осуществлении инвестиционной деятельности; гласность в обсуждении инвестиционных проектов; право обжаловать в суд решения или действия (бездействие) органов государственной власти, органов местного самоуправления и их должностных лиц; защиту капитальных вложений [26, c. 262].

Объектами инвестиционной деятельности являются вновь создаваемое различного вида имущество предприятий и организаций производственной и непроизводственной сферы, ценные бумаги (акции, облигации, сертификаты и т.п.), научно-техническая продукция, имущественные права и права на интеллектуальную собственность, денежные вклады.

Первоначальным шагом при реализации любого инвестиционного проекта является определение основных параметров проекта, т.е. его идентификация. Стоит отметить, что в современной литературе не принята единая классификация инвестиционных проектов. В настоящее время представлены различные классификационные признаки, на основе которых выстраиваются частные классификации инвестиционных проектов.

В «Методических рекомендациях по оценке эффективности инвестиционных проектов» проекты подразделяются на глобальные, крупномасштабные, региональные (городские), отраслевые и локальные. Многие экономисты рассматривают проекты относительно срока реализации как долгосрочные, среднесрочные, краткосрочные. При этом считается, что чем больше срок реализации, тем более рискованным становится сам проект. В.Д. Шапиро в теории проектного управления выделяет технический, организационный, социальный, экономический и смешанный типы проекта, соответственно подчёркивая основную направленность или характер самого проекта (цели, задачи и т.д.). Специалисты в области инвестиций классифицируют проекты по объему инвестиций на крупные, средние и мелкие, при этом в американских изданиях выделяются лишь мелкие проекты и мегапроекты. П.Л. Виленский, В.Н. Лившиц, С.А. Смоляк предлагают в качестве классификационного признака отношения проектов между собой и определяют взаимоисключающие, взаимонезависимые, взаимовлияющие и взаимодополняющие проекты, что особенно актуально для компаний, реализующих несколько проектов [53, c. 129].

Кроме этого многочисленные виды инвестиций классифицируются по следующим признакам:

−  объектам инвестиционной деятельности;

−       предназначению инвестиции;

−       типу эффекта;

−       источникам финансирования;

−       типу денежного потока;

−       отношению к риску;

−       отраслевой направленности;

−       обеспеченности проекта ресурсами;

−       территориальной направленности и др.

Рассмотрим более подробно виды инвестиционных проектов в зависимости от отдельных классификационных признаков.

Предназначение инвестиции - это ключевой признак классификации проектов, в соответствии с которым можно выделить семь основных причин инвестирования, а следовательно, и групп проектов:

−  инвестиции в повышение эффективности производства;

−       инвестиции в расширение действующего производства;

−       инвестиции в создание производственных мощностей при освоении новых сфер бизнеса;

−       инвестиции, связанные с выходом на новые рынки сбыта;

−       инвестиции в исследования и разработку новых технологий;

−       инвестиции преимущественно социального предназначения;

−       инвестиции, осуществляемые в соответствии с требованиями закона.

Инвестиции в повышение эффективности производства. Логика данных проектов совершенно очевидна. Деятельность любой фирмы связана, прежде всего, с извлечением прибыли, представляющей собой превышение доходов над затратами. Первый фактор - доходы - с позиции фирмы управляем лишь частично, поскольку существенную роль играет конкурентная среда. Второй фактор - затраты - уже более управляем, по крайней мере, путём выбора ресурсосберегающих технологий, более экономичного оборудования, лучшей организации труда, повышения квалификации работников и т.п. можно добиться относительного сокращения затрат, а следовательно, повышения эффективности производства. Примером подобного инвестиционного проекта может служить, например, проект, связанный с внедрением новой схемы ресурсопотоков, позволяющий повысить оборачиваемость средств в производственных запасах.

Инвестиции в расширение действующего производства. В данном случае речь идёт о банальном наращивании производственных мощностей ввиду возрастающей емкости рынков сбыта. Докупается аналогичное по техническим характеристикам оборудование, доукомплектовывается штат работников, расширяются закупки сырья и материалов у традиционных поставщиков.

Инвестиции в создание производственных мощностей при освоении новых сфер бизнеса. Одним из ключевых требований рациональной организации бизнеса является его диверсификация, смысл которой заключается в развитии в рамках фирмы производств, различающихся видом продукции. Две основные причины: во-первых, сглаживается колебание прибыли по годам (спад в одном секторе экономики может сопровождаться ростом в другом) и, во-вторых, осваиваются новые перспективные секторы, потенциально обещающие прибыль в будущем. Примерами подобных проектов являются строительство автомобилестроительной компанией линии по ремонту бывших в употреблении шин и по производству новых покрышек. Логика здесь очевидна - в зависимости от платёжеспособного спроса населения либо первый, либо второй проект будет давать относительно больший доход, однако в любом случае потенциальные клиенты не будут потеряны независимо от экономической ситуации.

Инвестиции, связанные с выходом на новые рынки сбыта. Подобные проекты чаще всего предусматривают расширение производства (если нет перенасыщенности производимой продукцией традиционного рынка), вместе с тем они имеют и определённую специфику.

Инвестиции в исследования и разработку новых технологий. Подобные проекты в современном динамично развивающемся мире играют исключительно важную роль. Крупные компании тратят весьма солидные суммы на исследования и разработки, отчетливо понимая, что результат реализации подобных проектов не является предсказуемым.

Инвестиции преимущественно социального предназначения. Цель подобных инвестиций - обеспечение некоторого социального преимущества, хотя достижение косвенного экономического эффекта не исключается. Примеры подобных проектов - строительство рекреационных центров, домов отдыха, спортивных центров и др. Подобные проекты носят очевидно затратный характер и потому осуществляются либо государственными и муниципальными органами, либо крупными фирмами.

Инвестиции, осуществляемые в соответствии с требованиями закона. Инвестиции в рамках ранее рассмотренных групп с очевидностью носят инициативный характер, т. е. инвестор, руководствуясь собственными аргументами, принимает решение о целесообразности разработки и реализации того или иного проекта. Однако могут быть и другие ситуации, когда инвестор вынужден внедрять некий проект. В частности, любое государство в той или иной степени озабочено состоянием здоровья нации, духовным и интеллектуальным развитием граждан. В связи с этим периодической ревизии подвергаются требования к бизнесу в отношении сохранения окружающей среды, повышения безопасности пользования производимой продукцией, степени эксплуатации работников и др. Особенно существенны требования и ограничения экологического характера, в связи с чем предприятиям приходится тратить значимые суммы на удовлетворение подобных требований. Соответствующие инвестиции могут быть как самостоятельными проектами (например, строительство новых очистных сооружений), так и субпроектами в рамках крупной инвестиционной программы. Изначально инициатором таких проектов выступает государство, однако по мере социально-экономического прогресса сами компании и общественные организации могут инициировать соответствующие капиталовложения.

По содержанию или функциональной направленности различают инвестиционные проекты расширения (развития) предприятия и проекты реабилитации (санации). Проекты развития ориентированы на рост объемов выпускаемой продукции без изменения номенклатуры или внедрение новых видов продукции с учётом требований рыночной конъюнктуры. Проекты реабилитации направлены на восстановление производства, финансовое оздоровление предприятия [26, c. 184].

Тип предполагаемого эффекта. Цели, которые ставятся при оценке проектов, могут быть различными, а результаты, получаемые в ходе их реализации, не обязательно носят характер очевидной прибыли. Могут быть проекты, сами по себе убыточные в экономическом смысле, но приносящие косвенный доход за счет обретения стабильности в обеспечении сырьем и полуфабрикатами, выхода на новые рынки сырья и сбыта продукции, достижения некоторого социального эффекта, снижения затрат по другим проектам и производствам: и др. Как уже отмечалось, во многих экономически развитых странах очень остро ставится вопрос об охране окружающей среды и обеспечении безопасности продукции компаний для пользователей и природы (нередко крупные компании включают в аналитические разделы своих годовых отчетов соответствующую информацию о капитальных и эксплуатационных затратах в этом направлении). В этом случае традиционные показатели эффекта, а также критерии оценки целесообразности принятия проекта, основанные на формализованных алгоритмах, могут уступать место неким неформализованным критериям. Несложно обособить шесть видов эффекта:

−  наращивание объемов производства;

−       сокращение затрат, сопровождающееся получением дополнительной прибыли;

−       снижение риска производства и сбыта;

−       новое знание (технология);

−       политико-экономический эффект;

−       социальный эффект [26, c. 266].

Инвестиционные проекты существенно разнятся по объему требуемых инвестиций, продолжительности периода освоения капиталовложений, сроку «эксплуатации» проекта. На практике это находит отражение в классификации проектов на крупные, традиционные и мелкие, причем обычно в качестве критерия отнесения проекта к той или иной группе берется объем капиталовложений. Безусловно, эта и некоторые подобные ей классификации проектов не являются строго определенными, т. е. в известном смысле они достаточно условны. Иными словами, какой проект считать традиционным, а какой мелким - сугубо частное дело, т. е. соответствующих строгих критериев не может существовать в принципе. В частности, градация проектов по объему требуемых инвестиций чаще всего зависит от размеров самой компании, поскольку очевидно, что в солидной финансово-промышленной группе и небольшом заводе по производству мебели используемые критерии отнесения анализируемого проекта к крупному или мелкому существенно разнятся. Несмотря на известную условность, смысловая нагрузка подразделения проектов на крупные, традиционные и мелкие достаточно существенна. Дело в том, что проекты из разных групп, как правило, находятся в компетенции руководителей различного уровня. Так, в крупной фирме является обычной практика ограничения объема капиталовложений, которым вправе распоряжаться менеджер того или иного уровня; что касается амбициозных затратоемких проектов, то решение об их целесообразности обычно принимается на самом высоком уровне (например, советом директоров или на собрании акционеров).

Существуют и другие причины, обусловливающие необходимость рассматриваемой классификации; это, в частности, поиск соответствующих источников финансирования, различие в оценке риска и последствий в случае того или иного развития событий на рынке товаров и услуг и т. п. Так, если мелкий проект может быть профинансирован за счет собственных источников, то для реализации крупного проекта необходимо привлечение дополнительных источников, что связано с оценкой риска, необходимостью обеспечения по лученных кредитов и займов, оценкой средневзвешенной стоимости источников и др.

По предлагаемой схеме финансирования инвестиционные проекты дифференцируются на проекты, финансируемые за счёт внутренних источников предприятия (например, за счёт чистой прибыли); проекты, финансируемые за счёт акционирования (первичной или дополнительной эмиссии акций); проекты, финансируемые за счёт кредитных ресурсов; проекты со смешанными формами финансирования [26, с. 186].

Тип денежного потока. С любым проектом увязывается денежный поток как череда инвестиций и поступлений. Поток называется ординарным, если он состоит из исходной инвестиции, сделанной единовременно или в течение нескольких последовательных базовых периодов, и последующих притоков денежных средств; если притоки денежных средств чередуются в любой последовательности с их оттоками, поток называется неординарным. Выделение ординарных и неординарных потоков чрезвычайно важно при выборе того или иного критерия оценки, поскольку, как будет показано в дальнейшем, не все критерии справляются с ситуацией, когда приходится анализировать проекты с неординарными денежными потоками.

Инвестиционные проекты различаются по степени риска: наименее рисковы проекты, выполняемые по государственному заказу; наиболее рисковы проекты, связанные с созданием новых производств и технологий.

 

1.2 Этапы разработки и реализации инвестиционного проекта


Любой проект, даже самый крупный, обычно является лишь элементом инвестиционной программы, осуществляемой в рамках инвестиционной политики фирмы. Разработка этой политики предполагает: формулирование долгосрочных целей деятельности фирмы; поиск новых перспективных сфер приложения свободного капитала; разработку инженерно-технологических, маркетинговых и финансовых прогнозов; формулирование целей и подцелей инвестиционной деятельности; исследование рынка и идентификацию возможных и доступных проектов; экономическую оценку и перебор вариантов в условиях различных ограничений (временных, ресурсных, имеющих экономическую и социальную природу и др.); формирование инвестиционного портфеля; подготовку и периодическое уточнение бюджета капитальных вложений; перманентную оценку действующих проектов; оценку последствий реализации завершившихся проектов. В ходе формирования стратегии развития фирмы очерчиваются основные направления ее деятельности, сферы и приоритетность приложения капитала. При этом исходят из приемлемой рентабельности, устойчивости роста, необходимой диверсификации бизнеса. Вопрос о поиске перспективных сфер приложения капитала возникает по мере стабилизации выбранного бизнеса и появления денежных средств, которые собственники считают возможным не изымать из бизнеса. Любая инвестиционная программа базируется на прогнозных оценках маркетингового, технического, технологического и финансового характера, которые используются при разработке бюджета капиталовложений. С течением времени в крупной фирме чаще всего формируется портфель допустимых проектов, которые могут быть реализованы по мере появления источников финансирования. Более того, любое конкретное приложение капитала обычно может быть выполнено различными способами, т. е., как правило, возникает понятие альтернативных проектов, которых с помощью ряда критериев и выбирается окончательный вариант действий. В крупной фирме инвестиционная деятельность, понимаемая как совокупность чередующихся проектов, осуществляется практически непрерывно. Этим обусловливается необходимость постоянного текущего контроля и оценки действующих проектов на предмет целесообразности их продолжения или, напротив, завершения. Любой завершенный проект подлежит так называемому пост-аудиту, в ходе которого оцениваются полученные результаты и последствия.

Разработка и реализация реального инвестиционного проекта - от первоначальной идеи до эксплуатации предприятия - может быть представлена в виде цикла. Жизненным циклом проекта называется промежуток времени между его разработкой и моментом ликвидации.

Жизненный цикл состоит из трех отдельных фаз: прединвестиционной, инвестиционной и эксплуатационной (приложение А) [26, c. 44-46]. Некоторые авторы выделяют также ликвидационно-аналитическую фазу.

Невозможно дать универсальный подход к разделению процесса реализации проекта на конкретные фазы. Решая для себя такую задачу, участники проекта могут руководствоваться своей ролью в проекте, своим опытом и конкретными условиями выполнения проекта.

Реализация проекта требует выполнения определенной совокупности мероприятий, связанных с разработкой технико-экономического обоснования проекта, контрактной деятельностью, организацией и финансированием работ по проекту, созданием новых технологий, планированием ресурсов и хода работ над проектом, закупкой материалов и оборудования, а также строительством и сдачей готовых объектов в эксплуатацию. Уже это перечисление видов деятельности по проекту показывает, насколько они разнородны, именно поэтому при разработке проекта важно понимать, что конкретно необходимо сделать на том или ином этапе разработки и реализации инвестиционного проекта.

На первом этапе в границах, очерченных в ходе разработки долгосрочной инвестиционной программы (речь идет о поиске новых возможностей приложения капитала, модернизации действующего производства, его расширении и т. п.), осуществляются:

−  систематизация инвестиционных концепций;

−       обзор возможных вариантов их реализации;

−       выбор наилучшего варианта действий (т. е. наилучшего проекта);

−       разработка плана действий по его реализации.

Данная фаза также может быть разбита на несколько этапов, каждый из которых в той или иной степени обязателен для выработки обоснованного решения.

Этап сбора информации и прогнозирования объемов реализации. На этом этапе разработчик инвестиционного проекта должен собрать как можно больше сведений о том, какой спрос предъявляют потребители на планируемый к выпуску продукт. При этом должны быть выявлены и проанализированы спрос и цены на аналогичные товары (работы, услуги), на товары-заменители, а также наличие фирм-конкурентов и их политика. Важно рассмотреть краткосрочную и долгосрочную перспективу рынка данного товара. Анализ возможной емкости рынка сбыта продукции, т.е. прогнозирование объема реализации является очень существенным, поскольку его недооценка может привести к потере определенной доли рынка сбыта, а его переоценка - к неэффективному использованию введенных по проекту производственных мощностей, или к неэффективности сделанных капиталовложений.

Преимуществом на этом этапе пользуются крупные фирмы и корпорации, планирующие значительные инвестиции. Они могут позволить себе проведение дорогостоящих маркетинговых исследований, результатом которых является объективный и достаточно надежный ответ на вопрос о возможных объемах реализации. Небольшие фирмы вынуждены полагаться исключительно на опыт и интуицию своих менеджеров.

Этап прогнозирования объемов производства и прибыли. На этом этапе разработчик проекта, исходя из возможного объема реализации, определяет размер и технологический уровень предприятия. При этом следует иметь в виду масштаб доступных источников финансирования. Затем анализируются цены и условия оплаты оборудования; сравниваются альтернативные варианты (выкуп оборудования или лизинг); анализируется рынок аренды (покупки) требуемых помещений; количество, квалификация и оплата привлекаемого персонала.

Если все предыдущие работы может проделать, например, маркетинговая служба предприятия, то на данном этапе к разработке проекта должен подключиться бухгалтер-аналитик. Получив информацию о всех возможных издержках, он, проведя их классификацию, калькулирует плановую себестоимость продукции. Информация о прогнозируемых ценах реализации и объемах производства позволяет рассчитать плановую прибыль. Необходимым инструментом на данном этапе является анализ безубыточности.

Итак, результатом работ на данном этапе является прогноз объемов продаж, их себестоимости и прибыли. Если размер планируемой прибыли меньше некоторого порогового значения, установленного фирмой, то проект может быть отвергнут уже на этой стадии разработки. Если же размер прибыли будет признан приемлемым, то целесообразно проведение дальнейшего анализа.

Этап оценки видов и уровней рисков. На этом этапе подвергаются критическому анализу все ранее полученные сведения в части достижимых объемов реализации и производства, отпускных цен на продукцию, уровня издержек и т.д. и сделанные на их основе выводы. Рассматриваются различные варианты ухудшения конъюнктуры. Это достигается посредством анализа чувствительности в рамках анализа безубыточности.

Для получения полной и объективной картины также анализируются различные возможные варианты изменения конъюнктуры в сторону улучшения. Существуют методики, позволяющие судить на основе анализа чувствительности о том, насколько рискованным является инвестирование средств в данный проект.

В результате разработчик получает ответ на вопрос, является ли уровень риска, сопряженный с данным проектом, приемлемым. Если нет - проект отвергается, если да - подвергается дальнейшему анализу.

Этап определения требуемого объема и графика инвестиций. Рассмотрев и проанализировав с точки зрения минимизации все издержки, сопутствующие проекту, разработчик получает информацию о размере вложений во внеоборотные активы. Анализ схемы финансовых потоков (построение сметы расходования и поступления денежных средств) позволяет определить размер необходимого оборотного капитала. Располагая детально разработанной информацией о затратах, можно определить объем и график требуемых инвестиций.

Этап оценки доступности требуемых источников финансирования. Рассчитав объем и график инвестиций, разработчик решает, какие источники финансирования (из числа доступных) будут задействованы. В случае, если собственных средств организации оказывается недостаточно и инвестиции предполагается осуществить за счет привлеченных кредитов, необходим анализ рынка ссудных капиталов.

Этап оценки приемлемого значения стоимости капитала. Основной целью данного этапа является сравнение разрабатываемого инвестиционного проекта с другими, альтернативными возможностями размещения капитала. Это достигается посредством методики, называемой «анализом инвестиций», или «анализом капиталовложений».

Результатом исследований, проведенных на этом этапе, является окончательный обоснованный ответ на вопрос о том, выгоден ли разрабатываемый проект и должен ли он быть воплощен в жизнь.

Описанная последовательность действий при разработке инвестиционного проекта, безусловно, не является обязательной. Исследования на всех этапах могут выполняться не последовательно, а параллельно. Это даже предпочтительнее, так как без оценки доступности источников финансирования, например, невозможно обосновать предполагаемый размер инвестиций и т.д.

На второй фазе жизненного цикла осуществляются капитальные вложения, определяется оптимальное соотношение по структуре активов (производственные мощности, производственные запасы, денежные средства и др.), уточняются график и целесообразная очередность ввода мощностей, устанавливаются связи и заключаются договоры с поставщиками сырья, материалов и полуфабрикатов, определяются способы текущего финансирования предусматриваемой проектом деятельности, осуществляется подбор кадров, заключаются договоры поставки производимой по проекту продукции. Безусловно, ключевой пункт данного этапа - возведение производственных мощностей в соответствии с утвержденным графиком.

Третий этап - самый продолжительный во времени. В ходе эксплуатации проекта формируются планировавшиеся результата, а также осуществляется их оценка с позиции целесообразности продолжения или прекращения проекта. Основные проблемы на этом этапе - традиционны и заключаются в обеспечении ритмичности производства продукции, ее сбыта и финансирования текущих затрат. Поскольку заранее (т. е. на предынвестиционном этапе) невозможно, а иногда и не требуется учитывать все детали проекта, при необходимости в него могут вноситься отдельные изменения, т. е. осуществляется текущее регулирование отдельных сторон базового технологического процесса, вводятся дополнительные технологические процедуры, делается их перегруппировка, имеющая целью повысить общую эффективность проекта, и др. Не исключена и необходимость или целесообразность дополнительных, заранее непредусмотренных, но некритических по объему и срокам инвестиций.

Четвертый этап является исключительно важным и должен в обязательном порядке предусматриваться в инвестиционных программах, На этом этапе решаются три базовые задачи. Во-первых, ликвидируются возможные негативные последствия закончившегося или прекращаемого проекта. Главным образом, речь идет о последствиях экологического характера, при этом основной принцип таков - по завершении проекта окружающей среде не должен быть нанесен ущерб, и она должна быть по возможности облагорожена. В зависимости от сути и масштабов проекта решение этой задачи может быть сопряжено со значительными финансовыми затратами, которые, по возможности, должны учитываться на предынвестиционном этапе.

Во-вторых, высвобождаются оборотные средства и переориентируются производственные мощности. Как уже отмечалось, долгосрочная инвестиционная программа обычно представляет собой цепь пересекающихся и сменяющих друг друга проектов. Любой проект требует не только единовременных инвестиций, но и оборотных средств, немалая часть которых высвобождается по завершении проекта и, соответственно, может быть использована для текущего финансирования нового или расширения другого, действующего проекта. То же самое относится и к материально-технической базе.

В-третьих, осуществляется оценка и анализ соответствия поставленных и достигнутых целей завершенного проекта, его результативности и эффективности, формулируются позитивные и негативные моменты, характерные для всех фаз его развития, оценивается степень достоверности и вариабельности прогнозов и надежности использованных методов прогнозирования. Данная задача является исключительно важной по той простой причине, что именно в процессе пост-аудита систематизируется и выкристаллизовывается методика экономического обоснования проектов, технология и культура надлежащего администрирования инвестиционной деятельностью.

Исходя из специфики данного исследования, рассмотрим более подробно задачи, решаемые на первой, предынвестиционной фазе развития проекта.

Как уже было сказано выше, на этом этапе проводится ряд исследований и ведется подготовка к началу осуществления проекта. Степень подробности исследований, в мировой практике называемых предынвестиционными, может варьироваться в зависимости от требований инвестора, возможности их финансирования и времени, отведенного на их проведение.

Принято выделять три уровня предынвестиционных исследований:

−  исследование возможностей;

−       подготовительные или предпроектные исследования;

−       оценка осуществимости или технико-экономические исследования.

Различие между уровнями предынвестиционных исследований достаточно условно. Как правило, поэтапная подготовка окончательного решения необходима только в случаях достаточно крупных проектов, типа проектов строительства нового предприятия или организации нового производства. Важно отметить факт безусловной необходимости проработки всех опросов, связанных с осуществлением инвестиционного проекта, так как это в значительной степени определяет успех или неудачу проекта в целом (естественно, при условии, что не будет допущено серьезных ошибок на следующих стадиях). Недостаточно или неправильно обоснованный проект будет обречен на серьезные трудности при его реализации, независимо от того, насколько успешно будут предприниматься все последующие действия.

Стоимость проведения предынвестиционных исследований в общей сумме капитальных затрат довольно велика. По данным ЮНИДО, она составляет от 0,8% для крупных проектов до 5% при небольших объемах инвестиций.

В общем случае результаты предынвестиционных исследований должны дать исчерпывающую характеристику инвестиционного проекта. На всех стадиях, несмотря на различную глубину проработки, исследования должны вестись комплексно, с возможным привлечением специалистов самого широкого профиля для уточнения технологических, технических и других вопросов (так называемые «поддерживающие исследования»).

Структура информации, прорабатываемой в ходе исследований, согласно рекомендациям ЮНИДО, выглядит следующим образом:

−  цели проекта, его ориентация и экономическое окружение, юридическое обеспечение (налоги, государственная поддержка и т.п.);

−       маркетинговая информация (возможности сбыта, конкурентная среда, перспективная программа продаж и номенклатура продукции, ценовая политика);

−       материальные затраты (потребности, цены и условия поставки сырья, вспомогательных материалов и энергоносителей);

−       место размещения с учетом технологических, климатических, социальных и иных факторов;

−       проектно-конструкторская часть (выбор технологии, спецификация оборудования и условия его поставки, объемы строительства, конструкторская документация и т.п.);

−       организация предприятия и накладные расходы (управление, сбыт и распределение продукции, условия аренды, графики амортизации оборудования и т.п.);

−       кадры (потребность, обеспеченность, график работы, условия оплаты, необходимость обучения);

−       график осуществления проекта (сроки строительства, монтажа и пуско-наладочных работ, период функционирования);

−       коммерческая (финансовая и экономическая) оценка проекта.

Вышеприведенная структура в целом соответствует структуре бизнес-плана инвестиционного проекта.

В самом общем случае под бизнес-планом понимается текст, содержащий в структурированном виде всю информацию о проекте, необходимую для его осуществления. Следует, однако, отметить, что понятие «бизнес-план» может трактоваться в более широких пределах, а его содержание будет зависеть от назначения этого документа. Например, бизнес-планом может быть назван инвестиционный проспект, направленный на предоставление информации о проекте потенциальным инвесторам.

В некоторых случаях подготовка бизнес-плана является промежуточной стадией разработки проекта, а сам бизнес-план выступает как «переговорный текст», то есть как основа для ведения переговоров между держателем проекта и потенциальными его участниками (инвесторами). В последнем случае в нем может быть опущена или приведена только в самом общем виде оценка форм и условий финансирования.

Последний блок из приведенного перечня - коммерческая оценка - имеет ключевое значение для принятия решения о состоятельности инвестиционного проекта. Далее будут подробно рассматриваться вопросы подготовки исходных данных, процедуры и методы обработки и анализа имеющейся информации, а также интерпретация результатов, полученных в ходе расчетов.

инвестиционный стоимость ликвидность баланс

1.3 Методика оценки эффективности инвестиционного проекта

 

.3.1 Базовые понятия и принципы оценки эффективности инвестиционного проекта

Методы оценки экономической эффективности инвестиций должны базироваться на принципах, выступающих в виде основных правил и положений, которыми необходимо руководствоваться при выборе проектного решения. В литературе можно встретить различные подходы к формулировке этих принципов. Обширный их перечень дается в «Методических рекомендациях по оценке эффективности инвестиционных проектов». Основополагающие принципы оценки эффективности содержатся в работах В.В. Новожилова. К важнейшим из методических принципов оценки эффективности инвестиционных проектов можно отнести следующие.

Принцип комплексности оценки эффективности инвестиционного проекта. Он требует определения эффективности проекта с учетом всего многообразия не только экономических, но и социальных, технических, экологических и других последствий.

Принцип сопоставимости по всей совокупности расчетных показателей инвестиционных проектов. Соблюдение данного принципа позволяет осуществлять объективный выбор сравниваемых проектных решений. Аналогом этого принципа является сформулированное В.В. Новожиловым так называемое правило тождества эффектов, которое означает, что «сравниваемые проектные варианты должны выполнять тождественные народно-хозяйственные задачи, т.е. удовлетворять тождественные по объему, составу, месту и времени потребности и служить тождественным по характеру, объему, месту и времени целям экономической политики».

Принцип полного учета предстоящих затрат и поступлений и учета прошлых затрат в виде затрат обратной связи. В ходе реализации проекта могут быть использованы ранее созданные средства производства. При расчете эффективности затраты на их создание должны быть приравнены к нулю, так как мы не способны влиять на прошлое. Ранее созданные средства производства, используемые в проекте, оцениваются по величине упущенной выгоды, т.е. по величине затрат обратной связи. Как пишет В.В. Новожилов, «старые средства производства должны оцениваться по той экономии предстоящего труда, которую они дают, считая при этом прошлый труд равным нулю. А эта экономия предстоящего труда не что иное, как затраты обратной связи».

Принцип учета неопределенности и рисков, связанных с реализацией инвестиционного проекта. Ожидаемые расчетные значения показателей эффективности инвестиционных проектов носят вероятностный характер, и они чаще всего расходятся с фактическими их значениями, что обусловливается динамизмом и сложной предсказуемостью их значений. В бескризисные периоды колебания экономических нормативов происходят в ожидаемых и допустимых для нормального экономического развития хозяйствующего субъекта пределах, а в периоды резких перемен на финансовых и товарных рынках под влиянием различных причин они могут подвергнуться серьезнейшим изменениям.

Теснейшим образом с предыдущим принципом связан принцип учета инфляции и оценки возможности использования для реализации инвестиционного проекта нескольких валют.

Принцип учета влияния времени на технико-экономические и финансовые показатели, нормативы и условия, формирующие уровень эффективности инвестиционного проекта во всех фазах его жизненного цикла. Выделяются различные формы проявления фактора времени, которые необходимо учитывать при оценке эффективности инвестиций. Во времени изменяются сроки поставок, выполнения определенных видов работ и проведения мероприятий, стоимость приобретаемых средств производства и реализуемой продукции и т.п. Экономические показатели имеют вероятностную природу, но время оказывает влияние на их оценку. Даже точно детерминированные разновременные и формально равные значения экономических показателей неравноценны и фактически для хозяйствующего субъекта не равны, так как неравноценны для него равные величины настоящих и будущих затрат или результатов. Прибыль, полученная в этом году, ценнее, чем тот же размер прибыли, полученной через 10 лет. Иными словами, стоимость денег зависит от времени, поэтому разновременно израсходованные на инвестиционный проект деньги и доходы разных лет должны быть приведены к одному моменту времени.

Принцип моделирования реальных денежных потоков, связанных с реализацией проекта за весь период его жизненного цикла, и оценка на этой основе возврата инвестируемого капитала.

Принцип системности оценки эффективности инвестиционной политики, который требует, чтобы проект рассматривался как составная часть в рамках общей системы развития хозяйствующего субъекта. Если реализация проекта оказывает большое положительное влияние на перспективы развития предприятия или региона, то могут существенно снизиться требования к текущим показателям эффективности инвестиционной политики.

Наиболее полная характеристика принципов оценки эффективности инвестиционных проектов приводится в книге П.Л. Виленского, В.Н. Лившица, С.А. Смоляка «Оценка эффективности инвестиционных проектов: теория и практика». Авторы выделяют 30 принципов: 10 методологических, 10 методических и 10 операциональных.

Методологические принципы:

−  общественная допустимость;

−       системность;

−       комплексность;

−       адекватность;

−       платность ресурсов;

−       неотрицательность и максимум эффекта;

−       сравнимость;

−       выгодность;

−       наличие разных участников проекта и согласование их интересов;

−       неопровергаемость методов.

Методические принципы:

−  сравнение ситуаций «с проектом» и «без проекта»;

−       уникальность;

−       измеримость;

−       субоптимизация;

−       неуправляемость прошлого;

−       динамичность;

−       временная ценность денег;

−       неполнота информации;

−       структура капитала;

−       многовалютность.

Операциональные принципы:

−  взаимосвязь параметров;

−       моделирование;

−       организационно-экономический механизм реализации проекта;

−       многостадийность оценки;

−       полезность информации;

−       увязка с политикой государства;

−       информационная согласованность;

−       методическая согласованность;

−       симплификация;

−       универсализация оценочных процедур.

Методологические принципы оценки эффективности инвестиций - наиболее общие, обеспечивающие рациональное поведение экономических субъектов независимо от характера и целей проекта; методические - обеспечивающие экономическую обоснованность оценки эффективности проектов и решений, принимаемых на их основе; операциональные - облегчающие и упрощающие процедуру оценки эффективности проектов и обеспечивающие необходимую точность оценок.

В финансовом плане, когда речь идет о целесообразности принятия того или иного проекта, по сути подразумевается необходимость получения ответа на три вопроса:

а) каков необходимый объем финансовых ресурсов?

б)      где найти источники в требуемом объеме и какова их стоимость?

в)      окупятся ли сделанные вложения, т.е. достаточен ли объем прогнозируемых поступлений по сравнению со сделанными инвестициями?

К числу ключевых категорий, лежащих в основе используемых при ответе на эти вопросы процедур и методов количественного обоснования подготавливаемых управленческих решений, относятся понятия временной ценности денег и стоимости капитала.

Решения финансового характера в подавляющем большинстве случаев не являются одномоментными в плане проявления вызываемых ими последствий. Иными словами, здесь весьма важную, если не решающую, роль играет фактор времени. Ключевыми моментами методов оценки эффективности финансовых операций, определяющими их логику, являются следующие утверждения: в подавляющем большинстве случаев собственно операции или их последствия «растянуты» во времени, а поэтому элементы денежного потока, относящиеся к разным моментам времени, без определенных преобразований не сопоставимы.

В настоящее время в практику обоснования инвестиционных проектов прочно вошли методы, основанные на дисконтировании денежных потоков. Следуя методикам Всемирного банка реконструкции и развития, Европейского банка реконструкции и развития, а также методике ООН по промышленному развитию (так называемая методика ЮНИДО), миллионы инвесторов во всем мире производят оценку эффективности инвестиционных проектов по показателям чистого дисконтированного дохода, внутренней нормы доходности, дисконтированного срока окупаемости.

Методические рекомендации по оценке эффективности инвестиционных проектов, разработанные группой российских учёных во главе с В.В. Косовым, В.Н. Лившицем, А.Г. Шахназаровым, также основаны на дисконтировании денежных потоков.

Однако в последние годы в научной литературе стали появляться отдельные публикации, где подвергается резкой критике методика дисконтирования денежных потоков и указывается необходимость её совершенствования. Свою точку зрения критики методологии дисконтирования денежных потоков смогли аргументировать. По их мнению, процедура дисконтирования потоков реальных денег задает необоснованно высокие темпы обесценивания будущих денежных поступлений по проекту. В результате ценность денежных поступлений, отдалённых во времени на 5 и более лет, становится ничтожно малой величиной. Таким образом проекты реального инвестирования, как правило, не выдерживают сопоставления отдалённых во времени результатов, учтённых в «дешёвых» деньгах, с затратами, которые производятся на начальных этапах реализации проекта, и поэтому учитываются в полновесных «дорогих» денежных единицах.

На основании сказанного критики методологии дисконтирования денежных потоков приходят к выводу о том, что её применение в обосновании инвестиционных проектов имеет тяжёлые последствия для экономики, поскольку вызывает отток финансовых ресурсов из её реального сектора в сектор краткосрочных спекулятивных финансовых операций, нарушает нормальный процесс воспроизводства основных фондов в сфере материального воспроизводства [60, с. 32].

Однако, ввиду того, что методологии комплексной оценки инвестиционных проектов, способной заместить принятую во всем мире методологию, при этом сохранив её достоинства и исключив указанные недостатки, до настоящего времени не разработано, рассмотрим методологию, основанную на дисконтировании денежных потоков.

Логика построения основных алгоритмов основана на двух операциях - наращении и дисконтировании. В первом случае движутся от «настоящего» к будущему, во втором - наоборот. В обоих случаях с помощью схемы сложных процентов удается получить оценку денежного потока с позиции будущего или «настоящего».

Расчет наращенной (FV) и дисконтированной (PV) величин осуществляется по формулам (1.1) и (1.2) соответственно:


где FV - наращенная сумма, доход, планируемый к получению в n-м году;

PV - инвестируемая сумма;

R - ставка наращения;

n - срок деятельности проекта.


Приведенные формулы входят в число базовых в финансовых вычислениях, поэтому для удобства пользования значения множителей (1+r)n и 1/(1+r)n табулированы для различных значений r и n. Указанный множители) называются соответственно мультиплицирующим и дисконтирующим множителями или коэффициентами наращения и дисконтирования. Экономический смысл коэффициента наращения состоит в следующем: он показывает, чему будет равна одна денежная единица через n периодов при заданной процентной ставке r. Коэффициент дисконтирования показывает «текущую» цену одной денежной единицы будущего, т. е. чему с позиции текущего момента равна одна денежная единица, циркулирующая в сфере бизнеса n периодов спустя от момента расчета, при заданных процентной ставке (доходности) r и частоте начисления процентов. Термин «текущая стоимость» не следует понимать буквально, поскольку дисконтирование может быть выполнено на любой момент времени, не обязательно совпадающий с текущим моментом.

Учитывая значимость дисконтирования, влияние размера дисконта на величины критериев проекта, при расчете показателей его эффективности особое внимание следует уделять выбору величины дисконта.

При обосновании нормы дисконтирования обычно используются следующие подходы. Дисконт определяется как:

−  средний уровень ставки по депозитам крупных банков;

−       средневзвешенная величины стоимости инвестиций по различным источникам их финансирования;

−       величина безрисковой ставки, скорректированная на инфляцию.

Любая компания нуждается в источниках средств для того, чтобы финансировать свою деятельность, как с позиции перспективы, так и в плане текущих операций. В зависимости от длительности существования в данной конкретной форме активы компании, равно как и источники средств можно подразделить на кратко- и долгосрочные. Привлечение того или иного источника финансирования связано для компании с определенными затратами: акционерам нужно выплачивать дивиденды, банкам - проценты за предоставленные ими ссуды, инвесторам - проценты за сделанные ими инвестиции и др. Общая сумма средств, которую нужно уплатить за использование определенного объема финансовых ресурсов, выраженная в процентах к этому объему, называется стоимостью капитала. В идеале предполагается, что, как правило, текущие активы финансируются за счет краткосрочных, а средства длительного пользования - за счет долгосрочных источников средств. Благодаря этому оптимизируется общая сумма расходов по привлечению средств.

Концепция стоимости капитала является одной из базовых в теории капитала. Она не сводится только к исчислению относительной величины денежных выплат, которые нужно перечислить владельцам, предоставившим финансовые ресурсы, но также характеризует тот уровень рентабельности инвестированного капитала, который должна обеспечивать фирма, чтобы не уменьшить свою рыночную стоимость.

Стоимость любого источника финансирования различна, поэтому стоимость капитала по фирме в целом находят по формуле средней арифметической взвешенной. Показатель исчисляется в процентах и, как правило, по годовым данным. Основная сложность при расчетах заключается в исчислении стоимости единицы капитала, полученного из конкретного источника средств. Для некоторых источников ее можно вычислить достаточно легко (например, цена банковского кредита), для ряда других источников это сделать довольно трудно, причем точное исчисление в принципе невозможно. Тем не менее даже приблизительное знание стоимости капитала коммерческой организации весьма полезно как для сравнительного анализа эффективности авансирования средств в его деятельность, так и для осуществления его собственной инвестиционной политики.

Показатель, характеризующий относительный уровень общей суммы расходов на поддержание оптимальной структуры долгосрочный источников финансирования фирмы, как раз и характеризует стоимость авансированного в ее деятельность капитала и носит название средневзвешенной стоимости капитала (weighted average cost of capital, WACC). Этот показатель отражает сложившийся на предприятии минимум возврата на вложенный в его деятельность капитал, его рентабельность, и рассчитывается по формуле средней арифметической взвешенной по нижеприведенному алгоритму:

где kj          - стоимость j-гo источника средств;- удельный вес j-гo источника средств в их общей сумме.

Не только собственно расчет значения WACC, но и обоснованность применения этого показателя в аналитических расчетах связаны с определенными оговорками и условностями. В частности, при анализе инвестиционных проектов использование WACC в качестве коэффициента дисконтирования возможно лишь в том случае, если имеется основание полагать, что новые и существующие инвестиции имеют одинаковую степень риска и финансируются из различных источников, являющихся типовыми для финансирования инвестиционной деятельности в данной компании. Нередко привлечение дополнительных источников для финансирования новых проектов приводит к изменению финансового риска компании в целом, т. е. к изменению значения WACC. Отметим также, что на значение эти показателя оказывают влияние не только внутренние условия деятельности компании, но и внешняя конъюнктура финансового рынка; так, при изменении процентных ставок изменяется и требуемая акционерами норма прибыли на инвестированный капитал, что влияет на значение WACC.

1.3.2          Критерии оценки эффективности инвестиционных проектов

Критерии, используемые в анализе инвестиционной деятельности, можно подразделить на две группы в зависимости от того, учитывается или нет временной параметр:

−  основанные на дисконтированных оценках;

−       основанные на учетных оценках.

К первой группе относятся критерии:

−  чистый приведенный (дисконтированный) доход (net present value, NPV);

−       индекс рентабельности инвестиции (profitability index, PI);

−       внутренняя норма прибыли (internal rate of return, IRR);

−       дисконтированный срок окупаемости инвестиции (discounted payback period, DPP).

Ко второй группе относятся критерии:

−  срок окупаемости инвестиции (payback period, РР);

−       коэффициент эффективности инвестиции (accounting rate of return, ARR).

Рассмотрим ключевые идеи, лежащие в основе наиболее распространенных методов оценки инвестиционных проектов, использующих данные критерии.

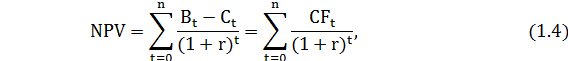
Метод расчета чистой приведенной стоимости.

В основе данного метода заложено следование основной целевой установке, определяемой собственниками компании - повышение ценности фирмы, количественной оценкой которой служит ее рыночная стоимость. Тем не менее принятие решений по инвестиционным проектам чаще всего инициируется и осуществляется не собственниками компании, а ее управленческим персоналом. Поэтому здесь молчаливо предполагается, что цели собственников и высшего управленческого персонала конгруэнтны, т. е. негативные последствия возможного агентского конфликта не учитываются. Этот метод основан на сопоставлении величины инвестиций с общей суммой поступлений, генерируемых в течение прогнозируемого срока. Поскольку денежные потоки распределены во времени, он дисконтируются с помощью ставки r, устанавливаемой аналитиком (инвестором) самостоятельно.


где Bt - суммарные поступления за период;

Ct - суммарные затраты за период;

CFt - суммарный денежный поток за период.

Имея в виду упомянутую выше основную целевую установку, на достижение которой направлена деятельность любой компании, можно дать экономическую интерпретацию критерия NPV с позиции ее владельцев, которая по сути и определяет логику критерия NPV:

−  если NPV<0, то в случае принятия проекта ценность компании уменьшится, т. е. владельцы компании понесут убытки;

−       если NPV=0, то в случае принятия проекта ценность компании не изменится, т. е. благосостояние ее владельцев останется на прежнем уровне;

−       если NPV>0, то в случае принятия проекта ценность компании, а следовательно, и благосостояние ее владельцев увеличатся.

Следует особо прокомментировать ситуацию, когда NPV=0. В этом случае действительно благосостояние владельцев компании не меняется, однако, как уже отмечалось выше, инвестиционные проекты нередко принимаются управленческим персоналом самостоятельно, при этом менеджеры могут руководствоваться и своими предпочтениями. Проект с NPV=0 имеет все же дополнительный аргумент в свою пользу - в случае реализации проекта объемы производства возрастут, т. е. компания увеличится в масштабах. Поскольку нередко увеличение размеров компании рассматривается как положительная тенденция, проект все же принимается.

Возможен и другой вариант рассуждений. Ситуация, когда NPV=0 в чисто вычислительном плане достаточно редка, и потому, если она имеет место, то вполне вероятно, что данный проект не обладает необходимым запасом прочности. Иными словами, если прогнозные оценки оказались чересчур «смелыми», то проект окажется убыточным. Поэтому в подобной ситуации рекомендуется вновь обсудить обоснованность прогнозных оценок основных параметров проекта. Более того, можно говорить о некотором положительном минимуме как границе значения NPV, ниже которой этот показатель не должен опускаться, поскольку очевидно, что любые значения NPV, незначительно (в относительном смысле) превышающие нулевую отметку, свидетельствуют о рисковости проекта и «шаткости» данного критерия как аргумента в пользу принятия проекта.

При прогнозировании доходов по годам необходимо по возможности учитывать все виды поступлений как производственного, так и непроизводственного характера, которые могут быть ассоциированы с данным проектом. Так, если по окончании периода реализации проекта планируется поступление средств в виде ликвидационной стоимости оборудования или высвобождения части оборотных средств, они должны быть учтены как доходы соответствующих периодов.

При расчете NPV, как правило, используется постоянная ставка дисконтирования, однако при некоторых обстоятельствах, например, ожидается изменение уровня учетных ставок, могут использоваться индивидуализированные по годам значения ставки.

Необходимо отметить, что показатель NPV отражает прогнозную оценку изменения экономического потенциала коммерческой организации в случае принятия рассматриваемого проекта, причем оценка делается на момент окончания проекта, но с позиции текущего момента времени, т. е. начала проекта. Этот показатель аддитивен в пространственно-временном аспекте, т. е. NPV различных проектов можно суммировать. Это очень важное свойство, выделяющее данный критерий из всех остальных и позволяющее использовать его в качестве основного при анализе оптимальности инвестиционного портфеля.

Метод расчета индекса рентабельности инвестиции является по сути следствием метода расчета NPV. Индекс рентабельности (PI) рассчитывается по формуле


где CIFt - приток денежных средств за период;

COFt - отток денежных средств за период t.

В отличие от чистого приведенного эффекта индекс рентабельности является относительным показателем: он характеризует уровень доходов на единицу затрат, т. е. эффективность вложений - чем больше значение этого показателя, тем выше отдача каждого рубля, инвестированного в данный проект. Благодаря этому критерий PI очень удобен при выборе одного проекта из ряда альтернативных, имеющих примерно одинаковые значения NPV (в частности, если два проекта имеют одинаковые значения NPV, но разные объемы требуемых инвестиций, то очевидно, что выгоднее тот из них, который обеспечивает большую эффективность вложений), либо при комплектовании портфеля инвестиций с целью максимизации суммарного значения NPV.

Очевидно, что если:

−  РI > 1, то проект следует принять;

−       PI < 1, то проект следует отвергнуть;

−       PI = 1, то проект не является ни прибыльным, ни убыточным.

Под внутренней нормой прибыли инвестиции (внутренняя доходность, внутренняя окупаемость) понимают значение ставки дисконтирования r, при которой значение NPV проекта равно нулю. Таким образом, значение IRR рассчитывается из уравнения


Расчёт обычно производят посредством вычислительной техники, однако, при невозможности её использования применяется метод последовательных итераций с использованием табулированных значений дисконтирующих множителей.

Смысл расчета внутренней нормы прибыли при анализе эффективности планируемых инвестиций, как правило, заключается в следующем: IRR показывает ожидаемую доходность проекта, и, следовательно, максимально допустимый относительный уровень расходов, которые могуn быть ассоциированы с данным проектом. Например, если проект полностью финансируется за счет кредита коммерческого банка, то значение IRR показывает верхнюю границу допустимого уровня банковской процентной ставки, превышение которого делает проект убыточным.

Таким образом, экономический смысл критерия IRR заключается в следующем: коммерческая организация может принимать любые решения инвестиционного характера, уровень рентабельности которых не ниже текущего значения показателя «стоимость капитала» (CC), под которым понимается либо WACC, если источник средств точно не идентифицирован, либо стоимость целевого источника, если таковой имеется. Именно с показателем СС сравнивается IRR, рассчитанный для конкретного проекта, при этом связь между ними такова.

Если:

−  IRR > СС, то проект следует принять;

−       IRR < СС, то проект следует отвергнуть;

−       IRR = СС, то проект не является ни прибыльным, ни убыточным.

Независимо от того, с чем сравнивается IRR, очевидно одно: проект принимается, если его IRR больше некоторой пороговой величины, поэтому при прочих равных условиях, как правило, большее значение IRR считается предпочтительным.

Данный показатель предполагает реинвестирование по ставке равной IRR, что не всегда корректно. Во избежание недостатков того показателя рассчитывают модифицированную норму рентабельности (MIRR).

Основной задачей расчета MIRR является определение ставки внутренней рентабельности проекта, учитывающей не только приведение денежного потока, генерируемого инвестиционным проектом, но и реинвестирование свободных денежных средств, образующихся в ходе реализации такого проекта.

Иными словами MIRR определяет внутреннюю ному рентабельности инвестиционного проекта с учетом возможного вложения свободных денежных средств, образующихся в ходе реализации проекта, под определенную ставку, отличную от ставки дисконирования денежного потока, генерируемого проектом.

Показатель рассчитывается из уравнения


где TV - наращенная стоимость прибыли;

PV - приведенная стоимость инвестиций.

При этом критерии, в соответствии с которыми проект стоит принять или отвергнуть, остаются такими же, как для IRR.

Алгоритм расчета срока окупаемости (DРР) зависит от равномерности распределения прогнозируемых доходов от инвестиции. Если доход распределен по годам равномерно, то срок окупаемости рассчитывается делением единовременных затрат на величину дисконтированного годового дохода, обусловленного ими. При получении дробного числа оно округляется в сторону увеличения до ближайшего целого. Если прибыль распределена неравномерно, то срок окупаемости рассчитывается прямым подсчетом числа лет, в течение которых инвестиция будет погашена кумулятивным дисконтированным доходом. DРР находится как минимальное значение n из неравенства


где IC - исходные инвестиции.

Нередко показатель DРР рассчитывается более точно, т. е. рассматривается и дробная часть года; при этом делается предположение, что денежные потоки распределены равномерно в течение каждого года.

В отличие от критериев NPV, IRR и PI критерий DРР позволяет получить оценки, о ликвидности и рисковости проекта. Понятие ликвидности проекта здесь условно: считается, что из двух проектов более ликвиден тот, у которого меньше срок окупаемости. Что касается сравнительной оценки рисковости проектов с помощью критерия DРР, то логика рассуждений такова: денежные поступления удаленных от начала реализации проекта лет трудно прогнозируемы, т. е. более рисковы по сравнению с поступлениями первых лет; поэтому из двух проектов менее рисков тот, у которого меньше срок окупаемости.

Для получения наиболее объективных оценок при определении эффективности проектов необходимо рассматривать совокупность критериев. Однако если при сравнении альтернативных проектов возникают противоречия между показателями, ориентироваться следует на величину NPV, так как данный критерий наилучшим образом отвечает интересам инвесторов.

Перед проведением оценки эффективности проекта экспертно определяется его общественная значимость. Общественно значимыми считаются крупномасштабные, народно-хозяйственные и глобальные проекты. Оценка инвестиционного проекта осуществляется в два этапа: сначала производится расчет показателей эффективности проекта в целом; затем - оценка эффективности инвестиций для каждого отдельного участника проекта.

Эффективность проекта в целом оценивается с целью определения его потенциальной привлекательности для возможных участников и поиска источников финансирования. Она включает в себя:

1) общественную эффективность, учитывающую социально-экономические последствия осуществления проекта для общества в целом, в том числе непосредственные затраты и результаты проекта и «внешние», т.е. затраты и результаты в смежных отраслях экономики, экологические, социальные и другие внеэкономические эффекты, - таким образом, учитываются затраты и результаты, связанные с реализацией проекта, выходящие за пределы прямых финансовых интересов его участников;

)   коммерческую эффективность, т.е. эффективность проекта
с точки зрения реальной или потенциальной фирмы, полностью
реализующей проект за счет собственных средств, осуществляющей все необходимые затраты и пользующейся всеми его результатами.

Для локальных проектов оценивается только их коммерческая эффективность, и если она оказывается приемлемой, рекомендуется сразу переходить ко второму этапу оценки. Для общественно значимых проектов оценивается в первую очередь их общественная эффективность, при неудовлетворительной оценке которой такие проекты не рекомендуются к реализации и не могут претендовать на государственную поддержку. Если же общественная значимость проектов оказывается достаточной, то оценивается их коммерческая эффективность. При недостаточной коммерческой эффективности общественно значимого инвестиционного проекта рекомендуется рассмотреть возможность применения различных форм его государственной поддержки, и если коммерческая эффективность останется отрицательной, то проект не может быть рекомендован к реализации. При оценке коммерческой и общественной эффективности используют одни и те же показатели (NPV, IRR, PI), но сопоставление выгод и затрат проекта в этих оценках имеет ряд отличий (таблица 1.1) [26, C. 230].

Если эффективность проекта в целом удовлетворительна и выработана схема финансирования проекта, то переходят ко второму этапу оценки. На этой стадии:

−  уточняется состав участников проекта;

−       определяется его финансовая реализуемость (т.е. величина NPV
должна быть положительной);

−       вычисляется эффективность участия в проекте в соответствии
с интересами каждой категории участников.

Существуют три уровня оценки.

Нижний уровень финансовой эффективности - это оценка эффективности участия в проекте для предприятий и акционеров. Для этих целей определяют величину денежных притоков и оттоков. При этом в качестве оттока рассматриваются собственный (акционерный) капитал, а в качестве притока - поступления, остающиеся в распоряжении после обязательных выплат.

Средний уровень - оценка эффективности участия в проекте для структур более высокого уровня, в том числе:

−  оценка региональной и народно-хозяйственной эффективности (для отдельных регионов и всего народного хозяйства РФ);

−       оценка отраслевой эффективности (для отдельных отраслей народного хозяйства, финансово-промышленных групп, объединений, предприятий и холдинговых структур).

Верхний уровень - оценка бюджетной эффективности проекта, т.е. эффективности участия государства в проекте с точки зрения влияния результатов его осуществления на доходы и расходы бюджетов всех уровней федерального, регионального и местного. Основным показателем является интегральный бюджетный эффект, рассчитываемый как разница между дисконтированными доходами бюджета от реализации проекта и дисконтированными расходами бюджета по оказанию финансовой поддержки реализации проекта.

Инвестиционные решения рисковы по определению. Невозможно c абсолютной точностью спрогнозировать значения всех параметров инвестиционного проекта, поэтому при принятии проекта желательно иметь некоторый резерв безопасности, суть которого состоит в формулировании некоторых аргументов, позволяющих с достаточной степенью уверенности утверждать, что инвестор не понесет критических убытков, даже в том случае, если в ходе прогнозирования были допущены ошибки в сторону завышения (занижения) ключевых параметров.

Поскольку основными характеристиками инвестиционного проекта являются элементы денежного потока и ставка дисконтирования, снижение рисковости осуществляется поправкой одного из этих параметров. Рассмотрим наиболее распространенные подходы.

Таблица 1.1 - Особенности оценки общественной и коммерческой эффективности инвестиционного проекта

Признак

Отличия


Общественная эффективность

Коммерческая эффективность

Уровень исследования

Отражает соотношение выгод и затрат проекта для общества в целом

Отражает соотношение выгод и затрат для отдельной генерирующей проект организации

Учёт налогов и субсидий в денежных потоках

Налоги и субсидии рассматриваются как трансфертные платежи (не создающие никакой новой ценности, хотя контроль над реальными ресурсами и переходит из одних рук в другие). Они исключаются из оценки, так как не отражают реальных выгод и затрат бюджета

Налоги, которые платит фирма, увеличивают её затраты на осуществление проекта, а любые предоставляемые фирме субсидии увеличивают её доходы

Цены, используемые в расчётах

Затраты и выгоды проекта измеряются в «финансовых» текущих или прогнозных ценах (рыночных или назначаемых административно)

Затраты и выгоды проекта измеряются в специальных «экономических», или «теневых», ценах, скорректированных с учётом влияния монополистов, трансфертных платежей, общественных благ и экстерналий


Метод анализа чувствительности связан с расчётом денежного потока и последующим расчетом NPV в ситуации ухудшения условий для компании. Производится выбор изменяемых параметров, увеличение или снижение которых сопряжено с риском для эффективности проекта. Для каждого из параметров рассчитывается новый денежный поток, с учётом его увеличения или уменьшения на некоторую определённую величину, после чего рассчитывают тот же набор критериев эффективности. После этого анализируется степень зависимости финансовых результатов проекта с учётом изменения факторов и без изменения.

На основании указанных расчётов можно определить наиболее рисковые параметры проекта, степень зависимости эффективности от выбранных факторов, критическую величину изменения факторов, после достижения которой проект может стать убыточным.

Существуют также другие методы, один из которых - это метод сценариев. Методика анализа в этом случае такова: по каждому проекту строят три его возможных варианта развития: пессимистический, наиболее вероятный, оптимистический.

1) по каждому из вариантов рассчитывается соответствующий NPV, таким образом получают три величины: NPVp, NPVml, NPVо;

2)      для каждого проекта рассчитывается размах вариации NPV по формуле


3) из двух сравниваемых проектов тот считается более рисковым, у которого размах вариации NPV больше.

Существуют модификации рассмотренной методики, предусматривающие применение количественных вероятностных оценок.

В этом случае методика может иметь вид:

1) по каждому варианту рассчитывается пессимистическая, наиболее вероятная и оптимистическая оценки денежных поступлений и NPV;

2)      для каждого проекта значениям NPVp, NPVml, NPVо присваиваются вероятности их осуществления;

)        для каждого проекта рассчитывается вероятное значение NPV, взвешенное по присвоенным вероятностям, и среднее квадратическое отклонение от него;

)        проект с большим значением среднего квадратического отклонения считается более рисковым.

2    Организационные и финансовые аспекты инвестиционного проектирования в ООО «Гермес»

 

2.1 Организационно-экономическая характеристика ООО «Гермес»


Объектом исследования дипломного проекта является общество с ограниченной ответственностью «Гермес», образованное в 2002 году.

Общество с ограниченной ответственностью «Гермес»действует на основании устава, Гражданского кодекса и Федерального закона «Об обществах с ограниченной ответственностью».

Организация является юридическим лицом с момента его государственной регистрации, имеет самостоятельный баланс, расчётный счёт в банке, круглую печать, штампы и действует на основе хозяйственного расчёта, самофинансирования и самоокупаемости, обладает обособленным имуществом на праве собственности.

По Общероссийскому классификатору видов экономической деятельности компания осуществляет розничную торговлю в неспециализированных магазинах преимущественно пищевыми продуктами, включая напитки, и табачными изделиями.

Общество вправе осуществлять и иные виды деятельности, не запрещённые действующим законодательством Российской Федерации. Отдельные виды деятельности при наличии лицензии.

Основной целью деятельности ООО «Гермес» является получение прибыли посредством удовлетворения материальных потребностей населения.

Общество имеет Уставный капитал в размере 255 тыс. руб. Оно вправе увеличивать либо уменьшать Уставный капитал. Размер, состав, сроки и порядок внесения учредителями вкладов в Уставный капитал определяется учредителями.

Денежные средства организации хранятся на счете в банке и в кассе магазина. Лимит остатка в кассе определяется самой компанией в соответствии с законодательством Российской Федерации.

Источником финансирования деятельности ООО «Гермес - 44» являются:

−  вклады учредителей в Уставный капитал;

−       доходы, полученные от реализации товаров, работ, услуг, а также
других видов уставной деятельности;

Для осуществления своей деятельности общество наделено правом:

−  заключать договоры с юридическими лицами всех форм собственности, а также с гражданами, занимающимися индивидуальной предпринимательской деятельностью;

−  совершать сделки, приобретать имущественные права и нести обязанности, быть истцом и ответчиком в суде;

−       определять объём и структуру деятельности компании;

−       привлекать к работе по трудовым соглашениям, договорам и контрактам. Самостоятельно устанавливать нормы и виды оплаты труда при заключении трудового соглашения, договора или контракта. Организация, оплата, дисциплина труда, обязанности, права, условия труда таких работников определяются нормами Трудового кодекса Российской Федерации, а также внутренними документами организации.

ООО «Гермес» имеет право продавать и передавать другим организациям, обменивать, сдавать в аренду принадлежащее ему имущество, а также списывать его с баланса.

Компания применяет упрощённую систему налогообложения, которая предусматривает замену уплаты налога на прибыль организаций, налога на добавленную стоимость (за исключением уплаты НДС при ввозе товаров на территорию России) и налога на имущество организаций уплатой единого налога, исчисляемого по результатам хозяйственной деятельности организаций за налоговый период. При этом в качестве объекта налогообложения используется величина доходов, уменьшенная на величину расходов, а ставка налога в таком случае составляет 15%.

Место нахождения фирмы - г. Красноярск. ООО «Гермес» расположено на первом этаже девятиэтажного жилого дома во встроенном помещении. Магазин производит реализацию продовольственных и непродовольственных товаров.

Режим работы магазина: ежедневно с 8:00 до 22:00 часов. Общая площадь, занимаемая компанией - 569 м2.

Общее руководство деятельностью компании осуществляет директор. В его непосредственном подчинении находятся два заместителя: коммерческий директор, и заместитель директора по общим вопросам. В обязанности коммерческого директора входит организация поставки, работа с поставщиками, заключение договоров поставки, контроль за их исполнением. Заместитель директора по общим вопросам занимается вопросами приема и увольнения работников, составлением графиков работы, а также решает все прочие вопросы, связанные с кадрами организации.

В подчинении у коммерческого директора находится товаровед, осуществляющий контроль качества реализуемых магазином товаров, а также принимающий участие в приеме товаров от поставщиков.

Организация финансово-аналитической работы, составление и предоставление бухгалтерской отчетности в уполномоченные органы входят в обязанности главного бухгалтера. Повседневную бухгалтерскую работу осуществляет бухгалтер, подчиненный ему.

Организацию работы торгово-производственного персонала осуществляет заведующий. В штате компании числятся кассиры, старшие продавцы, продавцы, фасовщик, грузчик, уборщик. Среднесписочная численность персонала в 2011 году составила 27 человек.

Структура управления организацией представлена на рисунке 2.1.

Рисунок 2.1 - Организационная структура ООО «Гермес»

Действующая линейно-функциональная структура позволяет достаточно эффективно управлять деятельностью компании.

Фирма занимается реализацией покупных товаров населению. Преимущественно это продовольственные товары: фрукты; овощи; мясные, рыбные продукты и полуфабрикаты; консервы; молочная продукция; яйца; хлеб, хлебобулочные и кондитерские изделия; алкогольные и безалкогольные напитки; пищевые масла; макаронные изделия; крупы; мука; сахар; соль; чай; кофе; какао; табачные изделия и др. Кроме этого магазин реализует непродовольственные товары: бытовую химию, синтетические моющие средства, мыло, косметическую продукцию и т.п.

Основным потребителем продукции компании является население прилегающей территории. Близость остановки общественного транспорта способствует увеличению количества покупателей.

Основные поставщики - это организации, занимающиеся оптовой торговлей продовольственными и непродовольственными товарами, а также местные производители.

Сфера деятельности компании характеризуется высокой конкуренцией и отсутствием барьеров входа-выхода на рынок.

Магазин имеет достаточно сильных конкурентов. В частности недалеко от ООО «Гермес» находится крупный рынок, на котором реализуются продовольственные и промышленные товары. В непосредственной близости с магазином расположено несколько торговых павильонов, так называемых минимаркетов и специализированных торговых точек. В шаговой доступности находятся такие крупные конкуренты, как супермаркеты «Командор», «Красный Яр», «Каравай». В этой связи компания вынуждена устанавливать достаточно невысокие цены, способные выдержать конкуренцию.

Основой для проведения финансового анализа ООО «Гермес» стали бухгалтерский баланс и отчёт о прибылях и убытках. Данные приведены на три отчётные даты: 31 декабря 2009, 2010 и 2011 годов. Исходные данные представлены в Приложениях Б и В.

Для осмысления общей картины изменения финансового состояния весьма важны показатели структурной динамики баланса. Сопоставляя структуры изменений в активе и пассиве, можно сделать вывод о том, через какие источники в основном был приток новых средств и в какие активы эти новые средства были вложены.

Анализ динамики валюты баланса, структуры активов и пассивов организации позволяет сделать ряд важных выводов, необходимых как для осуществления текущей финансово-хозяйственной деятельности, так и для принятия управленческих решений на перспективу.

Для анализа состава и структуры баланса в динамике проведём горизонтальный и вертикальный анализы бухгалтерского баланса на три отчетные даты.

Активы организации на 31 декабря 2011 г. характеризуются большой долей (95,09%) текущих активов и незначительным процентом иммобилизованных средств. Активы организации за два последних года снизились на 411 тыс. руб. (на 8%). Несмотря на снижение активов, собственный капитал увеличился в 3,1 раза, что в целом положительно характеризует имущественное положение компании. Структура имущества организации представлена на рисунке 2.2.

В более значительной степени снижение активов произошло за счет увеличения статьи «Дебиторская задолженность». За прошедший период её снижение составило 421 тыс. руб. (в процентном соотношении 46,6%) и уже на конец анализируемого периода значение данной статьи достигло 304 тыс. руб. против 725 тыс. руб. в 2009 году. Кроме того значительно уменьшилось значение по статье «Основные средства» - на 402 тыс. руб. (44,5%).

В связи с этим в общей структуре активов внеоборотные активы также снизились на 44,5%. Величина оборотных активов также снизилась, но незначительно (на 0,2%).

Низкая доля основных средств в общей структуре активов говорит о том, что компания имеет лёгкую структуру активов, и свидетельствует о мобильности имущества компании.

Высокая доля оборотных активов в общей структуре имущества организации обусловлена спецификой деятельности компании и говорит о достаточно мобильной структуре активов, способствующей ускорению оборачиваемости средств компании. К тому же наблюдается положительная тенденция к росту оборотных активов.

В структуре оборотных активов изменение было вызвано снижением на 421 тыс. руб. (58,07%), по сравнению с базовым периодом, статьи «Дебиторская задолженность».

Таблица 2.1 - Горизонтальный и вертикальный анализ агрегированного баланса ООО «Гермес» за 2009-2011гг.

Показатель

Баланс, тыс.руб.

Горизонтальный анализ

Вертикальный анализ


2009г.

2010г.

2011г.

Абсолютное изменение, тыс. руб.

Относительное изменение, %

Удельный вес, %

Темп прироста, %

АКТИВ

2009-2010 гг.

2010-2011 гг.

2009-2011 гг.

2009-2010 гг.

2010-2011 гг.

2009-2011гг.

2009 г.

2010 г.

2011 г.

2009-2010 гг.

2010-2011 гг.

2009-2011 гг.

1.Внеоборотные активы
















основные средства

634

395

232

-239

-163

-402

-37,70

-41,27

-63,41

12,34

7,76

4,91

-4,58

-2,85

-7,43

Итого:

634

395

232

-239

-163

-402

-37,70

-41,27

-63,41

12,34

7,76

4,91

-4,58

-2,85

-7,43

2.Оборотные активы
















запасы

2145

2226

2065

81

-161

-80

3,78

-7,23

-3,73

41,75

43,72

43,69

1,98

-0,04

1,94

дебиторская задолженность

725

379

304

-346

-75

-421

-47,72

-19,79

-58,07

14,11

7,44

6,43

-6,67

-1,01

-7,68

денежные средства и прочие оборотные активы

1634

2091

2126

457

35

492

27,97

1,67

30,11

31,80

41,07

44,98

9,27

3,90

13,17

Итого:

4504

4696

4495

192

-201

-9

4,26

-4,28

-0,20

87,66

92,24

95,09

4,58

2,85

7,43

БАЛАНС:

5138

5091

4727

-47

-364

-411

-0,91

-7,15

-8,00

100

100

100

0,00

0,00

0,00

ПАССИВ













1.Собственный капитал
















фонды собственных средств

255

255

255

0

0

0

0,00

0,00

0,00

4,96

5,01

5,39

0,05

0,39

0,43

Нераспределённая прибыль

0

465

523

465

58

523

-

12,47

-

0,00

9,13

11,06

9,13

1,93

11,06

Итого:

255

720

778

465

58

523

182,35

8,06

205,10

4,96

14,14

16,46

9,18

2,32

11,50

2.Привлечённые средства
















долгосрочные займы

-

-

-

-

-

-

-

-

-

-

-

-

-

-

-

краткосрочные ссуды и займы

18

18

18

0

0

0

0,00

0,00

0,00

0,35

0,35

0,38

0,00

0,03

0,03

расчеты с кредиторами

4865

4353

3931

-512

-422

-934

-10,52

-9,69

-19,20

94,69

85,50

83,16

-9,18

-2,34

-11,53

Итого:

4883

4371

3949

-512

-422

-934

-10,49

-9,65

-19,13

95,04

85,86

83,54

-9,18

-2,32

-11,50

БАЛАНС:

5138

5091

4727

-47

-364

-411

-0,91

-7,15

-8,00

100

100

100

0,00

0,00

0,00



Рисунок 2.2 - Структура имущества ООО «Гермес» на конец 2011г.

Снижение дебиторской задолженности за анализируемый период является позитивным изменением и может быть вызвано частичным решением проблемы с оплатой продукции, которая складывалась в компании в начале исследуемого периода. Рассматривая дебиторскую задолженность ООО «Гермес», следует отметить, что организация на конец 2011 г. имеет пассивное сальдо (кредиторская задолженность больше дебиторской). Таким образом, общество с ограниченной ответственностью финансирует свою текущую деятельность за счет кредиторов. Размер дополнительного финансирования составляет 3 627 тыс. руб.

В целом динамику изменения активов баланса можно назвать скорее положительной.

В части пассивов снижение валюты баланса в наибольшей степени произошло за счет снижения статьи «Кредиторская задолженность» За прошедший период снижение этой статьи составило 934 тыс. руб. (в процентном соотношении 19,2%.). Также в пассиве произошло значительное увеличение статьи «Нераспределенная прибыль» на 523 тыс. руб.

Рост последней обусловил увеличение собственного капитала. Стоит отметить, что его значение за анализируемый период значительно увеличилось. Величина собственного капитала, составлявшая на конец 2009 г. 255 тыс. руб., выросла на 523 тыс. руб. (темп прироста составил 205,1%), и на конец 2011 г. его величина составила 778 тыс. руб. (16,46 % от общей структуры капитала). Структура капитала компании представлена на рисунке 2.3.

Анализируя изменение нераспределенной прибыли (непокрытого убытка) можно отметить, что это является положительным моментом, так как снижение величины непокрытого убытка может говорить о повышении эффективности работы организации.

Рисунок 2.3 - Структура капитала ООО «Гермес» на конец 2011г.

Доля заемных средств в совокупных источниках формирования активов за анализируемый период незначительно снизилась. На конец отчётного периода совокупная величина заемных средств фирмы составила 3 949 тыс. руб. (83,54% от общей величины пассивов). Однако доля заемных средств компании всё же высока, что обуславливает высокую степень его финансовых рисков и может отрицательно повлиять на его финансовую устойчивость.

Долгосрочная кредиторская задолженность у компании отсутствует на протяжении всего исследуемого периода.

На конец 2011 г. в общей структуре задолженности присутствуют только краткосрочные обязательства в размере 3 949 тыс. руб., что при существующем размере собственного капитала и резервов может негативно сказаться на финансовой устойчивости фирмы. Однако, величина краткосрочной кредиторской задолженности, как уже отмечалось, за исследуемый период снизилась.

Наибольший удельный вес в структуре краткосрочной кредиторской задолженности на 31.12.2011 г. составляет статья «Расчёты с кредиторами». На конец анализируемого периода величина задолженности по данной статье составляет 3 931 тыс. руб. (доля в общей величине краткосрочной задолженности 99%).

В целом изменения за анализируемый период в структуре пассивов следует признать позитивными.

При оценке финансового состояния широко используется анализ ликвидности баланса организации. Ликвидность баланса определяется как степень покрытия обязательств компании его активами, срок превращения которых в денежную форму соответствует сроку погашения обязательств.

Анализ ликвидности баланса заключается в сравнении средств по активу группированных по степени ликвидности и расположенных в порядке убывания ликвидности, с обязательствами по пассиву, сгруппированными в порядке возрастания сроков их погашения.

Анализ ликвидности баланса ООО «Гермес» в 2009-2011гг. представлен в таблице 2.2.

Сопоставление итогов вышеуказанных групп по активу и пассиву баланса ООО «Гермес» (таблица 2.2) позволяет сделать вывод о том, что ликвидность баланса отличается от абсолютной, так как имеют место следующие соотношения:

А1 < П1 вместо А1 ≥ П1

А2 > П2 при норме А2 ≥ П2

А3 > П3 при норме А3 ≥ П3

А4 < П4 при норме А4 < П4

Не выполняется только первое соотношение, что свидетельствует о недостатке наиболее реализуемых активов для покрытия наиболее срочных обязательств. Причем данное соотношение не выполняется на протяжении всего исследуемого периода. Что касается соотношение А4 и П4, которое предполагает наличие у компании постоянных пассивов и которые могут перекрывать труднореализуемые активы, не соблюдалось в 2009 году, однако в дальнейшем за счёт увеличения собственного капитала компании оно пришло к нормативному значению. Это является положительным аспектом и говорит о повышении ликвидности баланса. В целом баланс исследуемой компании нельзя назвать абсолютно ликвидным, однако он довольно близок к этому.

Для конкретизации оценки уровня ликвидности компании проведём анализ значений и динамики относительных показателей ликвидности.

Анализ динамики показателей ликвидности ООО «Гермес» в 2009-2011 гг. представлен в таблице 2.3.

Данные анализа свидетельствуют о том, что на начало и на конец анализируемого периода нормативному значению соответствуют коэффициенты абсолютной и текущей ликвидности. Коэффициент срочной ликвидности нормативного значения пока не достиг. Тем не менее, видна положительная динамика и некоторое улучшение относительных показателей ликвидности баланса фирмы.

От уровня ликвидности фирмы зависит его платежеспособность. Платежеспособность характеризуется наличием у компании денежных средств и их эквивалентов, достаточных для расчётов по обязательствам, требующим немедленного погашения.

Свидетельством вполне удовлетворительной платежеспособности ООО «Гермес» может служить отсутствие «больных» статей (непокрытый убыток).

В то же время свидетельством роста платежеспособности компании служит рост коэффициентов ликвидности.

О росте платёжеспособности компании в отчётном периоде говорит также рост собственного капитала на 523 тыс. руб., а также увеличение доли собственного капитала в составе источников финансирования имущества организации (до 16,46%).

Таблица 2.2 - Анализ ликвидности баланса ООО «Гермес» за 2009-2011гг.

Актив

Сумма, тыс. руб.

Пассив

Сумма, тыс. руб.

Платёжный излишек (недостаток), тыс. руб.

Процент покрытия обязательств, %


2009 г.

2010 г.

2011 г.


2009 г.

2010 г.

2011 г.

2009 г.

2010 г.

2011 г.

2009 г.

2010 г.

Наиболее ликвидные активы (А1)

1 634

2 091

2 126

Наиболее срочные обязательства (П1)

4 865

4 353

3 931

-3 231

-2 262

-1 805

33,59

48,04

54,08

Быстро реализуемые активы (А2)

725

379

304

Краткосрочные пассивы (П2)

18

18

18

707

361

286

4027,78

2105,56

1688,89

Медленно реализуемые активы (А3)

2 145

2 226

2 065

Долгосрочные пассивы (П3)

-

-

-

2 145

2 226

2 065

-

-

-

Труднореализуемые активы (А4)

634

395

232

Постоянные пассивы (П4)

255

720

778

379

-325

-546

248,63

54,86

29,82

Баланс

5 138

5 091

4 727

Баланс

5 138

5 091

4 727

-

-

-

-

-

-



Таблица 2.3 - Динамка показателей ликвидности ООО «Гермес» за 2009-2011 гг.

Показатель

Оптимальные значения

2009 г.

2010 г.

2011 г.

2009-2010 г.

2010-2011 г.

2009-2011 г.

Темп роста, %

Коэффициент абсолютной ликвидности

0,2 и более

0,33

0,48

0,54

0,14

0,06

0,20

160,88

Коэффициент срочной ликвидности

не менее 1,0

0,48

0,57

0,62

0,08

0,05

0,13

127,37

Коэффициент текущей ликвидности

1,0 - 2,0

0,92

1,07

1,14

0,15

0,06

0,22

123,40


Кроме того, позитивно оценивается рост в отчетном периоде собственных оборотных средств на 925 тыс. руб., так как острый недостаток собственных оборотных средств может привести к снижению финансовой устойчивости фирмы.

Финансовая устойчивость является одной из важнейших характеристик финансово-экономической деятельности фирмы в условиях рыночной экономики. Чем выше устойчивость компании, тем более оно независимо от неожиданного изменения рыночной конъюнктуры и, следовательно, тем меньше риск оказаться на краю банкротства.

Финансовая устойчивость в долгосрочном плане характеризуется соотношением собственных и заёмных средств.

Анализ финансовой устойчивости ООО «Гермес» в 2009-2011 гг. представлен в таблице 2.4.

Таблица 2.4 - Анализ финансовой устойчивости ООО «Гермес» в 2009-2011 гг.

Показатель

Сумма на конец года, тыс. руб.

Изменение за период, тыс. руб.

Темп роста, %


2009 г.

2010г.

2011 г.

2009-2010 гг.

2010-2011гг.

2009-2011 гг.


1

2

3

4

5

6

7

8

Материально-производственные запасы (МПЗ)

2 145

2 226

2 065

81

-161

-80

96,27

Собственные оборотные средства (СОС)

-379

325

546

704

221

925

-144,06

Излишек (недостаток) СОС для формирования МПЗ

-2 524

-1 901

-1 519

623

382

1 005

60,18

Краткосрочные кредиты и заемные средства

18

18

18

0

0

0

100,00

Кредиторская задолженность товарного характера

4 198

5 194

5 639

996

445

1 441

134,33

Общая величина нормальных источников формирования запасов и затрат (НИФЗ)

3 837

5 537

6 203

1 700

666

2 366

161,66

Излишек (недостаток) нормальных источников формирования МПЗ

1 692

3 311

4 138

1 619

827

2 446

244,56


В результате анализа абсолютных показателей финансовой устойчивости ООО «Гермес» за 2009-2011 гг. установлено, что общество имеет достаточную финансовую устойчивость, так как соблюдается следующая зависимость:

СОС < МПЗ ≤ НИФЗ                                                                    (2.1)

На протяжении всего исследуемого периода данное неравенство выполнялось. Указанное соотношение означает, что для формирования оборотных активов компанией обоснованно используются как собственные, так и привлечённые источники. Хотя компания испытывает некоторый недостаток собственных оборотных средств и вынуждена компенсировать этот дефицит привлечёнными средствами, поэтому ООО «Гермес» следует искать пути увеличения собственного оборотного капитала. Однако значение коэффициента обеспеченности собственными оборотными средствами является нормальным.

Данные таблицы 2.4 свидетельствуют об уменьшении материально-производственных запасов на 80 тыс. руб., или 3,73%, обусловленном снижением себестоимости продаж, что следует оценить позитивно. Следует отметить сокращение на 39,82% дефицита собственных оборотных средств, что также следует оценить позитивно, так как указанное изменение сопровождалось ростом нормальных источников формирования запасов и затрат на 61,66%. Исходя из вышеизложенного, можно сделать вывод об улучшении хозяйственной деятельности организации к концу анализируемого периода.

Соотношение собственных и заёмных средств дает лишь общую оценку финансовой устойчивости компании, поэтому для анализа широко применяются относительные показатели (таблица 2.5).

Таблица 2.5 - Основные показатели финансовой устойчивости ООО «Гермес» за 2009-2011гг.

Показатель

31.12.2009 г.

31.12.2010г.

31.12.2011 г.

2009-2010 гг.

2010-2011 гг.

2009-2011 гг.

Коэффициент автономии

0,05

0,14

0,16

0,09

0,02

0,11

Коэффициент отношения заемных и собственных средств (финансовый рычаг)

19,15

6,07

5,08

-13,08

-0,99

-14,07

Коэффициент соотношения мобильных и иммобилизованных средств

7,1

11,89

19,38

4,79

7,49

12,28

Коэффициент отношения собственных и заемных средств

0,05

0,16

0,2

0,11

0,04

0,15

Коэффициент маневренности

-1,49

0,45

0,7

1,94

0,25

2,19

Коэффициент обеспеченности запасов и затрат собственными средствами

-0,18

0,15

0,26

0,33

0,11

0,44

Коэффициент имущества производственного назначения

0,54

0,51

0,49

-0,03

-0,02

-0,05

Коэффициент долгосрочно привлеченных заемных средств

0

0

0

0

0

0

Коэффициент краткосрочной задолженности

0,37%

0,41%

0,46%

0,04

0,05

0,09

Коэффициент кредиторской задолженности

99,63%

99,59%

99,54%

-0,04

-0,05

-0,09


В результате проведённого анализа относительных показателей финансовой устойчивости ООО «Гермес» установлен рост коэффициента автономии с 0,05 до 0,16, что свидетельствует о росте относительной независимости компании от внешних источников, однако, говорить о приближении к нормативному значению ещё не приходится. Значение данного коэффициента значительно ниже нормативного, однако положительно следует оценить то обстоятельство, что за исследуемый период в компании отмечается снижение доли внеоборотных активов в составе имущества (что подтверждается данными таблицы 2.1).

Величина перманентного капитала (она равна величине собственного капитала) в исследуемом периоде значительно выше величины внеоборотных активов, что говорит о высоком уровне финансовой самостоятельности фирмы,.

Коэффициент обеспеченности запасов собственными оборотными средствами за анализируемый период также вырос и стал равен 0,26, что говорит о приближении данного коэффициента к нормативному значению. Кроме того в 2011 году в организации происходит увеличение коэффициента маневренности собственного капитала до 0,7, что свидетельствует о повышении финансовой устойчивости компании.

 

.2   Анализ и оценка финансового состояния ООО «Гермес»


Рассмотрим динамику показателей отчёта о прибылях и убытках за 2009-2011 гг. (таблица 2.6). Из расчётов видно, что выручка от реализации компании по сравнению с базовым периодом значительно увеличилась. За анализируемый период изменение объема продаж составило 15 202 тыс. руб. (47,18%).

Валовая прибыль в 2009 г. составляла 6 321 тыс. руб. За анализируемый период она возросла на 63,44%, что следует рассматривать как положительный момент.

Прибыль от продаж за анализируемый период также возросла на 1 207 тыс. руб. (56,88%), и в 2011 г. прибыль от продаж составила минус 915 тыс. руб.

Однако, несмотря на значительный прирост, прибыль от продаж по-прежнему ниже нуля, то есть компания терпит убытки.

Следует отметить высокий уровень коммерческих расходов в структуре отчета о прибылях и убытках организации. На начало анализируемого периода их доля составляла 32,6 %, от себестоимости реализованной продукции, а на конец периода 30,32 % от себестоимости проданных товаров, продукции, работ, услуг.

Показателем повышения эффективности деятельности компании можно назвать более высокий рост выручки по отношению к росту себестоимости, который составил 47,18 % по сравнению с ростом себестоимости 43,21 %.

Положительным моментом является положительное сальдо по прочим доходам и расходам: на конец 2011 г. оно установилось на уровне 2 647 тыс. руб., к тому же наблюдается положительная тенденция - за период с конца 2009 г. по конец 2011 г. сальдо по ним увеличилось на 145 тыс. руб.

Таблица 2.6 - Анализ динамики показателей отчёта о прибылях и убытках ООО «Гермес» за 2009-2011 гг.

Показатель

Сумма, тыс. руб.

Горизонтальный анализ


2009 г.

2010 г.

2011 г.

Абсолютное изменение, тыс. руб.

Относительное изменение, %





2009-2010 гг.

2010-2011 гг.

2009-2011 гг.

2009-2010 гг.

2010-2011 гг.

2009-2011 гг.

Выручка

32 221

46 777

47 423

14 556

646

15 202

45,18

1,38

47,18

Себестоимость продаж

-25 900

-37 124

-37 092

-11 224

32

-11 192

43,34

-0,09

43,21

Валовая прибыль (убыток)

6 321

9 653

10 331

3 332

678

4 010

52,71

7,02

63,44

Коммерческие расходы

-8 443

-10 338

-11 246

-1 895

-908

-2 803

22,44

8,78

33,20

Прибыль (убыток) от продаж

-2 122

-685

-915

1437

-230

1207

67,72

-33,58

56,88

Прочие доходы

2 779

2 482

2 524

-297

42

-10,69

1,69

-9,18

Прочие расходы

-132

-520

-532

-388

-12

-400

293,94

2,31

303,03

Прибыль (убыток) до налогообложения

525

1 277

1 077

752

-200

552

143,24

-15,66

105,14

Прочее

-350

-493

-489

-143

4

-139

-40,86

0,81

-39,71

Чистая прибыль (убыток) отчетного периода

175

784

1 566

609

782

1 391

348,00

99,74

794,86



Как видно из таблицы 2.6, чистая прибыль за анализируемый период выросла на 1 391 тыс. руб., и на конец 2011 г. составила 1 566 тыс. руб. (темп прироста составил 794,86%).

Рассматривая динамику доходов и расходов ООО «Гермес» в целом за анализируемый период, ее можно назвать положительной. Однако следует обратить внимание на высокий уровень коммерческих расходов и отрицательное значение показателя «Прибыль от продаж».

Рентабельность - показатель эффективности единовременных и текущих затрат. В общем виде рентабельность определяется отношением прибыли к единовременным или текущим затратам, благодаря которым получена эта прибыль. Значения основных показателей рентабельности представлены в таблице 2.7.

Таблица 2.7

Показатели рентабельности ООО «Гермес» за 2009-2011гг., %

Показатель

2009 г.

2010 г.

2011 г.

Абсолютные изменения





2009-2010 гг.

2010-2011 гг.

2009-2011 гг.

Общая рентабельность

1,63

2,73

6,49

1,10

3,76

4,86

Рентабельность продаж

-6,59

-1,46

2,29

5,13

3,75

8,88

Рентабельность собственного капитала

203,06

258,36

405,23

55,30

146,87

202,17

Рентабельность акционерного капитала

203,06

493,92

1 190,27

290,86

696,35

987,21

Рентабельность оборотных активов

11,50

26,82

67,52

15,32

40,70

56,02


Рассматривая показатели рентабельности, прежде всего, следует отметить, что и на начало, и на конец анализируемого периода общая рентабельность (частное прибыли до налогообложения и выручки от реализации) находится ниже среднеотраслевого значения, установившегося на уровне 10-15%. За исследуемый период показатель общей рентабельности значительно повысился на 4,86%.

Кроме того, негативным моментом является отрицательная величина рентабельности продаж в 2009 и 2010 годах, однако в 2011 году ситуация улучшилась и рентабельность продаж достигла уровня 2,29%.

Как видно из таблицы 2.7, за анализируемый период значения всех показателей рентабельности увеличились, что следует рассматривать как положительную тенденцию.

Хозяйственная деятельность компании может быть охарактеризована различными показателями, основными из которых являются объем реализации, величина полученной прибыли, величина активов фирмы.

Оценивая динамику основных показателей, необходимо сопоставить темпы их изменения. Оптимальным является следующее соотношение, базирующееся на взаимосвязи показателей


где ТПР - темп изменения прибыли, %;

ТР - темп изменения объема реализации, %;

ТА - темп изменения величины активов, %.

Указанное соотношение в мировой практике получило название «золотое правило экономики».

Для ООО «Гермес» за период 2009-2011 гг. соотношение будет иметь вид: 1378,86 > 47,18 > - 8.

Полученное соотношение означает, что прибыль, получаемая организацией, увеличивается более высокими темпами, чем объем продаж, что обуславливает достижение главной цели любого бизнеса - повышение рентабельности деятельности. Объем продаж в анализируемом периоде возрастал также более высокими темпами, чем величина активов, то есть ресурсы фирмы используются достаточно эффективно.

Стабильность финансового положения организации в условиях рыночной экономики обуславливается, в немалой степени, его деловой активностью.

Для объективной оценки деловой активности необходимо рассчитать показатели, характеризующие эффективность использования материальных, трудовых и финансовых ресурсов.

Анализ динамики основных показателей деловой активности ООО «Гермес» в 2009-2011гг. представлен в таблице 2.8.

Анализ абсолютных показателей позволяет сделать заключение о росте деловой активности компании за исследуемый период.

Свидетельством улучшения показателей деловой активности могут служить: рост выручки от реализации на 47,18%, рост чистой прибыли, полученной организацией, на 1378,86%, рост величины собственного капитала в 3,1 раза.

Таблица 2.8 - Динамика относительных показателей деловой активности ООО «Гермес» за 2009-2011гг., дни

Показатель

31.12.2009 г.

31.12.2010 г.

31.12.2011г.

2009-2010 гг.

2010-2011гг.

2009-2011 гг.

Темп роста, %

1

2

3

4

5

6

7

8

Оборачиваемость оборотных активов

51,02

35,89

35,37

-15,13

-0,52

-15,65

51,02

Коэффициент оборачиваемости запасов и затрат

30,23

21,89

21,48

-8,34

-0,41

-8,75

30,23

Коэффициент оборачиваемости текущих активов

51,02

35,89

35,37

-15,13

-0,52

-15,65

51,02

Коэффициент оборачиваемости дебиторской задолженности

8,21

4,31

2,63

-3,9

-1,68

-5,58

8,21

Коэффициент оборачиваемости кредиторской задолженности

55,11

35,96

31,88

-19,15

-4,08

-23,23

55,11

Оборачиваемость материальных запасов, дней

24,3

17,37

15,89

-6,93

-1,48

-8,41

24,3

Оборачиваемость дебиторской задолженности

8,21

2,96

2,34

-5,25

-0,62

-5,87

8,21

Оборачиваемость прочих оборотных активов

0

0

0

0

0

0

0

Затратный цикл

32,51

20,33

18,23

-12,18

-2,1

-14,28

32,51

Оборачиваемость кредиторской задолженности

55,11

33,97

30,25

-21,14

-3,72

-24,86

55,11

Производственный цикл

55,11

33,97

30,25

-21,14

-3,72

-24,86

55,11

Чистый цикл

-22,6

-13,64

-12,02

8,96

1,62

10,58

-22,6


Результаты анализа относительных показателей также свидетельствуют о росте деловой активности ООО «Гермес».

Как видно из таблицы все показатели оборачиваемости за анализируемый период снизились. Снижение периода оборачиваемости говорит о положительной тенденции. Также положительной тенденцией является то, что при снижении периода оборачиваемости увеличилась выручка. За период с 31.12.2009 г. по 31.12.2011 г. выручка от реализации увеличилась на 47,18 %

Показатели деловой активности в оборотах за весь рассматриваемый период представлены в таблице 2.9.

Из приведённых таблиц видно, что за анализируемый период все показатели улучшились, т.е. количество оборотов за период увеличилось.

По результатам проведённого анализа деятельности компании финансовое состояние ООО «Гермес» можно оценить положительно.

В ходе анализа были выявлены следующие положительные моменты деятельности фирмы:

1)      увеличение выручки от продаж составило 15 202 тыс. руб. (47,18%);

2)      валовая прибыль выросла на 6 010 тыс. руб. (95,08%), прибыль от продаж увеличилась на 3 207 тыс. руб. (151,13%);

Таблица 2.9 - Динамика показателей деловой активности ООО «Гермес» за 2009-2011гг., обороты

Показатель

31.12.2009г.

31.12.2010г.

31.12.2011г.

2009-2010 г.

2010-2011 г.

2009-2011 г.

Оборачиваемость оборотных активов

7,15

10,17

10,32

3,02

0,15

3,17

Коэффициент оборачиваемости запасов и затрат

12,07

16,68

16,99

4,61

0,31

4,92

Коэффициент оборачиваемости текущих активов

7,15

10,17

10,32

3,02

0,15

3,17

Коэффициент оборачиваемости дебиторской задолженности

44,44

84,74

138,87

40,3

54,13

94,43

Коэффициент оборачиваемости кредиторской задолженности

6,62

10,15

11,45

3,53

1,3

4,83


3)      чистая прибыль увеличилась на 2 413 тыс. руб. (1 378,86%);

4)      снижение величины кредиторской и дебиторской задолженности в абсолютном выражении;

)        улучшились не только абсолютные, но и относительные показатели финансовой устойчивости: коэффициент автономии вырос с 0,05 до 0,16; коэффициент обеспеченности собственными оборотными средствами вырос с минус 0,18 до 0,26;

)        за исследуемый период отмечается улучшение показателей платёжеспособности, рентабельности, ликвидности и деловой активности.

Вместе с тем существует ряд отрицательных моментов в деятельности ООО «Гермес» в отчётном периоде:

1)      превышение кредиторской задолженности над дебиторской;

2)      низкая общая рентабельность и рентабельность продаж.

Анализ результатов деятельности ООО «Гермес» за 2009-2011 гг. позволил выявить слабые стороны деятельности компании, причины их возникновения, а также разработать проект для получения дополнительной прибыли собственником.

 

3    Разработка инвестиционного проекта

 

3.1 Формирование инвестиционного замысла и описание проекта


Для повышения эффективности работы магазина и улучшения финансового состояния компании ООО «Гермес» необходимо провести ряд мероприятий, направленных на повышение рентабельности продаж и общей рентабельности. Кроме того, учитывая расположение магазина на территории с высокой концентрацией различных торговых точек, непосредственную близость сильных конкурентов, таких как «Командор», «Красный Яр» и «Каравай», и в связи с этим достаточно низкий уровень прибыли, компании рекомендуется реализовать инвестиционный проект освоения нового рынка сбыта.

Суть проекта сводится к созданию супермаркета площадью 270 м2 с долей продуктов питания в ассортименте около 80% на территории микрорайона «Покровский» г. Красноярска. Формат и ассортимент магазина будет в некоторой степени соответствовать существующим аналогам, но в то же время не будет полностью их копировать. Чтобы не ущемлять покупателей, ассортимент не должен быть уже, чем у конкурентов, поэтому в магазине будут представлены все основные категории товаров, но кроме того будут некоторые редкие товары для обеспечения конкурентного преимущества. Основная цель проекта - получение прибыли в соответствии с запланированным уровнем путём реализации продуктов питания и сопутствующих товаров и удовлетворения соответствующих потребностей населения прилегающей территории.

Краткосрочные цели проекта: выход на рынок микрорайона «Покровский» г. Красноярска, создание магазина и его положительного имиджа, получение прибыли. В долгосрочной перспективе цели проекта заключаются в увеличении доли рынка, максимизации прибыли, увеличении товарооборота, расширении ассортимента, кроме того возможно создание сети аналогичных магазинов.

Уникальное достоинство продуктового магазина заключается в том, что он будет расположен рядом с покупателями и предоставляет широкий ассортимент товаров по приемлемой цене. Важно, чтобы ассортимент магазина соответствовал запросам покупателей, а его график работы совпадал с ритмом жизни населения микрорайона, поэтому магазин будет работать без перерывов и выходных с 9:00 до 23:00 часов. Для обеспечения конкурентного преимущества планируется, что в магазине помимо прочего будет сделан акцент на товарах, которые не представлены у ближайших конкурентов. Примерная широта ассортимента - 4 000 позиций.

Торговля продуктами питания - достаточно привлекательная отрасль, спрос на товары довольно устойчив. Основные риски проекта связаны с возможным ростом конкуренции, просчётами менеджеров, недостаточной квалификацией персонала, срывами поставок либо поставками некачественной продукции.

Розничная торговля является одним из наиболее быстро развивающихся секторов российской экономки. В настоящее время величина оборота розничной торговли как по России в целом, так и по Красноярскому краю, из года в год повышается после резкого снижения во время кризиса в 2009 г.

По данным территориального органа федеральной службы государственной статистики по Красноярскому краю оборот розничной торговли в этом регионе в 2011 году составил 361 606,8 млн. руб., что на 7,8% выше, чем в предыдущем. В 2012 году темпы роста данного показателя по месяцам также увеличиваются: так, например, оборот розничной торговли за первый квартал 2012 г. увеличился на 11% по сравнению с аналогичным периодом предыдущего года и составил 95 675,5 млн. руб. [63].

Оборот розничной торговли на душу населения по Красноярскому краю также из года в год увеличивается. В 2011 году он составил 127,6 тыс. руб. на человека - это на 15,6% больше, чем в 2010 году (110,4 тыс. руб.), что свидетельствует о восстановлении потребительского спроса после финансового кризиса. Оборот розничной торговли на душу населения в 2011 году по Сибирскому федеральному округу составляет 106,8 тыс. руб. [70].

Продовольственные товары, особенно товары первой необходимости, являются той продукцией, спрос на которую по сравнению с другими товарами более устойчив. По данным федеральной службы государственной статистики в апреле 2012 г. в структуре общероссийского оборота розничной торговли удельный вес пищевых продуктов, включая напитки, и табачных изделий составил 46,6%, непродовольственных товаров - 53,4% (в апреле 2011г. - 48,6% и 51,4% соответственно) [71]. Данные статистики о структуре потребительских расходов свидетельствуют о значительной доле продуктов питания в общем объеме конечного потребления: так 24,5% расходов жителей Красноярского края приходится на покупку пищевых продуктов, в целом по стране эта величина составляет 28,1%.

Большую часть в структуре розничного оборота Красноярского края в 2011г. занимают:

−  индивидуальные предприниматели, реализующие товары вне рынков и ярмарок, их доля составляет 45,5% (2009г. - 44,8%; 2010г. - 46,3%);

−       малые предприятия (включая микропредприятия) составляют 25,6% (2009 г. - 23,2%; 2010 г. - 24,2%);

−       крупные организации и субъекты среднего предпринимательства занимают около 23,8% в структуре розничного товарооборота (2009 г. - 23,6%; 2010 г. - 22,3%);

−       реализация продукции на ярмарках и розничных рынках составляет 5,1% (2009 г. - 8,4%; 2010 г. - 7,2%). [65]

Кроме того, по итогам исследований, проведенных холдингом Romir Monitoring, выяснилось, что жители крупных городов с населением более 500 тысяч человек чаще всего совершают свои покупки в супермаркетах и универсамах (67%).

В 2011 году оборот розничной торговли в г. Красноярске вырос на 6,6% по отношению к предыдущему году. Населению города продано потребительских товаров на 205,9 млрд. руб. Доля оборота розничной торговли краевого центра составила 57,1% в общем объеме продажи по краю (в 2010 году - 57,5%).

Удельный вес непродовольственных товаров в общем объеме оборота розничной торговли - 56,7%. Реализация непродовольственных товаров увеличилась по отношению к 2010 году на 8,6%.

Объем продажи пищевых продуктов, включая напитки, и табачные изделия достиг 89,1 млрд. руб., и увеличился по сравнению с предыдущим годом на 4,3% [68].

С учётом приведённых статистических данных, положительной динамики основных показателей и оптимистичных прогнозов развития отрасли, проект предусматривает открытие в городе Красноярске супермаркета, осуществляющего торговлю преимущественно продовольственными товарами, а также непродовольственными товарами повседневного спроса (бытовая химия, средства гигиены и т.п.). В качестве места размещения магазина выбран один из самых молодых районов города - микрорайон «Покровский».

Жилой район «Покровский» расположен в центральной части Красноярска. Это один из самых крупных микрорайонов. Ориентировочное количество жителей после завершения строительства - 40 000 человек - это практически 70% от всего населения Центрального района. В настоящее время в «Покровском» живут около 2500 красноярцев, и возводится более 300 тыс. квадратных метров жилья [64]. Помимо жителей указанного микрорайона в качестве потенциальных потребителей выступают также жители прилегающих районов. Согласно утверждённым проектам планировки жилых микрорайонов Покровки здесь будут построены 4 детских сада, 3 школы, поликлиника, спортивные площадки общего пользования, зелёные зоны, а также объекты гражданского назначения. Вместе с тем, возведение этих объектов значительно отстаёт от темпов строительства жилья, в связи с чем в администрацию города поступают жалобы от жителей района.

То же касается и магазинов, реализующих товары повседневного спроса. В настоящее время в районе функционирует 5 небольших магазинов, осуществляющих торговлю продуктами через прилавок, и 3 павильона, и как было выявлено в ходе проведённого исследования, потребители не удовлетворены ни качеством, ни количеством предлагаемых товаров. В качестве основных проблем в области обеспечения продуктами жители микрорайона отмечают узкий ассортимент, низкое качество и высокий уровень цен. Кроме того, для жилого комплекса «Покровский» характерно весьма небольшое количество площадей, пригодных для размещения супермаркета. В связи с этим невелика вероятность появления большой конкуренции, а занятая на начальном этапе возведения микрорайона торговая площадь может стать значительным преимуществом, учитывая тот факт, что расположение магазина - является одним из определяющих его рентабельность факторов.

На данный момент одно из таких помещений располагается в строящемся жилом доме №71 по улице Чернышевского (Рисунок 3.1). Указанное помещение находится на первом этаже жилого дома, его общая площадь составляет 270 м2. Помещение приобретается на условиях долгосрочной аренды.

Похожие работы на - Разработка инвестиционного проекта на примере ООО 'Гермес'

 

Не нашли материал для своей работы?
Поможем написать уникальную работу
Без плагиата!
Без нейросетей!