Решение задачи Коши
Содержание
Введение
Оценки
функции переключения
Слабые
асимптотики произведения функций Хевисайда
Решения
задачи Коши для двух фронтов методом прямого интегрирования
Решение
задачи Коши для трёх фронтов методом прямого интегрирования
Решение
задачи Коши для четырёх фронтов методом прямого интегрирования
Решение
задачи Коши со ступенчатой функцией в качестве начального условия
Теорема
о структуре глобального решения
Список
литературы
Введение
Проблема построения глобального по времени
решения задачи Коши для нелинейных уравнений решается только в некоторых
частных случаях - например, решения типа текущих волн. В общем случае можно
сказать, что известны методы построения точных решений в случае, если задана
структура этих решений. То же относится и к разностным схемам, возникающим при
решении нелинейных задач.
С другой стороны, разностные схемы (т.е.
вычисление значений функции на заданной сетке) тесно связаны с аппроксимацией
функции ступенчатыми (кусочно-постоянными) функциями. Далее, ступенчатую
функцию можно рассматривать как линейную комбинацию функций Хевисайда. Таким
образом возникает следующий подход: рассматривать произвольное начальное
условие (и, соответственно, решение) как предел линейной комбинации функций
Хевисайда.
Именно этот подход и рассматривается в
предложенной работе.
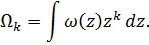
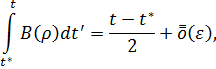
Оценки функции переключения
Пусть
-
функция, принадлежащая пространству Шварца
и
удовлетворяющая следующим условиям:
1)
2)
где
-
некоторые положительные константы.
Здесь и далее под эквивалентностью двух функций
на бесконечности понимается наличие предела их частного, не равного нулю.
В условиях достаточной гладкости
можно
показать, что для производной
при этом
справедливы аналогичные приближения:
В дальнейших рассуждениях точные значения
констант в асимптотиках нас будут интересовать мало, поэтому индексы
далее
опускаются.
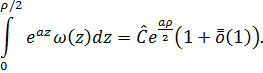
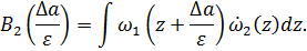
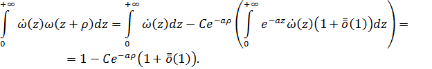
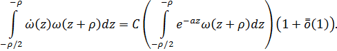
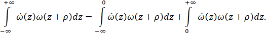
Рассмотрим следующий интеграл от функции
и её производной, зависящий от параметра:
Будем называть эту функцию функцией
переключения. Изучим поведение функции переключения на бесконечности. Для этого
рассмотрим отдельно два варианта:
Проведём замену
в
подынтегральном
выражении,после чего опятьобозначим
через
.
Получим:
Так как
,
то во втором интеграле (где
) имеем
,
а значит, в силу свойств
,
где
и
- некоторые положительные константы. Таким образом,
где
-
некоторая константа.
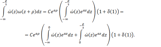
Вернёмся к первому интегралу и проведём обратную
замену
.Получим:
Область полученного интеграла целесообразно
разбить на две подобласти:
В подобласти интеграла
выполняется
неравенство
, а значит
при
и
верна асимптотика
. Таким образом
интеграл
удовлетворяет
следующим приближенным равенствам:
Поскольку
-
некоторое число, а при
переменная
интегрирования пробегает значения от 0 до бесконечности, то окончательно
интеграл
имеет
приближенно следующий вид:
В области интеграла
переменная
интегрирования стремится к бесконечности как на верхнем, так и на нижнем
пределе, потому применима оценка
,
а интеграл может быть оценен как
Воспользовавшись формулой Лейбница для
дифференцирования интеграла, зависящего от параметра, и правилом Лопиталя,
легко показать, что
Неинтегральные слагаемые после деления на
могут
быть приближеныконстантами на бесконечности.Интеграл
в
силу свойств
может принимать
следующие значения (и только их) на бесконечностив зависимости от поведения
:
,
,
.
Из этого следует, что в любом случае искомый
предел не превосходит многочлена первой степени от
,
а значит и весь интеграл
на бесконечности
можно оценить как
В этом случае
выполнено:
Во втором интеграле аналогичным первому случаю
образом имеем
откуда следует асимптотика для второго
интеграла:
Первый интеграл, после уже известных замен,
разделяется на ещё два вспомогательных:
В области интеграла (**)
,
а
,
поэтому
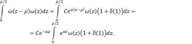
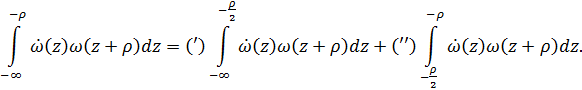
Область интеграла (*) целесообразно разбить
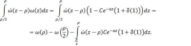
надве подобласти:
В этой подобласти с
помощью уже продемонстрированных приближений получим:
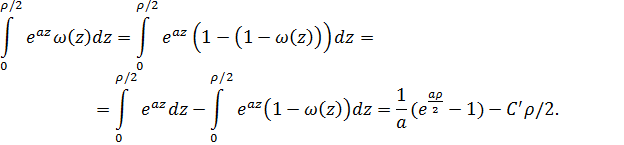
Интеграл
можно
приблизить, воспользовавшись свойством
:
,
а значит
Поскольку
,
то экспоненциальная оценка довлеет над линейной, и можно окончательно записать
так:

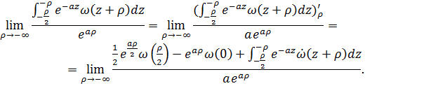
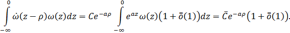
Разность
очевидным
образом можно оценить как
, а оставшийся
интеграл (т.к.
)- как
.
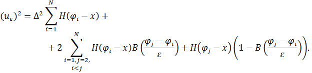
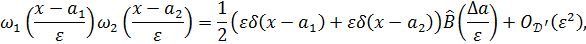
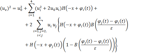
Слабые асимптотики произведения функций
Хевисайда
Пусть
-
некоторая функция, принадлежащая пространству Шварца
.
Рассмотрим функцию
. Учитывая, что
легко получить её слабую асимптотику:
Пусть теперь
-
две различные функции из пространства Шварца.Аналогичным образом можно получить
слабую асимптотику их произведения в симметрической форме:
Проведя аналогичную процедуру для пары функций
из
,
производные которых принадлежат пространству Шварца и пределы которых на
равны
нулю, а на
- единице, получим
Вычислив первообразную обеих частей равенства,
получим
В предположении, что
,
можно утверждать, что функции
являются
аппроксимациями (слабыми асимптотиками) функций Хевисайда
.
Таким образом, предыдущее равенство можно переписать в виде
Наконец, предположив, что
и
сделав соответствующие замены в аргументах, получим основную асимптотическую
формулу:
где
-
уже исследованная нами функция переключения; легко видеть также, что
,
при
при
.
Данная формула будет в дальнейшем использоваться при асимптотическом
приближении произведений функций Хевисайда.
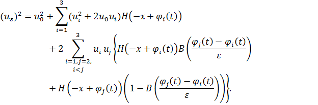
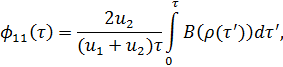
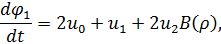
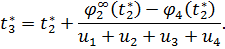
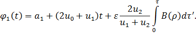
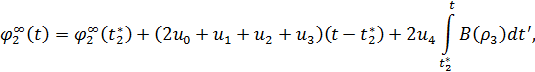
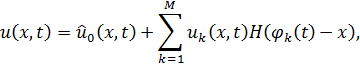
Решения задачи Коши для двух фронтов методом
прямого интегрирования
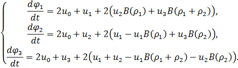
Рассмотрим задачу Коши для уравнения Хопфа:
где
-
положительные константы,
. Задача - найти
слабую асимптотику решения задачи Коши, представив её в нижеуказанном виде и
решив полученную после подстановки систему уравнений:
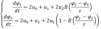
Вычислив слабую асимптотику
согласно
формуле асимптотики произведения функций Хевисайда и подставив все полученные
аппроксимации в уравнение Хопфа, получим следующую систему уравнений для
:
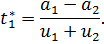
Поскольку до взаимодействия фронты ударных волн
движутся независимо, то следует ввести вспомогательный параметр - момент
времени столкновения (взаимодействия) двух фронтов:
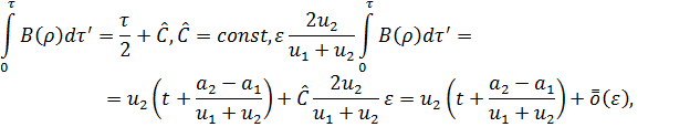
Проведя прямое интегрирование:
и воспользовавшись асимптотическими
приближениями из предыдущего раздела, сравним вид
с
решением той же задачи, полученным с помощью формул (3.6 - 3.13) из [2].
Для начала отметим, что в формуле (3.13)
допущена ошибка, и правильное выражение для
имеет
следующий вид:
где
-приведённое
расстояние между фронтами непровзаимодействовавших волн (
соответствует
). Далее распишем в
явном виде решение, полученное по формулам пункта (3):
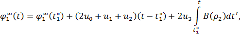
Рассмотрим пределы на бесконечности, получаемые
при неограниченном уменьшении малого параметра
:
а).
.
В этом случае
, таккак, очевидно,
,
а по свойствам функции переключения
Из стационарного уравнения (3.11) на
:
можно заключить, что
,
а значит
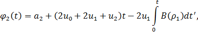
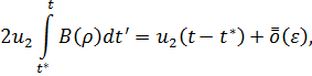
б).
После
взаимодействия
, а
,
поэтому
и окончательно
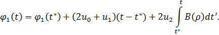
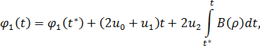
Теперь проведём процедуру прямого интегрирования
исходного уравнения для
, начиная с момента
взаимодействия:
Так как
,
то
,
а на этой полупрямой
и можно приблизить
следующим
образом:
В связи с этим справедлива следующая цепочка
равенств:
Полностью аналогичным образом можно получить и
выражение для
.
Решение задачи Коши для трёх фронтов методом
прямого интегрирования
Рассмотрим аналогичную задачу Коши для уравнения
Хопфа:
где
-
положительные константы,
. Вид слабой
асимптотики:
Воспользовавшись асимптотическими формулами для
произведения функций Хевисайда, выпишем приближенное выражение для

Аналогично предыдущей задаче, введём
вспомогательные параметры
и
-
моменты столкновения (взаимодействия) первого фронта со вторым и второго с
третьим соответственно:
Предположим,что
.
Проведём прямое интегрирование системы на каждом из временных интервалов,
задаваемых
и
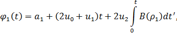
а).
На
этом интервале
при
поэтому
и,с
учётом того, что
, формулы для
и
принимают
следующий вид:


На всех интервалах вида
,
где
-
достаточно малая положительная константа, не зависящая от
,
при
,
а значитпо свойствам функции переключения
Таким образом можно выписать явный вид
,
совпадающий с видом
из задачи для двух
фронтов:
б).
После
столкновения первый и второй фронты сливаются воедино и затем движутся вместе
как единый фронт:
. В связи с этим
система принимает вид
Вычтя почленно первое уравнение из второго,
можно получить стационарное уравнение для
,
подобное стационарному уравнению для
из
задачи для двух фронтов:
Проведя подходящую замену переменных, т.е.
перейдя к правильным образом приведённому расстоянию между фронтами
и
,
можно получить вид стационарного уравнения для
,
идентичный оному для
:
Подходящим приведённым расстоянием будет
являться следующее:
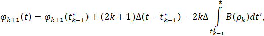
Решение системы выглядит следующим образом:

На любом интервале вида
,
где
-
достаточно малая положительная константа, не зависящая от
,
при
,
а значит, согласно свойствам функции переключения,
Аналогично случаю а), можно вычислить значение
из
условия столкновения фронтов
и
:
При
,
где
-
достаточно малая положительная константа, не зависящая от
,
при
,
а значит все три фронта сливаются в единый фронт
и,
аналогично задаче с двумя фронтами,
Замечание 1.В начале рассуждений было
предположено, что
Фактически это
означает, что первый и второй фронты сталкиваются раньше, чем второй с третьим.
На самом деле это далеко не всегда так, и более корректным было бы обозначить
,
где
-
времена попарных столкновений всех фронтов до первого взаимодействия,
пробегают
все возможные пары соседних фронтов. Используемое в указанных выше рассуждениях
,
таким образом, на самом деле является
-наименьшим
среди времён попарных столкновений фронтов послепервого взаимодействия, и
вообще говоря не обязано совпадать с гипотетическим временем независимого
столкновения второго и третьего фронтов. Однако, использовавшееся в вычислениях
неявное предположение
делает
рассматриваемый пример более наглядным, хоть и не отображает всей полноты возможностей;
все указанные формулы, в том числе и для
,
остаются верными при выполнении этого предположения.
В дальнейших примерах следует помнить, что все
промежуточные времена столкновений на самом деле являются
-
наименьшими временами попарных столкновений фронтов до -го (но после
-го)
взаимодействия.
Кроме того, ни здесь, ни далее не
рассматривается такая вполне реальная ситуация, как столкновение трёх и более
фронтов одновременно. Рассмотрение этого случая, без сомнения, интересно, но
всё же выходит за рамки данной работы.
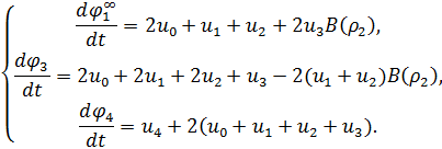
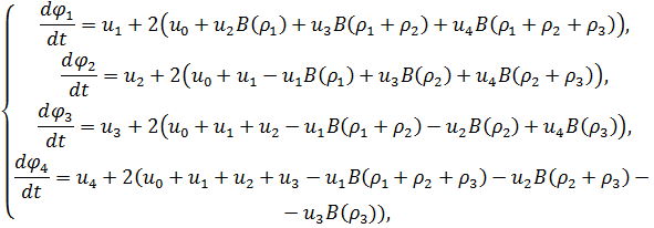
Решение задачи Коши для четырёх фронтов методом
прямого интегрирования
Рассмотрим ещё одну задачу Коши для уравнения
Хопфа:
где
-
положительные константы,
. Вид слабой
асимптотики:
Воспользовавшись асимптотическими формулами для
произведения функций Хевисайда, выпишем приближенное выражение для
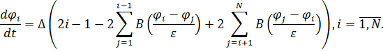
После подстановки полученного выражения в
уравнение Хопфа и вычисления соответствующих производных, приравняв к нулю
соответствующие множители при дельта-функциях, получим систему уравнений для
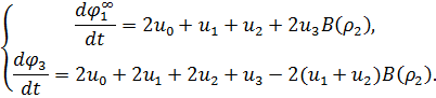
:
Аналогично предыдущей задаче, введём
вспомогательные параметры
,
и
-
моменты столкновения (взаимодействия) первого фронта со вторым, второго с
третьим и третьего с четвёртым соответственно:
Предположим, что
.
Проведём прямое интегрирование системы на каждом из временных интервалов,
задаваемых
,
и
.
а).
На
этом интервале
при
поэтому
и,
с учётом того, что
, формулы для
и
принимают
следующий вид:



На всех интервалах вида
,
где
-
достаточно малая положительная константа, не зависящая от
,
при
,
а значитпо свойствам функции переключения

Таким образом можно выписать явный вид
из
условия столкновения двух фронтов:
б).
После
столкновения первый и второй фронты сливаются воедино и затем движутся вместе
как единый фронт:
. В связи с этим
система принимает следующий вид:
Вычтя почленно первое уравнение из второго,
можно получить стационарное уравнение для
,
подобное стационарному уравнению для
из
задачи для двух фронтов:
Проведя подходящую замену переменных, т.е.
перейдя к правильным образом приведённому расстоянию между фронтами
и
,
можно получить вид стационарного уравнения для
,
идентичный оному для
:
Подходящим приведённым расстоянием будет
являться следующее:
Решение системы выглядит следующим образом:
На любом интервале вида
,
где
-
достаточно малые положительные константы, не зависящие от
,
при
,
а значит, согласно свойствам функции переключения,
Аналогично случаю а), можно вычислить значение
из
условия столкновения фронтов
и
:
в).
.
После второго столкновения уже фронты
и
сливаются
воедино и затем движутся вместе как единый фронт:
.
В связи с этим система принимает следующий вид:
Решение системы:
На любом интервале вида
,
где
-
достаточно малые положительные константы, не зависящие от
,
при
,
а значит, по свойствам функции переключения,
Значение
из
условия столкновения фронтов
и
:
При
,
где
-
достаточно малая положительная константа, не зависящая от
,
при
,
а значит все три фронта сливаются в единый фронт
и,
аналогично задаче с двумя фронтами,
Замечание 2.Как было отмечено в замечании к
предыдущему разделу, корректным было бы в качестве
брать
,
где
-
времена попарных столкновений фронтов до -го (но после
-го)
взаимодействия,
пробегают все пары
соседних фронтов,
. При этом если,
например, первое столкновение случается на паре фронтов, отличающейся от
,
то в формулах номера 1 и 2 меняются на соответствующие; общий смысл выкладок в
любом случае остаётся таким же.
Рассмотрим простую иллюстрацию.
Пусть в условиях задачи Коши дополнительно выполнено:
.
Тогда вид системы упрощается:
Легко видеть, что в этом случае
,
поэтому выбор
зависит от
особенностей начального условия
. Неявно
предполагалось, что гладкая верхняя огибающая этой функции является всюду
выпуклой, поэтому с ростом
растёт и
,
а значит
.
Анализ задач Коши для двух и трёх фронтов
позволяет перейти к решению задачи Коши для произвольного числа фронтов
.
Решение задачи Коши со ступенчатой функцией в
качестве начального условия
Хорошо известно, что любая измеримая
ограниченная функция может быть приближена сходящейся почти всюду
последовательностью ступенчатых функций. Поэтому рассмотрение задачи этого
раздела позволяет исследовать решение задачи Коши с произвольным начальным
условием, являющимся измеримой и ограниченной функцией.
Рассмотрим задачу Коши для уравнения Хопфа для
произвольного числа фронтов:
где
-
положительные константы,
. Для упрощения
выкладок дополнительно предположим, что
Вид слабой асимптотики:
Воспользовавшись асимптотическими формулами для
произведения функций Хевисайда, выпишем приближенное выражение для
После подстановки полученного выражения в
уравнение Хопфа и вычисления соответствующих производных, приравняв к нулю
соответствующие множители при дельта-функциях, получим систему уравнений для
:
Перепишем полученную систему в терминах
.
Для любой пары
справедливо
поэтому общий вид системы в терминах
следующий:
Дальнейшие действия представляют собой
индуктивный процесс, обобщающий метод, использованный в предыдущих задачах, на
случай произвольного числа фронтов
.
Пусть
-
моменты первого столкновения фронтов после уже случившихся
столкновений,
,
и пусть
(см.
замечания к предыдущим разделам). Временная ось разбивается с помощью
на
промежутков,
в каждом из которых фактически решается задача для двух фронтов.
(
).
На этом интервале,в пределе
для
для
,
поэтому система вырождается в следующую:


где
-
фронт, возникший после слияния первых
фронтов
(
).
Результат прямого интегрирования системы на
каждом из таких интервалов:
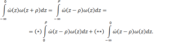
По свойствам функции переключения, на любом
строго вложенном в
интервале
интегральные части равны
, откуда и следуют
окончательные выражения для
и
:
Значения
можно
получить из рекуррентного соотношения, получаемого из условия равенства
соответствующих
и
в
этот момент:
На оставшейся полупрямой
,
при условии сколь угодно малого, но конечного отдаления от границы
,
все
изначальных
фронтов сливаются воедино, после чего, аналогично случаю двух фронтов,
Замечание 3.В замечании 2 к предыдущему разделу
было показано, что в случае четырёх фронтов времена первых попарных
столкновений задаются формулой
где
Очевидным
образом эта формула обобщается и на случай
фронтов.
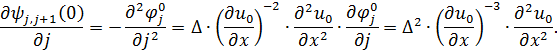
Покажем подробнее, почему выпуклость гладкой верхней огибающейфункции
(назовём
её
)
позволяет говорить о равенстве
.
Далее в рассуждениях будет фигурировать
производная по
. Поскольку
-
не непрерывная, а целочисленная переменная, то на самом деле подразумевается
три действия: замена
на непрерывный
параметр
,
взятие производной по
и возврат к
старому обозначению
.Соотношения при
этом остаются такими же, как если бы
было непрерывным
параметром.
Обозначим
как
функцию
.
Так как в точках
функция
совпадает
со своей огибающей, то справедливо равенство
Вычислим производную
по
как
производную сложной функции:
Отсюда следует, что
поскольку
убывает
с ростом
согласно
начальному условию, а значит и её огибающая тоже убывает с ростом
.
Таким образом,
убывает с ростом
.
В свою очередь,
а значит

Если же, к примеру,
-
всюду вогнутая функция, то
, наоборот, убывает
с ростом
,
и процесс решения задачи Коши следует проводить, обратив порядок фронтов.
Вариант наличия точек перегиба функции
более
сложен и заслуживает отдельного рассмотрения.
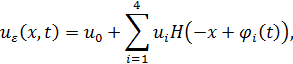
Теорема о структуре глобального решения
Справедлива теорема о глобальной разрешимости
задачи Коши для уравнения Хопфав классе кусочно-дифференцируемых функций.
Продемонстрируем схему её доказательства и выясним общий вид решения.
Теорема 1.Рассмотрим задачу Коши для уравнения
Хопфа:
Пусть
обладает
следующими свойствами:
где
-
пространство непрерывных функций,
-
пространство кусочно-дифференцируемых функций.
Тогда задача Коши имеет решение вида
где
,
-функция
Хевисайда.
Схема доказательства основывается на уже
изученном процессе последовательного слияния фронтов-скачков во время эволюции
ступенчатой функции-решения задачи Коши для уравнения Хопфа, а также на том
факте, что измеримая ограниченная функция может быть приближена
последовательностью ступенчатых функций.
Пусть исходная функция
является
пределом некоторой последовательности ступенчатых функций, начальные высоты
всех ступенек равны
, и
получается
при стремлении
к нулю. Тогда
после перехода к пределу и завершения слияния останется не более чем конечное
число скачков, дающих видимый макроскопический вклад в форму
.
Покажем это.
Обозначим
- число атомарных скачков, после слияния дающих -ый существенный вклад в форму
,
т.е.
при
.
непрерывна
на отрезке
, а значит, и
ограниченна на нём; отсюда следует, что число слившихся скачков не может
превосходить
на каждом шаге (
означает
целую часть
с округлением в
меньшую сторону), и более того
Домножив обе части неравенства на
и устремив
к нулю, получим
следующее предельное неравенство:
Поскольку
,
то случай
противоречил бы
ограниченности
на
.
Аналогично можно сформулировать теорему для
начальной функции
, идентичной уже
рассмотренной, за исключением знака производной на
.
Также справедлива более общая теорема о
глобальной разрешимости и виде решения на бесконечном интервале. Для выполнения
условий этой обобщённой теоремы не требуется постоянство знака производной, но
её доказательство относительно трудоёмко и в данной работе не приводится.
Полученные результаты позволяют провести
качественное исследование задачи Коши для уравнения Хопфа и дают представление
о форме её решения для произвольной непрерывной кусочно-дифференцируемой
функции в качестве начального условия.
Список литературы
коши задача предел функция
J.Glimm,Solution
in the Large for Nonlinear Hyperbolic Systems of Equations, Communications on
Pure and Applied Mathematics, vol. XVIII, 1965
V.
G. Danilov,Generalized Solutions Describing Singularity Interaction,
International Journal of Mathematics and Mathematical Sciences, vol. 29, 2002
V.
G. Danilov, A new definition of weak solutions of semilinear equations with a
small parameter, Uspekhi Mat. Nauk 51 (1997), no. 5
V.
G. Danilov, G. A. Omel’yanov, E. V. Radkevich, Hugoniot-type conditions and
weak solutions to the phase-field system, European J. Appl. Math
10 (1999), no. 1