Решение дифференциального уравнения методами Эйлера и Эйлера-Коши
Федеральное
агентство по образованию
ФГОУ
СПО «Уфимский авиационный техникум»
Курсовая
работа
Решение
дифференциального уравнения методами Эйлера и Эйлера-Коши
по
дисциплине «Численные методы»
КР
080802.10.038.12 ПЗ
Студент Д.Р.
Мусакалимов
Руководитель работы
Э.Р. Ахматсафина
Содержание
Введение
1.Теоретическая
часть
1.1
Метод Эйлера
1.2
Метод Эйлера-Коши
2.Постановка
и решение задачи
2.1Формулировка
задачи
2.2
Решение задачи методом Эйлера
2.3
Решение задачи методом Эйлера - Коши
3.Программная
реализация
3.1
Блок-схемы
Метод
Эйлера
Метод
Эйлера-Коши
3.2
Тексты программ
Метод
Эйлера
Метод
Эйлера-Коши
3.3
Тестовый пример
Метод
Эйлера
Метод
Эйлера - Коши
3.4
Решение задачи с помощью ЭВМ
Метод
Эйлера
Метод
Эйлера-Коши
Заключение
Список
литературы
Введение
Задача Коши́
- одна из основных задач теории дифференциальных уравнений (обыкновенных и с
частными производными); состоит в нахождении решения (интеграла)
дифференциального уравнения, удовлетворяющего так называемым начальным условиям
(начальным данным).
Задача Коши обычно возникает при анализе
процессов, определяемых дифференциальным законом эволюции и начальным
состоянием (математическим выражением которых и являются уравнение и начальное
условие). Этим мотивируется терминология и выбор обозначений: начальные данные
задаются при t = 0, а решение отыскивается при t > 0.
От краевых задач задача Коши отличается тем, что
область, в которой должно быть определено искомое решение, здесь заранее не
указывается. Тем не менее, задачу Коши можно рассматривать как одну из краевых
задач.
Основные вопросы, которые связаны с задачей
Коши, таковы:
Существует ли (хотя бы локально) решение задачи
Коши?
Если решение существует, то какова область его
существования?
Является ли решение единственным?
Если решение единственно, то будет ли оно
корректным, то есть непрерывным (в каком-либо смысле) относительно начальных
данных?
Говорят, что задача Коши имеет единственное
решение, если она имеет решение y = f(x) и никакое другое решение не отвечает
интегральной кривой, которая в сколь угодно малой выколотой окрестности точки
(x0,y0) имеет поле направлений, совпадающее с полем направлений y = f(x). Точка
(x0,y0) задаёт начальные условия.
Метод Эйлера являлся исторически первым методом
численного решения задачи Коши. О. Коши использовал этот метод для
доказательства существования решения задачи Коши. В виду не высокой точности и
вычислительной неустойчивости для практического нахождения решений задачи Коши
метод Эйлера применяется редко. Однако в виду своей простоты метод Эйлера
находит свое применение в теоретических исследованиях дифференциальных
уравнений, задач вариационного исчисления и ряда других математических проблем.
Цель заданной работы - освоить методы решения
дифференциального уравнения методами Эйлера и Эйлера-Коши.
Курсовой проект делится на три части.
Теоретическая часть описана в первой части. Практическая (ручной расчет
поставленной задачи методов Эйлера и Эйлера-Коши) часть реализована во второй
части. В третьей представлены алгоритмы решения обоих методов, программная
реализация методов, а также тестовых задач на заданную задачу.
.
1. Теоретическая часть
Если задачу об отыскании всех решений
дифференциального уравнения удается свести к конечному числу алгебраических
операций, операций интегрирования и дифференцирования известных функций, то
говорят, что уравнение интегрируется в квадратурах. В приложениях крайне редко
встречаются уравнения, интегрируемые в квадратурах. Поэтому для исследования
дифференциальных уравнений широко используются приближенные, численные методы
их решения.
Численное решение на отрезке [a, b] задачи Коши
y' = f(x, y), y(a) = y0 состоит в построении таблицы приближенных значений y0,
y1, ..., yi, ... yN решения y(x) в узлах сетки a=x0
<x1<...<xi<...<xN=by(xi)yi;
Если xi = a+ i h, h=(b-a)/ N, то сетка
называется
равномерной.
Численный метод решения задачи Коши называется
одношаговым, если для вычисления решения в точке x0 + h используется информация
о решении только в точке x0.
Простейший одношаговый метод численного решения
задачи Коши - метод Эйлера. В методе Эйлера величины yi вычисляются по формуле
yi+1 = yi + h f(xi , yi), i = 0, 1, ...
Теорема существования и
единственности задачи Коши. Пусть функция 
определена и непрерывна на
множестве точек
. Предположим также, что она
удовлетворяет условию Липшица: 
для всех 
и произвольных
, 
, где L- некоторая константа
(постоянная Липшица). Тогда для каждого начального значения 
существует единственное решение y(x)
задачи Коши, определенное на отрезке
.
Геометрически задача интегрирования
дифференциальных уравнений состоит в нахождении интегральных кривых, которые в
каждой своей точке имеют заданное направление касательной. Заданием начального
условия мы выделяем из семейства решений ту единственную кривую, которая
проходит через фиксированную точку
(Рис. 1)
Рисунок 1. Метод ломаных
.1 Метод Эйлера
Численное решение задачи Коши
состоит в построении таблицы приближенных значений 
в точках
. Точки 

называются узлами сетки, а величина 
- шагом сетки. В основе построения
дискретной задачи Коши лежит тот или иной способ замены дифференциального
уравнения его дискретным аналогом. Простейший метод основан на замене левой части
уравнения правой разностной производной:
. Разрешая уравнение относительно 
, получаем расчетную формулу метода
Эйлера:
,.
Геометрически эти формула означает,
что на отрезке 
интегральная кривая заменяется
отрезком касательной к кривой (рис. 2).
Рисунок 2. Метод Эйлера
Численный метод называется явным,
если вычисление решения в следующей точке 
осуществляется по явной формуле.
Метод называется одношаговым, если вычисление решения в следующей точке 
производится с использованием только
одного предыдущего значения 
. Метод Эйлера является явным
одношаговым методом.
.2 Метод Эйлера-Коши
Метод Эйлера - Коши - наиболее
точный метод решения дифференциального уравнения (второй порядок точности).
Метод Эйлера обладает медленной
сходимостью, поэтому чаще применяют методы более высокого порядка точности.
Второй порядок точности по 
имеет усовершенствованный метод
Эйлера: 
. Этот метод имеет простую
геометрическую интерпретацию. Метод Эйлера называют методом ломаных, так как
интегральная кривая на отрезке 
заменяется ломаной с угловым
коэффициентом 
. В усовершенствованном методе
Эйлера интегральная кривая на отрезке 
заменяется ломаной с угловым
коэффициентом, вычисленным в средней точке отрезка 
. Так как значение 
в этой точке неизвестно, для его
нахождения используют метод Эйлера с шагом
. Модифицированный метод Эйлера с
пересчетом имеет второй порядок точности, однако для его реализации необходимо
дважды вычислять правую часть функции. Заметим, что метод Эйлера с пересчетом
представляет собой разновидность методов Рунге-Кутта (предиктор-корректор).
Методы Эйлера-Коши относятся к так
называемым одношаговым методам, поскольку для вычисления значения функции y(x)
в точке x+1 требуется знать только значение функции y(x) в одной предыдущей
точке xi.
Геометрически это означает, что
определяется направление касательной к интегральной кривой в исходной точке
хi,yi и во вспомогательной точке хi+1,yi+1(а,в)качестве окончательного
направления берется среднее этих направлений.
Еще одна модификация метода Эйлера
второго порядка - метод Эйлера-Коши:
2. Постановка и решение задачи
.1 Формулировка задачи
.2 Решение задачи методом Эйлера
Решить дифференциальное уравнение на
отрезке [0;4] 
с точностью
=0.01
Найдем первую точку(M1) с шагом
h=1.=1
=x0+1=1
=(1;1
)
Найдем вторую точку(M2).
=x1+1=2

=
=(2;1
)
Найдем третью точку(M3).
=1 =x2+1=3
=(3;
)
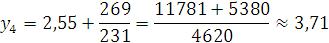
Найдем четвертую точку(M4).
=1 =x3+1=4
=(4;
)
2.3 Решение задачи методом Эйлера -
Коши
Решить дифференциальное уравнение на
отрезке [0;4] 
с точностью
=0.01
Найдем первую точку(M1).
=1 =x0+1=1
=(1;
)
Найдем вторую точку(M2).
=1 =x1+1=2
=(1;
)
Найдем третью точку(M3).
=1 =x2+1=3
=(1;
)
Найдем четвертую точку(M4).
=1 =x3+1=4
=(1;
)
. Программная реализация
.1 Блок-схемы
Метод Эйлера
Метод Эйлера-Коши
3.2 Тексты программ
Метод ЭйлераАбсцисса точки искомой функции-
Ордината точки искомой функции- Конечная точка интегрирования- Шаг- Начальная
точка интегрирования- Производная- Количество
вычисленийeiler;crt;x,y,a,b,h:real;i:integer;f(x,y:real):real;{Opisanie
funkcii}f:= (x*x-y)/(2*x+y+1);end;;('y-Na4alna9a to4ka y');('a-Na4alna9a to4ka
x');('b-Kone4na9a to4ka x');('h-Shag');('VVedite y, a, b, h');(y,a,b,h);:=a;
:=0;:=i+1;:=y+h*f(x,y);:=x+h;('x',i,'=',x:0:2,' ','y',i,'=',y:0:2);x>b-1;;.
Метод Эйлера-КошиАбсцисса точки искомой функции-
Ордината точки искомой функции- Конечная точка интегрирования- Шаг- Начальная
точка интегрирования- Производная- Количество вычислений Промежуточное значение
eiler_Koshi;crt;
var z,x,y,a,b,h:real;i:integer;
function f(x,y:real):real;f:= (x*x-y)/(2*x+y+1);
end;{Opisanie funkcii}
clrscr;('y-Na4alna9a to4ka y');('a-Na4alna9a
to4ka x');('b-Kone4na9a to4ka x');('h-Shag');('VVedite y, a, b, h');(y,a,b,h);:=a;:=0;:=i+1;:=y+h*f(x,y);:=y+h*(f(x,y)+f(x+h,z))/2;:=x+h;('x',i,'=',x:0:2,'
','y',i,'=',y:0:2);x>b-1; readln;.
.3 Тестовый пример
Метод Эйлера
В качестве тестового примера возьмем
, начальная
точка М0(0;1) на промежутке [0;2].
Рисунок 4. Результат работы
программы(Метод Эйлера)
Метод Эйлера - Коши
В качестве тестового примера возьмем
, начальная
точка М0(0;1) на промежутке [0;2].
Рисунок 5. Результат работы
программы (Метод Эйлера-Коши)
Значения, полученные в результате
решения аналитически и программно - верны
3.4 Решение задачи с помощью ЭВМ
Метод Эйлера
При решении заданного интеграла на языке
программирования Turbo Pascal мы получаем следующие результаты (рисунок 5).
дифференциальное уравнение эйлер
алгоритм
Рисунок 5. Результат работы программы (метод
Эйлера)
Метод Эйлера-Коши
При решении заданного интеграла на языке
программирования Turbo Pascal мы получаем следующие результаты (рисунок 6).
Рисунок 6. Результат работы программы (Метод
Эйлера-Коши)
Заключение
При решении задач дифференциального уравнения
двумя методами - Эйлера и Эйлера-Коши - получается как можно более точные
значения в вычислениях уравнений. метод Эйлера имеет первый порядок точности.
Метод Эйлера обладает медленной сходимостью, поэтому чаще применяют методы
более высокого порядка точности. При решении задач методом Эйлера-Коши,
получается более точное значение подынтегральной функции, так как погрешность
метода пропорциональна шагу h во второй степени, т.е. метод Эйлера - Коши имеет
второй порядок точности.
Метод Эйлера являлся исторически первым методом
численного решения задачи Коши. О. Коши использовал этот метод для
доказательства существования решения задачи Коши. В виду не высокой точности и
вычислительной неустойчивости для практического нахождения решений задачи Коши
метод Эйлера применяется редко. Однако в виду своей простоты метод Эйлера
находит свое применение в теоретических исследованиях дифференциальных
уравнений, задач вариационного исчисления и ряда других математических проблем.
В ходе выполнения курсовой работы мы проделали
ручной расчет заданной функции, выполнили расчет на языке программирования.
Также мы выполнили тестовый пример для проверки методов интегрирования.
Программы написаны на языке Turbo Pascal для
нахождения значений интегралов. Полученные в результате работы программ решения
совпадают с ответами в примере.
Список литературы
Каханер
Д., Моулер К., Нэш С. Численные методы и программное обеспечение (пер. с
англ.). М.: Мир, 2001, 575 c.
Самарский
А. А., Гулин А. В. Численные методы: Учеб. пособие для вузов. - М.: Наука. Гл.
ред. физ-мат. лит., 1989. - 432 с.
Пискунов
Н. С. Дифференциальное и интегральное исчисления для вузов. - 13-е изд. - М.:
Наука. Гл. ред. физ-мат. лит., 1985. - 432 с.