Регламентация и нормирование труда

  • Вид работы:
    Контрольная работа
  • Предмет:
    Эктеория
  • Язык:
    Русский
    ,
    Формат файла:
    MS Word
    184,67 Кб
  • Опубликовано:
    2016-02-22
Вы можете узнать стоимость помощи в написании студенческой работы.
Помощь в написании работы, которую точно примут!

Регламентация и нормирование труда

МИНИСТЕРСТВО ОБРАЗОВАНИЯ И НАУКИ РОССИЙСКОЙ ФЕДЕРАЦИИ

Федеральное государственное бюджетное образовательное учреждение высшего профессионального образования

«Уральский государственный экономический университет»








КОНТРОЛЬНАЯ РАБОТА

Регламентация и нормирование труда

Выполнила: Шарипова З.З.







Екатеринбург 2013 г.

Содержание

1. Норма обслуживания, численности, управляемости. Область их применения

. Фотография использования рабочего времени методом моментных наблюдений. Определение количества наблюдений. Проведение наблюдения, выбор интервала проведения наблюдения и запись данных. Обработка результатов наблюдений

Задание 3

Задание 4

Задание 5

Задание 6

Задание 7

Вывод

Список литературы

1. Норма обслуживания, численности, управляемости. Область их применения

Труд представляет собой целесообразную деятельность людей по созданию материальных и духовных благ. Затраты труда на создание этих ценностей должны иметь количественную оценку, потому, что в масштабе общества получают признание только те из них, которые соответствуют общественно необходимому времени, т.е. времени, требуемому на изготовление данного изделия при общественно нормальных условиях производства при среднем уровне целостности и интенсивности труда. Непосредственно на уровне предприятий общественно необходимое время выступает как необходимое время - рабочее время, требуемое для изготовления единицы продукции в конкретных организационно-технических условиях данного предприятия работниками соответствующей квалификации при нормальной интенсивности труда.

Эти условия на предприятиях различны, поэтому различаются и необходимые затраты времени, уровень которых может быть выше или ниже общественно необходимых затрат. Соответственно будут различными и фактические затраты.

Нормирование труда это определение его необходимых затрат на изготовление единицы продукции в конкретных организационно технических условиях. Целью нормирования труда является наиболее точное определение необходимых затрат, а соответственно и результатов труда и их отражение в нормах труда. По форме выражения затрат труда различают нормы времени, нормы численности и нормы обслуживания и нормы численности.

Норма обслуживания - количество производственных объектов, которые один работник или группа работников обязаны обслуживать в течении единицы рабочего времени в конкретных организационно-технических условиях. Для определения нормы обслуживания необходимо предварительно установить одну из разновидностей нормы времени - норму времени обслуживания единицы оборудования, одного рабочего места и т.п.

Нормы обслуживания предназначаются для нормирования труда наладчиков, ремонтников, контролеров, кладовщиков и др.

Норма численности - численность работников определенного профессионально-квалифицированного состава необходимая для выполнения конкретных производственных функций или объемов работ в конкретных организационно-технических условиях. Норма численности измеряется в количестве человек.

Например: Трудоемкость наладки одного станка составляет 40 минут, а подналадки 20 минут, продолжительность смены 480 минут. В цехе требуют ежедневного обслуживания 24 ед. однотипного оборудования. Тогда норма численности наладчиков за смену составит: (40+20)*24/480=3 чел. По нормам численности устанавливается необходимое число работников: операторов и наладчиков, обслуживающих автоматические машинные агрегаты. Кроме того нормы численности используются при нормировании труда руководителей, специалистов и служащих для определения количественного состава работников по отдельным должностям, по подразделениям управления в цехе, по функциям управления на предприятии.

При расчете численности по нормативам численности за основу берется явочная численность рабочих в смену, необходимая для выполнения заданного объема на отдельном объекте. Нормативы численности определяют по функциональным группам вспомогательных работ: по ремонту и дежурному обслуживанию, по контрольным работам и т.д.

Норма управляемости - количество работников или структурных подразделений, управление которыми должно быть закреплено за руководителем.

Или норма управляемости - это количество работников, приходящихся на одного руководителя.

Показатель Норма управляемости активно используется в управлении персоналом <#"881141.files/image001.jpg">

Решение:

 

 

 



Задание 4

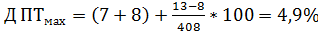
На основании сводки одноименных затрат рабочего времени (табл.1) составить фактический и нормативный балансы рабочего времени, если время ПЗ по нормативу составляет 15 мин. на смену, Тотл и Тобс по 2 % от Топ. Определить коэффициент использования сменного времени и максимально возможный рост производительности труда.


Решение:

Топ = 408 мин.

Т см = 480 мин.

Т отл = 13 мин.

Т обс = 5 мин.

Т пнт = 7 мин.

Т пнд = 8 мин.




Задание 5

экономический рабочий время норма

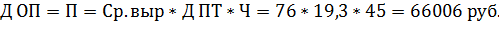
На основании данных таблицы 3 рассчитать экономическую эффективность мероприятий по устранению потерь рабочего времени и плановую прибыль от дополнительного выпуска продукции. Нормативный коэффициент сравнительной экономической эффективности единовременных затрат составляет 0,15.



Решение:

с/ст-ть = Д ОП*dупр = 66006*0,27 = 17821,62 руб.

Затраты тек. = (Д ОП-с/ст-ть)*65%= (66006-17821,62)*65%=48184,38*65% = 31319,8 руб.

Ээ = Д ОП - с/ст-ть - Затраты тек. - (Затраты ед.* Еn) = 66006 - 17821,62 - 31319,8- (276*0,15) = 66006 - 17821,62 - 31319,8- 41,4=16823,18 руб.

Задание 6

Рассчитать экономическую эффективность мероприятий по улучшению организации труда (в денежном выражении). Исходные данные представлены в таблице 4.


Д ПТ1 = ФРВотч / ФРВбаз = 1550/1530=1,01

Д ПТ2 = ФРВотч / ФРВбаз = 7/10=0,7

Д ПТ3 = 1/J Тр. = 1/3=0,33


Эч = (100* Д ПТ) / (100+ Д ПТ)*Ч = (100*2,04) / (100+2,04)*40= (204/102,04)*40 = 2*40=80 чел.

Ээ = Эч *З/пл.*% отч. = 80*25000*0,34=680000 руб.

Задание 7

Объект регламентации

Способы регламентации

Виды, типы действующих регламентов

Субъекты деятельности, в т.ч:

Правила - самый жесткий способ регламентации. Правила - это официально зафиксированные в регламентирующих документах модели поведения (стандарты деятельности), соблюдение которых контролируется, а нарушение наказывается

Конституция РФ Федеральный закон от 27.07.2004 N 79-ФЗ "О государственной гражданской службе Российской Федерации" (ред. от 25.12.2008)  законы о государственной службе субъектов РФ, положения о проведении аттестации федерального государственного служащего, о порядке присвоения и сохранения квалификационных разрядов федеральным государственным служащим и др., утверждаемые федеральными органами исполнительной власти, и др.

индивидуальные



1)должностные позиции

Нормы - неофициальные и, как правило, не зафиксированные, но четко соблюдаемые модели поведения, следование которым контролируется сотрудниками организации, а их нарушение порицается.


2)рабочие места

Традиции - максимально мягкие требования к поведению сотрудников, при которых существует некоторая модель поведения, которую одобрило руководство, но нет ни контролирующих ее соблюдение лидеров, ни официальных правил.


Коллективные


 

1) коллектив, характеризующийся максимальной социальной значимостью деятельности, в максимальной степени опосредствующей межличностные отношения



2) общность, где высокий уровень развития социальных ценностей лишь в очень слабой мере опосредует групповые процессы; примером, согласно Петровскому, может служить только что созданная группа, социальный смысл деятельности которой не выступил пока детерминантой реального общения и взаимодействия образующих ее лиц



3) группа, где антиобщественная по направленности деятельность в высокой степени опосредует взаимоотношения ее членов



4) общность, где взаимоотношения людей фактически не опосредуются общими факторами совместной деятельности, а если такое опосредование все же имеет место, то антисоциальный характер опосредующих факторов лишает деятельность группы какой-либо общественной ценности



5) типичная «диффузная группа», где и социальная ценность опосредующих факторов, и их роль в системе внутригрупповой активности никак не выражены



Процессы деятельности - это части деятельности, в ходе которой субъекты выполняют свою работу, используя ресурсы. Для регламентации деятельности процессов используются нормативные документы. При разработке и мониторинге нормативных документов HR-специалисты могут иметь ведущую роль как сотрудники, умеющие проводить анализ деятельности и разрабатывать грамотные и понятные тексты.





Вывод

Имея в наличии эти нормы можно регулировать практически любую профессиональную деятельность сотрудника. Конечно, следует правильный вопрос: “А как же регулировать деятельность творческих сотрудников. “На самом деле творчество мало применяется в компаниях, особенно с серийным производством. Если оно и есть, то, как правило, на руководящих постах и заключается оно не в создании новых продуктов и услуг, а в принятии решения на основании представленной подчиненными информации. В нашей жизни состоит все из алгоритмов, даже самая пустяковая работа.

Мне кажется, что расчет данных показателей лежит где-то в области психологии и парапсихологии. Но, тем не менее, применение этих норм возможно при условии достижения договоренности и анализа практики предприятия. И главная цель использования этих критериев, на мой взгляд, должна быть в упорядочивании процесса построения структур предприятия.

На основе нормативов можно установить конкретные нормы для предприятия. Но это произойдет в том случае, когда факторы примут конкретные числовые значения, характерные для данного предприятия. При этих условиях норматив превращается в норму трудозатрат. А норма труда всегда конкретна и регламентирует затраты времени или численности для вполне определенных конкретных рабочих мест или подразделений при рациональных организационно-технических условий.

Список литературы

1.      Генкин, Б.М. Организация, нормирование и оплата труда на промышленных предприятиях : учеб. для вузов / Б.М. Генкин. - М. : НОРМА, 2003. - 400 с.

.        Генкин, Б.М. Экономика и социология труда : учеб. для вузов / Б.М. Генкин. - 4-е изд., перераб. и доп. - М. : НОРМА (Издательская группа «НОРМА-ИНФРА-М»), 2002. - 416 с.

.        Организация, нормирование и оплата труда на предприятии: учебно-практическое пособие/ В.П. Пашуто. - 6-е изд., стер. - М.: КНОРУС, 2011. - 320 с.

Похожие работы на - Регламентация и нормирование труда

 

Не нашли материал для своей работы?
Поможем написать уникальную работу
Без плагиата!
Без нейросетей!