Расчет себестоимости ТО и ТР цеха по ремонту топливной аппаратуры
Курсовая
работа
на тему:
«Расчет себестоимости ТО и ТР цеха по ремонту топливной аппаратуры»
Содержание
Введение
. Расчетная часть
.1 Расчет среднесписочной
численности рабочих
.2 Расчет фонда заработной платы
.3 Расчет отчислений в фонд социального
страхования
.4 Расчет затрат на запасные части и
ремонтные материалы
.5 Расчет цеховых расходов
.5.1 Расчет численности цехового
персонала и фонда заработной платы
.5.2 Расчет расходов на охрану труда
и технику безопасности
.5.3 Расчет износа спецодежды,
малоценного оборудования и инструмента
.5.4 Расчет суммы амортизации
основных фондов
.5.6 Расчет затрат на текущий ремонт
основных фондов
.5.7 Расчет материальных затрат по
содержанию участка
.5.8 Расчет прочих затрат
.6 Калькуляция себестоимости
.7 Технико-экономические показатели
Заключение
Список использованной литературы
Введение
Экономическая организация производства возникает
только тогда, когда участники производства исходят из «принципа экономической
целесообразности».
Любое производство - это целенаправленная
затрата ресурсов для получения определенных результатов. В «неэкономическом»
производстве между затратами и существует лишь прямая технологическая
зависимость, - в том смысле, что из «ресурсов» получаю «результаты». В
экономическом же производстве между затратами и результатом возникает особая.
Регулирующая производство, обратная зависимость. Требующая обязательного
соизмерения производственных результатов с понесенными затратами.
Экономически эффективным считается производство,
в котором максимум результата обеспечивается минимумом затрат.
1. Расчетная часть
.1 Расчет среднесписочной численности рабочих
Для расчета среднесписочной численности рабочих
составляется баланс рабочего времени одного рабочего на год.
Таблица 1. Баланс рабочего времени
|
№
п/п
|
Наименование
|
Количество
|
|
1
2 3 4 5
|
Количество
календарных дней в году Количество нерабочих дней в году Номинальный фонд
рабочего времени: - в днях - в часах Невыходы: - очередные и
дополнительные отпуска, дни - по болезни, дни - с разрешения закона, дни -
прочие, дни Действительный фонд рабочего времени: - в днях - в часах
|
365
115 250 1750 28 5 1 1 215 1505
|
Определяем коэффициент потерь рабочего времени:
где
- номинальный фонд рабочего
времени, дни
- действительный фонд рабочего
времени, дни
Определяем среднесписочную
численность рабочих:
,
где
- явочная численность рабочих, чел
- коэффициент потерь рабочего
времени
Таблица 2. Распределение рабочих по уровню
квалификации
|
Виды
работ
|
Nс
|
В
т.ч по разрядам
|
|
|
1
|
2
|
3
|
4
|
5
|
|
Всего
по РММ в том числе: - слесарные и прочие - сварочные и кузнечные -
станочные
|
|
|
20 30
|
40 60 50
|
30 40 20
|
10
|
.2 Расчет фонда заработной платы
В состав фонда заработной платы входят основная
и дополнительная заработная платы производственных рабочих.
Основанная заработная плата включает:
1) оплату по тарифу;
2) доплату в виде премии;
) доплату за бригадирство;
) доплату за работу в ночное время;
) районный коэффициент.
Дополнительная заработная плата включает:
1) оплату за отпуска;
2) оплату за выслугу лет;
) выполнение гособязанностей.
Для расчета фонда заработной платы применяем
косвенно-сдельную систему оплаты труда, которая предусматривает увеличение
тарифа на % выполнения плана основными рабочими.
Расчет заработной платы осуществляется по
«Отраслевому соглашению по лесопромышленному комплексу». Для расчетов
используем прожиточный минимум по Вологодской области на момент расчета
курсовой работы. Принимаем, что в среднем в каждом месяце 25 рабочих дней.
Таблица 3. Тарифные ставки рабочих
|
Наименование
|
Разряды
|
|
1
|
2
|
3
|
4
|
5
|
6
|
|
На
других лесозаготовительных работах: повременщики: часовая дневная
сдельщики: часовая дневная
|
2,63 2,79
|
2,84 3,06
|
3,17 3,38 22
154
|
3,54 3,75
|
4,02 4,34
|
4,72 5,02
|
Фонд рабочего времени за месяц составляет 169,2
часа.
Таблица 4. Расчет тарифного фонда оплаты труда
|
Показатели/разряд
|
1
|
2
|
3
|
4
|
5
|
6
|
|
Коэффициент
|
1
|
1,1
|
1,2
|
1,35
|
1,54
|
1,8
|
|
Тарифный
фонд ЗП
|
|
|
76252
|
|
|
|
|
Тарифный
фонд ЗП с учетом повышающего коэффициента
|
|
|
91502
|
|
|
|
|
Дневная
тарифная ставка
|
|
|
154
|
|
|
|
|
Часовая
тарифная ставка
|
|
|
22
|
|
|
|
Величина доплаты в виде премий устанавливается в
зависимости от поддержания КТГ на высоком уровне:
При КТГ: 0,7÷0,75=20%
,75÷0,8=30%
,8÷0,9=40%
За руководство бригадой установлены доплаты в
зависимости от численности бригады:
состав бригады до 10 человек - доплата 10% ;
состав бригады более 10 человек - доплата 15%.
Дбр= Тст дн*Д*%допл/100,
где: Тст дн - тарифная ставка
дневная, (руб.);
Д - эффективный фонд рабочего времени, (дни);
%допл - величина доплаты.
Доплаты за ночные часы установлены в размене 35%
от часовой тарифной ставки рабочего соответствующего разряда.
Н= Тст час*Nноч*t*Д*35%,
где: Тст час - тарифная ставка
часовая, (руб.);
Nноч
- количество человек, работающих в ночную смену,(чел);
t - количество
часов, отработанных в ночную смену, (час);
Д - эффективный фонд рабочего времени, (дни);
В зависимости от места расположения предприятия
производится доплата в виде районного коэффициента, по Вытегорскому району он
составляет 15%.
РК=(91502+36601)*0,15=19215(руб)
где
- тарифный фонд заработной платы,
(руб.)
Пр - размер премиальных затрат,
(руб.)
Д - доплаты за бригадирство, (руб.)
Н - доплаты за работу в ночное
время, (руб.)
Определяем основной фонд заработной
платы:
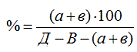
Расчет дополнительной заработной платы:
Ф= 18562+13725= 32287(руб.)
где
- фонд заработной платы за отпуска,
(руб.)
- фонд заработной платы за выслугу
лет, (руб.)
Определяем фонд заработной платы за
отпуска:
%=
где а - продолжительность основного
отпуска, (дни)
в - продолжительность
дополнительного отпуска, (дни)
Д - количество календарных дней в
году
В - количество выходных и
праздничных дней
Определяем доплаты за выслугу лет:
Доплаты за выслугу лет производятся
в зависимости от уровня квалификации рабочего и непрерывного стажа работы на
данном предприятии. Принимаем стаж работы на предприятии условно 3-5 лет.
Таблица 5. Определение размера доплат за выслугу
лет в зависимости от стажа работы
|
Стаж
работы
|
Квалифицированные
рабочие 3 и 4 разряда
|
Остальные
рабочие 1 и 2 разряда
|
|
1
- 3 года 3 - 5 лет 5 - 10 лет 10 - 15 лет Свыше 15 лет
|
10%
15% 20% 25% 30%
|
5%
10% 15% 20% 20%
|
где Фзп тар - тарифный фонд
заработной платы, руб.
% - процент, установленный от уровня
квалификации и стажа работы
Определяем общий фонд заработной платы:
Определяем среднюю заработную плату на одного
рабочего в год:
Фзп=
где
- списочная численность рабочих,
(чел)
Таблица 6. Расчет фонда оплаты труда
|
Специальность
|
Nсп, чел.
|
Кт
|
Тст.дн
Руб.
|
ФЗПтар,
Руб.
|
П,
Руб.
|
РК,
Руб.
|
Дотп,
Руб
|
Двл,
Руб.
|
ФЗПобщ,
Руб.
|
|
Слесарь
3разряда
|
1
|
1,16
|
154
|
91502
|
36601
|
19215
|
18562
|
13725
|
179605
|
.3 Расчет отчислений в фонд социального
страхования
Расчет производится по отраслевому нормативу от
общего фонда заработной платы, который составляет 34%
С=179605*0,34=61066
.4 Расчет затрат на сырье и
материалы
Для РММ: стоимость запасных частей и
ремонтных материалов для ТО и ТР определяется по нормативам денежных затрат на
1000 км пробега для автомобилей или на 100 мото-часов для тракторов.
+1584751=3548251 (руб.)
где
- затраты на запасные и ремонтные
материалы для автомобилей, (руб.)
- затраты на запасные и ремонтные
материалы для тракторов, (руб.)
Затраты на запасные части и
ремонтные материалы для автомобилей определяются по формуле:

=1963500 (руб)
где
- годовой пробег автомобиля, (км)
- норматив денежных затрат на
запасные части для данной марки автомобиля на 1000 км пробега, (руб.)
- норматив денежных затрат на
ремонтные материалы, (руб.)
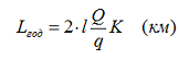
Годовой пробег для автомобилей
определяем:
где
- расстояние вывозки, (км)
Q - годовой
объем вывозки, (м3)
q - нагрузка
на рейс, (м3)
К - коэффициент, учитывающий нулевой
пробег (1,01÷1,1)
Затраты на запасные части и
ремонтные материалы для тракторов определяются:
где
- годовой пробег тракторов,
(мото-час)
- норматив денежных затрат на
запасные части для тракторов данной марки на 100 км пробега, (руб.)
- норматив денежных затрат на
ремонтные материалы для тракторов, (руб.)
Годовой пробег для тракторов
определяем:
где
- фонд рабочего времени, (дни)
- продолжительность смены, (час)
n - число
смен
- количество тракторов, (шт)
- коэффициент технической
готовности
Коэффициент перевода Машино-часов в
моточасы - 0,65
Таблица 7. Нормативы денежных затрат
на запасные части и ремонтные материалы
|
Наименование
механизмов
|

|
|
|
УРАЛ-377
ТДТ-55
|
7140
20770
|
|
Определяем общие затраты для цеха:
где % - это процент трудозатрат цеховых от общих
Определяем общие затраты с учетом транспортных
расходов и расходов, связанных с хранением материалов и запасных частей.
расходы составляют 60% от затрат для цеха.
.5 Расчет цеховых расходов
Расчет планируется путем составления
сметы затрат, предусматривая распределение сметы затрат по элементам.
Таблица 8. Смета затрат цеховых расходов
|
№
п/п
|
Элементы
затрат
|
Сумма
затрат, руб.
|
|
1
2 3 4 5 6 7
|
Фонд
заработной платы цехового персонала с отчислениями в фонд социального
страхования (Z1) Расходы
на охрану труда и технику безопасности (Z2) Износ
спецодежды, инвентаря и оборудования (Z3)
Амортизация основных фондов (Z4) Расходы
на текущий ремонт основных фондов (Z5)
Материальные затраты по содержанию участка (Z6) Прочие
расходы
|
7429
3500 39403 115705 303420 109514 57897
|
|
Итого:
|
636868
|
.5.1 Расчет численности цехового персонала и
фонда заработной платы
Численность цехового персонала рассчитывается по
нормативу к списочному составу ремонтных рабочих.
Таблица 9. Определение численности цехового
персонала
|
Наименование
персонала
|
%
|
Численность
|
|
ИТР
|
4
|
0,04
|
Таблица 10. Определение фонда заработной платы
цехового персонала
|
Наименование
категории
|
Численность,
чел.
|
Тар.
фонд за месяц, руб.
|
Тар.
фонд за год, руб.
|
РК,
руб.
|
Выслуга
лет, руб.
|
Оклад,
руб.
|
Общий
Фонд, руб.
|
|
ИТР
|
0,04
|
360
|
3960
|
594
|
990
|
9000
|
5544
|
Определяем затраты с учетом отчислений в фонд
социального страхования:
где
- общий фонд заработной платы
цехового персонала, (руб.)
2.5.2 Расходы на охрану труда и
технику безопасности
Расхода принимают по нормативу,
который составляет 3500 рублей на одного рабочего в год.
.5.3 Расчет износа спецодежды и
малоценного оборудования
Так как срок износа не совпадает с
числом месяцев в году, то общегодовая стоимость определяется отношением
стоимости за единицу к сроку износа и умножением на 12 месяцев.
Таблица 11. Расчет износа спецодежды
|
№
п/п
|
Наименование
спецодежды
|
Ед.
изм.
|
№
сп. чел.
|
Срок
износа, мес.
|
Стоимость
за единицу, руб
|
Общая
сумма износа, руб.
|
|
1
|
2
|
3
|
4
|
5
|
6
|
7
|
|
1
2 3
|
Костюм
х/б Сапоги Рукавицы
|
шт
пара пара
|
1
1 1
|
16
24 2
|
860
280 20
|
645
140 120
|
|
Итого:
|
|
-
|
-
|
-
|
905
|
Таблица 12. Расчет затрат на малоценное
оборудование
|
№
п/п
|
Наименование
оборудования
|
Кол-во,
шт
|
Стоимость
за ед., руб.
|
Общая
стоимость, руб
|
|
1
|
2
|
|
4
|
5
|
|
1
|
Ящик
для песка
|
1
|
250
|
250
|
|
2
|
Ларь
для обтирки
|
1
|
350
|
350
|
|
3
|
Огнетушитель
|
1
|
900
|
900
|
|
4
|
Набо
инструментов
|
1
|
6125
|
6125
|
|
5
|
Пожарный
щит
|
1
|
7000
|
7000
|
Шкаф
для одежды
|
1
|
4800
|
4800
|
|
7
|
Шкаф
для инструментов
|
1
|
3800
|
3800
|
|
8
|
Верстак
слесарный
|
1
|
7000
|
7000
|
|
Итого:
|
-
|
-
|
30225
|
|
Прочие
10%
|
-
|
-
|
3023
|
|
Всего
|
-
|
-
|
33248
|
Затраты на инструменты составляют 3000 рублей на
одного рабочего:
Стоимость приборов и приспособлений составляют
75% от общей стоимости инструментов:
Определяем затраты по третьему элементу:
.5.4 Расчет амортизации основных фондов
Сумма амортизации основных фондов рассчитывается
по нормативам в % от балансовой стоимости. Балансовая стоимость включает в себя
стоимость основных фондов в момент их приобретения плюс затраты на
транспортировку и монтаж, которые составляют 30% от их стоимости.
Таблица 13. Расчет амортизационных отчислений
|
№
п/п
|
Наименование
основных фондов
|
Кол-во
|
Стоимость,
руб.
|
Затраты
на транспортир. и монтаж, руб.
|
Баланс.
стоимость, руб.
|
Норма
амортиз., %
|
Сумма
амортиз., руб.
|
|
|
|
За
ед-цу
|
Общая
|
|
|
|
|
|
1
|
2
|
3
|
4
|
5
|
6
|
7
|
8
|
9
|
|
1
|
Стенд
для испытаний и регулировки ТНВД
|
1
|
670000
|
670000
|
201000
|
871000
|
10,4
|
90584
|
|
2
|
Пневматический
тестер регулятор ТНВД
|
1
|
11000
|
11000
|
3300
|
14300
|
10,4
|
1487
|
|
3
|
Станция
для подкачки высокого давления
|
1
|
38000
|
38000
|
11400
|
49400
|
10,4
|
5138
|
|
4
|
Станция
смазки для ТНВД
|
1
|
28000
|
28000
|
8400
|
36400
|
10,4
|
3786
|
|
5
|
Стенд
электронный для испытвния и регулировки форсунок
|
1
|
31000
|
31000
|
9300
|
40300
|
10,4
|
4191
|
|
Итого:
|
-
|
--
|
---
|
---
|
1011400
|
---
|
105186
|
|
Прочие
10%
|
-
|
--
|
---
|
---
|
---------
|
---
|
10519
|
|
Всего
|
-
|
--
|
---
|
---
|
1011400
|
---
|
115705
|
.5.5 Расчет затрат на текущий ремонт основных
фондов
Материальные затраты на текущий ремонт рассчитываем
по нормативам стоимости:
для оборудования - 30%

(29)
где
- балансовая стоимость
оборудования, (руб.)
2.5.6 Материальные затраты по
содержанию участка
Исходными данными для расчета
служат:
1) Расчет энергии: -
- силовая -
на освещение -
) Расход топлива -
) Расход воды -
Определяем затраты на электроэнергию:
где: Ц - стоимость за 1 кВт/ч, (руб.)
- расход энергии, (кВт/ч)
цена:5,04(руб за кВт)
Определяем затраты на топливо:
где: Ц - стоимость топлива за ед., (руб.)
- расход топлива
цена: 500 (руб)(дрова)

(руб.)
Определяем затраты на воду:
где: Ц - стоимость 1 м3 воды,
(руб.)
- расход воды, м3
цена:79,6 (руб)
Определяем затраты по шестому
элементу:
.5.7 Расчет прочих затрат

=57897 (руб.)
.6 Калькуляция себестоимости
Таблица 14. Калькуляция
себестоимости ТО и ТР
|
№
п/п
|
Наименование
затрат
|
Сумма
затрат, руб.
|
В
том числе
|
|
|
|
Автомоб.
(11)(47,8%)
|
Трактора
(12)(52,2%)
|
|
1
|
2
|
3
|
4
|
5
|
|
1
2 3 4
|
Основания
и дополнительная заработная плата Отчисление на социальное страхование Сырье
и материалы Цеховые расходы
|
179605
61066 255474 636868
|
85851
29190 122117 304423
|
93754
31876 133357 332445
|
2.7 Технико-экономические показатели
Определяем себестоимость ТО и ТР автомобилей:
где
- сумма затрат на автомобили по
калькуляции, (руб.)
- годовой пробег автомобилей, (км)
Определяем себестоимость ТО и ТР
тракторов:
где
- сумма затрат на трактора по
калькуляции, (руб.)
- годовой пробег тракторов, (км)
Определяем стоимость ТО и ТР исходя
из стоимости одного чел/час:
где
- сумма всех затрат по калькуляции
- годовое количество чел/час
трудозатраты
Годовая сопоставимая себестоимость
должна быть на 5÷10%
выше
проектируемой.
Определяем условно-годовую экономию:
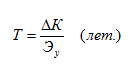
Определяем срок окупаемости
дополнительных капитальных вложений:
Т=
(года)
где
- дополнительные капитальные
вложения (сумма балансовой стоимости оборудования и стоимости зданий), (руб.)
Сравниваем срок окупаемости с
нормативным:
Определяем коэффициент сравнительной
эффективности:
Определяем коэффициент с нормативным
значением:
,34>0,15
Таблица 15. Технико-экономические
показатели
|
№
|
Наименование
показателей
|
Ед.
изм.
|
Величина
показателей
|
|
1
|
Объем
лесозаготовительных работ
|
м3
|
100000
|
|
2
|
Количество
рабочих дней в году
|
Дни
|
250
|
|
3
|
Трудозатраты
на ТО и ТР
|
чел.час
|
298,62
|
|
4
|
Среднесписочная
численность рабочих
|
чел
|
1
|
|
5
|
Общий
фонд заработной платы
|
руб.
|
179605
|
|
6
|
Средняя
заработная плата одного рабочего в месяц
|
руб.
|
14967
|
|
7
|
Общая
сумма затрат
|
руб.
|
1133013
|
|
8
|
Себестоимость
1000 км пробега/100м*ч
|
руб.
|
1969/7751
|
|
9
|
Себестоимость
чел/час
|
руб.
|
3794
|
|
10
|
Условно
годовая экономия
|
руб.
|
339904
|
|
11
|
Срок
окупаемости
|
лет
|
2,97
|
|
12
|
Коэффициент
экономической эффективности
|
|
0,34
|
экономический себестоимость
амортизация заработный
Заключение
Данный проект считаю экономически
эффективным, т.к. условно годовая экономия составляет - 339904 (руб.), срок
окупаемости меньше нормативного (2,97 года 
равен 0,34,что так же является
нормой.
Список использованной
литературы
1. Волков
О.И., Скляренко В.К. Экономика предприятия: Курс лекций. - М.: ИНФРА - М, 2014.
- 280с.
2. Сафронов
Н.А. Экономика организации: учеб. для ср. спец. учеб. заведений. - М.:
Экономистъ, 2010. - 251 с.
. Пелих А.С.
и др. Экономика отрасли. Серия «Высшее образование». Ростов н/Д: «Феликс», 2012
- 448 с.
. Швандар
В.А. и др. Экономика предприятия: Тесты, задачи, ситуации: Учеб. пособие для
вузов - 3-е изд., перераб. и доп. - М.: ЮНИТИ - ДАНА, 2004. - 254с.
. Федько
В.П., Федько Н.Г. Основы маркетинга: экзаменационные ответы. Серия «Сдаем
экзамен». Ростов н/Д.: «Феникс», 2011
- 384с.
. Блинова
Т.В. Основы бухгалтерского учета: Учебное пособие для студентов учреждений
средн. Проф. образования. - М.: ФОРУМ: ИНФРА - М, 2012.
- 208с.
. Методические
указания для курсового и дипломного проектирования по дисциплине «Экономика
отрасли».