Разработка математической модели по формированию производственной программы

  • Вид работы:
    Курсовая работа (т)
  • Предмет:
    Менеджмент
  • Язык:
    Русский
    ,
    Формат файла:
    MS Word
    570,63 Кб
  • Опубликовано:
    2015-07-09
Вы можете узнать стоимость помощи в написании студенческой работы.
Помощь в написании работы, которую точно примут!

Разработка математической модели по формированию производственной программы

Содержание

ВВЕДЕНИЕ

ГЛАВА 1. Роль экономико-математических методов в оптимизации экономических решений

1.1 История применения математических методов в экономике

.2 Сущность экономико-математического моделирования

.3 Основные понятия и типы моделей. Их классификация

.4 Этапы экономико-математического моделирования

.5 Принцип работы симплекс-метода

.6 Симплекс метод в общем виде

ГЛАВА 2. Разработка математической модели по формированию производственной программы

2.1 Составление математической модели

ГЛАВА 3. Оптимизационные расчеты, связанные с выбором производственной программы

3.1 Решение задачи средствами Microsoft Excel

.2 Решение задачи на максимум прибыли

.3 Решение задачи на минимум себестоимости

.4 Анализ полученных данных

ЗАКЛЮЧЕНИЕ

СПИСОК ИСПОЛЬЗОВАННЫХ ИСТОЧНИКОВ

ПРИЛОЖЕНИЕ 1

ПРИЛОЖЕНИЕ 2

ПРИЛОЖЕНИЕ 3

ПРИЛОЖЕНИЕ 4

ПРИЛОЖЕНИЕ 5

ВВЕДЕНИЕ

В современном мире начинающие, а так же опытные предприниматели сталкиваются с проблемой грамотного распределения ресурсов для производства той или иной продукции. Постоянно меняющиеся условия рынка влияют на многие сферы экономики. Одним из путей решения этой проблемы является применение методов экономико-математического моделирования в управлении предприятиями, в том числе и железнодорожным транспортом.

Математические модели и методы - это необходимый элемент современной экономической науки, как на микро-, так и макроуровне, изучаются в таких её разделах, как математическая экономика и эконометрика.

Эконометрика - это раздел экономической науки, которая изучает количественные и качественные экономические взаимосвязи с помощью математических и статистических методов и моделей.

Математическая экономика занимается анализом , разработкой и поиском решений математических моделей разных экономических процессов, среди них выделяют макро- и микроэкономические классы моделей.

Макроэкономические модели изучают экономику в целом, опираясь на такие укрупнённые показатели, как валовый национальный продукт, инвестиции, потребление, занятость и т.д. При моделировании рыночной экономики особое место в этом классе занимают модели равновесия и экономического роста.

Равновесные модели описывают такие состояния экономики, когда результирующая всех сил, стремящихся вывести её из некоторого состояния, равна нулю (модель «затраты - выпуск» В. Леонтьева, модель Эрроу-Добре).

Модели экономического роста описывают экономическую динамику и приводят к поиску и анализу траекторий стационарного роста: (модель Харрода-Домара, модель Солоу, модели магистрального типа).

Микроэкономические модели описывают экономические процессы на уровне предприятий и фирм, помогая решать стратегические и оперативные вопросы планирования и оптимального управления в рыночных условиях. Важное место среди микроэкономических моделей занимают оптимизационные модели (задачи распределения ресурсов и финансирования, транспортная задача, максимизация прибыли фирмы, оптимальное проектирование).

Первая часть посвящена рассмотрению роли экономико-математических методов в оптимизации экономических решений, далее будут рассмотрены этапы построения математической модели и решение общей задачи симплекс-мотодом. Во второй части работы составлена экономико-математическая модель предприятия по производству хлебобулочных изделий. В третьей части представлена интерпретация решений с помощью программы Microsoft Excel 2007.

1. Роль экономико-математических методов в оптимизации экономических решений

.1 История применения математических методов в экономике

Применение математических методов, в том числе и методов математического моделирования, в экономике в целом имеет длинную историю. В качестве примера хочу привести характеристику математического метода исследования основателем классической школы буржуазной политической экономии В. Петти (1623 - 1687). В предисловии к «Политической арифметике» В. Петти писал о том, что его способ исследования не обычный, ибо вместо того, чтобы употреблять слова только в сравнительной и превосходной степени и прибегать к умозрительным аргументам, я вступил на путь выражения своих мнений на языке чисел, весов и мер, что я уже давно стремился пойти по этому пути, чтобы показать пример политической арифметики.

Экономист домарксовского периода Н. Г. Чернышевский (1828 - 1889) в замечаниях на трактат Д, С. Миля «Основания политической экономии» написал: Мы видели уже много примеров тому, какими приемами пользуется политическая экономия для решения своих задач. Эти приемы математические. Иначе и быть не может, потому что предмет науки - количества, подлежащие счету и мере, понимаемые только через вычисление и измерение.

Понятие об экономике как науке возникло в период расцвета греческой рабовладельческой демократии, когда были сделаны первые попытки не просто заметить, а теоретически осмыслить факты жизни экономической. Слово «экономия», от которого произошли такие понятия, как «экономика», «экономическая наука» и т. д., в переводе с греческого имеет смысл науки о ведении домашнего хозяйства. По своему основному содержанию она должна была заниматься вопросами целесообразного хозяйствования. Однако поскольку богатое греческое хозяйство рабовладельческое являлось сложной системой производственной, отражающей на себе все процессы, которые происходили в обществе, то эта наука неизбежно затрагивала и более общие проблемы: из каких хозяйственных единиц должно состоять грамотно построенное государство; в каком отношении эти единицы должны обменивать производимые ими товары; какую роль играют деньги и торговля? Проблемы науки экономической в таком виде сформулировал великий греческий философ Аристотель, которого считать принято ее основателем. Аристотель первым пытался рассмотреть экономические закономерности, господствующие в обществе, выдвинул идею о различии между меновой и потребительной стоимостями товаров, высказал мысль о превращении денег в капитал и т. д. Таким образом, еще в Древней Греции в экономической науке возникли два направления исследований: во-первых, это анализ методов рационального управления народным хозяйством и, во-вторых, изучение основных экономических закономерностей. В дальнейшем первое направление превратилось в науку о грамотном управлении деятельностью производительных единиц любого уровня - от производственного участка до экономики в целом. Второе направление дало начало экономической теории - науке, изучающей основные экономические закономерности сменяющих друг друга общественно-экономических формаций. Оба направления экономической науки развивались и развиваются в тесной связи между собой, их общность особенно заметна в исследованиях, направленных на изучение экономики страны как целого.

В системе экономических наук главенствующее положение занимает экономическая теория: она служит теоретической и методологической основой всего комплекса экономических наук. Применение математических методов в экономике началось именно в теоретико-экономических исследованиях. Обычно в качестве исторически первой модели общественного производства называют экономическую таблицу Ф. Кене (1694 - 1774). В 1758 г. он опубликовал первый вариант своей «Экономической таблицы», второй вариант - «Арифметическая формула» - был опубликован в 1766 году. К. Маркс высоко оценил таблицу Ф. Кенэ. «Это попытка, - писал Маркс, - сделанная во второй трети XIII столетия, в период детства политической экономии, была в высшей степени гениальной идеей, бесспорно самой гениальной из всех, какие только выдвинула до сего времени политическая экономия».

Представители буржуазной политической экономии уже с середины XIX века в своих теоретических исследованиях начинают использовать все более и более сложный математический аппарат. В последнее тридцатилетие XIX века складывается самостоятельное математическое направление в буржуазной политической экономии.

Школа математическая возникла в рамках так называемого неоклассического направления в экономии политической, главным содержанием которого является теория предельной полезности (маржинализм). В ходе развитие неоклассического направления, проблемы социально-экономической динамики исчезают незаметно из анализа, осуществляется постепенно переход к общим проблемам функционирования систем экономических, ценовых и рыночных механизмов, реализации принципа рациональности и экономичности в условиях совершенной конкуренции, условий общего и частного равновесия. Родоначальником математической школы считается ученый французской школы О. Курно (1801 - 1877). В 1838 г. была опубликована его книга «Исследование математических принципов теории богатства» (О. Курно был известным философом, экономистом, историком и математиком).

Видными представителями школы математической являются Г. Кассель (1866 - 1944) в Швеции, Ф. Эджворд (1845 - 1926) в Англии В. Джевонс (1835 - 1882) в Англии, В. Парето (1848 - 1923) в Италии Г. Госсен (1810 - 1859) в Германии, Л. Вальрас (1834 - 1910) в Швейцарии, Г. Кассель (1866 - 1944) в Швеции, Л. Вальрас (1834 - 1910) в Швейцарии, Ф. Эджворд (1845 - 1926) в Англии, В. Парето (1848 - 1923) в Италии, В. Дмитриев )1868 - 1913) в России.

Математического направления представители в буржуазной политической экономии достигли известных успехов в области моделирования математического, в раскрытии ряда объективных закономерностей обмена, производства, потребления и распределения. В этой связи необходимо отметить важность работ экономиста русского В. К. Дмитриева. Его основная работа «Экономические очерки. Опыт органического синтеза трудовой ценности и теории предельной полезности» была опубликована в 1904 году. В своих работах В, К. Дмитриев выдвинул ряд выводов, которые позднее были получены В. Леонтьевым на основе анализа моделей «затраты - выпуск». В частности, эти выводы важны для подсчета коэффициентов полных трудовых и материальных затрат. Кроме того, стремясь примирить трудовую теорию стоимости с теорией предельной полезности, что, естественно, сделать невозможно, он тем не менее поставил проблему соотношения категорий полезности и стоимости.

Основатели школы математической рассматривали математические методы, математическое моделирование связей между элементами экономической системы как методы исследования, а не как методы изложения, иллюстраций положений и законов экономических, которые получены другим путем. Изложение же выводов, полученных математически, может быть дано и на обычном языке, или в математической форме, но без доказательства. Так, Л. Вальрас писал:

«Весьма немногие из нас в состоянии прочесть «Математические начала

натуральной философии» Ньютона или «Небесную механику» Лапласа, и тем не менее мы все принимаем на веру сделанное сведущими людьми описание мира астрономических явлений согласно закону всеобщего тяготения. Почему точно таким же образом не принять описание мира экономических явлений, сделанного согласно закону свободной конкуренции».

Представители математической школы с помощью математических методов стремились разрешить не отдельные частные проблемы экономической теории, а охватить весь экономический процесс в целом, дать общую картину взаимозависимости всех экономических явлений. Так, по мнению Парето, процесс научного прогресса проходит через три стадии:

·        мы ограничиваемся констатированием существованиям взаимодействия между отдельными элементами экономической системы, не изучая из в дальнейшем;

·        мы знаем отдельные связи, которые существуют между отдельными элементами;

·        мы имеем возможность вычислить величину всех этих элементов и дать совершенно точное выражение условий равновесия. Идеал всякой науки - достижение третьей стадии.

Математический метод рассматривается как основной, важнейший метод, который только один в состоянии дать экономической теории научную законченность.

Основным результатом научным неоклассического направления является разработка моделей частного и общего равновесия и, условий использования ресурсов, их оптимального распределения по различным направлениям, условий равновесия потребления и обмена. Сюда относятся разработка построение функций спроса, зависимостей спроса от дохода и цен, моделей поведения потребителя, построение производственной функции, моделей общего экономического равновесия, моделей поведения фирмы, моделей общего экономического равновесия, прежде всего модели Л. Вальраса и ее модификаций.


.2 Сущность экономико-математического моделирования

экономический моделирование производственный программа

Что бы понять сущность моделирования важно не упускать из виду, что моделирование - это не единственный источник знаний об объекте. Процесс моделирования «погружён» в более общий процесс познания. Это обстоятельство учитывается не только на этапе построения модели, но и на завершающей стадии, когда происходит обобщение и объединение результатов исследования, получаемых на основе многообразных средств познания.

Моделирование является процессом циклическим. Это означает, что за первым четырёхэтапным циклом может последовать второй, третий и т. д. При этом знания об исследуемом объекте уточняются и расширяются, а первоначальная модель постепенно совершенствуется. Недостатки, которые могут быть обнаружены после первого цикла моделирования, обусловливаются малым знанием объекта и неточностями в построении модели, их можно исправить в последующих циклах. В методологии моделирования, таким образом, заложены весьма большие возможности саморазвития.

Проникновение математики в Экономическую науку связано с преодолением значительных трудностей, которые лежат в специфике экономической науки и в природе экономических процессов.

Множество объектов, которые изучаются экономической наукой, могут быть охарактеризованы понятием - «сложная система».

Наиболее распространено понимание системы как совокупности элементов, которые находятся во взаимодействии и образуют некоторое единство, целостность. Важным качеством любой системы является эмерджентность - наличие таких свойств, которые не присущи ни одному из элементов, входящих в систему. Следовательно, изучая систему, недостаточно пользоваться методом их разбития на элементы с последующим изучением этих элементов в отдельности. Одна из трудностей экономических исследований заключается в том, что почти не существует экономических объектов, которые можно было бы рассматривать как отдельные (внесистемные) элементы.

Определить сложно систему можно по количеству элементов входящих в неё, связями между этими элементами, а также взаимоотношениями между системой и средой. Экономика любого предприятия обладает всеми признаками очень сложной системы. Она объединяет большое количество элементов, отличающихся многообразием внутренних связей и связей с другими системами (природная среда, экономика других стран и т. д.). В управлении экономикой взаимодействуют природные, социальные процессы, технологические, субъективные и объективные факторы.

Сложность экономики иногда рассматривалась как обоснование невозможности её моделирования, изучения средствами математики. Но такая точка зрения неверна. Моделировать можно объект любой природы и любой сложности, чем сложнее объект моделирования, тем интереснее модель. Благодаря моделированию мы можем получить результаты, которые невозможно получить иными способами исследования.

Потенциальная возможность математического моделирования любых экономических объектов и процессов не означает, её успешной осуществимости при данном уровне экономических и математических знаний, имеющейся конкретной информации и вычислительной технике. И, хотя нельзя указать абсолютные границы математической формализуемости экономических проблем, всегда будут существовать неформализованные проблемы, для которых математическое моделирование недостаточно эффективно.

С экономической точки зрения оптимальные решения, которые можно получить с помощью экономическо-математического моделирования, обладают следующими основными свойствами:

·        Оптимальность решения зависит oт целей, поставленных при планировании процесса. Например, выбор типа продукта по критерию стоимости будет отличаться от выбора по критерию качества.

·        Оптимальность решения зависит oт текущей хозяйственной обстановки (иными словами, оптимум всегда конкретен, его нельзя вычислять абстрактно).

·        Существенные изменения оптимального варианта происходят только при значительных изменениях обстановки - это свойство называется устойчивостью базиса оптимального плана относительно малых изменений условий (т.е. оптимальные решения можно находить достаточно надёжно, несмотря на приблизительный характер почти всей экономической информации).

·        При определении взаимозависимости решений по всем объектам экономики особое значение имеют обратная связь объектов и издержки обратной связи. Например, если предприятия А и Б потребляют один и тот же ограниченный ресурс, то увеличение доли предприятия А уменьшает долю предприятия Б (обратная связь). Вероятно, что потребление данного ресурса (топлива, сырья и др.) снижает производственные издержки. Тогда, увеличение доли предприятия А приведёт к экономии на этом предприятии и к дополнительным издержкам на предприятии Б в результате замены ресурса менее эффективным (издержки обратной связи).

·        Оценка рациональности конкретного мероприятия зависит от уровня управления: решение, оптимальное для отдельного предприятия, может быть неоптимальным для отрасли или экономики в целом.

1.3 Основные понятия и типы моделей. Их классификация


В процессе исследования объекта часто бывает нецелесообразно или даже невозможно иметь дело непосредственно c этим объектом. Удобнее бывает заменить его другим объектом, подобным данному в тех аспектах, которые важны в данном исследовании. В общем виде модель можно определить как условный образ реального объекта (процессов), создаваемый для более детального изучения действительности. Метод исследования, который базируется на использовании и разработке моделей, называется моделированием. Необходимость моделирования обусловлена сложностью, а порой и невозможностью прямого изучения реального объекта (процессов). Значительно доступнее создавать и изучать прообразы реальных объектов (процессов), т.е. модели. Можно сказать, что теоретическое знание o чем-либо, как правило, представляет собой совокупность различных моделей. Эти модели отражают существенные свойства реального объекта (процессов), хотя на самом деле действительность значительно содержательнее и богаче.

Модель - это материально реализованная или мысленно представляемая система, которая, отображая или воспроизводя объект исследования, способна замещать его так, что изучение ее дает новую информацию об этом объекте.

На сегодняшний день общепризнанной единой классификации моделей не существует. Однако из множества моделей можно выделить физические, графические, экономико-математические, словесные, графические и некоторые другие типы моделей.

Экономико-математические модели - это модели экономических объектов или процессов, в которых при описании используются математические средства. Цели их создания очень разнообразны: они строятся для анализа тех или иных положений и предпосылок экономической теории, логического обоснования экономических закономерностей, обработки и приведения в систему эмпирических данных. В практическом плане экономико-математические модели используются как инструмент планирования, прогноза, управления и совершенствования различных сторон экономической деятельности общества.

Экономико-математические модели отражают наиболее существенные свойства реального объекта или процесса с помощью системы уравнений. Единой классификации экономико-математических моделей не существует, хотя можно выделить наиболее значимые их группы в зависимости от признака классификации.

По целевому назначению модели делятся на:

·        Теоретико-аналитические (используются в исследовании общих свойств и закономерностей экономических процессов);

·        Прикладные (применяются в решении конкретных экономических задач, таких как задачи экономического анализа, прогнозирования, управления).

По учету фактора времени модели подразделяются на:

·        Статистические (экономическая система описана в статистике, применительно к одному определенному моменту времени; это как бы снимок, срез, фрагмент динамической системы в какой-то момент времени).

·        Динамические (описывают экономическую систему в развитии);

По длительности рассматриваемого периода времени различают модели:

·        Краткосрочного прогнозирования или планирования (до года);

·        Среднесрочного прогнозирования или планирования (до 5 лет);

·        Долгосрочного прогнозирования или планирования (более 5 лет).

По цели создания и применения различают модели:

·        Балансовые;

·        Оптимизационные;

·        Эконометрические;

·        Сетевые;

·        Имитационные (экспертные).

·        Систем массового обслуживания;

Балансовые модели отражают требования соответствия наличия ресурсов и их использования.

Оптимизационные модели позволяют найти из множества возможных (альтернативных) вариантов наилучший вариант производства, потребления или распределения. При этом ограниченные ресурсы будут использованы наилучшим образом для достижения поставленной цели.

Параметры эконометрических моделей оцениваются с помощью методов математической статистики. Наиболее распространены модели, которые представляют собой системы регрессионных уравнений. В этих уравнениях отражается зависимость зависимых переменных от независимых переменных. Данная зависимость в основном выражается через тренд (длительную тенденцию) основных показателей моделируемой системы экономической. Эконометрические модели принято использовать для прогнозирования и анализа конкретных экономических процессов с использованием реальной статистической информации.

Сетевые модели используются наиболее широко в управлении проектами. Сетевая модель отображает комплекс работ (операций) и событий, и их взаимосвязь во времени. Обычно сетевая модель предназначается для выполнения работ в такой последовательности, чтобы сроки выполнения проекта были минимальными. В этом случае ставится задача нахождения критического пути. Но существуют и такие сетевые модели, которые ориентированы не на критерий времени, а, например, на минимизацию стоимости работ.

Имитационная модель, наряду с машинными решениями, содержит блоки, где решения принимаются человеком (экспертом). Вместо непосредственного участия человека в принятии решений может выступать база знаний. В этом случае персональный компьютер, специализированное программное обеспечение, база данных и база знаний образуют экспертную систему. Экспертная система предназначена для решения одной или ряда задач методом имитации действий человека, эксперта в данной области.

Модели систем массового обслуживания создаются для минимизации затрат времени на ожидание в очереди и времени простоев каналов обслуживания.

По учету фактора неопределенности модели подразделяются на:

·        Детерминированные (с однозначно определенными результатами);

·        Стохастические (вероятностные; с различными, вероятностными результатами).

По типу математического аппарата различают модели:

·        Линейного программирования (оптимальный план достигается в крайней точке области изменения переменных величин системы ограничений);

·        Нелинейного программирования ( оптимальных значений целевой функции может быть несколько);

·        Корреляционно-регрессионные;

·        Сетевые;

·        Теории игр;

·        Матричные;

·        Теории массового обслуживания и т.д.

С развитием экономико-математических исследований проблема классификации применяемых моделей усложняется. Наряду с появлением новых типов моделей и новых признаков их классификации, осуществляется процесс интеграции моделей разных типов в более сложные модельные конструкции.

В данной работе рассмотрен пример решения задачи линейного программирования. Для начала рассмотрим вопрос - что же такое "линейное программирование"? Это один из первый разделов математического программирования. Термин "программирование" в названии не имеет ничего общего с термином "программирование" для ЭВМ, так как "линейное программирование" появилось задолго до того времени, когда ЭВМ стали широко применятся для решения разнообразных экономических, математических и других задач. Термин «линейное программирование» возник в результате неточного перевода английского «linear programming». Одно из значений слова «programming» - составление планов, планирование. Следовательно, правильным переводом «linear programming» было бы не «линейное программирование», а «линейное планирование», что точнее отражает содержание термина.

Задачами линейного программирования являются задачи, в которых линейны как целевая функция, так и ограничения в виде равенств и неравенств. Кратко задачу линейного программирования можно сформулировать следующим образом: найти вектор значений переменных, доставляющих экстремум линейной целевой функции при m ограничениях в виде линейных равенств или неравенств.

Линейное программирование представляет собой наиболее часто используемый метод оптимизации. К числу задач линейного программирования можно отнести такие задачи как:

·        рационального использования материалов и; задачи оптимизации раскроя;

·        оптимизации производственной программы предприятий;

·        оптимального размещения и концентрации производства;

·        составления оптимального плана перевозок, работы транспорта;

·        управления производственными запасами;

·        и многие другие, принадлежащие сфере оптимального планирования.

В настоящее время линейное программирования широко применяется предприятиями для оптимизации производственного плана.

Подведем небольшой итог. Линейное программирование - это наука о методах исследования и отыскания наибольших или наименьших значений линейной функции. На неизвестные переменные накладываются ограничения. Таким образом задачи линейного программирования можно отнести к задачам на условный экстремум функции.

 

1.4 Этапы экономико-математического моделирования


Процесс экономико-математического моделирования - это описание социальных и экономических систем и процессов в виде экономико-математических моделей. Данная разновидность моделирования обладает рядом существенных особенностей, связанных как с объектом моделирования, так и с применяемыми аппаратом и средствами моделирования. Поэтому целесообразно более детально проанализировать последовательность и содержание этапов экономико-математического моделирования, выделив следующие шесть этапов:

·        Постановка экономической проблемы и ее качественный анализ;

·        Построение математической модели;

·        Математический анализ модели;

·        Подготовка исходной информации;

·        Численное решение;

·        Анализ численных результатов и их применение.

Рассмотрим каждый из этапов более подробно.

Постановка экономической проблемы и ее качественный анализ.

На данном этапе нужно четко сформулированная сущность проблемы, принимаемые допущения и те вопросы, на которые требуется получить ответы. Сначала нужно обозначить важнейшие черты и свойства моделируемого объекта; изучение структуры объекта и основных зависимостей, связывающих его элементы; формулирование гипотез (хотя бы предварительных), объясняющих развитие и поведение объекта.

Построение математической модели. Это - этап формализации экономической проблемы, выражения ее в виде конкретных математических отношений и зависимостей (функций, уравнений, неравенств и т.д.). Обычно сначала определяется основная конструкция (тип) модели математической, а дальше уточняются детали этой конструкции (конкретный перечень переменных и параметров, форма связей). Таким образом, построение модели можно разбить на несколько стадий.

Неправильно полагать, что чем больше фактов учитывает модель, тем она лучше «работает» и дает лучшие результаты. То же можно сказать о таких характеристиках сложности модели, как используемые формы математических зависимостей (линейные и нелинейные), учет факторов случайности и неопределенности и т.д.

Лишняя сложность модели затрудняет процесс исследования. Нужно учитывать не только реальные возможности информационного и математического обеспечения, но и сопоставлять затраты на моделирование с получаемым эффектом.

Одна из важный особенностей математических моделей - потенциальная возможность их использования для решения разнокачественных проблем. Поэтому, даже сталкиваясь с новой экономической задачей, не нужно стремиться «изобретать» модель; сначала необходимо попытаться применить для решения этой задачи уже известные модели.

Математический анализ модели. Целью этого этапа является выяснение общих свойств модели. Здесь применяются чисто математические приемы исследования. Наиболее важный момент - это доказательство существования решений в сформулированной модели. Если удается доказать, что математическая задача не имеет решения, то необходимость в последующей работе по первоначальному варианту модели отпадает и следует скорректировать либо постановку экономической задачи, либо способы ее математической формализации. При аналитическом исследовании модели выясняются такие вопросы, как, например, единственное ли решение, в каких пределах и в зависимости исходных условий они изменяются, какие переменные (неизвестные) могут входить в решение, каковы будут соотношения между ними, каковы тенденции их изменения и т.д. Аналитической исследование модели по сравнению с эмпирическим (численным) имеет то преимущество, что получаемые выводы сохраняют свою силу при различных конкретных значениях внешних и внутренних параметров модели.

Подготовка исходной информации. Моделирование предъявляет жесткие требования к системе информации. В то же время реальные возможности получения информации ограничивают выбор моделей, предназначаемых для практического использования. При этом принимается во внимание не только принципиальная возможность подготовки информации (за определенные сроки), но и затраты на подготовку соответствующих информационных массивов.

Эти затраты не должны превышать эффект от использования дополнительной информации.

В процессе подготовки информации широко используются методы теории вероятностей, теоретической и математической статистики. При системном экономико-математическом моделировании исходная информация, используемая в одних моделях, является результатом функционирования других моделей.

Численное решение. Этот этап включает разработку алгоритмов для численного решения задачи, составление программ на ЭВМ и непосредственное проведение расчетов. Трудности этого этапа обусловлены, прежде всего, большой размерностью экономических задач, необходимостью обработки значительных массивов информации.

Исследование, проводимое численными методами, может существенно дополнить результаты аналитического исследования, а для многих моделей оно является единственно осуществимым. Класс экономических задач, которые можно решать численными методами, значительно шире, чем класс задач, доступных аналитическому исследованию.

Анализ численных результатов и их применение. На этом заключительном этапе цикла встает вопрос о полноте и полноте результатов моделирования, о степени практической применимости последних.

Математические методы проверки могут выявить некорректные построения модели и тем самым сужать класс потенциально правильных моделей. Неформальный анализ теоретических выводов и численных результатов, получаемых посредством модели, сопоставление их с имеющимися знаниями и фактами действительности также позволяют обнаруживать недостатки постановки экономической задачи, сконструированной математической модели, ее математического и информационного обеспечения.

1.5 Принцип работы симплекс-метода

Симплекс-метод позволяет решать задачи линейного программирования любой размерности, т.е. с любым количеством переменных. Решение задач линейного программирования на основе симплекс-метода состоит в целенаправленном переборе угловых точек области допустимых решений (далее ОДР) в направлении улучшения значения целевой функции.

Можно доказать, что экстремум (минимум или максимум) целевой функции всегда достигается при значениях переменных X1,2,...,Xn, соответствующих одной из угловых точек ОДР. Другими словами, оптимальное решение всегда находится в угловой точке ОДР.

Принцип работы симплекс-метода состоит в следующем. Находится какое-либо допустимое решение, соответствующее одной из угловых точек ОДР.

Проверяются смежные с ней угловые точки ОДР. Под смежной здесь понимается угловая точка, расположенная на той же границе ОДР, что и текущая угловая точка (для двухмерной ОДР - на той же стороне многоугольника, для трехмерной - на том же ребре многогранника, и т.д.). Если ни в одной из смежных угловых точек значение целевой функции не улучшается, то решение задачи завершается; текущая угловая точка ОДР соответствует оптимальному решению задачи. Если имеются смежные угловые точки ОДР, для которых значение целевой функции улучшается, то выполняется переход в ту из них, для которой достигается наиболее быстрое улучшение значения целевой функции.

Для новой угловой точки ОДР процесс повторяется, т.е. проверяются смежные угловые точки. Перебор угловых точек происходит до тех пор, пока не будет найдено оптимальное решение, т.е. пока не будет достигнута угловая точка ОДР, для которой ни в одной из смежных точек значение целевой функции не улучшается.

Поиск решения на основе симплекс-метода реализуется с помощью симплекс-таблиц. Основные этапы реализации симплекс-метода следующие.

. Задача линейного программирования приводится к стандартной форме.

. Определяется начальное допустимое решение (начальная угловая точка ОДР).

. Строится исходная симплекс-таблица. Выполняются преобразования симплекс-таблиц, соответствующие перебору угловых точек ОДР, до получения оптимального решения.

Реализация симплекс-метода существенно различается в зависимости от вида математической модели задачи. В данном разделе рассматривается реализация симплекс-метода для случая, когда математическая модель задачи состоит только из ограничений "меньше или равно", и целевая функция подлежит максимизации (как в примере 2.1). Реализация симплекс-метода для задач с математической моделью любого вида рассматривается в разделе 3.

1.6 Симплекс метод в общем виде

Требуется найти максимум целевой функции:

(1)

При ограничениях:

(2)

И условиях неотрицательности:

i ≥ 0, i=1, 2, ..., n (3)

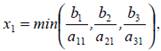
Из системы (2) видно, что если за свободные неизвестные принять х1, х2 и положить их равными нулю, то базисные неизвестные х3, х4, х5 будут равны правым частям системы. в результате получаем план:

х1=0, х2=0, х3=b1, x4=b2, x5=b3 (4)

Для которого целевая функция равна

(5)

Выразим из (2) базисные неизвестные х3, х4, х5 через свободные х1, х2:

(6)

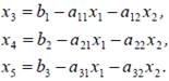
Подставим (6) в целевую функцию (1) и после приведения подобных членов будем иметь:

= (c1-c3a11-c4a21-c5a31)x1 + (c2-c3a12-c4a22-c5a32)x2 + c3b1 + c4b2 + c5b3. (7)

Если коэффициенты перед х1, х2 в (7) окажутся отрицательными, то целевую функцию нельзя увеличить, переводя эти свободные неизвестные в базисные, то есть давая им какие-то положительное значения. Отрицательность коэффициентов перед неизвестными в (7) есть признак того, что найдено оптимальное решение. Коэффициенты перед свободными неизвестными в выражении для целевой функции принято называть оценками. Введем обозначения:

= c3a11 + c4a21 + c5a31, Z2 = c3a12 + c4a22 + c5a32. (8)

В этих обозначениях условия максимальности запишутся:

- Z1 < 0, c2 - Z2 < 0, (9)

Пусть условии оптимальности (9) не выполнены, а именно пусть, для определенности, коэффициент перед х1 в (7) положителен, тогда, увеличивая х1, мы увеличим целевую функцию по сравнению с ее значением (5). Посмотрим, насколько может быть увеличена переменная х1по сравнению с нулем, при условии, что х2 остается свободной, то есть будет иметь неизменное значение х2=0. Из (6) видно, что увеличение х1 будет вести к уменьшению х3, х4, х5, если коэффициенты перед х1 в (6) отрицательны. Увеличивать х1 можно лишь до значения, при котором первая из неизвестных х3, х4, х5 обратится в нуль. Положив нулю левые части (6), получим три уравнения:

= b1 - a11x1, 0 = b2 - a21x1, 0 = b3 - a31x1.

Если положить:

(10)

то только одна неизвестная из х3, х4, х5 обратится в нуль, то есть станет свободной, а остальные останутся положительными. Предположим, что это будет х3, тогда будем иметь в качестве свободных неизвестных х2, х3 и в качестве базисных х1, х4, х5.

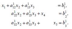
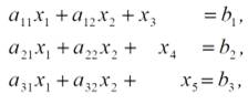
Для удобства дальнейших вычислений желательно преобразовать систему ограничений к виду (2), который характерен тем, что столбцы коэффициентов при базисных неизвестных образуют единичную матрицу. Так как старая базисная переменная х3 заменяется новой базисной переменной х1, то в первом уравнении коэффициент перед х1 должен быть равен 1. Это достигается делением первого уравнения на a11. Далее следует исключить неизвестную х1 из второго и третьего уравнений. Для этого преобразованное первое уравнение умножим сначала на а21 и вычтем из второго, затем на а31 и вычтем из третьего. В результате этих преобразований система (2) примет вид:

(11)

Здесь через a1ij обозначены новые значения коэффициентов. Заметим, что подобные преобразования выполняются в методе Гаусса при решении систем линейных уравнений.

Описание выше действия по работе с системой ограничений (2) следует повторить для системы (11) и т.д., до тех пор, пока не будет выполнены условия оптимальности.

Для удобства и компактности вычислений по симлекс-методу применяются симплексные таблицы.

ГЛАВА 2. Описание объекта и логическая формулировка проблемы

Хлебобулочный завод производит 20 различных видов хлебобулочных изделий. Стоимость и возможные запасы основных ингредиентов представлены в таблице 1.

Таблица 1 - Исходные данные

Наименование

Цена за кг., руб.

Запасы (день), кг.

Мука высшего сорта

20

280

Мука 1-го сорта

15

200

Мука ржаная

14

80

Дрожжи

150

9

Соль

10

8

Сахар

50

25

Маргарин

60

10


Завод установил контракты с различными магазинами на продажу хлебобулочных изделий. Контрактом установлены минимальное количество изделий на поставку каждого вида в день. В таблице 2 отражен спрос в день для каждого вида выпечки, цена по каждому виду (стоимость указана без учета начинки для некоторых изделий).

Таблица 2 - Спрос в день по каждому виду выпечки, цена каждого вида

Вид хлебобулочного изделия

Цена за штуку, руб.

Минимальный выпуск продукции в день, шт.

максимальный выпуск продукции в день, шт.

Батон

16

420

500

Хлеб "Столичный"

17

70

110

Батон с отрубями

12

30

45

Батон с изюмом

13

20

50

Хлеб "Дарницкий"

17

270

300

Хлеб "Аромантый"

18

40

65

Хлеб "Паляница"

19

180

220

Докторская булочка

10

25

40

Плюшка московская

12

110

130

Сдоба с курагой

11

15

27

Марципан

12

90

112

Плетенка

14

40

60

Булочка столичная

7

25

45

Булочка для хот-догов

7

230

250

Сдоба с маком

12

165

180

Бублик с маком

20

90

110

Пирог с маком

45

15

25

Сдоба с изюмом

10

85

90

Рогалик с шоколадом

11

20

35

Ватрушка с творогом

15

20

30


В таблице 3 отражены количество ингредиентов для создания одной единицы продукции.

Таблица 3 - Рецептура хлебобулочных изделий

Наименование

Мука в/с, кг

Мука 1-го сорта, кг

Мука ржаная, кг

Дрожжи, кг

Соль, кг

Сахар, кг

Маргарин, кг

Батон

0,2

-

-

0,003

0,0045

0,012

0,011

Хлеб "Столичный"

-

0,3

0,22

0,004

0,008

0,008

-

Батон с отрубями

0,15

-

-

0,007

0,002

0,02

-

Батон с изюмом

0,15

-

-

0,007

0,002

0,02

-

Хлеб "Дарницкий"

-

0,24

0,22

0,003

0,009

-

-

Хлеб "Аромантый"

-

0,35

-

0,012

0,005

0,025

-

-

0,5

-

0,01

0,01

-

-

Докторская булочка

0,15

-

-

0,007

0,002

0,02

-

Плюшка московская

0,07

-

-

0,003

0,0007

0,014

0,01

Сдоба с курагой

0,05

-

-

0,002

0,0004

0,008

0,004

Марципан

0,05

-

-

0,002

0,0004

0,008

0,004

Плетенка

0,15

-

-

0,007

0,002

0,02

-

Булочка столичная

0,044

-

-

0,0024

0,0008

0,0008

0,0008

Булочка для хот-догов

0,04

-

-

0,002

0,0006

0,0009

0,0009

Сдоба с маком

0,05

-

-

0,002

0,0004

0,008

0,004

Бублик с маком

0,6

-

-

0,0006

0,0006

0,004

0,004

Пирог с маком

1,06

-

-

0,042

0,011

0,106

0,011

Сдоба с изюмом

0,05

-

-

0,002

0,0004

0,008

0,004

Рогалик с шоколадом

0,068

-

-

0,003

0,001

0,014

0,01

Ватрушка с творогом

0,068

-

-

0,003

0,0007

0,014

0,01


Исходя из данных, представленных в таблице 2 и таблице 3, определим себестоимость ассортимента, чтобы вычислить чистую прибыль от продажи.

Таблица 4 - Вспомогательная таблица

Наименование

Себестоимость

Стоимость продажи

Чистая прибыль

Батон

5,76

16

10,25

Хлеб "Столичный"

8,66

17

8,34

Батон с отрубями

5,07

12

6,93

Батон с изюмом

5,07

13

7,93

Хлеб "Дарницкий"

7,22

17

9,78

Хлеб "Аромантый"

8,35

18

9,65

Хлеб "Паляница"

9,10

19

9,90

Докторская булочка

5,07

10

4,93

Плюшка московская

3,16

12

8,84

Сдоба с курагой

1,94

11

9,06

Марципан

1,94

12

10,06

Плетенка

5,07

14

8,93

Булочка столичная

1,34

7

5,66

Булочка для хот-догов

1,21

7

5,80

Сдоба с маком

1,94

12

10,06

Бублик с маком

12,54

20

7,46

Пирог с маком

33,57

45

11,43

Сдоба с изюмом

1,94

10

8,06

Рогалик с шоколадом

3,12

11

7,88

Ватрушка с творогом

3,12

15

11,88


2.1 Составление математической модели

Обозначения:

i - индекс изделия

j - индекс ингредиента

xi - объем i-го изделия

yj - объем j-го ингредиента

pi - цена i-го изделия

zi - себестоимость i-го изделия

hi - ограничение по объему выпуска i-ой продукции

kj - ограничение j-го ингредиента

Теперь можно составить математическую модель функции (чистой прибыли) и системы ограничений.

Необходимо найти такие значения xi, которые обеспечивают максимум целевой функции ixi→max, где i=1, 2, ..., n.

F=16x1+17x2+12x3+13x4+17x5+18x6+19x7+10x8+12x9+11x10+12x11+14x12+7x13++7x14+12x15+20x16+45x17+10x18+11x19+15x20→max.

При ограничениях по ингредиентам:

ij  yj, где i= 1, 2, ..., n; j= 1, 2, ..., n.1*0,2+x3*0,15+x4*0,15+x8*0,15+x9*0,07+x10*0,05+x11*0,05+x12*0,15+x13*0,044+x14*0,04+x15*0,05+x16*0,6+x17*1,06+x18*0,05+x19*0,068+ x20*0,068280

x2*0,3+x5*0,24+x6*0,35+x7*0,575

x2*0,22+x5*0,2260

x1*0,003+x2*0,004+x3*0,007+x4*0,007+x5*0,003+x6*0,012+x7*0,01+x8*0,007+x9*0,003+x10*0,002+x11*0,002+x12*0,007+x13*0,0024+x14*0,002+x15*0,0006+x16*0,0006+x17*0,042+x18*0,002+x19*0,003+ x20*0,0037

x1*0,0045+x2*0,008+x3*0,002+x4*0,002+x5*0,009+x6*0,005+x7*0,01+x8*0,002+x9*0,0007+x10*0,0004+x11*0,0004+x12*0,002+x13*0,0008+x14*0,0006+x15*0,0004+x16*0,0006+x17*0,011+x18*0,0004+x19*0,001+ x20*0,00075

x1*0,012+x2*0,008+x3*0,02+x4*0,02+x6*0,025+x8*0,02+x9*0,014+x10*0,008+x11*0,008+x12*0,02+x13*0,0008+x14*0,0009+x15*0,008+x16*0,004+x17*0,106+x18*0,008+x19*0,014+ x20*0,01415

x1*0,011+x9*0,01+x10*0,004+x11*0,004+x13*0,0008+x14*0,0009+x15*0,004+x16*0,004+x17*0,011+x18*0,004+x19*0,01+ x20*0,0110

При ограничениях по объему выпуска:

420 ≤x1≤ 500

≤x2≤ 110

≤x3≤ 45

≤x4≤ 50

≤x5≤ 300

≤x6≤ 65

≤x7≤ 220

≤x8≤ 40

≤x9≤ 130

≤x10≤ 27

≤x11≤ 112

≤x12≤ 60

≤x13≤ 45

≤x14≤ 250

≤x15≤ 180

≤x16≤ 110

≤x17≤ 25

≤x18≤ 90

≤x19≤ 35

≤x20≤ 30

Данную задачу будем решать с использованием средств Microsoft Exсel c помощью надстройки “поиск решений”.

ГЛАВА 3. Оптимизационные расчеты, связанные с выбором производственной программы

3.1 Решение задачи средствами Microsoft Excel

Исходные данные в Microsoft Excel 2007 выглядят таким образом (Приложение 1).

Далее через верхнее меню заходим в раздел «Данные», нажимаем на функцию «Поиск решения». Перед нами открывается окно параметров поиска решения. Заполняем окно в соответствии с задачей (Рис 1.).

Рис. 1. Окно параметров поиска решения

Алгоритм настройки окна параметров выглядит следующим образом.

. Устанавливаем целевую ячейку.

. Устанавливаем переключатели, задающие значение целевой ячейки, - максимальное значение, минимальное значение или конкретное значение.

. Указываем в поле «Изменяя ячейки», в каких ячейках программа должна изменять значения в поисках оптимального результата.

. Создаем ограничения в списке «Ограничения». Для этого щелкаем на кнопке «Добавить» и в диалоговом окне «Добавление ограничения определить ограничения».

. Нажимаем кнопку «Найти решение», и программа подсчитает оптимальное решение (Приложение 2).

3.2 Решение задачи на максимум прибыли

Максимальная прибыль составит 19 333 рублей.

В соответствии с оптимальным планом производства для достижения максимальной прибыли следует производить следующее количество каждого из видов хлебобулочных изделий (Таблица5):

Таблица 5 - Результаты расчетов

Наименование

Количество, шт.

Батон

451

Хлеб "Столичный"

70

Батон с отрубями

32

Батон с изюмом

29

Хлеб "Дарницкий"

270

Хлеб "Аромантый"

40

Хлеб "Паляница"

180

Докторская булочка

25

Плюшка московская

130

Сдоба с курагой

27

Марципан

112

Плетенка

40

Булочка столичная

45

Булочка для хот-догов

250

Сдоба с маком

180

Бублик с маком

110

Пирог с маком

15

Сдоба с изюмом

90

Рогалик с шоколадом

35

Ватрушка с творогом

30


При этом будет затрачено ингредиентов (Таблица 6):

Таблица 6 - Результаты расчетов

Ингредиенты

Используемое количество, кг.

Мука высшего сорта

236,95

Мука 1-го сорта

189,8

Мука ржаная

74,8

Дрожжи

8,31

Соль

8

Сахар

24,99

Маргарин

9,99


3.3 Решение задачи на минимум себестоимости

Исходные данные:

Целевая функция примет следующий вид: ixi→max, где i=1, 2, ..., n, ограничения остаются прежними.

Исходные данные выглядят таким образом (Приложение 3).

Решение:

Как и в предыдущем пункте используем функцию «Поиск решения». вводим ограничения (рис. 2).

Рис. 2. Окно параметров поиска решения

Повторяем алгоритм настройки окна параметров из п.3. Получаем решение (Приложение 4).

Из приложения 4 мы видим, что при решение задачи на минимальную себестоимость, затраты составят 10634,9 руб. При этом будет произведено следующее количество каждого из видов хлебобулочных изделий (Таблица7):

Таблица 7 - Результаты расчетов

Наименование

Количество, шт.

Батон

420

Хлеб "Столичный"

70

Батон с отрубями

30

Батон с изюмом

20

Хлеб "Дарницкий"

270

Хлеб "Аромантый"

40

Хлеб "Паляница"

180

Докторская булочка

25

Плюшка московская

110

Сдоба с курагой

15

Марципан

Плетенка

40

Булочка столичная

25

Булочка для хот-догов

230

Сдоба с маком

165

Бублик с маком

90

Пирог с маком

15

Сдоба с изюмом

85

Рогалик с шоколадом

20

Ватрушка с творогом

20


При этом будет затрачено ингредиентов (Таблица 8):

Таблица 8 - Результаты расчетов

Ингредиенты

Используемое количество, кг.

Мука высшего сорта

209,62

Мука 1-го сорта

189,80

Мука ржаная

74,80

Дрожжи

7,80

Соль

7,74

Сахар

23,22

Маргарин

8,69


3.4 Анализ полученных данных

Посчитаем себестоимость для решения задачи на максимизацию прибыли, так же посчитаем прибыль для задачи, решенной на минимум себестоимости.

Таблица 9 - Вспомогательная таблица


Прибыль, руб

Себестоимость, руб

Решение 1

19 333

17 616,6

Решение 2

11 417

10634,9


Объединим результаты таблицы 5 и таблицы 7.

Таблица 9 - Результаты

Наименование

Количество произведенной продукции при расчете на max прибыли

Количество произведенной продукции при расчете на min себестоимости

Батон

451

420

Хлеб "Столичный"

70

70

Батон с отрубями

32

30

Батон с изюмом

29

20

Хлеб "Дарницкий"

270

270

Хлеб "Аромантый"

40

40

Хлеб "Паляница"

180

180

Докторская булочка

25

25

Плюшка московская

130

110

Сдоба с курагой

27

15

Марципан

112

90

Плетенка

40

40

Булочка столичная

45

25

Булочка для хот-догов

250

230

Сдоба с маком

180

165

Бублик с маком

110

90

Пирог с маком

15

15

Сдоба с изюмом

90

85

Рогалик с шоколадом

35

20

Ватрушка с творогом

30

20


По данным таблицы 9 составляется диаграмма (Приложение 5), на которой наглядно видно, какой продукции выпущено больше, а какой меньше при разных интерпретациях задачи.

Вывод: в основном род деятельности предприятий направлен на максимизацию прибыли, в связи с этим выбираем в качестве производственной программы вариант решения №1, направленный на максимизацию прибыли. Предприятие должно будет производить ежедневно батонов в количестве - 451 шт., хлеб "Столичный" - 70 шт., батон с отрубями - 32 шт., батон с изюмом - 29 шт, хлеб "Дарницкий" - 270 шт., хлеб "Аромантый" - 40 шт., хлеб "Паляница" - 180 шт., докторская булочка - 25 шт., плюшка московская - 130 шт., сдоба с курагой - 27 шт., марципан - 112 шт., плетенка - 40 шт., булочка столичная - 45 шт., булочка для хот-догов - 250 шт., сдоба с маком - 180 шт., бублик с маком - 110 шт., пирог с маком - 15 шт., сдоба с изюмом - 90 шт., рогалик с шоколадом - 35 шт., ватрушка с творогом - 30 шт

ЗАКЛЮЧЕНИЕ

Использование математики в экономической науке, дало толчок в развитии как самой экономической науке, так и прикладной математике, в части методов экономико-математической модели. Расчеты по моделям предостерегают от ошибок, поскольку позволяют заранее оценить последствия каждого решения, исключить недопустимые варианты и выбрать оптимальный вариант.

Практическими задачами экономико-математического моделирования являются, во-первых, анализ экономических объектов; во-вторых, экономическое прогнозирование, предвидение развития хозяйственных процессов и поведения отдельных показателей; в-третьих, выработка управленческих решений на всех уровнях управления.

В работе было проведено решение задачи общего линейного программирования на примере хлебобулочного завода с помощью программы Microsoft Excel 2007. Задача решалась на максимизацию прибыли и на минимизацию себестоимости. Полученные результаты сравнивались. В ходе анализа полученных данных было выявлено, что оптимальной производственной программой является решение №1 на максимизацию прибыли.

СПИСОК ИСПОЛЬЗОВАННЫХ ИСТОЧНИКОВ

1. Википедия https://ru.wikipedia.org

. Тарасов В. Л. Экономико-математические методы и модели. Учебное пособие. Нижний Новгород, 2003

. Иванилов Ю. П., Лотов А.В. Математические модели в экономике. - М.: Наука, 2007.

4. Гранберг А. Г. Математические модели социалистической экономики. - М.: Экономика, 1988.

. Пинегина М.В. Математические методы и модели в экономике. М.: Издательство «Экзамен», 2002 г.

. Шикин Е. В., Чхартишвили А.Г. Математические методы и модели в управлении. М.: Издательство «Дело», серия «Наука управления», 2000 г.

7. Солопахо А. В. Математика в экономике. Учебно-практическое пособие. - Тамбов: Изд-во Тамб. гос. техн. ун-та, 2001.

8. Смородинский С.С. Оптимизация решений на основе методов и моделей мат. программирования: Учеб. пособие по курсу "Системный анализ и исследование операций" - Мн.: БГУИР, 2003.

ПРИЛОЖЕНИЕ 1

Исходные данные общей задачи линейного программирования на максимизацию прибыли



ПРИЛОЖЕНИЕ 2

Оптимальное решение общей задачи линейного программирования на максимизацию прибыли


ПРИЛОЖЕНИЕ 3

Исходные данные общей задачи линейного программирования на минимизацию себестоимости


ПРИЛОЖЕНИЕ 4

Оптимальное решение общей задачи линейного программирования на минимизацию себестоимости


ПРИЛОЖЕНИЕ 5

Сравнительная диаграмма

Похожие работы на - Разработка математической модели по формированию производственной программы

 

Не нашли материал для своей работы?
Поможем написать уникальную работу
Без плагиата!
Без нейросетей!