Разработка информационно-поисковой системы для формирования технологического оборудования для сборочно-монтажных работ
СОДЕРЖАНИЕ
ПЕРЕЧЕНЬ УСЛОВНЫХ ОБОЗНАЧЕНИЙ,
СИМВОЛОВ, СОКРАЩЕНИЙ И ТЕРМИНОВ
ВВЕДЕНИЕ
. АНАЛИЗ СОВРЕМЕННЫХ
ИНФОРМАЦИОННО-ПОИСКОВЫХ СИСТЕМ АВТОМАТИЗАЦИИ ПРОИЗВОДСТВА
.1 Анализ современных систем
автоматизации производства
.2 Анализ системы SolidWorks
.3 Основные виды, требования и
параметры технологического оборудования для сборочно-монтажных работ
.4 Анализ современных СУБД
. РАЗРАБОТКА СТРУКТУРЫ
ИНФОРМАЦИОННО-ПОИСКОВОЙ СИСТЕМЫ ДЛЯ ФОРМИРОВАНИЯ ТЕХНОЛОГИЧЕСКОГО ОБОРУДОВАНИЯ
ДЛЯ СБОРОЧНО-МОНТАЖНЫХ РАБОТ
.1 Построение инфологической
(концептуальной) модели базы данных технологического оборудования для
сборочно-монтажных работ
.2 Построение логической
(даталогической) модели базы данных технологического оборудования для
сборочно-монтажных работ
.3 Разработка физической модели базы
данных технологического оборудования для сборочно-монтажных работ
.4 Выбор СУБД
.5 Расчет надежности
. РАЗРАБОТКА ИНФОРМАЦИОННО-ПОИСКОВОЙ
СИСТЕМЫ
.1 Обоснование выбора языка
программирования приложения базы данных
.2 Разработка алгоритма работы
программы
.3 Разработка интерфейса
информационно-поисковой системы для формирования технологического оборудования
для сборочно-монтажных работ
. ОХРАНА ТРУДА
.1 Анализ условий труда на рабочем
месте разработчиков
.2 Промышленная безопасность в лаборатории
.3 Производственная санитария в
лаборатории
.4 Пожарная безопасность лаборатории
ВЫВОДЫ
ПЕРЕЧЕНЬ ССЫЛОК
ПРИЛОЖЕНИЕ А Графический материал
ПРИЛОЖЕНИЕ Б Руководство
пользователя
ПРИЛОЖЕНИЕ В Фрагмент текста
программы
ПЕРЕЧЕНЬ УСЛОВНЫХ ОБОЗНАЧЕНИЙ, СИМВОЛОВ,
СОКРАЩЕНИЙ И ТЕРМИНОВ
АСУ - автоматизированная система управления
БД - база данных
ИС - информационная система
ПК - персональный компьютер
ПО - программное обеспечение
САПР - система автоматизированного
проектирования
СУБД - система управления распределенными базами
данных
ЭВМ - электронно-вычислительная машина
ЯВУ - языки высокого уровня
ВВЕДЕНИЕ
В настоящее время хранение информации является
одной из важнейших процедур для любой отрасли деятельности человека. На
практике, человек имеет дело с большим количеством информации, которую надо не
только структурировать, а и обезопасить от стохастических факторов, таких как
человеческий фактор (потеря информации и т.д.), стихийные бедствия
(землетрясения, пожары, наводнение и т.д.). С появлением ЭВМ стало возможно
автоматизировать процессы, связанные с информацией, то есть использовать
саморегулирующие технические средства и математические методы с целью
освобождения человека, либо существенного уменьшения степени участия или
трудоёмкости операций получения, преобразования, передачи информации.
Безопасность хранения информации существенно увеличилась, так как стало
возможным создание резервного (дополнительного) копирования и восстановления
информации, существенно уменьшилось влияние негативного человеческого фактора.
Актуальность создания информационно-поисковой
системы для формирования технического оборудования для сборочно-монтажных работ
обуславливается с одной стороны необходимостью учёта большого количества
параметров технологического оборудования, а с другой сложностью
структурирования описания различного оборудования. Целесообразным
представляется создать такую информационно-поисковую систему, которая бы
позволила автоматизировать процесс сбора, хранения, использования данных,
разделение доступа к данным и операций с ними, повышение безопасности хранения
информации.
Объектом разработки дипломного проекта является
технологическое оборудование для сборочно-монтажных работ.
Предметом дипломного проекта является разработка
информационно-поисковой системы технического оборудования.
Целью дипломного проекта является автоматизация
выбора технологического оборудования для сборочно-монтажных работ путем
разработки информационно-поисковой системы, так как процесс выбора оборудования
для производства требует информации на основе которой принимается решение
рациональности использования того или иного оборудования в конкретных условиях.
Для достижения цели работы необходимо решить
следующие задачи:
провести анализ современных
информационно-поисковых систем автоматизации производства;
разработать структуру информационно-поисковой
системы для технологического оборудования для сборочно-монтажных работ;
разработать приложение и провести анализ
надежности информационно-поисковой системы;
анализировать вопросы, связанные с охраной
труда.
1. АНАЛИЗ СОВРЕМЕННЫХ ИНФОРМАЦИОННО-ПОИСКОВЫХ
СИСТЕМ АВТОМАТИЗАЦИИ ПРОИЗВОДСТВА
.1 Анализ современных систем автоматизации
производства
Автоматизация производства - это процесс в
развитии машинного производства, при котором функции управления и контроля,
ранее выполнявшиеся человеком, передаются приборам и автоматическим
устройствам. Введение автоматизации на производстве позволяет значительно
повысить производительность труда и качество выпускаемой продукции, сократить
долю рабочих, занятых в различных сферах производства[1].
До внедрения средств автоматизации замещение
физического труда происходило посредством механизации основных и
вспомогательных операций производственного процесса. Интеллектуальный труд
долгое время оставался не механизированным (ручным). В настоящее время операции
физического и интеллектуального труда, поддающиеся формализации, становятся
объектом механизации и автоматизации.
Современные производственные системы,
обеспечивающие гибкость при автоматизированном производстве, включают:
станки с ЧПУ;
промышленные роботы;
роботизированный технологический комплекс;
гибкие производственные системы;
автоматизированные складские системы;
системы контроля качества на базе ЭВМ;
система автоматизированного проектирования;
планирование и увязка отдельных элементов плана
с использованием ЭВМ.
Система автоматизированного проектирования -
автоматизированная система, реализующая информационную технологию выполнения
функций проектирования, представляет собой организационно-техническую систему,
предназначенную для автоматизации процесса проектирования, состоящую из
персонала и комплекса технических, программных и других средств автоматизации
его деятельности.
В рамках жизненного цикла промышленных изделий
САПР решает задачи автоматизации работ на стадиях проектирования и подготовки
производства.
Основная цель создания САПР - повышение
эффективности труда инженеров, включая:
сокращения трудоёмкости проектирования и
планирования;
сокращения сроков проектирования;
сокращения себестоимости проектирования и
изготовления, уменьшение затрат на эксплуатацию;
повышения качества и технико-экономического
уровня результатов проектирования;
сокращения затрат на натурное моделирование и
испытания.
Достижение этих целей обеспечивается путем:
автоматизации оформления документации;
информационной поддержки и автоматизации
процесса принятия решений;
использования технологий параллельного
проектирования;
унификации проектных решений и процессов
проектирования;
повторного использования проектных решений,
данных и наработок;
стратегического проектирования;
замены натурных испытаний и макетирования
математическим моделированием;
повышения качества управления проектированием;
применения методов вариантного проектирования и
оптимизации.
По целевому назначению различают САПР или
подсистемы САПР, которые обеспечивают различные аспекты проектирования:) CAD
(computer-aided design/drafting) - средства автоматизированного проектирования,
в контексте указанной классификации термин обозначает средства САПР, предназначенные
для автоматизации двумерного и/или трехмерного геометрического проектирования,
создания конструкторской и/или технологической документации, и САПР общего
назначения;
)CADD (англ. computer-aided design and drafting)
- проектирование и создание чертежей;
)CAGD (computer-aided geometric design) -
геометрическое моделирование;
б) CAE (computer-aided engineering) - средства
автоматизации инженерных расчётов, анализа и симуляции физических процессов,
осуществляют динамическое моделирование, проверку и оптимизацию изделий;
)CAA (computer-aided analysis) - подкласс
средств CAE, используемых для компьютерного анализа;
в) CAM (computer-aided manufacturing) - средства
технологической подготовки производства изделий, обеспечивают автоматизацию
программирования и управления оборудования с ГАПС (Гибких автоматизированных
производственных систем).
г) CAPP (computer-aided process planning) -
средства автоматизации планирования технологических процессов применяемые на
стыке систем CAD и CAM.
Многие системы автоматизированного
проектирования совмещают в себе решение задач относящихся к различным аспектам
проектирования CAD/CAM, CAD/CAE, CAD/CAE/CAM. Такие системы называют
комплексными или интегрированными.
С помощью CAD-средств создаётся геометрическая
модель изделия, которая используется в качестве входных данных в системах CAM,
и на основе которой в системах CAE формируется требуемая для инженерного
анализа модель исследуемого процесса.
.2 Анализ системы SolidWorks
- программный комплекс САПР для автоматизации
работ промышленного предприятия на этапах конструкторской и технологической
подготовки производства. Обеспечивает разработку изделий любой степени
сложности и назначения. Работает в среде Microsoft Windows. Разработан
компанией SolidWorks Corporation, ныне являющейся независимым подразделением
компании Dassault Systemes (Франция). Программа появилась в 1993 году и
составила конкуренцию таким продуктам, как AutoCAD и Autodesk Mechanical
Desktop, SDRC I-DEAS и Pro/ENGINEER.
Программный комплекс SolidWorks включает базовые
конфигурации SolidWorks Standard, SolidWorks Professional, SolidWorks Premium,
а также различные прикладные модули:
управление инженерными данными: SolidWorks
Enterprise PDM;
- инженерные
расчеты:
SolidWorks Simulation Professional, SolidWorks Simulation Premium, SolidWorks
Flow Simulation, SolidWorks Plastics;
- электротехническое проектирование: SolidWorks
Electrical;
механообработка, ЧПУ: CAMWorks;
и др.
Отличительными особенностями САПР SolidWorks
являются:
твердотельное и поверхностное параметрическое
моделирование;
полная ассоциативность между деталями, сборками
и чертежами;
богатый интерфейс импорта/экспорта геометрии;
экспресс-анализ прочности деталей и кинематики
механизмов;
специальные средства по работе с большими
сборками;
простота в освоении и высокая функциональность;
гибкость и масштабируемость;
100% соблюдение требований ЕСКД при оформлении
чертежей;
русскоязычный пользовательский интерфейс и
документация.
Процесс построения 3D модели основывается на
создании объемных геометрических элементов и выполнения различных операций
между ними. 3D модель несёт в себе наиболее полное описание физических свойств
объекта (объем, масса, моменты инерции) и даёт возможность работы в виртуальном
3D пространстве, что позволяет на самом высоком уровне приблизить компьютерную
модель к облику будущего изделия, исключая этап макетирования.
Разработчики SolidWorks большое внимание уделяют
работе с комплексными сборками, количество компонентов которых может составлять
десятки и сотни тысяч единиц. Безусловно, для работы с такими моделями
требуется использовать специальные методики управления отдельными деталями и
узлами сборки, рационально распоряжаться ресурсами процессора и оперативной
памяти. Для этого в SolidWorks существует специальный режим, который так и
называется "Режим работы с большими сборками". Этот режим позволяет
оптимально распределить программные и аппаратные ресурсы, экономя, таким
образом, время загрузки и перестроения сборки.
В базовую конфигурацию SolidWorks, входит модуль
экспресс-анализа прочности - COSMOSXpress. COSMOSXpress является
"облегчённой" версией пакета COSMOSWorks, и предназначен, в первую
очередь, для инженеров-проектировщиков, не обладающих глубокими познаниями в
теории конечно-элементного анализа. Тем не менее, COSMOSXpress позволяет
проектировщику определить, где расположены концентраторы напряжений, оценить
"перетяжелённые" элементы конструкции, из которых может быть удалён
избыточный материал с целью снижения веса и, соответственно, стоимости будущего
изделия.
Процесс конструирования в SolidWorks не
заканчивается на разработке объемных деталей и сборок. Программа позволяет
автоматически создавать чертежи по заданной 3D модели, исключая ошибки
проектировщика, неизбежно возникающие при начертании проекций изделия
вручную.поддерживает чертёжные стандарты GOST, ANSI, ISO, DIN, JIS, GB и BSI.
Чертежи SolidWorks обладают двунаправленной ассоциативностью с 3D моделями,
благодаря чему размеры модели всегда соответствуют размерам на чертеже.
В SolidWorks имеется бесплатный модуль -
eDrawings, с помощью которого можно создавать, просматривать и выводить на
печать электронные чертежи SolidWorks. Благодаря встроенной программе просмотра
чертежи eDrawings можно сразу же открыть для просмотра без использования
каких-либо заранее установленных на компьютере CAD-систем или других средств
просмотра. Очень удобным и наглядным средством, позволяющим понять конструкцию
изделия, изображённого на чертеже, является возможность анимировать чертёж и
посмотреть, как соотносятся между собой чертежные виды.
В SolidWorks имеются следующие возможности:
а) твердотельное и поверхностное параметрическое
моделирование;
)двунаправленная ассоциативность модели и
чертежа;
)управление моделью и поиск элементов с помощью
дерева конструирования Feature Manager;
) возможность создания нескольких исполнений
изделия в едином файле модели;
)многотельные детали; создание массивов
элементов - круговых и линейных, управляемых таблицами и эскизами;
)моделирование поверхностей: обрезка, удлинение
и сшивка, преобразование замкнутого объема поверхностей в твердое тело;
)вырезы и добавление материала с использованием
поверхностей;
)создание вспомогательных плоскостей, осей,
координатных систем, кривых, эскизов, 3D-сплайнов;
)использование технологий Windows: контекстные
меню, cut-and-paste, drag-and-drop;
б) проектирование деталей;
)единая библиотека физических свойств
материалов, текстур и штриховок;
)моделирование на основе объемных элементов;
)управление историей построения модели;
)ручное и автоматическое образмеривание;
)динамичное внесение изменений в режиме
реального времени;
)моделирование пространственных трубопроводов и
каналов с использованием 3-х мерных эскизов;
)использование библиотек стандартных элементов;
)автоматическая генерация отверстий с цековкой,
зенковкой, резьбовых и т.п.;
в) проектирование сборок;
)работа в контексте сборки;
)проектирование "снизу вверх",
"сверху вниз";
)взаимное определение положения деталей в
составе сборки, автосопряжения (SmartMates), автокрепежи (SmartFasteners);
)специальный режим для работы с большими
сборками (десятки / сотни тысяч компонентов);
)легковесные сборки и подсборки;
)круговые, линейные и производные массивы
компонентов, вырезы и отверстия как элементы сборки;
)объединение деталей сборки в одну, сварка в
сборке;
)возможность контекстной подмены компонентов,
реструктуризация сборок (формирование и роспуск подсборок);
г) проектирование изделий с учетом специфики
изготовления;
)листовой материал - получение разверток, в том
числе для цилиндрических, конических и линейчатых листовых деталей
моделирование "от детали к развертке" и "от развертки к
детали" автоматическое добавление вырезов для снятия напряжений, в острых
углах пополняемые библиотеки стандартных выштамповок и вырезов в листовых
деталях настраиваемые таблицы гибов;
)пресс-формы и штампы - анализ уклонов;
формирование линий и поверхностей разъема; автоматическая генерация матрицы и
пуансона; задание изотропной и анизотропной усадки при проектировании литьевых
и пресс-форм;
)сварные конструкции - проектирование рамных или
ферменных конструкций по произвольному набору плоских или трехмерных эскизов в
файле детали; использование специфических конструкционных элементов: разделка
под сварку, концевые заглушки, косынки и элементы сварочного шва;
д) экспресс-анализ прочности деталей и
кинематики механизмов;
)определение напряжений, деформаций, расчет
коэффициента запаса прочности (COSMOSXpress) имитация работы механизмов, поиск
взаимопроникновений и анализ коллизий между звеньями; контактные
взаимодействия, гравитация, пружины, кулачки;
е) оформление чертежей;
)автоматическое создание чертежных видов по 3D
модели: разрезы, сечения (простые, ступенчатые и развернутые), местные виды,
изометрия;
)шаблоны чертежей с предопределенными чертежными
видами;
)полная поддержка требований ЕСКД;
)допуски и посадки из встроенной базы данных;
)создание многолистовых чертежей, перенос и
копирование видов с листа на лист;
)автоматическое отображение размеров модели,
простановка справочных размеров и прочей информации (шероховатость, допуски
отклонения форм, базы);
)настройка на стандарты предприятия с
использованием блоков, форматок, надписей; автоматическое заполнение основной
надписи и спецификации (наименование, обозначение, материал и т.д.);
ж) трансляция данных;
)более 20 встроенных трансляторов (IGES, VDAFS,
STEP, Parasolid, ACIS, STL, VRML, DXF, DWG, Pro/ENGINEER, CADKEY, Uni-graphics,
Solid Edge, Inventor, AutoCAD, Mechanical Desktop, Adobe PDF и т.д.);
)редактирование и автоматическая сшивка
импортированных поверхностей;
)специальные возможности для пользователей
AutoCAD (модуль XchangeWorks), импорт и экспорт чертежей из AutoCAD с
сохранением цвета, шрифтов и слоев.
.3 Основные виды, требования и параметры технологического
оборудования для сборочно-монтажных работ
Технологическое оборудование для
сборочно-монтажных работ предназначено для механизации и автоматизации
технологических процессов электрического монтажа и сборки радиоэлектронных
средств (РЭС)[2][3].
Оборудование может выполняться (реализовываться)
в виде:
отдельных установок (модулей, агрегатов),
работающих автономно;
автоматизированных комплексов ГПС (гибких
автоматизированных линий, гибких автоматизированных участков, гибких
автоматизированных цехов).
Основные виды оборудования:
оборудование для сборки электронных модулей;
оборудование для подготовки кабельных изделий;
оборудование для сборки жгутов;
оборудование для монтажа электронных модулей
после пайки;
оборудование для сушки электронных модулей;
оборудование для ремонта дефектных электронных
модулей.
Технологическое оборудование должно
удовлетворять следующим требованиям:
а) технические требования (общие);
б) требования к функциональным
характеристикам;
в) требования к материалам и комплектующим
изделиям;
г) требования надежности;
д) требования эргономики и технической
эстетики;
е) требования стойкости к внешним
воздействиям;
ж) требования безопасности;
з) требования охраны окружающей среды.
Перечень обязательных параметров, указываемых в
технических условиях на оборудование:
а) производительность;
б) выход годных изделий;
в) удельная материалоемкость;
г) удельная энергоемкость;
д) потребляемая мощность;
е) управляемые параметры (температура, скорость
перемещения механизмов, точность позиционирования, объем накопителей и т.п.);
ж) точность поддержания параметров;
з) диапазон измерения параметров;
и) характеристики и параметры интерфейсов;
к) метод программирования;
л) вид идентификации;
м) наличие средств технической диагностики;
н) время выхода на рабочий режим.
.4 Анализ современных СУБД
При проектировании различных систем возникает
необходимость обеспечения задач, решаемых системой, средством надежного
хранения и быстрого доступа к данным.
База данных - компьютерная технология, которая
обеспечивает хранение информации, а также удобный и быстрый доступ к ее
данным[5]. БД представляет собой совокупность данных различного характера,
организованных по определенным правилам. Информация в БД должна быть:
- надежной;
непротиворечивой;
целостной.
В зависимости от вида организации данных
различают следующие основные модели данных:
реляционная модель - представляет совокупность
таблиц, связанных отношениями;
сетевая модель - данные организуются в виде
произвольного графа;
объектно-ориентированная модель - отдельные
записи в БД представляются в виде объектов;
иерархическая модель - данные представляются в
виде древовидной иерархической структуры.
Достоинством реляционной модели данных являются
простота, гибкость структуры, удобство реализации на компьютере, наличие
теоретического описания. Большинство современных БД для персональных
компьютеров являются реляционными.
Реляционная БД состоит из взаимосвязанных
таблиц, каждая из которых содержит информацию об объектах одного типа, а
совокупность всех таблиц образует единую БД.
С таблицей в целом можно выполнять следующие
операции[6]:
- создание;
модификация;
удаление.
Каждая таблица БД состоит из строк (запись) и
столбцов (поле). Каждое поле должно иметь имя уникальное в пределах таблицы.
Поле содержит данные одного из допустимых типов (строкового, целочисленного,
даты и т.д.). Особенности организации таблиц зависят от конкретной СУБД.
Каждая таблица должна иметь хотя бы одно поле.
Понятие структуры таблицы включает в себя:
ключ;
- описание полей;
ограничения ссылочной целостности между
таблицами;
ограничения на значения полей;
пароли.
Ключ - поле или комбинация полей, данные в
которых однозначно определяют каждую запись в таблице. Ключ обеспечивает:
однозначную идентификацию записей таблицы;
ускоренное выполнение запросов к БД;
установление связи между отдельными таблицами в
БД:
использование ограничений ссылочной целостности.
Отношения (связи) между таблицами - связывание
или соединение таблиц. Связи между таблицами можно устанавливать как при
создании БД, так и при выполнении приложения, используя средства СУБД.
Выбор системы управления баз данных (СУБД)
представляет собой сложную многопараметрическую задачу и является одним из
важных этапов при разработке приложений баз данных. Выбранный программный
продукт должен удовлетворять как текущим, так и будущим потребностям
предприятия, при этом следует учитывать финансовые затраты на приобретение
необходимого оборудования, самой системы, разработку необходимого программного
обеспечения на ее основе, а также обучение персонала. Кроме того, необходимо
убедиться, что новая СУБД способна принести предприятию реальные выгоды.
Очевидно, наиболее простой подход при выборе
СУБД основан на оценке того, в какой мере существующие системы удовлетворяют
основным требованиям создаваемого проекта информационной системы. Более сложным
и дорогостоящим вариантом является создание испытательного проекта на основе
нескольких СУБД и последующий выбор наиболее подходящего из кандидатов. Но и в
этом случае необходимо ограничивать круг возможных систем, опираясь на некие
критерии отбора. Вообще говоря, перечень требований к СУБД, используемых при
анализе той или иной информационной системы, может изменяться в зависимости от
поставленных целей. Тем не менее можно выделить несколько групп критериев:
моделирование данных;
особенности архитектуры и функциональные
возможности;
контроль работы системы;
особенности разработки приложений;
производительность;
надежность;
требования к рабочей среде;
смешанные критерии.
Следует отметить, что по существующей практике
решение об использовании той или иной СУБД принимает один человек - обычно,
руководитель предприятия, а он может опираться отнюдь не на технические
критерии. Здесь свою роль могут сыграть такие, с технической точки зрения,
незначительные факторы как рекламная раскрутка компании-производителя СУБД,
использование конкретных систем на других предприятиях, стоимость. При этом
последний фактор может трактоваться в двух противоположных смыслах в
зависимости от финансового состояния и политики предприятия. С одной стороны,
это может быть принцип, - чем дороже, тем лучше. С другой стороны -
культивирование почти бесплатного использования продукта, вплоть до “взлома”
его лицензионной защиты. Очевидно, последний подход чреват коллизиями и не может
привести к успеху в долгосрочной работе.
На данный момент, наиболее известными СУБД
являются:
а) Пакет Oracle8i, наделенный самым развитым
набором функций для работы с языком Java и доступа к данным через Интернет,
системой оптимизации одновременного доступа. Единственным недостатком данной
СУБД является сложность администрирования, однако все затраты на ее внедрение и
освоение в последствии окупятся эффективной и надежной работой.
Среди основных свойств СУБД Oracle следует
отметить такие, как:
высочайшая надежность.
возможность разбиения крупных баз данных на
разделы (large-database partition), что дает возможность эффективно управлять
гигантскими гигабайтными базами;
наличие универсальных средств защиты информации;
- эффективные методы максимального повышения
скорости обработки запросов;
- индексация по битовому отображению;
свободные таблицы (в других СУБД все таблицы
заполняются сразу при создании);
распараллеливание операций в запросе.
наличие широкого спектра средств разработки,
мониторинга и администрирования.
ориентация на интернет технологии.
решения, не уступающие разработкам Oracle можно
найти только в DB2 фирмы IBM. Ориентация на интернет технологии - основной
девиз современных продуктов Oracle. В этой связи можно отметить пакеты
interMedia, обеспечивающее обработку данных в мультимедийных форматах, и
Jserver, встроенное средство для работы с языком Java, которое объединяет
возможности языка Java с возможностями реляционных баз данных (возможность
составлять на языке Java не только внутренние программы для баз данных
(хранимые процедуры и триггеры), но и разрабатывать компоненты Enterprise
JavaBeans и даже запустить их на сервере). Компоненты Enterprise JavaBeans
представляют собой базовые модули из которых складываются Интернет-приложения
на языке Java.
Фирма Oracle придерживается принципа, что всеми
важными функциями необходимо управлять из единого центра, поэтому предлагаемый
модуль interMedia предоставляет в распоряжение пользователей самые передовые
возможности для работы с мультимедийными объектами:
очень развитые средства для обработки аудио
клипов;
неподвижных изображений;
видеофрагментов;
географических данных (с целым набором функций
связанных с определением местонахождения входящих в состав модуля Locator ).
В Oracle8i реализуются лучшие на сегодняшний
день средства для объектно-ориентированного конструирования баз данных, в том
числе табличные структуры, допускающие наследование свойств и методов других
табличных объектов БД, что позволят избежать ошибок при построении БД и
облегчает их обслуживание.
Также необходимо отметить, что разработанная
фирмой Oracle система оптимизации одновременного доступа (multiversioning
concurrency) является одной из важнейших характеристик архитектуры Oracle
(подобная функция есть лишь в СУБД InterBase компании InterBase компании
Inprise). Данная функция позволяет исключить ситуацию, когда одному
пользователю приходится ждать, пока другой завершит изменения в содержимое баз
данных (т.е. в Oracle отсутствуют блокировки на чтение). Эта функция позволяет
СУБД Oracle8i выполнять за секунду больше транзакций в расчете на одного
пользователя, чем любая другая база данных. По уровню производительности при
работе в WEB среде под LINUX Oracle занимает почетное второе место после СУБД
MySQL, при этом значительно превосходя все другие СУБД по надежности и
безопасности;
б) СУБД
Microsoft SQL Server. Характеристики данной СУБД - это:
простота администрирования;
возможность подключения к Web;
быстродействие и функциональные возможности
механизма сервера СУБД;
наличие средств удаленного доступа.
В комплект средств административного управления
данной СУБД входит целый набор специальных мастеров и средств автоматической
настройки параметров конфигурации. Также данная БД оснащена замечательными
средствами тиражирования, позволяющими синхронизировать данные ПК с информацией
БД и наоборот. Входящий в комплект поставки сервер OLAP дает возможность
сохранять и анализировать все имеющиеся у пользователя данные. В принципе
данная СУБД представляет собой современную полнофункциональную база данных,
которая идеально подходит для малых и средних организаций. Необходимо заметить,
что SQL Server уступает другим рассматриваемым СУБД по двум важным показателям:
программируемость и средства работы. При разработке клиентских БД приложений на
основе языков Java, HTML часто возникает проблема недостаточности программных
средств SQL Server и пользоваться этой СУБД будет труднее, чем системами DB2,
Informix, Oracle или Sybase. Общемировой тенденцией в XXI веке стал практически
повсеместный переход на платформу LINUX, а SQL Server функционирует только в
среде Windows. Поэтому использование SQL Server целесообразно, только если для
доступа к содержимому БД используется исключительно стандарт ODBC, в противном
случае лучше использовать другие СУБД;
в) СУБД IBM DB2 - результат почти 30-х
опытно-конструкторских и исследовательских работ фирмы IBM. Последнюю на
сегодня версию данной СУБД отличает один из наиболее продуманных наборов
средств управления и оптимизации и механизм БД, допускающий наращивание от портативного
ПК с Windows 95 до целого кластера больших ЭВМ S/390, работающих под
управлением OS/390.
Пакет DB2 выпускается в двух редакциях: DB2
Workgroup и DB2 Enterprise Edition. В данной СУБД реализованы все известные по
предшествующим версиям DB2 новаторские технологии механизма БД, такие, как
распараллеливание обработки запроса, полный набор средств тиражирования,
сводные таблицы запросов для повышения производительности БД, возможности
объектно-ориентированного конструирования баз данных и средства языка Java. К
этому надо добавить, что система DB2 оснащена полым набором
мультимедиа-расширений, позволяющих сохранять текст, звук и видео- фрагменты,
изображения и географические данные и манипулировать ими. Можно говорить, что
по возможностям масштабирования разработанная специалистами IBM технология
кластеризации баз данных не имеет аналогов. Эти расширения существенно
облегчают процесс разработки приложений для Web, а так же программ, содержащих
фотоизображения и объемные текстовые отчеты. Система DB2 вполне
конкурентоспособна и в качестве платформы для разработки приложжений т.к
существует средство Stored Procedure Builder - автоматически преобразовывающее
оператор SQL в соответствующий класс Java и включающее его в структуру базы
данных. В DB2 значительно улучшена функциональная совместимость с другими СУБД:
пакет позволяет использовать разработанную Microsoft спецификацию OLE DB, новый
стандарт доступа к базам данных. Средства административного управления СУБД
DB2, которые в новой версии переписаны на Java и могут быть получены из Web,
заслуживают самой высокой оценки.
Основными недостатками данной СУБД является
относительная сложность администрирования и отсутствие (пока) реализаций под
популярные серверные ОС, например LINUX.
В данной СУБД благодаря Index Smart-Guide
возможно осуществлять настройку, формируя оптимальные индексы для заданного
числа обращений, характеризующего типичную нагрузку на БД. DB2 - единственный
пакет позволяющий генерировать сводные таблицы, что значительно эффективность
работы СУБД в качестве хранилищ данных. Сводная таблица - это временная рабочая
область, используемая базой данных для хранения ответов на часто поступающие
запросы. Ну что ж, можно сказать, что оснащенная новыми функциональными
возможностями, а также средствами распараллеливания и возможностями выбора
практически любого типа соединения и индексов (кроме разве что растровых
индексов), модель DB2 превращается в самую недорогую из высокопроизводительных
систем. Средства административного управления этой СУБД вполне соответствуют
уровню решаемых задач, кроме того, она предоставляет исключительно широкие
возможности для работы с мультимедиа-данными и для программирования (чего явно
недостает системе Microsoft SQL Server);
г) MySQL - свободная реляционная система
управления базами данных. Разработку и поддержку MySQL осуществляет корпорация
Oracle, получившая права на торговую марку вместе с поглощённой Sun
Microsystems, которая ранее приобрела шведскую компанию MySQL AB. Продукт
распространяется как под GNU General Public License, так и под собственной
коммерческой лицензией. Помимо этого, разработчики создают функциональность по
заказу лицензионных пользователей, именно благодаря такому заказу почти в самых
ранних версиях появился механизм репликации.является решением для малых и
средних приложений. Входит в состав серверов WAMP, AppServ, LAMP и в
портативные сборки серверов Денвер, XAMPP. Обычно MySQL используется в качестве
сервера, к которому обращаются локальные или удалённые клиенты, однако в
дистрибутив входит библиотека внутреннего сервера, позволяющая включать MySQL в
автономные программы.
Гибкость СУБД MySQL обеспечивается поддержкой
большого количества типов таблиц: пользователи могут выбрать как таблицы типа
MyISAM, поддерживающие полнотекстовый поиск, так и таблицы InnoDB,
поддерживающие транзакции на уровне отдельных записей. Более того, СУБД MySQL
поставляется со специальным типом таблиц EXAMPLE, демонстрирующим принципы
создания новых типов таблиц. Благодаря открытой архитектуре и
GPL-лицензированию, в СУБД MySQL постоянно появляются новые типы таблиц.
Максимальный размер таблиц в MySQL 3.22 до 4 ГБ,
в последующих версиях максимальный размер до 8 млн ТБ;
д) Microsoft Access - это настольная система
управления реляционными базами данных (СУБД), предназначенная для работы на
автономном персональном компьютере (ПК) или локальной вычислительной сети под
управлением семейства операционных систем Microsoft Windows (Windows 2000,
Windows XP и Windows Server 2003).
СУБД Microsoft Access обладает мощными, удобными
и гибкими средствами визуального проектирования объектов с помощью “Мастеров”,
что позволяет пользователю при минимальной предварительной подготовке довольно
быстро создать полноценную информационную систему на уровне таблиц, запросов,
форм и отчетов.
К основным возможностям СУБД Microsoft Access
можно отнести следующие:
проектирование базовых объектов - двумерные
таблицы с полями разных типов данных;
создание связей между таблицами, с поддержкой
целостности данных, каскадного обновления полей и каскадного удаления записей;
ввод, хранение, просмотр, сортировка, изменение
и выборка данных из таблиц с использованием различных средств контроля
информации, индексирования таблиц и аппарата алгебры логики;
создание, модификация и использование
производных объектов (запросов, форм и отчетов).Access является реляционной
СУБД с небольшим количеством пользователей (100 пользователей), с среднем
уровнем БД (до 1 Гб), проста в проектировании, реализации и использовании БД,
имеющая мощную систему управления в БД.
2. РАЗРАБОТКА СТРУКТУРЫ ИНФОРМАЦИОННО-ПОИСКОВОЙ
СИСТЕМЫ ДЛЯ ФОРМИРОВАНИЯ ТЕХНОЛОГИЧЕСКОГО ОБОРУДОВАНИЯ ДЛЯ СБОРОЧНО-МОНТАЖНЫХ
РАБОТ
Разработка структуры информационно-поисковой
системы для формирования технологического оборудования для сборочно-монтажных
работ сводится к решению задач проектирования баз данных.
Основные понятия баз данных:
сущность - любой конкретный или абстрактный
объект в рассматриваемой предметной области. Сущности - базовые типы
информации, которые хранятся в БД (студенты, клиенты, устройства и т.д.);
экземпляр сущности - это конкретный
представитель данной сущности;
атрибут - свойство сущности в предметной области
(например, для сущности устройства могут быть использованы следующие атрибуты:
название, год изготовления, страна и т.д.);
связь - взаимосвязь между сущностями в
предметной области. Типы связей, между сущностями:
а) «1 - 1» - определяет такой тип связи между
сущностями А и В, когда каждому экземпляру сущности А соответствует один и
только один экземпляр сущности В, и наоборот;
б) «1 - М» - определяет такой тип связи между
сущностями А и В, когда одному экземпляру сущности А может соответствовать
ноль, один или несколько экземпляров сущности В, однако каждому экземпляру
сущности В соответствует только один экземпляр сущности А;
в) «М - М» - определяет такой тип связи между
сущностями А и В, когда множеству экземпляров сущности А соответствует
множество (больше одного) экземпляров сущности В, и наоборот.
Проектирование базы данных для формирования
технологического оборудования для сборочно-монтажных работ происходит в
несколько этапов:
определение предметной области и цели
проектируемой базы данных;
определение пользователей базы данных и их
требование к информации;
определение задач, которые будет решать база
данных;
построение инфологической модели;
построение даталогической модели;
построение физической модели;
организация базы данных и построение приложений.
Предметной областью базы данных является
технологическое оборудование для сборочно-монтажных работ, цель -
предоставление информации об оборудовании, для выбора в зависимости от типа
производства и доминирующих критериев.
Пользователями являются менеджеры по закупкам
оборудования, руководство предприятия.
Задачи, решаемые базой данных, предоставление
информации об оборудовании, разделение доступа к данным.
.1 Построение инфологической (концептуальной)
модели базы данных технологического оборудования для сборочно-монтажных работ
Инфологическая (концептуальная) модель -
описание предметной области на естественном языке, с применением математических
формул (символов). При построении определяется сущности, атрибуты и связи между
сущностями.
Инфологическая модель базы данных
технологического оборудования для сборочно-монтажных работ представлена на рис.
2.1.
Рисунок 2.1 - Инфологическая модель базы данных
технологического оборудования для сборочно-монтажных работ
.2 Построение логической (даталогической) модели
базы данных технологического оборудования для сборочно-монтажных работ
Логическое (даталогическое) проектирование -
создание схемы базы данных на основе конкретной модели данных, например,
реляционной модели данных. Для реляционной модели данных даталогическая модель
- набор схем отношений, обычно с указанием первичных ключей, а также связей
между отношениями, представляющих собой внешние ключи.
Логическая модель базы данных технологического
оборудования для сборочно-монтажных работ представлена на рис. 2.2.
Описание связей между сущностями инфологической
модели базы данных технологического оборудования для сборочно-монтажных работ
представлены в табл. 2.1.
Рисунок 2.2 - Даталогическая модель базы данных
технологического оборудования для сборочно-монтажных работ
Таблица 2.1 - Описание связей между сущностями
инфологической модели
|
Сущности
|
Связь
|
Описание
|
|
«Технологическое
оборудование» - «Вид идентификации»
|
М
- 1
|
Множеству
экземпляров сущности «Технологическое оборудование» соответствует один
экземпляр сущности «Вид идентификации»
|
|
«Средства
диагностики» - «Технологическое оборудование»
|
М
- 1
|
Множеству
экземпляров сущности «Технологическое оборудование» соответствует один
экземпляр сущности «Средства диагностики»
|
|
«Технологическое
оборудование» - «Метод программирования»
|
М
- 1
|
Множеству
экземпляров сущности «Технологическое оборудование» соответствует один
экземпляр сущности «Метод программирования»
|
|
«Технологическое
оборудование» - «Вид выполняемых работ»
|
М
- 1
|
Множеству
экземпляров сущности «Технологическое оборудование» соответствует один
экземпляр сущности «Вид выполняемых работ»
|
.3 Разработка физической модели базы данных
технологического оборудования для сборочно-монтажных работ
Физические модели баз данных определяют способы
размещения данных в среде хранения и способы доступа к этим данным, которые
поддерживаются на физическом уровне.
Для решения задачи способа доступа и хранения
данных, определяются поля и типы данных полей созданных на логическом уровне
таблиц.
В табл. 2.2 - 2.6 приводится описание и типы
полей таблиц базы данных.
Таблица 2.2 - Поля таблицы «Виды выполняемых
работ» базы данных технологического оборудования для сборочно-монтажных работ
|
Название
поля
|
Значение
|
Тип
поля
|
Описание
|
|
Id_вида_вып_работ
|
Long
Int (счетчик)
|
Первичный
ключ
|
Код
(порядковый номер) в записях БД, вида выполняемых работ
|
|
Название_вида_
вып_работ
|
Char
|
|
Название
вида выполняемых работ
|
|
Описание_вида_
вып_работ
|
Char
|
|
Описание
вида выполняемых работ
|
Таблица 2.3 - Поля таблицы «Вид идентификации»
базы данных технологического оборудования для сборочно-монтажных работ
|
Название
поля
|
Значение
|
Тип
поля
|
Описание
|
|
Id_идентификации
|
Long
Int (счетчик)
|
Первичный
ключ
|
Код
(порядковый номер) в записях БД, вида идентификации
|
Char
|
|
Название
вида идентификации
|
|
Описание_иденти-фикации
|
Char
|
|
Описание
вида идентификации
|
Таблица 2.4 - Поля таблицы «Метод
программирования» базы данных технологического оборудования для
сборочно-монтажных работ
|
Название
поля
|
Значение
|
Тип
поля
|
Описание
|
|
Id_метода_программиров
|
Long
Int (счетчик)
|
Первичный
ключ
|
Код
(порядковый номер) в записях БД, метода программирования
|
|
Название_метода_
программиров
|
Char
|
|
Название
метода программирования
|
|
Описание_метода_
программиров
|
Char
|
|
Описание
метода программирования
|
Таблица 2.5 - Поля таблицы «Средства
диагностики» базы данных технологического оборудования для сборочно-монтажных
работ
|
Название
поля
|
Значение
|
Тип
поля
|
Описание
|
|
Id_средства_диагностики
|
Long
Int (счетчик)
|
Первичный
ключ
|
Код
(порядковый номер) в записях БД, средства диагностики
|
|
Название_средст-ва_диагностики
|
Char
|
|
Название
средства диагностики
|
|
Описание_средст-ва_диагностики
|
Char
|
|
Описание
средства диагностики
|
Таблица 2.6 - Поля таблицы «Технологическое
оборудование» базы данных технологического оборудования для сборочно-монтажных
работ, страница 1
|
Название
поля
|
Значение
|
Тип
поля
|
Описание
|
|
Id_технологич_оборудов
|
Long
Int (счетчик)
|
Первичный
ключ
|
Код
(порядковый номер) в записях БД, технологического оборудования
|
|
Название_идентификации
|
Char
|
|
Название
технологического оборудования
|
|
Производительность
|
Long
Int
|
|
Производительность
технологического оборудования (единиц в час)
|
|
Мощность
|
Long
Int
|
|
Потребляемая
мощность технологического оборудования (кВт)
|
|
Год
|
Long
Int
|
|
Год
выпуска технологического оборудования
|
|
Id_метода_программиров
|
Long
Int
|
Вторичный
ключ
|
Код
(порядковый номер) в записях БД, метода программирования
|
|
Id_вида_вып_работ
|
Long
Int
|
Вторичный
ключ
|
Код
(порядковый номер) в записях БД, вида выполняемых работ
|
|
Id_идентификации
|
Long
Int
|
Вторичный
ключ
|
Код
(порядковый номер) в записях БД, вида идентификации
|
|
Энергопотребление
|
Long
Int
|
|
Удельное
энергопотребление технологического оборудования
|
|
Время_выхода_на_раб_режим
|
Long
Int
|
|
Время
выхода в установившийся режим
|
|
Диапозон_рабочих_температур
|
Long
Int
|
|
Диапазон
рабочих температур
|
|
Скорость_перемещения_
механизмов
|
Long
Int
|
|
Скорость
перемещения механизмов
|
|
Id_средства_диагностики
|
Long
Int
|
Вторичный
ключ
|
Код
(порядковый номер) в записях БД, средства диагностики
|
.4 Выбор СУБД
Access является настольной СУБД (система
управления базами данных) реляционного типа, предназначена для создания быстрых,
эффективных баз данных. Достоинством Access простой графический интерфейс,
который позволяет не только создавать собственную базу данных, но и
разрабатывать приложения, используя встроенные средства.
В Microsoft Access предусмотрены все необходимые
средства для определения и обработки данных, а также для управления с большими
объемами информации.Access возможно использовать как самостоятельную СУБД на
отдельном персональном компьютере, так и в сети в режиме клиент-сервер,
следовательно, данная СУБД имеет надежные средства защиты информации[5][6].
Главное окно программы Microsoft Access 2010
представлено на рис. 2.3.
Рисунок 2.3 - Главное окно программного
обеспечения Microsoft Access 2010
Основные объекты Microsoft Access:
а) таблица - объект, который определяется и
используется для хранения данных. Для каждой таблицы можно определить первичный
ключ и один или несколько индексов, помогающих ускорить доступ к данным. Пример
создания таблицы средствами MS Access представлено на рис. 2.4;
Рисунок 2.4 - Пример создания таблицы в режиме
конструктора
Access 2010
б) запрос - объект, который позволяет
пользователю получить нужные данные из одной или нескольких таблиц. Пример
создания запроса средствами MS Access представлено на рис. 2.5;
Рисунок 2.5 - Пример создания запроса средствами
MS Access 2010
в) форма - объект, предназначенный в основном
для ввода данных, отображения их на экране или управления работой приложения. С
помощью формы можно в ответ на некоторое событие запустить макрос или процедуру
VBA. Пример создания формы средствами MS Access представлено на рис. 2.6;
Рисунок 2.6 - Пример создания формы средствами
MS Access
г) отчет - объект, предназначенный для создания
документа, который впоследствии может быть распечатан или включен в документ
другого приложения. Пример создания отчета средствами MS Access представлено на
рис. 2.7;
Рисунок 2.7 - Пример создания отчета средствами
MS Access
д) макрос - объект, представляющий собой
структурированное описание одного или нескольких действий, которые должен
выполнить Access в ответ на определенное событие. Пример создания макроса
средствами MS Access представлено на рис.2.8;
Рисунок 2.8 - Пример создания макроса,
средствами MS Access 2010
е) модуль - объект, содержащий программы,
написанные на языке Visual Basic для приложений. При создании модуля появляется
дополнительное окно, представленное на рис. 2.9.
Рисунок 2.9 - Окно создания модуля, средствами
MS Access 2010
Основные достоинства СУБД Access:
а) высокая степень универсальности и
продуманность интерфейса, который рассчитан на работу с пользователями самой
различной квалификации. В частности, реализована система управления объектами
базы данных, позволяющая гибко и оперативно переходить из режима
конструирования в режим их непосредственной эксплуатации;
б) глубоко развитые возможности интеграции с
другими программными продуктами, входящими в состав Microsoft Office, а также с
любыми программными продуктами, поддерживающими технологию OLE;
в) богатый набор визуальных средств разработки
(для выполнения почти всех основных операций Access предлагает большое
количество Мастеров (Wizards));
г) хранение данных в виде таблиц;
д) возможность связывания данных хранящихся в
разных таблицах;
е) возможность работы с другими БД таких как
Paradox, FoxPro;
ж) позволяет устанавливать связь с другими
программами из пакета MS Office;
з) Возможность интеграции с Visual Basic
Application или Delphi.Access является реляционной СУБД с небольшим количеством
пользователей (100 пользователей), с среднем уровнем БД (до 1 Гб), проста в
проектировании, реализации и использовании БД, имеющая мощную систему
управления в БД.
2.5 Расчет надежности
В борьбе со сложностью ПО используются две
концепции:
иерархическая структура. Иерархия позволяет
разбить систему по уровням понимания (абстракции, управления). Концепция
уровней позволяет анализировать систему, скрывая несущественные для данного
уровня детали реализации других уровней. Иерархия позволяет понимать,
проектировать и описывать сложные системы;
независимость. В соответствии с этой концепцией,
для минимизации сложности, необходимо максимально усилить независимость
элементов системы. Это означает такую декомпозицию системы, чтобы её
высокочастотная динамика была заключена в отдельных компонентах, а
межкомпонентные взаимодействия (связи) описывали только низкочастотную динамику
системы.
Методы обнаружения ошибок, которые базируются на
введении в ПО системы различных видов избыточности:
временная избыточность. Использование части
производительности ЭВМ для контроля исполнения и восстановления
работоспособности ПО после сбоя;
информационная избыточность. Дублирование части
данных информационной системы для обеспечения надёжности и контроля
достоверности данных;
программная избыточность включает в себя:
взаимное недоверие - компоненты системы проектируются, исходя из предположения,
что другие компоненты и исходные данные содержат ошибки, и должны пытаться их
обнаружить; немедленное обнаружение и регистрацию ошибок; выполнение одинаковых
функций разными модулями системы и сопоставление результатов обработки;
контроль и восстановление данных с использованием других видов избыточности.
Задача обеспечения ПО устойчивости к ошибкам
направлены на применение методов минимизации ущерба, вызванного появлением
ошибок, и включают в себя:
- обработку сбоев аппаратуры;
повторное выполнение операций;
динамическое изменение конфигурации;
сокращенное обслуживание в случае отказа
отдельных функций системы;
копирование и восстановление данных;
изоляцию ошибок.
Дается 4 группы принципов обеспечения надежности:
предупреждение ошибок;
обнаружение ошибок;
исправление ошибок;
обеспечение устойчивости к ошибкам.
Действия, направленные на минимизацию ошибок и
сбоев:
предотвращение ошибок за счет структурного
программирования;
сокрытие информации или дозированный доступ к
данным со стороны программных средств и объектов в объектно-ориентированном
программировании;
отладка;
устойчивость к сбоям;
обработка исключительных ситуаций (перехват
ошибок, например, деление на ноль) и локализация ошибок и сбоев;
восстановление программы после сбоя.
Для оценки допустимого количества ошибок, исходя
из соотношения 1 ошибка на 1000 операндов, воспользуемся формулой:
, (2.1)
где 
- количество операндов в программе.
Согласно модели Холстеда количество
ошибок в программе после окончания её разработки можно оценить по формуле:
, (2.2)
где 
- коэффициент пропорциональности;

и 
- число операторов и операндов в
программном средстве, соответственно.
Для более точной оценки сложности
программы можно также вычислить значение показателя структурной сложности
программы:
, (2.3)
где 
- количество альтернативных
маршрутов;

- число ветвлений, встречающихся на
i-том маршруте.
На основании количества операндов и
показателя структурной сложности можно вычислить значение оценки количества
дефектов по следующей формуле:
(2.4)
Связь интенсивности потока отказов с уровнем
дефективности ПО может быть описана следующей формулой:
, (2.5)
где 
- количество операторов в коде
программы.
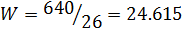
Результаты расчётов при 
= 300,
= 200, M = 10 в (2.1) - (2.5),
различных оценок дефективности (по количеству ошибок) программы приведены в
таблице 2.7.
Таблица 2.7 - Результаты расчётов
допустимого количества ошибок и интенсивности потока отказов с уровнем
дефективности ПО
|
Формула
|
|
|
|
Допустимое
количество ошибок
|
0.2
|
0.00000116
|
|
Допустимое
количество ошибок, по модели Холстеда
|
|
0.00782
|
|
Значение
оценки количества дефектов
|
31.8
|
0.000648
|
3. РАЗРАБОТКА ИНФОРМАЦИОННО-ПОИСКОВОЙ СИСТЕМЫ
Разработка приложения информационно-поисковой
системы для формирования технологического оборудования для сборочно-монтажных
работ происходит в два этапа:
системный анализ (составление алгоритма для
разработки приложения, определение структуры данных, объекта и взаимодействия
между ними);
кодирование (программирование)[7].
.1 Обоснование выбора языка программирования
приложения базы данных
++ - компилируемый статически типизированный
язык программирования общего назначения.
Поддерживает такие парадигмы программирования
как процедурное программирование, объектно-ориентированное программирование,
обобщенное программирование, обеспечивает модульность, раздельную компиляцию,
обработку исключений, абстракцию данных, объявление типов (классов) объектов,
виртуальные функции.
Являясь одним из самых популярных языков
программирования, C++ широко используется для разработки программного
обеспечения. Область его применения включает создание операционных систем,
разнообразных прикладных программ, драйверов устройств, приложений для
встраиваемых систем, высокопроизводительных серверов, а также развлекательных
приложений (игр). Существует множество реализаций языка C++, как бесплатных,
так и коммерческих и для различных платформ[8]. Например,
на
платформе
x86 это
GCC, Visual C++, Intel C++ Compiler, Embarcadero (Borland) C++ Builder и
другие.
C++
оказал огромное влияние на другие языки программирования, в первую очередь на
Java и C#.
В C++ доступны следующие встроенные типы:
символьные: char, wchar_t (char16_t и char32_t,
в стандарте C++11);
- целочисленные
знаковые:
signed char, short int, int, long int (и
long long int, в стандарте
C++11);
целочисленные беззнаковые:
unsigned char, unsigned short int, unsigned int, unsigned long int(и
unsigned long long int, в стандарте
C++11);
с плавающей
точкой:
float, double, long double;
- логический: bool, имеющий значения true и
false.++ - чрезвычайно мощный язык, содержащий средства создания эффективных
программ практически любого назначения, от низкоуровневых утилит и драйверов до
сложных программных комплексов самого различного назначения. Достоинствами С++
является:
поддерживаются различные стили и технологии
программирования, включая традиционное директивное программирование, ООП,
обобщённое программирование, метапрограммирование (шаблоны, макросы);
предсказуемое выполнение программ является
важным достоинством для построения систем реального времени. Весь код, неявно
генерируемый компилятором для реализации языковых возможностей (например, при
преобразовании переменной к другому типу), определён в стандарте. Также строго
определены места программы, в которых этот код выполняется. Это даёт возможность
замерять или рассчитывать время реакции программы на внешнее событие;
автоматический вызов деструкторов объектов при
их уничтожении, причём в порядке, обратном вызову конструкторов. Это упрощает
(достаточно объявить переменную) и делает более надёжным освобождение ресурсов
(память, файлы, семафоры и т. п.), а также позволяет гарантированно выполнять
переходы состояний программы, не обязательно связанные с освобождением ресурсов
(например, запись в журнал);
пользовательские функции-операторы позволяют
кратко и ёмко записывать выражения над пользовательскими типами в естественной
алгебраической форме;
язык поддерживает понятия физической (const) и
логической (mutable) константности. Это делает программу надёжнее, так как
позволяет компилятору, например, диагностировать ошибочные попытки изменения
значения переменной[9]. Объявление константности даёт программисту, читающему
текст программы дополнительное представление о правильном использовании классов
и функций, а также может являться подсказкой для оптимизации. Перегрузка
функций-членов по признаку константности позволяет определять изнутри объекта
цели вызова метода (константный для чтения, неконстантный для изменения).
Объявление mutable позволяет сохранять логическую константность при использовании
кэшей и ленивых вычислений;
используя шаблоны, возможно создавать обобщённые
контейнеры и алгоритмы для разных типов данных, а также специализировать и
вычислять на этапе компиляции;
возможность имитации расширения языка для
поддержки парадигм, которые не поддерживаются компиляторами напрямую. Например,
библиотека Boost.Bind позволяет связывать аргументы функций;
возможность создания встроенных
предметно-ориентированных языков программирования. Такой подход использует,
например библиотека Boost.Spirit, позволяющая задавать EBNF-грамматику парсеров
прямо в коде C++;
используя шаблоны и множественное наследование
можно имитировать классы-примеси и комбинаторную параметризацию библиотек.
Такой подход применён в библиотеке Loki, класс SmartPtr которой позволяет,
управляя всего несколькими параметрами времени компиляции, сгенерировать около
300 видов «умных указателей» для управления ресурсами;
кроссплатформенность: стандарт языка накладывает
минимальные требования на ЭВМ для запуска скомпилированных программ. Для
определения реальных свойств системы выполнения в стандартной библиотеке
присутствуют соответствующие возможности (например, std::numeric_limits
<T>)[10]. Доступны компиляторы для большого количества платформ, на языке
C++ разрабатывают программы для самых различных платформ и систем;
эффективность. Язык спроектирован так, чтобы
дать программисту максимальный контроль над всеми аспектами структуры и порядка
исполнения программы. Ни одна из языковых возможностей, приводящая к
дополнительным накладным расходам, не является обязательной для использования -
при необходимости язык позволяет обеспечить максимальную эффективность
программы;
имеется возможность работы на низком уровне с
памятью, адресами;
высокая совместимость с языком C, позволяющая
использовать весь существующий C-код (код на C может быть с минимальными
переделками скомпилирован компилятором C++; библиотеки, написанные на C, обычно
могут быть вызваны из C++ непосредственно без каких-либо дополнительных затрат,
в том числе и на уровне функций обратного вызова, позволяя библиотекам,
написанным на C, вызывать код, написанный на С++).
.2 Разработка алгоритма работы программы
Алгоритм работы программы состоит из нескольких
частей:
алгоритм работы части «Окно авторизации» »,
приложения информационно-поисковой системы (рис. 3.1);
алгоритм работы части «Главное окно программы»
», приложения информационно-поисковой системы (рис. 3.2);
алгоритм работы части «Окно открытие файла БД»
», приложения информационно-поисковой системы (рис. 3.3).
Рисунок 3.1 - Алгоритм работы части «Окно
авторизации», приложения информационно-поисковой системы
В основе части «Окно авторизации», приложения
информационно-поисковой системы лежит создание модального диалогового окна
авторизации пользователя (класс CDialogAuto, производный от CDialog). Создание
шаблона окна производится при помощи редактора ресурсов (ресурс «Dialog»).
Создаются классы работы с БД и с записями БД (CAutoData, CAutoRecord
производные от CDatabase и CRecordset) и реализуется функция связывания БД и
класса работы записей (void CRecordset::DoFieldExchange(…){}). При
инициализации диалогового окна происходит подключение к БД, созданной методами
СУБД MS Access и запрос на выборку из таблицы «Users». Введенные в поля (Edit
control) данные пользователя приложения сравниваются с полученными из БД, и
если они идентичны авторизация происходит успешно, иначе - пользователь
получает соответствующее сообщение.
Рисунок 3.2 - Алгоритм работы части «Главное
окно программы», приложения информационно-поисковой системы
В основе части «Главное окно программы»
приложения информационно-поисковой системы, лежит создание главного окна
программы (класс CMainWindow) функцией BOOL CFrameWnd::Create(…){} определение
его стиля. Подключение к окну ресурса «Menu», созданного при помощи редактора
ресурсов и создание обработчиков пунктов меню, а также подключение панели
инструментов (создание изображения кнопок, объявление объекта панели
инструментов и т.д.). Оглашение карты сообщений (DECLARE_MESSAGE_MAP()) для
обработки сообщений закрытия окна, перерисовки, пунктов меню и т.д. Создание
обработчиков сообщений таких как void OnClose(){ }, которая выводит окно
сообщение, функция int WinApi::MessageBox(…){}, для вывода информации (об
ошибке, предупреждении и т.д.) пользователю приложения. После чего происходит
разъединение с БД.
Рисунок 3.3 - Алгоритм работы части «Окно
открытие файла БД», приложения информационно-поисковой системы
В основе части «Окно открытие файла БД»,
приложения информационно-поисковой системы лежит создание модального
диалогового окна открытия файла с записями БД о технологическом оборудовании
(класс CDialogData, производный от CDialog). Создание шаблона окна при помощи
редактора ресурсов (ресурс «Dialog»). Создается класс работы с записями БД
(C4Data производный от CRecordset) и реализуется функция связывания БД и класса
работы записей (void CRecordset::DoFieldExchange(…){}). При инициализации
диалогового окна происходит подключение к БД, производится запрос к таблицам
связанных с технологическим оборудованием. После реализуются функции показа
записей, навигации и редактирования данных (для администратора), а так же
функция поиска по заданному параметру.
3.3 Разработка интерфейса
информационно-поисковой системы для формирования технологического оборудования
для сборочно-монтажных работ
Разработка оконного интерфейса производится при
помощи средств Visual Studio и библиотеки MFC.
Библиотека MFC содержит большую иерархию
классов, написанных на языке программирования С++. Структура иерархии приведена
на рис. 3.4. В ее вершине находится класс СObject, который содержит различные
функции, используемые во время выполнения программы и предназначенные, в
частности, для предоставления информации о текущем типе во время выполнения,
для диагностики, и для сериализации.
Рисунок 3.4 - Иерархия связей основных классов
MFC
Класс CWinApp - базовый класс, от которого
наследуется объект windows-приложения. Объект приложения обеспечивает методы
для инициализации и выполнения приложения.
Каждое приложение, которое использует Microsoft
Foundation Classes, может только содержать только один объект, полученный из
CWinApp. Этот объект создается, когда другие объекты глобальные объекты C++
создаются, и уже доступен, когда Windows вызывает функцию WinMain, которая
обеспечена Microsoft Foundation Class Library.
Класс приложения CWinApp имеет только одну
функцию - virtual BOOL CWinApp::InitInstance(), которая инициализирует объект
приложения, в случае удачного выполнения возвращает - TRUE, в других случаях -
FALSE.
Класс CFrameWnd - обеспечивает функциональные
возможности так называемого однодокументного интерфейса Windows SDI (Single
Document Interface), и обеспечивает функции окна.
Функция BOOL CFrameWnd::Create(…) - отвечает за
создание окна. Функция имеет структуру, представленную в табл. 3.1.
Таблица 3.1 - Структура функции BOOL
CFrameWnd::Create(…)
|
Параметр
|
Описание
|
|
LPCTSTR
lpszClassName
|
Имя
класса окна (с параметрами окна)
|
|
LPCTSTR
lpszWindowName
|
Заголовок
окна
|
|
WORD
dwStyle
|
Стиль
окна
|
|
const
RECT&
|
Позиция
и размер окна
|
|
CWnd*
pParentWnd
|
Показатель
на родительское окно, имеет значение NULL если текущее окно - основное окно
программы
|
|
LPCTSTR
lpszMenuName
|
Показатель
на меню окна
|
|
DWORD
dwExStyle
|
Определение
расширенных стилей
|
|
CCreateContext*
pContex
|
Дополнительные
контекстные структуры
|
Класс CDC - определяет так называемые объекты
контекста устройства. Объекты класса CDC обеспечивают функции работы с
контекстом устройства. Контекстом устройства могут быть дисплей или принтер.
Класс CDialog - базовый класс, используемый для
отображения диалогового окна на экране.
Диалоговые окна делятся на:
модальные - окно, которое блокирует работу пользователя
с родительским приложением до тех пор, пока пользователь это окно не закроет;
немодальные - диалоговые окна, использующиеся в
случаях, когда выводимая в окне информация не является существенной для
дальнейшей работы системы, окно может оставаться открытым, в то время как
работа пользователя с системой продолжается.
Функция CDialog::DoModal() - функция, вызова
модального диалогового окна.
Функция CDialog::OnInitDialog() - функция,
определяющая установку фокуса ввода к одному из элементов управления в
диалоговом окне.
Класс CDatabase - класс, инкапсулирующий
соединение с источником данных.
Функция CDatabase::OpenEx(…) - функция, для
установления соединения с базой данных. Структура функции представлена в табл.
3.2.
Таблица 3.2 - Структура функции
CDatabase::OpenEx(…)
|
Параметр
|
Описание
|
Значения
|
|
LPCTSTR
lpszConnectString
|
Строка
подключения, в которой параметры разделены знаком «;»
|
DSN
(data sourse name - имя источника данных); UID (имя пользователя); PWD
(пароль); DRIVER (драйвер ODBC)
|
|
DWORD
dwOptions
|
Набор
битовых флагов, объединенных логическим «ИЛИ»
|
CDatabase::openReadOnly
- открыть БД в режиме «только для чтения»; CDatabase::noOdbcDialog - никогда
не выводить диалог, запрашиваемый дополнительную информацию про соединение; и
т.д.
|
Класс CRecordset - класс, инкапсулирующий работу
с результирующим набором, включая переход между записями, добавление, удаление
и изменение записей, задание фильтров и выполнение параметризированных
запросов.
4. ОХРАНА ТРУДА
.1 Анализ условий труда на рабочем месте разработчиков
Разработка информационно-поисковой системы для
технологического оборудования для сборочно-монтажных работ проводится в
лаборатории. Параметры лаборатории: длинна - 4м, ширина - 6,5м, высота - 3м.
Три рабочих места, оснащенными тремя ПК, один из которых выступает сервером, и
мониторами Dell UltraSharp U2312HM. Электрическая сеть, проведенная к
лаборатории: трехфазная четырехпроводная сеть напряжением 380/220В переменного
тока, частота 50 (±1)Гц, глухо-заземленная нейтраль.
Рабочие помещение располагает оборудованием для
разработки и хранения информации, а именно: три компьютера, один из которых
выступает сервером, необходимые для полноценной разработки проекта.
Для выявления потенциально опасных вредных
производственных факторов составлена система «Человек-Машина-Среда»[14][15].
Система "Человек - Машина - Среда" (Ч
- М - С), в рамках проектирования информационно-поисковой системы для
формирования технологического оборудования для сборочно-монтажных работ в
лаборатории представлена на рис. 4.1, описание связей системы представлены в
табл.4.1.
Первым элементом системы Ч - М - С, является
"человек", условно разделим его на такие функциональные части:
Ч1 - человек, который выполняет управление ЭВМ,
проектирует информационно-поисковую систему, путем создания исходного кода
приложения (в данном случае программист-проектировщик);
Ч2 - человек, который рассматривается с точки
зрения непосредственного влияния на окружающую среду, в данном случае на
лабораторию (за счет выделения тепла, поглощения кислорода, влаговыделения и
т.д.);
Ч3 - человек, который рассматривается с точки
зрения его физиологического состояния под влиянием факторов, влияющих на него
во время проектирования информационно-поисковой системы.
Элемент "машина" выполняет основную
технологическую функцию - создание информационно-поисковой системы, путем
компилирования и непосредственного выполнения исходного кода программы,
дополнительную - формирование параметров окружающей среды. Таким образом,
элемент "машина" можно разделить на такие составляющие:
М1 - элемент, выполняющий основную
технологическую функцию;
М2 - элемент функции аварийной защиты (защита
ЭВМ от перегрева процессора, различного вида критические ошибки);
М3 - элемент влияния на окружающую среду и
человека (выделение тепла, производственный шум от кулеров и других систем
охлаждения процессоров и питания, создание вибрации, электромагнитное
излучение).
Рисунок 4.1 - Система Ч - М - С в рамках
проектирования, в лаборатории, информационно-поисковой системы
Таблица 4.1 - Перечень связей системы Ч - М - С,
страница 1
|
Номер
связи
|
Направление
связи
|
Содержание
связи
|
|
1
|
Ч1
- М1
|
Влияние
человека на управление ЭВМ, введение функций, создание исходного кода
программы, его отладки и т.д.
|
|
2
|
М1
- Ч1
|
Информация
про состояние ЭВМ, которая обрабатывается человеком (состояние памяти на
жестком диске, ОЗУ, загруженность процессора, ход процесса отладки программы
и т.д.)
|
|
3
|
М1
- ПТ
|
Влияние
ЭВМ на предмет труда, т.е. компоновка, компиляция и выполнение исходного кода
программы (формирование приложения).
|
|
4
|
ПТ
- Ч3
|
Влияние
предмета труда на психофизиологическое состояние человека, оценка приложения.
|
|
5
|
Ч3
- Ч1
|
Влияние
состояния человека на качество его труда (увеличение или уменьшение
трудоспособности, внимательности, скорости выполнения работы).
|
|
6
|
М2
- Ч3
|
Человек,
под влиянием вредных и опасных факторов ЭВМ (удар током, т.д.).
|
|
7
|
М3
- С
|
Целенаправленное
влияние ЭВМ на среду (повышение температуры, создание шумов, т.д.).
|
|
8
|
С
- Ч3
|
Влияние
среды на состояние организма человека (нехватка кислорода, тепло и т.д.).
|
|
9
|
С
- М1
|
Влияние
среды на работу ЭВМ (нагрев процессора из-за высокой температуры воздуха,
повышенной запыленности и т.д.).
|
|
10
|
Ч1
- М2
|
Влияние
человека на аварийное состояние ЭВМ (завершение работы с ЭВМ, освобождение
памяти, снижение загруженности процессора и т.д.).
|
|
11
|
Ч2
- С
|
Влияние
человека как биологического объекта на среду (выделение тепла, поглощение
воздуха и т.д.).
|
|
12
|
Ч3
- Ч2
|
Влияние
психофизиологического состояния на степень интенсивности обмена веществ между
организмом, средой и энерговыделением человека
|
|
13
|
М1
- М2
|
Информация,
необходимая для формирования аварийного сигнала, получаемая с датчиков
процессора, счетчиков, таймеров и т.д.
|
|
М2
- М1
|
Аварийно-управляющее
влияние (аварийное отключение ЭВМ, подача звуковых сигналов, выведение
информации о аварийном состоянии на экран монитора и т.д.).
|
|
14
|
С
- Ч1
|
Влияние
среды на человека, путем изменения качества его труда (увеличение или
уменьшение усталости, трудоспособности и т.д.).
|
При анализе системы «Ч-М-С» в помещении можно
выделить следующие потенциально опасные вредные производственные факторы по
ГОСТ 12.0.003-74: - физические - повышенное напряжение в электрической сети,
повышенная температура в помещении, недостаточная освещенность, повышенный
уровень шума на рабочем месте, повышенная или пониженная влажность воздуха,
повышенная или пониженная подвижность воздуха, повышенная запыленность воздуха
рабочей зоны;
психофизиологические - перегрузки организма
работника (статические), перенапряжение зрительных анализаторов.
В лаборатории потенциально опасные химические и
биологические производственные факторы не выявлены. В результате анализа,
доминирующим вредным фактором определено повышенная температура воздуха рабочей
зоны. У человека ослабляется внимание, ухудшается память, за короткий срок
наступает переутомление, усталость, что приводит к значительному снижению
производительности труда и росту количества ошибок в работе.
.2 Промышленная безопасность в лаборатории
Лаборатория для проектирования и разработки
информационно-поисковой системы для формирования технологического оборудования
для сборочно-монтажных работ относится к помещениям без повышенной опасности
поражения людей электрическим током согласно НПАОП 40.1-1.21-98. Так как нет
условий, создающие повышенную или особую опасность: сырость (влажность более 75
%), токопроводящие полы, высокая температура (выше 35 °С). В помещении
находится электрощит, на котором установлено устройство токовой защиты. Все
розетки имеют предупреждающий надпись «220В». С рабочими проводятся инструктажи
по охране труда согласно НПАОП 0.00-4.12-05.
Помещение имеет устройство защитного отключения
электросети УЗИ типа В, которое срабатывает при вытекание тока. С целью
автоматического отключения при пробое на корпус поврежденного участка
применяется зануление, то есть соединение открытых проводящих частей
электроустановок, не находящихся в нормальном состоянии под напряжением, с
глухозаземлённой нейтральной точкой генератора или трансформатора, в сетях
трёхфазного тока. Данное помещение оснащено аптечкой.
Раз в год, в качестве профилактических защитных
средств, проводится контроль изоляции электросети (норма сопротивления изоляции
не менее 0,5 МОм согласно НПАОП 40.1-1.21-98).
.3 Производственная санитария в лаборатории
Рабочая деятельность, проводимая в лаборатории,
относится к лёгким физическим работам категории 1а по ГОСТ - 12.1.005-88.
Оптимальные параметры микроклимата по ДСН-3.3.6.042-99 представлены в таблице
4.2.
Таблица 4.2 - Оптимальные параметры микроклимата
|
Параметры
|
Холодный
период
|
Теплый
период
|
|
Температура
воздуха, ˚С
|
22-24
|
23-25
|
|
Относительная
влажность воздуха, %
|
60-40
|
60-40
|
|
Скорость
движения воздуха, м/с
|
до
0,1
|
При обеспечении оптимальных показателей
микроклимата, температура внутренних поверхностей конструкций, которые
ограждают рабочую зону (стен, полов, потолка и т.д.), или устройств, а так же
температура поверхностей технологических установок или поверхностей, которые их
ограждают, не должно выходить больше чем на 2 °С за рамки оптимальных значений
температуры воздуха.
Повышенная температура на рабочем месте
приводит:
к физической перегрузке тела человека;
к замедлению реакции;
к ухудшению умственной деятельности;
к нарушению водно-солевого обмена в организме;
к быстрому утомлению.
Что бы выбрать оборудование, для обеспечения
нужной температуры лаборатории, рассчитаем продуктивность вентиляционной
системы по формуле:

, (4.1)
где L - продуктивность
вентиляционной системы, 
/ч;
К - кратность воздухообмена;- объем
помещения, 
.
Найдем объем помещения по формуле:

, (4.2)
где а - длинна помещения, м;- ширина помещения,
м;- высота помещения, м.
Подставив значения в (4.2) получим:

.
Кратность воздухообмена для офиса
(лаборатории), в соответствии с СНИП 2.04.0591*У, равна 2,5.
Подставив полученные значения в
(4.1) получим:

.
То есть, продуктивность
вентиляционной системы должна составлять 195 м3/т
.
Недостаточность освещения приводит к
напряжению зрения, ослабляет внимание, приводит к наступлению преждевременной
утомленности. Чрезмерно яркое освещение вызывает ослепление, раздражение и резь
в глазах.
В нашем помещении используется
восемь светильников ПВЛМ, в каждом 4 лампы по 20 Ватт.
Уровень общего искусственного освещения
помещения можно проверить с помощью метода удельной мощности.
Расчетная формула метода

, (4.3)
где W - удельная мощность, Вт/мІ;

- общая мощность осветительной
установки, Вт;- площадь помещения, мІ.
Найдем общую мощность осветительной
установки по формуле:

, (4.4)
где
- мощность одного светильника, Вт;
- количество светильников в
помещении.
Подставив значения в (4.4) получим:

Вт.
Подставив значения в (4.3) получим:

Вт/мІ.
Исходя из результатов можно сказать,
что удельная мощность для помещения соответствует уровню освещенности в 500
люкс и удовлетворяют требованиям ДБН В.2.5-28-2006 для естественного и
искусственного освещения.
Для обеспечения допустимых уровней шума на
рабочих местах применены звукопоглощающее покрытия стен и потолка.
Присутствующие источники шума (внутренняя вентиляция ЭВМ, использование кондиционеров)
удовлетворяют требованиям ДСН 3.3.6.037-99 по уровню шума и не превышают 50 дБ.
4.4 Пожарная безопасность лаборатории
Лаборатория по степени пожаровзрывоопасности
производства относится к категории В по НАПБ Б.03.002-2007. По степени огнестойкости
здание относится к степени I по ДБН В.1.1.7-2002. Помещение
лаборатории относится к классу П - IIа по НПАОП 40.1-1.01-97.
К основным возможным причинам возникновения
пожаров относятся:
а) неосторожное обращение с огнем;
б) поджоги;
в) нарушение правил эксплуатации
оборудования и электроприборов;
г) нарушение правил эксплуатации ЭВМ;
д) неисправность производственного
оборудования.
С целью предупреждения пожара проводится ряд
технических и организационных мероприятий, направленных на соблюдение установленного
режима эксплуатации электрической сети, оборудование и соблюдение правил
пожарной профилактике.
Помещение отдела оснащено:
двумя датчиками дыма «Страж М-501» (рассчитан на
площадь до 20 мІ, а площадь лаборатории 26 м2), согласно ДБН
В.2.5-11-98 реагируют на появление дыма (с помощью инфракрасного излучателя и
фотоприемника);
углекислым переносным огнетушителем типа ВВК-2
емкостью 3 л (2 кг) из расчета один огнетушитель на три ПЭВМ, то не обходимо
два огнетушителя.
Были приняты следующие организационные меры:
назначено ответственного в помещении за пожарную
опасность (одного из 5 разработчиков);
вопросы пожарной профилактики включены в
инструктаж по технике безопасности и пожарной безопасности;
запрещено курить в помещении, а также
использование нестандартных (самодельных) электроприборов.
В помещении эвакуация людей, в случае аварийной
ситуации, совершается через единственные выходные (входные) двери.
Наличие дополнительного эвакуационного выхода не
предвидено, согласно ДБН В.1.1.7-2002, так как в помещении работает три
человека, а расстояние от наиболее удаленного рабочего места до выхода не
превышает 25 м.
автоматизация поисковый программа
монтажный
ВЫВОДЫ
В ходе выполнения бакалаврской квалификационной
работы было проанализировано техническое задание, а именно основные виды и
параметры для формирования технологического оборудования для сборочно-монтажных
работ. После этого была разработана информационная структура, физическая и
логическая модели БД, спроектирована и разработана информационно-поисковая
система.
Рассмотрены основные виды технологического
оборудования для сборочно-монтажных работ и требования к ним.
Выделены основные параметры для технологического
оборудования, такие как: производительность, выход годных изделий, удельная
материалоемкость, удельная энергоемкость, потребляемая мощность, управляемые
параметры (температура, скорость перемещения механизмов, точность
позиционирования, объем накопителей и т.п.), точность поддержания параметров,
диапазон измерения параметров, характеристики и параметры интерфейсов, метод
программирования, вид идентификации, наличие средств технической диагностики,
время выхода на рабочий режим. Которые впоследствии стали ключевыми полями
информационно-поисковой системы.
В качестве системы управления базами данных
(СУБД), для данного дипломного проекта, была выбрана СУБД MS Access, так как
она является реляционной СУБД с небольшим количеством пользователей (100
пользователей), с средним уровнем БД (до 1 Гб), проста в проектировании,
реализации и использовании БД, имеющая мощную систему управления в БД.
В качестве языка программирования, для данного
дипломного проекта, был выбран компилируемый статически типизированный язык
программирования общего назначения С++. C++ - чрезвычайно мощный язык,
содержащий средства создания эффективных программ практически любого
назначения, от низкоуровневых утилит и драйверов до сложных программных
комплексов самого различного назначения. Доступны компиляторы для большого
количества платформ, на языке C++ разрабатывают программы для самых различных
платформ и систем. Язык спроектирован так, чтобы дать программисту максимальный
контроль над всеми аспектами структуры и порядка исполнения программы. Ни одна
из языковых возможностей, приводящая к дополнительным накладным расходам, не
является обязательной для использования - при необходимости язык позволяет
обеспечить максимальную эффективность программы.
В качестве среды разработки приложения базы
данных был выбран Microsoft Visual Studio 2010. Так как, в настоящее время
среда Visual Studio самой высокой производительностью. Visual Studio 2010
обеспечивает возможность создания разнообразных приложений на основе одного
набора навыков, предоставляет средства для создания быстрого и эффективного
исходного кода, а также предоставляет средства для работы с БД, в частности с
БД созданными при помощи MS Access.
В результате выполнения бакалаврской
квалификационной работы разработано программное обеспечение, которое позволяет
автоматизировать процесс сбора, хранения, использования данных, предоставляет
разделение доступа к данным и операций с ними, повышает безопасности хранения
информации от угроз несущих стохастический характер.
ПЕРЕЧЕНЬ ССЫЛОК
1. Хауштайн Х. Гибкая автоматизация
[Текст] / Х. Хауштайн - М.:Прогресс, 1990. - 358с.
. ГОСТ 50139-92. Оборудование
технологическое для сборочно-монтажного производства радиоэлектронных средств.
Общие технические условия.
. Медведев А. Технология
производства печатных плат [Текст] / А. Медведев - М.: Техносфера, 2005. - 360
с.
4. Цимбал О.М. Методичні
вказівки до випускної кваліфікаційної роботи рівня «Бакалавр» для студентів
усіх форм навчання спеціальності 8.091402 “Гнучкі комп’ютеризовані системи та
робототехніка” [Текст] : навч. посібник. / О.М. Цимбал -
Харків: ХНУРЕ. - 2008. - 48 с.
. Фуллер Л. Access 2010 для чайников
[Текст] / Л. Фуллер, К. Кен - М.: Диалектика, 2010. - 384 с.
. Элисон Б. Microsoft Office Access
2007: профессиональное программирование [Текст] / Б. Элисон - М.: Вильямс,
2008. - 1296 с.
. Шилдт Г. С++: базовый курс, 3-е
издание [Текст] / Шилдт Г. - М.: Вильямс, 2012. - 624 c.
8. Цимбал О.М. Технології
програмування: Visual C++ [Текст] / О.М. Цимбал - Харків:
ХНУРЕ, 2006. - 336 с.
. Хортон А. Microsoft Visual C++
2005: базовый курс [Текст] / А. Хортон - М.: Диалектика, 2007. - 1152 с.
. Страуструп Б. Дизайн и эволюция
C++ [Текст] / Б. Страуструп - СПб.: Питер, 2007. - 445 с.
. Макки А. Введение в .NET 4.0 и
Visual Studio 2010 [Текст] / А. Макки - М.: Вильямс, 2010. - 416 с.
. Рендольф Н. Visual Studio 2010 для
профессионалов [Текст] / Н. Рендольф, Д. Гарднер, Минутилло М, Андерсон К. -
М.: Диалектика, 2011. - 1184 с.
. Неббет Г. Справочник по базовым
функциям API [Текст] / Г. Неббет - М.: Вильямс,
2002. - 528 c.
. Дзюндзюк Б.В. Охорона праці.
Збірник задач [Текст]: навч. посібник. / Б.В. Дзюндзюк, В.Г. Іванов - Харків:
ХНУРЕ, 2012. - 53c.
. Методичні вказівки до
виконання розділу «Охорона праці» у випускних роботах ОКР «бакалавр» усіх форм
навчання [Текст] / Упоряд.: Б.В. Дзюндзюк, В.А. Айвазов, Т.Є. Стиценко. -
Харків: ХНУРЕ, 2012. - 28 с.
16. Жилмер Д. C++ и STL: справочное
руководство [Текст] / Д. Жимлмер, Д. Мюссер, А. Сейни. - 2-е издание. - М.:
Вильямс, 2010. - 432 c.
. Либерти Д. Освой самостоятельно
C++ за 24 часа [Текст] / Д. Либерти, Д. Хорват - М.: Вильямс, 2007. - 448 с.
. Стефенс Д. C++. Сборник рецептов
[Текст] / Д. Стефенс - M.: КУДИЦ-ПРЕСС, 2007. - 624 с.
. Страуструп Б. Язык
программирования [Текст] / Б. Страуструп - М.: Невский диалект - Бином, 1999.
. Страуструп Б. Язык
программирования C++. Специальное издание [Текст]/ Б. Страуструп - М.:
Бином-Пресс, 2007. - 1104 с.
. Страуструп Б. Программирование:
принципы и практика использования C++ [Текст] / Б. Страуструп - М.: Вильямс,
2011. - 1248 c.
ПРИЛОЖЕНИЕ А
Интерфейс информационно-поисковой системы
Рисунок А.1 - Окно «Авторизация»
информационно-поисковой системы
Рисунок А.2 - Главное окно
информационно-поисковой системы
Рисунок А.3 - Окно «Просмотр записей БД»
информационно-поисковой системы
Рисунок А.4 - Окно «Просмотр пользователей»
информационно-поисковой системы
Рисунок А.5 - Окно «Просмотр графиков»
информационно-поисковой системы
Рисунок А.6 - Окно «Помощь»
информационно-поисковой системы
ПРИЛОЖЕНИЕ Б
Руководство пользователя
АННОТАЦИЯ
Данный документ в виде руководства пользователя,
содержит главные сведения о назначении программы (программного модуля), об
условиях выполнения программы, порядке выполнения программы, аварийных
ситуациях программы.
Пользователь, руководствуясь данным программным
документом, может, получит краткое описание работы с программным продуктом.
СОДЕРЖАНИЕ
1 Назначение
программного средства
Условия
использования программы
Начало работы
1. НАЗНАЧЕНИЕ ПРОГРАММНОГО СРЕДСТВА
Данный программный модуль (программное
обеспечение) предназначено для автоматизации процесса хранения, использования,
редактирования информации о технологическом оборудовании для сборочно-монтажных
работ.
Программный модуль реализует следующие функции:
просмотр данных по каждому отдельному
пользователю;
просмотр графиков сравнения нескольких
технологических оборудований;
удобный поиск по записям в БД;
хранение всей базы данных в удобной форме;
программа рассчитана на пользователей без
предварительной подготовки по обучению администрирования данного модуля,
программный интерфейс прост и понятен на интуитивном уровне.
. УСЛОВИЯ ИСПОЛЬЗОВАНИЯ ПРОГРАММЫ
Разработанная программа работает под управлением
операционной системы Windows 7. Нормальная работа программы достигается при
использовании операционных систем: Windows Vista/XP/2003 Server и выше.
Для обеспечения полноценной работы программного
разработанного программного модуля должны учитываться следующие минимальные
предъявляемые для программного и аппаратного обеспечения:
тактовая частота процессора, не ниже 1000 МГц;
объем оперативной памяти, не менее 128 Мб;
объем жесткого диска 128 Мб;
монитор цветной с разрешением, не ниже 800 х
600;
наличие манипулятора типа «мышь»;
наличие драйвера ODBC и драйвера для MS Access.
. НАЧАЛО РАБОТЫ
Для начала работы необходимо, что бы драйвер
ODBC был установлен на ЭВМ.
Зайти в том жесткого диска, где установлена ОС
Windows, в папку Windows/SysWow64 и открыть файл odbcad.exe. Перейти во вкладку
«Пользовательский DSN» и нажать кнопку «Добавить». Выбрать драйвер Microsoft
Access Driver, предав ему имя «MS Access Database» и выбрав файл
Database.accdb.
Запустить приложение «4aData.exe».
Пройти авторизацию пользователя, предварительно
зарегистрировав новую запись у администратора.
Для просмотра записей и графических зависимостей
необходимо выбрать соответствующие пункты меню.
Для редактирования, удаления, добавления записей
и/или информации о пользователях необходимо войти в программу с правами
администратора.
В случае возникновения трудностей работы в
программе необходимо воспользоваться пунктом меню «Помощь» вкладка
«Руководство» или нажав соответствующую кнопку на панели инструментов.
ПРИЛОЖЕНИЕ В
Фрагмент текста программы
//App.h
#include <afxwin.h>
#include <afxcmn.h>
#include "4Data.h"
#include "resource.h"CApp
: public CWinApp {:InitInstance();
};CMainWindow : public CFrameWnd
{m_TB;bmp1;my_menu;:(LPCSTR);OnPaint();OnOpen();OnClose();OnForget();OnAUsers();OnShow();OnHide();OnGraf();OnHelp();OnSize(UINT
How, int Width, int Height);InitToolBar();OnTTip(UINT idNotUsed,NMHDR
*hdr,LRESULT *ResultNotUsed);_MESSAGE_MAP()
};CDialogAuto : public CDialog
{:*LoginEd,*PasswordEd;*admin,*user,*remember;LoginCS,PasswordCS;:OnInitDialog();OnLogin();OnClose();OnChar(UINT
nChar, UINT nRepCnt, UINT nFlags);(UINT id,CWnd
*Owner):CDialog(id,Owner){};_MESSAGE_MAP()
};CDialogUsers : public
CDialog{:*IdEd,*LoginEd,*PasswordEd;*NextBt, *PrevBt,*AddBt,*DeleteBt,*SubmitBt;*TypeBx;ll;string1[255],string2[255],string3[255];:OnInitDialog();ShowRecord();OnNext();OnPrev();OnAdd();OnDelete();OnSubmit();(UINT
id,CWnd *Owner):CDialog(id,Owner){};_MESSAGE_MAP()
};CDialogData : public
CDialog{:*SearchEd,
*IdEd, *NameEd, *YearEd,
*CapacityEd, *EnergyEd, *PowerEd,
*TemperatureEd, *ScopeEd,
*VelocityEd,
*MethodEd, *IdentificationEd,
*DiagnosticEd,*TimeEd;*bx;*SearchBt,*FirstBt,
*NextBt, *PrevBt, *LastBt,*DeleteBt,*AddBt,*SubmitBt;SearchCS;kk;string13[255],string2[255],string3[255],string4[255],string5[255],string6[255],[255],string8[255],string9[255],string10[255],string11[255],string12[255];:ShowRecord();OnFirst();OnNext();OnPrev();OnLast();OnSearch();OnClear();OnDelete();OnAdd();OnSubmit();OnInitDialog();(UINT
id,CWnd *Owner):CDialog(id,Owner){};_MESSAGE_MAP()
};CDialogGraf : public
CDialog{*dev1,*dev2;*UpBt;strtoselect[255],stringup1[255],stringup2[255];icapacity,icapacity1,icapacity2,,ienergy1,ienergy2,,ipower1,ipower2;CSName1,CSName2;sourceDC;:OnInitDialog();OnUp();_msg
void OnPaint();(UINT id,CWnd *Owner):CDialog(id,Owner){};_MESSAGE_MAP()
};CDialogHelp : public
CDialog{:*lb;:OnInitDialog();(UINT id,CWnd *Owner):CDialog(id,Owner){};
};
//App.cpp
#include
"App.h"rec;m_db;Data rec1;resultAutorization =
0;root;CApp::InitInstance(){brush(RGB(255,255,255));adb(IDD_DIALOG1,m_pMainWnd);.DoModal();winStyle
=
AfxRegisterWndClass(0,LoadStandardCursor(IDC_ARROW),brush,LoadStandardIcon(IDI_WINLOGO));_pMainWnd
= new CMainWindow(winStyle);_pMainWnd->ShowWindow(m_nCmdShow);_pMainWnd->UpdateWindow();(resultAutorization
== 0)m_pMainWnd->DestroyWindow();TRUE;}::CMainWindow(LPCSTR
winStyle){(winStyle,"Информационно-поисковая
система
4aData", WS_MAXIMIZE,
rectDefault);_menu.LoadMenuA(IDR_MENU1);(&my_menu);();();}CMainWindow::OnPaint(){sourceDC;targetDC(this);.CreateCompatibleDC(&targetDC);.LoadBitmapA(IDB_BITMAP1);.SelectObject(&bmp1);.BitBlt(300,150,400,300,&sourceDC,0,0,SRCCOPY);
}_MESSAGE_MAP(CMainWindow,CFrameWnd)_COMMAND(ID_FILE_OPEN40001,OnOpen)_COMMAND(ID_FILE_CLOSE40002,OnClose)_COMMAND(ID_40003,OnForget)_COMMAND(ID_APP_ABOUT,OnAUsers)_COMMAND(ID_BUTTON40008,OnOpen)_COMMAND(ID_BUTTON40009,OnClose)_COMMAND(ID_BUTTON40010,OnHelp)_COMMAND(ID_40011,OnGraf)_COMMAND(ID_BUTTON40012,OnGraf)_COMMAND(ID_BUTTON40013,OnAUsers)_COMMAND(ID_40014,OnHelp)_WM_CLOSE(OnClose)_WM_PAINT()_WM_SIZE()_NOTIFY_RANGE(TTN_NEEDTEXT,0,IDR_TOOLBAR1,OnTTip)_MESSAGE_MAP()CMainWindow::OnGraf(){gf(IDD_DIALOG4,this);.DoModal();
}CMainWindow::OnHelp(){CDialogHelp
help(IDD_DIALOG5,this); help.DoModal();}CMainWindow::OnSize(UINT How, int
Width, int Height){//m_TB.AutoSize();
}CMainWindow::OnShow(){m_TB.ShowWindow(SW_RESTORE);}CMainWindow::OnHide(){m_TB.ShowWindow(SW_HIDE);}CMainWindow::InitToolBar(){r;.left
= r.top = r.right = r.bottom = 0;_TB.Create(WS_VISIBLE|WS_CHILD|WS_BORDER|TBSTYLE_TOOLTIPS,r,this,IDR_TOOLBAR1);tbButton[5];[0].iBitmap=0;[0].idCommand=ID_BUTTON40008;[0].fsState
= TBSTATE_ENABLED;[0].fsStyle = TBSTYLE_BUTTON;[0].dwData = 0;[0].iString =
0;[1].iBitmap=1;[1].idCommand=ID_BUTTON40009;[1].fsState =
TBSTATE_ENABLED;[1].fsStyle = TBSTYLE_BUTTON;[1].dwData = 0;[1].iString =
0;[2].iBitmap=2;[2].idCommand=ID_BUTTON40010;[2].fsState =
TBSTATE_ENABLED;[2].fsStyle = TBSTYLE_BUTTON;[2].dwData = 0;[2].iString =
0;[3].iBitmap=3;[3].idCommand=ID_BUTTON40012;[3].fsState =
TBSTATE_ENABLED;[3].fsStyle = TBSTYLE_BUTTON;[3].dwData = 0;[3].iString =
0;[4].iBitmap=4;[4].idCommand=ID_BUTTON40013;[4].fsState =
TBSTATE_ENABLED;[4].fsStyle = TBSTYLE_BUTTON;[4].dwData = 0;[4].iString =
0;_TB.AddButtons(5,tbButton);_TB.AddBitmap(5,IDR_TOOLBAR1);
}CMainWindow::OnTTip(UINT
idNotUsed,NMHDR *hdr,LRESULT *ResultNotUsed){(hdr->idFrom)
{ID_BUTTON40008:
((TOOLTIPTEXT*)hdr)->lpszText
="Открыть";
break;ID_BUTTON40009:
((TOOLTIPTEXT*)hdr)->lpszText
="Выход";
break;ID_BUTTON40010:
((TOOLTIPTEXT*)hdr)->lpszText
="Помощь";
break;ID_BUTTON40012:
((TOOLTIPTEXT*)hdr)->lpszText
="График
сравнения";
break;ID_BUTTON40013:
((TOOLTIPTEXT*)hdr)->lpszText
="Управление
пользователями";
break;
}
}CMainWindow::OnAUsers(){(root != 1)
{MessageBox("У вас нет прав администратора!","Ошибка
доступа");}
else { CDialogUsers
users(IDD_DIALOG3,this); users.DoModal();}
}CMainWindow::OnOpen(){appd(IDD_DIALOG2,this);.DoModal();
}CMainWindow::OnClose(){i =
MessageBox("Вы хотите
закрыть
программу","Выход",MB_ICONQUESTION|MB_YESNO);(i
== IDYES)DestroyWindow();
}CMainWindow::OnForget(){.MoveFirst();
{(rec.m_Remember
==1){MessageBox("Логин и
пароль
забыты!");rec.Edit();rec.m_Remember=
0; rec.Update();}.MoveNext();
}(!rec.IsEOF());
}_MESSAGE_MAP(CDialogGraf,CDialog)_COMMAND(IDC_BUTTON1,OnUp)_WM_PAINT()_MESSAGE_MAP()CDialogGraf::OnInitDialog(){.Close();.Open(CRecordset::dynaset,"SELECT
* FROM Device");::OnInitDialog();= (CComboBox*)GetDlgItem(IDC_COMBO1);=
(CComboBox*)GetDlgItem(IDC_COMBO2);{->AddString(rec1.m_NameDevice);->AddString(rec1.m_NameDevice);
rec1.MoveNext();
}
while(!rec1.IsEOF());->SetCurSel(0);
dev2->SetCurSel(1);
UpBt =
(CButton*)GetDlgItem(IDC_BUTTON1);TRUE;}
......app;