Прогнозирование в регрессионных моделях

  • Вид работы:
    Контрольная работа
  • Предмет:
    Менеджмент
  • Язык:
    Русский
    ,
    Формат файла:
    MS Word
    447,91 Кб
  • Опубликовано:
    2016-01-08
Вы можете узнать стоимость помощи в написании студенческой работы.
Помощь в написании работы, которую точно примут!

Прогнозирование в регрессионных моделях















Прогнозирование в регрессионных моделях

Содержание

Введение

Глава 1. Сущность прогнозирования

.1 Понятие прогнозирования и его особенности

1.2    Точечное и интервальное прогнозирование

.3      Условное и безусловное прогнозирование

1.4 Прогнозирование при наличии авторегрессии ошибок

Глава 2.Пример построения прогноза по эконометрической модели

.1 Точечное и интервальное прогнозирование, основанное на модели линейной регрессии

Заключение

Библиографический список

Введение

Процесс прогнозирования достаточно актуален в настоящее время. Широка сфера его применения. Прогнозирование широко используется в экономике. Прогнозирование позволяют управлять массовыми экономическими явлениями и процессами и предвидеть их развитие.

В современном быстро меняющемся мире, когда рыночная конкуренция становится все более жесткой, основной проблемой для предприятий является проблема выживания и обеспечения развития. В наши дни ни одно предприятие не может обойтись без прогнозирования и планирования своей дальнейшей деятельности. В условиях ожесточенной конкурентной борьбы, особенно на мировом рынке, уже недостаточно только поддержания высокого качества реализуемой продукции. Необходимы тщательный учет специфики требований потребителей в различных странах, анализ деятельности основных фирм-конкурентов, широкая рекламная компания, выбор оптимальных форм и методов сбыта, т.е. деятельность предприятия необходимо планировать и прогнозировать.

Современные условия рыночного хозяйствования предъявляют к методам прогнозирования очень высокие требования, в виду все возрастающей важности правильного прогноза для судьбы предприятия, да и экономики страны в целом.

Прогнозирование следует рассматривать как важнейшую функцию управления любой экономической системой, в том числе экономикой рыночного типа, поскольку формирование рыночных отношений связано с предпринимательской деятельностью, стратегического менеджмента и систем прогнозирования.

Прогнозирование является важным связующим звеном между теорией и практикой во всех областях жизни общества.

Обычно термин «прогнозирование» используется в тех ситуациях, когда требуется предсказать состояние системы в будущем. Для регрессионных моделей он имеет более широкое значение. Данные могут не иметь временной структуры, но и в этих случаях вполне может возникнуть задача оценить значение зависимой переменной для некоторого набора независимых, объясняющих переменных, которых нет в исходных наблюдениях. Именно в этом смысле - как построение оценки зависимой переменной - и следует понимать прогнозирование в эконометрике.

Общественные явления находятся не только во взаимной связи, но и в непрерывном движении, изменении, развитии - именно это обусловливает необходимость прогнозирования.

Предметом прогнозирования в сфере является система, воспроизводящая объект исследования так, что на ее основе могут быть изучены структура и размещение социально-экономических явлений, их изменения во времени, связи зависимости.

Объектом прогнозирования является модель, интересующая исследователя.

Целью курсовой является выявление перспектив ближайшего будущего в области потребления домохозяйством в зависимости от располагаемого дохода и установление основных тенденций развития.

Для достижения поставленной цели представляется необходимым в рамках данной работы решение следующих задач:

.        Определить понятие «прогнозирование» и исследовать его особенности.

.        Рассмотреть точечное и интервальное, условное и безусловное прогнозирование.

.        Проанализировать прогнозирование при наличии авторегрессии ошибок.

.        Провести точечное и интервальное прогнозирование, основанное на модели линейной регрессии.

Глава 1. Сущность прогнозирования

1.1 Понятие прогнозирования и его особенности

Прогнозирование - это вид познавательной деятельности человека, направленной на формирование прогнозов развития объектов, на основе анализа тенденций и закономерностей его развития.

Прогнозирование - это научное, основанное на системе установленных причинно-следственных связей и закономерностей, выявление состояния и вероятностных путей развития явлений и процессов.

Оно предопределяет оценку показателей и дает характеристику явлений и процессов в будущем. Прогнозирование распространяется на такие процессы управления, которые в момент выработки прогнозов можно определить в весьма малом диапазоне, либо совсем невозможно, либо возможно, но требует учета действия таких факторов, влияние которых не может быть полностью или однозначно определено.[5]

Прогнозирование определяет реальность и благоприятность для хозяйственной структуры поставленных перед ней целей. Разумеется, что некоторые приемы и средства прогнозирования применяются и в процессе определения целей, особенно долгосрочных, но при выборе целей и определении степени их достижения главную роль играют субъективные факторы, в то время когда прогноз опирается на объективные процессы и явления.

Прогноз носит вероятностный характер, но обладает определенной достоверностью. Прогноз на практике - это предплановый документ, фиксирующий вероятную степень достижения поставленной цели в зависимости от масштаба и способа будущих действий

Задачи прогнозирования связаны с тем, что прогноз, помимо анализа возможностей, является основой для разработки стратегии, планирования и управления предприятием.

Прогноз должен определять:

основные технические и организационно-экономические проблемы и сроки их решения;

материалы, технологические процессы и оборудование, предназначенные для изготовления новой перспективной и традиционной продукции;

ожидаемые объемы производства продукции у конкурентов и потребность в ней на рынках;

ожидаемую себестоимость разработки и производства этой продукции;

- мощность предприятия, необходимую для разработки и изготовления новой продукции;

- потребность в трудовых ресурсах с учетом изменения их структуры, квалификации и ожидаемого роста производительности труда. Прогноз должен включать:

краткий анализ развития прогнозируемого направления производства и характеристику его современного состояния;

выявление перспективных технических и экономических проблем, уже решенных, но не получивших практического применения;

оценку важности проводящихся исследований, требующих внимания и затрат для решения будущих проблем.[4]

Прогнозы можно подразделять в зависимости от целей, задач, объектов, времени упреждения, методов организации прогнозирования, источников информации и т. д. Большое количество таких признаков и отсутствие их строго определенных характеристик затрудняют создание единой классификации. [1]

Выбор методов прогнозирования осуществляется в соответствии с характером объекта, требований, предъявляемых к информационному обеспечению, а также на основе сравнения эффективности и оптимальности решения аналогичных задач. Отличительной чертой социально-экономических явлений и процессов является инерционность, проявляющаяся, с одной стороны в сохранении взаимосвязей прогнозируемого явления с другими явлениями , а с другой - в сохранении тенденции во времени.[5]

Проблема прогнозирования имеет много различных аспектов. Можно различать точечное и интервальное прогнозирование. В первом случае оценка - это конкретное число, во втором -интервал, в котором истинное значение переменной находится с заданным уровнем доверия. Выделяют также безусловное и условное прогнозирование в зависимости от того, известны ли интересующие нас объясняющие переменные точно или приближенно. Кроме того, для временных рядов при нахождении прогноза существенно наличие или отсутствие корреляции по времени между ошибками.

1.2Точечное и интервальное прогнозирование

В прогнозных расчетах по уравнению регрессии определяется предсказываемое (уp) значение как точечный прогноз  при хpk, т. е. путем подстановки в уравнение регрессии соответствующего значения х. Однако точечный прогноз явно не реален. Поэтому он дополняется расчетом стандартной ошибки , т. е. и соответственно интервальной оценкой прогнозного значения (у*)

 -<у*< +  (1.1)

Чтобы понять, как строится формула для определения величин стандартной ошибки , обратимся к уравнению линейной регрессии:

  (1.2)

Подставим в это уравнение выражение параметра b1:

b1= -b0

тогда уравнение регрессии примет вид:

 = -b0+b0 x=+b0(x-) (1.3)

Отсюда вытекает, что стандартная ошибка  зависит от ошибки  и ошибки коэффициента регрессии b0, т. е.

2 = (1.4)

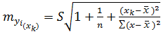
Из теории выборки известно, что  . Используя в качестве оценки σ2 остаточную дисперсию на одну степень свободы S2, получим формулу расчета ошибки среднего значения переменной у:

 (1.5)

Ошибка коэффициента регрессии, как уже было показано, определяется формулой

(1.6)

Считая, что прогнозное значение фактора хpk, получим следующую формулу расчета стандартной ошибки предсказываемого по линии регрессии значения, т. е.

= (1.7)

Соответственно имеет выражение:

 (1.8)

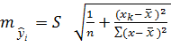
Рассмотренная формула стандартной ошибки предсказываемого среднего значения у при заданном значении хk характеризует ошибку положения линии регрессии. Величина стандартной ошибки как видно из формулы, достигает минимума при хк =, и возрастает по мере того, как «удаляется» от  в любом направлении. Иными словами, чем больше разность между хк и х, тем больше ошибка с которой предсказывается среднее значение у для заданного значения хk. Можно ожидать наилучшие результаты прогноза, если признак- фактор х находится в центре области наблюдений х и нельзя ожидать хороших результатов прогноза при удалении хк от . Если же значение хк оказывается за пределами наблюдаемых значений х, используемых при построении линейной регрессии, то результаты прогноза ухудшаются в зависимости от того, насколько хк отклоняется от области наблюдаемых значений фактора х.

Фактические значения у варьируют около среднего значения Индивидуальные значения у могут отклоняться от  на величину случайной ошибки ε , дисперсия которой оценивается как остаточная дисперсия на одну степень свободы S2. Поэтому ошибка предсказываемого индивидуального значения у должна включать не только стандартную ошибку , но и случайную ошибку S.

Рис. 1 Доверительный интервал линии регрессии: а - верхняя доверительная граница; б - линия регрессии; в - доверительный интервал для при хк; г - нижняя доверительная граница

Средняя ошибка прогнозируемого индивидуального значения у  составит:

 (1.9)

При прогнозировании на основе уравнения регрессии следует помнить, что величина прогноза зависит не только от стандартной ошибки индивидуального значения у, но и от точности прогноза значения фактора х. Его величина может задаваться на основе анализа других моделей исходя из конкретной ситуации, а также из анализа динамики данного фактора. Рассмотренная формула средней ошибки индивидуального значения признака у() может быть использована также для оценки существенности различия предсказываемого значения исходя из регрессионной модели.[6]

1.3 Условное и безусловное прогнозирование

 

Безусловное прогнозирование

Термин безусловное прогнозирование означает, что вектор независимых переменных xn+i известен точно.

Пусть есть еще один набор xn+1 = (хn+1,1,..., xn+1,k)' объясняющих переменных и известно, что соответствующая зависимая переменная удовлетворяет модели у=Хβ+ε , т.е.

Уn+1 = х'n+1β+εn+1 (2.0)

где , Eεn+1= 0, V(εn+1) = σ2 , и случайная величина εn+1 не коррелирована с ε . Требуется по (у,Х,xn+1) оценить yn+1. Подчеркнем, что в данном случае надо построить оценку не параметра, а случайной величины.

Предположим, что мы знаем значения параметров β и σ2 . Тогда естественно в качестве оценки ŷ n+1= ŷ величины yn+1 взять Е (yn+1) = x'n+1β. Среднеквадратичная ошибка такого прогноза есть E(yn+1 -ŷ)2 = Е(ε2n+1) = σ2.

Пусть параметры β и σ2 неизвестны, что, как правило, и бывает на практике. Обозначим  и s2 их МНК-оценки на основании модели у=Хβ+ε:  = (Х'Х)-1Х'у, s2 = е'е/(n - к). Возьмем в качестве оценки уn+1 величину

 

ŷ =x'n+1 β (2.1)

Нетрудно проверить, что поскольку Е  = β, то Е ŷ = Еуn+1, т.е. оценка ŷ является несмещенной. Оказывается, в классе линейных (по у) несмещенных оценок она обладает наименьшей среднеквадратичной ошибкой.[3]

Нетрудно проверить, что среднеквадратичная ошибка прогноза есть

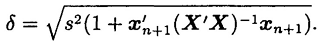
Е(ŷn+1)2 = σ2(1+ x'n+1 (Х'X)-lxn+1). (2.2)

Заменим σ2 на ее оценку s2 и обозначим

 

Получаем, что если ошибки (ε,εn+1) имеют совместное нормальное распределение, то случайная величина (ŷ -yn+1)/δ имеет распределение Стьюдента с n- к степенями свободы. Поэтому доверительным интервалом для yn+1 с уровнем доверия α будет интервал (ŷ - δ tα, ŷ - δ tα) где tα - двусторонняя α -квантиль распределения Стьюдента с n - к степенями свободы.

Можно показать, что в случае парной регрессии, т. е. когда система у=Хβ+ε имеет вид

yt = β12xt + εt t= 1,. . .,n,

формула (2.2) выглядит так:

  (2.3)

где x=1/n ∑xt . Из (2.3) следует, что среднеквадратичная ошибка

прогноза минимальна при xn+1=  , и чем дальше xn+1 от  , тем шире соответствующий доверительный интервал (см. рис. 2).

Рис. 2 доверительный интервал

Условное прогнозирование

В предыдущих рассуждениях мы предполагали, что независимая переменная xn+1 известна точно. Однако на практике встречаются ситуации, когда в xn+1 содержатся ошибки. Так, при прогнозировании временных рядов часто приходится прогнозировать значения независимых переменных, что неизбежно приводит к отклонениям от истинных значений. Поэтому рассмотрим задачу условного прогнозирования. Пусть выполнены соотношения у=Хβ+ε и (2.0), но вектор xn+1 наблюдается с ошибкой

z = xn+1+ u, (2.4)

где u - k х 1 случайный вектор, не зависящий от (ε,εn+1).

Прогноз (2.1) заменяется теперь на

ŷ = z' .   (2.5)

Пусть е = ŷ- yn+1 - ошибка прогнозирования. Тогда

Ее = Е(z' ) - x'n+1 β = Е[(xn+1 + u)'] - x'n+1 β

= Е(x'n+1 ) + Е(u' )- x'n+1 β = 0, 

Похожие работы на - Прогнозирование в регрессионных моделях

 

Не нашли материал для своей работы?
Поможем написать уникальную работу
Без плагиата!
Без нейросетей!