Система управления как объект исследования

  • Вид работы:
    Курсовая работа (т)
  • Предмет:
    Менеджмент
  • Язык:
    Русский
    ,
    Формат файла:
    MS Word
    461,8 Кб
  • Опубликовано:
    2016-01-06
Вы можете узнать стоимость помощи в написании студенческой работы.
Помощь в написании работы, которую точно примут!

Система управления как объект исследования













КУРСОВАЯ РАБОТА

Тема:

Система управления как объект исследования












Омск 2014

Содержание

ВВЕДЕНИЕ

ГЛАВА 1. ТЕОРЕТИЧЕСКАЯ ЧАСТЬ

.1 Организация как сложная система

.2 Иерархия управления в организации

.3 Субъекты и объекты управления

.4 Система управления организацией, ее функции

.5 Требования, предъявляемые к системе управления

.6 Основные направления совершенствования систем управления

ГЛАВА 2. АНАЛИТИЧЕСКАЯ ЧАСТЬ

.1 Характеристика исследуемой организации и целей ее функционирования (на примере ЗАО «Юничел»)

.2 Действующая схема управления организации

ГЛАВА 3. ПРЕДЛОЖЕНИЯ ПО СОВЕРШЕНСТВОВАНИЮ СИСТЕМЫ УПРАВЛЕНИЯ (НА ПРИМЕРЕ ЗАО «Юничел»)

ЗАКЛЮЧЕНИЕ

СПИСОК ИСПОЛЬЗОВАННОЙ ЛИТЕРАТУРЫ

 

 

ВВЕДЕНИЕ


В современной экономической деятельности общества встречается множество разных организаций, которые объединяют людей, группы, для достижения какой-либо цели, решения определенной задачи на основе принципов разделения труда и распределения обязанностей. Это могут быть государственные учреждения, общественные объединения, научно-производственные объединения, частные предприятия.

Каждая организация имеет свою уникальную систему управления, которая является объектом для исследования. Исследовать систему управления можно только на основе выбранной научной концепции.

Прежде всего, необходимо отметить, что концепция «системы» используется как средство для изучения характеристик объекта управления. Ценность этой концепции заключается в том, что она способствует более глубокому пониманию характеристик изучаемой системы и процесса функционирования организации как системы.

Система управления любой организации представляет сложную систему, созданной для сбора, анализа и переработки информации с целью получения максимального конечного результата при определенных ограничениях (наличия ресурсов, например).

Говоря об управлении организацией, мы говорим об управлении ее внутренней системой.

В данной курсовой работе ведется теоретическое рассмотрение системы управления как объекта исследования. Достижение поставленной цели требует решения следующих взаимосвязанных задач:

охарактеризовать организацию как сложную систему;

рассмотреть иерархию управления в организациях, субъект и объект управления;

дать определение понятию «система управления», проанализировать ее функции;

− рассмотреть пути совершенствования систем управления;

− в аналитической части работы на примере конкретной организации проанализировать систему управления, предложить пути усовершенствования системы управления данной организации.

При проведении исследования использовались общенаучные методы. Материал, содержащийся в курсовой работе, иллюстрирован рисунками, таблицами.

ГЛАВА 1. ТЕОРЕТИЧЕСКАЯ ЧАСТЬ

 

.1 Организация как сложная система


Термин «организация» употребляется в различных смыслах. В первом он обозначает социальный институт - сложную открытую искусственную систему, созданную для решения каких-либо задач общества. Во втором - смысле - это процесс сознательного воздействия субъекта на объект с какой-либо целью. В третьем смысле - это свойство системы содержать некий порядок между элементами с целью обеспечения функциональности системы.

Рассмотрев ряд определений понятий «организация», приводимых авторами, можно сделать выводы о том, что:

Организации свойственна определенная структура и форма объединения людей для их совместной деятельности.

Организация имеет целевой характер деятельности, который в большинстве совпадает с целями участников организации.

Обобщая сказанное выше, можно рассматривать организацию как некое упорядоченное состояние элементов целого, что весьма близко к определению понятия «система».

Мухин В.И. в своей книге предлагает рассмотреть понятие системы как совокупность множества взаимосвязанных элементов, образующих устойчивое единство и целостность, обладающее закономерностями.

Таким образом, система, связанна с потребностью установки необходимого и достаточного набора признаков системности.

По мнению А.А. Богданова, именно организация, представляющая собой в наиболее общей абстрактной форме организованное целое, является расширением любой системы. Понятие «организация» как упорядоченное состояние целого тождественно понятию «система».

Дж.К. Лафта, считал, что все организации являются системами, так как система - это есть целостность, которая состоит из взаимосвязанных частей, каждая из которых вносит свой вклад в характеристики целого.

1.2 Иерархия управления в организации


Рассматривая любую структуру систем, мы понимаем, что она является отражением определенных элементов и их взаимосвязью. Именно эта взаимосвязь между элементами во многом определяет строение организации. Их структурное и содержательное разнообразие достаточно определено и четко делится на два вида:

− линейные, обеспечивающие реализацию всей совокупности функций;

− функциональные, специализирующиеся на одной или нескольких из них.

Ими обуславливается линейно-функциональная природа формирования, функционирования и развития структуры организации.

В первом случае иерархия служит средством персонального размещения подчиненных друг другу менеджеров и других работников компании (ее мы и называем управленческой иерархией), во втором случае иерархия является формой представления организационной структуры компании: например, отделы входят в управления, которые, в свою очередь, являются составными частями еще более крупных структурных подразделений.

Управленческая иерархия позволяет расставить каждого сотрудника в системе занятости организации, что позволяет полностью представить работу всего управленческого процесса в организации. Фактически ни один из работников не оказывается вне этой иерархии, это позволяет однозначно контролировать выполняемые им функции, права, ответственность.

На рисунке 1.1 приведены примеры соответствующих друг другу фрагментов управленческой иерархии и организационной структуры.

Рис. 1.1 Пример управленческой иерархии (а) и организационной структуры (б)

В реальной жизни оба понятия практически неразделимы.

Рассмотрим несколько возможных видов построения управленческих иерархий:

. Двухуровневая управленческая иерархия. Один менеджер (руководитель), находиться на верхнем уровне, которому подчинена группа специалистов, расположенная на первом (нижнем) уровне управленческой иерархии (рис. 1.2).

Рис. 1.2 Двухуровневая управленческая иерархия

Такие двухуровневые иерархии характерны для организаций с небольших количеством сотрудников, от двух до семи - десяти.

. Многоуровневая управленческая иерархия. На рис. 1.3 представлен один из часто встречающихся случаев управленческой иерархии, характерные для построения большинства действующих компаний. В общем случае, управленческая иерархия включает в себя несколько уровней, каждому из которых условно соответствуют один или несколько менеджеров.

Рис. 1.3 Многоуровневая управленческая иерархия

. Матричная управленческая иерархия. Для этой схемы характерно возможность одновременного подчинения одних и тех же подразделений структуры (отделов, групп, бригад, отдельных менеджеров и специалистов) нескольким руководителям. На рис. 1.4 представлен один из примеров построения матричной схемы управления.

4. Частные схемы организации отдельных внутрисемейных проектов. Семейные иерархии относятся к самой массовой и многочисленной группе управленческих иерархий. Такая схема работает на основе матричной системы управления, с наложением нескольких пирамидальных управленческих иерархий.

Рис. 1.4 Пример матричной схемы управления

На рис. 1.5 представлены несколько схем управления разными внутрисемейными проектами. Менеджером первого из них (Проект 1) является один из супругов (рис. 1.5.а), а менеджером второго (Проект 2) − другой (рис. 1.5.б).

Рис. 1.5 Управление внутрисемейными проектами: а) Проект 1, б) Проект 2, в) Проект 3

Таким образом, можно сделать вывод о том, что пирамидальные управленческие иерархии являются базовыми для организации управленческих процессов в организациях, они не только используются для построения пирамидальных иерархий любой сложности, но и являются основой для формирования матричных схем управления.

1.3 Субъекты и объекты управления


В теории управления объекты и субъекты управления определяются по их отношениям к управленческим воздействиям. Субъект - это источник управленческого воздействия, а объект - приемник и исполнитель всего или части управленческого воздействия, представленного в виде набора функций или задач.

В зависимости от возложенных на них функциональных обязанностей члены коллектива могут быть как субъектами, так объектами организаторской деятельности (рис. 1.6).

Рис. 1.6 Схема субъектов и объектов управления

В качестве объектов управления могут быть все граждане страны, мастера, работники предприятий, непосредственно связанные с производством продукции или оказанием услуг, брокеры, студенты, отдельный человек. Объект управления в рамках должностных обязанностей выполняет процедуры подготовки, согласования, исполнения решений, а также все операции, относящиеся к этим процедурам. Таким образом, объект управления получает задание, осмысливает его, проводит информационную работу, выполняет поручение или заказ, сдает выполненную работу, заказчику или использует ее в своей организации.

В качестве субъекта управления может выступать коллективный орган и работник, наделенный соответствующими полномочиями, правами и ответственностью (табл. 1.1).

Таблица 1.1

Субъекты управления на различных уровнях

Уровни субъектов организации

Субъекты

Субъекты управления на уровне государства в РФ (первые лица государства)

Президент РФ (ст. 83-89 Конституции РФ), Председатель Правительства, Генеральный Прокурор и коллегиальные органы государства (члены Совета Федерации) (ст. 102 Конституции РФ), депутаты Государственной Думы (ст. 103 Конституции), правительство РФ (ст. 113 Конституции РФ), Председатель Конституционного Суда РФ и т.д.

Субъекты управления на уровне управления государственными и частными компаниями

Директор, генеральный директор, президент, ректор, главный инженер, начальник цеха, заместитель директора по производству (маркетингу), главный экономист, главный бухгалтер, начальник отдела кадров и т.д.

Обобщенный субъект управления деловой организацией

Административно-управленческий аппарат

В общественных организациях

Председатель политической партии, президент ассоциации промышленников и предпринимателей России и т.д.

 

.4 Система управления организацией, ее функции


Система управления (СУ) организацией включает в себя совокупность всех служб организации, всех подсистем и коммуникаций между ними, а также процессов, обеспечивающих заданное функционирование.

Управление организацией − это непрерывный процесс влияния на производительность работника, группы или организации в целом для наилучших результатов с позиций достижения поставленной цели.

Процесс управления предусматривает согласованные действия, которые и обеспечивают, в конечном счете, осуществление общей цели или набора целей, стоящих перед организацией.

Для координации действий должен существовать специальный орган, реализующий функцию управления. Поэтому в любой организации выделяются управляющая и управляемая части. Схема взаимодействия между ними показана на рис. 1.7.

Рис. 1.7 Взаимодействие управляющей и управляемой части деловой организации (А - управляющая информация, Б - информация об исполнении)

В управляющую часть входит дирекция, менеджеры и информационные подразделения, обеспечивающие работу руководящего звена. Эту часть организации принято называть административно-управленческим аппаратом. Входным воздействием и конечным продуктом управляющей части является информация. Управляющее звено − необходимый элемент любой организации.

Современная система управленческих функций может быть представлена следующим перечнем основных задач:

− координация и интеграция усилий членов организации в направлении достижения общей цели;

− организация взаимодействия и поддержание контактов между рабочими группами и отдельными членами организации;

− сбор, оценка, обработка и хранение информации;

− распределение материальных и людских ресурсов;

− управление кадрами (разработка системы мотиваций, борьба с конфликтными ситуациями, контроль деятельности членов организации и групп);

− контакты с внешними организациями, ведение переговоров, маркетинговая и рекламная деятельность;

− инновационная деятельность;

− планирование, контроль за исполнением решений, коррекция деятельности в зависимости от изменения условий работы.

1.5 Требования, предъявляемые к системе управления


Изучая систему управления как объект исследования, необходимо выделять требования, предъявляемые к системам управления, по которым можно судить о степени организованности систем. К таким требованиям относятся:

− детерминированность элементов системы;

− динамичность системы;

− наличие в системе управляющего параметра;

− наличие в системе контролирующего параметра;

− наличие в системе каналов (по крайней мере, одного) обратной связи.

Соблюдение этих требований должно обеспечивать условия эффективного уровня функционирования органов управления. Рассмотрим подробно эти требования.

Детерминированность. В системах управления детерминированность проявляется в организации взаимодействия подразделений органов управления, при которой деятельность одного элемента (управления, отдела) сказывается на других элементах системы.

Динамичность. Вторым требованием системы управления является динамичность, т.е. способность под воздействием внешних и внутренних возмущений оставаться некоторое время в определенном неизмененном качественном состоянии.

Наличие в системе управляющего параметра. Под управляющим параметром в системе управления следует понимать такой ее параметр (элемент), посредством которого можно управлять деятельностью всей системы и ее отдельными элементами. Таким параметром (элементом) в социально управляемой системе является руководитель подразделения данного уровня. Он отвечает за деятельность подчиненного ему подразделения, воспринимает управляющие сигналы руководства организации, организует их выполнение, несет ответственность за выполнение всех управленческих решений. При этом руководитель должен обладать необходимой компетенцией, а условия работы − позволять выполнить данное поручение.

Следующим, четвертым требованием, предъявленным к системам управления, следует назвать наличие в ней контролирующего параметра, т.е. такого элемента, который постоянно контролировал бы состояние субъекта управления, не оказывая при этом на него (или на любой элемент системы) управляющего воздействия.

Контроль субъекта управления предполагает курирование обработки любого управляющего сигнала, поданного на вход данной системы. Функцию контролирующего параметра в системе управления, как правило, реализует один из сотрудников аппарата управления.

Наличие прямых и обратных связей (пятое требование) в системе управления обеспечивается четкой регламентацией деятельности аппарата управления по приему и передаче информации при подготовке управленческих решений.

 

.6 Основные направления совершенствования систем управления


В качестве основных направлений совершенствования систем управления организацией можно выделить следующие:

. Совершенствование непосредственно самого производственного процесса, рациональная организация которого определяет эффективность функционирования всей производственной системы в целом. Без четкой, научно-обоснованной организации процесса производства вряд ли можно добиться высоких показателей системы управления.

. Совершенствование организации управленческого труда. Это направление связано с эффективной организацией труда специалистов, деятельность которых весьма специфична, носит умственный и творческий характер, сопряжена с достаточно большой ответственностью. Главной задачей каждого специалиста является принятие управленческих решений, касающихся эффективной организации производственного процесса. Именно специалистам принадлежит ключевая роль в поддержании баланса между производственной деятельностью и поставленными целями в организации. Поэтому организация труда управленческого персонала во многом определяет эффективность всей системы управления организацией.

. Формирование рациональной организационной структуры управления организацией. Важным критерием определения эффективности системы управления является рациональность построения организационной структуры, определяющей количество и состав уровней управления. Основными направлениями изменений в структуре управления выступают децентрализация, сокращение уровней управления, переход от вертикальных к преимущественно горизонтальным связям, демократизация. В подобных условиях повышается уровень заинтересованности каждого специалиста в получении конечных результатов соответствующих поставленным целям и задачам, стимулируется инициатива, применяется творческий подход к решению проблем.

. Внедрение информационных систем управления - основное направление совершенствования. Функционирование организации сопряжено с огромными потоками информации, которые являются основанием для принятия тех или иных управленческих решений. Не владея четкой и оперативной информацией, специалисты организации не смогут эффективно выполнять свои функции и принимать рациональные решения. Информационные технологии генерируют все больше данных по мере выполнения организацией своей деятельности и позволяют собирать и получать информацию, которая была прежде недоступной. Эти технологии также позволяют проводить разносторонний анализ поступившей информации. Кроме того, информационные технологии позволяют обеспечивать специалистов организации полной и достоверной информацией, снабжать конечных исполнителей точными и конкретными инструкциями, осуществлять поддержку принятия решений на всех уровнях управления. Таким образом, все эти задачи решаются посредством создания корпоративных информационных систем.

ГЛАВА 2. АНАЛИТИЧЕСКАЯ ЧАСТЬ


2.1 Характеристика исследуемой организации и целей ее функционирования (на примере ЗАО «Обувная фирма «Юничел»)

управление служба подсистема организация

Объектом исследования в данной курсовой работе является Закрытое акционерное общество «Обувная фирма «Юничел» (далее - ЗАО «Юничел»).

ЗАО «Юничел» - единственное предприятие на территории Российской Федерации, выпускающее столь широкий ассортимент: мужская, женская, школьная и малодетская обувь для мальчиков и девочек, спортивная и домашняя обувь, модели для отдыха на природе. Для производства обуви ЗАО «Юничел» отбираются только лучшие материалы со всего мира. Кожа доставляется из Кореи, Турции, России. Клей и фурнитура - из Италии. Нитки - из Германии. Подошва - из Италии, Польши, Турции и России. Причем товар сертифицируется и получает свой санитарный паспорт. Для этого при ЗАО «Юничел» создана исследовательская лаборатория. В ней тестируются все материалы на соответствие стандартам ГОСТа. В феврале 2006 на фабрике внедрена чешская программная система CAD-Cobbler для конструирования и градирования деталей обуви. Новейшее оборудование позволило улучшить дизайн обуви, а также в кратчайшие сроки разрабатывать и внедрять технологически сложные модели. Кроме того, реализация политики ЗАО «Юничел» осуществляется через систему качества, ориентированную на своевременное предупреждение, выявление, устранение и сокращение причин, препятствующих разработке и выпуску высококачественной продукции.

Основные принципы работы:

− качество к требованиям продукции - это то, что желает потребитель;

− проблема качества на предприятии касается всех. Каждый работник несет ответственность за качество своего труда;

− предотвращение ошибок дешевле их устранения;

− стремление работать с поставщиками, которые убедительно доказали стабильное качество своей продукции;

Цель предприятия - выпуск отечественной обуви, не уступающей по своим характеристикам продукции ведущих мировых производителей. Для ее достижения на предприятии определены основные направления деятельности, а именно:

− модернизация производства;

− совершенствование организации производства;

− непрерывная профессиональная подготовка персонала, в том числе с привлечением специалистов ведущих мировых производителей;

− мотивация персонала на совершенствование профессиональных навыков;

− 100% контроль качества поступающих материалов и выпускаемой продукции;

− расширение рынков сбыта.

Для ЗАО «Юничел» характерна линейно-функциональная структура управления. Во главе организации стоит директор, в подчинении которого находятся все структурные подразделения:

. Начальник ОПП

. Технический директор

. Начальник производства

. Заместитель директора по финансам

. Начальник отдела маркетинга

. Служба материально-технического снабжения

. Начальник юридического отдела

. Отдел кадров

Организационно-функциональная структура ЗАО «Юничел» представлена на рисунке 2.1.

Рис. 2.1 Организационно-функциональная структура ЗАО «Юничел»

2.2 Действующая схема управления организации


В ЗАО «Юничел» управление осуществляется на основе централизованного руководства, объединяющего всех работников. Непосредственное управление организацией осуществляет директор.

Как указано на рисунке 2.1, руководитель верхнего уровня (директор ЗАО «Юничел» управляет деятельностью руководителей среднего уровня. Вертикальная дифференциация связана с иерархией организации вглубь. Вертикальная структура состоит из нескольких уровней, построенных в иерархическом порядке: директор - начальники отделов и участков - мастера, специалисты. Власть распределяется по должностям и руководителям, занимающим эти должности. Руководителю организации в разработке конкретных вопросов и подготовке соответствующих решений, программ, планов помогает специальный аппарат управления, состоящий из функциональных подразделений (юридический отдел, производство, маркетинг, финансы, кадры и т.д.).

Функциональная структуризация представляет собой процесс деления организации на отдельные элементы, каждый из которых имеет свою четко определенную, конкретную задачу и обязанности. Функциональные службы осуществляют всю техническую и технологическую подготовку производства; подготавливают варианты решения вопросов, связанных с руководством процесса производства; освобождают линейных руководителей от планирования финансовых расчетов, материально-технического обеспечения производства и других вопросов. Создание функциональной структуры сводится к группировке персонала по тем широким задачам, которые они выполняют. Конкретные характеристики и черты деятельности того или иного подразделения соответствуют наиболее важным направлениям деятельности всей организации.

Руководство организацией сбыта, финансовыми вопросами, материально-техническим снабжением и другими функциями, свойственными данной организации, осуществляется начальником отдела по конкретному виду вопросов.

Уровни управления подразумевают выделение руководителей низового звена или операционных управляющих. Руководители низового звена - это большая часть руководителей, они осуществляют контроль выполнения производственных заданий и обеспечение непосредственной информацией о правильности выполнения этих заданий. Руководители этого звена отвечают за непосредственное использование выделенных им ресурсов, таких как сырье и оборудование. К этой категории руководителей относятся мастера, мастера смен. Работа их контролируется и координируется руководителями среднего звена. Руководители среднего звена являются буфером между руководителями высшего и низового звена. Они готовят информацию для решений, принимаемых руководителями высшего звена и передают эти решения после трансформации их в технологически удобной форме, в виде спецификаций и конкретных заданий низовым линейным руководителям.

Иерархия управления в ЗАО «Юничел» выглядит следующим образом (рисунок 2.2).

Рис. 2.2 Иерархия управления в ЗАО «Юничел»

На верхнем уровне иерархии управления ЗАО «Юничел» находится директор, выдающий управленческие решения и команды на средний уровень управления - технический директор, заместитель директора и др.). После определенной переработки управленческой информации на среднем уровне информация поступает на нижний уровень иерархии управления - отделы, службы. Результаты переработки информации на нижнем уровне по каналам обратной связи передаются на верхний уровень управления. В случае отклонения хода процесса производства от заранее запланированных величин объемов реализуемой продукции, производительности труда и т.п. с помощью действий на верхнем уровне иерархии управления осуществляется регулирование хода процесса производства продукции.

В общем случае управление с иерархической структурой основано на том, что каждая из подсистем решает некоторую частную задачу в условиях относительной самостоятельности. Управленческие решения, в частности, прогнозные и оперативные планы, разработанные на верхнем уровне управления, постоянно координируются этим уровнем.

Анализ существующей организационной структуры ЗАО «Юничел» позволяет сделать выводы о сильной вертикали управления, все управленческие решения принимаются на высшем уровне управления, а потом по вертикали доносятся до последующих уровней управления организацией. В ЗАО «Юничел» слабо развиты горизонтальные связи (развиты только на уровне руководителей структурных подразделений).

Процесс организации деятельности организации четко структурирован.

Деятельность структурных подразделений предприятия регламентируется положениями об отделах, а деятельность каждого сотрудника - должностными инструкциями, разработанными отделом кадров ЗАО «Юничел».

Таким образом, структуру управления ЗАО «Юничел» характеризуется:

− высокой централизацией стратегических решений и децентрализацией оперативных;

− организацией директивных связей по однолинейному принципу;

− преобладающим применением инструментов координации с технической поддержкой.

Как правило, структурные подразделения организации (отдел ОПП, финансовый отдел, отдел маркетинга, служба материально-технического снабжения, служба ОТК, юридический отдел, отдел кадров) только лишь участвуют в подготовке решений для руководителя организации и консультируют его по всем вопросам, а не выдают конкретных указаний. Однако на практике сотрудники отделов, обладая высоким профессионализмом и необходимыми знаниями в своей области, часто оказывают влияние на линейных руководителей. Если же они выполняют только рекомендательную функцию, то возникает риск, что их работа слабо влияет на ход производственных процессов.

Данная структура имеет следующие преимущества:

− обеспечивает высокую профессиональную специализацию сотрудников,

− позволяет точно определить места принятия решений и необходимые ресурсы (кадровые),

− способствует стандартизации, формализации и программированию процессов управления.

К недостаткам данной организационной структуры относятся:

− образование специфических для функциональных подразделений целей;

− затрудняет горизонтальное согласование;

− структура жестка и с трудом реагирует на изменения.

ГЛАВА 3. ПРЕДЛОЖЕНИЯ ПО СОВЕРШЕНСТВОВАНИЮ СИСТЕМЫ УПРАВЛЕНИЯ (НА ПРИМЕРЕ ЗАО «ЮНИЧЕЛ»)


Как отмечалось в п. 1.6 данной курсовой работы внедрение информационных технологий в систему управления - основное направление совершенствования любой организации и, в частности, ЗАО «Юничел». Это обусловлено тем, что в рассматриваемой организации существует большое количество структурных подразделений, специалисты которых очень часто не владеют четкой и оперативной информацией. Информационные технологии позволяют обеспечивать специалистов организации полной и достоверной информацией, снабжать конечных исполнителей точными и конкретными инструкциями, осуществлять поддержку принятия решений на всех уровнях управления.

Следует отметить, что в настоящее время роль информационно-коммуникационных технологий (далее − ИКТ) для деятельности организаций подчёркивается во всё большем количестве как российских, так и зарубежных исследований. На предприятиях в результате внедрения ИКТ и основанных на них информационных систем управления (далее − ИСУ), как утверждают специалисты, происходит улучшение практически по всем аспектам деятельности, среди них можно выделить следующие:

− снижение транспортно-заготовительных расходов - в среднем на 60%;

− сокращение производственного цикла - на 50%;

− снижение задержек с отгрузкой готовой продукции - на 45%;

− уменьшение уровня неснижаемых остатков на складах - на 40%;

− снижение производственного брака - на 35%;

− сокращение затрат на административно-управленческий аппарат - на 30%;

− сокращение производственного цикла по базовым изделиям - на 30%;

− уменьшение складских площадей - на 25%;

− увеличение оборачиваемости средств в расчётах - на 30%;

− рост оборачиваемости товарно-материальных запасов - на 65%;

− увеличение количества поставок «точно в срок» - на 80%.

Анализ зарубежного и отечественного опыта разработки и внедрения ИСУ на предприятиях позволил сформулировать ключевые организационные требования проектирования и внедрения таких систем, учёт которых позволит успешно провести информатизацию в ЗАО «Юничел», а также определить и измерить эффективность использования ИСУ.

Можно выделить семь таких требований.

. Существование стратегии информатизации предприятия. Наличие стратегии информатизации позволяет определить перспективу и стратегические цели фирмы в сфере информатизации её деятельности. Стратегия, представляя собой документ, содержащий описание мер и действий по достижению перспективных целей организации, не должна ограничиваться двумя проектами по разработке и внедрению ИКТ. Она должна представлять собой раскрытие и анализ основных направлений развития предприятия, совершенствования его деятельности с помощью современных информационных и коммуникационных технологий, включать перечисление проектов ИКТ, целей, последовательности и сроков их реализации, необходимых ресурсов, рисков и прочих параметров.

Стратегия информатизации предполагает разработку в соответствии с миссией и целями предприятия, указанными в основной стратегии организации. Если этот документ по информатизации разработан формально, то существует риск того, что реализуемые проекты ИКТ никак не будут отвечать перспективным целям развития компании, а будут инициированы в соответствии с интересами отдельных руководителей или групп работников организации.

Наличие стратегии информатизации подразумевает под собой постоянный её анализ, корректировку с учётом меняющихся условий хозяйствования, внутренней и внешней среды предприятия. Следует указать связь стратегии информатизации с оперативным уровнем управления, т. е. учесть перспективы развития отдельных структурных подразделений в области ИКТ.

2. Подробное и качественное планирование ИКТ-проектов. Разработка конкретного ИКТ-проекта, в частности проекта по внедрению ИСУ, должна начинаться с планирования и определения его целей в соответствии со стратегией информатизации компании. Базовый план проекта включает в себя раскрытие причин, которые привели к необходимости его запуска, указание целей, задач, на достижение и решение которых направлен проект, перечень конкретных мероприятий, требующих решения в ходе его реализации, сроки осуществления ИКТ-проекта, а также определение потребности и источников необходимых кадровых и финансовых ресурсов. В плане следует учесть те подразделения и виды деятельности, которые затронет осуществление ИТ-проекта.

План может динамически детализироваться, постепенно включая в себя максимально конкретное описание решаемых задач и выполняемых работ, ответственных исполнителей и их обязанностей, сроков начала и окончания работ. Также следует избегать внесения изменений в план на этапе осуществления проекта, поскольку это может привести к изменению сроков окончания работ и целей внедрения.

В обязательном порядке в план должна быть внесена система показателей, по которой можно оценить соответствие проекта поставленным перед ним целям, а также степень их достижения. Этап планирования подразумевает проработку последующего развития, расширения функциональности ИСУ или другого ИКТ-проекта.

Планирование даёт возможность свести к минимуму риски перерасхода денежных средств и опоздания в сроках осуществления проекта, а также повысить качество управления проектом. Экономические выгоды от внедрения ИСУ могут быть реализованы только в том случае, если они выявлены в процессе проектирования и заложены (прямо или косвенно) в целевые установки проекта.

. Детальное обследование объекта воздействия реализуемого ИКТ-проекта. Важным требованием является обследование предприятия, тех областей деятельности и структурных подразделений, на которые повлияет ИКТ-проект. Для проекта разработки и внедрения ИСУ - это практически все структурные подразделения организации и процессы. Обследование должно включать анализ информационных потоков, справочной, нормативной, регламентирующей и распорядительной документации, описание и анализ затрагиваемых процессов и видов деятельности. Желательно создать информационно-функциональную модель деятельности подразделений или всей организации, описать, стандартизировать, осуществить предпроектную оптимизацию процессов и структуры организации, рассмотреть возможности совершенствования систем контроля и отчётности.

Обязательным при обследовании является рассмотрение и выбор путей интеграции существующих аппаратных и программных платформ с новыми во избежание сбойных и конфликтных ситуаций в будущем.

Корректное осуществление обследования позволит предварительно выявить проблемы, которые могут возникнуть при внедрении ИСУ и выработать меры по их преодолению. Результатом обследования становится техническое задание на проектирование информационной системы управления.

. Выбор проектного решения с учётом его эффективности. Это подразумевает расчёт экономической и других видов эффективности и обоснования на их основе конкретных решений по ИКТ-проекту. Зачастую

определению и расчётам эффективности уделяется недостаточно внимания, хотя ответственное и качественное их выполнение обеспечивает выбор наиболее экономически оправданного решения. Такой расчёт позволит сделать вывод о целесообразности реализации всего проекта. Желательно определение эффекта от реализации проекта в количественной форме.

Выбор конкретных модулей системы и подсистем следует осуществлять исходя из условия их наибольшего соответствия требованиям организации, а не из условия их приобретения у одного поставщика (в этом случае важными становятся вопросы интеграции подсистем). Во избежание проблем с внедрением следует заранее выяснить вопросы совместимости нового и используемого программного и аппаратного обеспечения.

. Обучение сотрудников. Осуществление ИКТ-проекта должно обязательно сопровождаться обучением сотрудников в двух направлениях:

− обучение специалистов группы внедрения и поддержки;

− обучение конечных пользователей работе с новой системой.

В ходе обучения необходимо предварительно затронуть цели и задачи осуществления проекта, а также те положительные результаты, которые последуют после его реализации, чтобы убедить обучаемых в необходимости проводимых изменений. Обучение специалистов, внедряющих проект, создаст базу для эффективного и качественного выполнения работ по осуществлению ИКТ-проекта. При внедрении ИСУ обучение пользованию системой позволит безболезненно перейти на новые технологии и свести простои, связанные с освоением системы, к минимуму. Грамотно продуманное обучение и информирование персонала по ИКТ-проекту сократят влияние фактора сопротивления нововведениям внутри организации.

. Продуманное внедрение проектного решения. Перед внедрением ИКТ-проекта следует обратить внимание на то, что если ранее была определена необходимость изменения процессов организации, то это следует сделать до начала непосредственной реализации проекта. Если пренебречь внесением необходимых изменений, то возможно возникновение ситуации, когда какая-либо выгода от проекта будет отсутствовать из-за несовершенства затрагиваемых процессов.

Этап внедрения целесообразно начать с тестовых пусков в отдельных подразделениях. Тестирование необходимо проводить с учётом пиковых нагрузок (как на системы связи и коммуникаций, так и на программное обеспечение), возможных критических и сбойных ситуаций, таких как отказ оборудования, сбои в программном обеспечении и т. д. За тестированием следует провести опытную эксплуатацию, во время которой будут проверяться качественные характеристики работы созданного продукта: надёжность, удобство пользования, функциональное соответствие и т. п. Непосредственно внедрение ИСУ рекомендуется проводить по частям, постепенно вводя в эксплуатацию модули, начиная с тех, которые наиболее быстро принесут результат.

. Анализ результатов внедрения. После окончательного внедрения ИКТ-проекта и запуска новой системы нужно провести анализ достижения и решения проектом целей и задач, которые ставились перед ним на этапе планирования с помощью разработанной на ранних этапах системы показателей. Лучшими решениями будут являться систематический мониторинг оценочных показателей ИСУ и анализ её соответствия изменениям внутренней и внешней среды. Результатами такого мониторинга могут быть решения о доработке, совершенствовании системы.

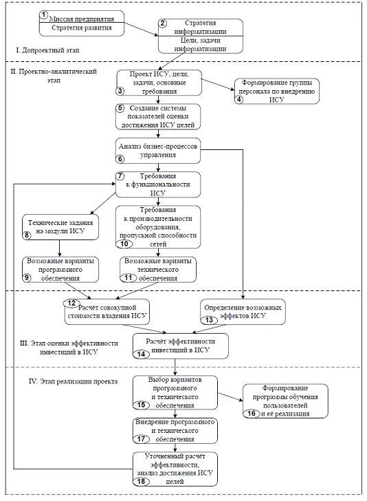
На основе представленных выше требований можно предложить следующий общий алгоритм, раскрывающий основные этапы реализации проекта ИСУ на предприятии (рисунок 3.1), каждый из которых включает в себя ряд блоков.

Рис. 3.1 Алгоритм формирования информационной системы управления организацией

этап - допроектный. На данном этапе определяются миссия, стратегические цели и задачи реализации проекта внедрения ИСУ.этап - проектно-аналитический, на котором разрабатываются практические вопросы реализации проекта.этап - оценка эффективности инвестиций в проект.этап - реализация проекта.

Учёт предложенных рекомендаций поможет предугадать и сформировать пути решения возникающих препятствий по реализации таких проектов, получить и измерить эффекты, полученные от информационной системы управления, создать базу для адекватной оценки эффективности соответствующих инвестиций.

ЗАКЛЮЧЕНИЕ


В соответствии с целью и задачами исследования в работе были сделаны следующие основные выводы.

. Сущность организации как сложной системы можно определить, во-первых, как «внутреннюю упорядоченность, согласованность, взаимодействие более или менее дифференцированных и автономных частей целого, обусловленную ее строением»; во-вторых, как «совокупность процессов или действий, ведущих к образованию и совершенствованию взаимосвязи между частями целого»; в-третьих, как «объединение людей, совместно реализующих некоторую программу или цель и действующих на основе определенных процедур и правил.

. Основной доминантой конструирования, позиционирования и развития линейных функциональных связей структуры организации является ее иерархия. При этом пирамидальные управленческие иерархии являются базовыми для организации управленческих процессов в организациях, они не только используются для построения пирамидальных иерархий любой сложности, но и являются основой для формирования матричных схем управления.

. В теории управления объекты и субъекты управления определяются по их отношениям к управленческим воздействиям. Субъект - это источник управленческого воздействия, а объект - приемник и исполнитель всего или части управленческого воздействия, представленного в виде набора функций или задач.

. Система управления организацией включает в себя совокупность всех служб организации, всех подсистем и коммуникаций между ними, а также процессов, обеспечивающих заданное функционирование.

. Изучая систему управления как объект исследования, необходимо выделять требования, предъявляемые к системам управления, по которым можно судить о степени организованности систем. К таким требованиям относятся:

− детерминированность элементов системы;

− динамичность системы;

− наличие в системе управляющего параметра;

− наличие в системе контролирующего параметра;

− наличие в системе каналов (по крайней мере, одного) обратной связи.

. Основное направление совершенствования любой организации и, в частности, ЗАО «Юничел» − внедрение информационных технологий в систему управления. Это обусловлено тем, что в рассматриваемой организации существует большое количество структурных подразделений, специалисты которых очень часто не владеют четкой и оперативной информацией. Информационные технологии позволяют обеспечивать специалистов организации полной и достоверной информацией, снабжать конечных исполнителей точными и конкретными инструкциями, осуществлять поддержку принятия решений на всех уровнях управления.

Таким образом, система управления как объект исследования обладает следующими признаками: состоит из множества (по крайней мере, двух) элементов, расположенных иерархически; элементы систем (подсистемы) взаимосвязаны посредством прямых и обратных связей; система − это единое и неразрывное целое, являющееся целостной системой для нижестоящих иерархических уровней, имеются фиксированные связи системы с внешней средой.

СПИСОК ИСПОЛЬЗОВАННОЙ ЛИТЕРАТУРЫ:


1.   Азнабаева Г.Х. Основные направления совершенствования управления производством / Г.Х. Азнабаева // Известия Российского государственного педагогического университета им. А.И. Герцена. - 2008. − №60. - С. 11-13.

2.      Акимова Т.А. Теория организации: учебник / Т.А. Акимова. - М.: Российский университет дружбы народов (РУДН), 2010. - 367 с.

3.      Богданов А.А. Тектология (Всеобщая организационная наука). − [Электронный ресурс]

4.      Демчук О.Н. Теория организации: учеб. пособие / О.Н. Демчук, Т.А. Ефремова. − М.: Флинта: МПСИ, 2009. − 264 с.

5.      Долятовский В.А., Долятовская В.Н. Исследование систем управления: Учебно-практическое пособие. - М.: ИКЦ «МарТ». - 2009. - 256 с.

6.      Игнатьева А.В., Максимцов М.М. Исследование систем управления: Учеб. пособие для вузов. 2-е изд. - М.: ЮНИТИ-ДАНА; Закон и право, 2012. - 167 с.

7.      Инджикиан Р. Воздействие инвестиций в IT (информационно-коммуникационные технологии) на экономическую эффективность: значение этого вопроса для развивающихся стран [Электронный ресурс]: пер. с англ. / Р. Инджикиан, Д.С. Сиеджел.

8.      Корпоративный менеджмент. Библиотека управления: управление людьми. [Электронный ресурс]

9.      Латфуллин Г.Р., Райченко А.В. Теория организации: Учебник для вузов. − М.: Юрайт, 2013. − 448 с.

10.    Лапыгин Ю.Н. Теория организации и организационное поведение. - М.: Инфра-М, 2011. - 329 с.

11.    Лапыгин Ю.Н. Управленческие решения: учеб. пособие / Ю.Н. Лапыгин, Д.Ю. Лапыгин. - М.: Эксмо, 2009. - 448 с.

12.    Лафта Дж.К. Теория организации: учеб. пособие. - М.: ТК Велби, Изд-во Проспект, 2006. - 416 с.

13.    Мухин В.И. Исследование систем управления: Учебник для вузов / В.И. Мухин − М.: Издательство «Экзамен», 2008. - 384 с.

14.    Мухин В.И., Малин А.С. Исследование систем управления: текст лекций, часть 1 и 2. «Концептуальные основы исследования систем управления» / Мухин В.И., Малин А.С. - Новогорск: Изд. АГЗ, 2009. - 122 с.

15.    Мыльник В.В., Титаренко Б.П., Волочиенко В.А. Исследование систем управления: Учебное пособие для вузов. - М: Академический Проект; Екатеринбург: Деловая книга - 2010. - 352 с.

16.    Подолякин О.В. Внедрение информационных систем управления на предприятии / О.В. Подолякин // Проблемы развития теории. − №4 (60). - 2012. - С. 20-28.

17.    Пригожин А.И. Методы развития организаций. [Электронный ресурс]

18.    Рогожин С.В., Рогожина Т.В. Теория организации. / С.В. Рогожин, Т.В. Рогожина. − М: Издательство «Экзамен», 2008. − 320 с.

19.    Теория организации. Учебник для вузов. 4-е изд, перераб. и доп. / под общ. ред. В.Г. Алиева. - М.: Экономика, 2010. - 429 с.

20.    Cornwell, С. Information Technology and Productivity [Electronic resource] / С. Cornwell, В. Trehan

Похожие работы на - Система управления как объект исследования

 

Не нашли материал для своей работы?
Поможем написать уникальную работу
Без плагиата!
Без нейросетей!