Математическая экономика
Математическая
экономика
Оглавление
1. Модели управления
запасами. Определение уровня запаса
2. Статические
детерминированные модели управления запасами
3. Стохастические модели
управления запасами
4. Финансовая математика.
Кредитные расчеты
5. Спрос и предложение
равновесная цена
6. Модель Солоу. Золотое
правило накопления
7. Динамическое
программирование. Задача о замене оборудования
8. Динамическое
программирование. Оптимальное распределение средств между предприятиями
9. Динамическое
программирование. Оптимальное распределение ресурсов между двумя предприятиями
(отраслями) на n лет
10. Математические модели
в экономике. Функция полезности
11. Математические модели
в экономике. Мультипликативная производственная функция
12. Финансовая математика.
Задача о ренте
13. Балансовые модели
14. Модель равновесных цен
Список использованной
литературы
1. Модели управления
запасами. Определение уровня запаса
управление запас накопление мультипликативный
Цех начинает работать в 8 утра. 12:00 до 13:00 - обеденный перерыв.
Окончание работы в 17:00. Интенсивность поступления деталей из цех на склад в
течение первых 30 минут растет по закону a(t)=k1t2+k2t+1
(k1=1/90, k2=1/10), а затем до обеденного перерыва
остается постоянной: 11 дет./мин. После обеденного перерыва интенсивность
поступления деталей из цеха на складе в течение первых 30 мин. после начала
работы растет по закону a(t)=k4+k3 (t-t0) (k3=1/9,
k4=3), а затем до конца смены остается постоянной: 9 дет./мин. t0
- время начала работы после обеденного перерыва. Со склада с 9:00 до 12:00 и с
13:00 до 16:00 равномерно забирают готовые детали в другой цех в среднем по 10
деталей в минуту. Сколько деталей останется на складе к концу рабочего дня? ( к
обеденному перерыву?) Время измеряется в минутах.
Решение
Для определения выработки деталей в первые 30 минут начала смены и первые
30 минут после обеденного перерыва формируем таблицу с с определением значений
по заданным законам:
|
|
До обеда
|
После обеда
|
|
1
|
=1/90*D2^2+1/10*D2+1
|
=3+1/10*(D2-1)
|
|
2
|
=1/90*D3^2+1/10*D3+1
|
=3+1/10*(D3-1)
|
|
3
|
=1/90*D4^2+1/10*D4+1
|
=3+1/10*(D4-1)
|
|
4
|
=1/90*D5^2+1/10*D5+1
|
=3+1/10*(D5-1)
|
|
5
|
=1/90*D6^2+1/10*D6+1
|
=3+1/10*(D6-1)
|
|
6
|
=1/90*D7^2+1/10*D7+1
|
=3+1/10*(D7-1)
|
|
7
|
=1/90*D8^2+1/10*D8+1
|
=3+1/10*(D8-1)
|
|
8
|
=1/90*D9^2+1/10*D9+1
|
=3+1/10*(D9-1)
|
|
9
|
=1/90*D10^2+1/10*D10+1
|
=3+1/10*(D10-1)
|
|
10
|
=1/90*D11^2+1/10*D11+1
|
=3+1/10*(D11-1)
|
|
11
|
=1/90*D12^2+1/10*D12+1
|
=3+1/10*(D12-1)
|
|
12
|
=1/90*D13^2+1/10*D13+1
|
=3+1/10*(D13-1)
|
|
13
|
=1/90*D14^2+1/10*D14+1
|
=3+1/10*(D14-1)
|
|
14
|
=1/90*D15^2+1/10*D15+1
|
=3+1/10*(D15-1)
|
|
15
|
=1/90*D16^2+1/10*D16+1
|
=3+1/10*(D16-1)
|
|
16
|
=1/90*D17^2+1/10*D17+1
|
=3+1/10*(D17-1)
|
|
17
|
=1/90*D18^2+1/10*D18+1
|
=3+1/10*(D18-1)
|
|
18
|
=1/90*D19^2+1/10*D19+1
|
=3+1/10*(D19-1)
|
|
19
|
=1/90*D20^2+1/10*D20+1
|
=3+1/10*(D20-1)
|
|
20
|
=1/90*D21^2+1/10*D21+1
|
=3+1/10*(D21-1)
|
|
21
|
=1/90*D22^2+1/10*D22+1
|
=3+1/10*(D22-1)
|
|
22
|
=1/90*D23^2+1/10*D23+1
|
=3+1/10*(D23-1)
|
|
23
|
=1/90*D24^2+1/10*D24+1
|
=3+1/10*(D24-1)
|
|
24
|
=1/90*D25^2+1/10*D25+1
|
=3+1/10*(D25-1)
|
|
25
|
=1/90*D26^2+1/10*D26+1
|
=3+1/10*(D26-1)
|
|
26
|
=1/90*D27^2+1/10*D27+1
|
=3+1/10*(D27-1)
|
|
27
|
=1/90*D28^2+1/10*D28+1
|
=3+1/10*(D28-1)
|
|
28
|
=1/90*D29^2+1/10*D29+1
|
=3+1/10*(D29-1)
|
|
29
|
=1/90*D30^2+1/10*D30+1
|
=3+1/10*(D30-1)
|
|
30
|
=1/90*D31^2+1/10*D31+1
|
=3+1/10*(D31-1)
|
|
|
=СУММ(E2:E31)
|
=СУММ(F2:F31)
|
Далее рассчитываем уход деталей до обеда и до конца смены, задав
следующую формулу: =(12-9)*60*10 и =(16-13)*60*10 соответственно.
Аналогичным образом рассчитываем выработку деталей с 9:30 до 12:00
(=(12-8,5)*60*11) и после обеденного перерыва до конца смены (
=(17-13,5)*60*9).
Заем рассчитываем остаток деталей к обеду и к концу рабочей смены.
В результате лист Excel с введенными формулами выглядит следующим
образом:
В результате расчетов получаем следующие значения:
Выработка деталей в течение первых 30 минут с начала мены и после
обеденного перерыва представлена в табл. 1.
Таблица 1
|
|
До обеда
|
После обеда
|
|
1
|
1
|
3
|
|
2
|
1
|
3
|
|
3
|
1
|
3
|
|
4
|
2
|
3
|
|
5
|
2
|
3
|
|
6
|
2
|
4
|
|
7
|
2
|
4
|
|
8
|
3
|
4
|
|
9
|
3
|
4
|
|
10
|
3
|
4
|
|
11
|
3
|
4
|
|
12
|
4
|
4
|
|
13
|
4
|
4
|
|
14
|
5
|
4
|
|
15
|
5
|
4
|
|
16
|
5
|
5
|
|
17
|
6
|
5
|
|
18
|
6
|
5
|
|
19
|
7
|
5
|
|
20
|
7
|
5
|
|
21
|
8
|
5
|
|
22
|
9
|
5
|
|
23
|
9
|
5
|
|
24
|
10
|
5
|
|
25
|
10
|
5
|
|
26
|
11
|
6
|
|
27
|
12
|
6
|
|
28
|
13
|
6
|
|
29
|
13
|
6
|
|
30
|
14
|
6
|
|
|
182
|
134
|
Остальные рассчитанные данные приведены в табл. 2.
Таблица 2
|
Забрано деталей до обеда
|
1800
|
|
Забрано деталей после обеда
|
1800
|
|
Выработано деталей с 8:30
до 12:00
|
2310
|
|
Выработано деталей с 13:30
до 17:00
|
1890
|
|
Остаток деталей к обеду
|
692
|
|
Остаток деталей к концу
смены
|
915
|
В результате лист Excel с рассчитанными данными выглядит следующим
образом:
В результате расчетов выяснено следующее. Остаток деталей к обеду
составил 692 шт., остаток деталей к концу смены составил 915 шт.
2. Статические детерминированные модели управления запасами
Потребность предприятия в деталях определенного типа составляет 624 штук
в день. Детали расходуются равномерно и непрерывно. Хранение деталей стоит 0,02
руб. за штуку в сутки, а поставка партии 810 рублей независимо от объема
партии. При отсутствии деталей на складе штраф за дефицит составляет 0,02 руб.
за штуку в сутки. Определить наиболее экономичный объем партии, интервал между
поставками, плотность убытков, время потребления запаса, время дефицита,
минимальные затраты в единицу времени. Каковы будут затраты в единицу времени,
если реальный объем партии будет меньше оптимального на 20%.
Решение
Задача управления запасами состоит в определении такого объема партии n,
при котором суммарные затраты на создание и хранение запаса были бы минимальными.
Общее потребление запасаемого продукта за рассматриваемый интервал
времени t равно N.
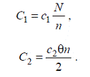
С - суммарные затраты, С1 - затраты на создание запаса, С2 - затраты на
хранение запаса.
Затраты на доставку одной партии продукта, не зависимые от объема партии,
равны с1, а затраты на хранение одной единицы продукта в единицу
времени - с2, θ - время, в течение которого расходуется
запас.
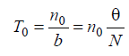
Формула:
называемая формулой Уилсона или формулой наиболее экономичного объема
партии, широко используется в экономике.
Модель Уилсона не является наилучшей моделью из числа имеющихся в
настоящее время, в то же время она помогает понять поведение запасов и во
многих практических случаях позволяет эффективно регулировать и контролировать
уровни запасов.
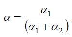
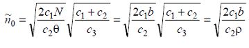
Время расхода оптимальной партии равно:
Величина
называется плотностью убытков из-за неудовлетворенного спроса и играет
важную роль в управлении запасами. Заметим, что 0 < ρ
< 1. Если значение с3
мало по сравнению с c2, то величина ρ близка к нулю: когда с3 значительно
превосходит с2, то ρ близка к 1. Недопустимость дефицита равносильна
предположению, что с3 = ∞ или ρ = 1.
Решая систему, получаем формулы наиболее экономичного объема партии n0
и максимального уровня запаса s0 для модели с дефицитом:
=10054
единиц
Интервал
между поставками составит
Т=10054/624=16,11
дней
Т
= Т1 + T2 , где Т1 - время, в течение которого
производится потребление запаса, T2 - время, когда запас отсутствует
и накапливается дефицит, который будет перекрыт в момент поступления следующей
партии.
Т1/Т=
ρ.
Следовательно Т1 = ρ*Т=0,5*16,11=8,06 дней. Время дефицита соответственно
составит:16,11-8,06=8,05.
Минимум
общих затрат задачи управления запасами достигается тогда, когда затраты на
создание запаса равны затратам на хранение запаса. При этом минимальные
суммарные затраты:
С0=2*810*624/10054=100,54
руб.
Реальная
партия составит:
=10054*0,8=8043
единиц.
В
этом случае минимум общих затрат составит:
С0=2*810*624/8043=125,68
руб.
Все
расчеты проводились с помощью Excel путем задания соответствующих формул:
В
результате расчетов получили следующие результаты:
Таблица
1
|
c1
|
810
|
|
N (b)
|
624
|
|
c2
|
0,02
|
|
c3
|
0,02
|
|
Плотность убытков
|
0,50
|
|
Реальный объем поставки
|
8043
|
|
Объем партии (no)
|
10054
|
|
интервал между поставками
(T)
|
16,11
|
|
Время потребления запаса
(Т1)
|
8,06
|
|
Время дефицита (Т2)
|
8,06
|
|
Минимальные затраты
|
100,54
|
|
Реальный размер партии
|
8043
|
|
Минимальные затраты
реальной партии
|
125,68
|
3. Стохастические модели управления запасами
Склад ежемесячно пополняется некоторыми изделиями. В течение первых 5
месяцев года объемы пополнения равны соответственно 10, 20, 30, 20 и 30
изделиям. К началу первого месяца запас равен 20 изделиям. На основании опыта
получено распределение спроса на товар представленное в таблице:
|
r
|
0
|
10
|
20
|
30
|
40
|
50
|
60
|
70
|
80
|
90
|
100
|
|
p(r)
|
0,00
|
0,00
|
0,02
|
0,02
|
0,05
|
0,07
|
0,12
|
0,12
|
0,14
|
0,12
|
0,10
|
|
r
|
110
|
120
|
130
|
140
|
150
|
160
|
170
|
180
|
190
|
200
|
>200
|
|
p(r)
|
0,07
|
0,05
|
0,03
|
0,02
|
0,02
|
0,02
|
0,01
|
0,01
|
0,005
|
0,005
|
0,00
|
Сдвиг по времени между заказом на пополнение и доставку равен 6 месяцам.
Издержки в расчете на одно изделие из-за излишка изделий равны 10 ден.ед., а от
их нехватки - 90 ден. ед. Найти оптимально пополнение склада на шестой месяц.
Решение
Рассмотрим стохастические модели управления запасами, у которых спрос
является случайным.
Спрос r за интервал времени Т является случайным и задан его закон (ряд)
распределения р(r) или плотность вероятностей φ(r) (обычно функции р(r) и φ(r)
оцениваются на основании
опытных или статистических данных). Если спрос r ниже уровня запаса s, то
приобретение (хранение, продажа) излишка продукта требует дополнительных затрат
с2 на единицу продукта; наоборот, если спрос r выше уровня запаса s,
то это приводит к штрафу за дефицит c3 на единицу продукции.
Тогда
к концу n-го периода на склад поступит
единиц
продукта, а будет израсходовано
единиц,
т.е.
С
помощью Excel рассчитываем sn, для этого вводим следующие формулы:
В
результате расчетов получен результат:
n=44
Требуется
найти оптимальный объем партии заказа, который необходимо сделать за последний
n-й период, предшествующий поступлению сделанного ранее заказа.
Математическое
ожидание суммарных затрат в этом случае определяется по формуле:
В
данном выражении первое слагаемое учитывает затраты на приобретение (хранение)
излишка (s - r) единиц продукта (при r < s), а второе слагаемое - штраф за
дефицит на (r - s) единиц продукта (при r > s).
Оптимальный
запас s находится по формуле:
Рассчитываем
ρ=10/(90+10)=0,1
Таким
образом, s0=100 из таблицы:
|
r
|
0
|
10
|
20
|
30
|
40
|
50
|
60
|
70
|
80
|
90
|
100
|
|
p(r)
|
0,00
|
0,00
|
0,02
|
0,02
|
0,05
|
0,07
|
0,12
|
0,12
|
0,14
|
0,12
|
0,10
|
|
r
|
110
|
120
|
130
|
140
|
150
|
160
|
170
|
180
|
190
|
200
|
>200
|
|
p(r)
|
0,07
|
0,05
|
0,03
|
0,02
|
0,02
|
0,02
|
0,01
|
0,01
|
0,005
|
0,005
|
0,00
|
Найдя оптимальный запас s0 и зная q1, q2,
…, qn-1 можно вычислить qn:
Таким образом qn=100-44=56 единиц
4. Финансовая математика. Кредитные расчеты
Заем $70000 взятый на 9 лет под 11% годовых будет погашаться, начиная с
пятого года ежегодными равными выплатами. Необходимо найти размер этих выплат.
Решение.
Общая сумма кредита с процентами составит:
+9*70000*11/100=139300$
Поскольку выплаты будут совершаться, начиная пятого года, то период
выплат составит 5 лет (срок кредита - период без выплат).
Следовательно ежегодные выплаты составят:
/5=27860.
Для расчета в Excel вводим следующую таблицу:
В результате расчетов получаем следующую таблицу:
Таблица 1
|
Заем
|
70000
|
|
Процент (годовой)
|
11
|
|
Срок кредита
|
9
|
|
Начало выплат
|
5
|
|
Ежегодный платеж
|
27860
|
5. Спрос и предложение равновесная цена
Зная
функцию спроса
и функцию предложения Y(р)=7р+1
найти равновесную цену продукта
,
построить графики функций Ф(р) и Y(р) на одном чертеже
в пределах 0£р£2
и с помощью паутинообразной модели графически
проверить сходимость к равновесной цене.
Решение
Для
определения равновесной цены необходимо решить уравнение
Ф(р)
= Y(р) или
=7р+1.
Преобразуем
данное уравнение:
-7р-1=0
С
помощью пакета Wolfram Mathematica 6.0 решаем данное уравнение:
Результат
1.
Строим
графики:
Рис.
1 Графики функции спроса и функции предложения
6. Модель Солоу. Золотое правило накопления
Определить, на сколько процентов уменьшится потребление в долгосрочной
перспективе, если начальное потребление было искусственно увеличено на 10%
уменьшением нормы накопления по сравнению с оптимальной. Коэффициент
эластичности по фондам равен 0,5.
Решение
Отталкиваясь от простейшей производственной функции Кобба-Дугласа, Р.
Солоу вывел стабильную модель экономического роста. В ее основе лежало «золотое
правило» накопления, согласно которому выбытие капитала не должно превышать
предельный продукт. По его мнению, в устойчивом состоянии равновесия капитал,
труд и объем продукта увеличиваются одинаковыми темпами, равными темпу роста
населения. Более быстрый темп роста населения окажет влияние на ускорение
темпов роста экономики, однако выпуск на душу населения будет снижаться в
устойчивом состоянии. В свою очередь, увеличение нормы сбережений приведет к
более высокому доходу на душу населения и расширит отношение «капитал-труд», но
не повлияет на темпы роста в устойчивом состоянии. Поэтому условием ускоренного
роста в устойчивом состоянии является скорость технологических изменений.
Как показали последние модели, повышение уровня сбережений может привести
к увеличению темпов роста в устойчивом состоянии, если использовать внешние
эффекты.
Для ПФ Кобба-Дугласа оптимальная норма накопления совпадает с ее
эластичностью по ОПФ («Золотое» правило накопления).
Следовательно, оптимальная норма накопления составляла 0,5 или 50%.
Таким образом, уменьшенная норма накопления составит 50-10=40%
ВВП на душу населения y используется на потребление и накопление
(инвестиции):
y = c+ i,
где c - потребление; i - накопление; s - норма
накопления;
c = y - i = y - sy = (1 - s)y;
(1 -
s) - норма потребления.
Следовательно, потребление составит 100-40=60% ВВП. В тоже время
оптимальная норма потребления составляет 100-50=50%.
Таким образом, в долгосрочном спериоде потребление снизится на 60-50=10%.
7. Динамическое программирование. Задача о замене
оборудования
Найти оптимальные сроки замены оборудования. Первоначальная стоимость
оборудования q0=6000 усл. ед., ликвидационная стоимость L(t)=q02-i,
стоимость содержания оборудования возраста i лет в течение 1 года S(t)=0,1q0(t+1),
срок эксплуатации оборудования 5 лет. В конце срока эксплуатации оборудование
продается. Задачу решить графически.
Решение
Для построения графика в ПП Wolfram Mathematica 6.0 вводим
= Plot[{6000*2^-x, 600*(x + 1)}, {x, 0, 5}]
В итоге получаем график:
Из графика видим, что оптимальный срок замены оборудования является
второй год его эксплуатации.
8. Динамическое программирование. Оптимальное распределение
средств между предприятиями
Найти оптимальное распределение средств в размере 9 усл. ед. между
четырьмя предприятиями. Прибыль от каждого предприятия является функцией от
вложенных в него средств и представлена таблицей:
|
Вложенные средства
|
1
|
2
|
3
|
4
|
5
|
6
|
7
|
8
|
9
|
|
Прибыль
|
|
|
|
|
|
|
|
|
|
|
I предприятие
|
5
|
9
|
12
|
14
|
15
|
18
|
20
|
24
|
27
|
|
II предприятие
|
7
|
9
|
11
|
13
|
16
|
19
|
20
|
22
|
25
|
|
III предприятие
|
8
|
9
|
10
|
11
|
12
|
15
|
18
|
23
|
26
|
|
IV предприятие
|
7
|
10
|
13
|
15
|
16
|
18
|
21
|
22
|
25
|
Вложения в каждое предприятия кратны 1 усл. ед.
Решение
Разобьем процесс выделения средств предприятиям на 4 этапа: на первом этапе
выделяется y1 средств предприятию П1, на втором -y2
средств предприятию П2, на третьем - y3 средств
предприятию П3, на четвертом третьем - y4 средств
предприятию П4
Будем считать состоянием системы xi (i = 0,1,2,…9) ту сумму средств,
которая осталась нераспределенной после i -го этапа. Поскольку необходимо
распределить все 9 усл. ед, то x 0= 9 . Тогда
n
= x n - 1- y n, n = 1,2,3, 4.
Заметим, что на четвертом этапе выделения средств весь остаток x 3
вкладывается в предприятие П4, поэтому y3 = x 4.
Воспользуемся уравнениями Беллмана для N = 4.
В результате получим следующие таблицы:
Таблица 1
|
х3
|
у4
|
4(х3)
|
у4
|
|
0
|
1
|
2
|
3
|
4
|
5
|
6
|
7
|
8
|
9
|
|
|
|
0
|
0
|
|
|
|
|
|
|
|
|
|
0
|
0
|
|
1
|
|
7
|
|
|
|
|
|
|
|
|
7
|
1
|
|
2
|
|
|
10
|
|
|
|
|
|
|
|
10
|
2
|
|
3
|
|
|
|
13
|
|
|
|
|
|
|
13
|
3
|
|
4
|
|
|
|
|
15
|
|
|
|
|
|
15
|
4
|
|
5
|
|
|
|
|
|
16
|
|
|
|
|
16
|
5
|
|
6
|
|
|
|
|
|
|
18
|
|
|
|
18
|
6
|
|
7
|
|
|
|
|
|
|
|
21
|
|
|
21
|
7
|
|
8
|
|
|
|
|
|
|
|
|
22
|
|
22
|
8
|
|
9
|
|
|
|
|
|
|
|
|
|
25
|
25
|
9
|
Таблица 2
|
х2
|
у3
|
3(х2)
|
у3
|
|
0
|
1
|
2
|
3
|
4
|
5
|
6
|
7
|
8
|
9
|
|
|
|
0
|
0
|
|
|
|
|
|
|
|
|
0
|
0
|
|
1
|
7
|
8
|
|
|
|
|
|
|
|
|
8
|
1
|
|
2
|
10
|
15
|
9
|
|
|
|
|
|
|
|
15
|
1
|
|
3
|
13
|
18
|
16
|
10
|
|
|
|
|
|
|
18
|
1
|
|
4
|
15
|
21
|
19
|
17
|
11
|
|
|
|
|
|
21
|
1
|
|
5
|
16
|
23
|
22
|
20
|
18
|
12
|
|
|
|
|
23
|
1
|
|
6
|
18
|
24
|
24
|
23
|
21
|
19
|
15
|
|
|
|
24
|
1
|
|
7
|
21
|
26
|
25
|
25
|
24
|
22
|
22
|
18
|
|
|
26
|
1
|
|
8
|
22
|
29
|
27
|
26
|
26
|
25
|
25
|
25
|
23
|
|
29
|
1
|
|
9
|
25
|
30
|
30
|
28
|
27
|
27
|
28
|
28
|
30
|
26
|
30
|
8
|
Таблица 3
|
х1
|
у2
|
2(х1)
|
у2
|
|
0
|
1
|
2
|
3
|
4
|
5
|
6
|
7
|
8
|
9
|
|
|
|
0
|
0
|
|
|
|
|
|
|
|
|
|
0
|
0
|
|
1
|
8
|
7
|
|
|
|
|
|
|
|
|
8
|
0
|
|
2
|
15
|
15
|
9
|
|
|
|
|
|
|
|
15
|
1
|
|
3
|
18
|
22
|
17
|
11
|
|
|
|
|
|
|
22
|
1
|
|
4
|
21
|
25
|
24
|
19
|
13
|
|
|
|
|
|
25
|
1
|
|
5
|
23
|
28
|
27
|
26
|
21
|
16
|
|
|
|
|
28
|
1
|
|
6
|
24
|
30
|
30
|
29
|
28
|
17
|
19
|
|
|
|
30
|
1
|
|
7
|
26
|
31
|
32
|
32
|
31
|
18
|
20
|
20
|
|
|
32
|
2
|
|
8
|
29
|
33
|
33
|
34
|
34
|
19
|
21
|
21
|
22
|
|
34
|
3
|
|
9
|
30
|
36
|
35
|
35
|
36
|
20
|
22
|
22
|
23
|
25
|
36
|
4
|
Таблица 4
|
х0
|
у1
|
1(х0)
|
у1
|
|
0
|
1
|
2
|
3
|
4
|
5
|
6
|
7
|
8
|
9
|
|
|
|
9
|
36
|
39
|
41
|
42
|
42
|
40
|
40
|
35
|
32
|
27
|
42
|
3
|
Из Таблицы 4 вытекает, что оптимальным управлением будет y1*
=3, при этом оптимальная прибыль равна 42. Далее получаем
х1=х0-у1*=9-3=6, j2(х1)= j2(6)=30,
y2* =1
х2=х1-у2*=6-1=5, j3(х2)= j3(5)=23,
y3* =1
х3=х2-у3*=5-1=4, j4(х3)= j4(4)=15,
y3* =4
Таким образом, наиболее оптимальным является вложение в предприятия П1,
П2, П3 и П4 денежных средств в размере 4, 1,1 и 3 усл.ед., соответственно. В
этом случае прибыль будет максимальной и составит 42 усл. ед.
Все расчеты проводились с помощью Excel для чего были введены
соответствующие формулы:
9. Динамическое программирование. Оптимальное распределение
ресурсов между двумя предприятиями (отраслями) на n лет
Найти оптимальное распределение ресурсов q0=8000 ед. между
двумя отраслями производить в течение 5 лет, если известны функции доходов для
каждой отрасли f1(x)=0,1x и f2(x)=0,5x, а также функции
возврата b1(x)=0,7x и b2(x)=0,4x. В конце года
возвращенные средства перераспределяются, доход в производство не вкладываются.
Решение
Для решения задачи воспользуемся Excel надстройкой «Поиск решения».
Заполняем таблицу с произвольным опорным планом:
Запускаем Поиск решения с суммарной прибылью в качестве целевой ячейки,
которую надо максимизировать, изменяя план вложений (здесь В3:С7), при
ограничениях: вложения ≥ 0, вложения в обе отрасли за первый год равны
8000, в последующие годы - возврату за предыдущий год (D3:D7 = Е3:Е7). Ниже
представлены результаты расчетов:
|
Год
|
Вложено
|
|
|
|
Прибыль
|
|
|
Возврат
|
|
1
|
2
|
Всего
|
Возврат
|
1
|
2
|
1
|
2
|
|
1
|
3793,00
|
1
|
3794,00
|
2655,50
|
379,2999
|
0,5
|
2655,10
|
0,4
|
|
2
|
1050,50
|
1
|
1051,50
|
735,75
|
105,05
|
0,5
|
735,35
|
0,4
|
|
3
|
1050,50
|
1
|
1051,50
|
735,75
|
105,05
|
0,5
|
735,35
|
0,4
|
|
4
|
1050,50
|
1
|
1051,50
|
105,05
|
0,5
|
735,35
|
0,4
|
|
5
|
1050,50
|
1
|
1051,50
|
735,75
|
105,05
|
0,5
|
735,35
|
0,4
|
|
Всего вложений
|
8000
|
Целевая прибыль
|
802
|
|
|
|
10. Математические модели в экономике. Функция полезности
Какой набор товаров выберет потребитель, обладающий доходом М ден. ед.,
если его функции полезности имеет вид: u(x1,x2)=Ax1ax2b, а вектор цен товаров ( в ден. ед.)
равен (р1, р2)? Найти функции спроса в общем виде, а
также норму замены второго товара первым в оптимальной точке и провести
конкретные расчеты при М=100, a=2/3, b=1/3, р1=5,
р2=10, А=3.
Решение
Функция полезности имеет вид:
Вектор
цен товаров: Р=(5; 10) ден.ед./ед.тов.
Доход
потребителя М=100 ден. ед.
Задачу
потребительского выбора можно представить в виде задачи на условный экстремум:
при
условии
Для
решения задачи применим метод Лагранжа.
Выписываем
функцию Лагранжа:
,
находим
ее первые частные производные по
и
приравниваем эти частные производные нулю:
Умножаем
первое уравнение на 2 и приравниваем правые части двух первых уравнений:
Из
первого уравнения получаем
,
подставляем во второе уравнение:
.
Отсюда
.
Данная
точка есть решение задачи потребительского выбора: потребитель выберет набор,
состоящий из 13,333 товаров первого вида и 3,333 товаров второго вида.
Норма
замещения второго товара первым в оптимальной точке равна
,
т.е
для замены 1 ед. второго товара необходимо 0,504 ед. первого товара.
Составим
функции спроса в общем виде:
-
функция спроса на первый товар;
-
функция спроса на второй товар.
11. Математические модели в экономике. Мультипликативная
производственная функция
Для экономики некоей страны за 15 лет построена модель на основе
мультипликативной производственной функции. Коэффициент нейтрального технического
прогресса равен 1,512, коэффициент эластичности по труду равен 0,861. За эти
годы валовой внутренний продукт вырос в 2,95 раза, фонды увеличились в 1,89
раза, а число занятых в 2,23 раза. Найти фондоотдачу, производительность труда,
относительные эластичности факторов, масштаб экономики и эффективность
экономики.
Решение
Из условия x = 2,95, k=1,89, l=2,23
Находим эластичность выпуска по ОПФ по формуле:
С помощью пакета Wolfram Mathematica 6.0 рассчитываем:
a1=5,5755
Следовательно, производственная функция имеет вид:
=1,512K5,5755L0,861
Сначала находим относительные эластичности по фонду и труду:
a=5,5755/(5,5755+0,861)=0,862
Затем определяем частные эффективности ресурсов:
Фондоотдача:
Ек=х/ k=2,95/1,89=1,56
Производительность труда:
Еl=х/ l=2,95/2,23=1,32
После чего находим обобщенный показатель эффективности как среднее
геометрическое частных:
1, 560,8621,321-0,862=1,52
Масштаб
устанавливаем как среднее геометрическое темпов роста ресурсов:
1,89560,8622,231-0,862=1,93
12. Финансовая математика. Задача о ренте
Дочь имела на счете в банке 160000 рублей, на которые ежемесячно
начислялись 0,8%. Она вышла замуж и уехала за границу, доверив матери за 10 лет
истратить весь ее счет. Сколько денег в месяц будет получать мать?
Решение
Из формулы
Коэффициент приведения данной ренты:
а=(1-1,008120)/0,008=200,22
Искомая сумма платежей составит:
R=160000/200.22=799, 13 руб.
13. Балансовые модели
Закончите составление отчетного баланса по имеющимся данным. Найдите
коэффициенты прямых и полных затрат. Определите коэффициент прямых затрат
внешнего ресурса, указанного в последней строке таблицы, а также коэффициенты
его полных затрат, если планируется произвести конечной продукции на сумму Y1 и Y2 млн. руб. в I и II отрасли соответственно. Составьте
баланс «затраты - выпуск» для планируемого периода. В таблице Y - вектор конечной продукции, Х -
вектор валовой продукции, V -
вектор условно чистой продукции.
Y1=50,
Y2=70.
|
Отрасли
|
Р1
|
Р2
|
|
Y
|
X
|
|
Р1
|
40
|
|
|
100
|
250
|
|
Р2
|
60
|
|
|
|
|
|
|
|
|
|
|
|
|
V
|
|
90
|
|
|
|
|
Х
|
|
|
|
|
|
|
газ
|
|
15
|
|
|
|
Решение
|
Отрасли
|
P1
|
P2
|
S
|
Y
|
X
|
|
P1
|
40
|
110
|
150
|
100
|
250
|
|
P2
|
60
|
-
|
60
|
140
|
200
|
|
S
|
100
|
110
|
210
|
|
|
|
V
|
150
|
90
|
240
|
|
|
|
X
|
250
|
200
|
450
|
|
|
|
Газ
|
5
|
15
|
|
|
|
1. Найдем коэффициенты прямых внутрипроизводственных
затрат:
;
Уравнения
баланса перепишем в виде
Запишем
уравнения баланса в матричной форме. Обозначим:атрица А =
- матрица прямых затрат (технологическая матрица).
Вектор
столбец
- валовой продукт отраслей.
Bектор столбец
- конечный продукт отраслей.
В
матричной форме уравнение баланса имеет вид
,
его
можно переписать:
или
Для
нахождения матрицы B используем следующую процедуру:
шаг:
шаг:
¹0.
шаг:
Найдем матрицу (E - A)-1 по формулам линейной алгебры через алгебраические
дополнения к матрице (E - A). Обозначим их через Cij.
Тогда:
По
уравнению баланса непосредственной проверкой легко убедится, что выполняется:
X = B × Y
или
Пусть
на следующий период времени планируется произвести конечной продукции на сумму 50
и 70 млн. руб. в I и II отрасли соответственно:
Новый
вектор валового продукта имеет следующую оценку:
Определим
коэффициент прямых затрат внешнего ресурса (газа).
Затраты
газа на производство продукта X1 = 125 в первой отрасли
составили G1 = 5,
а аналогичные затраты во второй отрасли на производство продукта X2 = 100 составили G2 = 15. Тогда вектор
коэффициентов прямых затрат газа:
Рассчитаем
вектор коэффициентов полных затрат газа:
Составим
модель «затраты-выпуск» для планируемого периода:
|
Отрасли
|
P1
|
P2
|
S
|
Y
|
X
|
|
P1
|
20
|
55
|
75
|
50
|
125
|
|
P2
|
30
|
0
|
30
|
70
|
100
|
|
S
|
50
|
55
|
105
|
|
|
14. Модель равновесных цен
Дана балансовая таблица по двум отраслям.
Рассчитать структурную матрицу и найти валовой выпуск каждой отрасли, если
известно, что объем потребления I
отрасли уменьшится на х1, а объем потребления II отрасли на х2.
Определить равновесные цены в исходном варианте и в случае, когда норма
добавленной стоимости первой отрасли увеличится на у.
Определить на сколько процентов увеличились цены в отраслях, найти индекс
инфляции.
х1=10, х2=5%, у=20%
|
Отрасли (производство)
|
Отрасли (потребление)
|
Потребление
|
Валовой выпуск
|
Норма добавленной стоимости
|
|
I
|
II
|
|
|
|
|
I
|
10
|
60
|
30
|
100
|
5
|
|
II
|
20
|
20
|
80
|
120
|
10
|
Решение
Записываем
х1=100, х2=120, w11=10, w12=60, w21=20, w22=20. По
формуле
находим коэффициенты и составляем из них матрицу:
А=
Находим
матрицу полных затрат:
Е-А=
S= (Е-А)-1=
По
условию матрица планируемого конечного продукта равна:
Перемножая
эти матрицы, получаем матрицу валового выпуска, который обеспечит планируемое
конечное потребление:
Аналогичным
образом находим равновесные цены в исходном варианте:
Р=
В
случае, если норма добавленной стоимости первой отрасли увеличится на 20%:
равновесные цены составят:
Р=
Цены
в первой отрасли увеличились на (16,94-15,64)/15,64*100=8,31%
Во
второй отрасли: (15,38-15,13)/15,13*100=1,654%
Индекс
инфляции в первой отрасли составил:
(16,94/15,64)=1,8
Во
второй:
,38/15,13=1,1
Список использованной литературы
1. Бережная
Е.В., Бережной В.И. Математические методы моделирования экономических систем. -
М.: Финансы и статистика, 2008.
2. Громенко
В.В. МАТЕМАТИЧЕСКАЯ ЭКОНОМИКА: Учебно-практическое пособие, руководство по
изучению дисциплины, учебная программа по дисциплине / Московский
государственный университет экономики, статистики и информатики. - М.: МЭСИ,
2004.
. Громенко
В.М. Математические методы исследования экономики. Учебнопрактическое пособие,
2010
. Катаргин
Н.В. Экономико-математические методы и экономико-математические модели:
Учебно-методический комплекс. Для студентов Института сокращенных программ,
обучающихся по специальности 08010565 “Финансы и кредит”. - М.: Финансовая
академия при Правительстве РФ, кафедра “Математическое моделирование
экономических процессов”, 2007.
. Катаргин
Н.В. Экономико-математическое моделирование. Практикум. - М.: ФА, 2005.
. Невежин
В.П., Кружилов С.И. “Сборник задач по курсу “Экономико-математическое
моделирование”. - М.: Городец, 2005.
. Экономико-математическое
моделирование. / Под общ. ред. И.Н. Дрогобыцкого. - М.: Экзамен, 2004, 2006.