Выбор оптимальной структуры системы и процесса обслуживания
Оглавление
Введение
Системы массового обслуживания
Математическая модель №1
Полученные результаты
Литература
Введение
Сфера обслуживания - часть экономики, которая включает в себя все
виды коммерческих
<#"879898.files/image001.gif">
Постановка задачи
В солярии "Лилия" работает 5
кабинок. Среднее число клиентов за 1 час составляет 14 человек. Среднее время
обслуживания одного клиента составляет 20 минут. Стоимость одной минуты
составляет 8 рублей. Стоимость работы одной кабинки в час 240 рублей. Общие
потери при организации работы составляют 428 рублей. Время работы с 10.00 до
20.00 без выходных. Отчетный период 1 месяц (30 дней). Необходимо
проанализировать эффективность работы солярия "Лилия".
Математическая
модель №1
На систему, состоящую из n=5 приборов, поступает
поток требований на обслуживание интенсивностью α=14 в час. Время
обслуживания каждого требования - случайное с экспоненциальной функцией
распределения и интенсивностью обслуживания β=3. Если требование,
поступившее в систему, застает все приборы занятыми, то оно встает в очередь и
ждет до тех пор, пока прибор не освободится. В каждый момент времени любой
прибор может обслуживать не более одного требования. Требуется эффективность
работы такой системы.
Обозначим через Рk вероятность того, что в
системе находится k требований (состояние Сk), k=0,1,….
Введем показатель эффективности
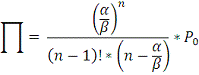
Вероятность того, что в системе отсутствуют требования (все
приборы свободны, клиентов нет):
P0
, 
Вероятность того, что в системе k-приборов занято обслуживанием:

, k=1, 2, 3, …, n-1
Вероятность того, что все приборы заняты:


, s=0, 1, …
Среднее время, в течение которого требование ждет начала
обслуживания:
Вероятность того, что время ожидания в очереди больше заданного
времени Т=Т0:

, t0=tож
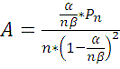
Средняя длина очереди - А:

, или 
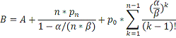
Среднее число требований, находящихся в системе - В:

, или
N0 -
среднее число свободных приборов:
3 - среднее
число приборов, занятых обслуживанием:
R - среднее число обслуживаемых требований: R = N3
Kпр -
коэффициент простоя приборов;
K3 - коэффициент загрузки приборов:


,
где q1=190 (руб/в час) - стоимость потерь, связанных с простаиванием
требований в очереди в единицу времени,
q2=188 (руб/в час) - стоимость потерь за простой
обслуживающего устройства в единицу времени,
q3=50 (руб/в час) - стоимость эксплуатации прибора
при обслуживании требований в единицу времени.
Полученные
результаты
1. Вероятность того, что в системе отсутствуют требования:
0.00303 2. Вероятность того, что в системе 1 прибор занят обслуживанием: 0.0141
2. Вероятность того, что в системе 2 прибор занят обслуживанием: 0.0329
. Вероятность того, что в системе 3 прибор занят
обслуживанием: 0.0513
. Вероятность того, что в системе 4 прибор занят
обслуживанием: 0.0599 3. Вероятность того, что все 3 прибора заняты: 0.8384 4.
Вероятность того, что в очереди находятся 0 требований: 0.0.0559 4. Вероятность
того, что в очереди находятся 1 требование: 0.0522 4. Вероятность того, что в
очереди находятся 2 требования: 0.0487
. Вероятность того, что в очереди находятся 3 требования:
0.0454
. Вероятность того, что в очереди находятся 4 требования:
0.0424
. Вероятность того, что в очереди находятся 5 требования:
0.0396
. Вероятность того, что в очереди находятся 6 требования:
0.0369
. Вероятность того, что в очереди находятся 7 требования:
0.0345
. Вероятность того, что в очереди находятся 8 требования:
0.0322
. Вероятность того, что в очереди находятся 9 требования:
0.03004
. Вероятность того, что в очереди находятся 10 требования:
0.02803
. Вероятность того, что в очереди находятся 11 требования:
0.0262
. Вероятность того, что в очереди находятся 12 требования:
0.0244
. Вероятность того, что в очереди находятся 13 требования:
0.0228
. Вероятность того, что в очереди находятся 14 требования:
0.0213
. Среднее время, в течение которого требование ждет начала
обслуживания: 0.8384 6. Вероятность того, что время ожидания в очереди больше
заданного времени: 0.432402 7. Средняя длина очереди: 2.3514 8. Среднее число
требований, находящихся в системе: 7.0168 9. Среднее число свободных приборов:
0.3332 10. Среднее число приборов, занятых обслуживанием: 4.6668 11. Среднее
число обслуживаемых требований: 4.6668 12. Коэффициент простоя приборов:
0.06664 13. Kоэффициент загрузки приборов: 0.93336 14. Суммарные потери за
отчетный период (T = 300 ч/мес): 82820.28.
Литература
1. Методические
указания к выполнению контрольной работы по дисциплине "Теория массового
обслуживания"
2. Павский
В.А. "Теория массового обслуживания"