Элементы векторной алгебры и аналитической геометрии
Министерство
высшего и среднего специального образования Республики Узбекистан
Ташкентский
институт текстильной и легкой промышленности
Удк
516.517
ЭЛЕМЕНТЫ
ВЕКТОРНОЙ АЛГЕБРЫ И АНАЛИТИЧЕСКОЙ ГЕОМЕТРИИ
Методические
указания
Ташкент-2010
Аннотация
Методическое указание написано в виде
справочника, приведены план работы, каждый раздел содержит краткие
теоретические введения, решения типовых примеров и задачи для самостоятельного
решения. Цель
методического указания помочь студентам самостоятельно решать задачи, может
оказаться полезной и лицам, желающим повторить элементы векторной алгебры и
аналитической геометрии.
СОСТАВИТЕЛЬ
Доцент кандидат физ .- матем. наук
М.М.Сайдаматов
РЕЦЕНЗЕНТЫ
ТИТЛП проф. А.З. Маматов, НУУз проф. Б. Атажанов
Утверждено научно-
методическим
советом института
«_12__»___03____ 2010 г.
Протокол № _4___
Размножено в «_25__»
экземплярах
в типографии ТИТЛП
РАЗДЕЛ 1. ПРЯМАЯ НА ПЛОСКОСТИ
Основные формулы
. Расстояние d
между двумя точками М1(Х1 У1) и М2 (Х1 У2) определяются по формуле
d=М1М2=
/1.1/
.Деление отрезка М1М2 в данном
отношении.
Точка М делит отрезок М1М2 в
отношении
, если
М лежит на отрезке или на его
продолжении и
=
, /1.2/
причем перед дробью берется знак
«плюс», если точка М лежит между М1 и М2, и знак «минус» - в противном случае.
Если дано отношение
, то
координаты точек М (х, у) определяются по формулам
/1.3/
Если точка М(х,у) является серединой
отрезка М1М2, то ее координаты определяются по формулам
/1.4/
. Общее уравнение прямой
Ах+Ву+С=0 /1.5/
При В 0 из /1.5/ получается
уравнение
у=кх+в,
где угловой коэффициент 
, свободный член
.
. Уравнение прямой по точке
М0(х0,у0) и угловому коэффициенту К:
у-у0=к(х-х0) /1.6/
к=tg
. Уравнение прямой, проходящие через
две точки: М1(х1,у1) и М2(х2,у2):
/1.7/
Угловой коэффициент прямой равен
/1.8/
. Углом между двумя прямыми
называется наименьший из углов
и
1
Тангенс угла между прямой с угловым
коэффициентами К1 и К2 равен
/1.9/
. Условие параллельности двух прямых с угловыми
коэффициентами
К1 и К2 ,
К1=К2 /1.10/
. Условие перпендикулярности двух прямых с
угловыми коэффициентами К1 и К2
/1.11/
. Расстояние от точки М1(х1,у1) до
прямой ax+by+c=0
вычисляется по формуле
/1.12/
ПРИМЕРЫ
.Дана прямая 2х-3у+3=0. Составить
уравнение прямой, проходящей через точку М0(1,1):
а) параллельно данной прямой;
б) перпендикулярно данной прямой.
Решение.
а) Определим угловой коэффициент К1
из уравнения данной прямой
Из условия параллельности прямых -
см. формулу /1.10/ получаем угловой коэффициент искомой прямой
По точке М0 и угловому коэффициенту
К2 составляем уравнение - см. формулу /1.6/
б) Из условия перпендикулярности
прямых - см. формулу /1.11/ определим угловой коэффициент искомой прямой
По формуле /1.6/ составляем
уравнение перпендикулярной прямой
или
Ответ: а) 2х-3у+1=0;
б) 3х+2у-5=0
. Найти проекцию точки Р()2,1) на
прямой, проходящую через две точки: М1(1,-1) и М2(2,0).
Решение. Проекция Р1
является
точкой пересечения данной прямой М1М2 и перпендикулярной прямой РР1.
а) Составим уравнение прямой М1М2
см. формулу /1.7/
или
Из этого уравнения определим угловой
коэффициент: К1=1.
б) Из условия перпендикулярности
прямых см. формулу /1.11/ найдем угловой коэффициент прямой РР1:
в) составим уравнение прямой РР1 по
формуле /1.6/
или
г) найдем координаты проекции Р1,
решая совместно два уравнения
Ответ:
. Найти точку Q,
симметричную точке Р(5,-2) относительно прямой 5х-3у+3=0
Решение. Точка Q лежит на
продолжении перпендикуляра РР1, опущенного из точки Р на прямую, на таком же
расстоянии от прямой, что и точка Р. Поэтому точка Q делит
отрезок РР1 в отношении
.
А) найдем координаты проекции Р1
(см. решение примера 2). Определим угловой коэффициент К1 данной прямой
.
Тогда угловой коэффициент К2 прямой PQ равен - см.
формулу /1.11/
;
Уравнение прямой PQ имеет вид -
см. формулу /1.6/
или
.
Координаты точки P1 находим
при совместном решении двух уравнений
б) Находим координаты симметричной
точки по формулам /1.3/:
,
.
Ответ: Q(-5,4).
. Зная координаты вершин
треугольника А(2,4), В(-1,3) и С(2,-1) найти:
а) уравнение и длину высоты АН;
б) уравнение медианы ВМ
в) угол В.
Решение. а) составим уравнение
прямой ВС по формуле /1.7/:
или
х+3у-5=0
Из уравнения ВС определим угловой коэффициент:
угловой коэффициент высоты АН найдем
по формуле /1.11/:
Составим уравнение прямой АН по
формуле /1.6/:
или
х-4у+10=0
Расстояние от точки А до стороны ВС
получим по формуле /1.12/:
б) Найдем координаты точки М по
формулам /1.7/:
,
.
Составим уравнение медианы ВМ по
формуле /1.7/:
или
х+2н-5=0
в) Угловой коэффициент прямой АВ
определим по формуле /1.8/:
Угол В вычисляем по формуле /1.9/:
Ответ: а) АН: 3х-4у+100=0,
б) ВМ: х+2у-5=0
в)
. Даны вершины треугольника А(4,6),
В(-4,0) и С(-1,-4).
Составим уравнение биссектрис его
внутреннего и внешнего углов при вершине В.
Решение. а) Из школьного курса
геометрии известно, что биссектриса ВК делит сторону АС в отношении
Определим длины сторон АВ и ВС по
формуле /1.1/:
;
. Тогда
б) Координаты точки К вычислим по
формулам /1.3/:
,
.
в)Составим уравнение биссектрисы ВК
по формуле /1.7/:
или
х+7у+4=0
г) биссектриса BL
перпендикулярна ВК, следовательно, угловой коэффициент КBL находим по
формуле /1.11/:
.
д) Составим уравнение биссектрисы BL по формуле
/1.6/:
у-0=7(х+4)
или
х-у+2В=0
Ответ: ВК: х+7у+4=0, BL: 7x-y+2B=0.
Самостоятельная
работа
. Построить прямую,
отсекающую на оси Оу отрезок
и составляющую с осью Ох угол:
.
. Дан треугольник с вершинами
А(-2, 0), B(2,4), и С(4,0).
Написать
уравнения сторон треугольника, медианы AE, высоты AD и найти
длину медианы AE.
. Определить вершины и углы
треугольника, стороны которого заданы уравнениями х+3у=0, х=3, х-2у+3=0.
. Найти углы и площадь
треугольника, образованного прямыми у=2х, у=-2х и у=х+b.
РАЗДЕЛ 2. ВЕКТОРНАЯ АЛГЕБРА
№1. Векторы. Линейные
операции над векторами. Основные понятия и определения
. Вектором называется величина, которая
характеризуется числовым значением и направлением в пространстве.
Геометрически вектор изображается отрезком
определенной длины и определенного направления
Точка
- начало вектора
. Точка
- конец
вектора
. Числовое
значение вектора
называется
модулем / длиной / вектора:
.
Нулевым вектором называется вектор,
у которого начало и конец совпадают.
Ортом
вектора
называется
вектор, имеющий единичную длину и такое же направление, как и данный вектор
.
. Коллинеарным называется векторы,
лежащие на одной прямой или на параллельных прямых.
Компланарными называются векторы,
лежащие в одной плоскости или в параллельных плоскостях.
. Два вектора считаются равными, если:
а) они
имеются равные модули / длины/;
б) коллинеарные;
в) одинаково направлены.
. Линейными операциями над векторами
называются операции сложения векторов и умножения их на числа.
Суммой
двух
векторов
и
называется
третий вектор, идущий из начала вектора
в конце вектора
, когда
начало вектора,
приложено к
концу вектора
, сумму
можно
представить также как диагональ параллелограмма, построенного на векторах
и
,
приведенных к одному началу.
Произведением
числа
на вектор
называется
такой вектор, длина которого равна
, а направление сохраняется прежним
при
и
заменяется противоположным при
. Если
, то вектор
называется
противоположным вектору
.
Свойства векторов
.
(переместительный закон)
.
(сочетательный закон ).
.
.
.
(распределительный закон).
.
(распределительный закон).
.
.
Линейной комбинацией n векторов
коэффициентами
называется
вектор, равный
.
. проекцией вектора
на ось
(на вектор
) называется
число, равное
, где
- проекцией
начала А и
- проекцией
конца
на ось
(на вектор
), причем
знак “плюс” берется, когда направление
совпадает с направлением
, а знак «минус”
в противном случае.
Проекция вектора вычисляется по
формуле
, где
-
наименьший угол, на который надо повернуть вектор
, чтобы его
направление совпало с направлением
.
. Разложение вектора по базису.
Базисом в пространстве называются
любые три некомпланарных вектора
.
Разложить вектор
по базису
- это значит
представить вектор
в виде
линейной комбинации
,
где
- числа, называемые координатами
вектора в данном базисе.
Базис в плоскости называются любые
два неколлинеарных вектора
-это значит представить вектор
в виде
линейной комбинацией
, где
и
- числа,
называемые координатами вектора
в данном базисе.
Пусть
- векторы/ направленные
соответственно по осям OX, OY, OZ
прямоугольной системы координат, имеющие единичную длину.
Базис
называется прямоугольным базисом.
Разложение вектора
по базису
имеет вид
, где X,Y,Z -
прямоугольные координаты вектора
(символическое обозначение:
).
Прямоугольные координаты вектора
равны проекциям этого вектора на оси координат.
Основные формулы в координатной
форме
1. Координаты вектора, заданного двумя
точками - началом
М1(X1,
Y1, Z1)
и концом М2(X2, Y2,
Z2): X=X2-X1,
Y=Y2-Y2,
Z=Z2-Z1
/2.1/
Cуммой и разностью
двух векторов
,
2. Модуль
(длина)
вектора
:
/2.2/
3. Направляющие косинусы
вектора
:
,
,
, /2.3/
где
- угля между вектором
и осями
координат OX, OY, OZ соответственно.
Направляющие косинусы связаны
формулой
. /2.4/
Орт
вектор
имеет
координаты
.
4. Координаты линейной комбинацией векторов
и
/2.5/,
. Признак коллинеарности
векторов
и
:
/2.6/
ПРИМЕРЫ
. Определить координаты и модули
векторов, заданных двумя точками
Б) Модули векторов находим по
формуле /2.2/
Ответ:
. Определить начало вектора
,
направляющие конусы и орт
,если конец
совпадает с точкой
Решение. А) из формулы /2.1/
получаем координаты начала
:
Б) Модуль вектора определим по
формуле /2.2/:
В) Направляющие конусы вычисляем по
формуле /2.3/:
Г)Координаты орта
числено
равны направляющим конусам:
Ответ:
. Может ли вектор составлять с
координатами осями углы 
Решение. Для заданных величин
формула
/2.4/ не выполняется:
поэтому вектор не может составлять
данные углы с осями координат.
. Даны два вектора
и
Определить
. По формуле
/2.5/ получаем:
. Определить, при каких
значениях α
и
β
векторы
и
коллинеарны.
Решение. Используя признаки колинеарности
векторов - см, формулу /2.6/, составим пропорцию:
. Найти разложение вектора
по базису
Решение. Найдем коэффициенты α, β,
γ в
разложении
.
Для этого запишем данную формулу в
координатах. Координаты правой части вычислим, используя формулу /2.5/:
Эти координаты должны равняться
соответствующим координатам вектора
. Следовательно,
Решим полученную систему уравнений
методом исключения неизвестных /методом Гаусса/:
Самостоятельная
работа
. Определить координаты и
модули векторов, заданных двумя точками
.
. Определить, при каких
значениях α
и
β
векторы
и
коллинеарны.
3. Найти разложение вектора
по базису
. При каких значениях m векторы
перпендикулярны
№ 2.
Скалярное произведение векторов и его применение. Основные понятия и
определения
1. Углом между векторами
и
будем
называть наименьший из двух углов
и
/считаем, что всегда можно сделать
параллельным переносом/.
. Скалярным произведением
двух
векторов
и
называется
число, равное произведению длин этих векторов, умноженному на косинус угла
между ними:
1. Скалярное произведение двух векторов равно
длине одного из них, умноженной на проекцию другого вектора на первый вектор:
2. Скалярное произведение двух векторов равно
нулю тогда и только тогда, когда либо один из векторов равен нулю, либо они
перпендикулярны.
3. Физический смысл скалярного
произведения.
Работа А равнодействующей несколько
сил
,
приложенных к материальной точке, при прямолинейном точке, при прямолинейном
перемещении из положения М1 в положение М2, равна
.
Свойства скалярного произведения.
.
/переместительный
закон/.
.
/распределительный
закон/.
.
/сочетательный закон
относительно числового множителя/.
.
/скалярное произведение вектора
самого на себя равно квадрату его длины/.
Основные формулы в координатной форме.
1. Скалярное произведение
векторов
и
:
/2.7/
. Угол между векторами
и
определяется
по формуле
/2.8/
3. Признак перпендикулярности
векторов
и
:
/2.9/
ПРИМЕРЫ
. В Параллелепипеда АBCDA`B`C`D` стороны АВ
и АD взаимно
перпендикулярны, а стороны АА` образует с ними углы в 1200.
Определить длины
диагоналей А`С и В`D если длины сторон равны АВ=2, АD=1, AA`=3.
Решение. Рассмотрим векторы
. Из рисунка
видно, что диагональ
, лежащая в
плоскости АА`C`C,
удовлетворяет соотношению.
Для нахождения
используем
4-е свойство скалярного произведения:
Аналогично, диагональ B`D, лежащая в
плоскости DD`B`B,
удовлетворяет соотношению
Поэтому
.
. Даны вершины треугольника
А(1,2,-1), В(-1,0,1) и С(1,1,1). Определить его внутренний и внешний углы при
вершине В.
Решение. а/ Внутренний угол при
вершине В образован векторами
и
. Координаты векторов находим по
формулам /2.1/:
б/ Косинус угла
при вершине
В находим по формуле /2.8/:
.
.
в/ Внешний угол при вершине В равен
,
. Найти сектор
, зная, что
он перпендикулярен к векторам
и
и удовлетворяет условию
Решение. Обозначим координаты
искомого вектора
а/ Из условия перпендикулярности
векторов /2.9/ получим
Последнее условие примера с учетом
формулы /2.7/ примет вид
Х+2Y-Z=19
б/ Полученную систему трех уравнений
с тремя неизвестными решим методом исключения:
.
. Даны две точки М1(1,0,2) и
М2(-1,1,1). Найти проекцию вектора
на вектор
.
Решение. а/ Определить координаты
вектора
:
.
б/ Скалярное произведение
вычислим по
формуле /2.7/:
в/ Проекция вектора
на вектор
с учетом
формулы /2.8/ равна
Ответ:
.
. Даны две силы
и
,
приложенные к одной точке. Какую работу производит равнодействующая этих сил,
когда её точка приложения прямолинейно перемещается из положения М1(0,1,1) в
положение М2(1,-2,1)?
Решение. а/ Равнодействующая сила
равна
;
б/ вектор перемещения равен
в/ Работу
вычисляем по формуле /2.9/:
Ответ: А=4.
№ 3. Векторное произведение векторов и его применение
1. Ориентация системы векторов в пространстве.
Система трех некомпланарных векторов
в
пространстве может иметь две ориентации: правею и левую.
Поместим начала трех векторов
в одну
точку О и проведем через второй и третий векторы плоскость. Если смотреть из
конца третьего вектора на конец второго, то первый вектор будет расположен либо
с правой, либо с левой стороны от плоскости.
В первом случае система трех
некомпланарных векторов
имеет правую
ориентацию, а во втором случае - левую.

. Векторным произведением вектора
на вектор
называется
вектор, обозначаемый символ
/или
/ к удовлетворяющий условиям:
а/ длина вектора
равна
произведению длин векторов
и
, умноженному на синус угла
между ними:
;
б/ вектор
перпендикулярен
векторам
и
.
в/ система трех векторов
имеет
правую
ориентацию. -18-
. Векторное произведение двух
векторов равно нулю тогда и только тогда, когда либо один из векторов равен
нулю, либо они коллинеарны.
. Геометрический смысл векторного
произведения.
Модуль /длина/ векторного
произведения векторов
и
равен
площади S
параллелограмма, построенного на этих векторах, как на сторонах:
/2.10/
. Физический смысл векторного
произведения.
Момент
силы
,
приложенной к материальной точке А, относительно точки О равен
. /2.11/
Свойства векторного произведения
.
/антипереместительный
закон/
.
/распределительный
закон/
.
/сочетательный закон
относительно числового множителя/
.
/векторное произведение вектора
на себя равно нулю/. Это свойства является следствием п.з. данного параграфа.
Векторное произведение вектора
и
В координатной форме:
/2.12/
ПРИМЕРЫ
. Векторы
и
образуют
угол
Зная, что 
вычислить площадь параллелограмма,
построена на векторах
и
Решение. а/ Используя свойства
векторного произведения, вычислим
б/ Площадь параллелограмма найден, учитывая
геометрический смысл векторного произведения:
.
Ответ: S=21
. Даны вершины треугольника
А(1,-2,3), В(0,2,2) и С(-1,2,1). Вычислить площадь S
треугольника АВС и длину высоты h, опущенной из вершины А на сторону ВС.
Решение: а/ Рассмотрим два вектора
и
, исходящие
из общей точки С. Их координаты равны
По формуле /2.12/ определим
векторное произведение этих векторов:
По формуле /2.10/ найдем S1 - площадь
параллелограмма, построенного на векторах
и
:
.
Затем вычислим площадь треугольника
АВС:
.
б/ По формуле /2.2/ определим длину
сторон СВ:
.
Теперь из соотношения
найдем
длину высоты:
Ответ:
. Даны три силы 
и
, приложенные к точке А(0,1,2).
Определить величину и направляющие косинусы момента равнодействующей этих сил
относительно начала координат О.
Решение. а/ найдем равнодействующую
силу R по формуле
/2.5/:
б/ Вычислим координаты вектора
в/ По формуле /2.11/ определим
вектор момента
равнодействующей
силы в координатной форме:
г/ Вычислим величину момента:
затем
направляющие косинусы момента:
Ответ: 
№ 4.
Смешанное произведение и его применение
. Смешанным произведением
трех
векторов
называется
число, равное скалярному произведению вектора
на вектор
:
. Смешанное произведение трех
векторов равно нулю тогда и только тогда, когда либо один из векторов равен
нулю, либо они компланарны.
. Геометрический смысл смешанного
произведения.
Абсолютная величина смешанного
произведения трех векторов
равна объему V
параллелепипеда, ребрами которого является эти векторы:
/2.13/
Знак смешанного произведения
определяет ориентацию системы трех векторов
в пространстве: если
то система
имеет правую ориентацию, если
то левую.
Свойства смешанного произведения
.
.
.
/При перестановке сомножителей
смешанное произведение не изменится, если не изменится ориентация системы
векторов. Если ориентация системы изменится, то у смешанного произведения
изменится только знак/.
Смешанного произведение векторов
,
,
В координатной форме:
/2.14/
Признаки компланарности векторов
/2.15/
ПРИМЕРЫ
. Вычислить объем V тетраэдра,
вершины которого находятся в точках А(-1,0,1), В(0,1,1), С(4,1,-2) и D(2,-1,0).
Решение. а/ Рассмотрим три вектора
и
, исходящие
из общей точки А. Их координаты равны
.
б/ Вычислим смешанное произведение
этих векторов по формуле /2.14/:
в/ Найдем объем
параллелепипеда V1, учитывая геометрический смысл
смешанного произведения, по формуле /2.13/:
г/ Объем тетраэдра V получим из
соотношения
Ответ:
3. При
каком значении α четыре
точки А(0,1,-1), В(1,0,1), С(1,2,0) и D(1,1,α)
лежат
в одной плоскости?
Решение. а/ рассмотрим три вектора
и
, исходящие
из общей точки А. Четыре точки А,В,С и D лежат в
одной плоскости тогда и только тогда, когда векторы
и
компланерны.
Координаты этих векторов равны
.
б/ Запишем условие компланетности
трех векторов
и
в
координатной форме - см. формула /2.15/:
Вычислим полученный определитель
разложением по элементам третьей строки:
или1(-1-2)+(α+1)(1+1)=0,или-3+2(α+1)=0,
Ответ:
Самостоятельная работа
1. Построить пирамиду с вершинами 0(0,0,0),
А(5,2,0), В(2,5,0), С(1,2,4) и вычислить ее объем.
2. Даны векторы
при каком
значении m векторы
компланарны.
. Построить пирамиду с
вершинами 0(0,0,0), А(5,2,0), В(2,5,0), С(1,2,4) и вычислить площадь грани АВС
и высоту пирамиды, опущенную на эту грань.
. При каком значении α четыре точки
А(0,1,-1), В(1,0, α
), С(1,2,0)
и D(1,1,2)
лежат в одной плоскости?
РАЗДЕЛ 3. ПРИМЕНЕНИЕ ВЕКТОРОВ В АНАЛИТИЧЕСКОЙ
ГЕОМЕТРИИ
Основные формулы
. Общее уравнение плоскости
Ax+By+Cz+D=0
/3.1/
Высокий /не равный нулю/ вектор,
перпендикулярный к данной плоскости, называется её нормальным вектором. Вектор
- нормальный
вектор плоскости, заданный уравнением /3.1/.
. Уравнение плоскости по точке М0(Х0,Y0,Z0) и
нормальному вектору
:
A(X-X0)+B(Y-Y0)+C(Z-Z0)=0 /3.2/
. Уравнение прямой L в
пространстве как линии пересечения двух плоскостей π1 и π2:
/3.3/
Где коэффициент А1, В1, С1 не
пропорциональны коэффициентам А2, В2, С2.
. Канонические уравнения прямой L в
пространстве:
/3.4/
М0(Х0,Y0,Z0) - Точка
на прямой L.
S={p, q, r} -
направляющий вектор прямой L.
. Параметрические уравнения прямой L в
пространстве:
М0(Х0,Y0,Z0) - Точка
на прямой L.
S={p, q, r} -
направляющий вектор прямой L /3.5/
λ - параметр, -∞< λ <∞.
ПРИМЕРЫ
. Составить уравнение плоскости,
проходящей через точку М(1,-1,-1) параллельно векторам
и
.
Решение. а/ По условию задачи
векторы
и
параллельны
плоскости. Следовательно, по определению векторного произведения, вектор
х
перпендикулярен плоскости и может быть взят и качестве её нормального вектора
. Найдем
координаты вектора
:
б/ По формуле /3.2/ составим
уравнение искомой плоскости:
(х-1)+2(у+1)-(z+1)=0 или
2х-2у+z-3=0
Ответ: 2х-2y-z-3=0/
. Составить уравнение плоскости,
проходящей через три точки
М1(-1,1,2), М2(0,1,-1), М3(2,-1,-1).
Решение. а/ Рассмотрим векторы М1М2
и М1М3 параллельны искомой плоскости /более того, лежат в этой плоскости/.
Следовательно, задача свелась к предыдущей задаче № 1: составить уравнение
плоскости, проходящей через точку М1 параллельно двум векторам М1М2 и М1М3.
Координаты нормального вектора ищем
по формуле
Уравнение искомой плоскости составил
по формуле /3.2/:
(x+1)-6(y01)-2(z-2)=0 или 3x+3y+z-2=0
Ответ: 3x+3y+z-2=0
. Определить, при каком значении α следующие
плоскости
х-6у+αz-4=0 и x-2y-z+1=0
а/ параллельны?
б/ перпендикулярны?
Решение. а/ Заданные плоскости
параллельны тогда и только тогда, когда их нормальные векторы
и
коллеарны.
Координаты нормальных векторов равны 
Запишем условие коллинеарности этих
векторов - см. формула /2.6/:
Из пропорции получим α=-3.
б/ Заданные плоскости
перпендикулярны тогда и только тогда, когда их нормальные векторы
и
перпендикулярны.
Запишем условие перпендикулярности
этих векторов - см. формула /2.9/:
3+12-α=0
Откуда α=15
Ответ: При α=-3. плоскости
параллельны, при α=15
плоскости
перпендикулярны.
. Составить канонические и
параметрические уравнения прямой
Решение. а/ Искомая прямая L является
линией пересечения двух плоскостей. Найдем какую-либо точку, принадлежащую
прямой L. Для этого
в заданных уравнениях плоскостей положим какое-либо неизвестное равным
постоянной, например, z=0.
Найдем значения двух других
неизвестных из полученной системы уравнений:
Точка М(1,-2,0) лежит на прямой L.
б/ Определим направляющий вектор
прямой S. Для этого
найдем
нормальные векторы плоскостей: 
.
Вектор
будет
параллелен обеим плоскостям и, следовательно. Линии их пересечения L. Поэтому
возьмем вектор
в качестве
направляющего вектора прямой L. Найдем координаты вектора
:
в/ По формуле /3.4/ составим
канонические уравнения прямой L:
г/ По формуле /3.5/ составим
канонические уравнения прямой L:
-∞<
λ <∞.
Ответ:
, х=1-3λ, у=2-λ, z=2λ, (-∞<
λ <∞).
. Составить канонические и
параметрические уравнения прямой, проходящей через две данные точки А(0,1,-1) и
В(1,-2,0).
Решение. а/ Схематически изобразим
прямую /более того, лежит не ней/, то его можно взять в качестве направляющего:
б/ По формуле /3.4/ составил
канонические уравнения прямой, проходящей через точку А(0,1,-1) в направлении
вектора
.
в/ По формулам /3.5/ составим
параметрические уравнения искомой прямой:
-∞< λ <∞.
Ответ:
, х=λ, у=1-3λ, z=-1+λ, (-∞<
λ <∞).
. Составить канонические и
параметрические уравнение прямой, проходящей через точку М(0,2,2) параллельно
прямой
Решение. Схематически
изобразим искомую прямую L и данную прямую L1. Определим
направляющий вектор
прямой L. Так как
прямые по условию параллельны, то направляющий вектор прямой L можно взять
равным направляющему вектору прямой L1. Из
заданных канонических уравнений прямой L1 получим:
По формуле /3.4/ составим
канонические уравнения искомой прямой L:
По формуле /3.4/ составим
параметрические уравнения искомой прямой L:
-∞< λ <∞.
Ответ:
, x=2λ, y=2+3λ, z=2-λ, (-∞<
λ <∞).
7. Составить канонические и
параметрические уравнения прямой, проходящей через точку М(1,-2,0)
перпендикулярно плоскости
x-3y+z-1=0.
Решение. Схематически изобразим
заданную плоскость π
и
искомую прямую L. Определим направляющий вектор
прямой L. Так как
эта прямая по условию перпендикулярна плоскости, то нормальный вектор плоскости
параллелен
прямой L. Поэтому
возьмем вектор
в качестве
направляющего вектора
искомой
прямой L:
По формуле /3.4/ составим
канонические уравнения прямой:
По формуле /3.5/ составим
параметрические уравнения прямой:
-∞< λ <∞.
Ответ:
, x=1+2λ, y=-2-3λ, z=λ, (-∞<
λ <∞).
8. При каком значении α прямые
и
а/ параллельны? б/ перпендикулярны?
Решение. а/ Сначала из
заданных уравнений в соответствии с формулами /3.4/ и /3.5/ определим
направляющие векторы прямых
Две прямые параллельны тогда и
только тогда, когда их направляющие векторы коллинеарны. Запишем условие
коллинеарности этих векторов - см. формулу /2.6/:
.
Из пропорции получим
б/ Две прямые перпендикулярны тогда
и только тогда, когда их направляющие векторы перпендикулярны. Запишем условие
перпендикулярности векторов - см. формулу /2.9/:
Отсюда
.
Ответ: Прямые параллельны при
и
перпендикулярны при
.
Самостоятельная
работа
1. Определить, при каком значении α следующие
плоскости
х-5у+z-4=0 и x-3y-αz+2=0
а/ параллельны? б/ перпендикулярны?
2. Составить канонические и параметрические
уравнения прямой,
проходящей через две данные точки А(2,1,-1) и
В(1,-2,0).
3. При каком значении α прямые
и
а/ параллельны? б/ перпендикулярны?
3. Составить уравнение плоскости,
проходящей через точку М(1,-1,-1)
параллельно векторам
и
.
РАЗДЕЛ 4. ПОСТРОЕНИЕ ГРАФИКОВ
ФУНКЦИЯ С ПОМОЩЬЮ ГЕОМЕТРИЧЕСКИХ ПРЕОБРАЗОВАНИЙ
№ 1.
Простейшие геометрические преобразования
. Построение графиков функций с
помощью осевой симметрии.
А)
с помощью симметрии относительно
оси ОY
Б)
с помощью симметрии относительно
оси ОХ
. Построение графиков функций с
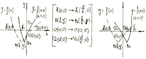
помощью сжатия (или растяжения) с осями координат.
А)
с помощью сжатия (или растяжения) к
оси ОY. Если
, то график
функции
растягивают
от оси ОY в
раз. Если
, то график
функций
сжимают к
оси ОY в
раз. При
К<0 дополнительно график функции отражают симметрично относительно оси ОY.
Б)
с помощью сжатия (или растяжения) к
оси ОХ. Если
, то график
функции
растягивают
от оси ОХ в
раз. Если
, то график
функций
сжимают к
оси ОХ в
раз. При R<0
дополнительно график функции отражают симметрично относительно оси ОХ.
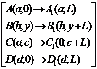
3. Построение графиков функций с
помощью переносов параллельно осям координат.
А)
с помощью переноса параллельно оси
ОХ на вектор
.
Б)
с помощью переноса параллельно оси
ОY на вектор
.
Построение графика функции
с помощью
композиции преобразований
График функции
строят из
графика функции
с помощью
последовательного выполнения преобразований 1 - 3:
А)
Если К<0, то дополнительно график
функции отражают симметрично относительно оси ОY.
Б)
Если R<0, то
дополнительно график функции отражают симметрично относительно оси ОX
В)
Г)
Построение графика функции
График функции
при х ≥
0 (в правой полуплоскости совпадает) получается с помощью симметрии
относительно оси ОY, уже построенной для х ≥ 0
части графика.
Построение графика функции
График функции
располагается
в верхней полуплоскости и получается из графика функции
следующим
образом: все точки графика функции
, лежащие на оси ОХ и выше её,
остаются на месте; все точки графика функции
б лежащие нише оси ОХ, отражаются
симметрично относительно оси ОХ.
ПРИМЕРЫ
. Построить график дробно-линейной
функции
Построение. Вначале данную функцию
приводят к виду
:
Порядок построения графика:
А)
Б)
получают из
графика
растяжением
от оси ОХ в 5 раз (ординаты всех точек увеличиваются в 5 раз).
А)
получают на график
Г)
получают из
графика отраженном симметрично относи-
переносом параллельно тельно оси
ОХ. Оси ОХ на вектор
.
Д)
получают из графика
переносом
параллельно оси
ОY на
вектор
.
Асимптоты графика:
х=1 и у=-2
точки пересечения с осями:
,
. Построить график показательной
функции
.
Построение. Вначале данную функцию
приводит к виду
:
Порядок построения графика:
А) y=3x=f(x); Б)
получают из
графика у=3х растяжением от оси ОY в 2 раза (абсциссы всех точек
увеличиваются в 2 раза).
В)
получают из графика Г)
получают из
графи-
отражением симметрично ка
переносом
параллель-
относительно оси ОY. но
оси ОХ на вектор
Точка пересечения с осью ОY:
C5(0,3)
. Построить график
тригонометрической функций y=3cos(2x+1)
Построение. Вначале данную функцию
приводят к виду
Порядок построения графика:
А) y=cosx = f(x); Б)
y=cos2x получают из
графика
y=cosx сжатием
к оси ОY в 2 раза.
-
Период Т=2π Амплитуда
А=1 Период Т= π Амплитуда А=1
В) y=3cos2x получают
из графика Г)
получают из
гра-
y=cos2x растяжением
от оси ОХ фика y=3cos2x
переносом пара-
в 3 раза. ллельно
оси ОХ на вектор
.
Период Т=π Амплитуда
А=3 Точки пересечения с осями:
(0;3cos1) и
;
. Построить график логарифмической
функции
Построение. Вначале данную функцию
производят к виду:
Порядок построения графика:
А)
получают из
графика
отражением части,
расположенной в нижней
полу-плоскости, симметрично относи-тельно оси ОХ.
В)
получают из Г)
получают из
графика
переносом графика
отра-
параллельно оси ОХ на вектор жжением
части, расположенной
в
нижней полуплоскости, сим-
метрично относительно оси ОХ.
Асимптота х=3
Точки пересечения с осями:
В3(2;0) и D(0;log23)
. Построить график обратной
тригонометрической функции
Построение.
А)
Б)
получают на
гра-
фика
растяжением от оси ОY в 2 раза.
В)
получают из гра- Г)
получает из
фика
растяжения от графика
переносом
оси ОХ в 2 раза. параллельно
оси ОХ на вектор
Точки пересечения с осями:
Е(-1;0) и F(0;π/3)
№ 2. Графическое решение систем неравенств
Множество решений неравенства y>f(x) (или y<f(x)) находят
следующим образом.
На плоскости строят график функции y=f(x). Множество
точек плоскости М(x,y),
расположенных выше графика y=f(x), является
множеством решений неравенства y>f(x), а
множество точек М(x,y),
расположенных ниже графика y=f(x), является
множеством решений неравенства y<f(x), причем
рассматривают только те точки, абсциссы которых принадлежит области определения
функции f(x).
Множество решений неравенства f1(x)>f2(x) определяют
следующим образом.
На плоскости строят графики функций y=f1(x) или y=f2(x).
Множество точек x оси OX, при
которых график первой функции лежит выше графика второй функции является
множеством решений неравенства f1(x)>f2(x).
Множество решений системы неравенств
получают пересечением множеств решений отдельных неравенств входящих в систему.
ПРИМЕРЫ
1.Найти множество решений
неравенства
.
Решение: Построим графики
показательной функции
y=2x и линейной
функции
.
Определение точки пересечённая А(0,1) и В(2,4)
графиков.
Множество точек оси ОХ, при которых график
линейной функции лежит ниже графика показательной функции, образует интервал
(0,2).
Ответ: (0,2)
.Построить область, удовлетворяющую системе
неравенств
вектор произведение
неравенство геометрический
Построение:
А) Строки график функции: y=arcsin x

Б) Строим график функции
:
Множество решений второго
неравенства системы заштриховано на чертеже (точки, лежащие на прямых y=±2, не
принадлежат множеству решений).
В) Область, удовлетворяющая системе
неравенств получается пересечением множеств решений первого и второго
неравенств (точки, лежащие на верхней и нижней границах области, не принадлежат
множеству решений, а точки, лежащие на баковых границах, принадлежат
множеству).
.Построить область, удовлетворяющую
системе неравенств.
Построение:А) Строим график функции
Множество решений первого
неравенства
системы заштриховано на чертеже
(точки, лежащие на оси ОY, не принадлежат множеству решений,
так как абсцисса этих точек равна нулю и не входит в область определения
функции
).
Б) Строим график функции
:
Множество решений второго
неравенства системы заштриховано
В) Области удовлетворяющие системе
неравенств, получаются пересеченными множеств решений первого и второго
неравенств (точки, держащие на границах областей, включая отрицательную полуось
и точку 0, не
принадлежат множеству решений системы).
. Построить область, удовлетворенную
системе неравенств
Построение:
А) Строим графики функций y=-1 и
y=ln(2-x):
Порядок построения график:
y=ln(2-x): 1) y=lnx
) y=ln(-x)
) y=ln[-(x-2)]
Б) Строям графики прямых линий В)
Область, удовлетворяющая
. системе
неравенств, изображена на чертеже (границы области не принадлежат множеству
решений).
Самостоятельная
работа
1. Построить графики функции:
а)
, б)
, в)
,
г)
, д)
, е) y=4cos(3x-1)
ЛИТЕРАТУРА
Бугров Я.С., Никольский С.М.Элементы
линейной алгебры и аналитической геометрии М: Наука 1985
Бугров Я.С. Никольский С.М.
Дифференциальное и интегральное исчисление М:. Наука 1984.
Пискунов Н.С.Дифференциальное и
интегральное исчисление М:. Наука 1985 Т.
Берман Г.М. Сборник задач по курсу
математического анализа М: Наука 1985
Клетеник Д.В. Сборник задач по
аналитической геометрии. М: Наука 1980