Планирование деятельности фирмы

  • Вид работы:
    Курсовая работа (т)
  • Предмет:
    Эктеория
  • Язык:
    Русский
    ,
    Формат файла:
    MS Word
    43,05 Кб
  • Опубликовано:
    2015-07-07
Вы можете узнать стоимость помощи в написании студенческой работы.
Помощь в написании работы, которую точно примут!

Планирование деятельности фирмы

Содержание

Введение

. Цели и задачи планирования продаж

. Технология обоснования плановых решений по объему продаж

. Исследование конъюнктуры рынка

. Планирование ассортимента

. Оценка конкурентоспособности

. Планирование цены

. Прогнозирование величины продаж

. Практическая часть

Заключение

Список литературы

Введение

В рыночной экономике предприятиям необходимо самостоятельно обеспечивать сбыт своей продукции, и соответственно осуществлять коммерческую деятельность. В условиях сокращения платежеспособного спроса и возникшей конкуренции с импортными товарами проблема сбыта приобрела первоочередное значение.

Важными являются проблемы поиска покупателей продукции, выбора оптимального ассортимента, построения сбытовой сети, и в целом выбора пути построения коммерческой деятельности. Однако отгруженная продукция еще не является реализованной. В условиях рыночной экономики предприятия столкнулись с отсутствовавшей ранее проблемой возникновения безнадежных долгов, которые являются прямыми убытками и уменьшают прибыль предприятия от производственной деятельности. В связи с резким ускорением инфляционных процессов задержки в поступлении платежей от покупателей продукции также приводят к финансовым потерям для предприятия.

Актуальность работы является очевидной, потому что, развивая коммерческие способности предприятия, обеспечивая достижение рыночных и финансовых целей помогает создать организацию, обращенную к рынку, тем самым повысить прибыль предприятия.

Цель работы - исследовать вопросы внутрифирменного планирования предприятия.

Задачи работы:

ответить на теоретический вопрос,

сделать практическую часть по действующему предприятию.

Данная работа основывается на отечественной литературе, законодательных актах РФ, и периодических изданиях, в которых затронут предмет исследования.

1. Цели и задачи планирования продаж

В рыночной экономике создание и производство новых товаров, оказание новых услуг являются решающим условием для выживания предприятия. Поэтому изучение потребностей потребителей служит основой для планирования объема продаж. В результате изучения потребностей потребителей формируется ассортиментная политика предприятия.

Цель планирования продаж состоит в том, чтобы своевременно предложить покупателям такую номенклатуру товаров и услуг, которая бы соответствовала в целом профилю производственной деятельности предприятия и возможно полнее удовлетворяла их потребности. Планирование продаж заключается в определении характера новых товаров и их параметрических рядов, соотношения объемов выпуска старых и новых изделий, уровня цен и конкурентоспособности продукции, объема гарантий, качества сервиса, необходимости создания принципиально новых изделий или следования за фирмой-лидером их выпуска.

Планирование продаж - непрерывный процесс, начинающийся в момент зарождения идеи нового товара, продолжающийся в течение всего жизненного цикла изделия и заканчивающийся с изъятием его из производственной программы. Основными задачами планирования продаж являются:

определение существующих и перспективных потребностей покупателей, анализ способов использования данной продукции, исследование закономерностей покупательского поведения на соответствующих рынках;

- критическая оценка продукции предприятия, осуществляемая с позиции покупателя;

оценка конкурирующих изделий по различным показателям конкурентоспособности;

принятие решений о том, какие изделия следует исключить из-за недостаточной конкурентоспособности и снизившейся рентабельности, а какие следует добавить в номенклатуру выпускаемой продукции, в том числе за счет развития других направлений производства, выходящих за рамки сложившейся специализации предприятия;

- изучение возможностей производства новых или модернизации выпускаемых изделий;

прогнозирование возможных объемов продаж продукции, цен, себестоимости и рентабельности;

проведение рыночных тестов новой продукции для выяснения ее приемлемости потенциальными покупателями;

разработка рекомендаций производственным подразделениям предприятия относительно потребительских свойств параметрического ряда изделий, их цен, упаковки, предпродажного и послепродажного сервиса в соответствии с результатами тестирования.

Решением указанных задач на предприятии должен заниматься отдел маркетинга в рамках формируемой им функциональной стратегии. Основная функция маркетинга заключается в координации НИОКР, комплексном исследовании рынка, сбыта, сервиса, формировании спроса и стимулировании сбыта для достижения главной цели - завоевания возможно большей доли рынка. Игнорирование этой цели при планировании продаж может привести к появлению в номенклатуре выпускаемых изделий таких марок, которые будут выгодны для производственных подразделений предприятия, нежели для предприятия в целом. Поэтому решающее слово в формировании ассортимента и определении объема продаж должно принадлежать отделу маркетинга. Именно он должен рекомендовать, когда более целесообразно вложить средства в модификацию изделия, а когда - в усиление формирования спроса и стимулирование сбыта или снять изделие с производства.

2. Технология обоснования плановых решений по объему продаж

С определения объемов продаж начинается процесс тактического планирования. Практически вся система внутрифирменного планирования базируется на этом показателе. На основе плана продаж осуществляется планирование производственной программы предприятия, своевременная подготовка сырья, материалов, комплектующих изделий, инструмента, оборудования для изготовления конечной продукции и создания необходимых производственных запасов. Чтобы не потерпеть поражение в конкурентной борьбе, каждое предприятие должно тщательно прогнозировать потребности рынка и планировать перспективу продаж как минимум на 2-3 года. Соблюдение такого лага позволяет спланировать в тактическом плане все этапы производственного процесса, начиная с разработки проекта изделия, технологического процесса изготовления, опытно-экспериментальных работ и заканчивая запуском изделии в производство, а затем выходом на рынок с новой продукцией и прекращением производства старых изделий. Заканчивается работа по планированию продаж составлением портфеля заказов.

Как правило, портфель заказов состоит из трех разделов:

текущих заказов, обеспечивающих ритмичную работу предприятия в данный период;

среднесрочных заказов со сроком исполнения 1-2 года;

перспективных заказов, охватывающих период времени более 2 лет.

К сожалению, спланировать портфель заказов на более длительные сроки не представляется возможным в связи с неустойчивостью и неопределенностью спроса.

Текущие заказы должны быть подкреплены договорами, заключенными предприятием с покупателями продукции. Продукция, на которую не заключен договор, может быть изготовлена лишь при наличии твердой уверенности в ее сбыте. На среднесрочные и перспективные заказы также желательно заключать договоры поставки. Однако не всегда можно найти клиента, гарантирующего покупку продукции на несколько лет вперед. Особенно если речь идет о новой продукции, неизвестной широкому кругу покупателей. Тем не менее, если предприятие не будет осваивать новую продукцию, связанную с риском сбыта, оно не сможет противостоять конкурентам. Уверенность в продаже продукции - критерий действенности маркетинга.

При формировании портфеля заказов должны учитываться отраслевые особенности и жизненный цикл продукции.

Планирование новых видов деятельности, как правило, связано с наибольшим риском. Минимизировать риск при планировании портфеля продукции могут следующие меры:

нельзя приступать к изготовлению продукции при отсутствии предварительного договора на поставку. Процесс создания продукции без заказа может охватывать: техническую подготовку производства; создание необходимых производственных мощностей; подготовку кадров; поиск поставщиков материалов, комплектующих изделий, необходимых для выпуска продукции; обоснование себестоимости, цены и выгодного объема производства продукции;

применение конструкторских решений, основанных на унификации и стандартизации изделий. Унификация и стандартизация конструкций позволяет при отказе потребителя от изделия перейти на выпуск другого изделия, использовав при этом изготовленные детали и сборочные единицы для невостребованного изделия;

- поиск резервных рынков сбыта. При отказе потребителя продукцию иногда эффективнее реализовать на запасных рынках сбыта с меньшей выгодой, чем допустить простои предприятия из-за отсутствия заказов или затоваривание складов готовой продукции;

наличие конкурентных преимуществ продукции. Конкурентные преимущества могут быть существенными и незначительными. Наличие незначительных преимуществ продукции предприятия по сравнению с продукцией конкурента позволяет ему с минимальными издержками удержаться на освоенном рынке. Существенные преимущества требуют больших издержек, однако позволяют выйти на новые рынки, освоенные конкурентами. Соотношение этих групп продукции в портфеле заказов определяется выбранной стратегией развития предприятия;

наличие эффективной системы маркетинга, рекламной политики;

строгое соблюдение договорной дисциплины как по отношению к поставщикам, так и клиентам.

Процесс обоснования решений по объему продаж можно представить в виде последовательности этапов и процедур, имеющих между собой прямые и обратные связи. С информационной точки зрения в процессе обоснования объема продаж происходит уменьшение неопределенности информации о потребностях покупателей и клиентов.

В процессе обоснования объема продаж выделяют следующие пять этапов: исследование конъюнктуры рынка: планирование ассортимента; оценка конкурентоспособности; планирование цены; прогнозирование величины продаж.

Рассмотрим указанные этапы технологического процесса планирования объема продаж.

. Исследование конъюнктуры рынка

Исследование конъюнктуры рынка в процессе планирования продаж начинается с анализа продаж в предшествующем планируемом периоде. Основными задачами такого анализа являются изыскание резервов наиболее полного удовлетворения покупателей и клиентов, увеличения объема продаж продукции, максимально возможного использования производственной мощности предприятия, материальных и трудовых ресурсов, повышения эффективности производственно-хозяйственной деятельности.

В процессе анализа продаж производится оценка степени выполнения и динамики производства и реализации продукции, определение влияния факторов на изменение величины этих показателей, выявление внутрихозяйственных резервов и разработка мероприятий по их освоению.

Объем реализованной продукции в процессе анализа продаж может выражаться в натуральных, условно-натуральных и стоимостных измерителях. Обобщающие показатели объема продаж продукции оценивают в стоимостных показателях.

В практической деятельности анализ продаж продукции проводится за каждый месяц, квартал, полугодие, год. В процессе его фактические данные сравниваются с плановыми и предшествующими периодами. Рассчитываются: процент выполнения плана; абсолютные отклонения от плана; темпы роста и прироста (уменьшения) за анализируемый отрезок времени; абсолютное значение одного процента прироста (уменьшения) объема продаж. В процессе анализа определяется выполнение плана поставок продукции в целом по предприятию, в разрезе отдельных покупателей и видов продукции, выясняются причины невыполнения плана и дается оценка выполнения договорных обязательств.

Каждое предприятие работает не на абстрактном рынке, не на рынке вообще, а на его конкретной части (сегменте). Стремление изучить нужды конкретных потребителей приводит к необходимости разбить рынок на отдельные сегменты и сосредоточить свое внимание на них.

Сегмент рынка - это особым образом выделенная группа потребителей. Сегментация позволяет в максимальной степени удовлетворить потребности покупателей (клиентов) в разнообразных товарах, обеспечивает экономию затрат предприятия на производство и реализацию продукции, повышение конкурентоспособности предприятия, позволяет снизить или уклониться от конкурентной борьбы путем перехода на неосвоенный сегмент рынка, что в конечном счете обеспечивает высокое качество плановых решений. Главная цель сегментации - обеспечить адресность заявок портфеля заказов.

Признаки (способы) выделения сегментов для различных рынков неодинаковы.

Например, для сегментации рынка потребительских товаров основными признаками могут быть следующие:

. Географические (группы покупателей с одинаковыми или схожими потребительскими предпочтениями, обусловленные проживанием на конкретной территории). Географическая сегментация является наиболее распространенной в планировании сбыта и основана на учете климатических различий между регионами, особенностей культурных, национальных, исторических традиций населения, проживающего в регионе.

. Демографические (возраст, пол, размер семьи, этапы жизненного цикла). Данные признаки обусловливают особенности потребностей людей в продуктах питания, одежде, домашней обстановке, предметах отдыха.

. Социально-экономические (род деятельности, профессия, образование, уровень дохода). Данные признаки позволяют планировать выпуск и продажу товаров для людей богатых и тех, чей бюджет ограничен, товаров, удовлетворяющих как относительно простые потребности, так и сложные, интеллектуальные.

. Психографические (образ жизни, увлечения, поступки, интересы). Данная классификация основана на идее прохождения каждой личностью разных стадий образа жизни.

. Поведенческие(нормы потребления товара, степень готовности потребителей к позитивному восприятию новых товаров, мотивы покупок). Знание мотивов поведения покупателей позволяет сформировать эффективную стратегию маркетинга и привлечь новых покупателей.

Для сегментации рынка товаров производственного назначения применяется меньшее число признаков. К конкретным признакам можно отнести следующие:

отрасль, к которой принадлежит предприятие;

характер применяемой для изготовления продукции технологии;

особенности запросов потребителей.

От выбора целевого рынка в большой степени зависит объем продаж. Исследование и сегментация рынка позволяет определить наиболее перспективные для предприятия рынки и сосредоточить на них свою деятельность. Для того чтобы правильно выбрать целевой рынок, необходимо в процессе сегментации придерживаться следующих требований:

каждый из рассматриваемых сегментов должен быть четко обозначен. Данное требование обеспечивается наличием точной и достоверной информации о емкости рынка и соответствующей методики ее измерения. Причем затраты на проведение маркетинговых исследований должны окупиться финансовым эффектом от политики сегментации;

выбранный сегмент должен быть достаточно значимым, чтобы приносить прибыль;

выбранный сегмент должен быть доступным для использования эффективных методов сбыта продукции.

Исходя из указанных требований, алгоритм выбора целевого рынка в процессе планирования продаж включает следующие этапы:

определение потенциала сегмента рынка;

оценка доступности и существенности сегмента рынка;

анализ возможности освоения рынка.

Потенциал сегмента рынка характеризуется его емкостью, которая показывает, какое количество изделий может быть на нем продано. Изначально выделенный сегмент должен быть достаточно емким, чтобы покрыть издержки, связанные с внедрением и работой на нем, а также иметь перспективы роста объема продаж. Потенциал сегмента определяет величину производственных мощностей и сбытовой сети, ориентированных на данный сегмент.

Оценка доступности сегмента рынка для предприятия должна ответить на вопрос, есть ли принципиальная возможность начать продажу своих товаров на данном рынке. Для этого необходимо изучить, какие входные и выходные барьеры существуют на рынке, какие конкуренты работают на нем, какими конкурентными преимуществами и недостатками обладают продаваемые товары, какие установились правила торговли, можно ли использовать существующие каналы сбыта продукции.

Оценка существенности сегмента предполагает выяснение того, насколько выделенную группу потребителей можно рассматривать как реальный сегмент рынка, насколько она устойчива по основным объединяющим признакам.

Анализ возможности освоения рынка включает:

анализ риска;

исследование действующих на рынке норм, правил, стандартов, технических условий, систем и порядка сертификации продукции, требование которых необходимо соблюдать при работе на рынке;

прогнозирование возможной реакции конкурентов на появление на рынке товаров данного предприятия. При планировании продаж товаров на конкретном рынке предприятие должно быть уверено в том, что ответные меры конкурентов не смогут заставить его уйти с рынка.

Определение емкости рынка производится на основе изучения нужд потребителей. Емкостью рынка называют объем реализуемого на нем товара в течение определенного промежутка времени в натуральном и (или) стоимостном выражении. Планирование объема продаж осуществляется в разрезе отдельных рынков: товаров производственного назначения; потребительских товаров; услуг; информационного и интеллектуального продукта.

Емкость рынка при планировании продаж рассчитывается в денежном и натуральном выражении. Знание емкости рынка и тенденции ее изменения позволяет оценить перспективность рынка в планируемом периоде. Например, неперспективным представляется рынок, емкость которого незначительна по сравнению с производственной мощностью предприятия. В этом случае доходы от продаж на нем могут не компенсировать расходы на внедрение на рынок и издержки на изготовление продукции. В то же время большая емкость рынка не всегда может определять планируемый объем продаж. В этом случае приходится считаться с остротой конкуренции, степенью удовлетворенности потребителей товарами конкурентов и другими факторами, определяющими возможность освоения рынка.

Емкость рынка может быть оценена потенциальной емкостью и долей рынка. В отличие от потенциальной (максимально возможной) емкости рынка доля рынка отражает фактические или планируемые результаты деятельности предприятия. Она определяется как отношение объема продаж данного предприятия к потенциальной емкости рынка рассматриваемого товара. Этот показатель характеризует уровень конкурентоспособности предприятия, который может быть высоким, средним, пониженным и низким. Следует отметить, что доля фирмы на рынке наиболее сильно влияет на норму получаемой ею прибыли, что является наиболее важным фактором при планировании финансовых результатов деятельности предприятия.

Методы расчета емкости рынка для различных товаров различаются. Например, емкость рынка товаров производственного назначения рассчитывается на основе анализа тенденций развития отраслей, потребляющих планируемые товары. При отсутствии такой информации емкость рынка может быть оценена на основе анализа тенденций продаж в предшествующем периоде и их экстраполяции на планируемый период.

При определении емкости рынка потребительских товаров анализируются факторы, формирующие спрос потребителей. Сюда могут входить следующие: численность и половозрастная структура населения в регионе, уровень доходов и структура потребительских расходов населения, политика в области оплаты труда.

В ходе оценки емкости рынка важно учесть все возможные факторы, определяющие спрос, в том числе и так называемые неконтролируемые факторы, связанные с непредсказуемыми обстоятельствами во внешней среде.

Емкость рынка - показатель динамичный, складывающийся под воздействием многих факторов. В его основе лежит соотношение между спросом и предложением на планируемый товар. Обобщающий показатель, характеризующий спрос и предложение, принято называть конъюнктурой рынка. Именно под воздействием конъюнктуры складывается емкость рынка в тот или иной период. Знание конъюнктуры товарного рынка позволяет не только определить его состояние, но и предсказать характер дальнейшего развития, что является необходимым условием прогнозирования возможного объема продаж при планировании.

Конъюнктура рынка формируется и развивается под влиянием многих факторов, среди которых особо следует подчеркнуть экономические, политические, социальные, научно-технологические. Задача анализа рынка состоит в установлении значимости и силы влияния отдельных факторов, выявлении определяющих конъюнктуру факторов и прогнозировании их изменения в планируемом периоде. Таким образом, прогноз развития рынка состоит в определении условий, при которых обеспечивается наиболее полное удовлетворение спроса потребителей в товарах данного предприятия и создаются предпосылки для эффективного сбыта произведенной продукции.

Конъюнктура рынка характеризуется определенным соотношением спроса и предложения на товары данного вида, а также Уровнем и соотношением цен. Поэтому первоочередным объектом анализа является текущее состояние производства, спроса и предложения, товарных запасов, условий торговли и цен.

Исследование конъюнктуры рынка целесообразно проводить на трех уровнях: общеэкономическом, отраслевом и товарном.

. Планирование ассортимента

Важнейшим фактором, определяющим уровень и рентабельность продаж, является соответствие ассортимента и номенклатуры продукции; запросам потребителей. Под номенклатурой понимается укрупненный перечень выпускаемой предприятием продукции или оказываемых им услуг. Ассортимент служит для детализации продукции на виды, типы, сорта, фасоны, рисунки. Например, в номенклатуре автомобильного завода могут выделяться следующие виды продукции: автомобили легковые и грузовые; колесные тягачи; автобусы; подъемные краны; мотоблоки; запасные части. В то же время ассортимент каждого вида изделия представлен различными марками машин, выделенными в соответствии с их назначением, мощностью, грузоподъемностью и другими параметрами продукции.

Ассортиментная позиция - это конкретная модель, марка или размер продукции, которую продает предприятие. Набор взаимосвязанных товаров, например, различных консервированных супов, называется ассортиментной группой. Номенклатура или товарный ассортимент включает все ассортиментные группы, предлагаемые предприятием к продаже.

При планировании номенклатура или товарный ассортимент могут характеризоваться:

шириной (исходя из количества предлагаемых ассортиментных групп или номенклатурных позиций);

глубиной (исходя из количества позиций в каждой ассортиментной группе);

сопоставимостью (исходя из соотношений между ассортиментными группами с точки зрения общности конечного потребления, каналов распределения, групп потребителей и диапазона цен).

Широкий ассортимент при планировании позволяет диверсифицировать продукцию, ориентироваться на различные требования потребителей и стимулировать покупки в одном месте. Одновременно он требует вложения ресурсов в различные категории продукции, что сопряжено с рядом сложностей.

Глубокий ассортимент может удовлетворять потребности различных покупательских сегментов рынка по одному товару, максимизировать использование места в торговых точках, препятствовать появлению конкурентов, предлагать диапазон цен и стимулировать поддержку дилеров. Однако он также увеличивает расходы на поддержание запасов, модификацию продукции и реализацию товаров. Кроме того, в процессе планирования и изготовления продукции могут возникнуть трудности в дифференциации между схожими ассортиментными позициями.

Сопоставимость ассортимента влияет на процедуры планирования и управления. Обычно сопоставимый ассортимент планировать легче, чем несопоставимый. Он позволяет предприятию специализироваться в области производства и обслуживания потребителей, создавать прочный имидж предприятия и обеспечивать стабильные отношения в каналах сбыта. Однако чрезмерная специализация и концентрация может сделать предприятие уязвимым перед угрозами со стороны внешней среды, колебаний в сбыте, замедления роста потенциала в силу того, что упор делается на ограниченный ассортимент товаров.

При планировании номенклатуру и ассортимент принято измерять количеством наименований типоразмеров продукции и cooтношением удельных весов отдельных видов изделий (работ) в производственной программе предприятия.

Номенклатура и ассортимент подвержены постоянным изменениям, причем ассортимент изменяется в большей степени, чем номенклатура продукции.

Планирование ассортимента, то есть количественного соотношения отдельных видов изделий параметрического ряда продукции в плане продаж, основано на жизненном цикле товара.

Новизна товара рассматривается по отношению к новой потребности, к новому потребителю, к старому товару и к новому рынку. Исходя из сказанного, при планировании портфеля заказов может применяться следующая классификация новых товаров:

качественно новый товар (не имеющий до его появления аналогов на рынке). Создание таких товаров производится на базе новых открытий и изобретений, полученных в ходе фундаментальных исследований;

усовершенствованный товар (имеющий на рынке товар-аналог). Такие товары осваиваются в ходе проведения прикладных НИОКР. Они удовлетворяют те же потребности, что и существовавшие до их появления товары-аналоги, но на принципиально иной технико-технологической базе. Например, электронные часы по отношению к механическим можно рассматривать как усовершенствованный товар;

частично усовершенствованный товар (с принципиально не измененными характеристиками), например, автоматическая стиральная машина;

товар рыночной новизны, который является старым товаром для прежних рынков, но новым для планируемого к освоению рынка;

товар новой сферы применения.

Из общего правила, состоящего в сокращении длительности жизненных циклов продуктов, существуют исключения. Для многих продуктов их долговечность кажется неограниченной, например, для хлебобулочных изделий, шоколада, пива. Ниже приводятся несколько причин долговечности, позволяющие в плановом порядке удлинять цикл продуктов:

соответствие продукта основным насущным потребностям или реальным желаниям покупателей: продукт все еще используется по своему первоначальному назначению, независимо от того, должен ли он быть вкуснее, заживлять быстрее или чистить более тщательно. В основе приверженности покупателей к продукту лежат традиции;

графический торговый знак. Каждый продукт должен иметь легко опознаваемый и запоминающийся торговый знак, с которым в сознании покупателя отождествляется сам продукт. Например, американская фирма изменила упаковку средства для полоскания рта «Листерин», чтобы сделать ее более нарядной и привлекательной. Сразу же упал объем продаж и не увеличивался до тех пор, пока компания не вернулась к старой, легко опознаваемой упаковке;

надежность: незначительные изменения в самом продукте, названии или торговом знаке могут подчеркивать качество и надежность продукта, что может быть мотивом покупок и причиной устойчивого спроса;

реклама: благодаря ей информация о продукте переходит от одного поколения к другому, и таким образом название продукта превращается в повседневное слово, ассоциируясь с жизненной необходимостью;

наличие многочисленных каналов сбыта, массовое распределение предметов широкого потребления, продажа с доставкой на дом способствует сбыту многих старых продуктов;

низкая цена;

прибыльность: продукты продолжают существовать не из-за своего названия, а потому, что приносят прибыль.

Основным фактором успеха нового продукта является наличие на предприятии эффективной системы планирования, охватывающей все этапы разработки продукта.

В период проведения пробных продаж можно продолжить лабораторное испытание, экономический анализ, определить структуру издержек и принять окончательные решения по проекту, производству, маркетингу и финансированию.

Следующий шаг - освоение рынка, что означает реальное производство продукта и координацию других функциональных видов деятельности, с тем чтобы новый продукт получил признание на рынке.

Фактическая последовательность шагов в конкретной обстановке будет, безусловно, отличаться от вышеприведенной, однако основной их перечень должен соблюдаться - ни один из них нельзя отбросить или обойти и на каждый необходимо обратить внимание. Многие продукты потерпели неудачу, например, из-за того, что 99% ассигнований выделялось на техническую разработку продукта и лишь 1% отводился на анализ рынка.

Во всех процессах планирования разработки нового продукта должны участвовать специалисты по реализации, исследованиям, производству, финансам. Каждый из них рассматривает проблему с различных точек зрения. Сотрудники отделов реализации и маркетинга ориентируются на рынок и весьма заинтересованы в стабильном сбыте; исследовательский персонал больше интересуют технические стороны вопроса, осуществимость проекта, его стоимость. Производственники концентрируют свое внимание на оборудовании и механизмах, на оптимизации их использования, на конструктивных особенностях нового продукта, а работники финансовых служб заинтересованы главным образом в финансовых результатах нового продукта, в частности, в условиях поступления наличных средств и конечном доходе на вложенный капитал. Чем тщательнее ими будут проведены экспертные оценки, тем больше будут разниться их оценки данного продукта. Правильная организация деятельности этих специалистов и есть основной способ решения данной проблемы.

На практике при составлении плана указанные типовые этапы освоения нового продукта могут иметь различную форму реализации, что находит свое выражение в технологическом процессе освоения нового изделия. В нем типовые этапы могут разбиваться на более мелкие работы, учитывающие специфику планирования на предприятии.

5. Оценка конкурентоспособности

Конкурентоспособность - это комплексная характеристика товара, определяющая его предпочтение на рынке по сравнению с аналогичными товарами-конкурентами.

При планировании объема продаж необходимо четко представлять, почему потребитель отдает предпочтение тому или иному товару. Это предпочтение определяется степенью удовлетворения потребностей потребителя и затратами на приобретение и использование товара. Конкурентоспособность продукции тесно привязана к конкретному товарному рынку и требованиям определенных групп потребителей. Конкурентоспособность товара - величина относительная. Под воздействием научно-технологического процесса, моды и возрастающих потребностей потребителей уровень конкурентоспособности конкретного товара постоянно снижается, что необходимо учитывать при его планировании. Поэтому вновь выводимая на рынок продукция должна иметь «запас» конкурентоспособности. Он должен быть тем больше, чем длиннее жизненный цикл товара.

При планировании и оценке конкурентоспособности применяется система показателей, среди которых выделяют качественные и экономические.

Качественные показатели конкурентоспособности характеризуют потребительские свойства и научно-технический уровень товара. Они подразделяются на классификационные и оценочные. Классификационные показатели характеризуют принадлежность изделия к определенной классификационной группе и определяют назначение, область применения и условия использования данного товара. Оценочные показатели характеризуют качество товара. Они применяются для нормирования требований к качеству и сравнения различных образцов товаров, отнесенных к одному классу по квалификационным показателям. Набор оценочных показателей может быть разнообразным. Однако при планировании конкурентоспособности в первую очередь следует выделять такие параметры продукции, которые характеризуют ее соответствие утвержденным или принятым в торговой практике стандартам качества, например экологическую чистоту, безопасность для здоровья человека и т.д.

Экономические показатели конкурентоспособности характеризуют суммарные затраты потребителя на удовлетворение его потребности посредством данного товара, составляющие цену потребления. Цена потребления включает затраты на приобретение товара (покупку, аренду) и расходы на эксплуатацию изделия в период срока его службы (ремонт, обслуживание, энергообеспечение).

Цена потребления является для потребителя решающим мотивом покупки и основным показателем конкурентоспособности. Структура цены потребления зависит от особенностей товара. Расчеты показывают, что расходы, возникающие в процессе потребления, по многим видам изделий существенно превышают продажную цену. Так, в цене потребления бытового холодильника последняя занимает всего лишь 10%, для автомобилей - в среднем 15%, тракторов - 19%.

. Планирование цены

Цена является важнейшим фактором, определяющим объем продаж и выручку от реализации продукции. Поэтому планирование объема продаж включает этап планирования цены. При установлении цен предприятие должно стремиться к такому их уровню, который бы обеспечивал максимальный объем дохода при оптимальном объеме выпуска продукции и достигнутом уровне издержек производства. Цена на товар в условиях рынка складывается под влиянием спроса и предложения. Однако это не исключает участия государства в регулировании цен на отдельные виды товаров. Государственное регулирование цен осуществляется посредством контроля за необоснованным их завышением. С этой целью правительство может устанавливать декларирование цен на продукцию, вводить предельные коэффициенты повышения цен и предельные уровни рентабельности, исходя из экономической и социальной значимости товаров. Данные факторы существенно влияют на процесс планирования цены.

. Прогнозирование величины продаж

Расчет количества продаж того или иного изделия является заключительным этапом планирования продаж. К сожалению, приходится констатировать, что ни отечественная, ни зарубежная теория не выработала абсолютно надежных методов расчета количества продаж. Методика определения объема продаж (поставок) в рамках централизованной системы планирования и управления экономикой, хотя и имела четкие алгоритмы расчетов, основанные на межотраслевых балансах, но ей был присущ крупный недостаток, состоящий в том, что применяемые в расчетах нормативы потребностей не учитывали вкусы и желания людей. Потребности людей не изучались, а навязывались им извне, что порождало хронические диспропорции между спросом и предложением. Количественно измерить спрос чрезвычайно сложно, а порой и невозможно вследствие того, что он порождается огромным количеством субъективных, порой противоречивых и неподдающихся формализации и оценке, факторов.

а) основанные на экспертных оценках;

б) экономико-статистические.

Рассмотрим некоторые аспекты применения указанных средств в практике расчетов.

. Методы экспертных оценок.

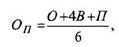
Этот метод предполагает изучение мнений специалистов предприятий-производителей и потребителей продукции, торгово-посреднических фирм, предприятий розничной торговли, консалтинговых организаций о возможных объемах продаж продукции предприятия в планируемом периоде. На их основе экспертным путем определяется три вида прогноза продаж: оптимистический, пессимистический и рациональный (вероятный).

Ожидаемый объем продаж изделия в плановом периоде(OП)рекомендуется определять по формуле:


Где О, В, П - объемы продаж - соответственно оптимистический, вероятный, пессимистический.

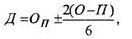
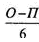
Так как любой прогноз носит вероятностный характер, то рассчитывается доверительный интервал возможного объема продаж по формуле:


Где  - стандартное отклонение оценок продаж

Основным фактором успеха при расчете объемов продаж при данном методе является квалификация экспертов. Поэтому эксперты должны знать особенности продукции, рынок, конкурентов и их продукцию, тенденции научно-технологического развития динамику цен, итоги работы отрасли в предшествующем периоде.

. Экономико-статистические методы.

Данные методы включают обширный арсенал различных количественных средств. Наиболее часто на практике применяются методы регрессионного и корреляционного анализа; скользящей средней; взвешенной скользящей средней (экспоненциального сглаживания); следящего сигнала.

Метод регрессионного и корреляционного анализа - это способ нахождения объема продаж конкретного изделия, основанный на выявлении и установлении зависимости искомого показателя от других факторов. Например, можно установить зависимость изменения объема продаж бензина от объема продаж или производства запасных частей к автомобилям; объема продаж сахара от изменения численности населения в регионе и т.д. На основании статистической выборки по объему продаж планируемого товара(у)и различных факторов, влияющих на него (x12, х3,...,хn), за предшествующие плановому периоды составляется статистический ряд наблюдений и стандартные уравнения. Зависимость показателей может быть линейной, параболической, гиперболической и экспоненциальной.

Для выявления формы связи, тесноты связи и различных показателей, характеризующих пригодность исходного статистического материала для анализа и прогнозирования, разработаны соответствующие программы для ЭВМ.

Исследования, проведенные в Чикагском университете за много лет, выявили следующую линейную зависимость количества продаж любого товара (х) от его цены (у):

х=91,2099-4,7356х.

Эту зависимость с успехом используют в практических расчетах при планировании цен и объемов продаж. Конечно, форма взаимосвязи для отдельных товаров, товарных рынков, времени года, направления моды, качества продукции и других специфических факторов различна. Поэтому каждое предприятие для каждого конкретного товара должно иметь такие зависимости, что является надежным инструментом планирования производства товара. Из этого подхода видно, что фактически планирование продаж сводится к установлению цены исходя из выбранной стратегии.

К числу простых методов прогнозирования объема продаж относится расчет скользящей средней величины продаж, которая рассчитывается путем деления фактического объема продаж на продолжительность анализируемого периода. Планируемый объем продаж принимается равным этой величине. Например, предприятие рассчитывает объем продаж на планируемый месяц по этому методу. Для этого объем продаж за предшествующие 12 месяцев делится на количество месяцев, т.е. 12. В следующем месяце к исходной величине продаж добавляют фактические продажи за последний месяц и вычитают этот показатель за первый месяц ретроспективного периода.

Метод взвешенной скользящей средней (экспоненциального сглаживания) отличается от вышерассмотренного метода тем, что при расчете средней величины продаж за ретроспективный период в модель вводятся весовые коэффициенты, отражающие меру влияния различных факторов. Данный подход может применяться в случае, если при расчете планируемого объема продаж необходимо учесть не только фактические данные о продажах за предшествующий период, но и результаты прежнего прогноза на этот период. Тогда фактическим продажам за конкретный период и прогнозу за этот же период присваиваются весовые коэффициенты, дающие в сумме единицу. Наиболее точные результаты прогноза продаж достигаются в тех случаях, когда фактическая величина продаж рассматривается в сравнении с прогнозировавшейся ранее.

Метод «следящего сигнала» учитывает ошибку прогноза и рассчитывается путем деления абсолютной суммы отклонений (без учета знака) на среднее отклонение. Нормальное колебание «следящего сигнала» должно быть в пределах 3,0 - 7,0. Если этот показатель выходит за пределы норматива, то метод расчета планируемого показателя не адекватен условиям данного предприятия и подлежит усовершенствованию.

Планирование продаж основывается на прогнозе развития потребностей, которые может удовлетворить предприятие своими товарами. С этих позиций всех потребителей можно разделить на две группы: конечные потребители (приобретающие товар для личного потребления) и предприятия-потребители (оптовые покупатели, приобретающие товар для дальнейшей переработки или продажи). Поведение этих двух групп потребителей может различаться в зависимости от целей приобретения товара, способов принятия решений о покупке, источников получения информации о товаре, требований к послепродажному сервису. В силу этого методы прогнозирования продаж для различных потребителей также различаются. Для предприятий-потребителей расчеты носят более вероятностный характер, поскольку по своей сути являются прогнозами, построенными на других прогнозах.

В зависимости от типа потребителя выделяются два подхода к прогнозированию объемов продаж.

Для предприятий потребителей объем продаж рассчитывается на основе конечного использования их продукта. Прогнозирование объема продаж по данному методу базируется на прогнозах развития отраслей - потребителей продукции предприятий. Использование данного метода наиболее предпочтительно на предприятиях добывающей и энергетической промышленности, в машиностроении при изготовлении комплектующих деталей и сборочных единиц.

При планировании объема продаж в данном случае принимаются во внимание перспективы развития отраслей, производящих средства производства, научно-технологического прогресса в отраслях, потребляющих продукцию. Например, изменение технологии производства у потребителей может существенно сказаться на составе и номенклатуре применяемого оборудования.

При обосновании объема продаж изучаются также смежные отрасли, поставляющие аналогичные по потребительским свойствам виды продукции.

Объем продаж орудий и предметов труда определяется методом прямого счета, исходя из удельных норм их расхода у потребителей. Для предприятий с многономенклатурной продукцией могут применяться укрупненные нормы расхода.

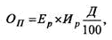
Объемы продаж конечным потребителям рассчитываются по«доли рынка предприятия».При прогнозировании объема продаж по этому методу используются данные о среднегодовых темпах роста емкости целевого рынка в прошедшем периоде, его емкости в предплановом году (текущем) и планируемой доли предприятия в общем объеме продаж. Расчет объема продаж (Од) ведется по формуле:


гдеЕр - емкость целевого рынка в отчетном году (единиц);

Ир - среднегодовой индекс роста емкости целевого рынка за прошедший период;

Д - планируемая доля предприятия на целевом рынке в прогнозируемом периоде (процент).

К основным факторам, оказывающим влияние на величину Ир к Д относятся тенденции изменения доходов населения, колебания деловой активности, сезонные изменения спроса, цикличность появления на рынке новых товаров-конкурентов, изменения в технологии производства.

Расчет объема продаж предметов потребления также может вестись методом прямого счета на основе рациональных норм потребления на душу населения, объемов заготовок сырья.

Эффективность применения того или иного метода прогноза продаж зависит от конкретных условий и специфики хозяйственной деятельности предприятия.

8. Практическая часть

ОАО «ПО «Cевмаш» - один из крупнейших судостроительных комплексов России (с 2008 года входит в состав ОАО «Объединенная судостроительная корпорация»), динамично развивающаяся верфь, успешно сочетающая многолетний опыт судостроения и современный подход в производстве. Генеральный директор Будниченко Михаил Анатольевич.

Севмаш выпускает продукцию, в создании которой находят применение уникальные научно-технические и производственные мощности предприятия.

Предприятие располагает крупнейшими в России стапельными местами в крытых эллингах общей площадью более 100 000 м2.

Возможности стапелей позволяют предприятию строить суда с шириной корпуса до 38 метров дедвейтом до 100 тысяч тонн, а различные плавучие технические сооружения и морские нефтедобывающие Севмашормы достигают по длине и ширине 126 и высоты 100 метров. Вес конструкций достигает 85 тысяч тонн.

Севмаш производит высокотехнологичное оборудование для различных отраслей промышленности и топливно-энергетического комплекса.

Мощности предприятия и опыт трудового коллектива дают возможность реализовывать высокотехнологичные и наукоёмкие проекты: от выпуска транспортно-упаковочных контейнеров для отработавшего ядерного топлива до создания современных атомных подводных лодок и морских инженерных сооружений.

Выполнение государственного оборонного заказа - основное направление деятельности северодвинской верфи. Масштабная кораблестроительная программа реализуется на предприятии с 1939 года. За свою историю Севмаш передал Военно-морскому флоту страны 132 атомных, 36 дизель-электрических подводных лодок и 45 надводных кораблей. Завод дал жизнь кораблям, установившим рекорды подводной скорости, глубины погружения, подводного водоизмещения. Атомные ракетоносцы, созданные корабелами верфи, стали основой морской составляющей ядерных сил России. С распадом Советского Союза Севмаш фактически остался единственным предприятием в России и на постсоветском пространстве, осуществляющем весь цикл строительства и испытаний подводных лодок с атомными энергетическими установками. В 2012 году Военно-морскому флоту передан головной атомный подводный крейсер «Юрий Долгорукий» (проект «Борей»). В 2013 году - атомоход «Александр Невский» (проект «Борей»). В декабре 2013 года подписан приемный акт о принятии Военно-морским флотом в опытную эксплуатацию АПЛ «Северодвинск» (проект «Ясень»). 17 июня 2014 года на этом современном подводном атомоходе поднят Военно-морской флаг. 27 июля 2014 года на Севмаше состоялась торжественная церемония закладки сразу трех современных атомных подводных кораблей «Князь Олег» (пр. «Борей-А»), «Красноярск» (пр. «Ясень-М»). В этот же день состоялась церемония закладки АПЛ «Хабаровск». Информация об этом событии нашла отражение на сайте администрации Президента (kremlin.ru). Проекты атомных подводных крейсеров разработаны санкт-петербургскими проектными организациями «Рубин» и «Малахит». 19 декабря 2014 года состоялась торжественная церемония подъема Андреевского флага еще на одном атомном подводном ракетном крейсере (АПРК) нового поколения «Владимир Мономах» (проект«Борей»). 26 декабря 2014 года состоялась закладка третьего корабля проекта «Борей» - «Генералиссимус Суворов». На стапелях строятся атомные подводные лодки «Казань», «Князь Владимир», «Новосибирск».

Кроме того, ведется подготовка тяжёлого атомного ракетного крейсера «Адмирал Нахимов» к ремонту и модернизации. На проведение этих работ Севмаш заключил контракт с Министерством обороны РФ в 2013 году.

В рамках военно-технического сотрудничества северодвинская верфь работает с зарубежными заказчиками. В 2003-2005 гг. построены 2 дизель-электрические подводные лодки пр. 636. По межправительственному соглашению России с Республикой Индия предприятие провело ремонт и модернизацию авианосца «Викрамадитья». С 2012 года корабль проходил заводские ходовые испытания в море. 16 ноября 2013 года авианосец был передан Военно-морским силам Республики Индии.

Севмаш также освоил производство высокотехнологичной гражданской продукции и, прежде всего, морских плСевмашорм для разработки нефтегазовых месторождений Арктики. Уникальная в своем классе морская ледостойкая стационарная плСевмашорма «Приразломная» в мае 2013 года передана в управление заказчику ОАО «Газпром». В апреле 2014 года по системе видеосвязи Президент России Владимир Путин дал старт отгрузке первой нефти с МЛСП на танкер. В 2007-2008 гг. зарубежному заказчику переданы две морские полупогружные плСевмашормы. В сентябре 2013 года спущена на воду, а затем передана заказчику океанская мегаяхта проекта А1331.

Высокая квалификация коллектива Севмаша подтверждена государственными наградами. Предприятие награждено пятью орденами, двумя благодарностями Президента РФ, Почетной грамотой Председателя Правительства РФ. Двадцати двум работникам верфи в разные годы присваивались звания Героев Советского Союза, Социалистического труда, Российской Федерации.

Но кроме производственных задач Севмаш уделяет большое внимание социальной сфере. Корабелы отдыхают и поправляют свое здоровье в оздоровительно-лечебных пансионатах предприятия: «Северный» (г. Евпатория), «Орбита» (г. Адлер), санатории-профилактории (г. Северодвинск). У Севмаша замечательная спортивная база (ФОК «Севмаш») с современными спортивными кортами и бассейном. А Дом инженерно-технических работников и Дом корабела ОАО «ПО «Севмаш» является средоточием творческой жизни не только предприятия, но и города.

Работа планово-экономического отдела.

Севмаш планово-экономический отдел ОАО «СЕВМАШ» является самостоятельным структурным подразделением предприятия и подчиняется непосредственно заместителю директора по экономическим вопросам.

Планово-экономический отдел ОАО «СЕВМАШ» выполняет следующие задачи:

. Руководство работой по экономическому планированию на предприятии, направленному на организацию рациональной хозяйственной деятельности, выявление и использование резервов производства с целью достижения наибольшей экономической эффективности.

. Организация комплексного экономического анализа деятельности предприятия и участие в разработке мероприятий по ускорению темпов роста производительности труда, эффективному использованию производственных мощностей, материальных и трудовых ресурсов, повышению рентабельности производства.

. Организация и совершенствование хозяйственного расчета.

. Разработка проектов оптовых и розничных цен на реализуемую продукцию и утверждение планово-расчетных цен.

Структуру и штаты отдела утверждает директор предприятия в соответствии с типовыми структурами аппарата управления и нормативами численности специалистов и служащих с учетом объемов работ и особенностей производства.

В состав отдела могут входить подразделения технико-экономического планирования, себестоимости, цен, экономического анализа, учета и статистики, калькуляции, нормативов и др.

Распределение обязанностей между работниками отдела осуществляется начальником отдела в соответствии с должностными инструкциями.

Планово-экономический отдел ОАО «СЕВМАШ» выполняет следующие функции:

. В области планирования

.1. Организация и общее руководство разработкой проектов перспективных и текущих планов ОАО «СЕВМАШ» в соответствии с контрольными цифрами, долговременными экономическими нормативами и лимитами, а также прямыми заказами потребителей и органов материально-технического снабжения на продукцию (работы, услуги):

подготовка предложений для утверждения руководством предприятия о порядке, сроках и участниках (отделах, службах) разработки проектов планов;

распределение производственной программы между службами предприятия;

рассмотрение обоснований и расчетов проектов планов подразделений предприятия;

обеспечение согласованности и взаимной увязки планов служб предприятия;

составление проектов планов предприятия в целом.

.2. Планирование производственно-хозяйственной деятельности служб на основе утвержденного плана ОАО «СЕВМАШ»:

доведение годовых и квартальных заданий цехам и службам по установленному перечню показателей;

участие в разработке годовых, квартальных и месячных производственных программ вспомогательными и непроизводственными цехами;

.3. Внесение соответствующих корректировок в планы предприятия и отдельных подразделений в случае изменения производственно-хозяйственной ситуации.

. В области организации планово-экономической работы

.1. Подготовка необходимых материалов для рассмотрения проектов планов, итогов работы предприятия и цехов на постоянно действующем производственном совещании и заседаниях технико-экономического совета предприятия.

.2. Организация хозрасчета на предприятии:

разработка системы хозрасчетных показателей цехов и служб в соответствии со спецификой их работы;

контроль за внедрением и совершенствованием хозрасчета в подразделениях предприятия;

участие в разработке положений по материальному стимулированию.

.3. Организация работы по нормированию и ценообразованию на предприятии:

систематизация нормативных затрат на изготовление продукции; составление нормативных калькуляций, контроль за внесением в них всех текущих изменений;

участие в разработке прогрессивных плановых технико-экономических норм и нормативов и доведение их до цехов, отделов и служб предприятия;

разработка совместно с другими службами предприятия в соответствии с действующим законодательством проектов оптовых и розничных цен и тарифов и представление их на утверждение; разработка и представление на утверждение цен; подготовка заключений по проектам оптовых цен на поставляемую предприятию продукцию;

разработка ценников, применяемых при планировании и учете; осуществление анализа цен, выявление убыточных и высокорентабельных изделий, разработка мероприятий по ликвидации убыточности, в случае необходимости внесение предложений о пересмотре цен на высокорентабельные изделия, подготовка и представление для утверждения новых цен всех необходимых материалов.

.4. Организация разработки мероприятий по эффективному использованию производственных мощностей основных и оборотных фондов, материальных и трудовых ресурсов, по использованию всех резервов производства.

.5. Организация разработки мероприятий по выполнению и перевыполнению установленных плановых заданий.

. В области анализа и оперативно-статистического учета

.1. Контроль за выполнением цехами и службами предприятия годовых, квартальных, месячных, декадных и суточных планов и заданий.

.2. Организация и руководство работой по комплексному, экономическому анализу производственно-хозяйственной деятельности предприятия.

.3. Составление совместно с бухгалтерией пояснительной записки к годовому отчету, участие в балансовой комиссии по итогам деятельности предприятия.

.4. Представление необходимых обобщающих материалов и справок по результатам анализа производственно-хозяйственной деятельности предприятия.

.5. Контроль за правильностью производимых соответствующими службами и цехами предприятия расчетов экономической эффективности внедрения новой техники, рационализаторских предложений и других организационно-технических мероприятий, направленных на повышение эффективности производства, надежности и качества продукции, развитие специализации и кооперирования, механизацию инженерного и управленческого труда.

.6. Участие в организации постоянно действующих комплексных групп контрольно-ревизионной работы из представителей различных подразделений предприятия.

.7. Организация статистической отчетности предприятия:

сбор необходимых материалов, обобщение, подготовка и представление статистической отчетности в сроки;

контроль за качеством всей статистической отчетности на предприятии;

систематизация статистических материалов и составление справок по статистической отчетности.

. В области методологической работы

.1. Методическое руководство, разработка форм и документации, порядка и сроков проведения работ по:

технико-экономическому планированию;

оперативно-производственному планированию (совместно с производственно-диспетчерскими службами предприятия);

хозяйственному расчету (совместно с главной бухгалтерией);

учету и анализу результатов производственно-хозяйственной деятельности (совместно с главной бухгалтерией);

расчетам экономической эффективности;

статистической отчетности.

.2. Изучение и распространение передового опыта планово-экономической работы, оперативного учета и анализа хозяйственной деятельности цехов и служб предприятия.

.3. Совместно с отделом технического обучения и подготовки кадров организует экономическую учебу в целях повышения квалификации работников всех экономических служб предприятия.

Планово-экономический отдел ОАО «СЕВМАШ» взаимодействует с другими подразделениями предприятия:

. С бухгалтерией

Получает: отчеты по выпуску продукции (в номенклатуре и денежной оценке), сведения о состоянии незавершенного производства; другие данные, необходимые для планирования и анализа; финансовый план; отчеты о выполнении финансового плана; расчет амортизационных отчислений по цехам и предприятию в целом, копия задания цехам и отделам по снижению запасов оборотных средств; ежедневные сведения по выполнению плана реализации цехами (предприятием).

Представляет: план производства по номенклатуре на год, квартал и месяц; плановую себестоимость фактически выпущенной товарной продукции; план производства продукции по номенклатуре и объему товарной продукции по цехам.

. С техническим отделом

Получает: перспективные и текущие планы развития и внедрения новой техники и улучшения организации производства с расчетами экономической эффективности от внедрения и отчеты об их выполнении.

Представляет: планы производства продукции (перспективные, годовые и квартальные); задания по снижению себестоимости продукции; сроки выпуска новых изделий для составления планов и графиков подготовки производства; плановые задания о хозрасчетной деятельности отделов.

. С отделом механизации

Получает: план ремонта судов и оборудования на квартал, год и на перспективу; месячные отчеты о выполнении планово-предупредительного ремонта оборудования; сметы расходов на ремонт сооружений и оборудования и на выполнение оргтехмероприятий; отчет о выполнении заданий по снижению себестоимости товарной продукции.

Представляет: задание по снижению себестоимости товарной продукции.

. С отделом сбыта

Получает: отчеты об отгрузках продукции; годовые, квартальные и месячные планы производства по объему и номенклатуре; ежедневные сводки выпуска готовой продукции.

. С отделом организации труда и заработной платы

Получает: затраты времени и заработной платы на единицу изделий и сведения об изменении трудоемкости; план снижения трудоемкости изделий и отчет о его выполнении; штатное расписание отдела; планы по труду цехов предприятия по кварталам и месяцам; анализ использования фонда оплаты труда; расчеты повышения производительности труда.

Представляет: план производства продукции в номенклатуре; план производства по объему валовой и товарной продукции на год, квартал с разбивкой по месяцам.

. С основным производством

Получает: отчеты о выполнении плана по производству себестоимости, труду и заработной плате; сведения о расходе материалов на единицу готовой продукции: выходе готовой продукции, использовании рабочего времени, производственной мощности.

продажа ассортимент конкурентоспособность управление

Заключение

Практически вся система хозяйственного управления и регулирования деятельности предприятия или организации строится на методах планирования. Завершение одного этапа работы предприятия служит началом другого, и связать их без методики планирования практически невозможно. Поэтому планирование занимает центральное место в механизме хозяйственного управления как способ достижения цели на основе сбалансированности и последовательности выполнения всех производственных операций. Это необходимое условие для своевременной подготовки сырья, материалов, комплектующих изделий, инструментов, оборудования для изготовления конечной продукции или услуги, а также создания запасов.

В современных условиях необходимой предпосылкой для обеспечения высоких темпов развития экономики становится управление, а главным элементом управления является процесс выработки и принятия решений. Принятие решений при этом, должно базироваться на анализе ситуаций, выявлении противоречий в развитии экономики и формулировании на этой основе проблем и целей их развития. При решении вопроса о выборе направлений развития сферы сервиса первоначально субъект планирования сталкивается с неопределенным множеством решений. Разработка прогноза уменьшает неопределенность и позволяет сформулировать ограниченное множество решений. То есть, важнейшим условием повышения эффективности управления в сфере сервиса является увеличение горизонта и оптимизация принимаемых решений с учетом их ближайших и долговременных последствий. Тесная органическая связь прогнозирования, планирования и принятия решений обеспечивает оптимальность принимаемой стратегии развития сферы сервиса, значительно ускоряет темпы развития.

Элементы управления взаимосвязаны и взаимообусловлены и представляют собой единый процесс, единую систему управления. Первичным элементом является планирование, определяющее цели развития сферы сервиса. Под установленные цели формируются организационные структуры и процедуры, в рамках определенных структур и процедур в интересах достижения целей осуществляется регулирование развития сферы сервиса. По мере развития производственных сил, ускорения темпов научно-технического прогресса роль управления возрастает, усложняется и совершенствуется система управления.

Особое значение приобретает планирование производства, в первую очередь перспективное планирование и прогнозирование. Планирование как элемент управления является информационным процессом. Особенность этого процесса - наличие временного сдвига информации выхода по отношению к информации входа.

Основной целью планирования является достижение желаемого результата финансово-хозяйственной деятельности путем тщательного анализа и прогнозирования, основанного на внутренней и внешней информации. В зависимости от назначения результатом может быть устойчивое экономическое развитие отрасли в целом, обеспечений темпов роста и структуры отрасли, привлечение инвестиций, производство новых видов услуг, финансовое оздоровление организации, составление бизнес-плана ее реконструкции и развития и т.д. Цель составления планов должна быть четко определена, результаты, получаемые при достижении цели должны быть измеримыми, а заданные ограничения и требования должны быть реальны для их выполнения. То есть, цели должны находиться в «области допустимых решений» проекта.

Список литературы

1. Алексеева М.М. Планирование деятельности фирмы. - М.: Финансы и статистика, 2012. - 248с.

. Бухалков М.И. Внутрифирменное планирование. - М.: Инфра-М, 2013. - 392с.

. Горохов М.Ю., Малеев В.В. Бизнес-планирование и инвестиционный анализ: Как привлечь деньги. - М.:Филинъ,2012.-202с.

. Деловое планирование: Методы. Организация. Современная практика/ Под ред. В.И. Попова.- М.: Финансы и статистика,2013.-366с.

. Ильин А.И. Планирование на предприятии. В 2ч. Ч.1. Стратегическое планирование. - Мн.: Новое знание, 2011. - 296с.

. Прогнозирование и планирование в условиях рынка./Под ред. Т.Г. Морозовой, А.В. Пулькина. - М.: ЮНИТИ-ДИАНА. 2014 - 318с.

. Управление организацией. /Под ред. А.Г. Поршнева, З.П. Румянцевой, И.А. Соломатина. - М.: ИНФРА-М,2013.

. Экономика предприятии./ Под ред. В.П. Грузинова. - М.: Банки и биржи, ЮНИТИ,2014. - 535с.

. Экономика предприятия / В.Я. Хрипач, Г.З. Суша, Г.К. Оноприенко; Под ред. В.Я. Хрипача. - Мн.: Экономпресс,2010. - 464с.

Похожие работы на - Планирование деятельности фирмы

 

Не нашли материал для своей работы?
Поможем написать уникальную работу
Без плагиата!
Без нейросетей!