|
|
|
|
|
|
1
|
0,54
|
|
|
1
|
0,86
|
|
|
1
|
0,93
|
|
|
1
|
0,93
|
|
|
1
|
0,93
|
|
|
1
|
0,93
|
|
|
1
|
0,94
|
|
|
1
|
0,90
|
|
|
1
|
0,69
|
|
|
1
|
0,49
|
|
|
1
|
0,69
|
|
|
1
|
0,68
|
|
|
1
|
0,63
|
|
|
1
|
0,59
|
|
|
1
|
0,69
|
|
|
1
|
0,72
|
|
|
1
|
0,61
|
|
|
1
|
0,90
|
|
|
1
|
0,95
|
|
|
1
|
0,68
|
|
|
1
|
0,90
|
|
|
1
|
0,23
|
Средний коэффициент загрузки оборудования
по участку в целом определяется по формуле
где
- средний коэффициент
загрузки оборудования по участку;
общее число принятого
оборудования,
общее число расчетного
оборудования.
2.8 Расчет погрешности
базирования
Расчёт погрешности базирования производится для комплекта баз
и схемы установки, используемых на этапе фрезерования проушин (см. таблицу 4).
Этот этап включает четыре горизонтально-фрезерные операции.
Согласно схеме базирования, представленной на рисунке 5,
погрешность базирования для размеров 66-0,74, 130+1,0,
272-1,3 отсутствует, так как точность обеспечивается наладкой
инструментов. Для размеров 11°±15' и 76±0,37 погрешность базирования отсутствует,
так как конструкторская база (ось детали) совпадает с технологической.
Для размера 69±0,6 погрешность базирования равна допуску на
размер 101±0,15:
.
3. Научно-исследовательская часть
.1 Цели и задачи вопроса
Шлифование - один из прогрессивных методов обработки металлов
резанием. В процессе шлифования заготовок абразивный инструмент постепенно
теряет свои режущие способности в результате затупления, засаливания абразивных
зерен и забивание пор отходами обработки. Одновременно искажается и
геометрическая форма. Восстановление режущей способности и подготовку рабочей
поверхности шлифовального круга к резанию осуществляют путем правки. От
качества формированной при правке рабочей поверхности шлифовального круга в значительной
степени зависит как производительность шлифования, так и качество шлифуемых
деталей.
В настоящее время в связи с увеличением стоимости абразивного
инструмента возрос интерес к совершенствованию процесса правки шлифовальных
кругов, так как затраты на правку достигают 70% от себестоимости шлифовальных
операций. Также на правку расходуется от
до 90% полезного объёма шлифовального круга [6-9]. Поэтому
весьма актуальной становится задача уменьшения расхода шлифовальных кругов и
алмазного правящего инструмента.
Величина снимаемого при правке слоя абразива определяется
тремя факторами [6]:
) некруглостью круга, вызываемой его неравномерным износом
или биением вследствие неуравновешенности вращающихся масс;
) волнистостью круга, вызываемой его неравномерным износом
из-за вибраций;
) затуплением режущих кромок абразивных зёрен круга.
Общая глубина снимаемого слоя абразива при правке хорошо
отбалансированного мелкозернистого круга твёрдостью от С1 и выше равна h = (13 - 15) мкм, а при
правке на менее жёстком станке крупнозернистого круга твёрдостью СМ1 - М3 h = (70 - 100) мкм, то
есть увеличивается в (5 - 7) раз.
Диапазон глубины слоя абразива, удаляемого при правке
достаточно широк (0,02 - 0,15) мм, что объясняется различием характеристик и
погрешностей формы кругов, уровня их балансировки, жёсткости технологической
системы.
Лишние проходы правящего инструмента нежелательны, так как
приводят к увеличению расхода шлифовальных кругов, износу правящего инструмента
и уменьшению производительности процесса правки, поэтому необходимы дальнейшие
исследования по выяснению минимально необходимой глубины h снимаемого при правке
слоя абразива.
Для выбора эффективного метода контроля правки шлифовальных
кругов использовался патентный поиск. Известные системы контроля состояния
режущей способности шлифовальных кругов и процессов правки, например,
вибрационные, пневматические и другие, сложны в реализации и неточны. Поэтому
они не находят применения в промышленных условиях. Одним из перспективных путей
решения этой проблемы является использование в качестве источника информации о
режущей способности шлифовальных кругов в ходе правки акустического (звукового)
сигнала, генерируемого в зоне правки [10].
Природа возникновения акустического сигнала при правке
представляет собой результат дискретного ударного воздействия абразивных зерен
и связки круга на правящий инструмент, адекватен процессу шлифования, то есть
источником звуковых сигналов являются собственные изгибные колебания торцов
круга [10].
Режимы правки в условиях производства выбираются по
нормативам [11], а состояние режущей способности шлифовальных кругов
определяется только по качеству прошлифованных поверхностей деталей
(шероховатости, наличию прижогов и других дефектов), то есть процесс контроля и
управления правкой отсутствует, а его качество субъективно зависит от
квалификации шлифовщика. Поэтому актуальной становится проблема поиска способов
контроля и управления процессами правки шлифовальных кругов для снижения их
расходов.
Целью исследования акустического сигнала является разработка
математической модели образования звуковых сигналов при правке шлифовальных
кругов, проверка её адекватности, создание базы данных для системы
автоматического управления процессом правки шлифовальных кругов на операциях
круглого наружного шлифования и разработка такой системы.
3.2 Методика проведения исследования
Критерии оценки технологической эффективности процесса правки
и шлифования
Критерием оценки процесса правки и шлифования являются:
глубина снимаемого слоя абразива h, мм;
информативная частота звуковых колебаний f, Гц;
амплитудное значение эффективного напряжения исследуемого
звукового давления в полосе пропускания Aз.
где
амплитудное значение эффективного напряжения, В;
Е - чувствительность микрофона, В×м2/Н;
Ку - коэффициент усиление звукового сигнала;
- шероховатость прошлифованной поверхности
заготовки по критерию Ra, мкм.
Контролируемые параметры и средства их измерения, режимы
проведения исследования
Для оценки условий взаимодействий шлифовального круга с
материалами обрабатываемой заготовки в зоне шлифования, а также с правящим
инструментом контролировались следующие параметры:
скорость шлифовального круга Vкр=50 м/с;
поперечная подача правящего инструмента St=0,005 мм/дв. ход;
продольная подача правящего инструмента Sпр=0,2 м/мин;
скорость детали Vд=21 м/мин;
величина снимаемого припуска z=0,1 мм.
Контроль перечисленных режимов правки и шлифования
производили по лимбам станка и с помощью универсальных измерительных средств
(тахометр, масштабная линейка, секундомер).
Обрабатываемый материал - сталь 40Х. Правящий инструмент -
алмазный карандаш.
Фактический съем обрабатываемого материала определялось при
помощи микрометра МК с ценой деления 0,01 мм.
Математическое моделирование зависимости (41) было выполнено
для правки круга характеристики 24А40-ПС16К5, для которого коэффициенты
k1 = k1 = 1; D = 450
÷ 750
мм, d
= 305; Н = 20 ÷ 50 мм. Экспериментальная
установка смонтирована на базе круглошлифовального станка 3М161Е.
Экспериментальная установка
Звуковые сигналы, возникающие в зоне контакта шлифовального
круга 1 с правящим инструментом 2 и излучаемые торцовыми поверхностями круга,
принимали и преобразовывали с помощью первичного преобразователя (микрофона) 3,
встроенном в защитном кожухе 4 станка. Далее электрические сигналы поступались
в двухканальный аналого-цифровой преобразователь (звуковую карту) 5, встроенную
в персональный компьютер 6, где происходила регистрация и обработка звуковых
сигналов с помощью оптимизированных пакетов программ.
Исследование звукового поля
Данный способ определения момента правки, при котором
регистрируют амплитуду собственных колебаний шлифовального круга, имеющих
частоту f,
зависящую от геометрических и физико-механических характеристик шлифовального
круга, и определяемую как для диска с одной или двумя узловыми окружностями.
Колебания с частотами, отличными от f, в расчет не принимаются и исключаются
полосовыми фильтрами, что существенно снижает влияние посторонних шумов и
колебаний технологической системы на точность определения момента правки.
Вследствие повышения точности определения момента правки шлифование может
проводиться при более высоких режимах без ухудшения качества обработанной
поверхности.
Предлагаемый способ определения момента правки включает
регистрацию амплитуды звукового сигнала в течение цикла шлифования. Для
определения уставной величины АЗпр тестовую деталь шлифуют до
появления дефекта обработанной поверхности, фиксируя величину амплитуды АЗ
в момент появления дефекта. Эту величину принимают за уставную, которая
определяет момент правки. Для нейтрализации помех, возникающих в
технологической системе при шлифовании замеряют амплитуду звукового давления на
частоте f
информативных колебаний, в качестве которой может быть принята частота
собственных колебаний шлифовального круга, определяемая заранее как для диска с
одной или двумя узловыми окружностями.
Установлено [9], что основным источником звуковых сигналов
являются собственные изгибные колебания торцов шлифовального круга, частоту
которых для кругов с наружным диаметром 750 мм можно рассчитать как для диска с
двумя узловыми окружностями. Звуковое излучение, возникающие в зоне правки,
распространяется в виде упругих волн как по телу колеблющегося шлифовального
круга и правящего инструмента, так и в воздухе, окружающем круг и правящий
инструмент, и несут полезную текущую информацию для контроля и управления
процессами правки. Поэтому должна существовать определенная корреляционная
связь между технологическими параметрами процесса правки и параметрами
звукового излучения, которую можно использовать в качестве информационного
сигнала для контроля и управления процессом правки с целью оптимизации глубины
снимаемого слоя абразива, т.е. определения момента начала и окончания процесса
правки.
В результате исследования звукового поля при правке на
операциях круглого наружного шлифования была уточнена математическая модель
звукового давления
где
звуковое давления, Па;
ρ - плотность воздуха, кг/м3;
с - скорость распространения звука в среде (воздухе), м/с;(µ)
- функция коэффициента Пуассона;- информативная частота звуковых колебаний,
определяемая по результатам экспериментов, Гц;- модуль сдвига шлифовального
круга, МПа;
Н - высота круга,
м;- волновое число, м-1;, D - соответственно внутренний и наружный
диаметры круга, м;
РП -
сила правки, Н;
k1 и k2 - поправочные коэффициенты, учитывающие соответственно твёрдость
и структуру круга.
где k - волновое число, м-1;
λи - длина изгибной волны
круга, м.
Силу правки кругов при круглом наружном шлифовании
определяется по данным работы [9]
где Sпр - продольная подача, м/мин;
St - врезная подача, мм/дв. ход;
N - коэффициент, численно равный номеру зернистости круга;
CV - показатель степени, численно равный скорости
резания, м/с;
Cd - показатель
степени, численно равный диаметру смоченного жидкостью пятна на абразиве, мм;
CE - показатель степени, численно равный величине
модуля упругости шлифовального круга, МПа.
Зависимость (42) является математической моделью, связывающей
звуковое давление с силой правки РП, а значит и с технологическими
параметрами процесса правки, с размерами и характеристиками шлифовальных кругов
плоского профиля.
Установлено, что в отличие от процесса шлифования заготовок
информационная частота звуковых сигналов при правке смещается в область высоких
частот f = 3840 ÷ 3860 Гц, где амплитуда Аз
звукового давления увеличивается по сравнению с работой станка на холостом ходу
в 3,5 ÷ 6 раз. Это объясняется тем, что сила правки шлифовального круга
заметно меньше, чем сила резания при шлифовании, поэтому чувствительность
преобразователя звуковых сигналов смещалась в область высоких частот. Таким
образом, в результате анализа спектра звуковых колебаний в качестве
информативной частоты была принята частота f=3850 Гц, на которой
проводились все дальнейшие измерения звукового давления при исследовании
звуковых сигналов, возникающих в процессе правки. Пример регистрации спектра
частот звуковых сигналов при правке шлифовального круга приведен на рисунке 8.
Как видно из рисунка 9, увеличение врезной подачи St оказывает доминирующее
влияние на повышение силы правки Р. Это обусловлено увеличение объема
снимаемого абразива, поскольку правящий карандаш будет глубже внедряться в
поверхность шлифовального круга.
Высота шлифовального круга Н влияет на изменение звукового
давления в большей степени, чем наружный диаметр D (рисунок 10). Уменьшение
отношения Н/D
приводит к уменьшению жесткости круга и, как следствие, увеличением амплитуды
колебаний при неизменных режимах правки.
Алгоритм функционирования системы управления процессом правки
Алгоритм функционирования системы управления процессом правки
представлен на рисунке 11. Процесс правки начинается после ввода в управляющую
программу исходной информации о типоразмере и физико-механических
характеристиках шлифовального круга и режимах правки, а также проверки условия
излучения информационного сигнала и расчёта уставной величины Аз.
Амплитуда звукового давления А0 определяется как среднее
арифметическое по результатам нескольких замеров, выполненных через равные промежутки
времени во время чистового прохода правящего инструмента.
Круг считается выправленным, если отклонение регистрируемой
амплитуды А0 от уставной величины Азпр не превышает
допустимого значения [δА].
3.3 Результаты исследований
Экспериментальная проверка текущего контроля процесса правки
на станке 3М161Е показала, что от прохода к проходу алмазного карандаша при
правке «засаленного» после шлифования шлифовального круга с постоянной глубиной
h = 0,005 мм снимаемого слоя
абразива амплитуда Aз звукового давления до определённого времени увеличивается, что
свидетельствует о восстановлении режущей способности круга, а затем несмотря на
увеличение глубины h стабилизируется.
Качество процесса правки шлифовального по звуковому сигналу,
оцениваемое по результатам шлифования заготовок из стали 40Х НВ 212…248,
надёжно обеспечивают качество шлифованных поверхностей по критерию Ra ≤ 1,25 мкм и
геометрическую точность в пределах 6 - 7 квалитетов. Кроме того суммарная
величина снимаемого слоя абразива h = 0,05 мм меньше рекомендуемой по нормативам
[11] h
= 0,08 мм в 1,6 раза, следовательно экономия шлифовального круга составляет
40%.
Проверка адекватности математической модели показала, что
погрешность определения звукового давления составляет менее 17%. На основании
этой информации можно сделать вывод о возможности использования этой
математической модели для разработки системы автоматического управления
процессом правки на операциях круглого наружного шлифования.
4. Системы обеспечения функционирования участка
.1 Автоматизированная транспортно-складская
система
Автоматизированная транспортно-складская система АТСС -
система взаимосвязанных автоматизированных транспортных и складских устройств,
предназначенных для укладки, хранения, накопления, разгрузки и доставки
предметов труда и технологической оснастки. Она выполняет следующие функции:
прием заготовок (полуфабрикатов), готовых деталей,
технологической оснастки, размещение и временное хранение их в ячейках склада;
выдача со склада АТСС заготовок (полуфабрикатов),
технологической оснастки на позиции обработки, готовых деталей;
учет поступления, выдачи и наличия на складе АТСС заготовок
(полуфабрикатов), готовых деталей, и технологической оснастки;
транспортирование режущего инструмента из отделения настройки
к технологическому оборудованию и обратно.
Транспортирование заготовок в тарах (рисунок 13) со склада и
деталей на участок сборки производиться автопогрузчиком. Автопогрузчик,
показанный на рисунке 14, является безрельсовым подъемно-транспортным средством
и предназначен для подъема на высоту и перевозки грузов, установленных на
стеллажах, поддонов и других подставках. Автопогрузчик приспособлен для
движения по твердым, сравнительно гладким покрытиям. Основным грузоподъемным
приспособлением автопогрузчиков является вилка.
В качестве основного транспортного устройства на участке
используется паллетно-роликовый конвейер, служащий для перемещения и накопления
заготовок [12]. Перемещение заготовок на паллетах происходит под действием сил
трения, возникающих между образующей роликов и заготовками. Для перемещения
заготовки от конвейера к станку используется консольно-поворотный кран
грузоподъемностью 0,2 тн.
Помимо этих транспортных устройств применяются склизы,
осуществляющий самотечный способ транспортирования под действием силы веса
детали. Это самый простой и дешевый способ, который не требует различных
приводных устройств.
На операции 010 автоматно-линейной в качестве транспортного
устройства используется паллетно-роликовый транспортер с портальным
манипулятором. Данное транспортное устройство является одновременно магазином
для хранения и последовательной выдачи заготовок [13]. При этом способе
выполняются следующие перемещения:
захват автооператором заготовки с основного транспортера;
перемещение заготовки в рабочую зону для установки в центра;
после обработки снятие автооператором деталь с центров и
перемещение ее из рабочей зоны станка на основной транспортер линии;
перемещение детали вперед по основному транспорту линии с
одной рабочей позиции станка на позицию следующего станка для дальнейшей
обработки.
На операциях автоматно-линейных 055 и 060 транспортное
устройство сложное, на которых обработка заготовок производится в
приспособлениях-спутниках. Спутники между станками перемещаются на
палетно-роликовом транспортере. Имеется два транзитных накопителя, выполненного
в виде цепного конвейера. Первый для приема и хранения спутников с заготовками,
обработанными на 055 операции, его размещают между концом 055 операции и
началом 060 операции. Второй для приема спутников и передачи детали с помощью
консольно-поворотного крана на дальнейшую обработку.
Применение на данных операциях транзитных накопителей, а не
тупиковых объясняется тем, что транзитные накопители одновременно являются
транспортерами, соединяющими две операции, и, следовательно, занимают меньшую
площадь. Межстаночный транспортер проходит через рабочие зоны станков, обеспечивает
перенос приспособлений-спутников, их фиксацию и зажим на рабочих позициях во
время обработки. Перенос спутников осуществляются двумя штангами, опирающиеся
на опорные ролики. От смещения спутника ограничиваются четырьмя жесткими
упорами на штангах.
4.2 Система автоматизированного контроля
Основой надежной работы автоматизированных технологических
систем является непрерывный или периодический контроль за ходом
технологического процесса, реализуемых в этих системах. При этом решаются
задачи по контролю точности деталей, точности работы оборудования, выявлению
причин отклонения от заданной точности деталей и оборудования, к определению
методов и средств контроля, а также вопросы защиты от аварийных ситуаций.
Контроль - проверка соответствия объекта установленным
техническим требованиям. Под объектом технического контроля понимают
подвергаемую контролю продукцию, процессы ее создания, применения,
транспортирования, хранения, технического обслуживания и ремонта, а также
соответствующую техническую документацию.
Наиболее часто в промышленности, особенно в серийном
производстве, применяют самонастраивающиеся управляющие системы контроля с
коррекцией по отклонению измеряемого (контролируемого) параметра качества от
заданного значения. Для реализации функций контроля необходимы различные
измерительные устройства с датчиками, устройства сбора и обработки информации,
поступающей от измерительных устройств, а также устройства реализации
выработанных решений. В качестве последнего на операции 010 автоматно-линейной
применяется программируемый контроллер фирмы «Тесла», входящий в систему
управления автоматизированного комплекса.
Внедрение активного контроля деталей повышает качество
изготовляемых изделий, снижает трудоемкость и стоимость изготовления деталей,
процент брака, освобождает рабочего от необходимости контролировать размеры
обрабатываемых деталей.
На шлифовальных операциях в качестве приборов активного
устройства используется установка системы измерительный осевой и установка
системы измерительный индуктивный. Он состоит из отсчётно-командного
устройства, скобы и индуктивного преобразователя. Работа индуктивного
преобразователя основана на принципе изменения площади сечения магнитопровода
при перемещении измерительного наконечника. За счет этого изменяется индуктивное
сопротивление катушек преобразователя и их выходное напряжение. Сигнал
преобразователя, амплитуда которого пропорциональна контролируемому размеру,
преобразуется электронным блоком в сигнал, по величине и изменению которого
определяют изменение размера контролируемой детали.
На операции 060 автоматно-линейной производится
автоматический контроль отверстий с подналадкой алмазно-расточного станка.
Подналадчики - это измерительные приборы, которые через цепь обратной связи
производят подналадку станка, когда контролируемый размер детали выходит за
пределы допуска.
4.3 Система инструментального обеспечения
Система инструментального обеспечения технологического
процесса - обеспечивает накопление, хранение, переточку, транспортирование
режущего инструмента, который используется на операциях технологического
процесса. Новый инструмент централизованно проверяется и затачивается в
инструментальном цехе, затем поступает в инструментально раздаточные кладовые,
а затем - в отделение инструментального обеспечения.
Система инструментального обеспечения выполняет следующие
функции:
хранение минимальных запасов всей номенклатуры режущих и
вспомогательных инструментов и технической документации к ним;
сборка режущих и вспомогательных инструментов, настройка их
на размер;
разборка отработанного инструмента, замена сменных
неперетачиваемых пластин с механическим креплением, сортировка инструмента по
всем видам износа и степени разрушения;
размещение настроенных инструментов;
передача отработанного инструмента (при необходимости) в
инструментальный цех для восстановления.
Периодичность замены инструмента определяется на основе
данных о его стойкости. На линии должны быть предусмотрены инструментальные
шкафы, где хранится заранее установленное количество быстроизнашиваемого
инструмента.
4.4 Система удаления отходов
Уборка стружки на участке является трудной задачей. Стружка
убирается следующим образом: отвод из рабочей зоны станков, транспортирование
стружки в сборники цехового транспортера, очистка стружки от смазочно-охлаждающей
жидкости и шлама и ее переработка. Применяют следующие способы удаления стружки
из рабочей зоны станка: механический с помощью шнекового транспортера,
скребков, смывание стружки эмульсией.
Для лучшего попадания стружки на транспортер, размещенными
под станками линии, в станинах станков и в основаниях станочных приспособлений
устраиваются специальные проемы, через которые основная масса стружки попадает
на транспортер.
На операции 050 и 060 автоматно-линейной с
приспособлениями-спутниками базовые поверхности спутников промывают в моечных
машинах и продувают сжатым воздухом для удаления с них стружки и грязи.
Для удаления стружки со станков в сборники общецехового
транспортера применяется шнековый транспортер, обладающий требуемой
производительностью и жесткостью. При перемещении стружки он дробит ее и
улучшает транспортирование.
5. Специальные средства технологического
оснащения
.1 Расчет и проектирование станочного
приспособления
Установка и закрепление заготовки на автоматической линии при
обработке фланца поворотного кулака осуществляется в приспособлении-спутнике
[14].
Достоинством применения приспособлений-спутников является
обеспечение правильной ориентации заготовки при их перемещении вместе со
спутниками между станками линии.
Спутник состоит из двух частей. Нижняя нормализованная часть
выполнена в виде прямоугольной платформы с привернутыми к ней снизу четырьмя
планками и двумя отверстиями под фиксаторы. Верхняя специальная часть является
приспособлением, в котором устанавливают и закрепляют заготовки.
Заготовка устанавливается наружной поверхностью цапфы в
базовой втулке (поз. 14) до упора торцом фланца в плоскость базового кольца
(поз. 13) и зажимается с помощью двух прихватов (поз. 8 и поз. 19). Угловое
положение кулака фиксируется пальцем (поз. 10).
Два прихвата имеют отдельные механизмы зажима. Под действием
электромеханического привода винт перемещает втулку, в прорезь которой входит
вертикальное плечо рычага, установленного на оси. Горизонтальное плечо рычага,
входящее в отверстие вертикального толкателя, перемещает толкатель с
установленным на нем прихватом вниз при зажиме заготовки. Для разжима заготовки
прихваты перемещаются вверх при обратном вращении винта.
Фиксируется и закрепляется спутник на рабочих позициях линии
нормализованными зажимными станциями. Она имеет два гидроцилиндра с клиновыми
механизмами, которыми спутник прижимается к базовой плите снизу. При
перемещении штанги, в наклонный паз которой входит штифт, закрепленный в
фиксаторе, фиксатор входит во втулку (поз. 25) спутника.
Расчет величины зажимного усилия [15] будет производиться для
наиболее худшего случая, когда крутящий момент создаваемый силами резания,
стремящийся провернуть заготовку во втулке, будет максимален.
В данном случае наибольший момент резания возникает при
фрезеровании проушин двумя дисковыми фрезами.
Исходные данные:
а) материал детали - сталь 40Х;
б) инструмент - фрезы дисковые диаметром Ø400, материал режущей части Т5К10;
в) режим обработки:
) t - глубина резания, 1 мм;
) So - подача на оборот шпинделя, 1,92 мм/об;
) V - скорость резания, 70 м/мин;
) n - частота вращения шпинделя, 55 мин-1;
г) СОЖ - укринол - 1 3 - 5% ТУ 38-101-197-75.
На рисунке 20 представлена расчетная схема с указанием сил,
действующих на заготовку при обработке.
Условие равновесия заготовки при закреплении в
приспособлении-спутнике имеет вид
где
- суммарный момент трения от двух прихватов, Н∙м;
К - коэффициент запаса, 2,5;
Мрез - момент резания, действующий на деталь, Н∙м.

где
- окружная сила резания при фрезеровании, Н;
- плечо силы резания, создаваемой первой фрезой,
0,138 м;
- плечо силы резания, создаваемой второй фрезой,
0,066 м.
где
- коэффициент, учитывающий условие обработки,
261;
х=0,9; у=0,8; q=1,1; w=0,1 - показатели степени;
Sz - подача на зуб фрезы, 0,096 мм/зуб;
В-ширина резания, 140 мм;
z - число зубьев фрезы, 20;
dф - диаметр фрезы, 400 мм;
КМр - поправочный коэффициент, учитывающий
качество обрабатываемого материала, 0,96.
где n - число прихватов, 2;
Qз - сила закрепления, Н;
fтр - коэффициент трения заготовки в контакте с
рабочими поверхностями прихвата, 0,15;
Dтр - диаметр трения, 0,208 м.
Требуемая сила закрепления заготовки одним прихватом
определяется по формуле
В процессе закрепления заготовки на прихват действуют сила
зажима Qз и сила Q' от рычага.
Для упрощения расчетов, пренебрегая силой трения прихвата, принимается
Q'=Qз.
Сила закрепления передается на прихват через равноплечий
рычаг. Сила на рычаге Q'' от винта определяется по формуле
где
- сила, действующая на рычаг от винта, Н;
- сила, действующая на прихват, от рычага, Н;
- коэффициент, учитывающий потери на трение в
шарнире рычага, 0,95.
При расчете усилия развиваемого винтовой парой, для упрощения
расчетов, принимается
где W - осевое усилие в резьбе винтовой пары, Н.
Крутящий момент от электродвигателя определяется по формуле

где
- крутящий момент от электродвигателя, Н∙м;
- средний радиус резьбы, 0,017 м;
- угол подъема винтовой линии резьбы, град;
- угол трения в резьбовой паре, град.
где
- шаг резьбы, 6 мм;
- средний диаметр резьбы, 34 мм.
где f - коэффициент трения резьбовой пары, 0,1.
Для закрепления заготовки необходимо перемещение прихвата на
5 мм. Скорость перемещения прихвата принимается 5 мм/сек. Так как рычаг
равноплечий, то скорость перемещения ползуна под действием винта также будет
равна 5 мм/сек.
При шаге винта S=6 мм, винту необходимо сделать 0,84 оборота за секунду.
Частота вращения винта принимается
Мощность, передаваемая на винт, определяется по формуле

где
- мощность, передаваемая на винт, кВт.
Мощность электродвигателя определяется по формуле
где
- мощность электродвигателя, кВт;
- к.п.д. понижающего редуктора, 0,95.
Для привода выбирается электродвигатель асинхронный
трехфазного типа АИР 71В-8 с синхронной частотой вращения 750 мин-1
и мощностью 0,25 кВт [16].
Передаточное отношение понижающего редуктора определяется по
формуле
где
- передаточное отношение понижающего редуктора;
- частота электродвигателя, 750 мин-1.
Выбирается червячный одноступенчатый редуктор Ч-50.
5.2 Расчет и проектирование специальных средств
технического контроля
Настоящее контрольное приспособление применяется на
промежуточных этапах обработки (межоперационный контроль) и для окончательной
приемки, выявляя точность размеров и взаимного расположения поверхностей
поворотного кулака.
При выполнении операции контроля приспособление устанавливается
на плиту или стол, так чтобы не было качения и вибрации. Проверяемая деталь
устанавливается на две призмы поз. 13 и поз. 18, закрепленные на плите
контрольного приспособления поз. 4 винтами поз. 43 и поз. 48, и зажимается
рычажным прижимом поз. 2. В призме поз. 18 установлен фиксатор поз. 15 для
точного позиционирования поворотного кулака. Проушины кулака опираются на два
упора поз. 32. Необходимые для контроля принадлежности устанавливаются на плите
поз. 6.
В комплект принадлежностей входит три державки, три шаблона,
оправка, кольцо и пять индикаторов.
Таблица 9 - Проверяемые параметры
|
Проверяемые параметры
|
Предельные отклонения, мм
|
|
Размеры 146
|
±0,5
|
|
30
|
±0,3
|
|
72
|
±0,5
|
|
76
|
±0,37
|
|
76,75
|
±0,4
|
|
78
|
±0,2
|
|
101
|
±0,125
|
|
70
|
±1,0
|
|
69
|
±0,6
|
|
Угол 11°
|
±30'
|
|
Допуск пересечения осей поверхностей А, Б и С
|
0,2
|
|
Допуск биения поверхности Д относительно оси
поверхности С
|
0,3
|
Проверка размера 146±0,5 представлена на графическом листе.
Проверка выполняется в следующей последовательности: проверяемая деталь устанавливается
на призмы поз. 13 и поз. 18 до контакта с торцом втулки поз. 17 и опор поз. 32
так, чтобы при проведении плунжера поз. 11 к проверяемой детали, губки его
контактировали с торцом Н детали; проверяемая деталь закрепляется прижимом 2.
Противоположный торец плунжера покажет отклонение размера.
Проверка размера 30±0,3 представлена на графическом листе.
Проверка выполняется в следующей последовательности: державку 05 устанавливают
на эталон и настраивают индикатор на ноль; державку 05 устанавливают на поверхность
Е плиты поз. 6 и перемещают до контакта с поверхностью К планки поз. 36 так,
чтобы шарик поз. 1 зашел в центровое отверстие проверяемой детали и
контактировал. Индикатор покажет отклонение. Показание индикатора поз. 55 не
должно превышать ±0,3 мм.
Проверка размеров 72±0,5; 76±0,37; 76,75±0,4; 78±0,2
представлена на рисунке 22 и выполняется в следующей последовательности:
державку 06 устанавливают на эталон и настраивают индикатор на ноль; державку
06 устанавливают на поверхность Е плиты поз. 6 и поверхность М вводится в
контакт с поверхностью Л планки поз. 23. Индикатор покажет отклонение от
размера.
Проверка размеров 64±0,4 представлена на рисунке 23 и
выполняется в следующей последовательности: шаблон 07 устанавливается на
поверхность Е плиты поз. 6 и вводятся в контакт поверхности С и Т планки поз.
37 с шаблоном; шаблон перемещают вдоль планки поз. 37. Меньшая сторона должна
пройти, а большая - нет.
Проверка размеров 69±0,6 представлена на рисунке 24 и
выполняется в следующей последовательности: шаблон 08 устанавливается на
поверхность Е плиты поз. 6 и вводятся в контакт поверхности К и Н планки поз.
36 с шаблоном; шаблон перемещают вдоль планки поз. 37. Меньшая сторона должна
пройти, а большая - нет.
Проверка размеров 70±1,0 представлена на рисунке 23 и
выполняется в той же последовательности, что и проверка размера 69±0,6, только
шаблоном 09.
Проверка размера 101±0,125 и пересечения осей поверхностей
диаметром Ø75,3, Ø60,3 и Ø75; Ø60, Ø75 и Ø75 представлена на рисунке 24 и выполняется в следующей
последовательности: оправку вставляют в отверстие диаметром Ø75 проверяемой детали; державку 04 устанавливают на эталон и
индикатор настраивают на ноль; державку устанавливают на поверхность Е плиты
поз. 6 и вводят ее в контакт с поверхностью К и Т планок поз. 36 и поз. 37.
индикаторы покажут отклонение размера и пересечения поверхностей.
Проверка угла 11°±30' представлена на рисунке 25 и
выполняется в следующей последовательности: державка 05 устанавливается на
эталон и индикатор настраивается на ноль; державка 05 устанавливается на
поверхность Е плиты поз. 6 и вводится в контакт с поверхностью С планки поз.
37. Упор войдет в контакт с оправкой, а индикатор покажет отклонение угла.
Показание индикатора не должно превышать ±0,44.
Проверка допуска биения оси поверхности Д относительно оси
поверхности С представлена на рисунке 26 и выполняется в следующей
последовательности: кнопкой поз. 14 отвести фиксатор поз. 15 вне рабочее
положение; отвести прижим поз. 2 и снять проверяемую деталь; вытянуть из одного
отверстия оправку, установить на нее кольцо и вставить ее во второе отверстие.
Кольцо диаметром Ø86,732 должно свободно зайти в
отверстие диаметром Ø87 проверяемой детали;
вытянуть оправку и снять кольцо.
Погрешность измерения складывается из случайных и систематических
погрешностей
где
- погрешность измерения, мм;
- случайная погрешность, мм;
- систематическая погрешность, мм.
К случайным погрешностям относятся погрешность установки и
погрешность измерительного устройства. Их суммарное значение определяется по
закону Гаусса
где
- погрешность установки, мм;
- погрешность измерительного устройства, мм.
Погрешность установки определяется как допуск на установочный
размер приспособления 0,02 мм.
Погрешность измерительного устройства определяется по его
паспорту и для индикаторов первого класса точности составляет 0,01 мм.
К систематическим погрешностям относится погрешность,
связанная с износом элементов приспособления и погрешность, связанная с
колебаниями температуры
где
- погрешность, связанная с износом элементов
приспособления, 0,0005 мм;
- погрешность температурных изменений, 0,0005
мм.
Погрешность износа принимается исходя из статистических
данных при условии термической обработки установочных элементов приспособления
и незначительных усилий трения при ориентировании заготовки.
Условие целесообразности применения контрольного
приспособления определяется из выражения
где dр - наименьший допуск на проверяемый размер, 0,25
мм.
,023 мм < 0,025 мм
Приспособление пригодно для контроля данного проверяемого
параметра.
5.3 Расчет и проектирование средств автоматизации
технологических процессов
Конструкция и работа портального загрузчика
В качестве автоматизирующего устройства на автоматно-линейной
операции применяется портально-загрузочное устройство [17]. Общий вид
автооператора с зоной обслуживания представлен на листе графической части.
Портально-загрузочное устройство является промышленным роботом. Промышленный
робот - автоматическая машина, представляющая собой совокупность манипулятора и
перепрограммируемого устройства управления, для выполнения в производственном
процессе двигательных и управляющих функций, заменяющих аналогичные функции
человека при перемещении предметов производства и (или) технологической
оснастки. Для загрузки используется автооператор портального типа с двумя
питателями, расположенными на одной каретке.
Автооператор состоит из балки - портала со стойками, по
которому перемещается каретка (с помощью гидромотора и реечной передачи) с
двумя питателями. Один из питателей предназначен для загрузки заготовки, а
другой для снятия обработанной детали со станка. Удержание детали (заготовки)
при перемещении осуществляется с помощью захватных устройств - схватов.
Во время обработки детали каретка находится над
транспортёром. За определённое время до окончания работы станка каретка
перемещается на длину L=3234 мм. Станок выключается, питатель опускается, зажимает
деталь и поднимается вверх. Затем происходит смена питателей. Второй питатель
опускается вниз и устанавливает заготовку на станок. Осуществляется загрузка
заготовки в станок. Станок включается и начинается цикл обработки заготовки.
Каретка перемещается к транспортёру и останавливается над ним. Питатель
опускается, кладёт деталь и поднимается вверх. И через некоторое время цикл
работы автооператора повторяется.
Расчёт элементов цикла работы автооператора и построение
циклограммы работы автооператора
Для определения времени работы автооператора строится
циклограмма отдельных элементов цикла совместной работы автооператора, станка и
транспортера.
Длительность цикла работы автооператора Тц складывается из
затрат времени на не совмещённые элементы цикла работы устройства, используемых
на загрузочных операциях, и затрат времени на совмещенные элементы цикла работы
устройства используемых на транспортных операциях.
Время отдельных элементов цикла можно рассчитать, пользуясь
усредненными данными:
а) включение и выключение станка - 0,5 с;
б) закрепление и раскрепление детали - 0,5 с;
в) время перемещения каретки или питателей зависит от
скорости и пути перемещения их в зоне их в зоне обслуживания станка:
) скорость перемещения каретки - 0,5 - 1,0 м/с;
) скорость перемещения питателя - 0,5 м/с;
г) время, затрачиваемое на перемещение заготовки по
транспортеру, зависит от скорости транспортера и величины шага перемещения
заготовки:
) скорость перемещения транспортера - 8 - 10 м/мин;
) величина перемещения каретки с питателями от станка к
транспортеру - 3234 мм.
Для упрощения расчётов принимаем время элементов цикла работы
автооператора, указанное в циклограмме на рисунке 27.
Расчёт усилия захвата детали
Для безопасной работы автооператора необходимо определить
усилие закрепления детали в схвате, при транспортировке ее от станка и к
транспортеру [18].
При расчете усилия закрепления создаваемого рычагами схватов
рассмотрим схему на рисунке 28.
Расчётная схема представляет собой рычажный механизм с
плечами L1и L. На конце плеча L1 имеется призма с углом α. Плечо L связано шарнирно с тягой, создающей исходное усилие W. Таким образом, величина
усилия закрепления детали Q, будет зависеть от передаточного отношения плеч рычагов L1 и L. Так как скорость
горизонтального перемещения каретки автооператора не велика, то при расчёте
силы закрепления заготовки можно ограничиться только учётом веса заготовки P.
При расчете усилия W считается, что углы призмы равны, следовательно
равны и силы нормального давления.
где N1 - силы нормального давления, Н;
N2 - силы нормального давления, Н;
Р - вес заготовки, 440 Н;
α - угол призмы,
.
Сила закрепления создаваемые рычагами
где Q - сила закрепления, Н;
f - коэффициент трения, 0,15.
Исходное усилие W необходимое для удержания заготовки в схвате
автооператора определяется по формуле
где
усилие зажима, Н;
коэффициент запаса, 2,5;
угол наклона плеча рычага по отношению к тяге,
;
потери на трение в шарнирах рычага, 0,9;
потери в соединении рычагов, 0,85.

5.4 Расчет надежности и производительности
автоматической линий
Расчет надежности и производительности автоматической линии
ЛКМВ-359А
Данная автоматическая линия обработки кулака включает в себя:
) автоматизированный специальный токарный
многорезцовый копировальный станок КМ151001 - 4 шт., t0=2,02 мин, tв=0,63 мин;
) транспортер - 1 шт.;
) манипулятор портальный - 4 шт.
Очень важно с точки зрения эффективности
капитальных затрат при расчете производительности наиболее полно учесть
надежность работы линии.
Расчет показателей надежности автоматической линии сводятся к
определению параметров безотказности и восстанавливаемости оборудования.
В таблице 10 представлены значения показателей надежности для
данного вида автоматической линии.
Таблица 10 - Определение показателей надежности оборудования
линии
|
Наименование
|
λi·10-3,1/цикл
|
Вi·10-3,мин/цикл
|
|
Циклически действующие
|
|
|
|
1
|
Приспособление для фиксации зажима заготовок
средней сложности
|
0,139
|
1,000
|
|
2
|
Станция автоматической загрузки и разгрузки
заготовки
|
2,000
|
0,400
|
|
3
|
Электрооборудование
|
0,100
|
0,750
|
|
4
|
Гидрооборудование
|
0,200
|
1,740
|
|
Непрерывно действующие
|
|
|
|
5
|
Система охлаждения режущего инструмента при
наличии резервной насосной установки
|
0,400
|
0,200
|
|
6
|
Насосная установка гидростанции
|
0,010
|
0,100
|
Производительность, обусловленная продолжительностью рабочего
цикла называется цикловой
где
цикловая производительность, шт./мин;
tо - основное время цикла, связанное с выполнением
рабочих ходов, мин;
tв - вспомогательное время цикла, связанное с
выполнением холостых ходов, которые являются цикловыми, мин.
Каждый агрегат линии имеет свою
интенсивность отказов и свою удельную потерю времени на восстановление.
где λоб - интенсивность отказов,
мин-1;
время цикла, мин;
- сумма интенсивности отказов узлов циклического
действия, мин-1;
- сумма интенсивности отказов узлов непрерывного
действия, мин-1.
Значения
,
берутся из таблицы 10.
Наработка на отказ определяется по формуле
где τр - наработка на отказ,
мин.
где В-удельная потеря времени на восстановление, мин/цикл;
- сумма потерь времени на восстановление узлов
циклического действия, мин/цикл;
- сумма потерь времени на восстановление узлов
непрерывного действия, мин/цикл.
Обобщенным показателем надежности работы линии является
коэффициент готовности
где
- коэффициент готовности;
γ
- коэффициент
наложенных потерь, 1,5.
Величина запаса деталей между станками
определяется из условия, что запас заготовок достаточный для восстановления
участка.

где
величина запаса деталей
между станками, шт.;
средняя емкость
накопителя;
поток восстановления на
участке;
К - коэффициент запаса, учитывающий
габариты заготовки, 5.
Производительность с учетом технических отказов называют
потенциальной
где
потенциальная производительность, шт./мин.
Внецикловые потери рабочего времени по техническим причинам в
сумме оцениваются коэффициентом технического использования
где
коэффициентом технического использования;
Вт - удельные простои по техническим причинам,
мин/цикл.
где Впл - плановые простои по техническим
причинам, мин/цикл.
где В'пл - удельные плановые простои в связи с
ремонтом оборудования в течение года, мин/цикл;
В"пл - удельные плановые простои в связи с
текущей профилактикой, мин/цикл.
Коэффициент технического использования определяет расчетную
производительность автоматической линии
где
расчетную производительность автоматической
линии, шт./мин.
При длительной эксплуатации автоматической линии возможны
также простои по организационным причинам. Если учитывать эти простои, то
получим общую производительность
где
общая производительность, шт./мин;
ηо - коэффициент общего
использования автоматической линии.
где Во-общие удельные простои, мин/цикл.

где Ворг - удельные простои по организационным
причинам, 0,089 мин/цикл.
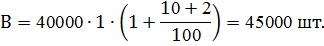
Требуемая сменная производительность автоматической линии в
целом по конечной годовой продукции определяется по формуле
где
- требуемая сменная производительность
автоматической линии, шт./см;
Nг - годовая программа выпуска, 45000 шт.;
Fсм - сменный фонд времени, 8 ч;
Fг - годовой номинальный фонд времени, 2570 ч;
Р - количество автоматических линий, 1;
ηэ - эксплуатационный
коэффициент, 0,90.
Полученный результат расчета производительности Qо=156,96 шт./см
удовлетворяет заданным требованиям, так как требуемая сменная
производительность автоматической линии Qтр=155,70 шт./см.
Заключение
В данном дипломном проекте разработан технологический процесс
механической обработки левого поворотного кулака автобуса ЛиАЗ-5256.
Исходя из заданной программы выпуска детали принимается
крупносерийный тип производства.
Произведен анализ условий эксплуатации кулака на основании,
которого обоснованны технические условия на его изготовления, произведен анализ
технологичности конструкции детали.
Проанализировав способ получения заготовки, был выбран метод
штампование на прессе, являющийся оптимальным методом для получения заготовки.
Исходя из назначения детали и технических требований к
кулаку, выявилось, что поверхности шеек хвостовика и торца фланца являются
основными, так как относительно них определяются положение детали в узле.
При обработке технологическими базами являются центровые
отверстия, торец фланца, шейки цапфы. Эти базы позволяют обработать деталь с
наибольшей точностью, так как все основные размеры по техническим условиям
чертежа заданы относительно осей детали, пересекающихся под углом 11°±15'.
Приведены подробные расчёты припусков на наиболее
ответственные поверхности кулака. Назначены режимы резания на разработанные
операции.
Описана конструкция и работа станочного приспособления.
Произведен расчет приспособения-спутника для зажима кулака на автоматно-линейных
операциях. Разработана структурная схема участка с расчетом необходимого
количества оборудования и числа рабочих мест. Произведена разработка планировки
участка, рассчитана площадь участка, количество производственных рабочих с
учетом многостаночного обслуживания. Разработана конструкторская и
технологическая документация.
Проведен патентный поиск способов контроля и управления
процессами правки шлифовальных кругов.
Так же были рассчитаны организационно-экономические
показатели технологического процесса и проведен анализ опасных и вредных
производственных факторов на производстве, расчет вибрации одного из станков.
Список использованных источников
1
Материаловедение / Б.Н. Арзамасов, И.И. Сидорин, Н.В. Ульянова и др. - М.:
Машиностроение, 1986.
Поседко
В.Н. Разработка структурной схемы маршрута механической обработки деталей. -
М.: МГТУ «МАМИ», 1997.
Афонькин
М.Г., Магницкая М.В. Производство заготовок в машиностроении. - Л.:
Машиностроение, 1987.
Балашов
В.Н., Мазуркевич В.В. Методические указания по расчету операционных припусков и
определение операционных размеров. - М.: МГТУ «МАМИ», 1981.
Расчет
режимов резания / Ю.В. Барановский, Л.А. Брахман, А.И. Гдалевич и др. - М.:
Машиностроение, 1995.
Филимонов
Л.Н. Стойкость шлифовальных кругов. - Л.: Машиностроение, 1973.
Маслов
Е.Н. Теория шлифования. - М.: Машиностроение, 1974.
Ящерицын
П.И., Жалнерович Е.А. Шлифование металлов. - Минск: Беларусь, 1970.
Лоскутов
В.В. Шлифование металлов. - М.: Машиностроение, 1985
Швецов
С.Е., Гурьянихин В.Ф. Модель звукового поля, создаваемого при правке
шлифовальных кругов // Инновации и актуальные проблемы техники и технологии.
Материалы Всероссийской научно-практической конференции молодых учёных в двух
томах. Том 1. 15 - 16 сентября 2009 - Саратов 2009.
Романов
В.Ф., Авакян В.В. Технология алмазной правки шлифовальных кругов. - М.:
Машиностроение, 1980.
Власов
С.Н., Позднеев Б.М. Черпаков Б.И. Транспортные и загрузочные устройства и
робототехника. - М.: Машиностроение, 1988.
Егоров
М.Е. Основы проектирования машиностроительных заводов. - М.: Высшая школа,
1969.
Шандров
Б.В. Методика проектирования зажимных механизмов станочных приспособлений и
расчет сил зажима. - М.: МГТУ «МАМИ», 1987.
Справочник
технолога-машиностроителя. Том 2 / А.М. Дальский, А.Г. Косилова, Р.К. Мещерякова
и др. - М.: Машиностроение, 2001.
Детали
машин и основы конструирования / М.Н. Ерохин, А.В. Карп, Е.И. Соболев и др. -
М.: КолосС, 2005.
Дащенко
А.И., Белоусов А.П. Проектирование автоматических линий. - М.: Высшая школа,
1983
Шандров
Б.В., Бутюгин В.А., Вартанов В.М. Методическое указание к курсовой работе по
курсу «Автоматизация производственных процессов в машиностроении» для студентов
специальности 1201 факультета МТ. - М.: МГТУ «МАМИ», 1997.
Соколова
Р.А. Методические указания по организационно-экономической части дипломного
проекта «Технология машиностроения» для студентов специальностей 120100,
120200, 120700». - М.: МГТУ «МАМИ», 2003.