Теория вероятностей
Содержание
теория вероятность байес
предельный
Введение
. Теоретическая
часть
.1 Формула
Байеса
.2 Закон
распределения вероятностей дискретных случайных величин
.3 Функции
и плотности распределения непрерывных случайных величин
.4 Числовые
характеристики важнейших непрерывных распределений
.5 Центральная
предельная теорема
. Практическая
часть
Задача
№1
Задача
№2
Задача
№3
Задача
№4
Заключение
Список
литературы
Введение
Теория вероятностей - раздел математики,
изучающий закономерности случайных явлений: случайные события, случайные
величины, их свойства и операции над ними. [10]
Теория вероятностей является одним из
классических разделов математики. Она имеет длительную историю. Вероятностные и
статистические методы в настоящее время глубоко проникли в приложения. Они
используются в физике, технике, экономке, биологии и медицине. Особенно
возросла их роль в связи с развитием вычислительной техники. Например, для
изучения физических явлений производят наблюдения или опыты. Их результаты
обычно регистрируют в виде значений некоторых наблюдаемых величин. При
повторении опытов мы обнаруживаем разброс их результатов. Например, повторяя
измерения одной и той же величины одним и тем же прибором при сохранении
определенных условий (температура, влажность и т.п.), мы получаем результаты,
которые хоть немного, но все же отличаются друг от друга. Даже многократные
измерения не дают возможности точно предсказать результат следующего измерения.
В этом смысле говорят, что результат измерения есть величина случайная.
Случай, случайность - с ними мы встречаемся
повседневно: случайная встреча, случайная поломка, случайная находки, случайная
ошибка. Этот ряд можно продолжать бесконечно. Казалось бы, тут лет места для
математики-какие уж законы в царстве Случая! Но и здесь наука обнаружила
интересные закономерности-они позволяют человеку уверенно чувствовать себя при
встреча со случайными событиями.
Как наука теория вероятности зародилась в 17в.
Возникновение понятия вероятности было связано как с потребностями страхования,
получившего значительное распространение в ту эпоху, когда заметно росли
торговые связи и морские путешествия, так и в связи с запросами азартных игр.
Слово «азарт», под которым обычно понимается сильное увлечение, горячность,
является транскрипцией французского слова hazard, буквально означающего
«случай», «риск».[5]
Азартными называют те игры, а которых выигрыш
зависит главным образом не от умения игрока, а от случайности. Схема азартных
игр была очень проста и могла быть подвергнута всестороннему логическому
анализу. Первые попытки этого рода связаны с именами известных
учёных-алгебраиста Джероламо Кардана (1501- 1576) и Галилео Галилея
(1564-1642). Однако честь открытия этой теории, которая не только даёт
возможность сравнивать случайные величины, но и производить определенные
математические операции с ними, принадлежит двум выдающимися ученым-Блезу
Паскалю (1623-1662) и Пьеру Ферма. Ещё в древности было замечено, что имеются
явления, которые обладают особенностью: при малом числе наблюдений над ними не
наблюдается никакой правильности, но по мере увеличения числа наблюдений всё
яснее проявляется определенная закономерность. Всё началось с игры в кости. [5]
Объект исследования - изучение алгоритмов
решения задач.
Предмет исследования- применение изученных алгоритмов
при решении задач.
Цель курсовой работы-решить индивидуальные
задачи на основе изученного материала.
Задачи исследования:
. Изучить основные понятия и законы в теории
вероятности.
. Научится применять основные формулы и законы
теории вероятности при решении задач.
. На основе решенных задач сделать вывод о
знании понятий, формул, законов и алгоритмов решения задач по теории
вероятности.
1.Теоритическая часть
1.1 Формула Байеса
Пусть события
удовлетворяют
условиям
Æ, если, и
.
Такую совокупность называют полной
группой событий.
Пусть интересующее нас событие А
может наступить после реализации одного из Hi и известны
вероятности p(Hi), p(A|Hi). В этом
случае справедлива формула полной вероятности
.
Пример 1. Литьё в болванках
поступает из 2-х цехов: 70% из первого и 30% из второго. При этом продукция
первого цеха имеет 10% брака, а второго 20%. Найти вероятность того, что одна
взятая наугад болванка имеет дефект.
Решение. p(H1) =0,7; p(H2) =0,3; p(A|H1) =0,1; p(A|H2) =0,2;
Р=0,7*0,1+0,3*0,2=0,13 (13% болванок в цехе дефектны).
Пример 2. В урне лежит N шаров, из
которых n белых.
Достаём из неё (без возвращения) два шара. Какова вероятность, что второй шар
белый?
Решение. H1 - первый шар
белый; р (H1) =n/N;
H2 - первый шар
чёрный; p (H2) = (N-n)/N;
A - Второй
шар чёрный; p (A|H1) = (n-1)/ (N-1); p (A|H2) =n/ (N-1)
Р(A)=p(H1)
*p(A|H1) +p(H2) *p(A|H2) =
Формула Байеса. [8]
Предположим, что выполняются условия
предыдущего пункта и дополнительно известно, что событие А произошло. Найдём
вероятность того, что при этом была реализована гипотеза Hk. По
определению условной вероятности
Полученное соотношение - это формула
Байеса. Она позволяет по известным (до проведения опыта) p(Hi) и условным
вероятностям p(A|Hi) определить
условную вероятность p(Hi/А), которую
называют апостериорной (то есть полученной при условии, что в результате опыта
событие А уже произошло).
Пример 3. 30% пациентов, поступивших
в больницу, принадлежат первой социальной группе, 20% - второй и 50% - третьей.
Вероятность заболевания туберкулёзом для представителя каждой социальной группы
соответственно равна 0,02, 0,03 и 0,01. Проведённые анализы для случайно
выбранного пациента показали наличие туберкулёза. Найти вероятность того, что
это представитель третьей группы.
Решение. Пусть H1, H2, H3 - гипотезы,
заключающиеся в том, что пациент принадлежит соответственно первой, второй и
третьей группам. Очевидно, что они образуют полную группу событий, причём p(H1) =0,3; p(H2) =0,2; p(H3) =0,5. По
условию событие А, обнаружение туберкулёза у больного, произошло, причём условные
вероятности по данным условия равны p(А/H1) =0,02; p(А/H2) =0,03; и p(А/H3) =0,01.
Апостериорную вероятность p(H3/А)
вычисляем по формуле Байеса:
. [8]
1.2 Закон распределения вероятностей
дискретных случайных величин
Случайная величина - величина,
численное значение которой может меняться в зависимости от результата
стохастического эксперимента.
Дискретной назовём случайную
величину, возможные значения которой образуют конечное множество.
Законом распределения дискретной
случайной величины называется правило, по которому каждому возможному значению xi ставится в
соответствие вероятность pi, с которой
случайная величина может принять это значение, причём
.
Пример. Абитуриент сдаёт два
вступительных экзамена: по математике и физике. Составить закон распределения
случайной величины х, числа полученных пятёрок, если вероятность получения
пятёрки по математике равна 0,8, а по физике - 0,6.
Решение. Обозначим А1 и А2
- события, заключающиеся в том, что и математика, и физика сданы на 5.
Очевидно, возможные значения х есть 0, 1, 2, причём
Полученные результаты сведём в
таблицу:
|
xi
|
0
|
1
|
2
|
|
pi
|
0.08
|
0.44
|
0.48
|
. [2]
1.3 Функции и плотности
распределения непрерывных случайных величин
Случайная величина - величина,
численное значение которой может меняться в зависимости от результата
стохастического эксперимента.
Распределение вероятностей
непрерывной случайной величины х можно задавать либо функцией распределения F(x)=p(ξ<x), либо её
производной f(x)=
, называемой
плотностью вероятности.
Зная F(x), можно
найти плотность вероятности по формуле:
(x)=F'(x),
а зная f(x), найдём
функцию распределения:
Для непрерывной случайной величины х
вероятность попадания её в промежуток с концами a и b равна:
.
Причём
.
Пример. Задана следующая функция
распределения:
Найти плотность распределения.
Решение.
Зная F(x), можно
найти плотность вероятности по формуле:
f(x)=F'(x)=
[4]
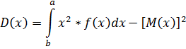
.4 Числовые характеристики важнейших
непрерывных распределений
Математическое ожидание непрерывной
случайной величины определяется по формуле:
.
Дисперсия непрерывной случайной
величины определяется по формуле:
.
Свойства математического ожидания и
дисперсии дискретных случайных величин справедливы и для непрерывных случайных
величин.
Равномерное распределение.
[9]
1.5 Центральная предельная теорема
Центральная предельная теорема (ЦПТ) отвечает на
следующие вопрос.
. Когда и почему возникает в природе
нормальное распределение?
. Почему оно широко распространено в
случайных явлениях природы?
ЦПТ является довольно сложным математическим
результатом, но основное ее содержание может сформулировано достаточно просто.
Нормальное распределение возникает в тех случаях, когда суммируется много
независимых (или слабо зависимых) случайных величин Х1 , Х2,…,
Хn
:
причем эти величины имеют конечные
математические ожидания и конечные, сравниваемые между собой дисперсии.
Тогда каковы бы не были законы отдельных величин
Х
,
закон распределения их суммы Х будет близок к нормальному (причем тем ближе,
чем больше число слагаемых n).
При достаточно больших n,
можно
считать, что Х € N
(т,
).
Становится ясно, почему нормальный закон
становится распространен в технических системах: в большинстве случаев
погрешности измерения параметров, отклонения вводимых управляющих воздействий и
отклонения условий эксплуатации распределены по нормальному закону, так как
могут быть представлены в виде суммы «элементарных отклонений», вызванных
различными, практически независимыми друг от друга причинами.
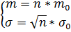
Рассмотрим простейшую форму ЦПТ.
Если
независимые
случайные величины, имеющие одно и то же распределение (М(Х1) =
=
для всех i),
то при увеличении n закон
распределения суммы
неограниченно приближается к нормальному закону
распределения.
Сформулированная теорема используется в двух
основных случаях: для суммы независимых случайных величин и для их среднего
арифметического. [7]
Сумма независимых случайных величин. [1]
Имеем
,
Найдем параметры распределения случайной величины X
:
Таким образом, для случайной величины Х-суммы
случайных величин
-параметры
нормального закона следующие:
Среднее арифметическое независимых случайных
величин.
Имеем
.
Здесь
,
где случайная величина Х распределена нормально, и ее параметры найдены. В этом
случае
Таким образом, для случайной величины
-
среднего арифметического случайных величин Х-получаем:
Т.е. математическое ожидание то же, что и у
отдельных слагаемых Хi,
а среднее квадратическое отклонение - в
раз
меньше. На этом свойстве основана обработка результатов физических измерений,
когда усредняются результаты n
независимых экспериментов: с ростом числа измерений величина
становится
все менее случайной, так как
при
.
[1]
2.Практическая часть
Задача №1
Заблудившись в лесу, мальчик вышел на поляну,
откуда вело 5 дорог. Известно, что для различных дорог вероятности выхода из леса
за час соответственно равны 0,6; 0,3; 0,2; 0,1; 0,1. Определить вероятность
того, что заблудившийся мальчик пошел по первой дороге, если известно, что он
вышел из леса через час.
Решение:
А-мальчик вышел из леса через час.
=мальчик пошел по
первой дороге;
=мальчик пошел по
второй дороге;
= мальчик пошел по
третьей дороге;
= мальчик пошел по
четвертой дороге;
= мальчик пошел по
пятой дороге.
Р (
)=
Р (
)=
Р (
)=
Р (
)=
Р (
)=0,2
А) =0,6
(А) =0,2
(А) =0,3
(А) =0,1
(А) =0,1
Р(А)= Р(
)*
+
+
Р(А)=
0,2*0,6+0,2*0,3+0,2*0,2+0,2*0,1+0,2*0,1=0,26
=
Ответ: вероятность того, что заблудившийся
мальчик пошел по первой дороге равна 0,46.
Задача №2
Рабочий обслуживает 4 независимо работающих
станка. Вероятность того, что в течение часа станок не потребует внимания
рабочего, равна для первого станка 0,7, для второго-0,75, для третьего-0,8, для
четвертого-0,9. Найдите закон распределения случайной величины х, равной числу
станков, которые не потребуют внимания рабочего.
Решение:
х-станок не потребует внимания.
=0 (ни один станок
не потребует внимания рабочего);
=1 (1 станок не
потребует внимания рабочего);
=2 (2 станка не
потребуют внимания рабочего);
=3 (3 станка не
потребуют внимания рабочего);
=4 (4 станка не
потребуют внимания рабочего).
Р(х=0) =0,3*0,25*0,2*0,1=0,0015
Р(х=1) =
=0,7*0,25*0,2*0,1+0,3*0,75*0,2*0,1+0,3*0,25*0,8*0,1+0,3*0,25*0,2*0,9=
=0,0275
Р(х=2) =
=0,7*0,75*0,2*0,1+0,7*0,25*0,8*0,1+0,7*0,25*0,2*0,9+0,3*0,75*0,8*0,1+0,3*
*0,75*0,2*0,9+0,3*0,25*0,8*0,9=0,1685
Р(х=3)
=0,7*0,75*0,8*0,1+0,7*0,75*0,2*0,9+0,7*0,25*0,8*0,9+0,3*0,75*0,8*0,9=
=0,4245
Р(х=4) =0,7*0,75*0,8*0,9=0,378
Ответ:
|
х
|
0
|
1
|
2
|
3
|
4
|
|
Р
|
0,0015
|
0,0275
|
0,1685
|
0,4245
|
0,378
|
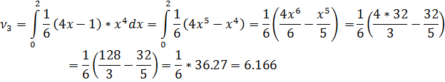
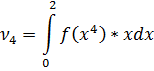
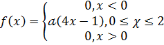
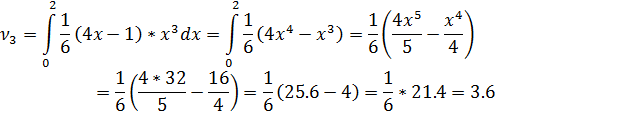
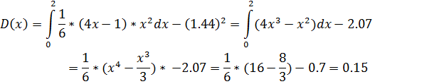
Задача №3
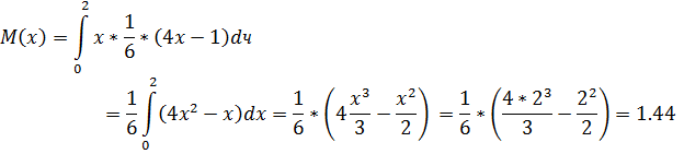
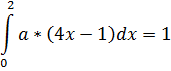
Дана плотность вероятность f(x)
непрерывной случайной величины Х. Требуется:
. Найти параметр
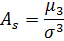
. Найти числовые характеристики:
математическое ожидание, дисперсию, среднее квадратическое, ассиметрию и
эксцесс.
Решение:
Найдем
из
условия, что
Ответ:
,
,
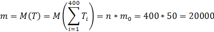
Задача №4
Имеется 400 одинаковых микросхем, включенных
параллельно в состав каскада аппаратуры. Время безотказной работы i-й
микросхемы T, имеет
показательное распределение, одинаковое для всех микросхем (
,
и измеряется в часах. При отказе i-й
микросхемы каскад автоматически переключается на (i+1)
-ю микросхему. Если отказали все микросхемы, то каскад выходит из строя.
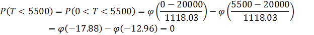
Выполнить грубую оценку вероятности того, что каскад проработает менее 5500 ч.
Каково среднее время работы отдельной микросхемы?
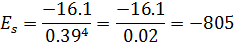
Решение:
Ответ: Вероятность того, что каскад проработает
менее 5500 ч,
Таким образом,
скорее всего, каскад проработает дольше. Среднее время работы отдельной
микросхемы каскада составляет 50ч.
Заключение
Теория вероятностей изучает закономерности,
возникающие в случайных экспериментах. Случайным называют эксперимент,
результат которого нельзя предсказать заранее. Невозможность предсказать
результат отличает случайное явление от детерминированного. [6]
Таким образом, рассмотрев теорию вероятности, ее
положения и возможности, можно утверждать, что возникновение данной теории не
было случайным явлением в науке, а было вызвано необходимостью дальнейшего
развития технологии и кибернетики, поскольку существующее программное
управление не может помочь человеку в создании таких кибернетических машин,
которые, подобно человеку, будут мыслить самостоятельно. И именно теория
вероятности может способствовать появлению искусственного разума. «Процессы
управления, где бы они ни протекали - живых организмах, машинах или обществе,-
происходят по одним и тем же законам», - провозгласила кибернетика. А значит, и
те, пусть еще не познанные до конца, процессы, что протекают в голове человека
и позволяют ему гибко приспосабливаться к изменяющейся обстановке, можно
воспроизвести искусственно в сложных автоматических устройствах. Важнейшим
понятием математики является понятие функции, но почти всегда речь шла об
однозначной функции, у которой одному значению аргумента соответствует только
одно значение функции и функциональная связь между ними четко определенная. Однако
в реальности происходят случайные явления, и многие события имеют не
определенный характер связей. Поиск закономерностей в случайных явлениях - это
задача раздела математики теория вероятности. Теория вероятности является
инструментом для изучения скрытых и неоднозначных связей различных явлений во
многих отраслях науки, техники и экономики.
Теория вероятности позволяет достоверно
вычислить колебания спроса, предложения, цен и других экономических
показателей. Также теория вероятности является основой такой науки как
статистика. На формулах этого раздела математики построено так называемая
теория игр.
Список литературы
1. Ахтямов,
А. М.
<https://ru.wikipedia.org/wiki/%D0%90%D1%85%D1%82%D1%8F%D0%BC%D0%BE%D0%B2,_%D0%90%D0%B7%D0%B0%D0%BC%D0%B0%D1%82_%D0%9C%D1%83%D1%85%D1%82%D0%B0%D1%80%D0%BE%D0%B2%D0%B8%D1%87>
«Теория вероятностей». - М.: Физматлит, 2009
. Вентцель
Е. С. Теория вероятностей. - 10-е изд., стер. - М.: «Академия»
<https://ru.wikipedia.org/wiki/Academia>, 2005.
. Гмурман,
В. Е. «Теория вероятностей и математическая статистика»: Учеб. пособие - 12-е
изд., перераб.- М.: Высшее образование, 2006.
. Хамитов,
Г. П., Ведерникова, Т. И. «Вероятности и статистики», БГУЭП. Иркутск: 2006.
5. Чернова,
Н. И. «Теория вероятностей», Новосибирск. 2007.
6. Шейнин
О. Б. Теория вероятностей. Исторический очерк.
<http://www.sheynin.de/download/modamo_Geschichte.pdf> Берлин: NG Ferlag,
2005.
. Ахтямов,
А. М.
<https://ru.wikipedia.org/wiki/%D0%90%D1%85%D1%82%D1%8F%D0%BC%D0%BE%D0%B2,_%D0%90%D0%B7%D0%B0%D0%BC%D0%B0%D1%82_%D0%9C%D1%83%D1%85%D1%82%D0%B0%D1%80%D0%BE%D0%B2%D0%B8%D1%87>
«Экономико-математические методы»: учеб. пособие Башк. гос. ун-т. - Уфа: БГУ,
2007.
8. Гмурман,
В. Е. «Руководство к решению задач по теории вероятностей и математической
статистике»: Учеб. пособие - 11-е изд., перераб. - М.: Высшее образование,
2006.
. Чистяков
В.П. Курс теории вероятностей. - СПб.: Издательство «Лань», 2006.
.
Бородин А.Н. Элементарный курс теории вероятностей и математической статистики.
- СПб.: Издательство «Лань», 2006.