Основные индексные формулы

  • Вид работы:
    Отчет по практике
  • Предмет:
    Эктеория
  • Язык:
    Русский
    ,
    Формат файла:
    MS Word
    392,18 Кб
  • Опубликовано:
    2015-06-20
Вы можете узнать стоимость помощи в написании студенческой работы.
Помощь в написании работы, которую точно примут!

Основные индексные формулы

Введение

потребительский статистика цена

Цель учебной практики - углубление и закрепление теоретических знаний, овладение навыками аналитической работы, приобретение опыта практической работы с данными: изучения дополнительного учебного материала по специальности, не вошедшего в основной курс обучения, анализ содержания экономических текстов и статей, сбор и поиска экономической информации, обработка статистических данных, позволяющих овладеть компетенциями в сфере экономики, сбора, поиска и анализа экономической информации.

Практика направлена на достижение следующих целей и задач:

–       ознакомление студентов с действующей в стране системой показателей экономической статистики, методологией их исчисления и основными направлениями анализа на макроуровне, а также методологией их взаимной увязки в СНС;

–       получение навыков экономических, статистических расчетов;

–       получение навыков обработки результатов, в том числе с использованием компьютерного программного обеспечения;

–       раскрытие прикладного характера рассматриваемых в учебных дисциплинах базовых категорий;

–       формирование экономического образа мышления;

–       закрепление общих представлений студентов о принципах и законах функционирования рыночной экономики;

–  выработка умений использования базовых категории экономической теории для анализа конкретных ситуаций;

–       закрепление навыков расчета наиболее важных коэффициентов, индексов и экономических показателей;

–       формирование у студентов навыков творческого мышления и самостоятельной деятельности при анализе проблемы;

–                                                            формирование навыков учебно-исследовательской работы;

–       подготовка студентов к осознанному и углубленному изучению специальных дисциплин;

–       приобретение навыка практического умения проведения исследований в социально-экономической сфере;

–       освоение работы с разнообразными источниками информации.

По результатам прохождения практики написан отчет об учебной практике, который изложен на 24 страницах машинописного текста, содержит 7 приложений.

В ходе прохождения практики применялись следующие методы исследования: общенаучные методы, метод наблюдения, анализа, статистический, математический, сравнения.

В качестве источника данных использовались учебные пособия, периодические издания, интернет-ресурсы.

1. Индексы потребительских цен

.1 Методология расчета индексов потребительских цен.

«Индекс» в переводе с латинского - указатель или показатель. В статистике индексом называют показатель относительного изменения данного уровня исследуемого явления по сравнению с другим его уровнем, принятым за базу сравнения.

Индекс потребительских цен и тарифов на товары и платные услуги населению (ИПЦ) характеризует изменение во времени общего уровня цен и тарифов на товары и услуги, приобретаемые населением для непроизводственного потребления. Измеряет отношение стоимости фиксированного набора товаров и услуг в ценах текущего периода к его стоимости в ценах предыдущего периода [2].

Наблюдение за изменением потребительских цен возложено на органы государственной статистики. Росстат осуществляет ежемесячный расчет системы индексов потребительских цен:

1)      Все товары и платные услуги населению;

2)      Все товары без алкогольных напитков;

)        Продовольственные товары без алкогольных напитков;

)        Продовольственные товары (включая алкогольные напитки);

)        Непродовольственные товары;

)        Платные услуги;

)        Все товары и услуги необязательного пользования;

)        Все товары необязательного пользования;

)        Продовольственные товары необязательного пользования;

)        Непродовольственные товары необязательного пользования;

)        Платные услуги необязательного пользования;

)        Все товары и платные услуги (без учета товаров и услуг необязательного пользования);

)        Продовольственные товары (без учета товаров необязательного пользования);

)        Непродовольственные товары (без учета товаров необязательного пользования);

)        Платные услуги (без учета услуг необязательного пользования);

)        Все товары и платные услуги (без овощей, картофеля и фруктов);

)        Продовольственные товары (без овощей, картофеля и фруктов).

Кроме того, осуществляется расчет индекса потребительских цен на товары и платные услуги населению, не вошедшие в перечень товаров и услуг, используемого при расчете базовой инфляции.

Индекс потребительских цен рассчитывается как результат деления суммы произведений цен текущего года на выпуск базового года на сумму произведения уровня цен и выпуска базисного года:


Результат выражается в процентах (домножается на 100%).

Можно выделить следующие свойства индекса потребительских цен:

1)      Основывается на фиксированном уровне цен множества товаров и услуг потребительской корзины;

2)      Основной инструмент для расчёта инфляции в США;

)        Распространенный показатель изменения стоимости жизни;

)        Является индексом Ласпейреса, поскольку при расчёте ИПЦ используется потребительская корзина базового года.

Целью расчета ИПЦ является выявление наиболее устойчивой динамики цен, не подверженной воздействиям шоков предложения и спроса, сезонного фактора, а также административному воздействию федеральных и региональных органов власти на процессы ценообразования [4].

Т.к. индекс потребительских цен рассчитывается по товарам и услугам из потребительской корзины, перейдем к более подробному ее изучению.

1.2    Понятие о потребительской корзине и методах ее формирования

Потребительская корзина - это примерный расчётный набор, ассортимент товаров, характеризующий типичный уровень и структуру месячного (годового) потребления человека или семьи. Такой набор используется для расчёта минимального потребительского бюджета (прожиточного минимума), исходя из стоимости потребительской корзины в действующих ценах. Потребительская корзина служит также базой сравнения расчётных и реальных уровней потребления, а также основой для определения покупательной способности валют [4].

Потребительская корзина - минимальный набор продуктов питания, непродовольственных товаров и услуг, необходимых для сохранения здоровья человека и обеспечения его жизнедеятельности.

В России потребительская корзина рассчитывается в соответствии с принятым с 1 января 2013 г. законом «О потребительской корзине в целом по Российской Федерации». Российская потребительская корзина включает в себя три основные части:

1)      Продовольственные товары такие как, мучные изделия, крупы, овощные культуры, мясные, рыбные и молочные продукты, др.

2)      Непродовольственные к которым относятся вещи для полноценного одеяния, лекарственные препараты, техника.

)        Услуги за оплату жилья, тепло, воду, свет, вдобавок затраты по транспорту, культурным мероприятиям и др. [1].

Расчет потребительской корзины осуществляется по комбинированному методу - объемы потребления продуктов питания устанавливаются в натуральных показателях, а объем непродовольственных товаров и услуг установлен в относительном показателе - 50% от стоимости потребительской корзины. По ранее действующей методике потребление непродовольственных товаров устанавливали также как и потребление продовольственных товаров в натуральных показателях. Нормы потребления продуктов питания, включенных в продовольственную корзину (11 групп) дифференцированы для основных социально-демографических групп по природно-климатическим зонам [3].

C 1 января 2013 года вступила в силу новая потребительская корзина, которая будет действовать до 2018 года.

В потребительскую корзину в первую очередь включены продукты питания, которые составляют около 50% ее стоимости (для сравнения, в странах Западной Европы, эта цифра не превышает 20%). Стоит упомянуть, что большинство российских семей тратят на продукты питания также больше половины семейного бюджета.

В приложениях А, Б, В представлены продукты питания, непродовольственные товары и услуги, входящие в потребительскую корзину на 2015 год. Согласно расчетам правительства, трудоспособный гражданин, употребляет за год 100,4 кг. картофеля, 114,6 кг. овощей, 60 кг. свежих фруктов, 126,5 кг. хлеба и хлебопродуктов, 58,6 кг. мясных и 18,5 кг рыбопродуктов соответственно. Услуги культуры составляют 5% от общей величины расходов в месяц.

Что это значит в расчете на одного человека в день? А это значит, что обычный среднестатистический гражданин Российской Федерации для нормального существования должен употреблять в день 300 г. хлеба, картошки - 280 г., овощей - 300 г., фруктов свежих - 160 г., сладкого - 60 г., молока и молочных продуктов - 800 г., масла растительного и жиров - 40 г. А также 1 раз в 2 дня съедать одной яйцо, довольствоваться в день 160 г. мяса, ну и употреблять за неделю 350 г. рыбы. Что касается культурного развития, то здесь трудоспособный российский гражданин имеет шанс на свой прожиточный минимум раз в месяц сходить в кино или театр, на большее для этих целей денег не предусмотрено [11].

Практически каждый пятый год в России трехсторонним советом регулирующим социальные отношения создается обновленная потребительская корзина, в которую входит стоимость товара, услуги, дающие комфорт на целый год для жизни каждому гражданину, а так же на удовлетворение основных человеческих потребностей. Данный ход действий регулирует закон РФ.

В России на 2015 год в обиходе появляется все большее количество новых товаров и услуг, что представляет незаменимую ценность в повседневности. Из этого следует, что потребительская корзина должна быть более объемной и насыщенной. К примеру, другие страны уже на 2015 год внесли существенные изменения, где потребительская корзина пополнилась еще на девять позиций. Также до этого списка были включены:

помощь няни;

платная медицина;

страховка;

Согласно законодательству России на 2015 год, в список требуемых для населения продуктов не будет внесено существенных поправок. Расчет установили на несоответствие в численном соотношении. Новый объем потребностей на 2015 год должен содержать более здоровое питание. Правительство России решило значительно уменьшить хлебобулочные изделия до 127 кг и картофеля до 101 кг в год каждому жителю. С другой стороны, произошло увеличение мясной продукции до 59 кг, рыбы до 19 кг, молока, кефира, сметаны до 293 л на год на каждого жителя. Существенные поправки коснулись в большинстве продовольственной части. Касательно по двум другим частям корзины, здесь ощутимых изменений не вносилось.

Стоимость данной корзины в 2015 году целиком обусловливается ее продуктовой долей. По средним подсчетам ее размер увеличился примерно на 5%, что в переводе категорий касательно жителей предоставляется, как:

для детей примерно 4,9%;

на рабочих, получающих пенсию 9%;

для работающего населения 4%.

После перевода данных процентов в финансовый эквивалент, выходит удорожание:

на детей по 330 рублей;

рабочим по пенсии до 490 рублей;

работающему населению около 280 рублей [1].

2. Основные индексные формулы

.1 Понятие о методе товаров-представителей

Основной целью международных макроэкономических сопоставлений является перевод валового внутреннего продукта (ВВП) и других агрегатов национальных счетов различных стран в единую валюту для обеспечения их прямой сопоставимости. При решении данной задачи предпочтение отдается расчету фактических паритетов покупательной способности (ППС), а не использованию официальных валютных курсов для перевода национальных валют [2].

ППС показывает количество денежных единиц страны А, необходимых для покупки некоего стандартного набора товаров и услуг, который можно купить за 1 денежную единицу страны Б (или базисной страны) или за 1 единицу условной (общей) валюты группы стран.

В настоящее время для осуществления международных сопоставлений макроэкономических показателей используется индексный метод на основе товаров-представителей, по ценам которых рассчитываются ППС.

Схема метода выглядит следующим образом.

Исходный показатель разбивается на большое число однородных первичных групп, внутри которых экспертным путем подбирается некоторое число товаров-представителей; затем на основании национальных цен отобранных товаров-представителей вычисляются индивидуальные и групповые паритеты покупательной способности валют, которые агрегируются разными методами в сводный ППС, который и используется для переоценки показателей в сопоставимую валюту.

Согласно общей схеме паритеты покупательной способности рассчитываются по каждой первичной группе. Паритеты для более высоких уровней агрегирования рассчитываются в виде взвешенных средних соответствующих первичных групп.

Тогда ППС по формуле Пааше имеет следующий вид:

,

где PA, QA, PB, QB - цены и количества товаров в странах A и B (обозначения отдельных товаров для простоты опущены);A, WB - стоимостные объемы товарных групп в странах A и B в национальных валютах.

ППС по формуле Ласпейреса имеет следующий вид:


ППС по формуле Пааше корреспондируется с соответствующим индексом физического объема Ласпейреса и наоборот. Обычно имеются довольно значительные расхождения между численными значениями индексов Пааше и Ласпейреса. Как правило, индекс Ласпейреса больше индекса Пааше по числовой величине. Это объясняется тем, что относительные цены и количества между странами имеют тенденцию к отрицательной корреляции - так называемый эффект Гершенкрона: институциональные единицы в стране обычно покупают относительно больше продуктов и услуг, которые относительно более дешевы в стране по сравнению с другими странами [7].

2.2 Различия между индексами цен Ласпейреса, Пааше и Фишера, их взаимосвязь и области практического применения

Сравнение цен одного товара осуществляется с помощью индивидуального индекса цен:


где Pi0 - цена i-гo товара в базисном периоде,

Рi1 - цена i-гo товара в отчетном периоде.

Основной формой индекса цен для совокупности разнородных товаров является агрегатный индекс.

В экономической литературе считается, что первый индекс цен был построен итальянским экономистом Карли в 1764 г. Этот индекс был построен по среднеарифметической формуле без применения какой-либо системы взвешивания. В XIX веке при построении индексов цен, в основном по агрегатной или соответствующей ей среднеарифметической формуле, статистики начинают использовать систему взвешивания. В зависимости от выбора базисных или текущих весов возникли две формулы: Ласпейреса (1871 г.) и Пааше (1874 г.). Более широкое практическое применение находят две другие их формы: в формуле Ласпейреса - средняя арифметическая форма, в формуле Пааше - средняя гармоническая, которые отражены на рисунке 1:

Рисунок 1 - Агрегатные, арифметические и гармонические формы индексов цен

Преимущества агрегатной формы - в ее ясном экономическом смысле. Она устанавливает изменение цен при предположении, что количества товаров неизменны, при этом в формуле Ласпейреса берется количество проданного товара в базисном периоде (Q0), а в формуле Пааше - в текущем (Q1).

Среднеарифметическая форма не имеет такого ясного экономического смысла, но ее преимущества состоят в том, что она позволяет более легко производить сам расчет индекса и облегчает последующие его перерасчеты. В частности, при расчете по среднеарифметической взвешенной формуле с базисными весами (формула Ласпейреса) значительно легче установить веса, достаточно иметь данные о стоимости продаж указанных товаров в базисный период, то есть P0Q0. Поэтому индексы цен в большинстве развитых стран строятся по среднеарифметической взвешенной формуле Ласпейреса.

В отечественной статистике до 1992 г. общий индекс цен рассчитывался по формуле Пааше, используя гармоническую его форму. Связано это было с простотой получения данных о текущем товарообороте (P1Q1) в связи со сплошной ежемесячной статистической отчетностью и незначительным изменением цен. Однако после 1992 г., когда был осуществлен переход к рыночным отношениям и принята новая методика расчета индекса потребительских цен, он стал рассчитываться так же, как и в большинстве стран, по формуле Ласпейреса.

Статистическим анализом доказано, что в долговременном аспекте формула Пааше занижает реальное изменение цен вследствие отрицательной корреляции проданного количества товара и цены, а в случае долгосрочных и международных сопоставлений разница между индексами, взвешенными разными способами, составляет несколько процентов. Значения индексов, вычисленных по формулам Ласпейреса и Пааше, совпадают лишь в случае почти невозможного на практике совпадения структуры товарной массы базисного и отчетного периодов.

Теоретически и формула Ласпейреса, и формула Пааше имеют определенный экономический смысл. Каждая из них может использоваться в соответствии с той или иной экономической задачей.

Четкость интерпретации, экономический смысл и удобство практического расчета формулы Ласпейреса сделали ее очень популярной в мире для расчета индекса потребительских цен(ИПЦ), который показывает, во сколько раз изменились бы потребительские расходы в текущем периоде по сравнению с базисным, если бы при изменении цен уровень потребления оставался прежним.

Другой важный показатель - дефлятор валового национального продукта в большинстве стран рассчитывается по формуле Пааше, и тем самым расчет максимально приближен к совокупности товаров, произведенных в отчетном периоде.

Индекс Фишера, который называют «идеальной» формулой, вычисляется как средняя геометрическая из индексов Ласпейреса и Пааше:


Однако все представленные формулы индексов для практических расчетов индексов цен применяются редко.

Индексы цен строятся на основе определенного товарного набора, который, в свою очередь, состоит из товаров-представителей, представляющих значительное число других товаров, не включенных в товарный набор. К цене каждого товара, включенного в индексный набор, приписывается не вес данного товара, а вес той товарной группы, изменение цен которой он представляет в индексе, за исключением тех товаров, которые представляют только самих себя. Эффективность системы представительных весов полностью определяется тем, насколько представителен сам товарный набор.

При расчете индекса необходимо решить вопрос о выборе базы для индекса цен. Под базой индекса цен, или, точнее, под базой для сравнения, понимается тот период, уровень цен которого принимается за исходный пункт сравнения, то есть за 100. В принципе при наличии готового индексного ряда любой период, охваченный им, может быть принят за базу - для этого достаточно значение индекса для других периодов разделить на значение индекса для этого периода. [6].

2.3 Основные направления использования данных статистики цен

Статистика цен представляет собой важный раздел экономической статистики. Ее показатели являются значимым компонентом системы макроэкономической информации, необходимой для анализа социально-экономического развития страны. Данные статистики цен используются органами государственного управления для принятия решений по вопросам формирования социально-экономической политики, разработки мер по регулированию рыночной экономики.

Система показателей статистики цен охватывает следующие индексы:

)        индексы цен потребителей;

)        индексы цен производителей;

)        индексы цен промежуточных товаров (сырья, материалов и т.д.);

)        индексы цен инвестиционных товаров;

)        индексы цен экспорта и импорта;

)        индексы средних цен отдельных товаров;

)        индексы цен (тарифов) на услуги;

)        индексы цен ценных бумаг и объектов недвижимости;

)        индекс-дефлятор ВВП.

Можно выделить три основных направления в использовании данных статистики цен. Эти данные используются:

)        органами государственного управления - как инструмент реальной экономической политики (анализ инфляционных процессов как основы для принятия соответствующих решений правительством, индексация платежей из государственного бюджета и др.);

)        хозяйствующими субъектами - для принятия различных экономических решений (например, по вопросам инвестирования, индексации различных выплат);

)        статистическими ведомствами - для дефлятирования показателей экономической статистики с целью исчисления их в постоянных ценах и определения на этой основе индексов физического объема ВВП, динамики конечного потребления, накопления основного капитала, реальных доходов населения и др. [1].


3. Взаимосвязь индекса потребительских цен, индекса цен производителей и индекса-дефлятора ВВП

.1 Динамика индексов по России и Оренбургской области

Для наглядного отражения динамики экономических процессов проанализируем собранную информацию по трем показателям (индекс потребительских цен на мясопродукты, индекс цен производителей по производству мяса и мясопродуктов в РФ, дефлятор ВВП).

Индекс цен производителей - индикатор с фиксированным набором весов, отслеживающий изменения в ценах, по которым продают свои товары национальные производители на оптовом уровне реализации. Индекс охватывает все стадии производства: сырье, промежуточные стадии, готовую продукцию, а также все сектора: промышленность, добычу, сельское хозяйство. Главное отличие его от индекса потребительских цен в том, что он охватывает только товары, но не услуги, и на оптовом уровне их реализации.

При расчете индекса не учитываются цены на импортные товары и услуги. В условиях ожидания повышения основных процентных ставок рост его значения приводит к росту курса доллара. Динамика промышленных цен обычно опережает индекс потребительских цен, и поэтому она используется многими аналитиками в качестве предварительного при оценке инфляции. Рост PPI приводит к инфляции издержек, которая, по мнению современных аналитиков, является худшим видом инфляции, так как оказывает более глубокое влияние на экономику по сравнению с инфляцией спроса [2].



Рисунок 3 - Индексы цен производителей по производству мяса и мясопродуктов в РФ с начала отчетного года в% к соответствующему периоду предыдущего года

В России индекс цен производителей по производству мяса и мясопродуктов достиг максимума, т.е. 128,17% в январе 2015 года, минимума - в январе 2014 г.



Рисунок 4 - Индексы цен производителей по производству мяса и мясопродуктов по Оренбургской области с начала отчетного года в% к соответствующему периоду предыдущего года

Увеличение индекса цен производителей по производству мяса в России и Оренбургской области в 2014 году свидетельствует о скором повышении уровня инфляции.

Индекс потребительских цен (ИПЦ, индекс инфляции) - один из видов индексов цен, созданный для измерения среднего уровня цен на товары и услуги (потребительской корзины) за определённый период в экономике [4].



Рисунок 5 - Индексы потребительских цен на мясопродукты в РФ с начала отчетного года в% к соответствующему периоду предыдущего года

Индекс потребительских цен на мясопродукты в РФ достиг максимума в апреле 2015 года, минимума - в январе 2014 г.

Рисунок 6 - Индексы потребительских цен на мясопродукты по Оренбургской области с начала отчетного года в% к соответствующему периоду предыдущего года


Индекс потребительских цен на мясопродукты в Оренбургской области достиг максимума в апреле 2015 г., что указывает на наибольший уровень инфляции в этот период.

Дефлятор валового внутреннего продукта (дефлятор ВВП) - ценовой индекс, созданный для измерения общего уровня цен на товары и услуги (потребительской корзины) за определённый период в экономике [7].

Таблица 1 - Индекс-дефлятор ВВП В РФ

Год

2012

2013

2014

Индекс-дефлятор

107,4

105

107,2


Рисунок 7 - Динамика индекса-дефлятора ВВП в рыночных ценах в РФ

Дефлятор ВВП в России существенно увеличился с 2013 до 2014 года, что означает рост общего уровня цен на товары и услуги (потребительской корзины) за этот год.

И дефлятор ВВП, и ИПЦ являются инструментами для расчёта уровня инфляции в стране; эти два индекса существенно различаются. Во-первых, дефлятор ВВП, в отличие от ИПЦ, основывается на размере текущей потребительской корзины (имеется в виду текущего, а не базисного года), то есть является индексом Пааше. Также, индекс потребительских цен включает в себя только конечные потребительские товары, в то время как дефлятор - все конечные товары и услуги, учитываемые в ВВП. ИПЦ переоценивает уровень инфляции, в то время как дефлятор ВВП наоборот, недооценивает. При подсчёте ИПЦ учитываются импортные товары, а дефлятор - лишь товары и услуги, произведённые на территории данной страны. К тому же, дефлятор ВВП не имеет того недостатка, что ИПЦ, а именно включает в себя изменения цен на новые товары и услуги, в отличие от последнего [2].

Можно сделать вывод, что в России, в том числе в Оренбургской области в 2015 году наблюдается высокий уровень инфляции, что подтверждает рост цен на товары и услуги, а также индекс потребительских цен, достигший в этот период наибольшего значения. Этого и следовало ожидать, так как в 2014 году наблюдался рост цен производителей по производству мяса. Увеличение инфляции всегда ведет к росту ожиданий участников рынка относительно уровня процентных ставок, который устанавливает центральный банк. В случае, если инфляция неожиданно ускоряется, рынки начинают ожидать от центрального банка более высоких процентных ставок. Это приводит к росту курса доллара, так как увеличивается привлекательность вложения средств в валюту с большей процентной ставкой.

3.2 Корреляционно-регрессионный анализ индекса цен производителей, индекса потребительских цен на мясопродукты в РФ и индекса-дефлятора ВВП

Проведем корреляционно-регрессионный анализ взаимосвязи индекса цен производителей и индекса потребительских цен. Исходные данные для анализа представлены в следующей таблице:


Инд.цен прозводителей (x)

Инд.потребительских цен(y)

2012

104,99

108,51

2013

105,34

106,88

2014

97,72

100,74

2015

128,17

122,38


Построим график зависимости результативного признака Y от фактора X:

Рисунок 8 - Поле корреляции

Согласно приведенному рисунку наблюдается рост показателя y с ростом показателя , т.е. можно предположить о наличии прямой связи между рассматриваемыми показателями.

На основании поля корреляции можно выдвинуть гипотезу (для генеральной совокупности) о том, что связь между всеми возможными значениями X и Y носит линейный характер.

Линейное уравнение регрессии имеет вид y = bx + a

В соответствии с требованиями метода наименьших квадратов значения параметров a, b находятся путем решения следующей системы уравнений:


a∙n + b∑x = ∑y

a∑x + b∑x2 = ∑y∙x

где: n - количество наблюдений [1].

Подставив полученные значения в систему уравнений, имеем:

4a + 436,22 b = 438,51

,22 a + 48096,16 b = 48180,96

Решив систему уравнений, получаем:= 0,6853, a = 34,8868

Таким образом, линейное уравнение имеет следующий вид:= 0,6853 x + 34,8868

Подставив в данное уравнение соответствующие значения X, получим выровненные значения величины индекса потребительских цен в зависимости от индекса цен производителей (Yx). Результаты представлены в таблице:

Выравненные значения результативного признака Y


x

y

y(x)

2012

104,99

108,51

106,8416

2013

105,34

106,88

107,0814

2014

97,72

100,74

2015

128,17

122,38

122,7279


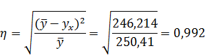
Для измерения тесноты связи между факторным и результативным показателем при нелинейной зависимости исчисляется корреляционное отношение, формула которого имеет следующий вид:



где


Корреляционное отношение может принимать значение от 0 до 1. Чем ближе его величина к единице, тем более тесная связь существует между изучаемыми явлениями [9].

Корреляционное отношение показывает, на сколько процентов в среднем изменяется результативный признак Y при изменении факторного признака X на 1%.

Нами было получено значение корреляционного отношения, равное 0,992. Это означает, что связь между факторным и результативным признаком сильная и при изменении индекса цен производителей на 1% величина индекса потребительских цен изменится на 0,992%.

Достаточно высокий уровень корреляционного отношения позволяет сделать вывод о возможности и целесообразности прогнозирования и планирования индекса потребительских цен с использованием методов регрессионного анализа.

Квадрат (множественного) коэффициента корреляции называется коэффициентом детерминации, который показывает долю вариации результативного признака, объясненную вариацией факторного признака [7].

Чаще всего, давая интерпретацию коэффициента детерминации, его выражают в процентах.2= 0,9922 = 0,9832

Следовательно, на 98,32% изменение индекса потребительских цен обусловлено изменением индекса цен производителей и только на 1,68% связано с влиянием прочих факторов, не исследуемых в данной модели.

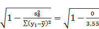
Для оценки качества построенной модели рассчитывают среднюю ошибку аппроксимации (А), которая показывает, на сколько процентов в среднем отличаются фактические значения результативного показателя (Y) от значений, рассчитанных по построенной модели.

Модель регрессии считается хорошо подобранной и достаточно точно описывающей связь между фактором и результативным показателем, если величина средней ошибки аппроксимации не превышает 10%.

Средняя ошибка аппроксимации определяется по формуле:

,

где

 - отклонение выравненных значений Y от фактических, взятое по модулю [6].

=0,78%

В среднем, расчетные значения отклоняются от фактических на 0.78%.

Таким образом, полученное значение средней ошибки аппроксимации не превышает 10%, следовательно, можно говорить о хорошем качестве построенной модели. Это означает, что полученную модель можно использовать для прогнозирования величины индекса потребительских цен.

Рассчитаем прогнозные значения потребительских индексов на 2016 и 2017 гг.

Предположим, что планируется каждый год увеличивать индекс цен производителей на 5% по сравнению с предыдущим годом. Тогда в 2016 и 2017 гг. сумма индексы цен производителей будут составлять:

,17+ 0,05·128,17 =134,6 - 2016 г.

,6 + 0,05·134,6 =141,33 - 2017 г.

Подставив рассчитанные значения в уравнение регрессии, получим прогнозные значения величины индекса потребительских цен:

0.6853 *134,6 + 34.8868 =127,1 - 2016 г.

.6853 *141,33+ 34.8868 =131,7 - 2017 г.

Таким образом, построив регрессионную модель зависимости величины индекса потребительских цен от индекса цен производителей и рассчитав по ней прогнозные значения индекса потребительских цен, мы установили, что для увеличения индекса потребительских цен по итогам двух планируемых лет на 5% индексы цен производителей составят 134,6 и 141,33 в 2016 и 2017 гг. соответственно.

Проведем корреляционно-регрессионный анализ взаимосвязи индекса цен производителей, индекса потребительских цен и индекса-дефлятора ВВП. Исходные данные для анализа представлены в следующей таблице:


Индекс цен-производителей (x)

Индекс потребительских цен (y)

Индекс-дефлятор

2012

104,99

108,51

107,4

2013

105,34

106,88

105

2014

97,72

100,74

107,2


X= - матрица значений независимых переменных.

Y=

Далее с помощью матричных операций вычисляем (используем табличный процессор MS Excel и функции ТРАНСП, МУМНОЖ и МОБР в нем):


Находим обратную матрицу:

Вектор оценок коэффициентов регрессии равен [1]:

Y(X)= (7)

Y(X)=

Уравнение регрессии: Y = 108.96-1.26X1 + 1.2X2

Матрица, составленная из Y и X:

A=

ATA=

Полученная матрица имеет следующее соответствие:

Найдем парные коэффициенты корреляции.

Можно дать следующую качественную интерпретацию возможных значений коэффициента корреляции (по шкале Чеддока): если |r|>0.3 - связь практически отсутствует; 0.3 ≤ |r| ≤ 0.7 - связь средняя; 0.7 ≤ |r| ≤ 0.9 - связь сильная; |r| > 0.9 - связь весьма сильная [1].


, что говорит о наличии средней связи между индексом-дефлятором и индексом цен производителей.

, т.е. между индексом цен производителей и индексом потребительских цен наблюдается весьма сильная связь.

Матрица парных коэффициентов корреляции R:

R=

Наибольшее влияние на индекс-дефлятор ВВП оказывает индекс цен производителей (r = -0.47), значит, при построении модели он войдет в регрессионное уравнение первым.

С целью расширения возможностей содержательного анализа модели регрессии используются частные коэффициенты эластичности, которые определяются по формуле:


Частный коэффициент эластичности показывает, насколько процентов в среднем изменяется признак-результат у с увеличением признака-фактора хj на 1% от своего среднего уровня при фиксированном положении других факторов модели [6].

, т.е. с увеличением индекса цен производителей на 1% от своего среднего уровня при неизменном индексе потребительских цен индекс-дефлятор ВВПв среднем изменится на 1,21%. Индекс цен производителей существенно влияет на индекс-дефлятор ВВП, т.к. частный коэффициент корреляции больше 1.

, т.е. при увеличении индекса потребительских цен на 1% от своего среднего уровня при неизменном индексе цен производителей индекс-дефлятор ВВП в среднем увеличится на 1,19%. Индекс потребительских цен существенно влияет на индекс-дефлятор ВВП, т.к. частный коэффициент корреляции больше 1.

Тесноту совместного влияния факторов на результат оценивает индекс множественной корреляции.

Таким образом, при значении R близком к 1, уравнение регрессии лучше описывает фактические данные и факторы сильнее влияют на результат. При значении R близком к 0 уравнение регрессии плохо описывает фактические данные и факторы оказывают слабое воздействие на результат [5].

R==1,

т.е. связи между индексом-дефлятором ВВП и индексами потребительских цен и цен производителей сильная, положительная.

Коэффициент детерминации: R2= 12 = 1, т.е. изменение индекса-дефлятора ВВП на 100% обусловлено изменениями индекса потребительских цен и индекса цен производителей.

Заключение

За время прохождения практики была достигнута ее цель: углубление и закрепление теоретических знаний, овладение навыками аналитической работы, приобретение опыта практической работы с данными.

Цель была достигнута посредством выполнения следующих задач: ознакомление с системой показателей экономической статистики, методологией их исчисления и основными направлениями анализа на макроуровне, получение навыков экономических, статистических расчетов, получение навыков обработки результатов, в том числе с использованием компьютерного программного обеспечения, раскрытие прикладного характера рассматриваемых в учебных дисциплинах базовых категорий, выработка умений использования базовых категории экономической теории для анализа конкретных ситуаций, закрепление навыков расчета наиболее важных коэффициентов, индексов и экономических показателей, приобретение навыка практического умения проведения исследований в социально-экономической сфере, освоение работы с разнообразными источниками информации.

Был произведен анализ зависимости индекса потребительских цен от индекса цен производителей и анализ зависимости индекса-дефлятора ВВП от индекса цен производителей и индекса потребительских цен с помощью корреляционно-регрессионного анализа.

Корреляционно-регрессионный анализ - классический метод стохастического моделирования хозяйственной деятельности. Основной задачей корреляционно-регрессионного анализа является выяснение формы и тесноты связи между результативным и факторным показателями.

По результатам прохождения практики выявлено:

) при изменении индекса цен производителей на 1% величина индекса потребительских цен изменится на 0,992%;

) на 98,32% изменение индекса потребительских цен обусловлено изменением индекса цен производителей и только на 1,68% связано с влиянием прочих факторов, не исследуемых в данной модели;

) для увеличения индекса потребительских цен по итогам двух планируемых лет на 5% индексы цен производителей составят 134,6 и 141,33 в 2016 и 2017 гг. соответственно;

) с увеличением индекса цен производителей на 1% от своего среднего уровня при неизменном индексе потребительских цен индекс-дефлятор ВВПв среднем изменится на 1,21%;

) при увеличении индекса потребительских цен на 1% от своего среднего уровня при неизменном индексе цен производителей индекс-дефлятор ВВП в среднем увеличится на 1,19%;

Можно сделать вывод о наличии весьма сильной связи между индексом цен производителей и индексом потребительских цен, наличии сильной положительной связи между индексом-дефлятором ВВП и индексами потребительских цен и цен производителей, а также о том, что на индекс-дефлятор ВВП больше влияет индекс цен производителей, нежели индекс потребительских цен.


Список использованных источников

1) Федеральный закон РФ «О потребительской корзине в целом по Российской Федерации» // Собрание законодательства РФ. 2012. №227. Ст. 4562.

2) Агапова, Т.А. Макроэкономика: учебник / 8-е изд., исправл. и доп. / Т.А. Агапова, С.Ф. Серегина - М.: Дело и Сервис, 2009. - 496 с.

3) Байкова, Е.И. Сравнительный анализ методик формирования потребительских корзин Казахстана, России и Канады // Российское предпринимательство, 2013. - №22. - С. 96-104.

)   Вечканов, Г.С. Макроэкономика: учеб. пособие / 2-е изд., доп. и перераб. - Питер, 2008. - 240 с.

5) Графов, А.В. Методы регрессионного анализа при планировании и прогнозировании потребности в оборотных средствах / А.В. Графов // Аудитор. - 2013. - №1.

6) Есипова, В.Е. Цены и ценообразование: учеб. Для вузов / 3-е изд., исправл. и доп. / Питер, 1999. - 325 с.

7) Иванов, Ю.Н. Экономическая статистика: учеб. для вузов / 2-е изд., доп. / М.: Инфра-М, 2002. - 480 с.

8) Индексы цен производителей по производству мяса и мясопродуктов в РФ / Индексы цен производителей по производству мяса и мясопродуктов в Оренбургской области / Индексы потребительских цен на мясопродукты в РФ / Индексы потребительских цен на мясопродукты в Оренбургской области // М. - 2015. - Режим доступа: http://www.gks.ru.

9)      Минашкин, В.Г. Статистика: учеб. для вузов / М.: Проспект, 2006. - 272 с.

)        Шмойлова, Р.А. Статистика: учеб. для экон. вузов / 4-е изд., доп. и перераб. - М.: Финансы и статистика, 2007. - 656 с.

Похожие работы на - Основные индексные формулы

 

Не нашли материал для своей работы?
Поможем написать уникальную работу
Без плагиата!
Без нейросетей!