Индексный метод в анализе эффективности внешнеэкономической деятельности

  • Вид работы:
    Контрольная работа
  • Предмет:
    Менеджмент
  • Язык:
    Русский
    ,
    Формат файла:
    MS Word
    1,19 Мб
  • Опубликовано:
    2013-08-18
Вы можете узнать стоимость помощи в написании студенческой работы.
Помощь в написании работы, которую точно примут!

Индексный метод в анализе эффективности внешнеэкономической деятельности

Индексный метод в анализе эффективности внешнеэкономической деятельности

При широком использовании в экономической практике средних цен, методология индексного анализа их динамики не получила своего дальнейшего развития. Поскольку уровень средних цен исчисляется по всей совокупности единиц как сопоставимых, так и несопоставимых в динамике, приведенную систему индексов цен необходимо расширить, выделяя также влияние фактора сменяемости изучаемых величин. Анализ динамики средних цен рассмотрим на примере рыбы мороженой, экспортируемой из России в различные страны (таблица 1).

Таблица 1

Динамика экспорта рыбы мороженой


В отличие от таблицы 1, здесь приведены данные как по сопоставимым странам (экспорт в которые осуществлялся как в базисном, так и в текущем периодах), так и по несопоставимым; к тому же анализ проводится по двум товарам (треска и сельдь).

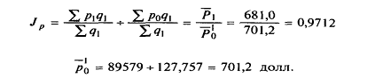
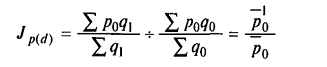
Индекс средних цен по двум товарам составил:

) по всем странам


то есть снижение средней цены на 3% или на 37,3 долл. за т,

) по сопоставимым странам*


то есть снижение средней цены на 13% или на 190,9 долл. за т.

На примере первой товарной позиции "треска" проанализируем динамику средней цены экспорта.

По сопоставимым странам (с)*


снижение средней цены на 13,3% = 100% - 86,7% или в абсолютном выражении

1229,3 - 1417,6 = -188,3 долл. за т.

Снижение средней цены обусловлено:

1. Изменением цен по каждой стране и в среднем по четырем сопоставимым странам (Канада, Дания, Норвегия, Швеция)

Средний индекс цен составил:


Следовательно, в среднем цены снизились на 13,1% или на 186,0 долл. за т .

. Структурным фактором, т.е. изменением в динамике доли экспорта по отдельным странам:

 или 99,8 %

Снижение средней цены, обусловленное структурным изменением, незначительное, всего - 0,2% или - 2,3 долл. за т.

Взаимосвязь исчисленных индексов и абсолютных размеров изменений цен следующая:

т.е. 0,867=0,869*0,998; -188,3=-186,0+(-2,3) долл.

Общий вывод: снижение средней цены экспорта по двум товарным позициям рыбы мороженой обусловлено снижениями цен по сопоставимым странам (ценовой фактор) на 13% или 37,3 долл. за тонну, влияние изменения внутригрупповой (т.е. изменения доли отдельных стран в каждой товарной позиции) и особенно межгрупповой (т.е. доли отдельных товарных позиций в общем объеме экспорта рыбы мороженой) структуры обусловило повышение средней цены в целом по изучаемой группе товаров.

Таблица 2

Цены и структура экспорта рыбы мороженой


Индексы, характеризующие динамику эффективности внешней торговли

В таможенной статистике внешней торговли существует необходимость анализировать динамику не только объемных показателей и цен, но и ее эффективность.

Для этого рассчитываются индекс условий торговлии индекс покупательной способности экспорта

где Jpe - индекс средних цен экспорта, Jpi - индекс средних цен импорта.

Если равен 100%, то на единицу экспортной выручки страна смогла купить в отчетном периоде столько же импортных товаров сколько в базисном.

Если индекс условий торговли больше 100%, то условия торговли стали более благоприятными и на единицу валютной выручки куплено больше импортных товаров, чем в базисном периоде.

Если же индекс условий торговли ниже 100%, то условия торговли стали менее благоприятными.

Индекс покупательной способности экспорта рассчитывается по формуле:

,

где  - индекс физического объема экс

порта; индекс условий торговли.

Он показывает, до какого уровня в текущем периоде увеличился физический объем импорта при условии поддержания внешнеторгового сальдо базисного периода.

Методологические принципы исчисления индексов стоимости, средних цен и физического объема внешней торговли

Расчеты индексов средних цен и физического объема, экспортируемых и импортируемых товаров с 1990 по 1994 г. велись органами государственной статистики на базе информации, получаемой от предприятий в порядке государственной отчетности. С 1996 г. эта информация разрабатывается в ГТК России на основе базы данных грузовых таможенных деклараций (ГТД).

Для расчетов индексов средних цен (удельной стоимости) и физического объема внешней торговли отобран основной массив, представляющий собой в основном укрупненные товарные позиции с 4-значными кодами ТН ВЭД.

По каждой товарной группе исчисляются средние цены как отношение стоимостик объему в натуральных единицах измерения (). Следует отметить, что товарные группы с 4-значным кодом объединяют товары, имеющие различную потребительскую стоимость, и с точки зрения теории стоимости правильнее считать исчисленную среднюю не "ценой", а "удельной стоимостью".

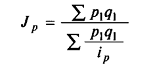
При изучении движения цен в текущем году по сравнению с предшествующим годом за соответствующие периоды (в среднем за квартал, полугодие, 9 месяцев и за год) определяются групповые и сводные индексы цен. Например, сводные индексы экспорта исчисляются по группе "Рыба" (код 03) и по совокупности позиций "Продукты переработки нефти" (код 2710), а также по экспорту (импорту) в целом, применяя среднюю гармоническую формулу Пааше, т.е.


Поскольку в качестве индексируемой величины (р) в этом индексе используются средние цены, исчисленные за годовой период, то он характеризует среднее движение средних цен за год, исходя из квартальных, полугодовых и годовых данных. В этом индексе отражаются не только движение цен конкретных товаров, но и структурные изменения в объемах экспорта (импорта). Знаменатель вышеприведенной формулы равен стоимости товаров текущего периода в средних ценах предыдущего периода, т.е.: индексный цена стоимость объем


Для расчета сводных индексов физического объема внешнеторговой деятельности используется формула Ласпейреса:


Расчет системы индексов цен и физического объема рассмотрим, используя данные, приведенные в таблице 3.

Таблица 3

Экспорт рыбы свежей или охлажденной (код 0302)


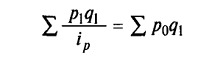
По каждой товарной подпозиции цены (гр. З и 6 табл. 3) являются средними взвешенными, т.е. с учетом цен и объемов экспортируемых товаров в различные страны. Дифференциация цен по странам внутри подпозиции, менее значительна, чем между отдельными подпозициями, и условно индексы цен по каждому виду рыбы (гр. 7) рассмотрим как индивидуальные, а в целом по позиции 0302 - как индексы средних цен, исчисленные по формуле:


Индекс средней цены можно также определить, используя взаимосвязь индексов стоимости, цен и физического объема. В рассматриваемом примере индекс стоимости составил:



Индекс физического объема равен:


Индекс средней цены равен:


Как уже отмечалось, индекс средних цен обусловливается двумя факторами: ценностным и структурным. Для измерения влияния ценностного фактора определим сводный индекс цен по формуле Пааше:

Индекс средней цены равен:


Этот индекс по однородным товарным позициям можно определить также сопоставляя средние цены, исчисленные по одним тем же весам. В приведенном примере он будет равен:

Сводные индексы стоимости, средних цен и физического объема также взаимосвязаны, но в этом случае индекс физического объема исчисляется по агрегатной или идентичной ей формуле, где в качестве весов используются одни и те же цены (базисно или текущего периодов).

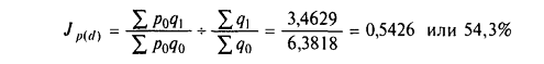
В приведенном примере

=или 346,29 %

;3,3633=0,9712*36,4629

В статистической практике при определении динамики физического объема используются неизменные цены - цены какого-либо периода, принятого за базу сравнения.

В отечественной статистике при изучении динамики физического объема внешнеторговой деятельности в качестве неизменных цен принимаются цены предыдущего периода (среднегодовые).

На величину сводного индекса физического объема, нечисленного по агрегатной или идентичной ей формуле, так же, как и на индекс средних цен, оказывают влияние структурные изменения в объем; экспорта (импорта), в данном примере - отдельных позиций.

Имеется и определенная зависимость в соотношении индексе средних цен (или индексов переменного состава) со средним индексами цен (или индексами постоянного состава) и сводными индексами физического объема, исчисленными по формулам:

В рассматриваемом примере эти соотношения составили:


При неизменной структуре величины индексов цен физического объема, исчисленные по различным формулам, будут равны. Однако в динамике, как правило, структура укрупненных товарных позиций изменяется и важно выделить и измерить ее влияние на динамику изучаемых показателей.

Индекс, отражающий влияние структурных сдвигов на динамику средней цены - определяется с использованием следующей взаимосвязи индексов:


В рассматриваемом примере:


Величину этого индекса можно определить и сопоставляя индексы физического объема, исчисленные по различным формулам, а именно:


Приведенную формулу можно записать также в следующем виде:


В таблице 4 товарная позиция включает сопоставимые в динамике подпозиции, но состав позиций может быть и несопоставимым.

Индексы курса доллара можно определить двумя методами:

сопоставляя в динамике курс доллара;

сопоставляя индексы цен, исчисленные на базе данных оцене в долларах и в рублях, а именно


Ряды индексов цен, исчисленные при сопоставлении цен вдолларах США, отражают также и влияние колебания обменногокурса доллара. Определение реального курса доллара имеет значение при изучении объемов экспортно-импортных операций.

Литература

1. Товарная номенклатура внешнеэкономической деятельности Таможенного Союза. Утв. Решением МС ЕЭС от 27.11.2009 №18.

2.      Приказ ФТС России № 951 от 01.08.2008 «Об утверждении административного регламента о порядке принятия предварительных решений о классификации товара в соответствии с товарной номенклатурой внешнеэкономической деятельности».

.        Распоряжение Федеральной таможенной службы от 22.12.2009 г. №229-р «О классификации в соответствии с ТН ВЭД ТС отдельных товаров» (с изменениями от 22.07.2010 г.). Приложение. Сборник решений и разъяснений по классификации в соответствии с ТН ВЭД ТС отдельных товаров.

.        Назаренко В.М., Назаренко К.С. Таможенное обслуживание внешнеэкономической деятельности. М.: Экзамен, 2007. - 768 с.

.        Таможенное право /под ред. М.М. Рассолова, Н.Д. Эриашвили. М.: ЮНИТИ-ДАНА, 2008 - 384 с.

Похожие работы на - Индексный метод в анализе эффективности внешнеэкономической деятельности

 

Не нашли материал для своей работы?
Поможем написать уникальную работу
Без плагиата!
Без нейросетей!