Ценообразование и конъюнктура рынка

  • Вид работы:
    Контрольная работа
  • Предмет:
    Финансовый менеджмент, финансовая математика
  • Язык:
    Русский
    ,
    Формат файла:
    MS Word
    685,78 kb
  • Опубликовано:
    2010-04-10
Вы можете узнать стоимость помощи в написании студенческой работы.
Помощь в написании работы, которую точно примут!

Ценообразование и конъюнктура рынка

Содержание

1. Средние цены и обобщающий уровень цен

2. Индексный метод в анализе конъюнктуры

3. Индексы товарной биржи

4. Индексы фондового рынка

5. Методы исследования отраслевой структуры рынка

Литература

1.   Средние цены и обобщающий уровень цен

Существуют две основные концепции регистрации цен. В условиях политики стабильных цен применялся сплошной учет, с переходом к рынку в нашей стране в основном стал использоваться выборочный метод регистрации цен, как и в международной практике. Основные принципы выборочной системы регистрации цен:

• отказ от массового документированного учета, практически невозможного в условиях различных форм собственности, а следовательно, отказ от сплошного учета и переход к использованию выборочного метода;

• полный охват всех форм и видов торговли;

• формирование потребительской корзинки, то есть набора товаров-представителей.

Оценка уровня цен — первый этап в статистическом изучении цен.

Уровень цен — обобщающий показатель, характеризующий состояние цен за определенный период времени, на определенной территории, по совокупности товаров и товарных видов с близкими потребительскими свойствами '.

Можно оценить индивидуальный, средний и обобщающий уровень цен.

Индивидуальный уровень цены — это абсолютная величина — сумма денег, уплачиваемая на рынке за товарную единицу.

Для совокупности однородных товаров на основании индивидуальных цен можно рассчитать средний уровень цен, который будет выступать в качестве обобщенной характеристики для данной товарной группы.

Выбор формулы расчета средней цены зависит от наличия имеющейся дополнительной информации. Формула простой средней почти не находит применения, так как при этом не учитываются различия в составе товара. Для расчета средней цены применяются приведенные ниже формулы.

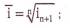
Средняя хронологическая



где t — число месяцев в периоде.

Применяется в том случае, если моменты регистрации цен равно удалены друг от друга, например фиксированы данные на начало каждого месяца. Формула находит свое применение в основном при расчете средней за год или полугодие.

2. Средняя хронологическая взвешенная


Данная формула применяется в том случае, если даты регистрации цен расположены неравномерно.

3. Средняя арифметическая взвешенная

Формула применяется в том случае, если регистрируется количество проданных товаров или процентные соотношения количества проданных товаров:


где Q — количество проданных товаров в натуральных единицах измерения (метры, литры, килограммы и т. п.).

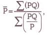
4. Средняя гармоническая взвешенная

Данная формула применяется в том случае, если известны обороты в рублях (товарооборот), соответствующие разным уровням цен, то есть в качестве весов используется стоимостный показатель:


где PQ — товарооборот в рублях.

Чтобы устранить влияние сезонности, изменения ассортимента,, географии продаж на изменение средних цен, нужно брать постоянные веса:


Рост средних цен за счет улучшения качества и ассортимента товаров нельзя рассматривать как удорожающий фактор. Его следует рассматривать как фактор реального улучшения качества товаров.

С помощью оценки уровня цен кроме определения состояния цен, дифференциации их уровня изучают закономерности поведения рыночных цен, взаимное влияние уровней цен различных товаров, соотношения цен.

В качестве обобщающего уровня цен рассматривается показатель стоимости фиксированной потребительской корзинки, который объединяет различные уровни цен в качественно новый обобщающий уровень цен. Данный показатель будет характеризовать не только обобщающую цену фиксированного набора товаров, но и «цену жизни», в этом своем качестве он также активно используется в статистике цен.

Показатель уровня цены может быть рассчитан как относительная величина, выражающая покупательную способность денежного дохода потребителей (по отдельным социальным группам, в целом по стране или по отдельным регионам):

•   отношение цены (индивидуальной или средней) к среднему денежному доходу населения;

•   отношение стоимости потребительской корзины к среднему денежному доходу населения.

Относительный уровень цены обеспечивает дифференцированную характеристику уровня цен и международные сравнения.

2. Индексный метод в анализе конъюнктуры

Исчисление средних цен имеет смысл только для групп однородных товаров, если же группа товаров неоднородна (например, группа продовольственных товаров), тогда для оценки динамики цен используют индексы.

Сравнение цен одного товара осуществляется с помощью индивидуального индекса цен.


Основной формой индекса цен для совокупности разнородных товаров является агрегатный индекс.

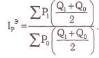
В экономической литературе считается, что первый индекс цен был построен итальянским экономистом Карли в 1764 г. Этот индекс был построен по среднеарифметической формуле без применения какой-либо системы взвешивания. В XIX веке при построении индексов цен, в основном по агрегатной или соответствующей ей среднеарифметической формуле, статистики начинают использовать систему взвешивания. В зависимости от выбора базисных или текущих весов возникли две формулы: Ласпейреса (1871 г.) и Пааше (1874 г.). Более широкое практическое применение находят две другие их формы: в формуле Ласпейреса — средняя арифметическая форма, в формуле Пааше — средняя гармоническая, которые отражены в табл. 1

Таблица 1. Агрегатные, арифметические и гармонические формы индексов цен


Преимущества агрегатной формы — в ее ясном экономическом смысле. Она устанавливает изменение цен при предположении, что количества товаров неизменны, при этом в формуле Ласпейреса берется количество проданного товара в базисном периоде (Q0), а в формуле Пааше — в текущем (Q,).

Среднеарифметическая форма не имеет такого ясного экономического смысла, но ее преимущества состоят в том, что она позволяет более легко производить сам расчет индекса и облегчает последующие его перерасчеты. В частности, при расчете по среднеарифметической взвешенной формуле с базисными весами (формула Ласпейреса) значительно легче установить веса, достаточно иметь данные о стоимости продаж указанных товаров в базисный период, то есть P0Q0

Поэтому индексы цен в большинстве развитых стран строятся по среднеарифметической взвешенной формуле Ласпейреса.

В отечественной статистике до 1992 г. общий индекс цен рассчитывался по формуле Пааше, используя гармоническую его форму. Связано это было с простотой получения данных о текущем товарообороте (PjQj) в связи со сплошной ежемесячной статистической отчетностью и незначительным изменением цен. Однако после 1992 г., когда был осуществлен переход к рыночным отношениям и принята новая методика расчета индекса потребительских цен, он стал рассчитываться так же, как и в большинстве стран, по формуле Ласпейреса.

Другой важный показатель — дефлятор валового национального продукта в большинстве стран рассчитывается по формуле Пааше, и тем самым расчет максимально приближен к совокупности товаров, произведенных в отчетном периоде.

В связи с расхождениями в результатах между индексами с текущими и базисными весами возникла теория о так называемых весовых отклонениях (weightbins). Суть ее сводится к утверждению, что использование и текущих и базисных весов ведет к отклонениям в величине индекса от его истинного значения, в первом случае в сторону понижения, а во втором — повышения. Поэтому задача теории индексов состоит в разработке таких формул индексов, которые ликвидировали бы эти отклонения и дали бы результаты, свободные от влияния использования весов за различные периоды.

Однако в данном случае рассматривается не экономическое содержание индексов, а определенные формальные требования к ним. С позиции экономического содержания одинаково правомерны индексы цен с использованием и базисных и текущих весов. Расхождения между их величинами не есть результат каких-то противоположных отклонений от единственно правильной величины. Правомерен и более высокий результат, полученный на основе формулы Ласпейреса, и более низкий результат, полученный по формуле Пааше, так как в обоих случаях измеряются два различных экономических явления, в первом случае — изменение цен товаров по структуре базисного, а во втором — текущего периода. Экономическое содержание обоих индексов различно, и поэтому должны быть различны их величины.

Тем не менее ряд экономистов попытались создать такие формы индексов, которые были бы «очищены» от подобных отклонений.

Так, например, индекс Фишера, который называют «идеальной» формулой, вычисляется как средняя геометрическая из индексов Ласпейреса и Пааше.

Или, например, формула Эджуорта—Маршалла-Боули, в которой в качестве весов используются средние количества проданной продукции за базисный и текущий периоды:


Однако все представленные формулы индексов для практических расчетов индексов цен применяются редко.

Индексы цен строятся на основе определенного товарного набора, который, в свою очередь, состоит из товаров-представителей, представляющих значительное число других товаров, не включенных в товарный набор. К цене каждого товара, включенного в индексный набор, приписывается не вес данного товара, а вес той товарной группы, изменение цен которой он представляет в индексе, за исключением тех товаров, которые представляют только самих себя. Эффективность системы представительных весов полностью определяется тем, насколько представителен сам товарный набор.

При расчете индекса необходимо решить вопрос о выборе базы для индекса цен. Под базой индекса цен, или, точнее, под базой для сравнения, понимается тот период, уровень цен которого принимается за исходный пункт сравнения, то есть за 100. В принципе при наличии готового индексного ряда любой период, охваченный им, может быть принят за базу — для этого достаточно значение индекса для других периодов разделить на значение индекса для этого периода.

3.   Индексы товарной биржи

Говоря о конъюнктуре товарных бирж, необходимо отметить, что она характеризуется комплексом показателей, связанных с функционированием самой товарной биржи. К ним относятся:

1) число, состав и размер бирж; 2) спрос и предложение на бирже; 3) товарооборот биржи; 4) деловая активность на биржевом рынке; 5) биржевые цены; 6) хеджирование; 7) эффективность биржевой деятельности, биржевая инфраструктура 1. Источниками информации для определения этих показателей является государственная статистическая отчетность, данные расчетной палаты, данные котировочной палаты, отчетность брокеров и т. п.

Биржевые индексы применяются для анализа деловой активности биржи. К индексам относятся индексы заявок на продажу и покупку, индексы среднего объема заявок, индексы оптового товарооборота, индексы биржевых цен.

Биржевые индексы оптового товарооборота определяются:

1)   по отдельному товару (товару-представителю) отдельного ассортимента, который рассчитывается как отношение количества продажи данного товара за отчетный период к количеству этого товара, проданному в базисном периоде, в натуральных единицах измерения:


Можно измерять динамику продажи к любому базисному периоду путем перемножения индексов за каждый последующий период после базисного. При этом следует следить за сопоставимостью периодов. Если вычисляются индексы за неравные промежутки времени, то возможно рассчитать средний дневной (месячный, квартальный и т. п.) индекс. В этих целях используется формула средней геометрической:


2) по товару в целом, включая все виды и сорта. Существуют два типа индексов: а) количественный (отношение суммы количества товара всех видов и сортов в отчетном периоде к периоду базисному); б) стоимостный (сумма объем* продаж товаров в отчетном периоде к базисному, взвешенная по неизменным ценам — ценам базисного периода);

3) по различным видам товаров. Существует несколько разновидностей таких индексов: групповые (по совокупности товаров-представителей каждой товарной группы) и сводные (по совокупности товаров-представителей всех товарных групп) по отдельным биржам, группе бирж и в целом по биржам России. Групповые и сводные индексы рассчитываются по формуле Ласпейреса. Сводный индекс цен биржевой торговли представляет собой среднюю из групповых индексов цен, взвешенных по доле отобранных товарных групп в их общем объеме оборота по бирже в базисном периоде.

Уровни цен на биржах обычно стандартизированы. Минимальное изменение цены, которое носит название пункта, составляет для разных товаров различное значение, так в США: для зерновых — 0,25 цента за бушель, для бензина — 0,01 цента за галлон, для нефти — 1 цент за баррель и др.

Вообще же информация о ценах по товарной бирже представляется в виде котировки. Так как биржевые котировки представляют собой динамические ряды за весьма длительный период времени, то это делает возможным использование их для прогнозирования. Особое значение имеет единая цена по товару за биржевой день, устанавливаемая в результате усреднения цен, которые были зафиксированы на заключительном этапе биржевого дня, и в большой мере лишенная случайных отклонений так называемая официальная котировка.

Определяется и типичная (справочная) цена товара — она рассчитывается при нестабильном рынке, в случае когда цены и факторы, влияющие на них, имеют большой разброс. Типичная цена отражает стоимость единицы товара при типичных условиях реализации. Она является наиболее реальной ценой, поскольку исключает воздействие случайных ценообразующих факторов. (В случае большого количества сделок эта цена определяется как средняя цена сделок, так как отклонения взаимно погашаются, в случае малого количества сделок выводится с учетом ценообразующих факторов и с учетом соответствия типичной цены прошлого биржевого дня ценам вновь совершенных сделок.)

На основании биржевых котировок составляются сводные таблицы, в которых все цены даются на единицу товара. Они систематически публикуются самими биржами, деловыми изданиями.

4.   Индексы фондового рынка

Изучение динамики фондового рынка позволяет более или менее обоснованно судить о текущей конъюнктуре этого рынка, инвестиционной привлекательности отдельных ценных бумаг и экономики в целом, поскольку фондовый рынок очень чувствителен к различным изменениям в результате экономических и политических событий. Динамика фондового рынка является одним из важных моментов при оценке рыночной конъюнктуры для принятия решений по установлению цен.

Фондовые индексы представляют собой числа, характеризующие уровень и динамику цен на акции компаний, включенных в индексный список на определенный момент времени. Существующие ныне индексы можно классифицировать по ряду признаков: по степени охвата рынка, по методу расчета, по отраслевому и региональному признакам. Группировка индексов по отраслям, например, позволяет судить о том, какая из них находится в стадии упадка, а какая, наоборот, подъема. Аналогичным путем может быть определена ситуация на мировом рынке по сравнению с ситуацией на отдельном национальном или региональном рынках. Поэтому рассмотрим наиболее известные в мире фондовые индексы.

Наиболее старым и весьма известным в биржевом мире индексом цен акций является индекс Доу-Джонса (Dow-Jones Average). Он был предложен еще в 1884 г. Чарльзом Доу и, пожалуй, является единственным индексом, который охватывает более чем столетний период. В форме отчета о торгах на Нью-Йор-ской фондовой бирже он регулярно публиковался в газете «The Wall-Street Journall», основанной Ч. Доу. Впоследствии в 1928 г. он был дополнен и усовершенствован приемником Ч. Доу — Джонсом.

Суть этого индекса заключается в расчете простой средней арифметической из цен акций, которые были проданы на бирже. Таким образом, он отражает средний уровень цен. Этот индекс вычисляется по следующей формуле:


где Р — цена акций i-й корпорации,

п — число корпораций,

К — коэффициент-делитель (с учетом корректировки числа корпораций

при дроблении компаниями своих акций). Индекс исчисляется в денежных единицах и может выражаться дробным числом. Так, на Нью-Йоркской фондовой бирже курсы, превышающие $2, учитываются в долях, кратных 1 /8, а ниже $2 — кратных 1/16. Целью постоянной корректировки индекса с помощью коэффициента-делителя является обеспечение его сопоставимости до и после дробления компаниями своих акций.

Существуют четыре разновидности индекса Доу-Джонса. Первый исчисляется по акциям 30 промышленных корпораций (Dow-Jones Industrial Average), куда входят такие американские компании, как Кока-Кола, ИБМ, Боинг и др. На долю этих 30 компаний приходится около 1 /3 дневного биржевого оборота. Второй исчисляется по акциям 20 транспортных компаний (Dow-Jones Transport Average). Третий — по 15 коммунальным корпорациям (Dow-Jones Utility Average). Все это обеспечивает некоторую отраслевую однородность индекса и влияющих на него факторов. И наконец, четвертый индекс — сводный, исчисляемый по 65 корпорациям (Dow-Jones Composite Average).

Большую известность получил другой американский индекс — S&P-500 (Standard and Poor's). Он охватывает акции 500 компаний, в том числе 425 промышленных. Его основная особенность заключается в том, что при расчете не используется принцип равновзвешенности цен по числу проданных акций. Таким образом, он отражает роль каждого набора акций в процессе их реализации и учитывает степень влияния на результат наиболее активных акций с большей массой стоимости. Формула для его расчета имеет следующий вид:


Весьма оригинальная методика используется при расчете популярного британского индекса FT (Financial Times). Он рассчитывается в двух вариантах: по 30 крупнейшим и по 100 малым компаниям. В основе его построения лежит средняя геометрическая из равновзвешенных ежедневных темпов роста курсов акций. В результате этого данный индекс отражает не уровень цен, а их изменение, и в конъюнктурной статистике он считается одним из наиболее чувствительных индикаторов фондового рынка.

Вычисляется он по формуле:


В США регулярно публикуется порядка 20 индексов фондового рынка, в Европе — 25, свои индексы имеет и Япония. По мере усиления интеграции мирового финансового рынка ряд финансовых институтов начали рассчитывать и международные индексы. Так, например, существует индекс EAFE — индекс Европы, Австралии и Дальнего Востока, который охватывает более 2000 компаний из 21 страны. Его расчет ведется «Morgan Stanly Capital International».

Среди российских индексов фондового рынка наиболее известны индекс АК&М, Интерфакса, Финансового центра «Грант», РК-30, SOBI, ROS-индекс «Коммерсантъ». Большая часть этих индексов определяется на основе котировок акций компаний на внебиржевом рынке. Индексные списки фондовых индексов отличаются незначительно. В основе различий лежит вопрос о численной оценке репрезентативности рассматриваемого рынка и степени необходимого учета котировок.

5.   Методы исследования отраслевой структуры рынка

При анализе структуры рынка часто используются количественные методы оценки уровня его концентрации. Концентрация продавцов отражает относительную величину и число фирм, действующих в отрасли. Чем меньше фирм, тем выше уровень концентрации. При одинаковом числе фирм на рынке, чем сильнее отличаются фирмы друг от друга по размеру, тем выше уровень конце к -трации. Первоначально следует определить, что служит показателем размера фирмы и каковы границы рынка.

В качестве показателя, определяющего размер фирмы, может служить доля продаж фирмы в общем объеме реализации, или доля занятых на предприятии в общей численности занятых в производстве данной продукции, или доля стоимости активов фирмы в общей стоимости активов всех фирм и т. п.

Существуют и различные критерии выделения рынка. В курсе микроэкономики мы отождествляли понятия «рынок» и «отрасль». Однако различия между ними основаны на том, что рынок объединен удовлетворяемой потребностью, а отрасль — характером используемых технологий, и отождествлять эти понятия для целей определения уровня концентрации не следует. Для упрощения в качестве взаимозаменяемых понятий могут рассматриваться иногда лишь рынок и подотрасль на основании производства близких товаров-заменителей. В качестве границ рынка могут использоваться:

•   товарные (продуктовые) границы;

•   временные;

•   географические границы.

В каждом конкретном случае необходимая широта или узость границ зависит от особенностей товара и целей анализа. Легко можно ошибиться при определении границ рынка как в сторону уменьшения его, так и слишком расширенного толкования. Так, для товара длительного пользования временные границы рынка будут гораздо шире и менее определены, чем для товара текущего потребления. Однако кроме особенностей товара необходимо исходить и из целей исследования.

Например, если производство медикаментов рассматривается с целью улучшения политики медицинского обслуживания населения, то рынок медицинской продукции следует определить достаточно широко, то есть одновременно рассматривать производство всех видов фармопродукции, медтехники и рынок медицинских услуг. Однако если анализируется слияние двух компаний, производящих медикаменты, в этом случае рынок трактуется в узком смысле, возможно, даже с учетом профиля медикаментов.

Рассмотрим конкретные показатели уровня концентрации рынка.

1. Для характеристики концентрации на рынке может служить показатель размера крупнейших фирм, называемый пороговой долей рынка.

По первому российскому закону 1991 г. «О конкуренции и ограничении монополистической деятельности на товарных рынках» в первоначальной редакции, если доля предприятия на данном рынке превышала 35%, то это предприятие включалось в Государственный реестр предприятий-монополистов.

По новой редакции (1995 г.) безусловным монополистом признается предприятие, контролирующее более 65% рынка.

Фирма, имеющая на рынке пороговую долю от 35 до 65%, также может быть признана монополистом, если антимонопольные органы докажут, что она занимает доминирующее положение на рынке и злоупотребляет им.

Государственный комитет по антимонопольному законодательству в 1995 г. возбудил 692 дела по злоупотреблению доминирующим положением на рынке. Наиболее типичные нарушения антимонопольного законодательства:

•   навязывание невыгодных условий договора;

•   установление монопольно высоких цен;

•   нарушение установленного порядка ценообразования.

В некоторых странах пороговая доля рынка устанавливается не только для продавцов, но и для покупателей, по нашему же законодательству — только для продавцов.

Данный показатель как характеристика рыночной структуры имеет тот недостаток, что применяется к отдельному преудприятию и не дает характеристики структуры рынка данного товара в целом. Для этой цели служат другие показатели.

2. Индекс концентрации (concentration ratio — CR).

Характеризует долю нескольких (трех, пяти, десяти и т. п.) крупнейших фирм в общем объеме рынка в процентах. Определяется как сумма рыночных долей крупнейших фирм, действующих на рынке.

Например, для трех крупнейших фирм


Если индекс концентрации приближается к 100%, то рынок характеризуется высокой степенью монополизации, если же он немногим больше нуля, то его можно рассматривать как конкурентный.

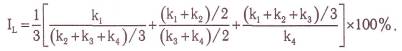
3. Индекс Линда

Применяется в Европе (в странах ЕС). Этот индекс, как и индекс концентрации, рассчитывается лишь для нескольких (т) крупнейших фирм и, следовательно, также не учитывает ситуации на «окраине» рынка. Однако в отличие от него индекс Линда ориентирован на учет различий в «ядре» рынка.

Для двух крупнейших фирм он равен процентному отношению их рыночных долей:


Для четырех фирм:


4. Индекс Херфиндаля—Хиршмана

В США с 1982 г. официальная статистика полностью отказалась от индекса концентрации. При проведении антимонопольной политики стали использовать индекс Херфиндаля-Хиршмана (HHI).

Его можно также рассматривать как индекс концентрации, однако он характеризует не долю рынка, контролируемую несколькими крупнейшими компаниями, а распределение «рыночной власти» между всеми субъектами данного рынка.

Показатель рассчитывается как сумма квадратов рыночных долей (в процентах) всех субъектов рынка в общем его объеме:


максимальное значение соответствует ситуации, когда рынок полностью монополизирован одной фирмой. В этом случае очевидно:


Если число фирм больше единицы, то HHI может принимать различные значения в зависимости от распределения рыночных долей.

Данный индекс используется в США в качестве ориентира для определения возможности слияния фирм. Если HHI < 1000, рынок считается неконцентрированным, и слияния беспрепятственно допускаются. Если 1000 < HHI < 1800 — рынок умеренно концентрированный, однако уровень выше 1400 может потребовать дополнительной проверки в целях разрешения слияния фирмам. Если же HHI > 1800 — рынок высоко концентрированный. В этом случае слияние фирм разрешается лишь при увеличении индекса Херфиндаля-Хиршмана менее чем на 50 пунктов (в результате слияния); если индекс увеличивается от 50 до 100 пунктов, назначается дополнительная проверка; если более 100 — слияние запрещается.

Другой важнейшей характеристикой концентрации производства являются коэффициенты концентрации в продуктовом разрезе. Подобные показатели, в отличие от отраслевых, не содержат погрешностей, связанных с учетом непрофильной продукции в общих отраслевых объемах производства.

Товарная номенклатура, по которой Госкомстатом России проводятся расчеты коэффициентов концентрации, в целом соответствует номенклатуре основного промышленного производства и может быть базой для индикативной характеристики степени монополизации российской промышленности.

Позитивные тенденции (некоторое снижение уровня концентрации) связаны:

•   по продукции металлургической промышленности — с активизацией промышленного производства в данном секторе экономики;

•   по бытовым швейным машинам, бытовым морозильникам — за счет расширения производителей по конверсионным программам.

Негативные тенденции повышения уровня концентрации наблюдаются:

•   по продукции химического комплекса — в связи с отсутствием программы демонополизации;

•   по продукции сельхозмашиностроения — с крайне низкой платежеспособностью потребителей данной продукции, сокращением объемов производства и концентрацией его на отдельных специализированных предприятиях.

Принято считать, что российская экономика характеризуется высокой степенью концентрации производства и монополизированности рынка в национальных масштабах. Однако реальная ситуация не столь однородна. Монополий национального масштаба относительно немного. Более характерны для экономики страны другие модели:

•   локальный монополизм (монопсонизм) в масштабах региональных товарных рынков, характерным примером являются предприятия, перерабатывающие сельскохозяйственную продукцию;

•   олигополия — наличие в производстве и на товарном рынке нескольких крупных предприятий, занимающих доминирующее положение (производство легковых автомобилей);

•   наличие одного доминирующего предприятия и небольших предприятий-аудсайдеров (концерн «Газпром»).

Индекс Херфиндаля-Хиршмана как показатель уровня концентрации связан с показателем монопольной власти Лернера, и данное свойство широко используется в экономических исследованиях. В курсе микроэкономики индекс, характеризующий монопольную власть, определяется как величина, на которую цена превышает предельные затраты:


Значение индекса Лернера можно прямо связать с индексом Херфиндаля-Хиршмана для олигополистического рынка, предположив, что он описывается моделью Курно (см. курс «Микроэкономика»).

В этом случае для отдельной фирмы индекс Лернера будет вычисляться по формуле:1


принимающий значения от 0, что соответствует взаимодействию фирм по Курно, до 1, что соответствует заключению картельного соглашения. Чем выше показатель согласованности ценовой политики, тем меньше зависимость индекса Лернера для фирмы от доли ее на рынке, а для отрасли — от уровня концентрации продавцов.

Литература

1.   Цены и ценообразование: Учебник для вузов. 3-е изд. / Под ред. В.Е. Есипова.- СПб.: Питер, 2003.- 464 с.

2.   Ценообразование: Учеб. Пособие.-М.: ИНФРА-М,2006. – Х,442с. – ГерасименкоВ.В.- (Учебники экономического факультета МГУ им. М.В. Ломоносова).

3.   Шуляк П.Н. Ценообразование: Учебно-практическое пособие.-9-е изд., перераб. И доп.- М.: Издательско - торговая корпорация «Дашков и К», 2006.-192 с.

Похожие работы на - Ценообразование и конъюнктура рынка

 

Не нашли материал для своей работы?
Поможем написать уникальную работу
Без плагиата!
Без нейросетей!