Ректификационная колонна непрерывного действия для разделения бинарной смеси бензол-толуол
Введение
Ректификация - массообменный процесс, который
осуществляется в большинстве случаев в противоточных колонных аппаратах с
контактными элементами (насадки, тарелки), аналогичными аппаратам, используемым
в процессах абсорбции. Поэтому методы подхода к расчету и проектированию
ректификационных и абсорбционных установок имеют много общего. Тем не менее ряд
особенностей процесса ректификации (различное соотношение нагрузок по жидкости
и пару в нижней и верхней частях колонны, переменный по высоте коэффициент
распределения, совместное протекание процессов массо - и теплопереноса)
осложняет его расчет.
Процессы ректификации осуществляется
периодически или непрерывно при различных давлениях: при атмосферном давлении,
под вакуумом (для разделения высококипящих веществ), а также под давлением
больше атмосферного (для разделения смесей, являющихся газообразными при
нормальных температурах).
Сопоставляя периодически действующую колонну с
ректификационной колонной непрерывного действия можно заметить, что первая работает,
подобно верхней части непрерывнодействующей колонны, как колонна для укрепления
паров, а куб играет роль исчерпывающей части.
Ректификационные колонны предназначены для
проведения процессов массообмена в химической, нефтехимической и других отраслях
промышленности. Колонные аппараты изготавливают диаметром 400-4000 мм для
работы под давлением до 1.6 МПа в царговом исполнении корпуса до 4.0 МПа - в
цельносварном исполнении. В зависимости от диаметра, колонные аппараты
изготавливают с тарелками различных типов. Колонные аппараты диаметром 400-4000
мм оснащают стандартными контактными и распределительными тарелками, опорами,
люками, днищами и фланцами. На цельносварном корпусе предусмотрены люки для
обслуживания тарелок.
Большое разнообразие тарельчатых контактных
устройств затрудняет выбор оптимальной конструкции тарелки. При этом наряду с
общими требованиями (высокая интенсивность единицы объема, его стоимость и так
далее) ряд требований может определяться спецификой производства, большим
интервалом устойчивости работы при изменении нагрузок по фазам, способность
тарелки работать в среде загрязнений жидкостей, возможностью защиты от коррозии
и так далее. Зачастую эти качества становятся превалирующими, определяющими
пригодность той или иной конструкции для использования в каждом конкретном
процессе.
В данной работе проводим расчет тарельчатой
колонны со сливной перегородкой. В такой колонне перелив жидкости с тарелки на
тарелку осуществляется при помощи специальных устройств - сливных трубок,
карманов и т.д. Нижние концы трубок погружены в стакан на нижерасположенных
тарелках и образуют гидравлические затворы, исключающие возможность прохождения
газа через сливное устройство. Переливные трубки располагают на тарелках так,
чтобы жидкость на соседних тарелках протекала во взаимнопротивоположных
направлениях.
В промышленности применяют колпачковые,
ситчатые, насадочные, пленочные трубчатые колонны.
Тарельчатые колпачковые колонны наиболее часто
применяют в ректификационных установках. Пары с предыдущей тарелки попадают в
паровые патрубки колпачков и барботируют через слой жидкости, в которую
частично погружены колпачки. Колпачки имеют отверстия или зубчатые прорези,
расчленяющие пар на мелкие струйки для увеличения поверхности соприкосновения
его с жидкостью. Переливные трубки служат для подвода и отвода жидкости и
регулирования ее уровня на тарелке. Основной областью массообмена и теплообмена
между парами и жидкостью, как показали исследования, является слой пены и брызг
над тарелкой, создающийся в результате барботажа пара. Высота этого слоя
зависит от размеров колпачков, глубины их погружения, скорости пара, толщины
слоя жидкости на тарелке, физических свойств жидкости. Колпачковые тарелки
менее чувствительны к загрязнениям, чем ситчатые, и отличаются более высоким
интервалом устойчивой работы колонны. К недостаткам относят: сложность
устройства и высокую стоимость, низкие предельные нагрузки по газу,
относительно высокое гидравлическое сопротивление, трудность очистки. Расчет
ректификационной колонны сводится к определению ее основных геометрических
размеров: диаметр и высота.
Ректификацию будем проводить на колпачковых
тарелках. На питание колонны будем подавать исходную смесь (бензол-толуол),
подогретую до температуры кипения; флегму будем подавать в виде жидкости при
температуре кипения; кубовый остаток будем испарять и подавать в виде
насыщенного пара в низ колонны. Температуры кипения растворов близки по
значениям, поэтому ожидаем большое число тарелок в колонне для лучшего
разделения смеси.
В моем курсовом проекте бинарная смесь
представляет систему бензол -толуол.
Бензол (C6H6) -
органическое химическое соединение, бесцветная жидкость со специфическим
сладковатым запахом. Простейший ароматический углеводород. Бензол входит в
состав бензина, широко применяется в промышленности, является исходным сырьём
для производства лекарств, различных пластмасс, синтетической резины,
красителей. Хотя бензол входит в состав сырой нефти, в промышленных масштабах
он синтезируется из других её компонентов. Токсичен, канцерогенен. Температура
плавления = 5,5 °C, температура кипения = 80,1 °C, плотность = 0,879 г/см³,
молярная
масса = 78,11 г/моль. С воздухом образует взрывоопасные смеси, хорошо
смешивается с эфиром, бензином и другими органическими растворителями, с водой
образует азеотропную смесь с температурой кипения 69,25 °C (91 % бензола).
Растворимость в воде 1,79 г/л (при 25 °C). На сегодняшний день существует три
принципиально различных способа производства бензола: коксование каменного
угля, каталитический риформинг (в данном процессе кроме бензола образуются
толуол и ксилолы), пиролиз бензиновых и более тяжелых нефтяных фракций,
тримеризация ацетилена. При пропускании ацетилена при 400 °C над активированным
углем с хорошим выходом образуется бензол и другие ароматические углеводороды:
3С2Н2 → С6H6. Значительная
часть получаемого бензола используется для синтеза других продуктов.
Применение. Бензол входит в десятку важнейших
веществ химической промышленности. Большую часть получаемого бензола используют
для синтеза других продуктов: 50 % бензола превращают в этилбензол; 25 %
бензола превращают в кумол; приблизительно 10-15 % бензола гидрируют в
циклогексан; 10 % бензола расходуется на производство нитробензола; 2-3 %
бензола превращают в линейные алкилбензолы; приблизительно 1 % бензола
используется для синтеза хлорбензола. В существенно меньших количествах бензол
используется для синтеза некоторых других соединений. Изредка и в крайних
случаях, ввиду высокой токсичности, бензол используется в качестве растворителя.
Кроме того, бензол входит в состав бензина. Ввиду высокой токсичности его
содержание новыми стандартами ограничено введением до 1 %
Толуол (С6H5СH3)
- метилбензол, бесцветная жидкость с характерным запахом, относится к аренам.
Бесцветная подвижная летучая жидкость с резким запахом, проявляет слабое
наркотическое действие. Смешивается в неограниченных пределах с углеводородами,
многими спиртами и эфирами, не смешивается с водой. Горюч, сгорает коптящим
пламенем. Сырьё для производства бензола, бензойной кислоты, нитротолуолов (в
том числе тринитротолуола), толуилендиизоцианатов (через динитротолуол и
толуилендиамин) бензилхлорида и др. органических веществ. Является
растворителем для многих полимеров, входит в состав различных товарных
растворителей для лаков и красок.
Применение. Применяют толуол в качестве сырья
для органического синтеза, высооктановых добавок к моторным топливам, в
качестве растворителя в лакокрасочной промышленности для растворения тощих
алкидов, кремнийорганических, акриловых смол, полистирола, как основной
компонент входит в состав смесовых растворителей (Р-4, Р-4А, Р-5А, 646,647,648,
Р-12), применяемых для растворения при изготовлении и нанесении эпоксидных,
виниловых, акриловых, нитроцеллюлозных, хлоркаучуковых лакокрасочных материалов.
.
Технологическая схема ректификационной установки
Принципиальная схема ректификационной установки
непрерывного действия для разделения бинарной смеси бензол - толуол показана на
рис 1.
Рис. 1 Схема ректификационной установки
непрерывного действия
Исходная смесь из емкости 1 подается насосом 2 в
подогреватель 3, где она нагревается до температуры кипения смеси. Подогретая
смесь поступает в ректификационную колонну 4 на так называемую питающую
тарелку, которая делит колонну на две части, имеющие различное назначение: в
верхней части происходит обогащение паров низкокипящим компонентом, т.е.
укрепление паров, поднимающихся снизу вверх восходящим потоком, поэтому верхняя
часть колонны называется укрепляющей; в нижней части колонны достигается
максимальная степень удаления из жидкости низкокипящего компонента, поэтому она
и называется исчерпывающей. Из верхней части колонны пары направляются в
дефлегматор 5 воздушного (или водяного) охлаждения, В дефлегматоре пар конденсируется,
и образующийся конденсат поступает в сборник 6, откуда насосом подается двумя
потоками: один поток, называемый флегмой, возвращается в колонну, другой,
охлаждаясь в холодильнике 7, выводится как готовый продукт (дистиллят) в
сборник 8. Флегма, представляющая собой практически чистый низкокипящий ком
компонент, подается в колонну на орошение для создания устойчивого нисходящего
движения потока жидкости. Проходя по колонне, она обогащается высококипящим
компонентом и спускается в нижнюю часть колонны, откуда один поток жидкости
направляется через делитель в куб кипятильник 11, обогреваемый греющим паром, а
другой поток, пройдя холодильник 10, выводится в сборник 9 в качестве готового
продукта (кубового остатка).
ректификационный колонна тарелка
теплообменный
.
Технологический расчёт
Рассчитать тарельчатую и насадочную
ректификационные установки непрерывного действия для разделения бинарной смеси
бензол - толуол. Исходные данные: производительность по разделяемой смеси Lf
=
5,5 т/ч = 1,527 кг/с. Содержание бензола в исходной смеси Хf
= 40 %. Требуемое содержание бензола в дистилляте ХD
= 96 %, в кубовом остатке ХW
= 3 %. Исходная смесь, подаваемая в ректификационную колонну, нагревается в
подогревателе от tн
= 20 °С до температуры кипения. Обогрев кипятильника - насыщенный водяной пар ts=136
o
C (Ps
=
3,3 бар).
Ректификационная колонна - тарельчатая с
колпачковыми тарелками, работает под атмосферным давлением. Конденсация пара в
дефлегматоре - полная. Температура охлаждающей воды в холодильниках tн=
23 °С.
.1 Материальный баланс
Расходы дистиллята LD
и кубового остатка LW
определим из уравнения материальных балансов:
по потокам 1,527=LD
+ LW;
- по легколетучему компоненту 1,527·0,4=
LD·0,96+ LW·0,03

кг/с

кг/с
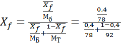
Концентрации легколетучего
компонента в мольных долях равны:
в исходной смеси 
=0,44
дистилляте 
в кубовом остатке 
где МБ и Мт -
мольные массы бензола и толуола.
2.2 Количество орошения и число теоретических
тарелок
Для технологического расчёта ректификационной
колоны необходимо построить зависимость между фазами в координатах у - х и
диаграмму t - х, у (рис. 2).
Минимальное флегматическое число определяется:
где Yp
- концентрация легколетучего компонента в паровой фазе, равновесной с исходной
смесью питания колонны, определяемая по концентрации Xf.
Рабочее флегмовое число, при β=1,3
равно:
.
Уравнение линии рабочих концентраций
верхней (укрепляющей) части колонны при R=2,12 имеет
вид
для верха колонны:
.
-для низа колонны:
,
где F -
относительный мольный расход питания. Здесь:
.
Эти линии и ступени изменения
концентраций построены на диаграмме y-x (рис.2).
Рис. 2 Диаграмма Y-X для
определения числа теоретических тарелок
Числа теоретических тарелок в
верхней и нижней частях колонны соответственно равны: NТ.В=4,9; NТ.Н=8,1.
.3 Материальные потоки
Задачей расчета является определение
массовых и объемных расходов пара и жидкости в верхней и нижней частях колонны.
Для расчета объемных потоков предварительно найдем средние плотности пара и
жидкости, а так же мольные массы пара.
Вычислим средние концентрации
бензола в жидкой и паровой фазах:
в верху колонны:
;
;
- в низу колонны:
;
.
По диаграмме t-x,у (рис.3)
зная
, найдем
средние температуры паров в верхней t'ср=81,5 °С и
нижней t"ср =100,9°С
частях колонны.
Средние мольные массы паров равны:
в верху колоны:
кг/кмоль;
-в низу колонны
Средние плотности паров
соответственно вверху и внизу колонны составляют:

;

.
Найдем плотности жидких бензола и
толуола при следующих температурах в колонне:
t'ср=81,9 °С, ρ'б=817,1
, ρ'т=809,9
;
t"ср =100,9°С, ρ"б=793,6
, ρ"т=789
.
Рассчитаем приближенно средние
плотности жидкости:
в верху колонны

;
-в низу колонны

.
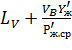
Массовые расходы вверху колонны
равны:
жидкости орошения
кг/с;
паров
кг/с
Объемные расходы вверху колонны
составляют:
паров 
;
жидкости орошения 
.
Массовые расходы внизу колонны:
жидкости орошения
2,363кг/с;
паров
кг/с.
Объемные расходы внизу колонны
равны:
паров 
;
жидкости орошения 
.
.4 Тепловой расчет установки
Теплой поток, отводимый в
дефлегматоре при конденсации пара, найдем по формуле:
кВт,
где
кДж/кг,
здесь rб и rт- удельные
теплоты конденсации бензола и толуола, кДж/кг,
- удельная
теплота конденсации паров в дефлегматоре кДж/кг[1].
Тепловой поток, подводимый в кипятильнике для
испарения жидкости при 3% его потерь, определим по выражению:
где 
к,
,03 - коэффициент, учитывающий
компенсацию потерь тепла в окружающую среду;
,
,
- удельные
массовые теплоемкости дистиллята, исходной смеси и кубового остатка, кДж/(кг
К);
,
,
-
соответственно температуры, определенные по диаграмме t-x,у (рис.3),
исходной смеси на входе в колонну, дистиллята на выходе из дефлегматора,
кубового остатка на выходе из колонны, °С.
Рис.3 Диаграмма t-x,у
Тепловой поток в паровом
подогревателе исходной смеси при 5 % потерь в окружающую среду составляет
кВт,

здесь СБ и СТ
- удельные массовые теплоемкости бензола и толуола, кДж/(кг·К), при средней
температуре в подогревателе исходной смеси, равной:
°С.
Тепловой поток, отводимый в
холодильнике дистиллята, равен
кВт,
где
- температура дистиллята на выходе
из холодильника,
- удельная
массовая теплоемкость дистиллята,
, при средней его температуре в
холодильнике, равной
°С,

.
Тепловой поток, отводимый в
холодильнике кубового остатка, составляет
кВт,
где
- температура кубового остатка на
выходе из холодильника, °С;
- удельная массовая теплоемкость
кубового остатка
, при
средней его температуре в холодильнике, которая равна:
°С,

.
Суммарный поток подогревателя
исходной смеси и кипятильника составит:

кВт
Расход греющего пара в установке
равен:
кг/с,
где
- удельная теплота конденсации
греющего пара,
, при
температуре ts=136 °С;
- степень
сухости пара.
Расход охлаждающей воды в установке
составляет:
,
где
и
- температуры воды на выходе и входе
в холодильниках дистиллята и кубового остатка, °С;
- плотность
воды,
;
- удельная
массовая теплоемкость воды,
.
3. Гидравлический расчет аппарата
.1 Определение диаметра колонны
Диаметр тарельчатой колонны
определяют, исходя из величины рабочего сечения тарелки. Под рабочим сечением
тарелки понимают разность площадей поперечных сечений колонны и переливных устройств.
Верх колонны. Для расчета рабочего
сечения колонны предварительно определим скорость пара:

м/с
где φ - фактор
вспениваемости жидкости [2];

- коэффициент, определяемый по
рис.17. Здесь 
- расстояние между тарелками
колонны, которое рекомендуется в первом приближении выбирать в интервале 
=300-400 мм [2];

- комплекс, учитывающий соотношение
между расходами пара и жидкости в колонне.
По значению вычисленной величины
комплекса, равной 0,033, и принятому расстоянию между тарелками 
=400 мм находим численное значение
величины С=0,073 (рис.17) [3].

м2 .
по
=0,64 выбираем в ОСТ 26-01-282-74
[4], наиболее близкий диаметр верхней части колонны D=600 мм.
Характеристикам колпачковой тарелки
Тип : ТСК-Р
Диаметр колонны: 2,6 м
Свободное сечение тарелки Fр=0,638м2
Свободное сечение колонны Fо=5,31
м2
Периметр слива П= 2,032 м
Длина пути жидкости Lж =1,73
м
Относительная площадь для прохода
паров Fc=12,1
Диаметр колпачка Dк=75 мм
Уточняем принятое расстояние между
тарелками: НТ=0,34·D0,57 =0,34·2,60,57=
0,59 м, принимаем НТ=0,6 м.
Число колпачков:
где dп - диаметр
парового патрубка, dп=50 мм.
Высоту части колпачка над паровым
патрубком:
Расстояние от нижнего края зубца
колпачка до тарелки принимаем s=5 мм. Высоту уровня жидкости над
верхним обрезом прорезей колпачков принимаем h1=30 мм.
Диаметр колпачка Dk:
Где δ - толщина
стенки парового патрубка.[9]
Низ колонны. Аналогично определим
диаметр нижней части колонны.
Вычислим комплекс: 
.
По графику (рис.17) [3], при 
=400 мм находим значение
коэффициента С=0,073.
Рассчитаем скорость пара в рабочем
сечении тарелки:

м/с.
Рабочее сечение тарелки составит:

м2.
Сечению тарелки 
=0,62 м2 в ОСТ
26-01-282-74 [4] соответствует ближайший диаметр колонны D=2600 мм.
Окончательно принимаем для
дальнейших расчетов диаметр ректификационной колонны D=2600 мм.
Скорость пара в рабочем сечении
тарелки принятой колонны составит:
в верху 
м/с;
в низу 
м/с;
где Fp - рабочее
сечение колпачковой тарелки колонны диаметром D=2600 мм.
.2 Расчет высоты сливного порога
Высоту сливного порога вычислим для
верхней и нижней частей колонны. Для этого определим высоту слоев жидкости над
сливными порогами и глубину барботажа жидкости на тарелках.
Верх колонны. Высоту слоя жидкости
над сливным порогом вычислим по формуле

м,
где 
=
- объемный расход жидкости через
переточные трубы с учетом брызгоуноса, м3/с; П=2,032 м- периметр
слива; 
- относительный унос жидкости,
учитываемый в гидравлических расчетах аппарата при GB/LB<2 (кг
жидкости)/(кг пара).
Для верха колонны имеем 
< 2, из этого соотношения
следует, что брызгоунос здесь можно не учитывать.
Глубину барботажа определим по
выражению

0,048 м,
где Р - абсолютное давление в
колонне, Па.
Высота сливного порога:

м,
Низ колонны. Относительный расход
паровой и жидкой фаз составит

<2, следовательно:

=
м3/с.
Определим для этой части колонны:
высоту слоя жидкости над сливным
порогом

=0,019 м;
глубину барботажа:

=0,049 м;
высоту сливного порога:
hпор.н= 
=0,019+0,049 = 0,068м.
3.3 Межтарельчатый унос жидкости
Относительный унос жидкости с
тарелок 
найдем для верхней части колонны.
Для чего определим высоту пены на тарелке:
= 
м,
где σср -
поверхностное натяжение на границе раздела фаз, Н/м, при температуре tср=55°С;
k2=0,23; k3=0,044; k4=4,6 -
коэффициенты для колпачковой тарелки,[2].
Относительный унос жидкости на
тарелке составит

n1= 
1,38=0,02
где k1= 
; n1=1,16.
В промышленных аппаратах допускается
брызгоунос 
0,1 (кг жидкости)/(кг пара).
Расчетное значение относительного уноса жидкости 
0,02 меньше допускаемого. Таким
образом, расстояние между тарелками НТ= 600 мм выбрано правильно.
3.4 Устойчивость работы переливных
устройств
Надежная работа переливного
устройства определяется скоростями движения в перетоке и зазоре между нижним
срезом переточной трубы и основанием кармана. Расчет ведем для нижней части
колонны, где расход жидкой фазы больший.
Определим скорость жидкости в
переливе:

м/с.
Работа перелива без захлебывания
отвечает условию 
<
, где 
=0,225 и n2 = 0,8 -
соответственно коэффициент и показатель степени для колпачковой тарелки [2].
Скорость жидкости в зазоре между
нижним срезом переточной трубы и основанием кармана должна удовлетворять
условию: ωж.з < 0,45
м/с,
где
ωж.з= 
м/с.
Здесь П1=2,032 м -
периметр перетока на его выходе, приближенное значение которого принимаем
равным периметру перетока на входе; а=0,06 м - зазор между основанием кармана и
нижним срезом перетока [2].
В результате расчета имеем: ωж.з=0,076<
0,45 м/с.
Таким образом, однопоточная тарелка
при расстоянии НТ=600 мм и зазоре а=0,06 м обеспечивает устойчивую
(без зависания) работу сливных устройств.
3.5 Гидравлическое сопротивление
тарелок
Массовые потоки паровой и жидкой фаз
в верхней и нижней частях колонны отличаются между собой. Поэтому
гидравлическое сопротивление тарелок рассчитываем для каждой части колонны.
Верх колонны. Общее гидравлическое
сопротивление колпачковой тарелки определяется суммой сопротивления сухой
тарелки ∆Рс и слоя жидкости ∆Рж.
Скорость пара в отверстиях тарелки
равна:

м/с,

- суммарная площадь отверстий
тарелки
Сопротивление сухой тарелки
∆Рс.в= 
= 97 Па,
где ζ- коэффициент
сопротивления сухой тарелки
ζ=1,73·
= 1,73 ·0,75-0,25= 1,6
где Dk= 0,75 м-
диаметр колпачка.
Для расчета сопротивления слоя
жидкости на тарелке вычислим перепад уровня жидкости ∆h по
приближенной формуле:
∆hB= 0,1λЭ
м
где λЭ=16·
-
коэффициент для колпачковой тарелки [2].
Найдем сопротивления:
сопротивление слоя жидкости на тарелке:
∆Рж.в.=
=815· 9,81(0,049+
)=395,8 Па;
- орошаемой тарелки:
∆РВ= ∆РС.В.+
∆РЖ.В= 97+395,8=492,8Па.
Низ колонны. Скорость пара в
отверстиях тарелки равна:

6,6 м/с.
Сопротивление сухой тарелки равно:
∆Рс.н= 
= 97 Па.
Перепад уровня жидкости на тарелке
равен:
∆hн = 0,1λЭ
м.
Вычислим сопротивление слоя жидкости
на колпачковой тарелке:
∆Рж.н.=
=790· 9,81(0,049+
)=439,8 Па.
Сопротивление орошаемой тарелки:
∆Рн= ∆Рс.н.+
∆Рж.н= 97+439,8=536,8 Па.
3.6 Расчет
диаметров штуцеров колонны
Определим диаметры штуцеров колонны:
для входа исходной смеси:
,
где
- скорость движения жидкости в
штуцере от насоса,
- скорость
движения жидкости самотеком;
- плотность исходной смеси на входе
в колонну, находим по формуле
ρБ , ρТ-
плотности бензола и толуола, кг/м3, при температуре входа исходной
смеси в колонну tf= 86,9 ºС;
для выхода кубового остатка:
,
где ρw - плотность
кубового остатка на выходе из колонны, определяем из уравнения:
,
здесь ρБ и ρт-
плотности бензола и толуола, кг/м3, при температуре входа жидкости
из колонны tw= 109,5
Сº;
для входа флегмы
;
- для выхода пара
,
где
=20 м/с- скорость движения пара в
штуцере.
Принимаем установочные диаметры
штуцеров, мм [4]
входа исходной смеси
;
выхода кубового остатка
;
входа флегмы
;
выхода пара
.
Диаметры штуцеров колонны для
подключения кипятильника определяются при его расчете.
4.
Число реальных тарелок и высота колонны
Действительное число тарелок определяем через
средний коэффициент полезного действия (КПД) колоны. Средний КПД колонны найдем
по рис.19 [3]. Для этого необходимо рассчитать при средней температуре кипения
жидкости в колонне:

ºC
необходимо рассчитать коэффициент
относительной летучести компонентов:
где Рб и Рт -
давления насыщенных паров бензола и толуола, Па [1], и динамический коэффициент
вязкости исходной смеси

10-3Пас=0,273мПа·с,
здесь μб и μт-
динамические коэффициенты вязкости бензола и толуола, Па·с.
Далее определим величину
произведения α·μж=1,39·0,273=0,38
и по графической зависимости η=f(α·μж) находим η=0,61 (рис.19)
[3].
С увеличением диаметра колонны длина
пути движения жидкости на тарелке возрастает, и эффективность работы аппарата
повышается. Следует отметить, что длину пути движения жидкости на тарелке
увеличивают для аппаратов, диаметр которых более 0,9 м.
Определим КПД колонны с учетом
влияния длинны пути движения жидкости на тарелке:
η=η(1+∆)=
0,61·(1+0,26)= 0,77,
где ∆=0,26 - поправка на длину
пути движения жидкости на тарелке L=3,25 м, (рис.20) [3].
вверху колонны:

, принимаем 
=7;
внизу колонны:

, принимаем 
11;
-общее для аппарата: n = 
=7+11=18.
Отсюда высоты верхней и нижней
частей колонны соответственно равны
Общая высота с учетом сепарационной
Нсеп и кубовой Нкуб частей составит

,
где Нсеп=1 м, Нкуб=
2,5 м определены по прил.3 для колонны диаметром D=2600 мм.
5. Расчет теплообменных аппаратов
.1 Дефлегматор
Для конденсации паров, выходящих из
ректификационной колонны принимаем дефлегматор водяного охлаждения. Выбирая его
тип, определим площадь теплообменной поверхности данного аппарата.
Найдем среднюю разность температур
дефлегматора. Для этого определим разность температур теплоносителей на входе и
выходе дефлегматора
Отношение разностей температур ∆tб и ∆tм,
, следовательно
Средняя температура охлаждающей
воды.
°С.
Расход охлаждающей воды в
дефлегматоре:
.
Принимаем трубы теплообменника d = 25х2 мм,
задаемся значением критерия Рейнольдса Re = 20000
(турбулентное течение), определяем число труб из выражений
;
откуда
,
где
- динамический коэффициент вязкости
для воды при
°С
По ГОСТ 15119-79 подходит
конденсатор с числом труб n = 206, число ходов z = 4,Dк=600 мм ,
трубки d = 25х2 мм.
Уточняем Re
.
Определяем коэффициент теплопередачи
для воды
.
Воспользуемся номограммой (рис. XII) [1], полагая
, т.к вода
нагревается. Pr для воды
при
°С находим
по табл. XXXIX [1], Pr = 5,82.
По номограмме (рис.XII) [1], Nu = 90.
,
где
- коэффициент теплопроводности для
воды при tср.в=27,5ºС, по табл. XXXIX [1],
коэффициент теплоотдачи для конденсирующегося пара
Значение физико-химических констант
легколетучего компонента берем при температуре конденсации пара
°С;
;
;
;
.
Термическое сопротивление стальной
стенки трубы
,
где
- коэффициент теплопроводности
стали (XXVIII) [1].
Суммарное термическое сопротивление
стенки и загрязнений
;
.
Требуемая поверхность конденсатора:
.
Принимаем конденсатор по ГОСТ
15119-79, F =75, число
ходов z = 2, Dк=600 мм,
трубки d = 25х2 мм, l = 4 м, n = 240.
Условные обозначения аппарата
конденсатор 600 ХКГ-4-16-М1-0/25-4-2 гр.Б, ГОСТ 15119-79 [4].
5.2 Кипятильник
Кипятильник установлен вне колонны,
что создает удобства для эксплуатации, ремонта и улучшает процесс
теплопередачи. Он представляет собой вертикальный кожухотрубчатый одноходовой
теплообменник, в котором по трубам циркулирует нагреваемая жидкость, а
межтрубное пространство обогревается водяным насыщенным паром.
Коэффициент теплоотдачи от
конденсирующего пара к стенке определим по выражению
где
- теплопроводность конденсата,
;
- плотность
конденсата,
;
- удельная
теплота конденсации водяного пара, Дж/кг;
- динамический коэффициент вязкости
конденсата, Па·с;
- высота
трубы теплообменника, м; q - удельный тепловой поток,
. Здесь все
теплофизические величины взяты при температуре конденсации пара
°С.
Температуру кипения смеси бензол -
толуол в кипятильнике принимаем равной температуре чистого толуола tкип = 124,3°С
при абсолютном давлении Рк.абс=0,15 МПа.
Принятое избыточное давление в
кипятильнике равное Рк.изб= 0,05 МПа, величина складывается из
гидравлического сопротивления колонны и статического давления столба жидкости,
высота которого определяется от середины трубок кипятильника до уровня свободной
поверхности жидкости в колонне.
Для расчета коэффициента
теплопередачи от стенки труб к нагреваемой жидкости определим теплофизические
величины чистого толуола при температуре кипения в кипятильнике tкип = 124,3°С
[1]:
плотность жидкости
плотность пара
;
-коэффициент динамической вязкости
;
коэффициент кинематической вязкости
;
коэффициент поверхностного натяжения
;
коэффициент теплопроводности
.
Коэффициент теплоотдачи от стенки
труб к кипящей жидкости
b -
безразмерный коэффициент, определяемый из выражения
где
.
Принимаем тепловые проводимости
загрязнений стенок кипятильника со стороны:
конденсирующего пара
;
кипящей жидкости
.
Тепловая проводимость стенки
откуда находим ее термическое
сопротивление:
.
Удельный тепловой поток определяем
по выражению
или
, где
,
где
.
здесь К - коэффициент теплопередачи
;
- движущая
сила процесса теплопередачи, К.
Подставив значение величин
в формулу
удельного теплового потока, получим
После преобразования данного
уравнения находим
.
Уравнение решим графоаналитическим
методом. Задаваясь значениями q, вычисляем левую часть уравнения,
которую обозначили через y. Результаты расчетов сводим в табл.
1 и представим на рис. 3.
Таблица 1.
|
q
|
  y
|
|
|
|
|
11000
|
0,913
|
4,268
|
11,794
|
5,27
|
|
10000
|
0,804
|
3,888
|
11,428
|
4,42
|
|
9000
|
0,699
|
3,492
|
11,038
|
3,53
|
Рис. 3 График определения удельного теплового
потока
Из рис.6 следует что удельный
тепловой поток кипятильника равен q = 7300
.
Площадь поверхности теплоотдачи
кипятильника:
.
Выбираем кипятильник с площадью
поверхности теплообмена, равной 159
[4].
Разность температур кожуха
кипятильника
и греющих
трубок
равна:
Наибольшая допустимая разность
температур для кипятильников жесткой конструкции с диаметром кожуха 1200 мм и
давлением в нем менее 1 МПа составляет 60 К. Поэтому выбираем теплообменный
аппарат с жестко закрепленными трубными решетками типа Н.
Диаметр штуцера входа нагреваемой
жидкости Dвх=100 мм,
выхода нагретой Dвых=300 мм.
Соответствующие диаметры штуцеров колонны и кипятильника равны.
Условное обозначение аппарата:
Испаритель 600 ИН-2-6-6-М1-0/3-гр.Б, ГОСТ 15119-79 [4].
.3 Холодильник дистиллята
Определим необходимую площадь
поверхности теплообмена и подберем стандартный холодильник дистиллята.
Принимаем на выходе из холодильника
температуры дистиллята
°С и воды
°С.
Разность температур теплоносителей
на входе и выходе холодильника определим из температурного режима аппарата:
Средняя арифметическая разница
температур равна
.
Коэффициент теплопередачи в
холодильниках при охлаждении органических жидкостей водой для ориентировочных
расчетов рекомендуется брать в пределах К=120-270
[1].
Принимаем для расчета К=200
.
В этом случае площадь поверхности
теплообмена холодильника равна
.
Принимаем холодильник с площадью
поверхности теплообмена 16
[4]. Условное обозначение аппарата:
холодильник 400 ХНГ-6-6-М1-0/25-2-2-гр.Б, ГОСТ 15120-79.
.4 Холодильник кубового остатка
Рассчитаем необходимую площадь
теплообмена и выберем стандартный холодильник кубового остатка.
Принимаем для расчета:
коэффициент теплопередачи
;
температуру воды на выходе из
холодильника
°С;
температуру кубового остатка
°С.
Определим разность температур на
концах холодильника:
Средняя разность температур
.
Следовательно, необходимая площадь
поверхности теплообмена равна
.
Выбираем холодильник с площадью
поверхности теплообмена, равной 42
[4].
Условное обозначение аппарата:
Холодильник 400 ХНГ-6-6-М1-0/20-4-2-гр. Б, ГОСТ 15120-79.
.5 Подогреватель исходной смеси
разность температур теплоносителей
среднеарифметическую разность
температур теплоносителей:
.
Коэффициент теплопередачи в
подогревателях органических жидкостей водяным паром для ориентировочных
расчетов рекомендуется брать в пределах К=120-340
[1].
Принимаем К=200
.
Тогда необходимая площадь
теплообмена составит
.
По результатам расчета выбираем
одноходовой подогреватель с площадью поверхности теплообмена 17
[4].
Условное обозначение аппарата:
Теплообменник 325 ХНГ-40-М1-0/20-3-2-гр. Б, ГОСТ 15122-79.
6. Определение толщины слоя
термоизоляции аппарата
Учитывая значительные габариты
промышленной ректификационной колонны, ее и часть теплообменного оборудования
монтируют вне помещения. Определим толщину слоя теплоизоляционного материала
подогревателя исходной смеси. Принимаем, что пар движется в межтрубном
пространстве, а исходная смесь в трубном. Температура внутри аппарата достигает
°С.
Температура наружной поверхности изоляции недолжна превышать
°С. Примем
температуру воздуха
°С. В
качестве термоизоляционного материала используем асбестовое волокно, коэффициент
теплопроводности
[1].
Определим коэффициент теплоотдачи от
стенки корпуса колонны к воздуху за счет естественной конвекции. Предварительно
рассчитав значение критерия Грасгофа:
где Н = 13,7 м - высота колонны,
-
коэффициент кинематической вязкости воздуха при средней температуре:
°С;
Значение критерия Прандтля
;
Учитывая, что произведение
, для
расчета коэффициента теплоотдачи справедливо критериальное уравнение (4.48)
[1]:
,
где Prст=0,688 -
критерий Прандтля при температуре стенки, принятой 100°С.
Отсюда коэффициент теплоотдачи
конвекцией равен
.
Коэффициент теплоотдачи за счет
лучеиспускания
.
где
- коэффициент лучеиспускания абсолютно
черного тела,
;
- абсолютная температура стенки
313°К;
- абсолютная температура среды при t = -10°С,
°К;
Степень черноты наружной поверхности
колонны ε=0,85;
Суммарный коэффициент теплоотдачи от
стенки к воздуху
.
Находим удельный тепловой поток:
.
Принимая приближенно, что все
термическое сопротивление сосредоточено в слое изоляции, справедливо выражение 
откуда можно определить толщину слоя
изоляции:
.
7. Расчет толщины стенки корпуса
колонного аппарата
Определение толщины стенки колонны
проводим на примере тарельчатого аппарата, в котором перерабатываемая среда
является агрессивной. Наиболее устойчивой для данной среды является сталь Ст3
ГОСТ 380-88. Минимально необходимую толщину стенки находим:
,
где Р - расчетное давление, МПа;
-
внутренний диаметр колонны, м;
МПа - допускаемое напряжение для
выбранной стали;
-
коэффициент, учитывающий ослабление наличием сварного шва; П=0,1 мм/год - коррозийная
проницаемость; τ=10 лет - амортизационный срок
службы аппарата.
Расчетное давление определяем из
уравнения
,
где
- атмосферное давление;
- средняя
плотность толуола в колонне, Н=13,7 м - высота аппарата.
Отсюда номинальная толщина стенки
корпуса аппарата составляет
.
Из условий изготовления принимаем
толщину стенки
.
Заключение
В данном курсовом проекте произведен
расчет ректификационной установки с колпачковыми тарелками. Были определены:
диаметр колонны равный 600 мм; высота 8 м; количество орошаемых тарелок 18 шт.;
толщина изоляционного слоя 0,055 м; толщина стенки корпуса 5 мм.
Также рассчитано вспомогательное
оборудование: дефлегматор марки 600 ХКГ-4-16-М1-0/25-4-2 гр.Б; кипятильник
марки Испаритель 600 ИН-2-6-6-М1-0/3-гр.Б; один холодильник марки 400 ХНГ-6-6-М1-0/20-4-2-гр. Б,
другой холодильник марки 400 ХНГ-6-6-М1-0/20-4-2-гр. Б; а так же одноходовой
подогреватель 325 ХНГ-40-М1-0/20-3-2-гр. Б.
Библиографический список
1. Павлов К.Ф., Романков П.Г.,
Носков А.А., Примеры и задачи по курсу процессов и аппаратов химической
технологии. Учебное пособие для вузов - 13-е изд./ Под ред. чл.-корр. АН СССР
П.Г. Романкова. - М.: ООО ТИД «Альянс», 2006. - 576с.
2. Машины и аппараты химических
производств. Примеры и задачи/Под ред. В.Н. Соколова - Л.: Машиностроение,
1982. - 384с.
. Расчет ректификационных
установок: учебно-методическое пособие по курсовому проектированию/ В.А.
Кирсанов, Е.В. Сулима, И.А. Ершенко, А.Ф. Зубенко: Юж.- Рос.
гос.
технический
ун-т (НПИ)- Новочеркасск: ЮРГТУ (НПИ), 2010. - 94с.
. Основные процессы и
аппараты химической технологии: пособие по курсовому проектированию/ Г.С.
Борисов, В.П Брыков, Ю.И. Дытнерский и др. Ю.И. Дытнерского, 4-е изд.,
стереотипное.- М.: ООО ТИД «Альянс», 2008. - 496с.
. Криворот А.С. Конструкции и
основы конструирования машин и аппаратов химической промышленности. - М.: Машиностроение,
1992. - 400с.
. Касаткин А.Г. Основные
процессы и аппараты химической технологии.- М.: ООО ТИД «Альянс», 2005.- 753 с.
. Сиверский Б.И., Вернидуб
В.Д. Методические указания к курсовому проекту «Расчет ректификационной
установки» - Новочеркасск, изд. НПИ, 1983. - 40с.
. Машины и аппараты
химических производств/ Под ред. И.И. Чернобыльского М.: Машиностроение, 1975.
- 454с.
9. Чернобыльский И.И. «Машины и
аппараты химических производств», Москва, изд. 3-е «Машиностроение», 1975. -
456с.