Механическое и естественное движение населения
Содержание
Введение
. Экономическая сущность статистики населения
.1 Задачи статистики населения
.2 Виды группировки населения
.3 Показатели численности населения
. Статистический анализ социально-экономического
развития в Ивановской области
.1 Анализ результатов группировки регионов РФ
.2 Анализ динамики формирования валового
продукта в Ивановской области
.3 Анализ движения населения Ивановской области
.4 Анализ доходов населения в Ивановской области
Заключение
Список используемой литературы
Приложения
Введение
Статистика населения является
самой древней отраслью статистики. В глубокой древности первые учетные операции
проводились в связи с учетом населения в военных и хозяйственных целях
(воинские повинности, обложение налогом и пр.). Определенные закономерности при
изучении массовых данных впервые также выявлены в области таких явлений, как
рождаемость и смертность населения.
В статистике населения объектом
статистического наблюдения могут быть самые разные совокупности: население в
целом (постоянное или наличное), отдельные группы населения (трудоспособное
население, безработные, пенсионеры, городское население или сельское, мужчины
или женщины и т. д.), молодые семьи (или, наоборот, пожилые), родившиеся За
год (или иной период) или умершие и т. д.
Объект и единица наблюдения
выбираются в зависимости от цели исследования.
Одной из важнейших проблем
демографии является движение населения. Это сложный общественный процесс,
затрагивающий многие социально-экономические аспекты жизни населения.
Движение изменяет структуру и
численность населения. Миграционные потоки (механическое движение населения)
устремляются из одних регионов и стран в другие. Миграция обеспечивает
несомненные преимущества странам и регионам, принимающим рабочую силу и
поставляющим ее, иногда же оказывает крайне негативное влияние на
экономическое, социальное положение страны.
С миграцией населения связаны
многие процессы в жизни человека: расселение, освоение новых земель,
перераспределение трудовых ресурсов между городами, регионами, странами.
Естественное движение влияет на
демографическую ситуацию через такие процессы как рождаемость и смертность.
Немалое внимание их
регулированию и стимулированию (а иногда и ограничению) уделяют правительства
стран. Их исследованием занимается целый ряд наук, таких как демография,
статистика, экономика.
Цель данной работы -
рассмотрение самих понятий механического и естественного движения населения.
Все эти вопросы очень важны, и
в данной работе будет рассмотрена нынешняя ситуация, связанная с движением
населения.
Предметом изучения являются
показатели рождаемости, смертности, продолжительности жизни, браков и разводов,
общего движения населения и т.д.
1. Экономическая сущность
.1 Задачи статистики населения
Население, как предмет изучения
в статистике, представляет собой совокупность людей, проживающих на
определенной территории и непрерывно возобновляющихся за счет рождений и
смертей.
В статистике населения единицей
наблюдения чаще всего является отдельный человек как индивидуум, однако может
быть и семья. В отличие от семьи под домохозяйством понимают совместно
проживающих и ведущих общее хозяйство людей (необязательно родственников).
Домохозяйство, в отличие от семьи, может состоять и из одного человека,
обеспечивающего себя материально.
К числу основных характеристик
состава населения, значимых с точки зрения социальных процессов, относятся:
образование, квалификация, занимаемая должность, профессия, принадлежность к
отраслям экономики и другие. Большое значение имеет группировка населения по источникам
средств существования, отношениям собственности, экономической нагрузке в
семье. Социальную дифференциацию позволяют раскрыть демографические (пол,
возраст, брачное состояние, состав семьи) и этнические (национальность, язык)
характеристики. Для решения многих социальных задач необходимы группировки
населения, объединяющие сельских жителей, горожан, жителей крупных городов.
Основным источником
статистических данных являются текущий учет и единовременные наблюдения в виде
сплошных или выборочных переписей. Причем первоисточником сведений о населении
являются переписи. Они дают наиболее полные и точные сведения о численности
населения. Текущий учет родившихся, умерших, прибывших на ту или иную
территорию и выбывших с нее позволяет определить численность населения ежегодно
на основе итогов последней переписи.
В переписях населения изучаются
следующие вопросы:
• численность и размещение
населения по территории страны, по городским и сельским типам населения,
миграция населения;
• структура населения по полу,
возрасту, брачному состоянию и семейному положению;
• структура населения по
национальной принадлежности, родному и разговорному языку, по гражданству;
• распределение населения по
уровню образования, по источникам средств существования, по отраслям народного
хозяйства, по занятиям и положению в занятии;
• социальная характеристика
населения;
• рождаемость;
• жилищные условия населения.
В промежутках между переписями
для получения важных данных о демографических и социальных процессах,
происходящих в обществе, проводятся обычно выборочные обследования
(микропереписи населения), охватывающие 5% постоянного населения.
В публикуемых итогах переписей
и микропереписей приводятся данные по стране в целом, по областям, краям,
автономным республикам, городскому и сельскому населению. Таким образом, каждые
пять лет обновляется информация о составе населения. Кроме того, наиболее
важные характеристики исчисляют на начало каждого года межпереписного периода.
Их получают путем корректировки данных переписи с учетом текущих изменений
(рождений, смертей, смены места жительства).
Существует только один путь к
решению проблемы - проведение специальных выборочных обследований, где на
индивидуальном уровне совмещались бы данные о потреблении и личных
характеристиках опрашиваемых. Такой подход в государственной статистике
реализуется в форме текущего обследования семейных бюджетов населения. С их
помощью успешно исследуются вопросы потребления продуктов питания и некоторых
других составляющих потребительского бюджета. Кроме того, по мере необходимости
проводятся единовременные обследования. Они осуществляются службами
государственной статистики и иными организациями и касаются наиболее актуальных
проблем потребления и развития отраслей инфраструктуры
Со временем меняется не только
состав населения, но и принципы, и методы его изучения. В настоящее время
принципы статистики населения приближаются к международному стандарту.
.2 Виды группировки населения
Такую сложную совокупность, как
население, отдельные элементы которой обладают многими варьирующими признаками,
невозможно изучить без распределения его на отдельные группы и подгруппы.
Различного рода группировки населения дают представление о его составе по
разным показателям.
Прежде всего данный процесс
связан с действием общих методических принципов - типологических, структурных,
аналитических. Можно отметить несколько принципов, важных при построении
группировок населения:
• наиболее детальный перечень
групп уместен, если данная характеристика представлена автономно, без комбинации
с другими признаками (по возрасту, по профессиям с детальным перечнем
профессий);
• в случае комбинационных
группировок применяются укрупненные интервалы для избежания чрезмерного
дробления материала;
• некоторые признаки
используются как сквозные, т. е. они участвуют почти во всех комбинационных
группировках со става населения. Это пол, возраст, образование, а также деление
населения на городское и сельское;
• в рядах распределения
значения атрибутивных признаков даются по возможности в ранжированной
последовательности;
• для обеспечения
сопоставимости данных сохраняются, на сколько это возможно и целесообразно,
схемы группировок предыдущих переписей населения или они представлены в виде,
удобном для приведения к сопоставлении путем укрупнения интервалов;
• используются единые
группировки при разработке данных по разным территориям страны;
• при изменении со времени
проведения предыдущей переписи административных границ какой-либо территории
информация об этом дается в виде примечания, и сведения приводятся в двух
вариантах - в пересчете на единые границы и в пределах границ соответствующих
лет.
Среди группировок в статистике
населения в первую очередь выделяются сугубо демографические, к которым
относятся группировки населения по полу, возрасту, семейному положению,
национальности.
Группировка населения по полу
позволяет определить численность и долю мужчин и женщин в общей численности
населения. Данная группировка более интересна по отдельным регионам, районам.
Данные о половом составе, приведенные по территориям, дают представления о
равномерном или неравномерном соотношении мужчин и женщин в отдельных регионах
страны.
Группировка населения по
возрасту также является одной из главных и важных в статистике населения.
Возрастные интервалы обычно представлены в следующих вариантах: одногодичные,
пятилетние и десятилетние. Выделяются группы лиц моложе трудоспособного
возраста, трудоспособного и старше трудоспособного возраста.
В любом государстве проживают
лица разных национальностей, поэтому при разработке материалов переписей, как
правило, дается распределение населения по национальному составу.
Важное значение в статистике
населения имеет группировка населения по семейному состоянию. Материалы
переписей по этому вопросу могут разрабатываться по-разному. Иногда просто
определяют число лиц, состоящих и не состоящих в браке. При таком делении
последняя группа объединяет и овдовевших, и разведенных, и тех, кто еще не
вступал в брак, т. е. эта группа весьма неоднородна по своему составу.
Помимо перечисленных выше
сугубо демографических группировок, в статистике разрабатывается целый ряд
группировок по другим показателям как для всего населения в целом, так и для
отдельных его контингентов.
Так, среди лиц трудоспособного
возраста определяют прежде всего численность занятых в экономике и безработных.
Важное значение имеет
группировка населения по источникам средств существования.
При разработке материалов
переписи населения большое внимание уделяется характеристике уровня образования
всего населения и занятого. В итогах переписей дается распределение всего (в
возрасте 15 лет и старше) и занятого по следующим группам уровня образования:
высшее, незаконченное высшее, среднее специальное, среднее общее, неполное
среднее.
1.3 Показатели численности
населения
статистика население экономический движение
Население - совокупность лиц,
проживающих на определенной территории.
Население делится на:
) постоянное (ПН): лица,
постоянно проживающие на данной территории, независимо от их нахождения в
момент переписи;
) наличное (НН): лица, которые
на момент переписи фактически находятся на данной территории, независимо от
места постоянного жительства.
Кроме того, учитываются
временно проживающие (ВП) и временно отсутствующие (ВО). Данные о наличном
населении используются при организации работы транспорта, торговли,
водоснабжения, и т.д. Данные о ПН используются при планировании жилищного
строительства, школ, больниц, и т.д. Между перечисленными показателями
существует зависимость.
(1) ,
где :
1) численность населения на начало года (Sнг)
) численность родившихся (N)
3) численность умерших (M)
Для проведения экономических расчетов нужно
знать среднюю численность населения за определенное время, рассчитать этот
показатель по формуле (2):
(2)
Изменение численности за счет рождения и смертей
называют естественным движением населения, рассчитать эти показатели можно по
формулам (3) и (4). Общие показатели естественного движения населения :
. Общий коэффициент рождаемости. - число
родившихся за год на 1000 человек среднегодовой численности населения.
. Общий коэффициент смертности. - число смертей
за год на 1000 человек среднегодовой численности населения.
(‰) (3)
(‰) (4)
. Коэффициент естественного прироста, находится
по формуле (5).
(‰) (5)
. Коэффициент жизненности населения (коэффициент
Покровского). Коэффициент жизненности Покровского (Кж) находится как
частное между количеством родившихся и умерших:
(6)
Механическое изменение - изменение численности
населения за счет территориального перемещения людей, т.е. за счет миграций,
которые бывают:
* внешние;
* внутренние;
* сезонные;
* маятниковые.
Абсолютный показатели :
) численность прибывших (П)
) численность выбывших (В)
Абсолютный механический прирост :
Пмех.= П - В (7)
Интенсивность механического движения
характеризуют следующие относительные показатели: 1 ) коэффициент прибытия (8):
(‰) (8)
) коэффициент выбытия (9):
(‰) (9)
) коэффициент механического прироста (10)
(‰) (10)
Для характеристики изменения численности за счет
естественного движения населения и за счет миграций рассчитывается коэффициент
общего прироста (11):
(‰) (11)
Между общими и специальными коэффициентами
существует зависимость - любой общий коэффициент можно представить как среднее
арифметическое из частных коэффициентов, взвешенных по численности групп
населения или их доле в общей численности.
. Статистический анализ социально-экономического
развития Ивановской области
.1 Анализ результатов группировки регионов РФ
Основные социально-экономические показатели за
2013 г. представлены в приложении 1.
)Построим структурную группировку. В качестве
группировочного признака возьмем валовой региональный продукт. Образуем группы
регионов с равными интервалами.
Определение числа групп можно осуществить с
помощью формулы Стерджесса:
(9)
где n
- число групп;
N - число единиц в
совокупности;
(ед)
Величина равного интервала определяется по
следующей формуле:
(10)
где xmaxиxmin
- максимальное и минимальное значения признака в совокупности.
(млрд. руб.)
Таким образом мы получили следующие интервалы:
Первый интервал: [65,2;148,3) (млрд. руб.);
Второй интервал: [148,3;231,4) (млрд. руб.);
Третий интервал:[231,4;314,6) (млрд. руб.);
Четвертый интервал: [314,6;397,7) (млрд. руб.);
Пятый интервал:[397,7;408,8] (млрд. руб.).
Распределим регионы по группам, подсчитаем их
число в каждом интервале (приложение 2).
Результаты группировки заносятся в сводную таблицу,
и определяются общие итоги по совокупности единиц наблюдения по каждому
показателю (таблица 1)
Таблица 1 - Типологическая группировка регионов
по величине валового регионального продукта[16]
|
Интервал,
млрд. руб.
|
Количество
регионов, ед.
|
Валовой
региональный продукт, млрд. руб.
|
Среднегодовая
численность занятых в экономике, тыс. чел.
|
Основные
фонды в экономике, трлн. руб.
|
Продукция
сельского хозяйства, трлн.руб.
|
|
65,2-148,3
|
5
|
587,6
|
1663,9
|
1655,1
|
102,3
|
|
148,3-231,4
|
4
|
738,9
|
1603,2
|
2136,8
|
114,0
|
|
231,4-314,6
|
7
|
1941,6
|
3862,1
|
6029,6
|
270,9
|
|
314,6-397,7
|
2
|
680,7
|
1210,5
|
2352,1
|
46,9
|
|
397,7-408,8
|
2
|
949,4
|
1044,3
|
3337,2
|
20,3
|
|
Итого
|
20
|
4898,2
|
9384
|
15510,8
|
554,4
|
Для того чтобы выявить закономерности
распределения регионов по величине валового регионального продукта, заменим
абсолютные показатели, характеризующие выделенные группы, относительными
показателями структуры (таблица 2).
Из таблицы 2 видно, что количество регионов в
третьем интервале преобладает 35%, а минимальное количество регионов приходится
на 5 и 4 интервал 10 %. Более конкретный анализ можно сделать на основе
аналитической группировки.
Таблица 2 - Структурная группировка регионов по
величине валового регионального продукта[16]
|
Интервал,
млрд. руб.
|
Число
регионов, % к итогу
|
Валовой
региональный продукт, % к итогу
|
Среднегодовая
численность занятых в экономике, % к итогу
|
Основные
фонды в экономике, % к итогу
|
Продукция
сельского хозяйства, % к итогу
|
|
65,2-148,3
|
25,0
|
12,0
|
17,7
|
10,7
|
18,5
|
|
148,3-231,4
|
20,0
|
15,1
|
17,1
|
13,8
|
20,6
|
|
231,4-314,6
|
35,0
|
39,6
|
41,2
|
38,9
|
48,9
|
|
314,6-397,7
|
10,0
|
13,9
|
12,9
|
15,2
|
8,5
|
|
397,7-408,8
|
10,0
|
19,4
|
11,1
|
21,5
|
3,7
|
|
Итого
|
100,0
|
100,0
|
100,0
|
100,0
|
100,0
|
Построим аналитическую группировку. В качестве
факторного признака примем валовой региональный продукт. Результаты группировки
изложены в таблице 3.
Таблица 3 - Аналитическая группировка регионов
по величине валового регионального продукта[16]
|
Интервал,
млрд. руб.
|
Валовой
региональный продукт
|
Среднегодовая
численность занятых в экономике
|
Основные
фонды в экономике
|
Продукция
сельского хозяйства
|
|
Млрд.
руб.
|
Млрд.
руб. / регион
|
Тыс.
чел.
|
Тыс.
чел. / регион
|
Млрд.
руб.
|
Млрд.
руб. / регион
|
Тыс.
чел.
|
Тыс.
чел. / регион
|
|
65,2-148,3
|
587,6
|
117,5
|
1663,9
|
332,8
|
1655,1
|
331,0
|
102,3
|
20,5
|
|
148,3-231,4
|
738,9
|
184,7
|
1603,2
|
400,8
|
2136,8
|
534,2
|
114
|
28,5
|
|
231,4-314,6
|
1941,6
|
277,4
|
3862,1
|
551,7
|
6029,6
|
861,4
|
270,9
|
38,7
|
|
314,6-397,7
|
680,7
|
340,4
|
1210,5
|
605,3
|
2352,1
|
1176,1
|
46,9
|
23,5
|
|
397,7-408,8
|
949,4
|
474,7
|
1044,3
|
522,2
|
3337,2
|
1668,6
|
20,3
|
10,2
|
|
Итого
|
4898,2
|
1394,7
|
9384,0
|
2412,7
|
15510
|
4571,2
|
554,4
|
121,3
|
Данные, представленные в таблице 3, показывают,
что с ростом валового регионального продукта наблюдается рост стоимости
среднегодовой численности занятых в экономике, основных фондов в экономике и
продукции сельского хозяйства.
Построим гистограмму, на оси абсцисс которой
откладываются величины интервалов (рисунок 1).
Рисунок 1 - Гистограмма распределение регионов
по уровню валового регионального продукта, млрд. руб.
)Рассчитаем среднее арифметическое простое,
среднее арифметическое взвешенное и среднее арифметическое квадратичное.
Таблица 4 - Вспомогательная расчетная таблица.
|
Интервал
|
Среднегодовая
численность занятых в экономике, тыс. чел.(fi)
|
Середина
интервала, млрд.руб. xi
|
xi · fi
|
xi2
|
xi2*fi
|
|
65,2-148,3
|
1663,9
|
106,75
|
62886,43
|
11395,5625
|
6713125,869
|
|
148,3-231,4
|
1603,2
|
189,85
|
436825,9
|
36043,0225
|
82931390,47
|
|
231,4-314,6
|
3862,1
|
273
|
846736,8
|
74529
|
231159146,4
|
|
314,6-397,7
|
1210,5
|
356,15
|
701971,7
|
126842,8225
|
250007203,1
|
|
397,7-408,8
|
1044,3
|
806,5
|
842228
|
650442,25
|
679256841,7
|
|
Итого
|
9384,0
|
1732,25
|
2890649
|
899252,6575
|
1250067708
|
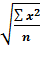
Среднее арифметическое простое определяется по
следующей формуле:
Хср.ар.пр.=
.=
= 244,9 (млрд.руб.) (11)
Среднее арифметическое взвешенное определяется
по следующей формуле:
Хср.ар.взв.=
=
=
299,3 (млрд.руб.) (12)
Среднее простое квадратическое определяется по
следующей формуле:
Xср.пр.кв.=
=
=
1095,3 (млрд.руб.) (13)
Xср.кв.взв.
=
=
372,54 (млрд.руб.) (14)
На основе данных, представленных в таблице 5,
рассчитаем абсолютные и относительные величины (таблица 6).
Таблица 5- Данные о валовом региональном
продукте[16]
|
Интервал
|
Среднегодовая
численность занятых в экономике, тыс. чел.
|
xi
|
|
|
|
65,2-148,3
|
102,3
|
106,75
|
19697,9
|
3792823,9
|
|
148,3-231,4
|
114
|
12477,3
|
1365640,5
|
|
231,4-314,6
|
270,9
|
273
|
7124,7
|
187378,8
|
|
314,6-397,7
|
46,9
|
356,15
|
2666,3
|
151577,2
|
|
397,7-408,8
|
20,3
|
806,5
|
10296,2
|
10296,2
|
|
Итого
|
554,4
|
1732,25
|
52262,3
|
5507716,537
|
Таблица 6 - Расчет абсолютных и относительных
величин
|
Показатель
|
Формула
|
Значение
|
|
Абсолютные
величины
|
|
Размах
вариации
|
R=xmax-xmin
|
415,6млрд.руб.
|
|
Среднее
линейное отклонение
|
L=
|
94,26млрд.руб.
|
|
Дисперсия
|
Ϭ2=
|
9934,2млрд.руб.
|
|
Среднее
квадратическое отклонение
|
Ϭ=
|
99,6млрд.руб.
|
|
Относительные
величины
|
|
Линейный
коэффициент вариации
|
VL =
|
31,49%
|
|
Коэффициент
осцилляции
|
VR =
|
74,96%
|
|
Коэффициент
вариации
|
V =
|
33,3%
|
Так как коэффициент вариации больше 33%,
следовательно, совокупность данных является неоднородной. Средняя величина ВРП
299,3 млрд. руб. является нетипичной для данной совокупности.
.2 Анализ динамики формирования ВРП в Ивановской
области
Построим график динамики валового регионального
продукта (рисунок 2), на оси абсцисс которого будут располагаться годы, а на
оси ординат - ВРП Краснодарского края.
Таблица 7 - Абсолютные и относительные
показатели динамики валового регионального продукта в Ивановской области[16]
|
Годы
|
ВРП,
млрд.руб.
|
Абс.откл.,
млрд.руб.
|
темп
роста, %
|
темп
прироста, %
|
|
|
цепное
|
базисное
|
цепной
|
базисный
|
цепной
|
базисный
|
|
1
|
2
|
3
|
4
|
5
|
6
|
7
|
8
|
|
2004
|
40,16
|
-
|
-
|
-
|
-
|
-
|
-
|
|
2005
|
44,42
|
4,26
|
4,26
|
110,61
|
110,61
|
10,61
|
10,61
|
|
2006
|
55,09
|
10,67
|
14,93
|
124,02
|
137,18
|
24,02
|
37,18
|
|
2007
|
74,75
|
19,66
|
34,59
|
135,69
|
186,13
|
35,69
|
86,13
|
|
2008
|
86,98
|
12,23
|
46,82
|
116,36
|
216,58
|
16,36
|
116,58
|
|
2009
|
87,06
|
0,08
|
46,90
|
100,09
|
216,78
|
0,09
|
116,78
|
|
2010
|
98,21
|
11,15
|
58,05
|
112,81
|
244,55
|
12,81
|
144,55
|
|
2011
|
128,91
|
30,70
|
88,75
|
131,26
|
320,99
|
31,26
|
220,99
|
|
2012
|
136,51
|
7,60
|
96,35
|
105,90
|
339,92
|
5,90
|
239,92
|
|
2013
|
157,74
|
21,23
|
117,58
|
115,55
|
392,78
|
15,55
|
292,78
|
Таким образом, мы пришли к выводу, что за период
с 2004 по 2013 годы валовой региональный продукт Ивановской области возрос на
117,58 млрд. руб. или на 292,78%, что, по сравнению с Тамбовской областью
(179,08млрд.руб.) , меньше на 61,5млрд. руб.
Рисунок 2 - Распределение ВРП Ивановской области
по годам, млрд. руб.
Наибольший прирост ВРП, по сравнению с
предыдущим годом, наблюдался в 2011 году и составлял 30,7млрд. руб. или 31,26%,
что, по сравнению с Тамбовской областью(34,26млрд.руб.), меньше на 3,56млрд.
руб. или на 7,3%
Наибольшее сокращение прироста ВРП, по сравнению
с предыдущим годом, наблюдалось в 2009 году и составляло 0,08 млрд. руб. или
0,09%, что заметно больше, чем в Тамбовской области(15,48млрд.руб.), где
сокращения ВРП в данном периоде времени не наблюдалось. На основе данных
динамики валового регионального продукта Владимирской области построим парную
линейную регрессионную модель вида: y=b0+b1*t.
Для этого составим таблицу необходимых для расчета данных (таблица 8).
Таблица 8 - Данные для построения парной
линейной регрессии [16]
|
Годы
|
ВРП
|
Время,
годы, t
|
y*t
|
t2
|
|
2004
|
40,16
|
1
|
40,16
|
1
|
|
2005
|
44,42
|
2
|
88,84
|
4
|
|
2006
|
55,09
|
3
|
165,27
|
9
|
|
2007
|
74,75
|
4
|
299
|
16
|
|
2008
|
86,98
|
5
|
434,9
|
25
|
|
2009
|
87,06
|
6
|
522,36
|
36
|
|
2010
|
98,21
|
7
|
687,47
|
49
|
|
2011
|
128,91
|
8
|
1031,28
|
64
|
|
2012
|
136,51
|
9
|
1228,59
|
81
|
|
2013
|
157,74
|
10
|
1577,4
|
100
|
|
Итого
|
909,83
|
55
|
6075,27
|
385
|
|
Среднее
|
90,983
|
5,5
|
607,527
|
38,5
|
Для построения парной регрессии необходимо использовать
следующие формулы:
(14)
(15)
(16)
Получили значения:
(млрд. руб. / год)
(млрд. руб.)
В результате подсчета была получена модель
временного ряда:
(млрд. руб.)
(млрд. руб.)
В год средний наблюдаемый прирост валового
регионального продукта составляет 13,02 млрд. руб., что меньше на 7,2 млрд.
руб. в Тамбовской области. Согласно прогнозам в 2014 и 2015 годах в Ивановской
области ожидается валовой региональный продукт в размерах 162,59млрд. руб. и
175,61млрд. руб. соответственно, что меньше ожидаемых результатов в Тамбовской
области, а именно, 237,2 млрд. руб. в 2014 году и 256,01 млрд. руб. в 2015
году.
.3 Анализ движения населения Ивановской области
Проведем анализ движения населения в Ивановской
области, для этого воспользуемся следующими исходными данными:
) Численность населения на начало 2013 года (Sнг)
- 1049 тыс. чел.
) Численность родившихся (N)
- 11,732 тыс. чел.
) Численность умерших (M)
- 17,038 тыс. чел.
) Численность прибывших (П) - 29,6 тыс. чел.
) Численность выбывших (В) - 30,125 тыс. чел.
) Численность городского населения (Sгор)
-850,7 тыс. чел.
) Численность экономически активного населения (Sэан)
- 547 тыс. чел.
Найдем численность населения на конец 2013 года
по следующей формуле:
(17)
(тыс.чел.)
Численность населения Ивановской области на конец
2013 года составляет 1043 тыс. чел., что меньше данных по Тамбовской области на
30 тыс.чел., где численность населения на конец года составила 1073 тыс.чел.
Определим среднегодовую численность населения по
формуле:
, (18)
1046(тыс. чел.)
Среднегодовая численность населения на
территории Ивановской области за 2013 год составлял 1046 тыс. чел., что меньше
численности населения по Тамбовской области на 23 тыс. чел., где среднегодовая численность
населения составляла 1 069 тыс.чел.
Найдем общие коэффициенты естественного и
механического (Кмех.пр.) движения населения и коэффициент
жизненности Покровского (Кж).
Естественный прирост (убыль) населения (Кест.пр.)
находится следующим образом:
(19),
(тыс. чел.)
Естественная убыль населения на территории
Ивановской области на 2013 год составляла 5,3 человек, что характерно и для
Тамбовской области, где тоже наблюдается убыль населения на 7,02 тыс. чел.
Коэффициент рождаемости (Кр)
находится следующим образом:
(‰), (20),
(‰)
Коэффициент рождаемости составлял 11,21 ‰, то
есть в среднем 11,21 человек рождались живыми в расчете на 1000 человек населения
в Ивановской области, что на 1,63‰ больше, чем в Тамбовской области, где данный
показатель равен 9,58 ‰.
Коэффициент смертности (Ксм) :
(‰), (21),
(‰)
Коэффициент смертности составлял 16,28‰, то есть
в среднем на 1000 человек населения число умерших равно 16,28 человек, что на
0,16‰больше, чем данные по Тамбовской области, где коэффициент смертности
составил 16,12‰. Коэффициент естественного прироста (Кест.пр.):
(‰), (22),
5,07 (‰)
Коэффициент естественного прироста равен 5,07‰,
то есть в среднем на 5,07 человек приросла численность населения в расчете на
1000 человек, проживающих на территории Ивановской области, что больше данных
по Тамбовской области, где данный показатель равен 0,3‰.
Коэффициент жизненности Покровского (Кж)
находится как частное между количеством родившихся и умерших:
(23),
Коэффициент жизненности покровского равен 0,68
что говорит о превышении числа родившихся над числом умерших, что незначительно
стабильнее и лучше, чем в Тамбовской области, где наблюдалось состояние
приближенное к «демографической зиме». Коэффициент интенсивного оборота
населения (Коб) можно определить по следующей формуле:
(‰), (24),
(‰)
Коэффициент интенсивного оборота населения равен
27,5‰, значит, оборот населения Ивановской области составлял 27,5 человек на
1000 человек населения, что больше, чем в Тамбовской области на 2,2‰. Искомый
коэффициент в Тамбовской области составил 25,7‰.
Коэффициент эффективности воспроизводства
населения (Кэф.восп.):
(%), (25),
(%)
Коэффициент эффективности воспроизводства
населения равен 18,44%, что говорит о том, что на 100 человек оборота населения
приходится убыль населения в 18,44человека. Для сравнения данный показатель в
Тамбовской области равен 25,47%.
Механическое движение населения - это
перемещение населения в определенных границах территории.
Механический прирост (убыль) населения или
сальдо миграции (∆мигр) можно найти как разность между
количеством прибывших и выбывших человек.
(тыс. чел.) (26)
Валовая миграция есть сумма прибывшего и
выбывшего населения на определенной территории, в данном случае, на территории
Ивановской области наблюдается убыль и она равна 0,5 тыс. чел.
Найдем показатели механического движения
населения.
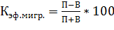
Коэффициент эффективности миграции (Кэф.мигр.)
находится по следующей формуле:
(%), (27),
(%)
Таким образом, в среднем 0,88 человек приходится
на 100 человек миграционного оборота населения, что в 0,88% больше, чем в
Тамбовской области, где данный показатель равен 0,23%.
Коэффициент интенсивности миграционного оборота
(Кмигр.об.):
(‰), (28),
(‰)
Коэффициент интенсивности миграционного оборота
равен 57,09‰, следовательно, 57,09‰ миграционного оборота приходится на 1000
человек населения Ивановской области, что на 19,17‰ меньше, чем в Тамбовской
области, где данный показатель равен 76,26‰.
Коэффициент механического прироста (убыли)
населения (Кмех.пр.) можно найти по формуле:
(‰), (29),
(‰)
Коэффициент механической убыли населения
Ивановской области составил 5,07 ‰, таким образом, наблюдается убыль населения
в расчете 5,07 человек на 1000 человек населения области, что нехарактерно для
данных по Тамбовской области, где наблюдается небольшой прирост населения. Для сравнения
коэффициент механического прироста в Тамбовской области составлял 0,17‰.
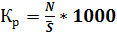
Коэффициент выбытия (Квыб.) в
Ивановской области находится по формуле (30) и равен 28,8‰, что говорит о том,
что в данной области 28,8 человек выбыло в расчете на 100 человек населения,
что больше на 1,48‰, чем в Тамбовской области.
(‰), (30),
(‰)
Коэффициент прибытия (Кпр.) в
Ивановской области находится по формуле (31) и равен 28,3‰, что говорит о том,
что в данной области 28,3человек прибыло в расчете на 100 человек населения,
что больше на 15,97‰ , чем в Тамбовской области, где данный показатель составил
12,33 ‰.
(‰), (31),
(‰)
Коэффициент общего прироста населения есть сумма
механического и естественного прироста населения (32). В Ивановской области он
равен 0,1‰, что говорит об общей убыли 0,1 человека в расчете на 1000 человек
населения. В Тамбовской области так же наблюдается убыль населения на 6,36‰ .
(‰) (32)
(‰)
Доля городского населения (Кгор.)
находится как отношение численности городского населения к общей численности
населения данной территории (33). В Ивановской области данная доля равна
81,32‰,то есть 81,32 человека городского населения приходится на 100 человек
общей численности населения территории. В Тамбовской области же доля городского
населения чуть превышает 59 %.
(%), (33),
(%)
Уровень экономической активности населения (КЭАН)
находится по следующей формуле:
(%), (34),
(%)
Уровень экономической активности населения составляет
52,3%, то есть из 100 человек населения Ивановской области 52,3 человек
экономически активны, что превышает данные по Тамбовской области примерно на
2,44%. В Тамбовской же области уровень экономической активности населения
составил 49,86%.
.4 Анализ доходов и расходов населения в
Ивановской области
Проведем анализ численности населения по
величине среднедушевых денежных доходов в 2013 году, для этого воспользуемся
вспомогательной таблицей 9.
Таблица 9 - Вспомогательная таблица по
распределению численности населения по величине среднедушевых доходов в
ивановской области в 2013.
|
Величина
среднедушевых доходов населения, тыс.руб.
|
Структура
населения, %
|
|
|
S,%
|
|
1
|
2
|
3
|
4
|
5
|
|
0-5
|
6
|
2,5
|
15
|
6
|
|
5-7
|
8,4
|
6
|
50,4
|
14,4
|
|
7-10
|
15,2
|
8,5
|
129,2
|
29,6
|
|
10-14
|
18,8
|
12
|
225,6
|
48,4
|
|
14-19
|
17,5
|
16,5
|
288,75
|
65,9
|
16,4
|
23
|
377,2
|
82,3
|
|
27-45
|
13
|
36
|
468
|
95,3
|
|
45-65
|
4,7
|
55
|
258,5
|
100
|
|
Итого
|
100
|
-
|
1812,65
|
-
|
Среднедушевой месячный доход населения (
)
Ивановской области равен 18,13 тыс.руб. (35), что больше, чем в Тамб. области,
на 0,6 тыс. руб.
(тыс. руб.) (35)
Модальный доход находится по формуле (36) и
равен 12,93 тыс. руб. по данным Ивановской области, то есть 12,93 тыс. руб. -
это доход, чаще всего встречающийся в данном регионе, и который меньше
модального дохода в Тамбовской области, а именно, на 2,39 тыс. руб.
(36)
(тыс. руб.)
В Ивановской области он равен 14,45 тыс. руб.,
то есть 50% населения данного региона имеют доход меньше 14,45 тыс. руб.,
который немного ниже данного показателя по Тамб. области, где показатель равен
17,68 тыс. руб.
(37)
= 14,45 (тыс. руб.)
Нижний квартиль находится по формуле (38). В
Ивановской области он равен 9,09 тыс. руб., то есть 25% населения получают
доходы ниже 9 090руб, что больше, чем в Тамбовской области, где нижний квартиль
равен 8 840 руб.
(38)
(тыс. руб.)
Верхний квартиль (39) в Ивановской области равен
27тыс. руб., то есть 75% населения данного региона имеют доход свыше 27 000
рублей, что выше дохода по Тамбовской области, который составляет 22 490 руб.
(39)
(тыс. руб.)
Нижний дециль (40) в Ивановской составляет 5,95
тыс. руб., то есть 10% населения данного региона имело в 2013 году доход 5 950
рублей. Верхний дециль (41) же равен 51,5 тыс. руб., то есть 90% населения
имело доход свыше 51 500 тыс. руб.
Эти показатели по Ивановской области
незначительно выше, чем по Тамбовской области, а именно, 5 510 руб. и 41 600
руб., соответственно.
(40)
(тыс. руб.)
(41)
(тыс. руб.)
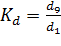
Децильный коэффициент дифференциации доходов (Kd)
населения Ивановской области составил 8,65 (42), то есть во столько раз
минимальные доходы 10% самого богатого населения превышают доходы наименее
обеспеченного населения, что на 1,13 больше данных по Тамбовской области.
(42)
=8,65
Коэффициент фондов (45) в Ивановской области
составляет 20 , то есть во столько раз средний доход 10% наиболее обеспеченного
населения больше среднего дохода 10% населения с самыми низкими доходами. Для
сравнения, в Тамбовской области этот показатель равен 14,10.
(43)
(тыс. руб.)
(44)
(тыс. руб.)
(45)
(тыс. руб.)
На основе имеющихся данных о распределении
общего дохода населения по Ивановской области в 2013 году определим коэффициент
концентрации Джинни, для этого воспользуемся разработочной таблицей 10.
Таблица 10 - Разработочная таблица распределения
общего дохода населения
|
Группы
населения
|
Тамбовская
область
|
Ивановская
область
|
|
yi,%
|
Cum yi, %
|
yi,%
|
Cum yi, %
|
|
1
|
5,3
|
5,3
|
6,3
|
6,3
|
|
2
|
10
|
15,3
|
11,1
|
17,4
|
|
3
|
15
|
30,3
|
16
|
33,4
|
|
4
|
22,6
|
52,9
|
22,9
|
56,3
|
|
5
|
47,1
|
100
|
43,7
|
100
|
|
Итого
|
100
|
203,8
|
100
|
213,4
|
Так как у нас 5 групп населения, то мы будем
использовать формулу (47).
(47)
В Ивановской области:
(%)
В Тамбовской области:
(%)
В Ивановской области КG
равен 34,64%, а в Тамбовской области - 38,48%, то есть можно сделать вывод, что
в Ивановской области концентрация доходов относительно невысока и немного ниже,
чем в Тамбовской области, а именно, на 3,84%.
Согласно статистическим данным о потреблении
населения Ивановской области на душу населения продуктов питания и ценах на
него в регионе в 2005г. и 2013г., представленных в таблице 11, определим
агрегатные индексы цен, физического объема и стоимости, абсолютный прирост
стоимости потребления продуктов питания вследствие изменения цен и физического
объема потребления, а также индексы цен Пааше и Ласпейреса.
Таблица 11 - Статистические данные о потреблении
населения Ивановской области на душу населения продуктов питания и ценах на
него в 2005 г. и 2013 г. [16]
|
объем
потребления, кг/год
|
цена
за ед., руб./кг, руб./шт.
|
p1 q1
|
p0 q0
|
p1 q0
|
p0 q1
|
|
продукты
|
2005
|
2013
|
2005
|
2013
|
|
|
|
|
|
q0
|
q1
|
p0
|
p1
|
|
|
|
|
|
мясо
|
43
|
57
|
131,64
|
214,18
|
12208,26
|
5660,52
|
9209,74
|
7503,48
|
|
молоко
|
186
|
181
|
17,35
|
38,64
|
6993,84
|
3227,1
|
7187,04
|
3140,35
|
|
яйца
|
215
|
240
|
9,72
|
23,18
|
5563,2
|
2089,8
|
4983,7
|
2332,8
|
|
картофель
|
66
|
84
|
24,5
|
56,01
|
4704,84
|
1617
|
3696,66
|
2058
|
|
итого
|
-
|
-
|
-
|
-
|
29470,14
|
12594,42
|
25077,14
|
15034,63
|
Используя следующие формулы, получим необходимые
значения:
2,3399 (48)
1,9911 (49)
1,9602 (50)
, (51)
Где
-
агрегатный индекс стоимости;
- индекс цен
Ласпейреса;
- индекс цен
Пааше;
- агрегатный
индекс физического объема.
Сделаем проверку правильности решения, следуя
следующей формуле:
(руб.) - верно (52)
Рассчитаем абсолютный прирост стоимости
потребления продуктов питания вследствие изменения цен и физического объема
потребления, используя ниже представленные формулы:
(руб.)
(руб.)
(руб.)
Сделаем проверку вычислений:
(53)
Сделаем выводы:
исходя из вышестоящих решений, можно сделать
вывод, что стоимость потребления в 2013 году в Ивановской области возросла на
199,33%, в том числе вследствие роста цен на продукты питания на 96,02% и роста
потребления на 19,38%, что значительно выше показателей в Тамбовской области, а
именно, 116,13%, 82,62% и 18,28% соответственно.
- стоимость потребления в 2013 году в Ивановской
области возросла по сравнению с 2005 годом на 16,875тыс.руб., в том числе вследствие
роста цен на продукты питания на 14,435 тыс.руб. и физического объема
потребления на 2440,21кг. Данные в Ивановской области выше данных по Тамбовской
области, в частности, стоимость потребления в 2013 году выше на 4,046 тыс.руб.,
в том числе вследствие роста цен на продукты питания выше на 6,301тыс.руб руб.
и физического объема потребления на 1742,24 кг.
Заключение
Из общего анализа демографической ситуации можно
сказать, что рост уровня рождаемости, даже если он будет дополнен сокращением
смертности, не сможет в ближайшее время повлиять на радикальное изменение
режима воспроизводства населения, обеспечить положительную динамику, так как
темпы сокращения численности населения определяются и масштабами миграционного
оттока за ее пределы.
В связи с этим значительное внимание в области
демографической политики должно уделяться миграции. Необходима продуманная
государственная миграционная политика. На сокращение миграционного оттока может
повлиять успешное развитие сырьевого сектора экономики, лесозаготовительной
деятельности, создание новых производств, повышение материальной
заинтересованности, общего уровня комфортности проживания в области, что
позволит привлечь мигрантов.
Постепенное преодоление демографического кризиса
возможно в условиях дальнейшей активизации государственной демографической
политики, ее усиления и совершенствования на основе комплексного решения
вопросов семьи и рождаемости, существенного преобразования сферы
здравоохранения, повышение ее эффективности, развития рынка социальных услуг.
Только социально ориентированная политика может смягчить демографический
кризис, в котором находится Россия.
Список литературы
1.
Федеральный Закон от 19.02.1993 «О беженцах».
.
Федеральный Закон от 19.02.1993 «О вынужденных переселенцах»;
.
Борисов В.А. Демография, М.,1999;
.
Демографический ежегодник России, 2002;
.
Демографический ежегодник России, 2003;
.
Ерохина О.В.: «Миграция: свободная и вынужденная, социально-экономические
аспекты, специфика миграционной проблемы для России, главные особенности
современной миграции рабочей силы и "утечки умов".»
//Интернет-конференция на портале http://www.auditorium.ru;
.
Кильдишев и др. Статистика населения с основами демографии, М.: «Финансы и
Статистика», 1990;
.
Кузьмин А.И. Курс лекций "Основы демографии". Лекция 12 «Миграция
населения»// http://humanities.edu.ru;
.
Методологические положения по статистике//Госкомстат России. - М.: Выпуск 4. -
2003 г.
.
«Население России»//Ежегодный демографический доклад. М.,1999
.
Салин В.Н., Чурилова Э.Ю. Курс теории статистики, М.: Финансы и статистика,
2006 г.
.
Татаркова Н.В. Курс лекций «Экономическая демография»;
.
Федеральная служба государственной статистики «Численность и миграция населения
Российской Федерации в 2002 году».
.
http://antropotok.archipelag.ru - Центр стратегических исследований
Приволжского федерального округа. Группа «Русский Архипелаг»;
.
http://demoscope.ru - Журнал "Демоскоп-Weekly", электронная версия;
.
http://www.gks.ru;
Приложения
Приложение А
Таблица 1- Основные социально - экономические
показатели (2013 г.)
|
№
|
Регионы
|
Валовой
региональный продукт, млрд. руб.
|
Среднегодовая
численность занятых в экономике, тыс. чел.
|
Основные
фонды в экономике, трлн. руб.
|
Продукция
сельского хозяйства, трлн.руб.
|
|
1
|
Ивановская
область
|
136,5
|
489,4
|
483,2
|
13,7
|
|
2
|
Калужская
область
|
288,5
|
490,2
|
665,2
|
26,5
|
|
3
|
Костромская
область
|
131,6
|
305,6
|
345,0
|
17,1
|
|
4
|
Курская
область
|
253,8
|
570,3
|
607,1
|
79,3
|
|
5
|
Липецкая
область
|
294,9
|
543,4
|
879,5
|
64,6
|
|
6
|
Орловская
область
|
146,1
|
392,1
|
349,4
|
43,0
|
|
7
|
Рязанская
область
|
247,2
|
500,7
|
671,5
|
38,8
|
|
8
|
Смоленская
область
|
201,3
|
488,7
|
635,5
|
20,2
|
|
9
|
Тамбовская
область
|
203,3
|
504,1
|
622,4
|
72,3
|
|
10
|
Тверская
область
|
267,6
|
578,2
|
1008,4
|
22,7
|
|
11
|
Тульская
область
|
309,3
|
760,5
|
765,1
|
35,9
|
|
12
|
Ярославская
область
|
324,6
|
634,2
|
1115,6
|
24,9
|
|
13
|
Республика
Карелия
|
162,0
|
300,7
|
485,4
|
4,9
|
|
14
|
Республика
Коми
|
480,8
|
445
|
1937,7
|
9,0
|
|
15
|
Архангельская
область
|
468,6
|
599,3
|
1399,5
|
11,3
|
|
16
|
Вологодская
область
|
356,1
|
576,3
|
1236,5
|
22,0
|
|
17
|
Мурманская
область
|
280,3
|
418,8
|
1432,8
|
3,1
|
|
18
|
Новгородская
область
|
172,3
|
309,7
|
393,5
|
16,6
|
|
19
|
Псковская
область
|
108,2
|
325,9
|
318,3
|
13,7
|
|
20
|
Республика
Адыгея
|
65,2
|
150,9
|
159,2
|
14,8
|
Приложение Б
Таблица 2 - Вспомогательная таблица
|
№
|
интервал
|
№
региона
|
Валовой
региональный продукт, млрд. руб.
|
Среднегодовая
численность занятых в экономике, тыс. чел.
|
Основные
фонды в экономике, трлн. руб.
|
Продукция
сельского хозяйства, трлн.руб.
|
|
1
|
65,2-148,3
|
1
|
136,5
|
489,4
|
483,2
|
13,7
|
|
|
3
|
131,6
|
305,6
|
345,0
|
17,1
|
|
|
6
|
146,1
|
349,4
|
43,0
|
|
|
19
|
108,2
|
325,9
|
318,3
|
13,7
|
|
|
20
|
65,2
|
150,9
|
159,2
|
14,8
|
|
Итого
|
5
|
587,6
|
1663,9
|
1655,1
|
102,3
|
|
2
|
148,3-231,4
|
8
|
201,3
|
488,7
|
635,5
|
20,2
|
|
|
9
|
203,3
|
504,1
|
622,4
|
72,3
|
|
|
13
|
162,0
|
300,7
|
485,4
|
4,9
|
|
|
18
|
172,3
|
309,7
|
393,5
|
16,6
|
|
Итого
|
4
|
738,9
|
1603,2
|
2136,8
|
114,0
|
|
3
|
231,4-314,6
|
2
|
288,5
|
490,2
|
665,2
|
26,5
|
|
|
4
|
253,8
|
570,3
|
607,1
|
79,3
|
|
|
5
|
294,9
|
543,4
|
879,5
|
64,6
|
|
|
7
|
247,2
|
500,7
|
671,5
|
38,8
|
|
|
10
|
267,6
|
578,2
|
1008,4
|
22,7
|
|
|
11
|
309,3
|
760,5
|
765,1
|
35,9
|
|
|
17
|
280,3
|
418,8
|
1432,8
|
3,1
|
|
Итого
|
7
|
1941,6
|
3862,1
|
6029,6
|
270,9
|
|
4
|
314,6-397,7
|
12
|
324,6
|
634,2
|
1115,6
|
24,9
|
|
|
16
|
356,1
|
576,3
|
1236,5
|
22,0
|
|
Итого
|
2
|
680,7
|
1210,5
|
2352,1
|
46,9
|
|
5
|
397,7-480,8
|
14
|
480,8
|
445
|
1937,7
|
9,0
|
|
|
15
|
468,6
|
599,3
|
1399,5
|
11,3
|
|
Итого
|
2
|
949,4
|
1044,3
|
3337,2
|
20,3
|